| ФЕДЕРАЛЬНЫЙ ИНСТИТУТ ПЕДАГОГИЧЕСКИХ
ИЗМЕРЕНИЙ
МЕТОДИЧЕСКИЕ РЕКОМЕНДАЦИИ
ПО ОЦЕНИВАНИЮ ВЫПОЛНЕНИЯ
ЗАДАНИЙ
С РАЗВЕРНУТЫМ ОТВЕТОМ
Ф И З И К А
Москва
2010
Авторы: М.Ю. Демидова, А.И. Нурминский
Авторы будут благодарны за замечания и предложения по совершенствованию пособия.
© М.Ю. Демидова, А.И. Нурминский, 2010
© Федеральный институт педагогических измерений. 2010
Содержание
| 1.
|
Основные подходы к разработке КИМ ЕГЭ 2010 г.
|
4
|
| 2.
|
Основные результаты ЕГЭ по физике 2009 г.
|
6
|
| 3.
|
Роль заданий открытого типа в системе ЕГЭ
|
8
|
| 4.
|
Система оценивания заданий с открытым ответом в ЕГЭ 2010 г.
|
11
|
| 5.
|
Примеры оценивания ответов на задания с развернутым ответом
|
15
|
1.
Основные подходы к разработке КИМ ЕГЭ 2010 г.
Основная задача Единого государственного экзамена по физике — оценить подготовку по физике выпускников XI (XII) классов общеобразовательных учреждений с целью отбора выпускников для поступления в средние специальные и высшие учебные заведения.
На экзамене используются задания стандартизированной формы – контрольные измерительные материалы (КИМ). В целях обеспечения стандартизации измерения ежегодно создаются документы, регламентирующие разработку КИМ ЕГЭ. Регламентирующими документами 2010 года являются:
- Кодификатор элементов содержания и требований к уровню подготовки выпускников общеобразовательных учреждений для ЕГЭ по физике;
- Спецификация КИМ ЕГЭ по физике;
- Демонстрационный вариант КИМ для ЕГЭ по физике.
Существующая в настоящее время концепция конструирования контрольных измерительных материалов ЕГЭ по физике обеспечивает единство требований к знаниям и умениям выпускников общеобразовательных учреждений и позволяет эффективно дифференцировать абитуриентов в соответствии с их уровнем подготовки по физике. Контрольные измерительные материалы ЕГЭ по физике призваны всесторонне оценить как усвоение выпускниками основных содержательных линий всех разделов школьного курса физики, так и сформированность различных умений.
Структура экзаменационной работы 2010 г. и распределение заданий по содержанию оставлены без изменений с прошлого года. Внесены корректировки в форму представления задания В1, обновлены критерии оценивания заданий с развернутым ответом.
Забиваем Сайты В ТОП КУВАЛДОЙ - Уникальные возможности от SeoHammer
Каждая ссылка анализируется по трем пакетам оценки: SEO, Трафик и SMM.
SeoHammer делает продвижение сайта прозрачным и простым занятием.
Ссылки, вечные ссылки, статьи, упоминания, пресс-релизы - используйте по максимуму потенциал SeoHammer для продвижения вашего сайта.
Что умеет делать SeoHammer
— Продвижение в один клик, интеллектуальный подбор запросов, покупка самых лучших ссылок с высокой степенью качества у лучших бирж ссылок.
— Регулярная проверка качества ссылок по более чем 100 показателям и ежедневный пересчет показателей качества проекта.
— Все известные форматы ссылок: арендные ссылки, вечные ссылки, публикации (упоминания, мнения, отзывы, статьи, пресс-релизы).
— SeoHammer покажет, где рост или падение, а также запросы, на которые нужно обратить внимание.
SeoHammer еще предоставляет технологию Буст, она ускоряет продвижение в десятки раз,
а первые результаты появляются уже в течение первых 7 дней.
Зарегистрироваться и Начать продвижение
Экзаменационная работа состоит из 36 заданий, различающихся формой представления и уровнем сложности. В первую часть работы включено 25 заданий с выбором ответа. Вторая часть содержит 5 заданий с кратким ответом, при этом задание В1 представляет собой задание на установление характера изменения величин, описывающих различные физические процессы или явления, задание В2 — на установление соответствия, а задания В3 – В5 – расчетные задачи с кратким ответом в виде числа. Третья часть экзаменационной работы включает 6 заданий: одну качественную задачу и пять расчетных задач, при выполнении которых нужно было привести развернутое решение. Общее время выполнения работы составляло 210 минут.
В экзаменационную работу включены задания по всем основным содержательным разделам курса физики: механика, молекулярная физика и термодинамика, электродинамика, квантовая физика. Каждый экзаменационный вариант КИМ ЕГЭ по физике содержит задания по всем содержательным темам перечисленных выше разделов, а по наиболее важным темам задания формулируются на разных уровнях сложности. Число заданий по разделу примерно пропорционально учебному времени, отводимому на его изучение.
В КИМ представлены задания базового, повышенного и высокого уровней сложности. Задания базового уровня проверяют усвоение наиболее важных физических понятий и законов. Задания повышенного уровня контролируют умение использовать физические понятия и законы для анализа более сложных процессов или умение решать задачи на применение одного-двух законов (формул). К заданиям высокого уровня сложности относятся расчетные задачи, которые требуют применения знаний в измененной или новой ситуации.
Экзаменационные варианты конструируются таким образом, чтобы обеспечить проверку различных видов деятельности: владение основным понятийным аппаратом школьного курса физики, владение основами знаний о методах научного познания, решение задач различного типа и уровня сложности.
В вариантах 2010 года продолжена линия постепенного увеличения доли «качественных вопросов» по физике, то есть заданий, проверяющих понимание сути физических явлений, умений применять физическую терминологию для описания явлений, а не просто воспроизводить те или иные законы и формулы. Расширен диапазон проверяемых методологических умений, а также заданий высокого уровня сложности, для выполнения которых необходимо обоснование используемой физической модели.
Сервис онлайн-записи на собственном Telegram-боте
Попробуйте сервис онлайн-записи VisitTime на основе вашего собственного Telegram-бота:
— Разгрузит мастера, специалиста или компанию;
— Позволит гибко управлять расписанием и загрузкой;
— Разошлет оповещения о новых услугах или акциях;
— Позволит принять оплату на карту/кошелек/счет;
— Позволит записываться на групповые и персональные посещения;
— Поможет получить от клиента отзывы о визите к вам;
— Включает в себя сервис чаевых.
Для новых пользователей первый месяц бесплатно.
Зарегистрироваться в сервисе
На основе первичных баллов, выставленных за выполнение всех заданий экзаменационной работы, осуществляется перевод в «тестовые» баллы по 100-балльной шкале. Рособрнадзор ежегодно устанавливает по каждому общеобразовательному предмету минимальное количество баллов ЕГЭ, подтверждающее освоение выпускником основных общеобразовательных программ среднего (полного) общего образования в соответствии с требованиями федерального государственного образовательного стандарта основного общего и среднего (полного) общего образования. Минимальная граница ЕГЭ по физике 2009 г. была установлена на уровне 32 тестовых баллов, что соответствует 8 первичным баллам (50% от заданий базового уровня, отвечающих содержанию стандарта базового уровня). Для достижения минимальной границы необходимо было правильно выполнить соответствующее число заданий базового уровня сложности (из первой и второй частей работы).
2. Основные результаты ЕГЭ по физике 2009 г.
В 2009 г. в едином государственном экзамене по физике принимало участие 205 379 выпускников из всех регионов страны, что составило 20,4% от общего числа выпускников. В 2008 г. в ЕГЭ по физике участвовало 59 796 выпускников из 69 регионов.
Доля участников ЕГЭ по физике варьировалась в зависимости от региона: от 9,4% в республике Дагестан до 30,6% в Ивановской области. Экзамен по физике выбирался в основном юношами: девушек, как и в прошлые годы, было немного более четверти от общего числа тестируемых.
Результаты ЕГЭ по физике 2009 г. оказались существенно ниже результатов предыдущих лет. Основная причина — резкое увеличение числа сдававших экзамен. Средний тестовый балл составил 48,9, хотя в 2008 г. он был 53,0 баллов. По регионам средний балл существенно варьировался: от 38,2 до 59,7 баллов.
Не сумели преодолеть минимальную границу ЕГЭ по физике 6,2% от общего числа тестируемых. При этом среди выпускников текущего года не преодолевших минимальную границу оказалось 5,8%, а среди сдававших экзамен выпускников прошлых лет – 12,8%.
Число тестируемых, набравших максимально возможный балл, составило по стране 189 человек. При этом средний процент получивших максимально возможный результат практически не изменился с прошлого года: 0,09% от общего числа участников экзамена в 2009 г. и 0,1% от общего числа тестируемых в 2008 г.
При выполнении заданий экзаменационной работы по физике продемонстрировано усвоение на базовом уровне основных понятий, формул и законов только по четырем из семнадцати тем школьного курса физики — «Динамика», «Законы сохранения в механике», «Корпускулярно-волновой дуализм» и «Физика атомного ядра». Для заданий повышенного уровня сложности не зафиксировано преодоление границы успешности ни по одной из содержательных тем. Наиболее проблемными оказались вопросы по статике, электростатике, электромагнитной индукции и оптике.
При решении задач высокого уровня сложности третьей части работы выпускники наиболее успешно справлялись с заданиями по молекулярной физике и термодинамике, квантовой физике и теме «Постоянный ток». Наиболее существенные затруднения вызвали задания по динамике, законам сохранения в механике и теме «Магнитное поле».
В контрольных измерительных материалах по физике требования, предъявляемые к абитуриентам, поступающим на физические и инженерно-технические специальности, наиболее полно отражаются в заданиях с развернутым ответом, представляющих собой расчетные задачи высокого уровня сложности. В этом году 46,8% участников ЕГЭ по физике не выполнили ни одного задания с развернутым ответом, получив за выполнение третьей части работы 0 баллов. Таким образом, почти половина выпускников, выбравших экзамен по физике и претендующих на поступление в вузы на соответствующие специальности, показали отсутствие основополагающего для дальнейшего обучения в вузе умения решать задачи по физике. Лишь группы тестируемых с хорошим и отличным уровнями подготовки (26% от общего числа сдававших экзамен, 53 520 человек, тестовый балл от 58 и выше) продемонстрировали умения выполнять задания повышенного уровня сложности и решать задачи с развернутым ответом, что дает основание говорить о возможности освоения ими вузовских программ курса общей физики.
Тестируемые, набравшие минимальный балл, продемонстрировали понимание смысла наиболее важных физических явлений, законов и величин, относящихся к различным разделам школьного курса физики (механика, МКТ и термодинамика, электродинамика и квантовая физика). Данная группа выпускников выполняет задания, требующие воспроизведения основополагающих теоретических сведений, а также применения отдельных формул и законов в простейших типовых учебных ситуациях.
Наибольшие отличия группы тестируемых с отличным и хорошим уровнями подготовки от групп с более низкими уровнями образовательных достижений наблюдаются при выполнении заданий, требующих применения знаний в нетрадиционных учебных ситуациях и проявления достаточно высокой степени самостоятельности действий при комбинировании известных алгоритмов действий или создании собственного плана выполнения задания.
Можно предположить, что многочисленная группа тестируемых, не превысившая по результатам экзамена удовлетворительного уровня подготовки, изучала физику на базовом уровне с учебным планом 2 часа в неделю. Однако в этой группе при проверке освоения понятийного аппарата школьного курса физики наблюдаются примерно одинаковые результаты для одних и тех же моделей заданий, но контролирующих элементы знаний, как входящие, так и не входящие в стандарт базового уровня. Наиболее вероятно, что независимо от учебного плана и заявленного уровня изучения предмета (профильный или базовый) школьники изучают один и тот же объем понятийного аппарата. Однако при изучении курса физики базового уровня из-за недостатка времени не обеспечивается качество усвоения понятийного аппарата, не формируются умения, связанные с применением полученных знаний. Для этих выпускников можно прогнозировать серьезные затруднения при дальнейшем обучении по программам высших учебных заведений.
3. Роль заданий открытого типа в системе ЕГЭ
Бóльшая часть заданий в КИМ по физике являются заданиями с выбором ответа и с кратким ответом. Задания с выбором ответа достаточно информативны, но направлены на проверку лишь одно-двух элементов знаний или умений, и, следовательно, могут проверить усвоение учащимися далеко не всех видов деятельности. Такие задания позволяют отследить типичные ошибки, допускаемые учащимися при ответах на подобные вопросы, и заложенные в дистракторы. Это делает задания с выбором ответа привлекательными для использования в целях диагностики состояния преподавания и корректировки методик.
Задания с кратким ответом не дают экзаменуемому возможности угадать правильный ответ. Но эти задания совершенно не позволяют определить причину ошибки при неверном ответе (за исключением элементарных арифметических ошибок).
Проверка знаний и умений учащихся по физике при решении расчетных задач является традиционной как для школьной методики преподавания предмета, так и вступительных испытаний в вузы. Использование задач, к которым необходимо привести полное решение, позволяет получить больше информации об индивидуальном уровне подготовки каждого учащегося. При проверке ответа можно оценить умение применять законы физики в измененной или новой ситуации, умение выбирать оптимальный способ решения, корректность представления своего решения и т.п. Анализ ошибочных решений задач позволяет определить место ошибки, выявить неусвоенные или плохо усвоенные элементы знаний или умений; оценить значимость ошибки – ошибка в арифметических вычислениях или незнание фундаментальных физических законов. Именно поэтому данная форма заданий и выбрана в качестве заданий с открытым ответом в ЕГЭ по физике.
Ограничением в использовании заданий с открытым ответом является значительно большее время, требующееся экзаменуемому для ответа на одно такое задание. В условиях, когда за ограниченное время экзамена необходимо проверить усвоение конкретным учеником большого числа элементов знания и умений и оценить глубину их усвоения, необходимо находить баланс между числом заданий с выбором ответа и со свободным ответом.
Задания со свободными развернутыми ответами должны проверять важные стороны общеобразовательной подготовки выпускников средней (полной) школы, которые не могут быть проверены заданиями с выбором ответа или заданиями с кратким ответом.
В заданиях с развернутым ответом, проверяющих учебные достижения (предметные знания и умения), от учащихся не должно требоваться написания длинного текста.
Формулировка задания должна быть такой, чтобы испытуемый после прочтения задания понял, какую задачу ему предстоит выполнить, и с какой полнотой он должен дать ответ для получения максимального балла. Например, сколько привести аргументов, фактов или примеров, нужно ли представить чертеж или диаграмму, нужно ли записать полное решение с пояснениями.
Особенно важным является единое понимание всеми экзаменующимися требований к полноте и правильности выполнения открытых заданий. В 2010 г. задания части 3, включенные в КИМ по физике, представляют собой одно задание-вопрос, при ответе на который требуется описать и объяснить какой-либо процесс, и пять расчетных задач, при решении которых необходимо получить численный ответ. В каждом варианте экзаменационной работы перед заданиями С2-С6 третьей части приведена инструкция по выполнению открытых заданий, которая в целом отражает требования к полному правильному решению расчетных задач:
Полное правильное решение каждой из задач С2–С6 должно включать законы и формулы, применение которых необходимо и достаточно для решения задачи, а также математические преобразования, расчеты с численным ответом и, при необходимости, рисунок, поясняющий решение.
Перед заданием С1 не приводится дополнительной инструкции, поскольку требования к полноте ответа приведены в самом тексте задания. Как правило, все задания содержат:
А) требование к формулировке ответа — «Опишите …
(конкретное явление, процесс)» или «Как изменится
… (показание прибора, физическая величина)»;
Б) требование привести развернутый ответ с обоснованием — «объясните …, указав, какими физическими явлениями и закономерностями оно вызвано».
В экзаменационной работе 2010 г. содержится 6 заданий, требующих развернутого ответа. Каждое решение оценивается по политомической шкале с кодами от "0" до "3", отражающими полноту и правильность решения.
Недостаток заданий с развернутым ответом связан с процедурой их проверки. Такие задания на данный момент не могут быть корректно проверены и оценены компьютером. Поэтому в их проверке необходимо участие людей – экспертов. Необходимость личного участия экспертов для проверки результатов выполнения заданий с развернутым ответом ставит проблему объективности выставленной ими оценки ответа.
Выполнения указанного условия можно добиться следующим образом:
– четко определив единые критерии оценивания ответа на конкретное задание для всех экспертов;
– обеспечив стандартизированную процедуру проверки экзаменационных работ.
Для обеспечения надежности и объективности, выставляемых экспертами кодов за выполнение заданий с развернутым ответом, к этим заданиям были предъявлены следующие требования:
1. Задания с развернутыми ответами сопровождаются системой оценивания его выполнения, которая должна включать критерии выставления того или иного кода и варианты правильных ответов (решений).
2. Система оценивания должна четко соотносится с формулировкой задачи и не допускать рассогласования между правильным ходом решения задачи и критериями её оценивания.
3. Разработанная для данного задания система оценивания должна давать согласованные экспертные оценки, не менее 85-90% соответствия поставленных кодов независимыми экспертами.
4. Время, затраченное на проверку задания с открытым развернутым ответом, должно быть соизмеримо со значимостью информации, полученной на основе выполнения данного задания.
Однако, как следует из п.3, добиться абсолютного согласования оценок невозможно. Для случаев расхождения экспертных оценок предусмотрена процедура назначения третьего эксперта и определения окончательной оценки решения. При проведении ЕГЭ по физике назначение третьего эксперта производится в том случае, если расхождение в результатах оценивания задания двумя экспертами составляет 2 и более балла.
При организации работы экспертов рекомендуется обращать внимание на следующие моменты:
- При оценивании экзаменационных работ эксперт рассматривает решения в выданных ему работах по заданиям: в начале решения задачи С1 во всех работах, затем все решения задачи С2, потом все решения С3, С4 и т.д. Некоторые работы занимают несколько страниц и решения в них представлены не по порядку предъявления задач в варианте. Тем самым обеспечивается более согласованное решение о выставлении баллов за одно и то же задание.
- Перед проведением проверки каждого из заданий необходимо изучить критерии его оценивания в материалах для эксперта, обратив внимание на возможные отличия от обобщенной системы оценивания.
- При работе эксперт выставляет свои оценки в специальный бланк («Протокол проверки ответов на задания в бланке № 2»), в котором вносить изменения и исправления крайне нежелательно. При отсутствии решения или свидетельств попытки решения какой-либо задачи (отсутствуют любые записи о данном задании) в бланк вносится знак «Х
» в поле соответствующей задачи.
- Работа эксперта рассчитана в среднем на 4 проверяемые работы за 60 минут. Перед началом работы необходимо внимательно ознакомиться с условиями задач, их решениями и соответствующими критериями оценивания.
4. Система оценивания заданий с открытым ответом в ЕГЭ 2010 г.
В материалах для экспертов ЕГЭ по физике для каждого задания приводится авторский способ решения. Однако предлагаемый разработчиками КИМ способ (метод) решения не является определяющим для построения шкалы оценивания работ учащихся. Не является он и образцом решения, оцениваемого в три балла. Он помогает эксперту в решении соответствующего задания.
Эксперту предлагается система оценивания, которая может применяться при рассмотрении альтернативного авторскому решения в экзаменационной работе. Выполнение заданий оценивается на основании описания полного правильного ответа, за которое выставляется максимальный балл, а наличие тех или иных недостатков или ошибок приводит к снижению на 1 или 2 балла. Неверный ответ оценивается в 0 баллов. В системе оценивания учтены наиболее типичные ошибки или недочеты, допускаемые учащимися, и определено их влияние на оценивание.
Обобщенные схемы, используемые в ЕГЭ 2010 г. приведены ниже.
Обобщенная схема оценивания заданий С1
| Критерии оценки выполнения задания
|
Баллы
|
| Приведено полное правильное решение, включающее правильный ответ (в данном случае – формулируется ответ
), и полное верное объяснение (в данном случае – указывается сноска на пункты в образце решения
) с указанием наблюдаемых явлений и законов (в данном случае – перечисляются явления и законы
).
|
3
|
| Приведено решение и дан верный ответ, но имеется один
из следующих недостатков:
—
В объяснении содержатся лишь общие рассуждения без привязки к конкретной ситуации задачи, хотя указаны все необходимые физические явления и законы.
ИЛИ
— Рассуждения, приводящие к ответу, представлены не в полном объеме или в них содержатся логические недочеты.
ИЛИ
— Указаны не все физические явления и законы, необходимые для полного правильного решения.
|
2
|
| Представлены записи, соответствующие одному
из следующих случаев:
— Приведены рассуждения с указанием на физические явления и законы, но дан неверный или неполный ответ.
ИЛИ
— Приведены рассуждения с указанием на физические явления и законы, но ответ не дан.
ИЛИ
— Представлен только правильный ответ без обоснований.
|
1
|
| Все случаи решения, которые не соответствуют вышеуказанным критериям выставления оценок в 1, 2, 3 балла.
|
0
|
Обобщенная схема оценивания заданий С2-С6
| Критерии оценки выполнения задания
|
Баллы
|
| Приведено полное правильное решение, включающее следующие элементы:
1) верно записаны формулы, выражающие физические законы, применение которых необходимо
для решения задачи выбранным способом (в данном решении — перечисляются использованные в авторском решении законы и формулы
);
2) проведены необходимые математические преобразования и расчеты, приводящие к правильному числовому ответу, и представлен ответ (с указанием единиц измерения). При этом допускается решение «по частям» (с промежуточными вычислениями).
|
3
|
| Представленное решение содержит п.1 полного решения, но имеет один
из следующих недостатков:
— В необходимых
математических преобразованиях или вычислениях допущена ошибка.
ИЛИ
— Необходимые математические преобразования и вычисления логически верны, не содержат ошибок, но не закончены.
ИЛИ
—
Не представлены преобразования, приводящие к ответу, но записан правильный числовой ответ или ответ в общем виде.
ИЛИ
— Решение содержит ошибку в необходимых математических преобразованиях и не доведено до числового ответа.
|
2
|
| Представлены записи, соответствующие одному
из следующих случаев:
— Представлены только положения и формулы, выражающие физические законы, применение которых необходимо
для решения задачи, без каких-либо преобразований с их использованием, направленных на решение задачи, и ответа.
ИЛИ
— В решении отсутствует ОДНА из исходных формул, необходимая для решения задачи (или утверждение, лежащее в основе решения), но присутствуют логически верные преобразования с имеющимися формулами, направленные на решение задачи.
ИЛИ
— В ОДНОЙ из исходных формул, необходимых для решения задачи (или утверждении, лежащем в основе решения), допущена ошибка, но присутствуют логически верные преобразования с имеющимися формулами, направленные на решение задачи.
|
1
|
| Все случаи решения, которые не соответствуют вышеуказанным критериям выставления оценок в 1, 2, 3 балла.
|
0
|
Комментарии к обобщенной системе оценивания заданий С2-С6.
1. В КИМ встречается ряд задач, при решении которых обязательно
наличие рисунка. (Например, по геометрической оптике, где рисунок поясняет ход лучей и введенные обозначения величин). В этом случае наличие рисунка оговаривается в условии задачи, а в критерии полного правильного решения вводится условие наличие рисунка. Отсутствие рисунка в работе учащегося приводит к снижению оценки на 1 балл.
2. Оценивание задач, в условиях которых приводятся фотографии реальных экспериментов, учитывает необходимость правильной записи показаний приборов
. В этом случае в критерии полного правильного решения вводится условие верной записи показаний измерительных приборов. Если же показания приборов в работе экзаменующегося записаны неверно и отклонение в записи превышает цену деления прибора, то эксперт имеет право снизить оценку на один балл.
3. Решение учащегося может иметь логику, отличную от авторской логики решения (альтернативное решение). В этом случае эксперт оценивает возможность решения конкретной задачи тем способом, который выбрал учащийся. Если ход решения учащегося допустим, то эксперт оценивает полноту и правильность этого решения на основании критериев оценивания (внося коррективы в список основных законов / формул / утверждений).
4. Если в решении задачи записаны утверждения, законы или формулы, которые затем не использовались в ходе решения, то ошибки в этих записях не влияют на оценивание и не являются основанием для снижения оценки.
5. В настоящее время при решении заданий с развернутым ответом не требуется записи каких-либо комментариев об используемых законах или формулах, перевода всех заданных в условии задачи физических величин в СИ и проверки полученного ответа «в общем виде» по единицам измерения входящих в неё величин.
6. Отсутствие промежуточных этапов между первоначальной системой уравнений и окончательным ответом (т.е. математических преобразований) может служить основанием для снижения оценки на 1 балл (см. общие критерии оценки). Однако допускается вербальное указание на проведение преобразований без их алгебраической записи с предоставлением исходных уравнений и результата этого преобразования.
7. Встречаются случаи, когда ученик представляет решение задачи, в котором «подменяется» условие задачи, определяется другая физическая величина. Здесь можно рассматривать три варианта:
- Если в задании требовалось определить отношение величин «А/В»
, а тестируемый определил значение отношения «В/А
», то это не считается ошибкой или погрешностью.
- Если подмена сводится к тому, что учащийся определил не ту величину, которую требовалось рассчитать по условию задачи, а другую (при условии, что полученный ответ можно считать промежуточным этапом при определении требуемой величины, и при этом в других вариантах не требуется определить именно найденную тестируемым величину), то это может быть отнесено к ошибке того же порядка, что и ошибки в преобразованиях.
- Если же подмена сводится к решению задачи, представленной в другом варианте экзаменационной работы, то такое решение оценивается 0 баллов.
5. Примеры оценивания ответов на задания с развернутым ответом
5.1 Примеры оценивания ответов на задание С1
В задании 1 в систему оценивания внесены изменения, так как требуется дополнительно представить схему электрической цепи.
Задание 1
На фотографии изображена электрическая цепь, состоящая из резистора, реостата, ключа, цифровых вольтметра, подключенного к батарее, и амперметра.

Составьте принципиальную электрическую схему этой цепи, и, используя законы постоянного тока, объясните, как изменятся (увеличится или уменьшится) сила тока в цепи и напряжение на батарее при перемещении движка реостата в крайнее правое положение.
| Образец возможного решения (рисунок обязателен)
|
| 1. Показания амперметра увеличатся, а вольтметра — уменьшатся.
2. Эквивалентная электрическая схема цепи, учитывающая внутреннее сопротивление батареи, изображена на рисунке, где I
–
сила тока в цепи.
Ток через вольтметр практически
|

|
| не течет, а сопротивление амперметра пренебрежимо мало.
3. Сила тока в цепи определяется законом Ома для замкнутой (полной) цепи: . В соответствии с законом Ома для участка цепи напряжение, измеряемое вольтметром: . При перемещении движка реостата вправо его сопротивление уменьшается, что приводит к уменьшению полного сопротивления цепи. Сила тока в цепи при этом растет, а напряжение на батарее уменьшается.
|
| Критерии оценки выполнения задания
|
Баллы
|
| Приведено полное правильное решение, включающее правильный ответ (в данном случае – изменения показания приборов, п. 1
), схему электрической цепи – п.2
) и полное верное объяснение (в данном случае – п. 3
) с указанием наблюдаемых явлений и законов (в данном случае – закон Ома для участка цепи и для замкнутой цепи
).
|
3
|
| Приведено решение, верная схема электрической цепи и дан верный ответ, но имеется один из следующих недостатков:
— в объяснении содержатся лишь общие рассуждения без привязки к конкретной ситуации задачи, хотя указаны все необходимые физические явления и законы;
ИЛИ
— рассуждения, приводящие к ответу, представлены не в полном объеме или в них содержатся логические недочеты;
ИЛИ
— указаны не все физические явления и законы, необходимые для полного правильного решения.
ИЛИ
— Приведено решение, и дан верный ответ, но не представлена схема электрической цепи.
ИЛИ
— Представлен только правильный ответ без обоснований и верная схема электрической цепи.
|
2
|
| Представлены записи, соответствующие одному из следующих случаев:
— Приведены рассуждения с указанием на физические явления и законы, но дан неверный или неполный ответ.
ИЛИ
— Приведены рассуждения с указанием на физические явления и законы, но ответ не дан.
ИЛИ
— Представлен только правильный ответ без обоснований.
ИЛИ
— Представлена только верная схема электрической цепи.
|
1
|
| Все случаи решения, которые не соответствуют вышеуказанным критериям выставления оценок в 1, 2, 3 балла.
|
0
|
Пример 1.1. (3 балла)
Полностью верное решение задачи: представлена схема, верный ответ и верные обоснования, приводящие к ответу, указаны закон Ома для участка цепи и для замкнутой цепи.
Пример 1.2 (2 балла)

Приведено правильное обоснование и дан верный ответ исходя из имеющихся рассуждений. Однако учащийся подменяет задачу (неверно включает реостат в цепь). Кроме того есть указание на смещение ползунка реостата влево, и при этом на увеличение сопротивления. Эта неточность в рассуждениях приводит к снижению до 2 баллов.
Пример 1.3 (2 балла)
Приведена верная схема электрической цепи, правильный ответ, но в рассуждениях допущена ошибка.
Пример 1.4 (2 балла)
В схеме допущена неточность (подключение реостата), далее все рассуждения строятся исходя из показанной схемы. Получен верный ответ, хотя в рассуждениях допущена ошибка. Работа оценивается в 2 балла.
Пример 1.5 (2 балла)
Представлен правильный ответ без обоснований и верная схема электрической цепи. Задание оценивается 2 баллом.
Пример 1.6 (1 балл)
Приведен только правильный ответ без обоснований.
Пример 1.7 (1 балл)
Приведена верная схема электрической цепи, но ответ неверный.
Пример 1.8 (0 баллов)
Дан частично верный ответ (только о показаниях амперметра). Схема составлена неверно.
Задание 2.
Около небольшой металлической пластины, укрепленной на изолирующей подставке, подвесили на длинной шелковой нити легкую металлическую незаряженную гильзу. Когда пластину подсоединили к клемме высоковольтного выпрямителя, подав на нее положительный заряд, гильза пришла в движение. Опишите движение гильзы и объясните его, указав, какими физическими явлениями и закономерностями оно вызвано.
| Образец возможного решения
|
| 1) Гильза притянется к пластине, коснётся её, а потом отскочит и зависнет в отклонённом состоянии.
2) Под действием электрического поля пластины изменится распределение электронов в гильзе и произойдет ее электризация: та ее сторона, которая ближе к пластине (левая), будет иметь отрицательный заряд, а противоположная сторона (правая) — положительный. Поскольку сила взаимодействия заряженных тел уменьшается с ростом расстояния между ними, притяжение к пластине левой стороны гильзы будет больше отталкивания правой стороны гильзы. Гильза будет притягиваться к пластине и двигаться, пока не коснется ее.
3) В момент касания часть электронов перейдет с гильзы на положительно заряженную пластину, гильза приобретет положительный заряд и оттолкнется от теперь уже одноименно заряженной пластины.
4) Под действием силы отталкивания гильза отклонится вправо и зависнет в положении, когда равнодействующая силы электростатического отталкивания, силы тяжести и силы натяжения нити станет равна нулю.
|
| Критерии оценки выполнения задания
|
Баллы
|
| Приведено полное правильное решение, включающее правильный ответ (в данном случае – описание движения гильзы, п.1
), и полное верное объяснение (в данном случае – п.2–4
) с указанием наблюдаемых явлений и законов (в данном случае – электризация во внешнем поле и при контакте с заряженным телом, взаимодействие заряженных тел
).
|
3
|
| Приведено решение и дан верный ответ, но имеется один
из следующих недостатков:
—
В объяснении содержатся лишь общие рассуждения без привязки к конкретной ситуации задачи, хотя указаны все необходимые физические явления и законы.
ИЛИ
— Рассуждения, приводящие к ответу, представлены не в полном объеме или в них содержатся логические недочеты.
ИЛИ
— Указаны не все физические явления и законы, необходимые для полного правильного решения.
|
2
|
| Представлены записи, соответствующие одному
из следующих случаев:
— Приведены рассуждения с указанием на физические явления и законы, но дан неверный или неполный ответ.
ИЛИ
— Приведены рассуждения с указанием на физические явления и законы, но ответ не дан.
ИЛИ
— Представлен только правильный ответ без обоснований.
|
1
|
| Все случаи решения, которые не соответствуют вышеуказанным критериям выставления оценок в 1, 2, 3 балла.
|
0
|
Пример 2.1 (3 балла)

Приведен верный ответ и рассуждения, приводящие к ответу.
Пример 2.2 (2 балла)

Приведены неполные рассуждения, но дан верный ответ.
Пример 2.3 (1 балл)

Приведены неполные рассуждения, ответ не дан.
Пример 2.4 (1 балл)
Дан верный ответ о движении гильзы, но приведены неполные рассуждения, в которых есть недочеты.
Пример 2.5 (0 баллов)

Приведены неполные рассуждения, ответ не дан.
5.2 Примеры оценивания ответов на задания С2-С6
Задание 1
Наклонная плоскость пересекается с горизонтальной плоскостью по прямой AB. Угол между плоскостями a = 30°. Маленькая шайба начинает движение вверх по наклонной плоскости из точки A с начальной скоростью v0
= 2 м/с под углом b = 60° к прямой AB. В ходе движения шайба съезжает на прямую AB в точке B. Пренебрегая трением между шайбой и наклонной плоскостью, найдите расстояние AB.

Образец возможного решения
|
| Выбор системы координат: ось x
направлена по прямой АВ, ось y
– вверх по наклонной плоскости перпендикулярно линии АВ
Проекции вектора ускорения свободного падения g
:
gx
= 0, gy
= – g·sin a.
Движение по наклонной плоскости эквивалентно движению тела, брошенного под углом b к горизонту, в поле тяжести с ускорением gy
Уравнения движения вдоль осей x
и y
:

В момент времени t, соответствующий концу движения, y
(t) = 0 и x(t) = АВ. Используя это условие для решения системы уравнений, получаем:

|
| Критерии оценки выполнения задания
|
Баллы
|
| Приведено полное правильное решение, включающее следующие элементы:
1) верно записаны формулы, выражающие физические законы, применение которых необходимо
для решения задачи выбранным способом (в данном решении — формулы кинематики для равноускоренного движения, тригонометрические соотношения для проекций величин
);
2) проведены необходимые математические преобразования и расчеты, приводящие к правильному числовому ответу, и представлен ответ (с указанием единиц измерения). При этом допускается решение «по частям» (с промежуточными вычислениями).
|
3
|
| Представленное решение содержит п.1 полного решения, но имеет один
из следующих недостатков:
— В необходимых
математических преобразованиях или вычислениях допущена ошибка.
ИЛИ
— Необходимые математические преобразования и вычисления логически верны, не содержат ошибок, но не закончены.
ИЛИ
—
Не представлены преобразования, приводящие к ответу, но записан правильный числовой ответ или ответ в общем виде.
ИЛИ
— Решение содержит ошибку в необходимых математических преобразованиях и не доведено до числового ответа.
|
2
|
| Представлены записи, соответствующие одному
из следующих случаев:
— Представлены только положения и формулы, выражающие физические законы, применение которых необходимо
для решения задачи, без каких-либо преобразований с их использованием, направленных на решение задачи, и ответа.
ИЛИ
— В решении отсутствует ОДНА из исходных формул, необходимая для решения задачи (или утверждение, лежащее в основе решения), но присутствуют логически верные преобразования с имеющимися формулами, направленные на решение задачи.
ИЛИ
— В ОДНОЙ из исходных формул, необходимых для решения задачи (или утверждении, лежащем в основе решения), допущена ошибка, но присутствуют логически верные преобразования с имеющимися формулами, направленные на решение задачи.
|
1
|
| Все случаи решения, которые не соответствуют вышеуказанным критериям выставления оценок в 1, 2, 3 балла.
|
0
|
Пример 1.1 (3 балла)
Использован подход к решению «по действиям» (с промежуточными вычислениями). Задача решена верно, отвечает критериям на 3 балла.
Пример 1.2 (3 балла)
Полное правильное решение задачи, отвечающее критериям оценивания на 3 балла.
Пример 1.3 (2 балла)
Допущена арифметическая ошибка на последнем этапе вычислений. На основании этого решение оценивается в 2 балла, не смотря на то, что на промежуточном этапе вычислений был получен правильный ответ.
Пример 1.4 (2 балла)
Допущена ошибка в математических преобразованиях (записан тангенс вместо синуса двойного угла), что привело к неверному ответу. Решение оценивается в 2 балла.
Пример 1.5 (0 баллов)
Допущены ошибки в записи двух исходных формул (для времени полета и для дальности). Работа оценивается 0 баллов.
Пример 1.6 (0 баллов)
Учащийся воспользовался известной ему формулой для дальности полета (без ее вывода), но ошибся с записью угла. Кроме того неверно записано выражение для проекции ускорения свободного падения. Таким образом, допущены ошибки в двух исходных формулах, работа оценивается 0 баллов.
Пример 1.7 (0 баллов)

Выбран способ решения через использование закона сохранения энергии, который записан неверно. Поскольку решение основано только на одном законе, то работа оценивается 0 баллов.
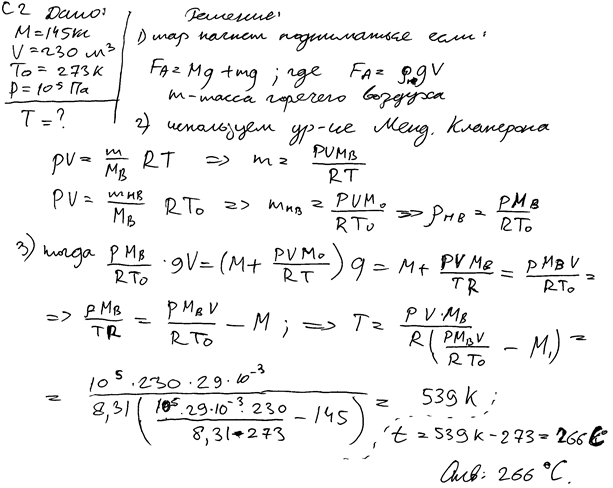
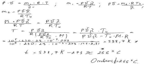
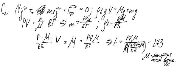
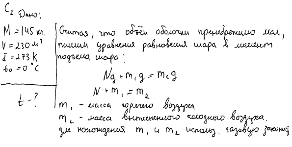
Задание 2
Воздушный шар, оболочка которого имеет массу М
= 145 кг и объем V
= 230 м3
, наполняется горячим воздухом при нормальном атмосферном давлении и температуре окружающего воздуха t
0
= 0о
С. Какую минимальную температуру t
должен иметь воздух внутри оболочки, чтобы шар начал подниматься? Оболочка шара нерастяжима и имеет в нижней части небольшое отверстие.
| Образец возможного решения
|
| Условие подъема шара: ,
где М
– масса оболочки, m
– масса воздуха внутри оболочки, отсюда
,
где – плотность окружающего воздуха, – плотность воздуха внутри оболочки, V
– объем шара.
Для воздуха внутри шара: , или , где p
– атмосферное давление, Т
– температура воздуха внутри шара. Соответственно, плотность воздуха снаружи: , где T
0
– температура окружающего воздуха.
Þ Þ ,
К = 265°С.
|
| Критерии оценки выполнения задания
|
Баллы
|
| Приведено полное правильное решение, включающее следующие элементы:
1) верно записаны формулы, выражающие физические законы, применение которых необходимо для решения задачи выбранным способом (в данном решении — выражение для силы Архимеда, связь массы и плотности, уравнение Менделеева–Клапейрона);
2) проведены необходимые математические преобразования и расчеты, приводящие к правильному числовому ответу, и представлен ответ (с указанием единиц измерения). При этом допускается решение «по частям» (с промежуточными вычислениями).
|
3
|
| Представленное решение содержит п.1 полного решения, но имеет один из следующих недостатков:
— В необходимых математических преобразованиях или вычислениях допущена ошибка.
ИЛИ
— Необходимые математические преобразования и вычисления логически верны, не содержат ошибок, но не закончены.
ИЛИ
— Не представлены преобразования, приводящие к ответу, но записан правильный числовой ответ или ответ в общем виде.
ИЛИ
— Решение содержит ошибку в необходимых математических преобразованиях и не доведено до числового ответа.
|
2
|
| Представлены записи, соответствующие одному из следующих случаев:
— Представлены только положения и формулы, выражающие физические законы, применение которых необходимо для решения задачи, без каких-либо преобразований с их использованием, направленных на решение задачи, и ответа.
ИЛИ
— В решении отсутствует ОДНА из исходных формул, необходимая для решения задачи (или утверждение, лежащее в основе решения), но присутствуют логически верные преобразования с имеющимися формулами, направленные на решение задачи.
ИЛИ
— В ОДНОЙ из исходных формул, необходимых для решения задачи (или утверждении, лежащем в основе решения), допущена ошибка, но присутствуют логически верные преобразования с имеющимися формулами, направленные на решение задачи.
|
1
|
| Все случаи решения, которые не соответствуют вышеуказанным критериям выставления оценок в 1, 2, 3 балла.
|
0
|
Пример 2.1 (3 балла)
Полное правильное решение задачи, но при подстановке масс в условие равновесия шара учащийся допускает ошибку. Однако следующая формула записана правильно и получен верный ответ. Допущенная ошибка приравнивается к описке, и работа оценивается 3 баллами.
Пример 2.2 (3 балла)
Полное правильное решение задачи. Оценивается 3 баллами.
Пример 2.3 (2 балла)
Записаны все необходимые уравнения, проведены преобразования, получен ответ в общем виде, но решение не доведено до численного ответа. Работа оценивается 2 баллами.
Пример 2.4 (1 балл)
Записаны все необходимые уравнения, но, судя по дальнейшим преобразованиям, учащийся не учитывает массу оболочки шара и неверно записывает выражение для плотности воздуха в шаре (через массу оболочки и объем шара). Следовательно одно из исходных уравнений ошибочно, и работа оценивается 1 баллом.
Пример 2.5 (1 балл)
Верно записаны два исходных уравнения. В условии равновесия для воздушного шара допущена ошибка. Следовательно, в одной из исходных формул, необходимых для решения задачи допущена ошибка, но присутствуют логически верные преобразования с имеющимися формулами, направленные на решение задачи. Работа оценивается 1 баллом.
Пример 2.6 (0 баллов)
Отсутствует два из трех необходимых для решения исходных уравнений. Работа оценивается 0 баллов.
В задании 3 следует обратить внимание на изменение системы оценивания в связи с обязательностью представления рисунка.
Задание 3
Равнобедренный прямоугольный треугольник ABC площадью 50 см2
расположен перед тонкой собирающей линзой так, что его катет AC лежит на главной оптической оси линзы. Фокусное расстояние линзы 50 см. Вершина прямого угла C лежит ближе к центру линзы, чем вершина острого угла A. Расстояние от центра линзы до точки C равно удвоенному фокусному расстоянию линзы (см. рисунок). Постройте изображение треугольника и найдите площадь получившейся фигуры.
| Образец возможного решения (рисунок обязателен)
|
| Длина катетов Длину x
горизонтального катета A¢C¢ изображения находим по формуле линзы: откуда Длина вертикального катета B¢C¢ изображения равна a
, т.к. для него d = f = 2F.
Площадь изображения

= .
|
| Критерии оценки выполнения задания
|
Баллы
|
| Приведено полное правильное решение, включающее следующие элементы:
1) представлен не содержащий ошибок схематический рисунок, отражающий условие задачи и поясняющий решение;
2) верно записаны формулы, выражающие физические законы, применение которых необходимо
для решения задачи выбранным способом (в данном решении — формулы линзы для двух точек на главной оптической оси, площади треугольника
);
3) проведены необходимые математические преобразования и расчеты, приводящие к правильному числовому ответу, и представлен ответ. При этом допускается решение "по частям" (с промежуточными вычислениями).
|
3
|
| Представленное решение содержит п.1-3 полного решения, но имеет один
из следующих недостатков:
— В необходимых
математических преобразованиях или вычислениях допущена ошибка.
ИЛИ
— Необходимые математические преобразования и вычисления логически верны, не содержат ошибок, но не закончены.
ИЛИ
—
Не представлены преобразования, приводящие к ответу, но записан правильный числовой ответ или ответ в общем виде.
ИЛИ
— Решение содержит ошибку в необходимых математических преобразованиях и не доведено до числового ответа.
ИЛИ
— Отсутствует рисунок или при построении изображения допущена ошибка.
|
2
|
| Представлены записи, соответствующие одному
из следующих случаев:
— Представлен только правильный рисунок.
ИЛИ
— Представлены только положения и формулы, выражающие физические законы, применение которых необходимо
для решения задачи, без каких-либо преобразований с их использованием, направленных на решение задачи, и ответа.
ИЛИ
— В решении отсутствует ОДНА из исходных формул, необходимая для решения задачи (или утверждение, лежащее в основе решения), но присутствуют логически верные преобразования с имеющимися формулами, направленные на решение задачи.
ИЛИ
— В ОДНОЙ из исходных формул, необходимых для решения задачи (или утверждении, лежащем в основе решения), допущена ошибка, но присутствуют логически верные преобразования с имеющимися формулами, направленные на решение задачи.— В решении содержится ошибка в необходимых
математических преобразованиях и отсутствуют какие-либо числовые расчеты.
|
1
|
| Все случаи решения, которые не соответствуют вышеуказанным критериям выставления оценок в 1, 2, 3 балла (использование неприменимого закона, отсутствие более одного исходного уравнения, разрозненные записи и т.п.).
|
0
|
Пример 3.1 (3 балла)

Представлен не содержащий ошибок рисунок. Выбран способ решения исходя из подобия треугольников без непосредственного использования формулы линзы, получен верный ответ. Работа оценивается 3 баллами.
Пример 3.2 (3 балла)


Представлен правильный рисунок, формула линзы и формула для расчета площади треугольника, получен верный ответ. Работа оценивается 3 баллами.
Пример 3.3 (2 балла)

Несмотря на нерациональность математических преобразований учащимся получен правильный ответ в общем виде, но при вычислениях допущена ошибка. Работа оценивается в 2 балла.
Пример 3.4 (2 балла)

Получен правильный численный ответ, но на рисунке не проведено построение изображения точки А, поэтому оценка снижена до 2 баллов.
Пример 3.5 (1 балл)
Правильно выполнен рисунок, в решении отсутствует формула линзы, длина стороны А’
C’
определена из неверных предпосылок, что привело к неверному ответу. Работа оценивается 1 баллов за наличие правильного рисунка.
Пример 3.6 (0 баллов)
Построение изображения выполнено неверно. Формально присутствует верная запись формулы линзы, но в данном случае она записана только для точки С. Работа оценивается 0 баллов.
Пример 3.7 (0 баллов)
Сделано необоснованное утверждение о равенстве площадей треугольников, на рисунке отсутствует построение изображения точки А. Работа оценивается 0 баллов.
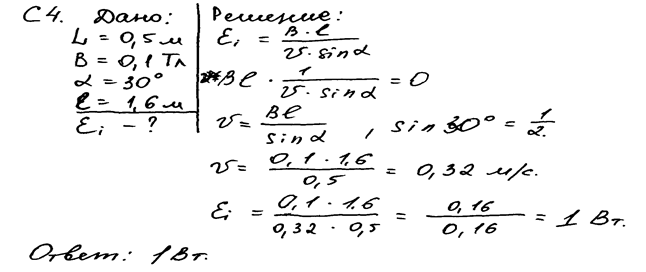
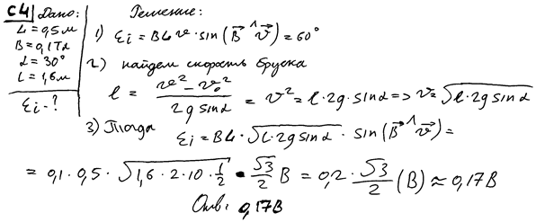
Задание 4
Тонкий алюминиевый брусок прямоугольного сечения, имеющий длину L
= 0,5 м, соскальзывает из состояния покоя по гладкой наклонной плоскости из диэлектрика в вертикальном магнитном поле индукцией В
= 0,1 Тл (см. рисунок). Плоскость наклонена к горизонту под углом a = 30°. Продольная ось бруска при движении сохраняет горизонтальное направление. Найдите величину ЭДС индукции на концах бруска в момент, когда брусок пройдет по наклонной плоскости расстояние ℓ
= 1,6 м.
| Образец возможного решения
|
| ЭДС индукции в движущемся проводнике: за очень малое Dt
, ,
, где Dх
– смещение бруска за малое Dt
.
|

|
| , где u – с
корость проводника в конечном положении. Она находится из закона сохранения энергии: , откуда u
= 
; ε ≈ 0,17 В.
|
| Критерии оценки выполнения задания
|
Баллы
|
| Приведено полное правильное решение, включающее следующие элементы:
1) верно записаны формулы, выражающие физические законы, применение которых необходимо для решения задачи выбранным способом (в данном решении — формула для ЭДС индукции в проводнике, движущемся в магнитном поле, закон сохранения энергии
);
2) проведены необходимые математические преобразования и расчеты, приводящие к правильному числовому ответу, и представлен ответ (с указанием единиц измерения). При этом допускается решение «по частям» (с промежуточными вычислениями).
|
3
|
| Представленное решение содержит п.1 полного решения, но имеет один из следующих недостатков:
— В необходимых математических преобразованиях или вычислениях допущена ошибка.
ИЛИ
— Необходимые математические преобразования и вычисления логически верны, не содержат ошибок, но не закончены.
ИЛИ
— Не представлены преобразования, приводящие к ответу, но записан правильный числовой ответ или ответ в общем виде.
ИЛИ
— Решение содержит ошибку в необходимых математических преобразованиях и не доведено до числового ответа.
|
2
|
| Представлены записи, соответствующие одному из следующих случаев:
— Представлены только положения и формулы, выражающие физические законы, применение которых необходимо для решения задачи, без каких-либо преобразований с их использованием, направленных на решение задачи, и ответа.
ИЛИ
— В решении отсутствует ОДНА из исходных формул, необходимая для решения задачи (или утверждение, лежащее в основе решения), но присутствуют логически верные преобразования с имеющимися формулами, направленные на решение задачи.
ИЛИ
— В ОДНОЙ из исходных формул, необходимых для решения задачи (или утверждении, лежащем в основе решения), допущена ошибка, но присутствуют логически верные преобразования с имеющимися формулами, направленные на решение задачи.
|
1
|
| Все случаи решения, которые не соответствуют вышеуказанным критериям выставления оценок в 1, 2, 3 балла.
|
0
|
Пример 4.1 (3 балла)
Приведено полное правильное решение, включающее все необходимые элементы. Работа оценивается 3 баллами.
Пример 4.2 (3 балла)
Верное решение «по частям», оценивается максимальным баллом.
Пример 4.3 (1 балл)
Записаны все необходимые исходные уравнения, проведены преобразования и получен ответ, но при записи формулы для ЭДС индукции в движущемся проводнике ошибочно указан угол. К сожалению, по ходу решения нельзя сделать заключение о том, что эта ошибка соответствует ошибке в преобразованиях. Поэтому считается, что допущена ошибка в одном из исходных уравнений. Работа оценивается 1 баллом.
Пример 4.4 (0 баллов)
В решении присутствует лишь одна из необходимых формул, но и в ней допущена ошибка (указан неверный угол в формуле для магнитного потока). Работа оценивается 0 баллов.
Пример 4.5 (0 баллов)
Представлена лишь одна из необходимых исходных формул, которая записана неверно. Работа оценивается 0 баллов.
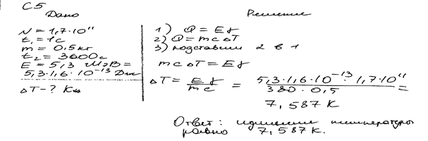
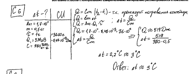
Задание 5
Препарат активностью 1,7×1011
a-частиц в секунду помещен в медный контейнер массой 0,5 кг. На сколько повысилась температура контейнера за 1 ч, если известно, что данное радиоактивное вещество испускает a-частицы энергией 5,3 МэВ? Считать, что энергия всех a-частиц полностью переходит во внутреннюю энергию контейнера. Теплоемкостью препарата и теплообменом с окружающей средой пренебречь.
| Образец возможного решения
|
| За время Dt
в препарате выделяется количество теплоты Q
= A
×e
×Dt
, где
А
– активность препарата,
e
– энергия a-частицы, Dt
– время.
Изменение температуры контейнера определяется равенством
Q
= с
×m
×DT
, где с
– удельная теплоемкость меди, m
– масса контейнера, DТ
– изменение температуры контейнера.
Выделившееся количество теплоты идет на нагревание контейнера. Отсюда DT
= . DT
» 2,7 K.
|
| Критерии оценки выполнения задания
|
Баллы
|
| Приведено полное правильное решение, включающее следующие элементы:
1) верно записаны формулы, выражающие физические законы, применение которых необходимо
для решения задачи выбранным способом (в данном решении — формула для энергии, выделяемой препаратом, и формула для расчета количества теплоты, полученного контейнером при нагревании
);
2) проведены необходимые математические преобразования и расчеты, приводящие к правильному числовому ответу, и представлен ответ (с указанием единиц измерения). При этом допускается решение «по частям» (с промежуточными вычислениями).
|
3
|
| Представленное решение содержит п.1 полного решения, но имеет один
из следующих недостатков:
— В необходимых
математических преобразованиях или вычислениях допущена ошибка.
ИЛИ
— Необходимые математические преобразования и вычисления логически верны, не содержат ошибок, но не закончены.
ИЛИ
—
Не представлены преобразования, приводящие к ответу, но записан правильный числовой ответ или ответ в общем виде.
ИЛИ
— Решение содержит ошибку в необходимых математических преобразованиях и не доведено до числового ответа.
|
2
|
| Представлены записи, соответствующие одному
из следующих случаев:
— Представлены только положения и формулы, выражающие физические законы, применение которых необходимо
для решения задачи, без каких-либо преобразований с их использованием, направленных на решение задачи, и ответа.
ИЛИ
— В решении отсутствует ОДНА из исходных формул, необходимая для решения задачи (или утверждение, лежащее в основе решения), но присутствуют логически верные преобразования с имеющимися формулами, направленные на решение задачи.
ИЛИ
— В ОДНОЙ из исходных формул, необходимых для решения задачи (или утверждении, лежащем в основе решения), допущена ошибка, но присутствуют логически верные преобразования с имеющимися формулами, направленные на решение задачи.
|
1
|
| Все случаи решения, которые не соответствуют вышеуказанным критериям выставления оценок в 1, 2, 3 балла.
|
0
|
Пример 5.1 (3 балла)
Представлены все элементы полного правильного решения и получен верный ответ.
Пример 5.2 (3 балла)
Представлено верное решение «по частям» с промежуточными вычислениями.
Пример 5.3 (2 балла)
Решение верное, но в вычислениях допущена ошибка при переводе эВ в Дж, что привело к неверному ответу.
Пример 5.4 (2 балла)
Верно записаны формулы и представлены преобразования, но допущена ошибка при подстановке значения времени в формулу для энергии a-частиц, что привело к неверному ответу. Приравнивается к ошибкам в вычислениях и оценивается в 2 балла.
Пример 5.5 (1 балл)
В одной из исходных формул допущена ошибка (в формуле для энергии всех a-частиц, испускаемых за 1 час, не учтено время).
Рекомендации ФПК по оцениванию
Книга 2
Часть 1. Оценивание отдельных заданий
| Задание 1
|
Задание 2
|
Задание 3
|
Задание 4
|
| Работа 1
|
0
|
3
|
1
|
2
|
| Работа 2
|
2
|
1
|
1
|
3
|
| Работа 3
|
1
|
3
|
1
|
0
|
| Работа 4
|
3
|
1
|
3
|
2
|
| Работа 5
|
3
|
2
|
1
|
1
|
| Работа 6
|
0
|
1
|
0
|
1
|
| Работа 7
|
2
|
0
|
3
|
3
|
| Работа 8
|
2
|
3
|
0
|
3
|
Часть 2. Оценивание целых работ
| C1
|
C2
|
C3
|
C4
|
C5
|
С6
|
| Работа №1
|
1
|
3
|
3
|
1
|
2
|
1
|
| Работа №2
|
2
|
Х
|
3
|
Х
|
2
|
Х
|
| Работа №3
|
1
|
Х
|
0
|
2
|
1
|
Х
|
| Работа №4
|
0
|
0
|
3
|
2
|
1
|
1
|
| Работа №5
|
0
|
0
|
1
|
1
|
2
|
0
|
| Работа №6
|
1
|
1
|
2
|
3
|
2
|
Х
|
| Работа №7
|
2
|
0
|
3
|
1
|
2
|
1
|
| Работа №8
|
1
|
1
|
1
|
1
|
1
|
0
|
Книга 3
Материалы для проведения зачета
| C1
|
C2
|
C3
|
C4
|
C5
|
С6
|
| Работа №1
|
3
|
3
|
3
|
1
|
1
|
2
|
| Работа №2
|
1
|
0
|
0
|
1
|
3
|
3
|
| Работа №3
|
2
|
1
|
2
|
2
|
1
|
2
|
| Работа №4
|
Х
|
Х
|
1
|
2
|
Х
|
Х
|
| Работа №5
|
Х
|
0
|
0
|
1
|
Х
|
1
|
| Работа №6
|
1
|
0
|
1
|
1
|
3
|
2
|
| Работа №7
|
0
|
1
|
0
|
2
|
3
|
2
|
| Работа №8
|
0
|
0
|
1
|
3
|
0
|
3
|
| Работа №9
|
1
|
0
|
0
|
1
|
1
|
2
|
| Работа №10
|
1
|
0
|
1
|
1
|
0
|
1
|
|