| .
Изучение физики на базовом уровне в старшей школе направлено на достижение следующих целей:освоение системы знаний о современной физической картине мира, в основе которой лежат фундаментальные законы и принципы; ознакомление с наиболее важными открытиями в области физики, историей развития и становления физических идей; углубление представлений о физических методах познания природы для приобретения умений применять их в практической жизни, устанавливать достоверность фактов путем наблюдений, измерений и обработки полученных данных, выдвигать гипотезы и строить модели, объясняющие причины наблюдаемого явления; проверять гипотезы в эксперименте; овладение умениями применять полученные знания по физике для объяснения разнообразных физических явлений и свойств веществ; практического использования физических знаний в повседневной жизни; понимания роли и значения физики в развитии современных технологий, решении проблем энергетики, защиты окружающей среды; развитие познавательных интересов, интеллектуальных и творческих способностей в процессе: самостоятельного приобретения новых знаний по физике в соответствии с жизненными потребностями; использования современных информационных технологий для поиска ит переработки учебной и научно-популярной информации физического содержания; воспитание убежденности в познаваемости законов окружающего мира и возможности использования достижений физики на благо развития человеческой цивилизации; воспитание духа сотрудничества в процессе совместного выполнения задач, уважительного отношения к мнению оппонента при обсуждении проблем естественнонаучного содержания, стремления к достоверности предъявляемой информации и обоснованности высказываемой позиции, готовности к морально-этической оценке использования научных достижений, чувства ответственности за защиту окружающей среды; приобретение компетентности в использовании физических знаний и умений при решении жизненных проблем и практических задач, связанных со сбережением энергетических ресурсов, рациональным природоиспользованием, обеспечением безопасности жизнедеятельности человека и общества.
Забиваем Сайты В ТОП КУВАЛДОЙ - Уникальные возможности от SeoHammer
Каждая ссылка анализируется по трем пакетам оценки: SEO, Трафик и SMM.
SeoHammer делает продвижение сайта прозрачным и простым занятием.
Ссылки, вечные ссылки, статьи, упоминания, пресс-релизы - используйте по максимуму потенциал SeoHammer для продвижения вашего сайта.
Что умеет делать SeoHammer
— Продвижение в один клик, интеллектуальный подбор запросов, покупка самых лучших ссылок с высокой степенью качества у лучших бирж ссылок.
— Регулярная проверка качества ссылок по более чем 100 показателям и ежедневный пересчет показателей качества проекта.
— Все известные форматы ссылок: арендные ссылки, вечные ссылки, публикации (упоминания, мнения, отзывы, статьи, пресс-релизы).
— SeoHammer покажет, где рост или падение, а также запросы, на которые нужно обратить внимание.
SeoHammer еще предоставляет технологию Буст, она ускоряет продвижение в десятки раз,
а первые результаты появляются уже в течение первых 7 дней.
Зарегистрироваться и Начать продвижение
Реализация указанных целей и формирование названной компетентности достигается в результате освоения содержания физического образования, элементы которого перечислены в «Кодификаторе элементов содержания по физике для составления контрольно-измерительных материалов (КИМ) единого государственного экзамена», приведенном в сборнике (10, с.134-139). Задания КИМ составляются на данные элементы физических знаний.
Виды деятельности, освоенные учеником в школе, которые могут проверяться в заданиях ЕГЭ, перечислены в «Требованиях к уровню подготовки по физике выпускника средней школы» (12, с. 10-21).В рамках КИМ ЕГЭ 2002г. контролировались следующие виды деятельности:
1. Приводить примеры опытов, обосновывающих научные представления и законы, или примеры опытов, позволяющих проверить законы и их следствия.
2. Объяснять физические явления.
3. Делать выводы на основе экспериментальных данных, представленных таблицей, графиком, диаграммой, схемой и п.т. Проводить расчеты с использованием этих данных.
4. Применять законы физики для анализа процессов на качественном уровне.
5. Применять законы физики для анализа процессов на расчетном уровне.
6. Описывать преобразования энергии в физических явлениях и технических устройствах.
7. Иллюстрировать роль физики в создании и совершенствовании технических объектов.
8. Владеть понятиями и представлениями физики, связанными с жизнедеятельностью человека.
9. Указывать границы (область, условия) применимости научных моделей, законов, теорий.
10. Выдвигать гипотезы о связи физических величин.
Рассмотрим соотношение заданий в варианте ЕГЭ по разделам физики:
задания по механике составляют 34 % ; по МКТ и термодинамике – 28 % ; по электродинамике и оптике – 28 % ; по квантовой физике – 10 % . Из них: 10 % заданий проверяют умения методологического характера; 12 % – умение анализировать график; 18 % – проводить расчеты по графикам; 4 % – строить изображения предмета в линзе и зеркале; 12 % – описывать и объяснять физические явления; 40 % – прменять физические законы для анализа процессов и рассчитывать их результаты; 2 % – описывать преобразования энергии в технических устройствах; 2 % заданий проверяют знание экологических проблем, связанных с техническими применениями достижений физики.
Учителю необходимо готовить учащихся к ЕГЭ согласно тематическим блокам, представленным в пособии (10, с.17–81), обращая внимание на проверяемые виды деятельности в тесте (10, с.104–107).
Сервис онлайн-записи на собственном Telegram-боте
Попробуйте сервис онлайн-записи VisitTime на основе вашего собственного Telegram-бота:
— Разгрузит мастера, специалиста или компанию;
— Позволит гибко управлять расписанием и загрузкой;
— Разошлет оповещения о новых услугах или акциях;
— Позволит принять оплату на карту/кошелек/счет;
— Позволит записываться на групповые и персональные посещения;
— Поможет получить от клиента отзывы о визите к вам;
— Включает в себя сервис чаевых.
Для новых пользователей первый месяц бесплатно.
Зарегистрироваться в сервисе
Задание по одной и той же теме в тесте может быть представлено не только в словесной форме, но и с помощью графика, таблицы, схемы. Задание может быть качественное или расчетное. Особое внимание учителю следует уделить проверке усвоения школьниками методов научного познания, владению понятиями физики, связанными с жизнедеятельностью человека, пониманию роли физики в создании и совершенствовании современной техники.
Приведем пример статистики верных ответов участников ЕГЭ 2002г. наибольший процент верных ответов по теме «Кинематика» – 62,72 %; наименьший процент верных ответов – по темам «Магнитное поле. Электромагнитная индукция. Электромагнитные колебания. Идеи теории Максвелла» – 34,89 %; «Методы наблюдения и регистрации частиц в ядерной физике. Радиоактивность. Нуклонная модель ядра. Ядерные реакции. Элементарные частицы» – 34,38 %
В. А. Орлов (9) выделяет элементы знаний в заданиях ЕГЭ 2002г., которые вызвали затруднения у учащихся, например, такие как:
сонаправленность векторов силы и ускорения;
· понимание того, что ускорение вызывается силой;
· понимание векторного характера импульса и его изменения;
· умение применять закон сохранения энергии;
· понимание, что при неупругом столкновении закон сохранения механической энергии не выполняется и в этих случаях нужно применять закон сохранения импульса;
· умение выделять физические явления, лежащие в основе процесса, описанного в задании;
· умение понимать тексты с физическим содержанием и отвечать на вопросы по этим текстам, выделяя физические явления, лежащие в основе описанных процессов;
· понимание свойств насыщенного пара;
· понимание смысла КПД тепловой машины;
· понимание физического смысла понятий напряженности электрического поля, электроемкости;
· понимание смысла явления электромагнитной индукции;
· понимание идей Максвелла об излучении электромагнитных волн;
· знание границ применимости законов физики и др.
Учителю следует обратить внимание на традиционный задачник А. П. Рымкевича по физике в средней школе (Физика.Задачник.10–11кл.:Пособие для общеобразоват.учеб.заведений.– 5-е изд., перераб. М.:Дрофа, 2001. 192с.), в котором представлены не все виды деятельности, проверяемые тестами ЕГЭ.Например, задания на построение графиков, их анализ и расчет по графикам в тесте составляют 34% от всех заданий, а в задачнике аналогичные задания – 2,5% от всех задач; задания на умения воспроизводить и перерабатывать информацию в различных формах (графики, рисунки, таблицы, схемы, диаграммы) в тесте составляют примерно 50% , а в задачнике – 9,2%.
Тестовые задания отражают тенденции нового стандарта физического образования, соответствуют роли физики в системе общего образования школьников.
Рекомендуемая литература
Баканина Л. П. Сборник задач по физике: Учеб.пособие для угл. изуч. физики в 10–11-х кл. М.: Просвещение, 1999.
1. Единый государственный экзамен 2001: Тестовые задания: Физика / Е. К. Страут; И. И. Нурминский, Н. К. Гладышева и др.; М-во образования РФ. М.: Просвещение, 2001. 80 с.
2. Единый государственный экзамен. // Физика в школе, 2002. № 1.
3. Гельфгат И. М., Генденштейн Л. Э., Кирик Л. А. 1001 задача по физике с решениями. Х-М., 1998.
4. Гринченко Б. И. Как решать задачи по физике. Санкт-Петербург, 2000.
5. Кабардин О. Ф., Кабардина С. И., Орлов В. А. Контрольные и проверочные работы по физике. 7–11 кл.: Метод.пособие. М.: Дрофа, 1998. 192с.
6. Конкурс «Контрольно-измерительные материалы для единого государственного экзамена» // Физика, 2002. № 34.
7. Образец варианта единого государственного экзамена по физике 2002 г. // Физика, 2002. № 35.
8. Орлов В.А. Содержательный анализ результатов выполнения заданий ЕГЭ по физике 2002г. // Физика, 2002, № 37.
9. Орлов В. А., Ханнанов Н. К. Учебно-тренировочные материалы для полготовки к единому государственному экзамену. Физика. М.: Интеллект-Центр, 2002. 144с.
10. Оценка качества подготовки выпускников основной школы по физике / Сост. В. А. Коровин. М.: Дрофа, 2002. 64с.
11. Оценка качества подготовки выпускников средней (полной) школы по физике / Сост. В. А. Коровин, В. А. Орлов. М.: Дрофа, 2002. 192с.
12. Савченко Н. Е. Задачи по физике с анализом их решения. М.: Просвещение: Учеб. лит., 1996.
13. Сборник тестовых заданий для тематического и итогового контроля. Физика. 10 класс. М.: Интеллект-Центр, 2002.
14. Сборник тестовых заданий для тематического и итогового контроля. Физика 11 класс. М.: Интеллект-Центр, 2002.
15. Сборник задач по физике для 1011х классов общеобразовательных учреждений / Составитель Г. Н. Степанова. М.: Просвещение, 2000.
16. Сборник задач по физике для 1011х классов общеобразовательных учреждений. / Составитель А. Н. Малинин. М.: Просвещение, 2001.
17. Физика. Тесты 11класс. Варианты и ответы централизованного тестирования. М.: Центр тестирования МО РФ, 2001.
18. Интерактивные и демонстрационные тесты. www.Ege.ru/demoege.htmlЯнюшкина Галина Михайловна, зав. кафедрой теоретической физики и МПФ, кандидат педагогических наук, доцент КГПУ.




2005-2006
Анализ выполнения КИМов учащимися различных групп показывает, что при переходе от группы с оценкой «2» к группе с оценкой «3», а затем к группе с оценкой «4» наблюдается простое повышение процента выполнения заданий. Повышение оценки в пределах от «2» до «4» связано с усвоением всё большего объёма материала школьного курса физики. Группа выпускников, получивших оценку «4», хотя бы на простейшем уровне усвоили практически все предусмотренные образовательным стандартом вопросы физики. Выпускники, получившие оценку «5», отличаются от выпускников с оценкой «4» главным образом умением применять знания по физике при выполнении сложных заданий и анализе новых ситуаций. Именно эта группа успешно выполнила большинство заданий частей В и С.
Анализ результатов выполнения заданий с выбором ответа показал, что с целым рядом из них плохо справились даже выпускники, получившие оценку «5». Среди трудных даже для отличников заданий оказались и простые задания на проверку элементов знаний, изучение которых предусмотрено образовательным стандартом (так называемые задания базового уровня). Ниже перечислены элементы содержания, проверяемые этими заданиями:
– относительность скорости (для случая взаимно перпендикулярных скоростей);
– равенство нулю работы равнодействующей силы при равномерном движении тела;
– определение преобладающего вида теплопередачи в различных процессах;
– измерение влажности воздуха психрометром (изменение влажности, влияющее на разность показаний сухого и влажного термометров при постоянной температуре);
– преобразование энергии при изменении агрегатного состояния вещества (в частности, уменьшение потенциальной энергии взаимодействия молекул при конденсации вещества);
– определение изменения кинетической энергии заряженной частицы при её перемещении в электростатическом поле;
– равенство нулю напряжённости электростатического поля внутри заряженного металлического проводника;
– изменение амплитуды силы тока при резонансе в колебательном контуре;
– объяснение опыта по электромагнитной индукции (падение металлического кольца на постоянный магнит);
– проявление в повседневной жизни оптических явлений (дифракция, дисперсия);
– определение скорости частицы по заданным соотношениям между полной энергией и энергией покоя частицы;
– условия наблюдения фотоэффекта;
– определение энергии поглощаемых или испускаемых атомом фотонов по заданной схеме энергетических уровней атома.
На эти вопросы следует обратить особое внимание при изучении соответствующих тем и организации обобщающего повторения.
Рекомендации по подготовке учащихся к ЕГЭ
Подготовка учащихся к ЕГЭ может быть организована в различных формах в зависимости от вида образовательного учреждения или профиля класса. Для классов, в которых физика является профильным предметом и подавляющее число учащихся собирается сдавать ЕГЭ по этому предмету, изучение программного материала желательно закончить к четвёртой четверти, а затем провести обобщающее повторение и подготовку к экзамену в рамках существующего учебного времени. Для учащихся, которые изучают физику в общеобразовательных классах и изъявили желание попробовать свои силы в ЕГЭ, подготовка к экзамену может быть организована в рамках специального элективного курса.
При планировании подготовки к экзаменам следует обратить внимание на рекомендации по объёму материала по каждой теме в КИМах 2006 г. и в соответствии с этим распределять отведённое время. Для каждой из тем целесообразно выделить следующие этапы:
– повторение теоретического материала и тренировка в выполнении тестовых заданий;
– самостоятельное выполнение теста из заданий с выбором ответа по каждой из выделенных подтем (в механике – это кинематика, динамика, элементы статики и т.п.);
– решение типичных задач (с учётом рекомендаций по оформлению ответов заданий частей В и С);
– тренировочная контрольная работа по решению задач;
– обобщающее повторение всей темы с разбором основных ошибок;
– самостоятельное выполнение тренировочного тематического теста в формате ЕГЭ. (Например, 24 задания, из которых 18–22 с выбором ответа, 1–2 с кратким ответом и 2–3 с развёрнутым ответом).
Важной частью подготовки к ЕГЭ является выработка каждым выпускником собственной тактики выполнения экзаменационной работы в соответствии с поставленными целями и реальным уровнем его подготовки. При проведении репетиционных экзаменов каждый выпускник должен провести собственный хронометраж выполнения отдельных частей работы. На основании времени, затрачиваемого на решение заданий различной сложности и поставленных целей, выпускнику необходимо определить оптимальный для себя порядок и временные ограничения на выполнение заданий различных частей работы.
При выполнении экзаменационной работы не рекомендуется, например, пренебрегать заданиями базового уровня в первой части и сразу переходить к решению сложных задач третьей части, поскольку вопросы с выбором ответа обеспечивает почти 60% успеха выполнения варианта. Не стоит забывать о том, что каждая задача С1–С6 оценивается в 3 первичных балла, и даже при неполном решении или допущенной ошибке есть возможность получить за задание 1–2 балла. Поэтому, если решение задачи не выполняется до конца в силу недостатка времени или возникших трудностей, его всё равно желательно записать в бланк ответа. Задачи В1–В4 подчас очень похожи (по сложности и темам) на задания повышенного уровня первой части А25–А30. Поэтому желательно помочь учащимся научиться при просмотровом чтении сравнивать эти задания и выбирать для выполнения оптимальные для своего уровня подготовки и лимита времени.
В первой части экзаменационной работы представлены задания с выбором ответа, которые проверяют как знание широкого спектра элементов содержания, так и овладение выпускниками практически всеми обобщёнными умениями, указанными в спецификации 2006 г. При подготовке учащихся к выполнению этих заданий следует обратить внимание на все содержательные особенности каждого элемента знаний.
Например, если определяется знание какого-либо физического закона, то задания могут быть направлены на проверку следующих способов деятельности:
- Узнавать словесную формулировку физического закона и его математическое выражение. Различать графическую интерпретацию зависимости величин, входящих в закон.
Пример 1* (* Здесь и далее жирным шрифтом выделены правильные ответы. – Ред.)
Сила взаимодействия двух неподвижных точечных зарядов:
1) прямо пропорциональна произведению их зарядов и квадрату расстояния между ними;
2) прямо пропорциональна произведению их зарядов и обратно пропорциональна квадрату расстояния между ними;
3) прямо пропорциональна произведению их зарядов и обратно пропорциональна расстоянию между ними;
4) прямо пропорциональна квадрату расстояния между ними и обратно пропорциональна произведению их зарядов.
Пример 2
На каком графике приведена зависимость модуля силы взаимодействия F двух точечных зарядов от расстояния r между ними?
- Выделять причинно-следственные связи между величинами, входящими в закон.
Пример 3
При увеличении напряжения между обкладками конденсатора в 2 раза электроёмкость конденсатора:
1) не изменится; 2) увеличится в 2 раза; 3) уменьшится в 2 раза; 4) уменьшится в 4 раза.
- Применять закон для анализа процессов на качественном уровне.
Пример 4
В инерциальной системе отсчёта движутся два тела. Первому телу массой m сила F сообщает ускорение a. Чему равна масса второго тела, если вдвое меньшая сила сообщила ему в 4 раза большее ускорение?
1) 2m; 2) m/8; 3) m/2; 4) m.
Пример 5
В закрытом сосуде абсолютная температура идеального газа уменьшилась в 3 раза. При этом давление газа на стенки сосуда:
1) увеличилось в 9 раз; 2) уменьшилось в раз; 3) уменьшилось в 3 раза; 4) не изменилось.
- Применять закон для анализа процессов на расчётном уровне.
Пример 6

Брусок массой M = 300 г соединён с бруском массой m = 200 г невесомой и нерастяжимой нитью, перекинутой через невесомый блок. Чему равно ускорение бруска массой 300 г? Трением пренебречь.
1) 2 м/с2
; 2) 3 м/с2
; 3) 4 м/с2
; 4) 6 м/с2
.
Пример 7
Работа выхода для материала пластины равна 2 эВ. Пластина освещается монохроматическим светом. Какова энергия фотонов падающего света, если максимальная кинетическая энергия фотоэлектронов равна 1,5 эВ?
1) 0,5 эВ; 2) 1,5 эВ; 3) 2 эВ; 4) 3,5 эВ.
Пример 8
Участок проводника длиной 20 см находится в магнитном поле индукцией 50 мТл. Сила электрического тока, протекающего по проводнику, равна 15 А. Какое перемещение совершит проводник в направлении действия силы Ампера, если работа этой силы равна 0,0015 Дж? Проводник расположен перпендикулярно линиям магнитной индукции.
1) 0,0001 м; 2) 0,01 м; 3) 0,5 м; 4) 5 м.
- Использовать знание границ применимости закона для анализа физических процессов.
Пример 9
Формулу нельзя применить для расчёта притяжения:
1) двух железнодорожных составов, стоящих на соседних путях; 2) двух биллиардных шаров, лежащих на столе; 3) Земли и Луны; 4) человека и Луны.
К сожалению, имеющиеся учебники и стандартные задачники по физике не предлагают необходимого спектра методических приёмов, необходимых для освоения всех умений, проверяемых в рамках тестовых заданий ЕГЭ. Поэтому при подготовке учащихся к выполнению теста необходимо проанализировать литературу, освещающую результаты экзаменов прошлых лет, и как можно шире использовать в процессе преподавания контрольные работы в формате ЕГЭ.
При составлении тематических контрольных работ желательно обратить внимание на перечисленные ниже типы заданий, которые традиционно вызывают затруднения даже у сильных учащихся.
- При повторении законов и формул для расчёта различных физических величин следует обратить внимание на причинно-следственные связи между входящими в них величинами. Например, учащиеся должны понимать, что ёмкость конденсатора или сопротивление резистора (проводника) определяются геометрическими размерами и материалами и не зависят от заряда и напряжения между обкладками конденсатора (соответственно – силы тока и напряжения в цепи).
- Большой удельный вес в КИМах по физике имеют задания с использованием графиков. В стандартных задачниках они встречаются достаточно редко. Поэтому необходимо изучать графическую интерпретацию каждой формулы. В заданиях такого типа требуется, как правило, умение читать графики функций (находить значения по оси абсцисс или ординат, коэффициент пропорциональности для линейных функций и т.п.), соотносить символическую запись закона (формулы) с соответствующим графиком, преобразовывать графики из одной системы координат в другую и т.д.
Пример 10
На графике показана зависимость проекции импульса рх тележки от времени. Какой вид имеет график зависимости проекции силы Fх
, действующей на тележку, от времени?
Пример 11
На рисунке представлен график изменения со временем кинетической энергии ребёнка, качающегося на качелях. В момент, соответствующий точке А на графике, его потенциальная энергия, отсчитанная от положения равновесия качелей, равна:
1) 40 Дж; 2) 80 Дж; 3) 100 Дж; 4) 120 Дж.
Пример 12
На рисунке представлена зависимость координаты центра шара, подвешенного на пружине, от времени. Период колебаний равен:
1) 2 с; 2) 4 с; 3) 6 с; 4) 10 с.
Пример 13
На рисунке приведён график зависимости силы тока от времени в колебательном контуре. На каком из графиков правильно показан процесс изменения энергии магнитного поля катушки?

- Следующим типом заданий являются «качественные вопросы», в которых проверяется понимание экзаменующимися сути различных явлений. Они являются камнем преткновения как для слабых учеников, так и для сильных; в то же время их удельный вес в КИМах год от года растёт. При подготовке к экзаменам желательно, повторяя различные физические явления, обратить внимание на:
– узнавание явления, т.е. определение его названия по описанию физического процесса;
– определение условий протекания различных опытов, иллюстрирующих те или иные явления;
– примеры проявления различных явлений в природе и жизни и применения их в технике.
Пример 14
В трёх опытах на пути светового пучка ставились экраны – с малым отверстием, с тонкой нитью и с широкой щелью. Явление дифракции происходит:
1) только в опыте с малым отверстием в экране; 2) только в опыте с тонкой нитью; 3) только в опыте с широкой щелью в экране; 4) во всех трёх опытах.
Пример 15
Теплопередача всегда происходит от тела с:
1) большим запасом количества теплоты к телу с меньшим запасом количества теплоты;
2) большей теплоёмкостью к телу с меньшей теплоёмкостью;
3) большей температурой к телу с меньшей температурой;
4) большей теплопроводностью к телу с меньшей теплопроводностью.
Пример 16
Разложение белого света в спектр при прохождении через призму обусловлено:
1) интерференцией света; 2) отражением света; 3) дисперсией света; 4) дифракцией света.
Пример 17
На какой стадии полёта в космическом корабле, который становится на орбите спутником Земли, будет наблюдаться невесомость?
1) На стартовой позиции с включённым двигателем;
2) при выходе на орбиту с включённым двигателем;
3) при орбитальном полёте с выключенным двигателем;
4) при посадке с парашютом с выключенным двигателем.
Пример 18
При какой влажности воздуха человек легче переносит высокую температуру воздуха и почему?
1) при низкой, т.к. при этом высока скорость испарения пота;
2) при низкой, т.к. при этом мала скорость испарения пота;
3) при высокой, т.к. при этом высока скорость испарения пота;
4) при высокой, т.к. при этом мала скорость испарения пота.
- Экзаменационные варианты по физике включают большое количество иллюстративного материала. Различные задания с «картинками» используют, например, при проверке:
– правила левой руки, правила буравчика, правила Ленца и т.п.;
– принципа суперпозиции для сил в механике или для напряжённости электростатического поля;
– построения изображений в зеркалах, линзах, оптических приборах и т.п.;
– понимания схем электрических цепей и т.д.
Пример 19
На рисунке приведена демонстрация опыта по проверке правила Ленца. Опыт проводится со сплошным кольцом, а не разрезанным, потому что:
1) сплошное кольцо сделано из стали, а разрезанное – из алюминия;
2) в сплошном кольце не возникает вихревое электрическое поле, а в разрезанном – возникает;
3) в сплошном кольце возникает индукционный ток, а в разрезанном – нет;
4) в сплошном кольце возникает ЭДС индукции, а в разрезанном – нет.
Пример 20
Постоянный магнит вводят в замкнутое алюминиевое кольцо на тонком длинном подвесе. Первый раз – северным полюсом, второй раз – южным. При этом:
1) в обоих опытах кольцо отталкивается от магнита;
2) в обоих опытах кольцо притягивается к магниту;
3) в первом опыте кольцо отталкивается от магнита, во втором – кольцо притягивается к магниту;
4) в первом опыте кольцо притягивается к магниту, во втором – кольцо отталкивается от магнита.
Пример 21
32. В электрической цепи, изображённой на рисунке, ползунок реостата перемещают вправо. Как изменяются при этом показания идеальных вольтметра и амперметра?
1) Показания обоих приборов увеличиваются;
2) показания обоих приборов уменьшаются;
3) показания амперметра увеличиваются, вольтметра – уменьшаются;
4) показания амперметра уменьшаются, вольтметра – увеличиваются.
- Сложными для учащихся оказываются задания на границы применения основных законов и теорий. Хотя в методике преподавания физики указывается на необходимость изучения для каждого закона (или теории) границ применения, на практике этому вопросу уделяется недостаточно внимания. При подготовке к экзаменам целесообразно сделать отдельный тест только по заданиям такого типа в применении, по возможности, ко всем основным законам и теориям.
Образец вариантов из ЕГЭ 2006
· Плотность
· Керосина..................................................................................................... 800 кг/м3
· Парафина..................................................................................................... 900 кг/м3
· Удельные величины
· Теплоёмкость воды.................................................................... 4,2 .
103
Дж/(кг.
К)
· Теплоёмкость свинца......................................................................... 130 Дж/(кг.
К)
· Теплота парообразования воды......................................................... 2,3 .
106
Дж/кг
· Теплота плавления свинца................................................................. 2,5 .
104
Дж/кг
· Теплота плавления льда...................................................................... 3,3 .
105
Дж/кг
· Молярная маcса
· Воздух................................................................................................. 29 .
10–3
кг/моль
· Молибден........................................................................................... 96 .
10–3
кг/моль
· Энергия покоя
· Ядро гелия ........................................................................................ 3727,4 МэВ
· Ядро лития ......................................................................................... 5601,5 МэВ
· Ядро лития ......................................................................................... 6533,8 МэВ
· Ядро бериллия .................................................................................. 8392,8 МэВ
· Ядро бора ........................................................................................... 9324,4 МэВ
· Ядро кислорода ............................................................................... 15830,6 МэВ
ЗАДАЧИ
· А
5.
Четыре одинаковых листа фанеры толщиной L
каждый, связанные в стопку, плавают в воде так, что уровень воды соответствует границе между двумя средними листами. Если в стопку добавить ещё один такой же лист, то глубина погружения стопки листов увеличится на:
1) L
/4; 2) L
/3; 3)
L
/2; 4) L
.
· 
· А
8.
В жидкостях частицы совершают колебания возле положения равновесия, сталкиваясь с соседними частицами. Время от времени частица совершает «прыжок» к другому положению равновесия. Какое свойство жидкостей можно объяснить таким характером движения частиц?
1) малую сжимаемость; 2)
текучесть; 3) давление на дно сосуда; 4) изменение объёма при нагревании.
· А
9.
Лёд при температуре 0 °С внесли в тёплое помещение. Температура льда до того, как он растает:
1)
не изменится, т.к. вся энергия, получаемая льдом в это время, расходуется на разрушение кристаллической решётки;
2) не изменится, т.к. при плавлении лёд получает тепло от окружающей среды, а затем отдаёт его обратно;
3) повысится, т.к. лёд получает тепло от окружающей среды, значит, его внутренняя энергия растёт, и температура льда повышается;
4) понизится, т.к. при плавлении лёд отдаёт окружающей среде некоторое количество теплоты.
· А
24.
Реакция термоядерного синтеза идёт с выделением энергии, при этом: А)
сумма зарядов частиц-продуктов реакции точно равна сумме зарядов исходных ядер;
Б)
сумма масс частиц-продуктов реакции точно равна сумме масс исходных ядер. Верны ли эти утверждения?
1)
верно только А; 2) верно только Б; 3) верны и А, и Б; 4) не верны ни А, ни Б.
· А
25.
К подвижной вертикальной стенке приложили груз массой 10 кг. Коэффициент трения между грузом и стенкой равен 0,4. С каким минимальным ускорением надо передвигать стенку влево, чтобы груз не соскользнул вниз?
1) 4 .
10 –2
м/с2
; 2) 4 м/с2
; 3)
25 м/с2
; 4) 250 м/с2
.
· 
· А
26.
Пластилиновый шар массой 0,1 кг летит горизонтально со скоростью 1 м/с. Он налетает на неподвижную тележку массой 0,1 кг, прикреплённую к лёгкой пружине, и прилипает к тележке. Чему равна максимальная кинетическая энергия системы при её дальнейших колебаниях? Трением пренебречь. Удар считать мгновенным.
· 
1) 0,1 Дж; 2) 0,5 Дж; 3) 0,05 Дж; 4)
0,025 Дж.
· А
27.
Экспериментаторы закачивают воздух в стеклянный сосуд, одновременно охлаждая его. Температура воздуха в сосуде понизилась в 2 раза, а его давление возросло в 3 раза. Во сколько раз увеличилась масса воздуха в сосуде?
1) в 2 раза; 2) в 3 раза; 3) в 6 раз; 4) в 1,5 раза.
· А
28.
К источнику тока внутренним сопротивлением 0,5 Ом подключили реостат. На рисунке показан график зависимости силы тока в реостате от его сопротивления. Чему равна ЭДС источника тока?
· 
1) 12 В; 2) 6 В; 3) 4 В; 4) 2 В.
· А
29.
Последовательно соединены конденсатор, катушка индуктивности и резистор. Если при неизменной частоте и амплитуде напряжения на концах цепи увеличивать ёмкость конденсатора от 0 до , то амплитуда тока в цепи будет:
1) монотонно убывать; 2) монотонно возрастать; 3) сначала возрастать, затем убывать; 4) сначала убывать, затем возрастать.
· А
30.
Сколько - и -распадов должно произойти при радиоактивном распаде ядра урана и конечном превращении его в ядро свинца ?
1) 10 - и 10 -распадов; 2) 10 - и 8 -распадов; 3) 8 - и 10 -распадов; 4) 10 - и 9 -распадов.
· В
1.
Небольшой камень, брошенный с ровной горизонтальной поверхности земли под углом к горизонту, упал обратно на землю через 2 с в 20 м от места броска. Чему равна минимальная скорость камня за время полёта?
· В
2.
Для определения удельной теплоты плавления льда в сосуд с водой стали бросать кусочки тающего льда при непрерывном помешивании. Первоначально в сосуде находилось 300 г при температуре 20 °С. К моменту, когда лёд перестал таять, масса воды увеличилась на 84 г. Определите по данным опыта удельную теплоту плавления льда. Ответ выразите в единицах кДж/кг. Теплоёмкостью сосуда пренебречь.
· В
3.
При лечении электростатическим душем к электродам прикладывается разность потенциалов 105
В. Какой заряд проходит между электродами за время процедуры, если известно, что электрическое поле совершает при этом работу, равную 1800 Дж? Ответ выразите в единицах мКл.
· В
4.
Дифракционная решётка периодом 10–5
м расположена параллельно экрану на расстоянии 1,8 м от него. Какого порядка максимум в спектре будет наблюдаться на экране на расстоянии 21 см от центра дифракционной картины при освещении решётки нормально падающим параллельным пучком света длиной волны 580 нм? Считать sin tg .
Ответы. А
5
: 3; А
8
: 2; А
9
: 1; А
24
: 1; А
25
: 3; А
26
: 4; А
27
: 3; А
28
: 2; А
29
: 3; А
30
: 1.
В
1
:10; В
2
: 300;В
3
: 18; В
4:
2.
С
2.
1 моль идеального одноатомного газа сначала охладили, а затем нагрели до первоначальной температуры 300 К, увеличив объём газа в 3 раза. Какое количество теплоты отдал газ на участке 1–2
?

Вариант решения (рисунок не обязателен).
Первый закон термодинамики: U = Q + A
вн
. Учитывая, что на участке 1–2
процесс изохорный, работа внешних сил А
12
= 0. Следовательно, количество теплоты, отданное газом: Q
12
= – U
12
.
Формула расчёта изменения внутренней энергии:
U
12
=  R
(Т
2
– Т
1
).
Применив закон Гей-Люссака для состояний 2
и 3
: получим соотношение 
Проведя преобразования, получим формулу для расчёта количествa теплоты и числовое значение:
Q
12
= RТ
1
; Q
12
2,5 кДж.
С
3.
Ученик собрал электрическую цепь, состоящую из батарейки (1), реостата (2), ключа (3), амперметра (4) и вольтметра (5) (см. фотографии на с. 33 в № 5/05). После этого он измерил напряжение на полюсах источника тока и силу тока в цепи при двух положениях ползунка реостата. Определите КПД источника тока в первом опыте.
Вариант решения (рисунок не обязателен).
Значения напряжения и силы тока: U
1
= 3,2 В; I
1
= 0,5 А; U
2
= 2,6 В; I
2
= 1 А. Закон Ома для полной цепи: , или = U + Ir
.
Из уравнений для двух случаев: = U
1
+ I
1
r
; = U
2
+ I
2
r
– можно определить значение ЭДС:
= = 3,8 В.
Выражение для КПД источника тока в первом опыте:
.
100% 84%.
Примечание
. Отклонения в записанных показаниях приборов в пределах цены деления этих приборов не считаются ошибкой; соответственно могут различаться и числовые значения ответа.
С
4.
На экране с помощью тонкой линзы получено изображение предмета с пятикратным увеличением. Экран передвинули на 30 см вдоль главной оптической оси линзы. Затем при неизменном положении линзы передвинули предмет, чтобы изображение снова стало резким. В этом случае получилось изображение с трёхкратным увеличением. На каком расстоянии от линзы находилось изображение предмета в первом случае?
Вариант решения (рисунок не обязателен).
В первом случае для фокусного расстояния и увеличения можно записать следующие формулы: , где d
– расстояние от предмета до линзы, f –
расстояние от линзы до изображения, Г – увеличение. Следовательно, . После того как экран передвинули (придвинули к линзе, т.к. увеличение уменьшилось), для нового положения предмета и изображения можно записать: где f
1
= f
– f.
Следовательно, f
= = 90 см.
С
5.
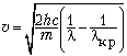
Какова максимальная скорость электронов, выбиваемых из металлической пластины светом длиной волны = 3 .
10–7
м, если красная граница фотоэффекта кр
= 540 нм?
Вариант решения (рисунок не обязателен).
Уравнение Эйнштейна для фотоэффекта: h
= = А
вых
+ . Формула, связывающая частоту и длину волны фотона: = . Для красной границы фотоэффекта справедливо соотношение Подставив эти выражения в уравнение Эйнштейна, для максимальной скорости фотоэлектронов получим:
;  800 км/с.
С
6.
Две параллельные неподвижные диэлектрические пластины расположены вертикально друг напротив друга и заряжены разноимённо. Пластины находятся на расстоянии d
= 2 см друг от друга. Напряжённость поля в пространстве между пластинами равнаЕ
= 4 .
105
В/м. Между пластинами на равном расстоянии от них помещён шарик зарядом q
= 10–10
Кл и массой m
= 20 мг. После того как шарик отпустили, он начинает падать и ударяется об одну из пластин. На какую высоту h
опустится шарик к моменту его удара об одну из пластин?
Вариант решения (рисунок не обязателен).
Выражение для ускорения заряда в электрическом поле: а
= . Связь между временем, пройденным путём и ускорением при движении под действием электрического поля (движение в горизонтальном направлении): t
2
= . Связь между временем, пройденным путём и ускорением при движении под действием силы тяготения (движение в вертикальном направлении): h
= .
Ответ в общем виде: h
= ; числовой ответ: h
= 0,05 м.
_____________________________________________
Демонстрационная версия ЕГЭ 2005 г. публиковалась в «Физике» № 5/05. Ниже приведены дополнения к таблице данных (по сравнению с таблицей 2005 г.), а также часть задач частиА
и задачи частей В
и С
.
При проведении расчётов в некоторых заданиях с выбором ответа и в заданиях с кратким ответом используются различные физические постоянные. В каждом бланке варианта на первой странице после «Инструкции по выполнению работы» приведён список всех необходимых постоянных и справочных данных (масса частиц, плотность и молярная масса веществ, массы атомов, энергия покоя различных ядер и т.п.). В тексте заданий эти значения не указываются. Предполагается, что экзаменующийся умеет пользоваться справочными таблицами. Все ответы к заданиям частей А или В вычислены с учётом именно этих справочных данных. Поэтому во избежание лишних арифметических трудностей и ошибок нужно обеспечить учащимся некоторую тренировку в использовании соответствующих справочных материалов.
- Кроме большого числа иллюстраций, различных схем и рисунков, используются задания по фотографиям реальных экспериментальных установок. Они включаются в первую или в третью части экзаменационной работы и основываются на предъявлении школьникам фотографий измерительных приборов, экспериментальных установок для измерения различных физических величин, опытов, демонстрирующих протекание физических явлений, и т.п. В заданиях с выбором ответа фотографии могут использоваться, например, при формулировке вопросов на узнавание какого-либо физического явления; на определение тех или иных свойств этих явлений; на применение тех или иных формул или законов и т.д. В третьей части — это расчётная задача на основе приведённой на фотографии экспериментальной установки и показаний измерительных приборов.
В отличие от схематичных рисунков, которые понятны всем и примерно одинаково выполняются в различных учебных пособиях, реальные фотографии могут вызывать у учащихся серьёзные затруднения, если при обучении экспериментальной части уделялось недостаточное внимание. При выполнении заданий по фотографиям учащиеся должны узнавать изображённые на фотографии измерительные приборы и оборудование и уметь снимать показания измерительных приборов (линейка, транспортир, динамометр, весы, мензурка, термометр, секундомер электронный, амперметр, вольтметр, манометр, барометр бытовой и др.).
В третью часть экзаменационной работы включаются задачи по всем разделам школьного курса физики. Как правило, одна из них многоходовая, но «привычная», т.е. в формулировке стандартных школьных задачников, другие же – уровня вступительных экзаменов в различные технические и физические вузы. Несмотря на одинаковый первичный балл за любую задачу части С, их уровень сложности имеет достаточно большой разброс. Причём распределение этих заданий по номерам соответствует их тематической принадлежности, а не возрастающему уровню сложности. Последней в варианте стоит комплексная задача, которая может быть по любой из тем школьного курса или сразу по нескольким разделам.
Задачи С1–С6 решаются в развёрнутом виде в привычном для школьников формате:
– запись условия задачи «Дано:» (хотя при проверке этой записи не требуется);
– выполнение рисунка, если это помогает при решении задачи;
– запись всех необходимых уравнений;
– решение полученной системы уравнений в общем виде (если только для задачи решение «по действиям» не является оптимальным);
– подстановка численных значений;
– получение ответа и запись его в виде числа с наименованием.
Выполнение «проверки по размерности» и записи каких-либо поясняющих комментариев в настоящее время не требуется.
Надеемся, что наши рекомендации помогут вам наилучшим образом подготовить учащихся к выполнению заданий ЕГЭ.
М.Ю.ДЕМИДОВА, В.А.ГРИБОВ, Г.Г.НИКИФОРОВ, ФПК ФИПИ, г. Москва
demidovaktv1@yandex.ru
Модель ЕГЭ по физике-2009
Проект. Демонстрационный вариант экзаменационных заданий
Часть 2
| В заданиях В1–В5 на установление соответствия: к каждой позиции первого столбца подберите соответствующую позицию второго и запишите
В ТАБЛИЦУ выбранные цифры под соответствующими буквами. Затем получившуюся последовательность цифр перенесите в бланк ответов № 1 без пробелов и других символов. (Цифры в ответе могут повторяться.)
|
B
1. Материальная точка движется с постоянной скоростью по окружности радиусом R. Как изменятся перечисленные в первом столбце физические величины, если скорость точки увеличится?
| Физические величины
|
Их изменение
|
| А. Угловая скорость
|
1: увеличится
|
| Б. Центростремительное ускорение
|
2: уменьшится
|
| В. Период обращения по окружности
|
3: не изменится
|
B
2. Установите соответствие между названием физической величины и формулой, по которой её можно определить.

B
3. Плоский воздушный конденсатор зарядили до некоторой разности потенциалов и отключили от источника тока. Как изменятся перечисленные в первом столбце физические величины, если пластины конденсатора раздвинуть на некоторое расстояние?
| Физические величины
|
Их изменение
|
| А. Заряд на обкладках конденсатора
|
1: увеличится
|
| Б. Электроёмкость конденсатора
|
2: уменьшится
|
| В. Энергия электрического поля конденсатора
|
3: не изменится
|
B
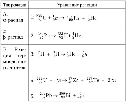
4. Установите соответствие между типом ядерной реакции и уравнением ядерной реакции.

В
5. Установите соответствие между телами Солнечной системы и их характеристиками.

Ответы: В
1. 112; В
2. 415; В
3. 321; В
4. 253; В
5. 432.
Часть 3
| Задания С
1–С
5 представляют собой задачи, полные решения которых необходимо записать в бланке ответов № 2. Рекомендуется провести предварительное решение на черновике. При оформлении решения в бланке ответов № 2 запишите сначала номер задания (С
1 и т.д.), а затем решение соответствующей задачи.
|
C
1. Следует записать развёрнутые ответы на оба задания (вопроса).
Проволочное кольцо окунули в мыльный раствор и расположили вертикально. При освещении мыльной плёнки красным монохроматическим светом в проходящем свете наблюдаются чередующиеся красные (светлые и тёмные) горизонтальные полосы. При освещении плёнки солнечным светом в проходящем свете наблюдаются горизонтальные цветные полосы.
1) Назовите наблюдаемое явление и объясните, при каком условии образуются в первом случае светлые красные полосы.
2) Объясните, почему во втором случае в красный цвет окрашены нижние части цветных полос.
| Полное правильное решение каждой из задач С
2–С
4 должно включать законы и формулы, применение которых необходимо и достаточно для решения задачи, а также математические преобразования, расчёты с численным ответом и, при необходимости, рисунок, поясняющий решение.
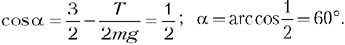
|
C
2. Нить маятника длиной l = 1 м, к которой подвешен груз массой m = 0,1 кг, отклонена на угол a от вертикального положения и отпущена. Сила натяжения нитиТ в момент прохождения маятником положения равновесия равна 2 Н. Чему равен угол ?
C
3. В цилиндре, закрытом подвижным поршнем, находится одноатомный газ, который может просачиваться сквозь зазор вокруг поршня. В опыте по изотермическому сжатию газа его объём уменьшился вдвое, а давление газа упало в 3 раза. Во сколько раз изменилась внутренняя энергия газа в цилиндре? (Газ считать идеальным.)
C
4. К однородному медному цилиндрическому проводнику на 15 с приложили разность потенциалов 1 В. Какова длина проводника, если его температура при этом повысилась на 10 К? Изменением сопротивления проводника и рассеянием тепла при его нагревании пренебречь. (Удельное сопротивление меди 1,7 • 10–8
Ом • м.)
| Полное правильное решение задачи С
5 должно включать комментарии, поясняющие выбор законов или формул, запись законов и формул, применение которых необходимо и достаточно для решения задачи, а также математические преобразования, расчёты с численным ответом и, при необходимости, рисунок, поясняющий решение.
|
C
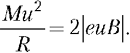
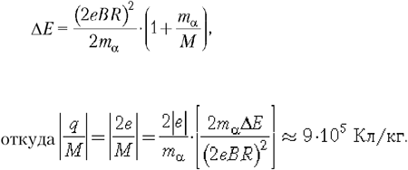
5. Ядро покоящегося нейтрального атома, находясь в однородном магнитном поле индукцией 0,50 Тл, испытывает aраспад. При этом рождаются частица и тяжёлый ион нового элемента. Трек тяжёлого иона находится в плоскости, перпендикулярной направлению магнитного поля. Начальная часть трека напоминает дугу окружности радиусом 78 см. Выделившаяся при распаде энергия 7,44 МэВ целиком переходит в кинетическую энергию продуктов реакции. Найдите модуль отношения заряда к массе для тяжёлого иона.
ИНСТРУКЦИИ ПО ПРОВЕРКЕ И ОЦЕНКЕ РАБОТ
Критерии оценки выполнения заданий с развёрнутым ответом
Решения заданий С
1–С
5 части 3 (с развёрнутым ответом) оцениваются экспертной комиссией. На основе критериев, представленных в приведённых ниже таблицах, за выполнение каждого задания в зависимости от полноты и правильности данного учащимся ответа выставляется от 0 до 4 баллов.
C
1. Образец возможного решения
| Элементы ответа:
1. Указано, что в опыте наблюдается явление интерференции света. Приведено объяснение образования интерференционного максимума: максимум образуется в тех местах плёнки, где разность хода волны, отражённой от двух поверхностей плёнки, и волны, прошедшей плёнку без отражений, достигает чётного числа полуволн. (Либо это объяснение приведено в виде рисунка и соответствующей формулы.)
2. Указано, что толщина плёнки увеличивается книзу. Поэтому условие интерференционного максимума в нижней части цветных полос будет выполняться для видимого света с максимальной длиной волны, т.е. красного.
|
| Критерии оценки выполнения задания
|
Баллы
|
| Приведены оба элемента правильного ответа
|
2
|
| Приведены оба элемента правильного ответа, но допущено не более одной ошибки,
ИЛИ
приведён только один элемент правильного ответа
|
1
|
| Приведён только один элемент правильного ответа, но в нём допущена ошибка
|
0
|
| Максимальный балл
|
2
|
C
2. Образец возможного решения
| На основании второго закона Ньютона ускорение, вызванное суммой действующих на груз сил тяжести и натяжения нити, при прохождении положения равновесия равно центростремительному ускорению: 
По закону сохранения механической энергии, для груза маятника (за начало отсчёта потенциальной энергии выбрано нижнее положение груза):

Ответ в общем виде и в численной форме:

|
| Критерии оценки выполнения задания
|
Баллы
|
| Приведено полное правильное решение, включающее следующие элементы:
1) верно записаны формулы, выражающие физические законы, применение которых необходимо для решения задачи выбранным способом (в данном решении – второй закон Ньютона, формула для центростремительного ускорения, закон сохранения механической энергии);
2) проведены необходимые математические преобразования и расчёты, приводящие к правильному числовому ответу, и представлен ответ. При этом допускается решение «по частям» (с промежуточными вычислениями).
|
3
|
| – Представлено правильное решение только в общем виде, без какихлибо числовых расчётов.
ИЛИ
– Правильно записаны необходимые формулы, записан правильный ответ, но не представлены преобразования, приводящие к ответу.
ИЛИ
– В математических преобразованиях или вычислениях допущена ошибка, которая привела к неверному ответу.
|
2
|
| – В решении содержится ошибка в необходимых математических преобразованиях и отсутствуют какиелибо числовые расчёты.
ИЛИ
– Записаны и использованы не все исходные формулы, необходимые для решения задачи, или в ОДНОЙ из них допущена ошибка.
|
1
|
| Все случаи решения, которые не соответствуют указанным выше критериям выставления оценок в 1, 2, 3 балла (использование неприменимого закона, отсутствие более одного исходного уравнения, разрозненные записи и т.п.).
|
0
|
C
3. Образец возможного решения
Внутренняя энергия одноатомного идеального газа пропорциональна его температуре и числу молей газа: U = (3/2) RT. Запишем уравнение Клапейрона–Менделеева: pV = RT (p – давление газа, V – объём сосуда, R – газовая постоянная, T – температура газа, – число молей газа). Из него видно, что произведение T пропорционально произведению pV. Значит, согласно условию задачи, внутренняя энергия газа (как и произведение pV) уменьшилась в 6 раз.
Ответ. U уменьшилась в 6 раз.
C
4. Образец возможного решения
Количество теплоты, согласно закону Джоуля–Ленца:
Q = (U2
/R) • t . (1)
Это количество теплоты затратится на нагревание проводника:
Q = cm T, (2)
где масса проводника
m = lS, (3)
S – площадь поперечного сечения проводника.
Сопротивление проводника:
R = ( эл
l)/S. (4)
Из (1)–(4), получаем: 
C
5. Образец возможного решения
| Ядро атома первоначально покоится, поэтому суммарный импульс продуктов реакции будет равен нулю. По условию задачи, суммарная кинетическая энергия продуктов реакции равна Е. Поэтому законы сохранения энергии и импульса для -распада ядра покоящегося нейтрального атома:

В магнитном поле под действием силы Лоренца ион начинает двигаться по дуге окружности. Уравнение движения тяжёлого иона с зарядом q = –2e в магнитном поле: 
|
| Решая систему трёх уравнений, получаем:

|
| Критерии оценки выполнения задания
|
Баллы
|
| Приведено полное правильное решение, включающее следующие элементы:
1) приведены комментарии к использованию законов сохранения энергии и импульса, движения частицы в магнитном поле, верно записаны формулы, выражающие физические законы, применение которых необходимо для решения задачи выбранным способом (в данном решении – законы сохранения энергии и импульса, второй закон Ньютона и формулы расчёта центростремительного ускорения и силы Лоренца);
2) проведены необходимые математические преобразования и расчёты, приводящие к правильному ответу, и представлен ответ.
|
4
|
| – Представлено правильное решение, но не приведены комментарии к использованию законов.
ИЛИ
– Представлено правильное решение только в общем виде, без какихлибо числовых расчётов.
|
3
|
| – Правильно записаны необходимые формулы, записан правильный ответ, но не представлены комментарии к использованию законов и преобразования, приводящие к ответу.
ИЛИ
– В математических преобразованиях или вычислениях допущена ошибка, которая привела к неверному ответу, и не представлены комментарии к использованию законов.
|
2
|
| – В решении содержится ошибка в необходимых математических преобразованиях, отсутствуют комментарии к использованию законов и какиелибо числовые расчёты.
ИЛИ
– Записаны и использованы не все исходные формулы, необходимые для решения задачи, или в ОДНОЙ из них допущена ошибка.
|
1
|
| Все случаи решения, которые не соответствуют указанным выше критериям выставления оценок в 1, 2, 3 балла (использование неприменимого закона, отсутствие более одного исходного уравнения, разрозненные записи и т.п.).
|
0
|
|