| Содержание
Введение…………………………………………………………………………...3
1. Теоретико-методологические аспекты стратегического планирования
банка……………………………………………………………………………….8
1.1. Сущность стратегического планирования банка……………………8
1.2. Этапы и характеристика стратегического планирования банка…..13
1.3. Методология стратегического планирования банка……………….24
2. Анализ стратегического планирования ЗАО КБ ПриватБанк……………...45
2.1. Досье ЗАО КБ ПриватБанк…………………………………………..45
2.2. Анализ основных показателей финансовой деятельности ЗАО КБ ПриватБанк……………………………………………………………………….50
2.3. Оценка стратегического планирования ЗАО КБ ПриватБанк …...64
3. Разработка системы стратегического планирования деятельности ЗАО КБ Приватбанк на основе банковского маркетинга……………………..72
3.1 Основные положения маркетинговых стратегий коммерческих банков……………………………………………………………72
3.2 Создание внешней и внутренней инфраструктуры банка с целью реализации маркетинговой стратегии ЗАО КБ ПриватБанк………….91
3.3 Формирование маркетинговой политики с целью реализации генеральной стратегии ЗАО КБ ПриватБанк…………………………………..95
3.4 Регрессионно – кореляционное моделирование основных стратегических показателей ЗАО КБ ПриватБанк…………………………….96
Заключение……………………………………………………………………...108
Список литературы……………………………………………………………..113
Приложения…………………………………………………………………….117
Введение
Актуальность дипломного исследования определяется объективной необходимостью научного анализа и методологического обоснования принципов, форм и методов стратегического планирования в деятельности коммерческого банка в условиях динамичного развития рыночной экономики. Поскольку роль и сущность деятельности коммерческих банков значительна в условиях развития экономики Украины, то важна эффективная деятельность коммерческих банков, которая во многом будет зависеть от того, как организовано стратегическое управление и планирование внутри банков. В настоящее время коммерческие банки в большей степени озабочены оперативными аспектами деятельности, нежели стратегическим планированием. Особенно это проблема касается коммерческих банков Украины, которым приходится конкурировать на рынке банковских услуг как с крупными банками монополистами, так и банками с государственным или иностранным участием в условиях трансформации рыночной экономики. Поэтому в современных условиях организация работы коммерческих банков требует увеличения объема использования четкого и слаженного стратегического планирования. Повышение требований связано с рядом следующих особенностей рыночной конъюнктуры финансовых рынков:
Забиваем Сайты В ТОП КУВАЛДОЙ - Уникальные возможности от SeoHammer
Каждая ссылка анализируется по трем пакетам оценки: SEO, Трафик и SMM.
SeoHammer делает продвижение сайта прозрачным и простым занятием.
Ссылки, вечные ссылки, статьи, упоминания, пресс-релизы - используйте по максимуму потенциал SeoHammer для продвижения вашего сайта.
Что умеет делать SeoHammer
— Продвижение в один клик, интеллектуальный подбор запросов, покупка самых лучших ссылок с высокой степенью качества у лучших бирж ссылок.
— Регулярная проверка качества ссылок по более чем 100 показателям и ежедневный пересчет показателей качества проекта.
— Все известные форматы ссылок: арендные ссылки, вечные ссылки, публикации (упоминания, мнения, отзывы, статьи, пресс-релизы).
— SeoHammer покажет, где рост или падение, а также запросы, на которые нужно обратить внимание.
SeoHammer еще предоставляет технологию Буст, она ускоряет продвижение в десятки раз,
а первые результаты появляются уже в течение первых 7 дней.
Зарегистрироваться и Начать продвижение
- сильной конкуренцией в условиях нестабильного финансового рынка;
- высокой динамикой развития банковских технологий;
- сменой приоритетов в формировании рынка банковских услуг;
- изменениями тенденций в законодательстве и необходимостью следования им.
Современные тенденции развития банковской системы Украины сопровождаются с одной стороны наращиванием ликвидности, надежности банков, а с другой характеризуется замедлением динамики роста и невысоким уровнем прибыльности, что ограничивает не только инвестиционную привлекательность рынка банковских услуг, но и дальнейшую капитализацию банковской системы. Банковская конкуренция вышла на международный уровень, появились новые финансовые рынки, которые изменили характер финансирования, банки, стали диверсифицировать свою продукцию и услуги. Применение компьютерной техники ужесточило конкуренцию в связи с неравными возможностями разных банков по ее использованию. Такие явления характерны для многих финансовых рынков мира. Необходимость стратегического планирования в настоящее время признается большинством банков мира, поскольку оно для них стало одним из важнейших факторов успеха. Меры по финансовой либерализации, проводимые в настоящее время в большинстве стран, в том числе и в Украине, укрепляют эти тенденции, в связи, с чем банкам целесообразно разрабатывать стратегические планы для достижения их конкурентных преимуществ. Появление обобщающих стратегических моделей планирования, адаптированных для банков Украины, рассчитано на удовлетворение сложившегося спроса. От степени внедрения и использования в практике стратегического планирования будет зависеть эффективность работы коммерческих банков и банковской системы в целом в современных условиях. Анализ сложившихся тенденций в настоящее время на банковском Украины рынке показал, что конкурентной проверке подвергаются не столько банковские продукты и услуги, сколько механизмы планирования, информационно-аналитического обеспечения деятельности банков, способности их руководителей принимать верные управленческие решения на основе имеющейся информации в динамично изменяющихся условиях, в том числе риска и неопределенности. Таким образом, все вышеперечисленное еще раз подтверждает актуальность исследования данной темы и её практическую значимость применительно к коммерческому банку Украины. В современной отечественной науке пока еще существует недостаточно исследований по проблемам стратегического планирования в деятельности коммерческих банков. В связи с этим, данную проблематику можно с полным основанием отнести к числу наиболее актуальных.
Сервис онлайн-записи на собственном Telegram-боте
Попробуйте сервис онлайн-записи VisitTime на основе вашего собственного Telegram-бота:
— Разгрузит мастера, специалиста или компанию;
— Позволит гибко управлять расписанием и загрузкой;
— Разошлет оповещения о новых услугах или акциях;
— Позволит принять оплату на карту/кошелек/счет;
— Позволит записываться на групповые и персональные посещения;
— Поможет получить от клиента отзывы о визите к вам;
— Включает в себя сервис чаевых.
Для новых пользователей первый месяц бесплатно.
Зарегистрироваться в сервисе
Исследованию теоретических и методологических аспектов стратегического планирования было посвящено значительное количество научных работ за рубежом. Различные аспекты исследуемой проблемы освещены в работах зарубежных ученых: И. Ансофф, Н. Бакстер, Т. Бэррелл, X. Виссема, С. Гхошал, Х.У. Дериг, П. Друкер, Ф. Котлер, Дж. Куинн., П. Лоранж, МакКинзи, Д. Мак-Нотон, М. Мескон, Г. Минцберг, П. Роуз, Дж. Ф. Синки, Д. Хасси и другие. В отечественной науке пока недостаточно исследований, посвященных теории и методологии стратегического планирования в банке, что связано, прежде всего, с ограниченностью накопленного опыта и динамичным развитием интеграционных процессов, когда теория не успевает за развитием практики в разработке данной проблематики. Вместе с тем следует отметить вклад в развитие теории банковского дела, в том числе стратегического планирования, таких ученых как: Д.А. Батенко, Н.Е. Егоровой, Н.А. Кравченко, С.А. Камионского, А.Г. Куликова, О.И. Лаврушина, Д.А. Лаптырева, Ю.С. Масленченкова, В.Д. Мехрякова, А.С. Маршаловой, В.И. Митрафанова, М.А. Помориной, A.M. Смулова, A.M. Тавасиева. Зарубежный опыт очень важен, поскольку развитые западные страны накопили огромный опыт по управлению деятельностью коммерческими банками. Многое из этого опыта может быть с успехом использовано в Украине при построении эффективной системы управления процессами становления и развития коммерческих банков, тем более что в настоящее время во многих странах сложилась схожая по общим принципам модель банковского регулирования. Современные тенденции функционирования коммерческих банков свидетельствуют о необходимости решения проблем эффективного использования стратегического планирования как важного инструмента организации и совершенствования использования банковских ресурсов для решения поставленных задач.
Цель дипломного исследования заключается в совершенствовании подходов и методов при организации процесса стратегического планирования в коммерческом банке в условиях динамичного развития рынка банковских услуг. Достижение поставленной цели потребовало решения ряда задач, основными из которых являются:
- проанализировать теоретические подходы к стратегическому планированию и определить его особенности применительно к банковской деятельности, выделить основные этапы процесса формирования стратегического планирования и обосновать необходимость стратегического планирования деятельности банка;
- провести анализ современных тенденций развития деятельности банков, влияющих на процесс формирования стратегического планирования в деятельности украинских банков;
- провести анализ стратегического планирования ЗАО КБ ПриватБанк;
- разработать систему стратегического планирования деятельности банка на основе банковского маркетинга.
Объектом исследования является коммерческий банк Приватбанк.
Предметом исследования выступает совокупность социально-экономических отношений, возникающих в процессе формирования и реализации стратегического планирования деятельности коммерческих банков в современных условиях динамичного развития экономики.
Научная новизна дипломной работы заключается в конструктивно новых принципах и методах построения системы стратегического планирования в коммерческих банках.
Практическая значимость обуславливается построением экономико – математической модели на основе корреляционно – регрессионно анализа, данные исследования будут являться ключевыми исходными элементами при составлении банковской стратегии.
Теоретической и методологической базой исследования являются достижения зарубежных и отечественных специалистов в области стратегического планирования, которые раскрывают принципы, закономерности и инструменты стратегического планирования в банковской деятельности, программы, концепции по стратегическому развитию банковской системы и банков в частности. В ходе исследования использовались общенаучные методы познания, системный подход определения и выбора теории стратегий, стратегических процессов, а также метод экспертных оценок, метод сопоставления и сравнительного анализа, система сбалансированных показателей эффективности.
В дипломной работе использовалась нормативно - законодательная база банковской системы Украины. Информационной базой послужили публикации в периодической печати, научные статьи, статистические материалы, монографии, публикации конференций и семинаров.
1 Теоретико - методологические аспекты стратегического планирования
Банка
1.1 Сущность стратегического планирования банка
Для покупки или заказа полной версии работы перейдите по
ссылке.
Стратегический план придает банку определенность, индивидуальность, что позволяет ему привлекать определенные типы работников, и, в то же время, не привлекать работников других типов. Наконец, стратегические планы должны быть разработаны так, чтобы не только оставаться целостными в течение длительных периодов времени, но и быть достаточно гибкими, чтобы при необходимости можно было осуществить их модификацию и переориентацию. Общий стратегический план следует рассматривать как программу, которая направляет деятельность банка в течение продолжительного периода времени, давая себе отчет о том, что конфликтная и постоянно меняющаяся деловая и социальная обстановка делает постоянные корректировки неизбежными.
Стратегическое планирование в банках применимо к любой проблеме, которая: связана с глобальными целями банка, ориентирована на будущее, затрагивает внешние факторы, влияющие на результаты деятельности банка.
Решение, направленное на снижение затрат в подразделениях не является объектом стратегического планирования, потому что оно, как правило, не связано с глобальной целью банка непосредственно. В этом случае речь идет скорее об экономичности (способе преобразования ресурсов в результаты деятельности), а не об эффективности (степени соответствия результатов целям организации). Стратегическое же планирование имеет дело в основном с эффективностью (взаимосвязью между результатами и целями).
Таким образом, решения, относящиеся к новым видам услуг (а именно: какую услугу осваивать и когда), как правило, носят стратегический характер. Но более частные вопросы, связанные с выпуском новой услуги (например, сколько расходовать на рекламу), обычно не относят к числу стратегических планов.
Решение, относящееся к какому - либо элементу банка является ориентированным на будущее, если данный элемент в настоящее время не существует в полном объеме. Если планируется новый вид услуг и они важны для достижения целей банка, то речь идет о стратегическом планировании. Решения, затрагивающие текущий ассортимент и существующие рынки, как правило, не являются стратегическими по своей природе, хотя важные изменения в текущей деятельности, например рассмотрение вопроса о снятии какой - либо услуги, часто носят стратегический характер.
Аналогичным образом решение о найме конкретного работника, не является стратегическим (хотя при найме руководителя самого высокого ранга или специалиста самой высокой квалификации, способных помочь организации достичь ее глобальных целей, такое решение может быть стратегическим).
Стратегическое планирование затрагивает проблемы, которые испытывают серьезное воздействие многочисленных внешних факторов. Следовательно, прежде чем приступить к вопросу о будущих стратегических целях или направлениях, необходимо уяснить, какие социальные, экономические, научно-технические, юридические и политические факторы влияют на будущее банка. В противном случае можно выбрать стратегию, которая окажется ошибочной, если на банк влияют такие факторы как экономический спад или изменения в расстановке политических сил.
1.2 Этапы и характеристика стратегического планирования банка
Для покупки или заказа полной версии работы перейдите по
ссылке.
Под внешним анализом понимается исследование состояния и динамики изменения внешних по отношению к банку условий и факторов, воздействующих в настоящие время или в будущем на банк, влияющих на его состояние, продаваемые продукты, оказываемые услуги на его клиентов, информационные системы, организацию работы, персонал.
Под внутренним анализом понимается исследование состояния и динамики развития непосредственно банка – вида, объема и структуры продуктов и услуг, объема, структуры и характеристик клиентской базы и их изменений во времени, развитие технологий (бизнес-процессов) банка, совершенствование деятельности персонала, совершенствование управления банком, инновации, перспективные проекты, техническая оснащенность банка.
Основной задачей анализа является определение возможностей и угроз, исходящих от внешнего окружения банка, а также сильных и слабых сторон банка, позволяющих в целом определить ключевые факторы успеха и ключевые компетенции банка, способствующие разработке более обоснованной стратегии банка.
Для выбора направления движения банка, формирования его целей используется SWOT-анализ (Strengths – силы, Weakness – слабости, Opportunities – возможности, Threats – угрозы). Проведение первичного стратегического анализа проводится с помощью матрицы – инструмента структурного описания стратегических характеристик среды и банка. Методология построения матрицы первичного стратегического анализа заключается в том, что сначала весь мир делится на две части – внешнюю среду и внутреннюю (банк), а затем события в каждой из этих частей – на благоприятные и неблагоприятные.
Для заполнения матрицы SWOT-анализа могут использоваться следующие характеристики, полученные на основе внешнего и внутреннего стратегического анализа[1]
.
Strengths – конкурентные преимущества банка:
- высокопрофессиональная система управления банком;
- надежность банка;
- низкая стоимость услуг;
- концентрация на определенных продуктах и услугах;
- опыт привлечения и удержания клиентов;
- индивидуальное обслуживание клиентов;
- доступ к длинным денежным ресурсам;
- передовые информационные технологии;
- динамическое реагирование на рыночные изменения;
- профессиональный персонал;
- высокое качество обслуживания;
- известность торговой марки;
- удачное месторасположение;
- эффективная связь с местными органами власти и т.д. Weakness – слабые стороны банка:
- не располагает профессиональной системой управления;
- не руководствуется потребностями клиентов;
- не понимает, какие клиенты для него целевые;
- не отслеживает конкурентов;
- не осуществляет инноваций бизнеса;
- не выделяет и не совершенствует бизнес-процессы;
- предпринимает недостаточные усилия по бренду;
- не проводит маркетинговых исследований;
- не использует новые технологии;
- не обучает персонал;
- не выявляет и не прогнозирует риски и т.д.
Opportunities – ключевые факторы успеха (благоприятные обстоятельства, использование которых создаст преимущество банку):
- улучшение инвестиционного климата в стране;
- снижение инфляции;
- укрепление курса гривны по отношению к доллару;
- ухудшение позиций конкурентов;
- распространение электронных платежей;
- недостаточно освоенные виды обслуживания (ипотечное кредитование, интернет-бэнкинг);
- резкий рост спроса на отдельные виды банковских продуктов и услуг;
- рост уровня доходов населения и т.д. Threats – факторы, которые могут потенциально ухудшить положение
вашего банка на рынке:
- недостаток капитала;
- ограниченная ресурсная база;
- нехватка качественных заемщиков;
- сложность возврата просроченных кредитов;
- отсутствие реальных альтернатив кредитованию;
- выход на рынок новых конкурентов;
- рост налогов;
- изменение предпочтений клиентов.
Следующим шагом является сопоставление сильных и слабых сторон
банка с рыночными возможностями и угрозами. Для этого попарно сравниваются каждый ключевой фактор успеха с каждым конкурентным преимуществом.
Это позволяет определить:
- как воспользоваться открывающими возможностями (ключевыми факторами успеха), используя конкурентные преимущества банка;
- как ключевые факторы успеха могут нейтрализовать недостатки банка.
Затем попарно сравниваются угрозы из внешней среды с конкурентными преимуществами банка и его слабыми сторонами с целью определить:
- как внешние угрозы могут быть нейтрализованы конкурентными пре имуществами банка;
- каких внешних угроз, усугубленных недостатками банка, нужно больше всего опасаться и какие меры предпринять для их нейтрализации или смягчения возможных последствий.
Для покупки или заказа полной версии работы перейдите по
ссылке.
Заметим, что анализ производится во временной перспективе, чтобы обеспечить сопряженность долгосрочных и текущих задач при разработке бюджета развития. По каждому спектру анализа используется свой методологический инструментарий.
Структура активов и пассивов коммерческого банка должна быть такова, что доход по размещению активов должен превышать процент по привлечению на величину операционных издержек и нормальной нормы прибыльности. Таким образом, необходимый уровень прибыльности достигается путем максимизации маржи между процентом по размещению и процентом по привлечению (за вычетом также операционных расходов и резерва по сомнительным долгам). При этом, как правило, приемлемый эффективный уровень маржи (за вычетом операционных издержек) должен обеспечивать прибыль на собственные средства не ниже определенного целевого уровня (как правило, это - некоторый нормальный уровень доходности по отрасли).
При операциях по размещению и привлечению факторы риска и сроков погашения влияют на уровень процента (чем выше риск и срок погашения, тем, как правило, выше процент). Поэтому при первичном анализе прибыльности операций рассматривается ряд комбинаций “активы-пассивы”, равновесных с точки зрения рынка, как совокупность всех трех факторов (процента, риска и сроков погашения). Фактически рассматриваются все возможные направления размещения и каналы привлечения, существующие на данный момент на рынке. Из них выбираются те варианты, которые являются приемлемыми с точки зрения целевой нормы отдачи на собственные средства, “закладываемой” в операции банка.
Для украинских банков в условиях финансового кризиса проведение анализа эффективности чрезвычайно важно, хотя бы по той простой причине, что резко сократились возможности получения баснословной спекулятивной прибыли по операциям ГКО, перекредитованию (банковскому арбитражу) за счет привлечения средств западных банков и т.п. Печально, но практика регулярного проведения анализа прибыльности среди банковских организаций Украины встречается крайне редко. В лучшем случае проводится сравнение прямых издержек по привлечению и дохода по размещению по отдельным видам деятельности. Проведение анализа прибыльности требует не только знания соответствующей методологии, а значит и качества банковских специалистов, но и соответствующей эффективной системы управленческого учета. Так, должна быть внедрена система учета операционных издержек по видам деятельности (так называемый activity based costing). В приведенном нами примере факт того, что привлечение ресурсов под программу жилищного кредитования влечет за собой дополнительные операционные издержки на определенную сумму, устанавливается как раз при наличии эффективной и детализированной системы управленческого учета. К слову сказать, в большинстве банков Украины до сих пор применяется допотопный «котловой» метод учета операционных издержек, когда все внутренние расходы банка сваливаются в одну кучу, и, в лучшем случае, производится их учет по подразделениям.
Риск ликвидности. Под ликвидностью, как известно, понимается способность организации удовлетворять все текущие требования на выдачу денежных средств. Таким образом, анализ риска ликвидности вскрывает возможность ситуации, когда текущих (оборотных) средств банка не хватает для погашения срочных (текущих) требований поставщиков его финансовых ресурсов. Это классическая ситуация банков Украины после 17 августа - большинство банкротств «системообразующих» банковских организаций произошло по причине недостаточной ликвидности, которую они не смогли предвидеть. Напомним, что анализ производится во временной перспективе. Это значит, что анализу подвергается как текущая ликвидность банка , так и будущее состояние его ликвидности через месяц, квартал, год . Грамотно и регулярно проводимый анализ ликвидности позволяет заблаговременно вскрыть негативные тенденции ухудшения финансового состояния банковской организации и, следовательно, разработать комплекс превентивных управленческих мер по улучшению финансовой стабильности.
Анализ ликвидности баланса банка может производиться двумя основными способами: методом коэффициентов и методом финансовых потоков.
Первый метод основан на использовании ряда репрезентативных коэффициентов сводной финансовой отчетности банка (баланс, отчет о финансовых результатах). Каждый коэффициент имеет нормативную величину, которая, к слову сказать, чаще всего выбирается самим банком, исходя из постулируемой им стратегии развития. Выход фактического значения коэффициента за пределы нормативного является признаком недопустимого ухудшения его ликвидности. Чаще всего используются следующие репрезентативные коэффициенты:
· доля кредитов в совокупных активах;
· доля кредитов в привлеченных средствах;
· доля обязательств в пассивах;
· доля краткосрочных инвестиционных ценных бумаг (со сроком погашения до 1 года) в совокупных активах;
· доля денежных средств и государственных ценных бумаг за вычетом резервных требований в совокупных активах.
Высокая доля кредитов и привлеченных средств рассматриваются как признак невысокой ликвидности, в то время как высокая доля денежных средств, государственных ценных бумаг и краткосрочных ценных бумаг (до 1 года) - как признак высокой ликвидности. Основной недостаток метода коэффициентов заключается в том, что он не дает способа управлять ликвидностью в динамике: коэффициенты - это не более, чем индикаторы возможных расходов или ресурсов при неожиданных “оттоках” денежных средств. Более трудоемкий, но качественный подход - подход с точки зрения “потоков наличности” (финансовых потоков).
В контексте финансовых потоков банка ликвидные резервы - это резервуар, который перекрывает временные несоответствия финансовых поступлений и расходов. Анализ ликвидности в разрезе финансовых потоков называется гэп-анализом (gap analysis) ликвидности - т.е. анализ “отрыва” ликвидных активов от ликвидных обязательств. Гэп для определенного срока погашения - разница между величиной активов к погашению и величиной обязательств к погашению. Фактически величина гэпа за период будет означать изменение уровня финансовых резервов за этот период. Пример приведен в таблице 1.1.
Таблица 1.1 Пример ГЭП - анализа ликвидности банка
| Срок погашения
|
Активы
|
Обязательства
|
ГЭП
|
Накопленный ГЭП
|
| * однодневные
|
10
|
20
|
(10)
|
(10)
|
| * 1-30 дней
|
15
|
20
|
(5)
|
(15)
|
| * 31-90 дней
|
20
|
25
|
(5)
|
(20)
|
| *90-180 дней
|
20
|
15
|
5
|
(15)
|
| *180-365 дн.
|
10
|
10
|
0
|
(15)
|
| * 1-5 лет
|
15
|
5
|
10
|
(5)
|
| *> 5 лет (включая собственные средства)
|
10
|
5
|
5
|
0
|
Кумулятивный (накопленный) гэп всегда выходит в 0 вследствие балансового равенства, однако целью банка является добиться приемлемого уровня гэпа на всех сроках погашения (то есть на всех стадиях разрабатываемого бюджета развития, включая, естественно, текущее состояние).
Риск процентных ставок. Риск процентных ставок возникает вследствие постоянных изменений конъюнктуры на рынке капитала. В этом случае возможна такая ситуация, когда банк будет вынужден финансировать долгосрочные кредитные проекты по ставке привлечения большей, нежели процент по кредитному договору, то есть себе в убыток. Банки всегда принимают на себя определенный риск процентных ставок. Другое дело, что уровень этого риска должен быть обоснованным, а для этого необходимо использование соответствующего методологического инструментария. Существует несколько способов для измерения величины риска процентных ставок. Чувствительность банковской прибыли к изменениям процентных ставок может быть измерена путем проведения анализа “отрыва” по процентным ставкам (interest rate gap analysis) - не путать с гэп-анализом ликвидности. При использовании этого метода рассчитывается величина чувствительных к изменению процентной ставки активов, которые финансируются за счет чувствительных к изменению процентной ставки обязательств. Эта величина должна возрастать, когда ожидается возрастание процентной ставки и сокращаться при ожидаемом падении процентной ставки.
Для покупки или заказа полной версии работы перейдите по
ссылке.
Национальная сеть банковского обслуживания ПриватБанка, включающая в себя 2 325 филиалов и отделений по всей Украине, позволяет любому клиенту получить самый высокий уровень обслуживания практически в любой точке страны. Широкий круг зарубежных партнеров ПриватБанка не только демонстрирует его признание в качестве полноправного участника мировой банковской системы, но и, самое главное, позволяет наиболее широко удовлетворять потребности клиентов банка, связанные с их международной деятельностью. ПриватБанк поддерживает корреспондентские отношения с крупнейшими иностранными банками, эффективно сотрудничая с ними на различных сегментах финансового рынка. ПриватБанк является уполномоченным банком по обслуживанию кредитных линий Мирового банка реконструкции и развития (МБРР), Европейского банка реконструкции и развития (ЕБРР) и Украинско-Немецкого Фонда, направленных на развитие малого и среднего бизнеса. ПриватБанк единственный из украинских банков имеет зарубежный филиал на Кипре, также банк активно развивает систему современных финансовых услуг в Украины и Латвии через свои дочерние банки "Москомприватбанк" и Paritate Banka.
ПриватБанк - лидер в сфере внедрения передовых банковских услуг ПриватБанк является признанным лидером отечественного рынка платежных карт. На сегодняшний день банком выпущено более 11,9 млн. пластиковых карт (39% от общего количества карт, эмитированных украинскими банками). В сети обслуживания пластиковых карт банка работает 3 439 банкомата, пластиковые карты банка принимают к оплате свыше 25 тысяч торгово - сервисных точек по всей Украине. Наличие широкой сети обслуживания карточных продуктов позволяет ПриватБанку активно внедрять услуги по автоматизированной выдаче корпоративным клиентам заработной платы с использованием пластиковых карт. Инновационная политика ПриватБанка ориентирована на внедрение на украинском рынке принципиально новых, передовых банковских услуг, которые предоставляют клиентам новые возможности управления своими финансами. ПриватБанк первым в Украине предложил своим клиентам услуги интернет - банкинга "Приват24" и GSM-банкинга, а также услуги по продаже через сеть своих банкоматов и POS-терминалов электронных ваучеров ведущих операторов мобильной связи и IP-телефонии. ПриватБанк - команда высококвалифицированных специалистов Надежность и качество проводимых банковских операций во многом зависят от опыта и компетентности специалистов банка. Сегодня персонал ПриватБанка - это команда высококвалифицированных специалистов, способных оперативно решать самые сложные задачи и удовлетворить быстро растущие потребности клиентов в банковском обслуживании. На сегодняшний день в банке работает свыше 30 тысяч сотрудников, из них 2 960 - в головном офисе банка. Средний возраст сотрудников банка составляет 34 года. Большинство сотрудников ПриватБанка (75%) имеют высшее образование, соответствующее профилю занимаемой должности. В банке созданы благоприятные условия для получения высшего и последипломного образования, более 50% сотрудников ежегодно повышают свою квалификацию.
На региональном рынке ЗАО КБ Приватбанк упрочивает свои позиции как развивающееся кредитно-финансовое учреждение, что подтверждается ежегодным ростом абсолютных значений валюты и статей баланса банка и отчета о прибылях и убытка.
Макроэкономическая ситуация в регионе в целом в течение 2006 г. оставалась стабильной для развития банковского бизнеса, который характеризуется рядом устойчивых позитивных изменений по всем основным направлениям. Положительные тенденции в экономике области, подъем деловой активности обусловили динамичный рост объемов банковских операций.
Ресурсная база кредитных организаций в 2006 г. характеризовалась стабильностью и динамичным развитием.
На протяжении последних лет банки области наращивали объемы кредитования малого и среднего бизнеса.
Организационная структура ЗАО КБ Приватбанк построена по иерархическому принципу. Органы управления банка: Общее собрание акционеров банка, Наблюдательный Совет банка, единоличный исполнительный орган – Председатель Правления банка и коллегиальный исполнительный орган – Правление банка. В целях расширения территории и удобства обслуживания клиентов создана разветвленная сеть отделений, управляющие которых наделены широкими полномочиями.
Подразделения и службы банка формируются с учетом классификации банковских операций по их функциональному назначению: подразделения бухгалтерского учета и отчетности, подразделения по обслуживанию юридических и физических лиц, кредитно-экономические службы, финансовые службы, подразделения технического и программного обеспечения банковской деятельности, подразделения по работе с финансовыми инструментами, юридические службы, службы безопасности и защиты информации, отдел кадров. Организационная структура филиала ЗАО КБ Приватбанк представлена в приложении Б. Матрицу SWOT – анализа ЗАО КБ Приватбанк можно представить в виде Приложения Ж.
2.2 Анализ основных показателей финансовой деятельности ЗАО КБ ПриватБанк
С целью формирования оптимального стратегического плана ЗАО КБ ПриватБанк необходимо провести анализ основных показателей финансовой деятельности банка. Сравнительный баланс приведен в таблице 2.1
Таблица 2.1 Сравнительный баланс за 2005-2006 г.г., тыс.грн.
| Активы
|
2005
|
2006
|
Откло
нение, %
|
Пассивы
|
2005
|
2006
|
Отклоне
ние,%
|
| Валюта, монеты и банковские металлы
|
4622,28
|
8054,56
|
174,3
|
Обязательства
|
| Дорожные чеки
|
86
|
172
|
200,0
|
Коррсчета банков
|
21067,56
|
42271,08
|
200,6
|
| Средства на коррсчетах в НБУ
|
16831,96
|
33543,92
|
199,3
|
Депозиты и кредиты банков
|
9197,8
|
18395,6
|
200,0
|
| Средства на коррсчетах в других банках
|
7686,66
|
15323,32
|
199,3
|
Средства до востребования клиентов
|
89713,16
|
179609,9
|
200,2
|
| Депозиты и кредиты в других банках
|
12983,2
|
25966,4
|
200,0
|
Срочные депозиты клиентов
|
33464,28
|
66928,56
|
200,0
|
| Ценные бумаги в портфеле банка. Всего
|
5216,8
|
10433,6
|
200,0
|
Ценные бумаги собственного долга
|
2000
|
4000
|
200,0
|
| Ценные бумаги в портфеле банка на продажу
|
1747,6
|
3495,2
|
200,0
|
Кредиты, полученные от международных финансовых организаций
|
0
|
0
|
| Резерв на обесценение ценных бумаг на продажу
|
0
|
0
|
Субординированная задолженность
|
3000
|
6000
|
200,0
|
| Нетто: ценные бумаги в портфеле банка на продажу
|
1747,6
|
3495,2
|
200,0
|
Другие обязательства
|
2820,68
|
9644,16
|
341,9
|
| Ценные бумаги в портфеле банка на инвестиции
|
3469,2
|
6938,4
|
200,0
|
Совокупные обязательства
|
161263,48
|
326849,28
|
202,7
|
| Резерв на обесценение ценных бумаг на инвестиции
|
0
|
0
|
Капитал
|
| Нетто: ценные бумаги на инвестиции
|
3469,2
|
6938,4
|
200,0
|
Уставный капитал
|
90000
|
180000
|
200,0
|
| Продолжение таблицы 2.1
|
| Кредиты и финансовый лизинг, предоставленные клиентам
|
142868,26
|
285736,52
|
200,0
|
Уплаченный уставный капитал банка
|
80000
|
160000
|
200,0
|
| Резерв на кредиты и финансовый лизинг
|
0
|
0
|
Неуплаченный уставный капитал банка
|
10000
|
20000
|
200,0
|
| Нетто кредитов и финансового лизинга
|
142868,26
|
285736,52
|
200,0
|
Нераспределенные прибыли и резервы
|
486,78
|
973,56
|
200,0
|
| Инвестиции капитала в ассоциированные компании
|
478
|
956
|
200,0
|
Нераспределенные прибыли прошлых годов
|
0
|
0
|
| Инвестиции капитала в дочерние компании
|
1350,8
|
2701,6
|
200,0
|
Прибыли в прошлом году, которые ожидают утверждения
|
0
|
0
|
| Нематериальные активы
|
2598
|
5196
|
200,0
|
Ущерб в прошлом году, которые ожидают утверждения
|
0
|
0
|
| Изнашивание нематериальных активов
|
129,9
|
259,8
|
200,0
|
Другие фонды и общие резервы банка
|
486,78
|
973,56
|
200,0
|
| Нетто: нематериальные активы
|
2468,1
|
4936,2
|
200,0
|
Прибыли текущего года
|
280,92
|
2923,36
|
1040,6
|
| Материальные активы
|
45065,8
|
90131,6
|
200,0
|
Ущерб текущего года
|
0
|
0
|
| Изнашивание материальных активов
|
653,1
|
1306,2
|
200,0
|
Совокупный капитал
|
90767,70
|
183896,92
|
202,6
|
| Нетто: материальные активы
|
44412,7
|
88825,4
|
200,0
|
0
|
0
|
| Другие активы
|
13032,42
|
30074,6
|
230,8
|
| Резерв на возможные потери за сомнительной дебиторской задолженностью
|
0
|
0
|
| Нетто: другие активы
|
13032,42
|
30074,6
|
230,8
|
| Совокупные активы
|
252031,18
|
510746,2
|
202,7
|
Совокупные обязательства и капитал
|
252031,18
|
510746,20
|
202,7
|
Исходя из данных таблицы 2.1, можно сказать об увеличении совокупных активов банка в 2006 году, что свидетельствует о расширении деятельности банка и о его развитии. По всем статьям баланса наблюдается рост показателей.
Темп роста по валюте, банковским металлам и монетам составил 174%. Совокупный капитал в 2006 г. по сравнению с 2005 г. вырос в 2 раза или на 93129,22 тыс. грн. При этом совокупные обязательства увеличились на 165585,8 тыс. грн. Положительным является факт роста прибыли на 2642,34 тыс. грн. В структуре актива банка наибольший удельный вес занимают кредиты и финансовый лизинг, в сумме составляющие 41% валюты баланса на конец 2006 г.
За анализируемый период уставной капитал банка не изменился. В структуре пассива баланса наибольший удельный вес приходится на совокупные обязательства – 63,9% - в 2005 году и 64% на конец 2006 года.
Таблица 2.2 Анализ структуры активов ЗАО КБ Приватбанк
| активы
|
2005
|
2006
|
Отклонение (+,-)
|
| сумма,
тыс. грн.
|
%
|
сумма,
тыс. грн.
|
%
|
сумма,
тыс. грн.
|
в структуре, %
|
| Валюта, монеты
|
4708,28
|
1,87%
|
8226,56
|
1,62%
|
3518,28
|
-0,24%
|
| Средства на коррсчетах в НБУ
|
16831,96
|
6,68%
|
33543,92
|
6,62%
|
16711,96
|
-0,06%
|
| Средства на коррсчетах в других банках
|
7686,66
|
3,05%
|
15323,32
|
3,02%
|
7636,66
|
-0,03%
|
| Депозиты и кредиты в других банках
|
12983,2
|
5,15%
|
25966,4
|
5,12%
|
12983,2
|
-0,03%
|
| Ценные бумаги в портфеле банка
|
5216,8
|
2,07%
|
10433,6
|
2,06%
|
5216,8
|
-0,01%
|
| Кредиты предоставленные, всего
|
142868,26
|
56,69%
|
285736,52
|
56,39%
|
142868,26
|
-0,30%
|
| Инвестиции капитала
|
1828,8
|
0,73%
|
3657,6
|
0,72%
|
1828,8
|
0,00%
|
| Нематериальные активы
|
2468,1
|
0,98%
|
4936,2
|
0,97%
|
2468,1
|
-0,01%
|
| Материальные активы
|
44412,7
|
17,62%
|
88825,4
|
17,53%
|
44412,7
|
-0,09%
|
| Другие активы
|
13032,42
|
5,17%
|
30074,6
|
5,94%
|
17042,18
|
0,76%
|
| Всего
|
252037,18
|
100,00%
|
506724,12
|
100,00%
|
254686,94
|
-
|
Более подробный анализ актива баланса показывает, что среди активных операций лидируют предоставленные кредиты, они составляют 56,69% всей суммы баланса за 2005 год и 56,39% за 2006 год, при этом, следует отметить падение данного показателя.

Рисунок 2.1 – Структура активов ЗАО КБ Приватбанк за 2005 - 2006 г.г., %
Меньше всего приходится на инвестиции капитала – 0,73% или 1828,8 тыс. грн. в 2005г. и 3657,6 тыс. грн в 2006г.
Для покупки или заказа полной версии работы перейдите по
ссылке.
Таблица 2.10 Значения стратегических показателей по кварталам 2007 г. и на 2008 - 2009г.г.[2]
| № п/п
|
Наименование показателя
|
Факт за 2006г.
|
Значения показателей на к-ц[3]
:
|
| 2007г.
|
2008г
|
2009г
|
| 1-й кв.
|
2-й кв.
|
3-й кв.
|
4-й кв.
|
| 1. ФИНАНСОВЫЕ
|
| 1.
|
Средства физлиц (доля в банк. системе), %
|
13,9
|
13,9
|
13,9
|
13,9
|
13,9
|
14,6
|
15,8
|
| 2.
|
Кредиты физлиц (доля в банк. системе), %
|
14,7
|
15,8
|
15,8
|
15,9
|
15,9
|
16,0
|
16,1
|
| 3.
|
Микрокредиты (доля в кредитном портфеле юрлиц), %
|
26,3
|
29
|
32
|
35
|
38
|
49
|
60
|
| 4.
|
Кредитные карты (охват населения активными картами), карт/тыс. насел.
|
41,4
|
53
|
64
|
75
|
86
|
150
|
200
|
| 5.
|
POS-терминалы ПриватБанка** (доля в банковской системе), %
|
59,5
|
60
|
60
|
60
|
60
|
60
|
60
|
| 6.
|
Платежные карты*** (доля в банковской системе по количеству), %
|
32,5
|
32,6
|
32,8
|
32,9
|
33
|
34
|
35
|
| 7.
|
Прибыль на одного сотрудника РП, тыс.грн.
|
23,7
|
7,5
|
15
|
22,5
|
30
|
37
|
47
|
| 8.
|
Банкоматы ПриватБанка (доля в банковской системе по количеству), %
|
24,9
|
25
|
25
|
25
|
25
|
25
|
25
|
| 9.
|
Ипотечные кредиты (доля в банк. системе), %
|
7,71
|
9
|
11
|
12
|
14
|
18
|
22
|
| 10.
|
Доходы (доля в банковской системе), %
|
13,6
|
14
|
14,4
|
14,7
|
15,1
|
15,6
|
16,2
|
| 2. НЕФИНАНСОВЫЕ
|
| 1.
|
Покрытие населения региональными подразделениями ПриватБанка, тыс.насел-я/кол-во отд.
|
20
|
19,5
|
18,5
|
17,5
|
17
|
15
|
14
|
| 2.
|
Узнаваемость банка, %
|
64
|
64
|
66
|
66
|
68
|
72
|
76
|
6 Ответственность за реализацию Стратегических показателей.
Возлагается:
- по 12-ти показателям деятельности банка в целом (таблица 2.10, таблица 2.11) на руководителей соответствующих направлений ГО;
- по 6-ти показателям деятельности middle-office – на директоров ГРУ, РУ, филиалов (если в регионе 1 middle-office), на руководителя соответствующего направления ГО (если в регионе несколько middle-office) (таблица 2.11);
- по 3-м показателям деятельности front-office – на руководителей отделений (таблица 2.11).
Таблица 2.11 Ответственность за реализацию стратегических показателей
| № п/п
|
Наименование Стратегического показателя
|
Уровень управления, на который вводятся стратегические показатели
|
| Банк в целом (руководитель, отв-й за выполнение показателя)
|
Middle-office (ГРУ, РУ, ф-лы)
|
Front-office (отделения)
|
| 1. ФИНАНСОВЫЕ
|
| 1.
|
Средства физлиц
|
Доля в банковской системе по объему портфеля, %
(Руководитель Бизнеса Розничного обслуживания)
|
Доля в регионе, % (1 middle-office – в 18-ти регионах), или
Объем портфеля на 1 сотр. ГРУ, РУ, ф-ла, грн. (несколько middle-office – в 7-ми регионах).
|
Объем портфеля на 1 сотр. отделения, грн.
|
| 2.
|
Кредиты физлиц
|
Доля в банковской системе по объему портфеля, %
(Руководитель Бизнеса Розничного кредитования)
|
Доля в регионе, % (1 middle-office – в 18-ти регионах), или
Объем портфеля на 1 сотр. ГРУ, РУ, ф-ла, грн. (несколько middle-office – в 7-ми регионах).
|
Объем портфеля на 1 сотр. отделения, грн.
|
| 3.
|
Микрокредиты
|
Доля в кредитном портфеле юрлиц, %
(Руководитель Департамента Центр программы микрокредитования)
|
Доля в кредитном портфеле юрлиц, %
|
Объем микрокредитов на 1 сотрудника отделения, тыс.грн.
|
| 4.
|
Кредитные карты
|
Охват населения активн. картами, карт/тыс. насел.
(Руководитель Бизнеса Кредитные карты)
|
Охват населения активн. картами, карт/тыс. насел. (1 middle-office – в 18-ти регионах), или
Колич-во акт-х карт на 1 сотр. ГРУ, РУ, ф-ла, шт. (несколько middle-office – в 7-ми регионах)
|
| 5.
|
POS-терминалы ПриватБанка* (в торговой сети)
|
Доля в банковской системе по количеству, %
(Руководитель Департамента продвижения карточных продуктов и эквайринга)
|
| 6.
|
Платежные карты** (Visa и MasterCard)
|
Доля в банковской системе по количеству, %
(Руководитель Бизнеса Розничного обслуживания)
|
| 7.
|
Прибыль на одного сотр-ка РП
|
Прибыль на од-ного сотр-ка РП, тыс.грн.
(Руководитель Направления Финансы и риски)
|
Прибыль на одного сотр-ка. ГРУ, РУ, ф-ла, тыс.грн.
|
| 8.
|
Банкоматы ПриватБанка
|
Доля в банковской системе по количеству, % (Руководитель Бизнеса Розничного обслуживания)
|
| 9.
|
Ипотечные кредиты
|
Доля в банковской системе по объему портфеля, %
(Руководитель Бизнеса Ипотечное кредитование)
|
Доля в банковской системе по объему портфеля, % (1 middle-office – в 18-ти регионах), или
Объем портфеля на 1 сотр. ГРУ, РУ, ф-ла, грн. (несколько middle-office – в 7-ми регионах).
|
| 10.
|
Доходы
|
Доля в банковской системе по объему, %
(Руководитель Направления Финансы и риски)
|
| 2. НЕФИНАНСОВЫЕ
|
| 1.
|
Покрытие населения региональными подразд-ми ПриватБанка
|
Тысяч населения на количество РП ПриватБанка
(Директор Департамента развития региональных подразделений)
|
| 2.
|
Узнаваемость банка
|
%
(Руководитель Направления Общий маркетинг и реклама)
|
7. Мониторинг.
1. Комплексный мониторинг реализации Стратегии в целом по всем стратегическим показателям и установкам осуществляется Департаментом стратегического менеджмента,.
2. Мониторинг реализации отдельных стратегических показателей осуществляется ответственными руководителями в соответствии с разделом 6 Стратегии.
Таким образом, из всего вышесказанного необходимо сделать вывод, что разработанная стратегия ЗАО КБ Приватбанк на 2007 – 2008 г.г. сыграет положительную роль в ее дальнейшей реализации, поскольку помимо положений “на бумаге” в ЗАО КБ Приватбанк разработан так же, и комплекс технико – экономических мероприятий по реализации каждой позиции стратегического плана банка. В доказательство сказанного в третьей главе данной дипломной работы, будет разработана маркетинговая политика по продвижению банковских услуг ориентированных на индивидуального клиента.
3 Разработка системы стратегического планирования деятельности ЗАО КБ Приватбанк на основе банковского маркетинга
3.1 Основные положения маркетинговых стратегий коммерческих банков
Во всем мире коммерческим банкам в настоящее время приходится обращать особое внимание на конкурентов, постигать законы конкурентной борьбы, учиться правильно на них реагировать. Анализ рынка, маркетинговые исследования и детально проработанные продуктовые стратегии для развитых западных банков – неотъемлемые процедуры в реализации генеральной стратегии банка.
Процесс разработки продуктовой стратегии тесно связан со следующими маркетинговыми составляющими:
1) Анализ рыночных возможностей, включающий систему маркетинговых исследований и маркетинговой информации, изучение маркетинговой среды и рынков.
2) Отбор целевых рынков, предполагающий оценку потенциальных объемов спроса, сегментирование рынка, выбор целевых сегментов и позиционирование продукта на рынке.
3) Разработка комплекса маркетинга, заключающаяся в разработке продуктов, установлении цен на них, а также методов распространения продуктов и стимулирования их сбыта.
4) Наконец, претворение в жизнь маркетинговых мероприятий.
Отправная точка при разработке продуктовой стратегии - анализ рыночных возможностей. Ключевым моментом на этом этапе является оценка существующего спроса, формирующего перспективные направления деятельности банка. Оценка перспектив может складываться на основе работы с сеткой развития продуктов на рынке и концентрации внимания на новых привлекательных сферах деятельности. Каждую возможность необходимо оценить с точки зрения ее соответствия целям и ресурсам банка.
Анализ должен вскрыть ряд привлекательных с точки зрения банка рыночных возможностей. Каждая потребует более глубокого изучения, прежде чем на ней остановятся как на очередном целевом рынке. Чтобы убедиться в достаточной привлекательности открывающейся возможности, банку нужно будет провести более тщательную оценку текущего и будущего спроса.
Основой создания и выпуска банковского продукта является удовлетворение каких-либо потребностей клиентов, т.е. потребитель приобретает не продукт как таковой, имеющий определенный набор свойств, а его способность удовлетворять конкретную потребность. Таким образом, для банка большое значение имеет предоставление реальной выгоды клиенту, приобретающему данный банковский продукт. Разрабатывая какую-либо услугу, банк определяет набор её свойств, позволяющих удовлетворить определённую потребность клиента.
Для покупки или заказа полной версии работы перейдите по
ссылке.
Итогом сегментации является отбор одного или нескольких наиболее перспективных сегментов рынка. Для этого предстоит решить, какое именно количество сегментов следует охватить. Продавец может пренебречь различиями в сегментах (недифференцированный маркетинг), разработать разные рыночные предложения для разных сегментов (дифференцированный маркетинг) или сосредоточить свои усилия на одном или нескольких сегментах (концентрированный маркетинг). В данном случае многое зависит от ресурсов банка, степени однородности продукции и рынка, этапа жизненного цикла товара и маркетинговых стратегий конкурентов.
Если банк принимает решение о выходе всего на один сегмент рынка, то он должен ответить на вопрос, какой именно сегмент следует выбрать? Сегменты рынка можно оценивать как с точки зрения присущей им привлекательности, так и с точки зрения сильных деловых сторон, которыми фирма должна обладать, чтобы добиться успеха в конкретном сегменте.
Выбор конкретного рынка определяет и круг конкурентов банка, и возможности его позиционирования. Изучив позиции конкурентов, банк решает, занять ли место, близкое к позиции одного из конкурентов, или попытаться заполнить выявленную на рынке "брешь". Если банк занимает позицию рядом с одним из конкурентов, он должен дифференцировать свое предложение за счет товара, его цены и качественных отличий. Решение о точном позиционировании позволит банку приступить к следующему шагу, а именно к детальному планированию комплекса маркетинга. После сегментации рынка банковских услуг банк проводит позиционирование своей услуги в определенном сегменте рынка.
Комплекс маркетинга. Приняв решение о рыночном позиционировании, банк разрабатывает комплекс маркетинга, который может быть представлен в виде следующей схемы.
Для покупки или заказа полной версии работы перейдите по
ссылке.
Рисунок 3.1 - Комплекс маркетинга.
Для разработки комплекса маркетинга банк использует четыре системы: маркетинговой информации, планирования маркетинга, организации службы маркетинга и маркетингового контроля. Взаимосвязь этих систем проявляется, например, в том, что маркетинговая информация нужна для разработки планов маркетинга, которые, в свою очередь, претворяются в жизнь службой маркетинга, а результаты этой деятельности оцениваются и контролируются.
После изучения продуктового ряда банка, служащие отдела маркетинга приступают к разработке стратегии его развития. Выработка продуктовой стратегии банка предполагает анализ имеющегося продуктового ряда с последующей постановкой вопроса о целесообразности изменения структуры предлагаемых продуктов, а также необходимости расширения продуктового ряда за счет новых услуг.
Первая задача на этом пути заключается в оптимизации структуры предлагаемых банком услуг вообще, в том числе и с точки зрения их принадлежности к различным стадиям жизненного цикла. Второй, не менее важной задачей в рамках выработки стратегии развития продуктового ряда, является разработка продуктов-новинок.
Для банка внедрение в практику бизнеса новых продуктов – возможность проникновения на новые рынки, их освоения, удовлетворения вновь появившихся пожеланий клиентов и получение на этой основе новых прибылей. Особенно высокие доходы имеют место обычно тогда, когда банк выходит на рынок с качественно новым продуктом, который другие банки пока не использовали и на определенном этапе становится монополистом, что дает возможность некоторое время получать монопольно высокую прибыль. Этот период обычно невелик, поскольку другие банки стараются быстро наверстать упущенное, разработать, подготовить и предложить своим клиентам аналогичную услугу. Однако и за короткое время можно не только получить дополнительный доход, но и, главное, привлечь к себе новых клиентов, существенно пополнить клиентскую базу.
Процесс создания, внедрения и снятия банковского продукта проходит ряд этапов. В результате поиска идей новых продуктов банк определяет для себя подходящие, затем разрабатывает замысел выбранной идеи, т.е. конкретные мероприятия по предоставлению данной услуги потребителю. Следующим этапом деятельности по разработке нового банковского продукта является анализ возможности банка по внедрению данной услуги с целью определения объемов сбыта, затрат и соответственно, предполагаемой прибыли. Определив свои возможности, банк начинает разработку нового продукта, а именно, конкретных действий по предоставлению данной услуги клиентам (подготовка нормативных документов, обучение сотрудников, оформление банковских операций, способы предложения данной услуги и коммуникационная стратегия, при необходимости – компьютерных программ). Испытание качеств новой услуги предполагает предложение ее ограниченному кругу клиентов банка с целью проверки их реакции на данный банковский продукт. Если новая услуга действительно отвечает всем требованиям клиента, а также возможностям банка, последний предлагает ее широкому кругу потенциальных и реальных клиентов.
Достаточно сложным является вопрос, когда целесообразно запускать на рынок новый продукт. Ряд экспертов полагает, что это лучше делать на этапе зрелости, потому что в этот момент конкуренция становится особенно острой и принесение старого продукта в жертву позволит минимизировать убытки.
Новый банковский продукт требует ресурсов на его разработку, может оказаться убыточным и, в любом случае, ему потребуется время, чтобы окупить вложенные в него затраты. Кроме того, разработка нового продукта требует учета большого количества нюансов, которые, в конечном счете, также оборачиваются существенными временными затратами. В силу этого зачастую самым правильным для запуска нового продукта является период времени, когда текущий продукт еще находится на этапе роста. Путь от идеи к запуску продукта можно представить в виде следующей цепочки последовательных шагов:[4]
- идея;
- рыночное исследование;
- анализ текущей и будущей позиции; анализ цикла жизни продукта;
- потребительское предложение;
- анализ времени выхода с новым продуктом на рынок;
- детальный анализ прибыли и убытков;
- выбор критериев деятельности;
- технический анализ на реализуемость;
- анализ маркетологов;
- презентация технических и операционных требований;
- фактический старт бизнеса;
- разработка;
- предварительные проверки, исследования;
- запуск;
- тестирование после запуска и анализ полученных результатов. Можно говорить о следующем сценарии запуска новых продуктов – теоретической модели, которую можно считать совершенной.
- Для покупки или заказа полной версии работы перейдите по
ссылке.
В целях реализации максимально полного удовлетворения потребностей клиентов будет создано несколько ОФБУ, позволяющих клиенту выбрать оптимальную для него стратегию инвестирования.
Наконец, для состоятельных клиентов будет реализована услуга индивидуального доверительного управления, предполагающая детальный учет пожеланий клиента в части риска и доходности и составление индивидуальных стратегий инвестирования.
В целях максимального комфорта клиентов предполагается предоставление целого комплекса услуг за комиссионное вознаграждение, которые экономят время и повышают скорость проводимых клиентами операций.
Для этого предполагается сотрудничество с системами Элекснет и Рапида, позволяющими проводить платежи в пользу коммунальных служб, в пользу операторов сотовой связи, коммерческого телевидения и Интернет-провайдеров.
При этом Банку предстоит организовать процесс приема платежей от своих клиентов - наличными в дополнительных офисах и филиалах, с банковских счетов в терминалах самообслуживания (банкоматы, POS-терминалы), через системы удаленного обслуживания клиентов (интернет-или телебанк).
Таким образом, розничные банковские продукты предполагают максимальный учет потребностей клиента (широкий диапазон), максимальную комфортабельность при обращении в ЗАО КБ Приватбанк (создание продуктов, исключающих необходимость нахождения на территории клиента представителей Банка, или представителей клиента у ЗАО КБ Приватбанк). При этом предполагается развитие взаимоотношений с максимальным количеством автосалонов, и других компаний, основанных на взаимовыгодном сотрудничестве, взаимной системе скидок и иных способов расширения клиентской базы ЗАО КБ Приватбанк.
Основные каналы продаж продуктов:
- Существующие бизнес - партнеры и клиенты ЗАО КБ Приватбанк;
- Агентства недвижимости, застройщики, брокеры;
- Страховые компании;
- Автосалоны;
- Туристические фирмы;
- Торговые сети;
- Высшие учебные заведения.
Продуктивная банковская работа с использованием сетей бизнес- партнеров Банка, а также активное продвижение банковских продуктов через осваиваемые каналы продаж обеспечит высокие темпы становления розничного бизнеса Банка.
3.2 Создание внешней и внутренней инфраструктуры банка с целью реализации маркетинговой стратегии ЗАО КБ ПриватБанк
Предполагается создание центров продаж, сети банкоматов, инфокио-сков, кэшинов и других устройств самообслуживания, заключение договоров с банками агентами, спонсируемыми банками, Рапидой, Элекснетом, почтой Украины. Внешняя инфраструктура обеспечит широкую географию пунктов обслуживания. Это также будет достигаться сдачей в аренду банкоматов и пунктов самообслуживания.
Предусматривается открытие банковских офисов с выгодным месторасположением, хорошей организацией обслуживания и высокой пропускной способностью. В банковских офисах, в основном, предполагается юридическое оформление документов: подача заявлений, заключение депозитных договоров, кредитных сделок, оформление других видов сделок.
Для организации эффективной работы в рамках розничного блока формируются следующие подразделения:
• управление розничного бизнеса (работа с банками-партнерами по карточным программам, зарплатные проекты, оптовая продажа услуг, разработка новых продуктов и услуг)
• управление по работе с VIP-клиентами (привлечение и поддержание отношений с клиентами, продажа услуг, монтаж кредитных сделок, консультирование клиентов, разработка новых продуктов и услуг, взаимодействие с партнерами Банка по кредитным программам)
• управление пластиковых карт (внедрение и поддержание собственного процессингового центра, персонализация, авторизация, процессинг операций с картами Банка, обеспечение бесперебойной работы терминальных устройств)
• управление кредитования физических лиц (разработка процедур, согласование кредитных сделок, оформление договоров по кредитным сделкам)
• управление по работе с физическими лицами (открытие и ведение счетов, расчетно-кассовое обслуживание, бухгалтерское оформление операций, контроль за выполнением условий кредитных соглашений, формирование резервов, расчеты по пластиковым картам).
В процесс оказания розничных услуг также вовлечены следующие подразделения ЗАО КБ Приватбанк:
• Управление рисков и анализа (анализ финансового состояния заемщиков и партнеров, анализ состояния кредитного портфеля, расчет резервов)
• Юридическое управление (разработка договорной базы, согласование нестандартных договоров, подготовка и анализ документов для оформления залогов)
• Служба безопасности (проверка потенциальных клиентов, взыскание долгов)
• Казначейство (фондирование кредитных операций)
• Управление информационно-банковских технологий (участие в разработке архитектуры розничного проекта, выбор поставщиков, внедрение программного обеспечения)
• Филиалы ЗАО КБ Приватбанк (продажа услуг, открытие и ведение счетов, расчетно-кассовое обслуживание, бухгалтерское оформление операций, техническая поддержка терминального оборудования).
Создание внутренней инфраструктуры предполагает помимо формирования подразделений распределение функций между ними, подготовку положений о подразделениях, закрепляющих за ними определенные функции, описание схем взаимодействия подразделений по предоставлению услуг и проведению операций в рамках каждого продукта.
Технологическую базу для реализации розничных проектов составят следующие системы:
- полнофункциональный ритейл-модуль;
- CRM-модуль;
- Контакт-центр;
- Собственный процессинговый центр;
- Мобильный и интернет-банк.
Современные технологические решения призваны обеспечить наиболее полный комплекс услуг для физических лиц при высоком качестве обслуживания и минимальных расходах.
Все системы будут объединены в единую технологическую цепочку обслуживания клиентов.
Для покупки или заказа полной версии работы перейдите по
ссылке.
Рисунок 3.2 - Единая технологическую цепочка обслуживания клиентов
Ритейл - модуль - автоматизированная система администрирования бизнес - процессов, обеспечивающая ведение счетов физических лиц и бухгалтерский учет операций по счетам.
Система должна полностью обеспечивать функциональность продуктов розничного бизнеса, обеспечивать возможность оперативного ввода новых продуктов и сервисов, оперативного внесения изменений в настройки продуктов и технологических циклов.
CRM-модуль - универсальная база данных, содержащая полную информацию о клиентах Банка. CRM-модуль позволяет:
- оперативно получать информацию по каждому клиенту в удобном формате;
- эффективно отвечать на вопросы клиентов, используя единую информационную базу и удобные средства поиска;
- отслеживать этапы обработки запросов клиентов с момента поступления первого запроса до разрешения проблемы;
- с наименьшими затратами интегрировать информацию из внешних источников;
- более эффективно привлекать новых клиентов за счет автоматизации процесса продажи услуг и специальных средств для формирования предложений клиентам и отслеживания поступивших заявок.
Контакт-центр. Модуль, обеспечивающий эффективное управление входящими телефонными звонками клиентов и гибкое распределение ресурсов. Наиболее распространенной функцией является возможность выбора способа распределения входящих звонков: звонок переадресуется наименее занятому сотруднику (имеющему наименьшее количество ожидающих вызовов), звонок переадресуется первому освободившемуся сотруднику, в зависимости от контекста вопроса клиента звонок переадресуется к сотруднику, специализирующемуся на соответствующих продуктах. Контакт - центры позволяют компаниям, имеющим несколько офисов, эффективно распределить нагрузку между сотрудниками всех офисов.
Собственный процессинговый центр. Полнофункциональная процессинговая система, обеспечивающая эмиссию карт и эквайринг операций, совершаемых с их использованием, подключение в режиме реального времени терминального оборудования (банкоматы, электронные терминалы, устройства самообслуживания).
Дистанционное банковское обслуживание:
- интернет-бэнкинг;
- телефон-бэнкинг;
- мобильный бэнкинг.
Средства дистанционного банковского обслуживания позволяют клиентам проводить определенные виды операций, находясь практически в любой точке мира. Современные средства криптографической защиты обеспечивают достаточно высокий уровень защиты информации.
К средствам удаленного доступа к счетам и услугам можно также отнести устройства самообслуживания: киоски и банкоматы, поддерживающие функции управления счетами.
3.3 Формирование маркетинговой политики с целью реализации генеральной стратегии ЗАО КБ ПриватБанк
Маркетинговые мероприятия и кампании будут проводиться по мере внедрения продуктов и услуг и готовности Банка к их масштабному предложению на рынке. Подготовка маркетинговых ходов будет осуществляться за счет внутренних ресурсов и с привлечением внешних консультантов.
Для покупки или заказа полной версии работы перейдите по
ссылке.
Для покупки или заказа полной версии работы перейдите по
ссылке.
Рисунок 3.7 - Временная зависимость комиссионного дохода
Модель зависимости комиссионного дохода от времени имеет вид:
КД = 80,761e^(0,0279t)
Из корреляционной матрицы, представленной в таблице 3.2, видно, что наиболее тесной связью обладают процентный доход и чистая прибыль (коэффициент корреляции составляет 0,893), в свызи с этим постоим регрессионную зависимость между этими показателями ПриватБанка. Моделирование производим с помощью методов регрессионного анализа.
Построим уравнение регрессии – функциональную зависимость y = f (x), отражающую фактичечкую зависимость между величиной ПД (факторный показатель – аргумент функции) и величиной ЧП (результативный показатель), используя статистические данные, представленные в таблице 3.1. Зависимость между исследуемыми величинами прямая и достаточно близкая к линейной, поэтому в качестве аппроксимирующей функции выбирается линейная функция вида y = b + ax, где a и b – параметры линейной регрессии. Этой функцией и моделируется зависимость для даннях показателей Севастопольского филиала КБ «ПриватБанка».
Находим коэффициенты a и b с помощью метода наименьших квадратов, используя известные формулы параметров линейной регрессии:

Рассчитываем параметры регрессии для данной зависимости, где y – значения чистой прибыли; х – значения процентного дохода.
Для покупки или заказа полной версии работы перейдите по
ссылке.
Рисунок 3.8 - Зависимость чистой прибыли СФ КБ ПриватБанка от процентного дохода
Модель зависимости чистой прибыли от процентного дохода имеет вид:
ЧП = 0,976 ПД – 252
Прогнозное значение чистой прибыли по временной линии тренда на 1 квартал 2007 года составляет 605,28 тыс грн, а прогнозное значение чистой прибыли по регрессионной зависимости от процентного дохода при сохранении темпов роста процентных доходов такими же, как в 4 квартале 2006 года составит 0,976 * (667,68 – 542,98 + 667,68) – 252 = 521,36 тыс грн. Существенное отличие в прогнозах обусловлено различием примененных моделей.
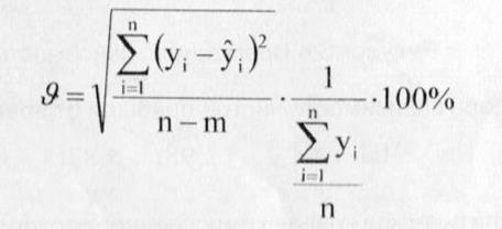
Качество моделирования оцениваем с помощью показателя – средней ошибки аппроксимации, который рассчитывается по формуле:
где - значение аппроксимирующей функции, n – число рассматриваемых значений, m – число параметров уравнения регрессии.
Полученые данные занесем в таблицу 3.3. Значения ошибки аппроксимации для комиссионного дохода, комиссионных расходов и чистой прибыли достаточно велики (что является негативным показателем), а для процентного дохода и процентных затрат вполне допустимы.
Прогнозные значения анализируемых показателей на 1 квартал 2007 года по моделям регрессии, средней ошибки аппроксимации, оптимистические, пессимистические прогнозы, абсолютные и относительные приросты представлены в таблице 3.3.
Таблица 3.3 Прогнозные значения на 1 квартал 2007 года, тыс грн
| Показатели
|
Значение, тыс грн
|
Прирост
|
Ср. ошибка аппрокс.
|
Песс. прогноз на 1 кв 2007
|
Оптим. прогноз на 1 кв 2007
|
| 4 кв 2006
|
1 кв 2007 (прогноз)
|
Абсолют. (тыс грн)
|
Отн., %
|
| Процентный доход
|
667,68
|
729,651
|
61,97
|
9,28
|
7,82
|
672,57
|
786,73
|
| Процентные затраты
|
116,85
|
142,269
|
25,42
|
21,75
|
10,57
|
127,23
|
157,30
|
| Комиссионный доход
|
96,43
|
103,926
|
7,50
|
7,77
|
20,46
|
82,66
|
125,19
|
| Комиссионные затраты
|
85,32
|
127,302
|
41,98
|
49,21
|
20,85
|
100,76
|
153,84
|
| Чистая прибыль
|
445,86
|
605,283
|
159,42
|
35,76
|
18,75
|
491,77
|
718,79
|
Выводы.
В данном разделе были рассмотрены наиболее важные показатели, характеризующие результаты деятельности СФ КБ «ПриватБанк» в 2005-2006 годах. На основании данных за восемь отчетных периодов были построены графики исследуемых показателей: процентный доход, процентные затраты, комиссионный доход, комиссионные затраты и чистая прибыль.
По показателям был проведен корреляционный анализ, который показал, что связь между всеми показателями является прямой, однако разной по силе. Так, связь между ПЗ и ПД, ЧП и ПД а также ЧП и КЗ оказалась достаточно сильной (r > 0.7), между КЗ и ПД, КЗ и ПЗ, а также ЧП и ПЗ – умеренной (0.3 < r < 0.7). Между остальными показателями связь была слабой.
Далее в ходе работы были построены математические модели, описывающие изменения показателей во времени. С помощью аналитических временных моделей получены прогнозные значения анализируемых показателей на 1 квартал 2007 года, которые составляют 729,65 тыс грн для процентного дохода, 142,27 тыс грн для процентных затрат, 103,93 тыс грн для комиссионного дохода, 127,3 тыс грн для комиссионных расходов и 605,28 тыс грн для чистой прибыли.
Как оказалось, прогнозные показатели существенно превышают базовые (за 4 квартал 2006 года). Однако, как видно, темпы прироста расходных показателей в относительном выражении превышают темпы прироста доходных показателей, что, безусловно, является негативной чертой.
С помощью ошибок аппроксимации произведен расчет оптимистических и пессимистических прогнозных показателей. Вследствие больших величин ошибок, разницы между оптимистическими и пессимистическими показателями являются достаточно существенными.
Заключение
Ужесточение конкурентной среды, приход иностранного капитала и передовых технологий предъявляют высокие требования к характеру развития компаний. Многие украинские банки столкнулись с необходимостью продуманной последовательности действий по развитию и расширению собственного бизнеса. Жизнеспособность формируемого банками предложения банковских продуктов во многом определяется дальновидностью банковской генеральной стратегии.
Изучив различные подходы к понятию стратегии, мы предлагаем следующее определение: продуктовая стратегия – программа действий по внедрению и реализации банковского продукта.
Направленность генеральной стратегии во многом определяется позициями общебанковской, дополняя и расширяя ее с позиций развития банковских услуг.
При этом на формирование общебанковской стратегии оказывают влияние следующие факторы:
- видение и ожидания акционеров компании;
- глобальные тенденции в отрасли (что за последние 10-20 лет происходило в аналогичных отраслях других стран и каковы тенденции развития отрасли в мире);
- основные тенденции на отечественном рынке;
- отраслевая экспертиза (знания отраслевых специалистов, включая международных экспертов);
- видение и ожидания менеджеров компании. Изучение этих факторов позволяет верно сориентировать банк в части
развития бизнеса и выбора тех или иных возможностей совершенствования банковских продуктов.
Процесс разработки генеральной стратегии тесно связан со следующими маркетинговыми составляющими:
1) Анализ рыночных возможностей, включающий систему маркетинговых исследований и маркетинговой информации, изучение маркетинговой среды и рынков.
2) Отбор целевых рынков, предполагающий оценку потенциальных объемов спроса, сегментирование рынка, выбор целевых сегментов и позиционирование продукта на рынке.
3) Разработка комплекса маркетинга, заключающаяся в разработке продуктов, установлении цен на них, а также методов распространения продуктов и стимулирования их сбыта.
4) Наконец, претворение в жизнь маркетинговых мероприятий. Тщательно продуманная продуктовая стратегия позволяет банку быть конкурентоспособным и завоевывать новые сегменты рынка.
Анализ основных показателей деятельности ЗАО КБ Првиатбанк позволил дать следующие результаты.
По всем статьям баланса наблюдается рост показателей. Темп роста по валюте, банковским металлам и монетам составил 174%. Совокупный капитал в 2006 г. по сравнению с 2005 г. вырос в 2 раза или на 93129,22 тыс. грн. При этом совокупные обязательства увеличились на 165585,8 тыс. грн. Положительным является факт роста прибыли на 2642,34 тыс. грн. В структуре актива банка наибольший удельный вес занимают кредиты и финансовый лизинг, в сумме составляющие 41% валюты баланса на конец 2006 г.
За анализируемый период уставной капитал банка не изменился. В структуре пассива баланса наибольший удельный вес приходится на совокупные обязательства – 63,9% - в 2005 году и 64% на конец 2006 года.
Анализ финансовой отчетности банка на базе его доходов и прибыли осуществляется исходя из его качественных и количественных позиций. Относительно количественной оценки, речь идет о финансовых коэффициентах, а относительно качественной - о качестве источников доходов, формирование резервов, кредитного портфелю, факторы роста прибыли, а также оценивается конъюнктура рынка, на котором работает банк.
В структуре кредитного портфеля преобладают кредиты класса «под контролем» и «субстандартные», их доля соответственно составляет 41,5% и 40,2%. На кредиты с наименьшим коэффициентом риска –2% приходится 14,2% всего портфеля или 44261,81 тыс.грн. Безнадежных и сомнительных кредитов, коэффициент риска у которых превышает 50% всего 4,1%.
В структуре инвестиционного портфеля доминируют “Долговые ценные бумаги центрального правительства на инвестиции”, их удельный вес составляет почти 50%. 3495,2 тыс.грн или 24,80% приходится на акции на продажу. Вложения в дочерние компании составляют 2701,6 тыс.грн., а в ассоциированные – 956 тыс.грн.
В структуре капитала банка 97,88% приходится на уставной капитал, а оставшаяся часть подразделяется на «Нераспределенную прибыль и резервы» и «Прибыль текущего года».
Обязательства банка подразделяют на ряд статей 55% из суммы которых составляют средства клиентов до востребования. Срочные депозиты составляли в 2006г. 66928,56 тыс.грн или 21% всех обязательств. Среди прочих статей присутствуют корреспондентские счета банков и межбанковские кредиты, а также ценные бумаги.
ЗАО КБ Приватбанк обладает низким уровнем сомнительности задолженности и высокой кредитной активности. Проанализируем далее структуру доходов и расходов ЗАО КБ Приватбанк.
Исходя из отчета о прибылях и убытках в структуре доход наибольшая часть принадлежит процентным доходам 1217,31 тыс.грн в 2005г. и 2204,88 тыс.грн. в 2006г., причем в за 2005г. эта статья была единственная, а в 2006 году поступали доходы по торговым операциям.
Чистая прибыль банка выросла со 140,46 тыс.грн в 2005 году до 1180,76 тыс.грн в 2006году, другими словами произошел рост прибыли в 8 раз.
Системный подход к анализу эффективности деятельности коммерческого банка должен включать сбалансированную систему показателей, учитывающих все существенные аспекты его деятельности. Сбалансированная система показателей позволяет проводить всесторонний анализ взаимосвязей внутри банка, своевременно отслеживать как позитивные, так и негативные изменения в различных сферах управления и влиять на них. Особенность сбалансированной системы показателей эффективности состоит в том, что все они ориентированы на стратегические цели и задачи банка, а также взаимосвязаны и сгруппированы по определенным признакам, и только достижение всей совокупности критериев позволит говорить об эффективности деятельности банка [19, с. 73].
Решению задачи оценки эффективности банковской деятельности наиболее соответствует концепция представления баланса банка как единого портфеля активов и пассивов, сбалансированного по объемам, срокам и стоимости отдельных активных и пассивных групп денежных ресурсов.
Одним из важнейших компонентов в системе анализа эффективности деятельности банка является анализ его финансовой устойчивости в целом и оценка уровня его доходности и прибыльности, в частности. Значение этой оценки вытекает из того, что доходы и прибыльность характеризуют сферу использования банковских активов, влияют на прирост собственного капитала банка, определяют возможность роста активных операций банка и экспансии на рынке, прибавляют уверенности инвесторам и кредиторам в поддержании делового отношения с данным конкретным банком, создают запас прочности, обеспечивают выплату дивидендов инвесторам.
Итогом исследования явилась подготовка генеральной стратегии коммерческого банка на примере стратегии развития розничного бизнеса Банка ЗАО КБ Приватбанк. В стратегии Банка определены основные направления работы в целях построения полносервисного розничного блока.
Следует отметить, что с увеличением масштабов международного банковского бизнеса, развитием и внедрением новых банковских продуктов потребность в стратегических решениях будет только возрастать. Выражаем надежду, что настоящее исследование внесет посильный вклад в вопросы разработки продуктовых стратегий коммерческих банков.
Список литературы
1. Закон України «Про банки і банківську діяльність» із змінами і доповненнями // Галицькі контракти, №7, 1997, с.68.
2. Заруба О.Д. Банківський менеджмент та аудит.-К.:Лібра, 1996.-с.178.
3. Банківська енциклопедія / Під ред. А.М.Мороза.-К.:Ельтон, 1993 .
4. Банковское дело / Под ред. О.И.Лаврушина.-М.:Банки и биржи, научно-консультативный центр, 1992 .
5. Белых Л.П. Устойчивость коммерческих банков. Как банкам избежать банкротства.-М.: Банки и биржи, ЮНИТИ, 1996 , с.184.
6. Доллан Э.Дж., Кембелл К.Л. Деньги, банковское дело и денежно-кредитная политика. / Пер.с англ. Лукашевича М.Д.-Л., 1991 .
7. Масленчиков Ю.С. Финансовый менеджмент в коммерческом банке : фундаментальный анализ.-М.:Перспектива, 1996, с.68-132.
8. Панова Г.С. Анализ финансового состояния коммерческих банков.-М.:Финасы и статистика, 1996, с.54-78, 89-110.
9. Иванов В.В. Анализ надёжности банка. Практическое пособие.-М.:РДЛ, 1996.
10. Івасів Б.С. Операції комерційних банків : навчальний посібник.-К.: НМК ВО,1992 , с.84.
11. Івасів І. Яка банківська система потрібна Україні? // Вісник НБУ №4, 2003, с.50.
12. Основы банковского дела. / Под ред. Мороза А.Н., Киев, 1994, с.45-49.
13. Положення про фінансове оздоровлення комерційних банків. // Банківська справа, №4, 1997, с.75.
14. Інструкція НБУ №10 «Про порядок регулювання і аналіз діяльності комерційних банків» (у новій редакції) // Галицькі контракти, №2, 1997.
15. Ковальчук Т.Г., Коваль М.М. Ліквідність комерційних банків.-К.:Знання, 1996, с.89.
16. Коммерческие банки. / Рид Э., Коттер Р., пер.с англ.-М.:Космополис, 1991.
17. Маркова О.М., Сахарова Л.С., Сидоров В.Н. Коммерческие банки и их операции.-М.:Банки и биржи, ЮНИТИ, 1995, с.215-224.
18. Основні показники діяльності комерційних банків України у 1995 році. // Банківська справа, №6, 1995, с.41.
19. Пантелєєв В., Халява С. Фінансова стійкість комерційного банку : проблеми регулювання. // Банківська справа, №1, 1996, с.32.
20. Раєвський К. Деякі аспекти фінансового аналізу комерційних банків України (в тому числі і із залученням іноземного капіталу). // Вісник НБУ, №1, 1997, с.27-40.
21. Ольхова Р.Г. и др. Банк и контроль.-М.:Финансы и статистика, 1991, с.97.
22. Шматов О. Методика визначення рейтигу комерційних банків в Україні. // Вісник НБУ, №5, 1997, с.39.
23. Халява С. Прибутковість і ліквідність комерційних банків та управління грошовою позицією. // Вісник НБУ, №5, 1997, с.34.
24. Синки Дж.мл. Управление финансами в коммерческих банках. / Пер.с англ. 4-го переработанного изд. / Под ред. Р.Я. Левиты, Б.С. Пинскера.-М.:Catalaxy, 1994, с.716-745.
25. Тимоти У. Кох. Управление банком. / Пер.с англ. В 5-ти книгах, 6-ти частях. - Уфа : Спектр, 1993.
26. Роуз Питер С. Банковский менеджмент. / Пер.с англ.со 2-го изд.-М.:Дело ЛТД, 1995, с.652-665.
27. Раєвський К. Інсайдерські ризики в банківській діяльності. // Вісник НБУ, №6, 1997, с.23.
28. Раєвський К. Про порядок регулювання та аналіз діяльності комерційних банків. // Банківська справа, №2, 1997, с.31.
29. Уткин Э.А. Банковсий маркетинг.-М.:ИНФРА-М, Метаинформ, 1994, с.217.
30. Черкасов В.Е. Финансовый анализ в коммерческом банке.-М.: ИНФРА-М, 1995, с.35-68.
31. Абрамова М., Александрова Л. Финансы и кредит // Москва, Юриспруденция, 2003.
32. Гурьянов С. Маркетинг банковских услуг // Интернет версия (http://www.marketing.spb.ru/read/m15/index.htm)
33. Лаврушин О. Управление деятельностью коммерческого банка (Банковский менеджмент) // Москва, Юристъ, 2002.
34. Колесников В. Ценные бумаги // Москва, Финансы и статистика, 1998.
35. Котлер Ф. Основы маркетинга // Москва, Вильямс, 2006
36. Маккарти М., Флинн Т. Риск. Управление риском на уровне топ-менеджеров советов директоров // Москва, Альпина Бизнес Букс, 2005.
37. Миркин Я. Банковские операции // Москва, Инфра-М, 1996.
38. Никонова И., Шамгунов Р. Стратегия и стоимость коммерческого банка. // Москва, Альпина Бизнес Букс, 2005.
39. Пирсон Б., Томас Н. Краткий курс MBA. Практическое руководство по развитию ключевых навыков управления // Москва, Альпина Бизнес Букс, 2005.
40. Аллмендингер Г., Ломбрелья Р. Четыре стратегии для века умных услуг // Harvard Business Review, ноябрь, 2005.
41. Алексеев А., Горина М. Управление эффективностью банка – новое качество менеджмента // Интернет-версия (www.strategy.ru
).
42. Анурьев С., Сметанин В. Особенности разработки корпоративной стратегии // Финансовый директор, №1, 2005.
43. Брюков В. Зачем банкиру ПИФы? // Банковское обозрение, №1, 2005.
44. Ивлев В., Попова Т. Balanced Scorecard – альтернативные модели // Банки и технологии, №4, 2002.
45. Идрисов А. Мастер-класс: конкурентная стратегия сегодня и завтра. Повестка для менеджера // Конференция: современные технологии управления. Стратегия и практика применения, 13 марта 2003.
46. Идрисов А. Стратегия: с чего начинать и чем закончить? // Управление компанией, №5, 2004.
47. Каплан Р., Нортон Д. Отдел управления стратегией // Harvard Business Review, январь-февраль 2006.
48. Коттер Дж. Лидерство и менеджмент: разумное равновесие // Harvard Business Review, август 2005.
49. Кулина Е. Менеджмент коммерческого банка на стадии реформирования организации // Интернет-версия (www.cpt21.ru
).
50. Остергерд М., Баркин А. Настоящее управление стоимостью // Harvard Business Review, сентябрь 2005.
51. Сулл Д. Стратегия активного ожидания // Harvard Business Review, декабрь 2005.
[1]
Никонова И., Шамгунов Р. Стратегия и стоимость коммерческого банка. // Киев, Альпина Бизнес Букс, 2005. С 102-103.
[2]
Источник : www.privatbank.ua
[3]
рассчитано как отношение ипотечного портфеля банковской системы Украины (27,2 млрд. грн. – по данным УНИА) к объему ипотечных кредитов ПриватБанка 2,1 млрд. грн.
[4]
Чевертон П. Теория и практика современного маркетинга // Киев, ФАИР-ПРЕСС, 2002. С310.
|