| БЕЛОРУССКИЙ ГОСУДАРСТВЕННЫЙ УНИВЕРСИТЕТ
Выпускная работа по «Основам информационных технологий»
Магистранта
кафедры функционального анализа
Хмызова Антона Константиновича
Руководители:
Доцент, к.ф.-м.н. Яблонский Олег Леонидович,
ст. преподаватель Кожич Павел Павлович
Минск – 2007 г.
Оглавление
Оглавление. 2
Реферат по ИТ в предметной области. 3
Введение. 3
Глава 1 Обзор литературы.. 5
Глава 2 Описание программ. 6
Глава 3 Основные результаты..
12
Заключение. 13
Список литературы к реферату. 14
Предметный указатель к реферату. 15
Интернет ресурсы в предметной области исследования. 16
Список литературы к выпускной работе. 18
Действующий личный сайт в WWW... 19
Презентация магистерской диссертации. 21
Приложение 1. 22
Приложение 2. 25
Реферат по ИТ в предметной области
«Применение ИТ технологий при исследовании финансовых рынков»
Введение
Финансовые рынки сегодня являются одним из ключевых звеньев экономики развитых стран. Интенсивное развитие информационных технологий приводит к появлению различных программных продуктов, предоставляющих широкие возможности для анализа информации, поступающей с финансовых рынков. Всемирная паутина (World Wide Web) также играет огромную роль в развитии финансовых рынков, помогая получать самую последнюю информацию о состоянии той или иной компании, участвовать в торгах в режиме «он-лайн».
Практически все программные продукты в области финансового анализа предлагают различные решения и подходы для одной задачи – представление информации в таком виде, который помог бы принять верное решение относительно покупки или продажи той или иной ценной бумаги. Основными показателями финансовых процессов, безусловно, являются числовые характеристики. Чтобы убедиться в этом, достаточно открыть любой информационный финансовый бюллетень, — будь то итоги торгов на биржах или новости внебиржевого рынка — количество цифр поражает воображение. Как действовать в такой ситуации? Как обработать такое количество информации? На помощь приходят различные программные приложения по анализу статистической информации. После этого можно приступить к построению математической модели процесса, т.е. приблизительно описать процесс с помощью математических соотношений. Затем можно приступать к компьютерному моделированию математического процесса для того, чтобы оценить поведение процесса в будущем. Для компьютерного моделирования характерно то, что математическая модель системы представляется в виде программы, и это позволяет проводить с ней различные вычислительные эксперименты.
Забиваем Сайты В ТОП КУВАЛДОЙ - Уникальные возможности от SeoHammer
Каждая ссылка анализируется по трем пакетам оценки: SEO, Трафик и SMM.
SeoHammer делает продвижение сайта прозрачным и простым занятием.
Ссылки, вечные ссылки, статьи, упоминания, пресс-релизы - используйте по максимуму потенциал SeoHammer для продвижения вашего сайта.
Что умеет делать SeoHammer
— Продвижение в один клик, интеллектуальный подбор запросов, покупка самых лучших ссылок с высокой степенью качества у лучших бирж ссылок.
— Регулярная проверка качества ссылок по более чем 100 показателям и ежедневный пересчет показателей качества проекта.
— Все известные форматы ссылок: арендные ссылки, вечные ссылки, публикации (упоминания, мнения, отзывы, статьи, пресс-релизы).
— SeoHammer покажет, где рост или падение, а также запросы, на которые нужно обратить внимание.
SeoHammer еще предоставляет технологию Буст, она ускоряет продвижение в десятки раз,
а первые результаты появляются уже в течение первых 7 дней.
Зарегистрироваться и Начать продвижение
Целью
данной работы является анализ современных средств информационных технологий, наиболее часто используемых для анализа финансовых активов и позволяющих принимать адекватное решение на основе имеющейся информации.
Задачи данной работы
:
· охарактеризовать используемые программы
· сравнить возможности данных программ
Глава 1. Обзор литературы
Математическое моделирование в финансовом анализе используют, начиная с 70-х годов – со времени изменений в развитии финансовых рынков. Однако сначала эти попытки часто заходили в тупик из-за сложности моделей (нелинейные уравнения, большое число переменных, параметров, уравнений и др.) и невозможности их исследования традиционными аналитическими методами. С появлением компьютеров ситуация коренным образом изменилась, появилась возможность экспериментировать с математическими моделями и существенно расширить круг решаемых финансовых вопросов. Появились новые подходы и понятия: вычислительный эксперимент, статистическое моделирование и много других. В зависимости от математического аппарата, используемого при построении модели, можно выделить два основных вида компьютерного моделирования: имитационное и статистическое.
Для анализа поведения финансовых инструментов на начальном этапе можно использовать статистическое моделирование. Здесь нельзя не упомянуть о широчайших возможностях, которые предоставляет пакет STATISTICA 5.5 , работающий на платформе MS Windows. Безусловно, активно используются и возможности MS Excel, но STATISTICA 5.5 представляет намного более широкий спектр инструментов для анализа статистических данных. При использовании имитационного подхода можно воспользоваться известным пакетом Mathematica 5.2 (также работает на платформе MS Windows), который способен решать достаточно сложные математические задачи.
Далее в работе более подробно рассматриваются возможности данных пакетов и их применение при анализе поведения финансовых инструментов.
Глава 2 Основные возможности программных продуктов
Как уже было отмечено, при анализе поведения финансовых активов сначала можно воспользоваться статистическими методами и здесь серьезно может помочь STATISTICA − продукт компании StatSoft.
Сервис онлайн-записи на собственном Telegram-боте
Попробуйте сервис онлайн-записи VisitTime на основе вашего собственного Telegram-бота:
— Разгрузит мастера, специалиста или компанию;
— Позволит гибко управлять расписанием и загрузкой;
— Разошлет оповещения о новых услугах или акциях;
— Позволит принять оплату на карту/кошелек/счет;
— Позволит записываться на групповые и персональные посещения;
— Поможет получить от клиента отзывы о визите к вам;
— Включает в себя сервис чаевых.
Для новых пользователей первый месяц бесплатно.
Зарегистрироваться в сервисе
Пакет включает в себя большое количество разнообразных категорий и типов графиков. Ведь именно на графических изображениях человеческий глаз сразу видит скрытые закономерности, связи в данных, − то чего нельзя увидеть в цифрах, − воспринимая картину в целом, а не отдельные ее части. Все те графики, которые традиционно используются в техническом анализе рынков, — а также существенно более сложные, — можно построить в системе STATISTICA. Это всевозможные графики на плоскости и в пространстве, включая аналитические графики, деловые графики и диаграммы, специализированные статистические графики (гистограммы, матричные, категоризованные графики, диаграммы рассеяния и др.), пиктографики.
Имеются два основных типа графиков, отличающиеся подмножеством данных, на которых они строятся: Статистические графики, − графики для визуализации всех значений переменных (столбцов) электронной таблицы. Они включают в себя Stats Graphs —
Статистические графики и Quick Stats Graphs —
Быстрые статистические графики. Вторая группа — Пользовательские графики, −
графики для визуализации значений из предварительно выделенного блока электронной таблице. Эта группа графиков включает в себя Custom Graphs —
Пользовательские графики и Block Stats Graphs —
Блоковые статистические графики.

Рис.1 – некоторые виды графиков пакета STATISTICA 5.5
Графические методы относятся к средствам дескриптивной или описательной статистики. Часто этих методов недостаточно для построения численных прогнозов и необходимо использовать более сложные аналитические методы, — методы индуктивной статистики.
Для анализа флуктуирующих во времени данных используются методы анализа временных рядов. Типичные примеры рядов: курсы акций, различные индексы: Dow Jones Industrial, Standard&Poors 500, USD Index, Bank of England, индекс РТС — индекс Российской торговой системы и другие. Эти индексы важны при принятии решений на финансовых рынках. Анализ временных рядов в STATISTICA производится в модуле Time Series Analysis/Forecasting —
Анализ временных рядов/Прогнозирование.
В модуле имеются разнообразные методы, позволяющие провести всестороннее исследование временных рядов, учитывая особенности их поведения. Различные виды сглаживания: скользящее среднее, медианное, а также всевозможные преобразования рядов доступны в модуле. С их помощью можно проводить всевозможные исследования: сглаживания рядов, выделение циклов, скрытых периодичностей, прогнозировать. Предлагаются следующие методы для анализа временных рядов:
ARIMA
— Модель авторегрессии и проинтегрированного скользящего среднего.
Interrupted time series analysis
— Анализ прерванного временного ряда (модели ARIMA с интервенцией).
Exponential smoothing & forecasting —
Экспоненциальное сглаживание и прогнозирование.
Seasonal decomposition (1, 2) —
Сезонная декомпозиция 1 и 2 (в том числе месячная и квартальная).
Distributed lags analysis
— Анализ распределенных лагов (регрессионная модель для двух временных рядов).
Spectral (Fourier) analysis —
Спектральный (Фурье) анализ.
Пусть, например, имеется временной ряд индекса Dow Jones Industrial:

Рис.2 – временной ряд индекса Dow Jones Industrial в пакете STATISTICA 5.5
Следующие графики спектральной плотности строятся несколькими щелчками мыши:

Рис. 3 – Всевозможные графики спектральной плотности индекса Dow Jones Industrial в пакете STATISTICA 5.5
Так же пакет поддерживает технологию OLE (в режимах сервера и клиента) при помощи которой вы можете внедрять документы (например, изображения, таблицы и др.).
В пакет STATISTICA встроен язык программирования STATISTICA BASIC, используя который, можно запрограммировать собственные методы. Пользователю доступны следующие библиотеки STATISTICA BASIC: математическая библиотека, включающая различные математические функции, генераторы случайных чисел, графическая библиотека, библиотека таблиц вывода, позволяющая создать и настроить таблицы вывода, библиотека матричных функций, статистические функции и т.д. Для описания программ в STATISTICA имеется Function Wizard
, с помощью которого все операции, реализованные в языке, можно выбрать в диалоговом режиме.
Mathematica, разработка компании WolframResearch, известный и широко используемый пакет. Он предоставляет обширное количество инструментов, которые можно использовать для решения различных задач финансовой математики. Необходимо отметить, что у компании Wolfram Research, разработчика пакета Mathematica, есть продукт Finance Essentials, который специально спроектирован для инвесторов, трейдеров и других игроков финансового рынка. В нем присутствуют практически все базовые финансовые объекты (например, опционы, облигации, процентные ставки) и функции (вычисление цены опциона, спот-ставки). Инструменты данного приложения при комбинировании со встроенным в Mathematica языком программирования делают компьютерное моделирование финансовых процессов более продуктивным. Язык Mathematica поддерживает все основные современные методы программирования, а также предоставляет некоторые новые возможности. Mathematica включает широкий спектр парадигм программирования - таким образом, любую программу можно написать наиболее подходящим для нее способом. Вот некоторые из них :
· Процедурное программирование

Рис.4 – пример простейшего процедурного программирования в пакете Mathematica 5.2
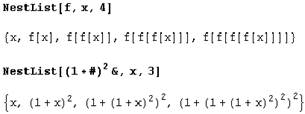
· Функциональное программирование

Рис.5 – пример простейшего функционального программирования в пакете
Mathematica 5.2
· Программирование с помощью правил

Рис.6 – пример простейшего программирование с помощью правил в пакете
Mathematica 5.2
· Объектно-ориентированное программирование

Рис.7 – пример простейшего объектно-ориентированного программирования в пакете
Mathematica 5.2
Многие функции в языке Mathematica сочетают различные парадигмы программирования. Язык Mathematica не ограничивается одним конкретным стилем программирования, а позволяет выбирать из нескольких стилей или смешивать различные стили.
Finance Essentials является интегрируемой в Mathematica средой, поэтому все производимые вычисления достаточно точны.
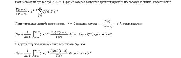
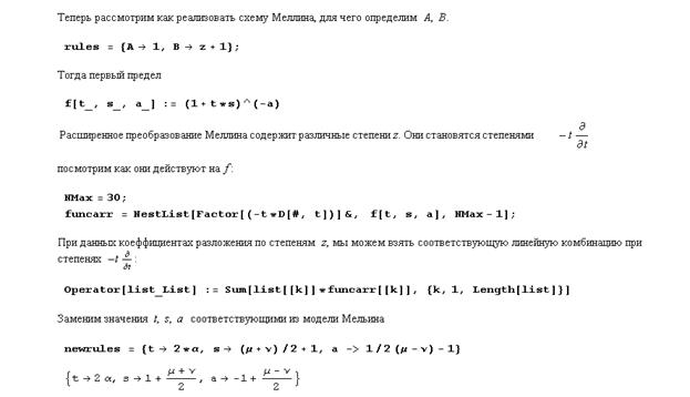
Необходимо, однако, отметить, что моделирование финансовых процессов можно проводить и в самой среде Mathematica. Так, например, если необходимо получить формулу поведения цены азиатского опциона пакет вполне справится с этой задачей (см. Приложение 2). Система Mathematica может вычислять значения специальных функций с любыми параметрами и с любой точностью и решать широкий класс обыкновенных дифференциальных уравнений и уравнений в частных производных, что крайне необходимо при компьютерном моделировании недетерминированных (стохастических) финансовых процессов.
Глава 3. Основные результат
ы
Сравнение программ достаточно сложная задача, поскольку в каждой из них потенциальный пользователь найдет и явные преимущества перед другими, и в то же время слабые стороны. Можно сказать, что данные пакеты являются одними из лучших в области анализа и компьютерного моделирования финансовых процессов (например, журнал Technical Analysis of Stocks and Commodities
по результатам обзора читательских откликов присудил STATISTICA
наивысший рейтинг среди систем статистической обработки данных, доступных на рынке программного обеспечения). Однако между пакетами существуют некоторые существенные различия:
· Статистические инструменты Mathematica намного слабее в отличии от пакета STATISTICA;
· Графические инструменты STATISTICA намного превосходят возможности пакета Mathematica;
· Хотя в пакете STATISTICA присутствует собственный язык, он существенно слабее языка Mathematica и предоставляет меньше возможностей;
· Математические и аналитические возможности системы Mathematica считаются одними из лучших среди других математических пакетов.
Таким образом, можно сделать следующие выводы:
· Пакет STATISTICA отлично подойдет при количественном анализе финансового рынка, в силу мощной графической и статистической составляющих.
· Пакет Mathematica с приложением Finance Essentials лучше всего использовать при компьютерном анализе стохастических процессов финансового рынка, основанных на модели случайного блуждания, в силу аналитических, математических и программных возможностей системы.
Заключение
В заключении хотелось бы отметить, что компьютерная техника продолжает развиваться все дальше, и разработчики должны добавлять постоянно что-то новое для того, чтобы их программные продукты оставались конкурентоспособными. Обе компании StatSoft и WolframResearch ,предлагающие свои разработки, проявляют максимум усилий для того, чтобы поддержать свой высокий статус (например, StatSoft добавил в свой пакет поддержку таких технологий как ActiveX (модификация элементов управления для создания мультимедиа-приложений для Интернета) ,DDE (позволяет динамически связывать данные с подмножеством данных в других Windows приложениях) и внедрил язык STATISTICA VISUAL BASIC (SVB)). WolframResearch недавно выпустил Mathematica 6, значительно расширив возможности графической составляющей пакета, расширив класс специальных функций и т.п. И, тем не менее, для того чтобы решить некоторые задачи возможностей этих пакетов недостаточно. Например, Mathematica не может аналитически решать или производить манипуляции с уравнениями в частных производных. Такие уравнения появляются при расчете цены опциона или облигации, основанной на стохастической модели поведения процентной ставки. Ни в один пакет не интегрированы основы стохастического анализа, а именно методы этой науки необходимо применять при исследовании финансового рынка, если предполагать что он является эффективным. Таким образом, в программных продуктах есть некоторые, не реализованные математические инструменты, но можно быть уверенным что скоро, в силу стремительного развития информационных технологий, разработчики программных продуктов все же их реализуют.
Список литературы к реферату
1. Shaw
W
.
T
.
Complex Analysis with Mathematica. / Cambridge University Press. 2006
2. Кулешов А.А., Земсков С В., Позняк Ю.В.
Электронное учебное пособие по высшей математике на базе системы Mathematica. / Минск,
«Электронная книга БГУ», 2001
3. Шмидский Я.
Mathematica 5. Самоучитель. / М.: Диалектика. 2004.
4. Дьяконов В.
Mathematica 4.1/4.2/5.0 в математических и научно-технических расчетах. / М.: СОЛОН-Пресс. 2004
5. Боровиков В., Ивченко Г.
Прогнозирование в системе STATISTICA в среде WINDOWS. / М.: «Финансы и Статистика»,2006
6. Боровиков В.
STATISTICA: искусство анализа данных на компьютере. М.:Питер.2003
7. http://www.statsoft.ru/statportal/tabID__45/DesktopDefault.aspx
8. http://www.wolfram.com/
9. http://www.elbook.bsu.by/OurMath/glalg.htm
Предметный указатель к реферату
Active X, 14
ARIMA, 9
DDE, 14
Finance Essentials, 10, 12, 13
Mathematica, 6, 10, 11, 12, 13, 14
OLE, 10
STATISTICA, 6, 8, 9, 10, 13, 14
STATISTICA BASIC, 10,14
StatSoft, 7, 14
MS Windows, 6
WolframResearch, 10, 14
временной ряд, 8,9
имитационное моделирование, 6
компьютерного моделирования, 5, 7
парадигмы программирования, 11
Пользовательские графики, 7
Статистические графики, 7
статистическое моделирование, 6,14
Интернет ресурсы в предметной области исследования
http://www.google.com
Всемирно известная поисковая система Google. Позволяет производить простой поиск по ключевым словам, возможен вариант расширенного поиска по группам (среди книг, музыкальных файлов или видеофайлов, новостей и т.д.), особым признакам (определение, тип файла) и т.д. Поиск информации в сети Интернет обычно начинается с этого сайта.
http://www.vak.org.by
Сайт Высшей аттестационной комиссии Республики Беларусь. Тут размещены материалы, касающиеся подготовки научных кадров, присуждения ученых степеней и званий, краткие паспорта специальностей и программы-минимумы кандидатских экзаменов по специальности; в разделе «Каталог файлов» представлены доступные для скачивания файлы нормативных документов с приложениями и шаблоны регистрационных документов. Организован поиск по сайту и в сети Интернет.
http://www.exponenta.ru/
Образовательный математический сайт. Здесь можно найти примеры решения различных задач в среде математических пакетов в Mathcad, Matlab, Maple, Mathematica, Statistica, получить руководства по работе с этими математическими пакетами, найти информацию об основных ресурсах российского Интернета, посвященных использованию математических пакетов в образовании и в науке.
http://www.novamedium.info
Сайт посвящен исследованиям в естественных науках и образовательным технологиям. Там можно найти решения типовых задач по различным разделам высшей и элементарной математики с помощью пакета Mathematica.
http://www.wolfram.com/rmug
Форум "Russian Mathematica Users Group" (RMUG) для поддержки пользователей программы Mathematica на русском языке. Позволяет общаться с другими Маthematica пользователями, задавать и получать ответы на вопросы о Маthematica, и узнать больше о ee возможностях.
http://www.statsoft.com/
Сайт разработчика пакета STATISTICA, компании StatSoft. Содержит много полезной информации о пакете и описание различных его возможностей.
http://www.statistica.ru/
Учебно-образовательный и информационный статистический портал StatSoft. Содержит электронный учебник по статистике, учебники по языку STATISTICA VISUAL BASIC, пособия по теории страхования и много другой полезной информации.
http://www.artspb.com/
Портал посвящен современным компьютерным технологиям, математике и средствам визуализации научных исследований, кибернетике и искусственному интеллекту, интернет-робототехнике.
http://www.teorver.ru/
Интернет портал, посвященный таким разделам математики, как теория вероятностей, математическая статистика, теория массового обслуживания, математическая теория телетрафика и другим приложениям теории вероятностей.
Список литературы к выпускной работе
- Моисеенко С., Соболь Б.
Разработка приложений в Microsoft Office Access. Краткое руководство. / М.: Вильямс, 2006
- Сергеев А.
Microsoft Office 2003. Самоучитель. / М.: Диалектика, 2007
- Спека М.
Microsoft Office PowerPoint 2003. Самоучитель. / М.: Диалектика, 2007
- Хислоп
Б
.
, Энжел
Д
.,
Кент
П
.
Microsoft Office Word 2003. Библия пользователя. / М.: Диалектика, 2004
- Хабрейкен
Д
.
Microsoft Office 2003 : Word, Excel, Access, PowerPoint, Publisher, Outlook. Все в одном. / М.: Вильямс, 2006
6. Уэмпен Ф.
Microsoft Office PowerPoint 2003. Библия пользователя. / М.: Диалектика, 2005
7. Вуколов Э.
Основы статистического анализа. Практикум по статистическим методам и исследованию операций с использованием пакетов "Statistica" и "Excel". / М.: Форум, 2004
8. Боровиков В., Ивченко Г.
Прогнозирование в системе Statistica в среде Windows. / М.: Финансы и статистика, 2000.
9. В.Муравьев, Д.Бурланков
. Практическое введение в пакет МATHEMATICA. / М.: БХВ-Петербург, 2000
10. Ширяев А.
Основы финансовой стохастической математики. В 2 т. / Фазис М., 1998. Т. 1: Факты. Модели.
Действующий личный сайт в
WWW
www.AXe-13.narod.ru
Граф научных интересов
Магистранта Хмызова А.К. механико-математический факультет
Специальность «математика»
| Смежные специальности
| 05.13.18 - математическое моделирование, численные методы и комплексы программ.
|
| 1. Теория приближенных методов и численных алгоритмов решения задач алгебры, дифференциальных и интегральных уравнений, задач дискретной математики, экстремальных задач, задач управления, некорректных задач других задач линейного, нелинейного и стохастического анализа.
2. Теория и методы параллельных вычислений.
|
| 01.01.01
- математический анализ;
|
| 1. Теория функций действительного и комплексного переменного, обобщенные функции.
2. Специальные функции и интегральные преобразования.
|
|
Основная специальность
| 01.01.05
– теория вероятностей и математическая статистика
|
| 1.
Стохастический анализ и стохастические дифференциальные уравнения.
2.
Статистика случайных процессов, полей и временных рядов.
3.
Статистические выводы и анализ данных.
|
|
Сопутствующие специальности
| 01.01.02
– Дифференциальные уравнения
|
| 1. Развитие теории обыкновенных дифференциальных уравнений и уравнений в частных производных, интегральных, интегро-дифференциальных, функционально-дифференциальных, дифференциально-операторных уравнений и дифференциальных уравнений со случайными параметрами.
2. Обоснование численных методов решения дифференциальных, интегральных, интегро-дифференциальных, функционально-дифференциальных и дифференциально-операторных уравнений.
3. Разработка методов дифференциальных уравнений для решения задач механики, математической физики и других прикладных наук.
|
| 01.01.09
– дискретная математика и математическая кибернетика
|
| 1. Теория функциональных систем, теория графов и комбинаторный анализ, теория сложности вычислений.
2. Теория и методы минимизации функций; общая теория экстремальных задач; теория многокритериальной и векторной оптимизации; теория и методы решения задач математического программирования, включая задачи стохастического программирования и задачи в условиях неопределенности.
|
|
Презентация магистерской диссертации
Презентацию, выполненную в Power Point, можно посмотреть по следующей ссылке: http://www.AXe-13.narod.ru/Presentation.ppt
Приложени
е 1
1 2

3 4

5 6

7 8

9 10

11 12

13 14

15
Приложение 2










|