| ГОЦУ гимназия №1505 «Московская городская педагогическая гимназия-лаборатория»
Дипломная работа
«исследование процессов прохождения электромагнитных волн через различные среды»
выполнил:
ученик 10 «Б» класса
Ермолаев Иван
руководитель:
Дмитриев Г.В.
Москва 2010
Содержание:
1. Введение.
2. Основные понятия и история изучения об электродинамике и электромагнитных излучениях.
3. Описание установки, созданной для исследований.
4. Описание исследований по прохождению электромагнитных волн через различные среды.
5. Анализ результатов исследований.
6. Вывод.
Тема моей дипломной работы – исследование процессов прохождения электромагнитных волн сквозь различные среды. Я выбрал эту тему, так как она одна из самых актуальных тем в наше время. Электромагнитные волны – часть нашего окружающего мира и мы постоянно встречаемся с ними, так как электромагнитное излучение хорошо распространяется в пространстве, например земля по которой мы ходим, тоже излучает электромагнитные волны. К электромагнитному излучению относятся радиоволны (начиная со сверхдлинных), инфракрасное излучение, видимый свет, ультрафиолетовое, рентгеновское и жесткое (гамма-)излучение. Поэтому человек научился сам создавать и использовать их. Следовательно, интерес к этой части был и есть до сих пор.
Цель моей дипломной работы заключается в том, чтобы создать научно – популярное пособие по исследованию процессов прохождения электромагнитных волн сквозь различные среды и также провести ряд исследований по этой теме. При написании данной работы я поставил несколько задач.
Задачи:
1. Найти и прочитать материал по моей теме.
2. Разобрать данный материал.
3. Изучить теорию электромагнитных волн Максвелла.
4. Подобрать материалы и инструменты для создания установки.
5. Провести исследования по прохождению электромагнитных волн через различные среды.
6. Проанализировать полученные результаты исследований.
7. Написать теоретическую и практическую части и результаты в четырех главах диплома.
Результатом дипломной работы будет являться написанное пособие по электромагнитным волнам и собранная установка для исследований их через различные среды. Поэтому мой диплом будет включать следующие параграфы:
7. Введение.
8. Основные понятия и история изучения об электродинамике и электромагнитных излучениях.
Забиваем Сайты В ТОП КУВАЛДОЙ - Уникальные возможности от SeoHammer
Каждая ссылка анализируется по трем пакетам оценки: SEO, Трафик и SMM.
SeoHammer делает продвижение сайта прозрачным и простым занятием.
Ссылки, вечные ссылки, статьи, упоминания, пресс-релизы - используйте по максимуму потенциал SeoHammer для продвижения вашего сайта.
Что умеет делать SeoHammer
— Продвижение в один клик, интеллектуальный подбор запросов, покупка самых лучших ссылок с высокой степенью качества у лучших бирж ссылок.
— Регулярная проверка качества ссылок по более чем 100 показателям и ежедневный пересчет показателей качества проекта.
— Все известные форматы ссылок: арендные ссылки, вечные ссылки, публикации (упоминания, мнения, отзывы, статьи, пресс-релизы).
— SeoHammer покажет, где рост или падение, а также запросы, на которые нужно обратить внимание.
SeoHammer еще предоставляет технологию Буст, она ускоряет продвижение в десятки раз,
а первые результаты появляются уже в течение первых 7 дней.
Зарегистрироваться и Начать продвижение
9. Описание установки, созданной для исследований.
10. Описание исследований по прохождению электромагнитных волн через различные среды.
11. Анализ результатов исследований.
12. Вывод.
При написании дипломной работы буду пользоваться следующей литературой:
1. Физика: Учеб. для 10кл. общеобразоват. учереждений / Г.Я. Мякишев, Б.Б. Буховцев, Н.Н. Сотский. – 14-е изд. – М.: Просвещение, ОАО «Моск. Учеб.», 2005. – 366 с.
2. Физика. 11кл.: Учебн. для общеобразоват. учереждений / Касьянов В.А. – 3-е изд., дораб. – М.: Дрофа, 2003. – 416 с.: ил., 8л. цв. вкл.
3. Тамми И.Е. Основы теории электричества: Учеб. пособие для вузов – 11-е изд., испр. и доп. – М.:ФИЗМАЛИТ, 2003. – 616с.
Дадим определение электродинамике.
«Электродинамика — раздел физики, изучающий электромагнитное поле в наиболее общем случае (то есть, рассматриваются переменные поля, зависящие от времени) и его взаимодействие с телами, имеющими электрический заряд (электромагнитное взаимодействие). Предмет электродинамики включает связь электрических и магнитных явлений, электромагнитное излучение (в разных условиях, как свободное, так и в разнообразных случаях взаимодействии с веществом), электрический ток (вообще говоря, переменный) и его взаимодействие с электромагнитным полем (электрический ток может быть рассмотрен при этом как совокупность движущихся заряженных частиц). Любое электрическое и магнитное взаимодействие между заряженными телами рассматривается в современной физике как осуществляющееся через посредство электромагнитного поля, и, следовательно, также является предметом электродинамики.» [1]
Но мне больше всего понадобится часть электродинамики –изучения об электромагнитном излучении(электромагнитных волнах). А теперь дадим определение и этому термину.
«Электромагнитное излучение (электромагнитные волны) — распространяющееся в пространстве возмущение (изменение состояния) электромагнитного поля (то есть, взаимодействующих друг с другом электрического и магнитного полей). Среди электромагнитных полей вообще, порожденных электрическими зарядами и их движением, принято относить собственно к излучению ту часть переменных электромагнитных полей, которая способна распространяться наиболее далеко от своих источников — движущихся зарядов, затухая наиболее медленно с расстоянием. К электромагнитному излучению относятся радиоволны (начиная со сверхдлинных), инфракрасное излучение, видимый свет, ультрафиолетовое, рентгеновское и жесткое (гамма-)излучение.» [2]
Сервис онлайн-записи на собственном Telegram-боте
Попробуйте сервис онлайн-записи VisitTime на основе вашего собственного Telegram-бота:
— Разгрузит мастера, специалиста или компанию;
— Позволит гибко управлять расписанием и загрузкой;
— Разошлет оповещения о новых услугах или акциях;
— Позволит принять оплату на карту/кошелек/счет;
— Позволит записываться на групповые и персональные посещения;
— Поможет получить от клиента отзывы о визите к вам;
— Включает в себя сервис чаевых.
Для новых пользователей первый месяц бесплатно.
Зарегистрироваться в сервисе
Существование электромагнитных волн было предсказано М. Фарадеем в 1832. Джеймс Максвелл в 1865 теоретически показал, что электромагнитные колебания распространяются в вакууме со скоростью света. В 1888 максвелловская теория электромагнитных волн получила подтверждение в опытах Генриха Герца, что сыграло решающую роль для её утверждения.

Табл.1
Теория Максвелла позволила установить, что радиоволны, свет, рентгеновское излучение и гамма-излучение представляют собой электромагнитные волны с различной длиной волны (табл1.), причём между соседними диапазонами шкалы Электромагнитных волн нет резких границ (рис1).

Рис. 1
Особенности электромагнитных волн, законы их возбуждения и распространения описываются Максвелла уравнениями. Если в какой-то области пространства существуют электрические заряды е и токи I, то изменение их со временем t приводит к излучению электромагнитных волн. На характер распространения электромагнитных волн существенно влияет среда, в которой они распространяются. Электромагнитных волн могут испытывать преломление, в реальных средах имеет место дисперсия волн, вблизи неоднородностей наблюдаются дифракция[3]
волн, интерференция[4]
волн, полное внутреннее отражение[5]
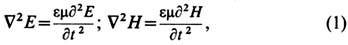
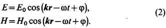
и другие явления, свойственные волнам любой природы. Пространственное распределение электромагнитных полей, временные зависимости E(t) и H(t), определяющие тип волн (плоские, сферические и другие), вид поляризации и другие особенности электромагнитных волн, задаются, с одной стороны, характером источника излучения, с другой - свойствами среды, в которой они распространяются. В случае однородной и изотропной среды вдали от зарядов и токов, создающих электромагнитное поле, уравнения Максвелла приводят к волновым уравнениям:

описывающим, в частности, распространение плоских монохроматических электромагнитных волн:

Здесь e-диэлектрическая, m-магнитная проницаемости среды, Е0
и H0
- амплитуды колебаний электрического и магнитного полей, w = 2pv - круговая частота этих колебаний, j - произвольный сдвиг фазы, k - волновой вектор, r - радиус-вектор точки, -оператор Лапласа, E |
H |
k, Н0
=
Если среда неоднородна или содержит поверхности, на которых изменяются её электрические либо магнитные свойства, или если в пространстве имеются проводники, то тип возбуждаемых и распространяющихся электромагнитных волн может существенно отличаться от плоской линейно поляризованной волны. Электромагнитные волны могут распространяться вдоль направляющих поверхностей (поверхностные волны), в передающих линиях, в полостях, образованных хорошо проводящими стенками.
Характер изменения во времени Е и Н определяется законами изменения тока I(t) и зарядов e(t), возбуждающих электромагнитные волны. Однако форма волны в общем случае не следует I(t ) или e(t). Она в точности повторяет форму тока только в случае линейной среды, если I=I0
sin wt. Так как волны любой формы можно представить в виде суммы гармонических составляющих, то для линейных сред, для которых справедлив принцип суперпозиции, все задачи излучения, распространения и поглощения электромагнитных волн произвольной формы сводятся к решению задач для гармонических электромагнитных волн.
В изотропном пространстве скорость распространения гармонических электромагнитных волн, тое есть фазовая скорость u= c/ . При наличии дисперсии скорость переноса энергии (групповая скорость) может отличаться от u. Плотность потока энергии, переносимой электромагнитной волны, определяется Пойнтинга вектором S=(c/4p)[EH]. Так как в изотропной среде векторы Е, Н и k образуют правовинтовую систему, то S совпадает с направлением распространения электромагнитных волн. В анизотропной среде (вблизи проводящих поверхностей) S может не совпадать с направлением распространения электромагнитных волн.
Простейшим излучателем электромагнитных волн является электрический диполь- отрезок проводника длиной l<l, по которому протекает ток i=i0
sin wt. На расстоянии от диполя r>l образуется волновая зона (зона излучения), где распространяются сферические волны.
Создание мощных источников радиоволн во всех диапазонах, а также появление квантовых генераторов, в частности лазеров, позволили достичь напряжённостей электрического поля в электромагнитных волнах, существенно изменяющих свойства сред, в которых происходит их распространение. Это привело к развитию нелинейной теории электромагнитных волн. При распространении электромагнитных волн в нелинейной среде (e и m зависят от E и H) её форма изменяется. Если дисперсия мала, то по мере распространения электромагнитных волн они обогащаются высшими гармониками и их форма постепенно искажается. Например, после прохождения синусоидальной электромагнитной волны характерного пути (величина которого определяется степенью нелинейности среды) может сформироваться ударная волна, характеризующаяся резкими изменениями Е и Н (разрывами) с их последующим плавным возвращением к первоначальным величинам. Большинство нелинейных сред, в которых электромагнитные волны распространяются без сильного поглощения, обладают значительной дисперсией, препятствующей образованию ударных электромагнитных волн. Поэтому образование ударных волн возможно лишь в диапазоне l от нескольких сантиметров до длинных волн. При наличии дисперсии в нелинейной среде возникающие высшие гармоники распространяются с различной скоростью и существенные искажения формы исходной волны не происходит. Образование интенсивных гармоник и взаимодействие их с исходной волной может иметь место лишь при специально подобранных законах дисперсии.
Электромагнитные волны различных диапазонов l характеризуются различными способами возбуждения и регистрации. Они по-разному взаимодействуют с веществом. Процессы излучения и поглощения электромагнитные волны от самых длинных волн до ИК-излучения достаточно полно описываются соотношениями электродинамики. На более высоких частотах доминируют процессы, имеющие существенно квантовую природу, а в оптическом диапазоне и тем более в диапазонах рентгеновских и g-лучей излучение и поглощение Электромагнитные волны могут быть описаны только на основе представлений о дискретности этих процессов. Во многих случаях электромагнитное излучение ведёт себя не как набор монохроматических электромагнитных волн с частотой со и волновым вектором k, а как поток квазичастиц-фотонов с энергией (2p/h)w и импульсом р= w/ с. Волновые свойства проявляются, например, в явлениях дифракции и интерференции, корпускулярные - вфотоэффекте и Комптона эффекте.
[1]
http://ru.wikipedia.org/wiki/Электродинамика
[2]
http://ru.wikipedia.org/wiki/Электромагнитная_волна
[3]
Дифракция волн
(лат. diffractus
— буквально разломанный, переломанный) — явление, которое можно рассматривать как отклонение от законов геометрической оптики при распространении волн. Первоначально понятие дифракции относилось только к огибанию волнами препятствий, но в современном, более широком толковании, с дифракцией связывают весьма широкий круг явлений, возникающих при распространении волн в неоднородных средах, а также при распространении ограниченных в пространстве волн. Дифракция тесно связана с явлением интерференции. Более того, само явление дифракции зачастую трактуют как частный случай интерференции (интерференция вторичных волн).
[4]
Интерференция волн
— взаимное усиление или ослабление амплитуды двух или нескольких когерентных волн, одновременно распространяющихся в пространстве. Сопровождается чередованием максимумов и минимумов интенсивности в пространстве. Результат интерференции (интерференционная картина) зависит от разности фаз накладывающихся волн.
[5]
Отражение
— явление частичного или полного возвращения волн (звуковых, электромагнитных и других), достигающих границы раздела двух сред (препятствия), в ту среду, из которой они подходят к этой границе. Угол между направлением движения отражённой волны и нормалью к границе раздела сред называется углом отражения; он равен углу падения, но расположен по другую сторону от нормали. Одновременно с отражением волн на границе раздела сред, как правило, происходит преломление волн (за исключением случаев полного внутреннего отражения).
|