|
Содержание
От редактора............................................................................................................................. 4
От автора................................................................................................................................... 6
1. Основные задачи, цели и последовательность проведения эконометрического анализа.................................................................................................... 7
1.1. Что изучает эконометрика ?......................................................................................... 7
1.2. Краткая история развития эконометрики................................................................... 8
1.3. Классификация эконометрических моделей.............................................................. 8
1.3.1. Регрессионные модели......................................................................................... 8
1.3.2. Системы взаимозависимых моделей.................................................................. 9
1.3.3. Рекурсивные системы.......................................................................................... 9
1.3.4. Модели временных рядов.................................................................................... 9
1.4. Постановки некоторых эконометрических задач.................................................... 10
1.5. Последовательность разработки эконометрических моделей................................ 12
Резюме................................................................................................................................. 13
2. Эконометрический анализ на основе моделей линейной регрессии........................... 15
2.1. Однофакторная линейная регрессия......................................................................... 15
2.2. Многофакторная линейная регрессия....................................................................... 23
2.3. Некоторые особенности применения многофакторных регрессионных моделей в эконометрическом анализе.................................................. 27
2.3.1. Мультиколлинеарность...................................................................................... 27
Забиваем Сайты В ТОП КУВАЛДОЙ - Уникальные возможности от SeoHammer
Каждая ссылка анализируется по трем пакетам оценки: SEO, Трафик и SMM.
SeoHammer делает продвижение сайта прозрачным и простым занятием.
Ссылки, вечные ссылки, статьи, упоминания, пресс-релизы - используйте по максимуму потенциал SeoHammer для продвижения вашего сайта.
Что умеет делать SeoHammer
— Продвижение в один клик, интеллектуальный подбор запросов, покупка самых лучших ссылок с высокой степенью качества у лучших бирж ссылок.
— Регулярная проверка качества ссылок по более чем 100 показателям и ежедневный пересчет показателей качества проекта.
— Все известные форматы ссылок: арендные ссылки, вечные ссылки, публикации (упоминания, мнения, отзывы, статьи, пресс-релизы).
— SeoHammer покажет, где рост или падение, а также запросы, на которые нужно обратить внимание.
SeoHammer еще предоставляет технологию Буст, она ускоряет продвижение в десятки раз,
а первые результаты появляются уже в течение первых 7 дней.
Зарегистрироваться и Начать продвижение
2.3.2. Использование фиктивных переменных......................................................... 28
2.3.3. Проблемы гетероскедастичности...................................................................... 29
Резюме................................................................................................................................. 29
3. Эконометрический анализ на основе временных рядов................................................ 30
3.1. Основные понятия в теории временных рядов....................................................... 30
3.2. Цели, этапы и методы анализа временных рядов.................................................... 31
3.3. Модели тренда и методы его выделения из временного ряда................................ 32
3.4. Порядок анализа временных рядов........................................................................... 33
3.5. Графические методы анализа временных рядов...................................................... 34
3.6. Пример анализа временных рядов............................................................................ 35
Резюме................................................................................................................................. 41
Литература.............................................................................................................................. 42
Приложение 1......................................................................................................................... 43
Приложение 2......................................................................................................................... 46
Приложение 3......................................................................................................................... 47
Приложение 4......................................................................................................................... 48
1. Основные задачи, цели и последовательность проведения эконометрического анализа
1.1. Что изучает эконометрика?
В настоящее время не существует однозначного понимания термина «эконометрика». Можно лишь говорить о смысловом значении этого термина как «науки об экономических измерениях». Однако такое определение вряд ли кого-либо может устроить, так как становится непонятно что, зачем и кому надо измерять в экономике? Авторы учебников и пособий по эконометрике не старались отвечать на эти вопросы, считая, что ответ на них очевиден. Все это так, если бы мы видели очень заметные достижения в области эконометрического анализа в экономике и бизнесе, особенно в условиях нестабильного Российского рынка. Но этого сегодня пока нет, по крайней мере, автор о заметных достижениях в этой области не слышал. Наиболее полное из имеющихся в литературе определений термина «эконометрика» предложено в работе [3]: Эконометрика – наука, исследующая количественные закономерности и взаимозависимости в экономике при помощи методов математической статистики. Основа этих методов - корреляционно-регрессионный анализ.
С этим определением можно было бы согласиться, но второе предложение, выделенное курсивом, резко уменьшает круг задач, решаемых в эконометрике. Очень большое количество экономических процессов протекает во времени с определенной регулярностью, например спрос. Для этих процессов используется другой математический аппарат, основанный на анализе временных рядов
. С учетом этого, в более широком смысле можно сказать, что Эконометрика – наука, исследующая закономерности и взаимозависимости между различными факторами в экономике и бизнесе при помощи методов статистического анализа.
При этом под фактором понимаются измеряемые и не измеряемые экономические показатели, например уровень инфляции, покупательский спрос, цена, объем продаж и т.д. Основная задача эконометрики
– проверка экономических теорий на фактическом (эмпирическом) материале при помощи методов математической статистики. По сути, работая с этими моделями, мы предполагаем, что вся информация о сути экономического явления содержится в эмпирическом материале, вполне естественно допуская при этом определенные ошибки. Эконометрический анализ позволяет предвидеть только те экономические процессы, которые сохраняют основные тенденции развития, либо повторялись несколько раз в прошлом. Нельзя ожидать от него чего-то большего.
Сервис онлайн-записи на собственном Telegram-боте
Попробуйте сервис онлайн-записи VisitTime на основе вашего собственного Telegram-бота:
— Разгрузит мастера, специалиста или компанию;
— Позволит гибко управлять расписанием и загрузкой;
— Разошлет оповещения о новых услугах или акциях;
— Позволит принять оплату на карту/кошелек/счет;
— Позволит записываться на групповые и персональные посещения;
— Поможет получить от клиента отзывы о визите к вам;
— Включает в себя сервис чаевых.
Для новых пользователей первый месяц бесплатно.
Зарегистрироваться в сервисе
Цель эконометрического анализа – разработка эконометрических моделей
, позволяющих прогнозировать тенденции развития экономических и бизнес процессов для получения наиболее эффективных и обоснованных решений. Эконометрические модели позволяют выявить особенности функционирования экономического объекта и на основе этого предсказывать будущее его поведение при изменении каких-либо параметров. Предсказание будущих изменений, например, повышение обменного курса, ухудшение экономической конъюнктуры, падение прибыли может опираться и на интуицию. Однако при этом могут быть упущены, неправильно определены или неверно оценены важные взаимосвязи экономических показателей, влияющие на рассматриваемую ситуацию. В модели все взаимосвязи переменных могут быть оценены количественно, что позволяет получить более качественный и надежный прогноз. Для любого экономического субъекта возможность прогнозирования ситуации означает, прежде всего, получение лучших результатов, избежание потерь или минимизации рисков.
Кто проводит эконометрический анализ? Ответ на этот вопрос также неоднозначен. На Западе это делает специалист в области эконометрического анализа – аналитик или эконометрист. В России, в соответствие с новыми государственными стандартами это должен делать экономист и менеджер по любой специализации. В России аналитиков не готовят, ими становятся только те, кто владеет эконометрическими методами анализа.
1.2. Краткая история развития эконометрики
Первые работы по эконометрике появились в конце XIX - начале XX века. В 1897 г. была опубликована работа одного из основателей математической школы в экономической теории В.Парето, посвященная статистическому изучению доходов населения в разных странах. Была предложена кривая Парето
у = A(x-a)-а
,
где х
– величина дохода;
у –
численность лиц, имеющих доход, больший х;
а –
минимальный доход;
А
и а - параметры зависимости, получаемые статистическими методами.
В самом начале XX века вышло несколько работ английского статистика Гукера, в которых он применил корреляционно-регрессионные методы, разработанные Пирсоном и его школой, для изучения взаимосвязей экономических показателей, в частности - влияния числа банкротств на товарной бирже на цену зерна. В дальнейшем появилось огромное число работ как по развитию теории математической статистики и ее прикладных элементов, так и по практическому приложению этих методов в экономическом анализе. К первой группе могут быть, например, отнесены работы Р. Фишера по дисперсионному анализу, ко второй - работы по оценке и исследованию производственных функций, в частности - классическая работа Кобба и Дугласа 1928 г.
Значительные достижения в эконометрике во многом определились работами М.Дж. Кендалла и А. Стьюарта, Э. Кейна, С.А. Айвазяна, Я.Р. Магнуса и других ученых.
Эконометрические модели и методы сейчас - это не только мощный инструментарий для получения новых знаний в экономике, но и широко применяемый аппарат для принятия практических решений в прогнозировании, банковском деле и бизнесе.
1.3. Классификация эконометрических моделей
Главным инструментом эконометрии служит эконометрическая модель или
экономико-математическая модель, параметры которой (факторы) оцениваются средствами математической статистики. Эта модель выступает в качестве средства анализа и прогнозирования конкретных экономических процессов на основе реальной статистической информации.
Эконометрические модели можно классифицировать по ряду классификационных признаков. Одной из основных классификационных эконометрических моделей является классификация по направлению и сложности причинных связей между показателями, характеризующими экономическую систему. Если пользоваться термином «переменная», то в любой достаточно сложной экономической системе можно выделить внутренние или эндогенные
переменные (например, выпуск продукции, численность работников, производительность труда) и внешние или экзогенные
переменные (например, поставка ресурсов, климатические условия и др.). Экзогенные переменные – те, которые задаются вне модели, т.е. известны заранее, а эндогенные переменные получаются в результате расчетов. Тогда по направлению и сложности связей между внутренними переменными и внешними переменными выделяют следующие эконометрические модели: регрессионные модели, системы взаимозависимых моделей, рекурсивные системы и модели временных рядов.
Регрессионными
называют модели, основанные на уравнении регрессии, или системе регрессионных уравнений, связывающих величины эндогенных и экзогенных переменных. Различают уравнения (модели) парной и множественной регрессии. Если для обозначения эндогенных переменных использовать букву у
, а для экзогенных переменных букву х
, то в случае линейной модели уравнение парной регрессии имеет вид
у = ao
+ a1
х ,
(1.1)
а уравнение множественной регрессии:
у = a0
+a1
x1
+a2
x2+…
.
(1.2)
Для нахождения параметров этих моделей а0
, а1
,
… и т.д. обычно используют метод наименьших квадратов
.
Системы взаимозависимых моделей
наиболее полно описывают экономическую систему, содержащую, как правило, множество взаимосвязанных эндогенных и экзогенных переменных. Такие модели задаются системой взаимозависимых уравнений следующего вида (п
– число эндогенных переменных, т
– число экзогенных переменных): 
Для нахождения параметров системы взаимозависимых уравнений используются более сложные методы: двух- и трехшаговый метод наименьших квадратов, методы максимального правдоподобия с полной и неполной информацией, методы математического программирования и др.
На практике стремятся упростить системы взаимозависимых моделей и привести их к так называемому рекурсивному виду. Для этого сначала выбирают эндогенную переменную (внутренний показатель), зависящую только от экзогенных переменных (внешних факторов), обозначают ее у1
.
Затем выбирается внутренний показатель, который зависит только от внешних факторов и от y1
, и т.д.; таким образом, каждый последующий показатель зависит только от внешних факторов и от внутренних предыдущих. Такие системы называются рекурсивными
.
Параметры первого уравнения рекурсивных систем находят методом наименьших квадратов, их подставляют во второе уравнение и опять применяется метод наименьших квадратов, и т.д.
Временной ряд
– это последовательность экономических показателей измеренных через равные промежутки времени. В экономике временные ряды – это ежедневные цены на акции, курсы валют, еженедельные и месячные объемы продаж, годовые объемы производства и т.п.
В моделях временных рядов yt
обычно выделяют три составляющих ее части: тренд xt
,
сезонную компоненту St,
циклическую компоненту Ct
и случайную компоненту e
. Обычно модель имеет следующий вид:
yt
= xt
+ St
+ Ct
+
e
при t = 1, ... , n
(1.4)
В последнее время к указанным трем компонентам все чаще добавляют еще одну компоненту, именуемую интервенцией
. Под интервенцией понимают существенное кратковременное воздействие на временной ряд. Примером интервенции могут служить события «черного вторника», когда курс доллара за день вырос почти на тысячу рублей.
Трендом
временного ряда называют плавно изменяющуюся, не циклическую компоненту, описывающую чистое влияние долговременных факторов, эффект которых сказывается постепенно.
В экономике к таким факторам можно отнести:
• изменение демографических характеристик популяции, включая рост населения, изменение структуры возрастного состава, изменение географического расселения и т.д.;
• технологическое и экономическое развитие;
• рост потребления и изменение его структуры.
Действие этих и им подобных факторов происходит постепенно, поэтому их вклад исследователи предпочитают описывать с помощью гладких кривых, просто задающихся в аналитическом виде.
Сезонная компонента
отражает присущую миру и человеческой деятельности повторяемость процессов во времени. Она часто присутствует в экономических, метеорологических и других временных рядах. Сезонная компонента чаще всего служит главным источником краткосрочных колебаний временного ряда, так что ее выделение заметно снижает вариацию остаточных компонент.
Сезонная компонента временного ряда описывает поведение, изменяющееся регулярно в течение заданного периода (года, месяца, недели, дня и т.п.). Она состоит из последовательности почти повторяющихся циклов.
Типичным примером сезонного эффекта является объем продаж в декабре каждого года в преддверии Рождества и нового года. В то же время пик объема продаж товаров для школьников приходится на начало нового учебного года. Объем перевозок пассажиров городским транспортом имеет два характерных пика утром и вечером, причем период вечернего пика и продолжительность его более длительны. Сезонные эффекты присущи многим сферам деловой активности: многие производства
имеют сезонный характер производства, потребление товаров также имеет ярко выраженную сезонность.
В некоторых временных рядах сезонная компонента может иметь плавающий или изменяющийся характер. Классическим примером подобного эффекта является праздник Пасхи, сроки которого изменяются из года в год. Поэтому локальный пик объемов междугородных перевозок во время пасхальных каникул является плавающим сезонным эффектом.
Циклическая компонента
занимает как бы промежуточное положение между закономерной и случайной составляющими временного ряда. Если тренд – это плавные изменения, проявляющиеся на больших временных промежутках и, если сезонная компонента – это периодическая функция времени, ясно видимая, когда ее период много меньше общего времени наблюдений, то под циклической компонентой обычно подразумевают изменения временного ряда, достаточно плавные и заметные для того, чтобы не включать их в случайную составляющую, но такие, которые нельзя отнести ни к тренду, ни к периодической компоненте. Циклическая компонента временного ряда описывает длительные периоды относительного подъёма и спада.
1.4. Постановки некоторых эконометрических задач
Приведем несколько примеров задач эконометрического анализа.
Пример № 1. [1]. Рынок квартир в Москве
. Данные для этого исследования собраны студентами РЭШ Российской экономической школы) в 1996 г. После проведенного анализа была выбрана логарифмическая форма модели, как более соответствующая данным:
 
Здесь LOGPRICE —
логарифм цены квартиры (в долл. США), LOGUVSP —
логарифм жилой площади (в кв. м), LOGPLAN —
логарифм площади нежилых помещении (в кв. м), LOGKJTSP —
логарифм площади кухни (в кв. м), LOGDIST —
логарифм расстояния от центра Москвы (в км). Включены также бинарные, «фиктивные» переменные, принимающие значения 0 или 1: FLOOR —
принимает значение 1, если квартира расположена на первом или на последнем этаже, BRICK —
принимает значение 1, если квартира находится в кирпичном доме, BAL —
принимает значение 1, если в квартире есть балкон, LIFT —
принимает значение 1, если в доме есть лифт, R1
— принимает значение 1 для однокомнатных квартир и 0 для всех остальных, R1, R3, R4 —
аналогичные переменные для двух-, трех- и четырехкомнатных квартир. Результаты оценивания уравнения (1.5) для 464 наблюдений, относящихся к 1996 г., приведены в таблице 1.
Таблица 1
| Переменная
|
Коэффициент
|
Стандартная ошибка
|
t-статистика
|
P-значение
|
| CONST
|
7.106
|
0.290
|
24.5
|
0.0000
|
| LOGUVSP
|
0.670
|
0.069
|
9.65
|
0.0000
|
| LOGPLAN
|
0.431
|
0.049
|
8.71
|
0.0000
|
| LOGKITSP
|
0.147
|
0.060
|
2.45
|
0.0148
|
| LOGDIST
|
-0.114
|
0.016
|
-7.11
|
0.0000
|
| BRICK
|
0.134
|
0.024
|
5.67
|
0.0000
|
| FLOOR
|
-0.0686
|
0.021
|
-3.21
|
0.0014
|
| LIFT
|
0.114
|
0.024
|
4.79
|
0.0000
|
| BAL
|
0.042
|
0.020
|
2.08
|
0.0385
|
| Rl
|
0.214
|
0.109
|
1.957
|
0.0510
|
| R2
|
0.140
|
0.080
|
1.75
|
0.0809
|
| S3
|
0.164
|
0.060
|
2.74
|
0.0065
|
| R4
|
0.169
|
0.054
|
3.11
|
0.0020
|
Мы не будем сейчас заниматься анализом полученной эконометрической модели. Подобная модель позволяет оценить стоимость квартиры в Москве с учетом рассмотренных выше факторов. Надо отметить, что число факторов можно было увеличить, включив в модель время в пути до ближайшего метро, экологическое состояние района, наличие «зеленой зоны» и другие факторы. В этом случае модель была бы более прогрессивной и имеющей больший практический смысл.
Пример № 2. Модель стоимости обучения в высшем учебном заведении.
Безусловно, что ценовая политика вуза во многом определяется следующими основными факторами: уровнем профессорско-преподавательского состава (PS), качеством планирования учебного процесса (UP), количеством часов занятий в неделю (UZ), состоянием аудиторного фонда (AF), наличием специализированных компьютерных аудиторий (SA), количеством компьютеров на одного обучаемого (CO), наличием выделенной линии ИНТЕРНЕТ (TL), принятым нормативом обеспеченности книг на одного человека (BO), количество периодических изданий выписываемых вузом (BP), уровнем организации внеучебной работы со студентами (US), уровнем организации производственной практики студентов (UP), наличием международных связей (MS), наличием спортивного зала и спортивного оборудования (SZ), уровнем работы администрации вуза (UA), местом расположения вуза и наличием рядом станции метро (MR).
Часть этих факторов является нормативными величинами, например UZ, SA, CO, TL, MR, другая часть определяется по некоторой шкале (например, 10-бальной) путем анализа состояния аудиторного фонда (AF), качества учебного процесса (UP), уровня организации учебного процесса (UA).
Модель может иметь следующий вид:
(1.6)
Подобная модель позволяет оценить уровень оплаты за обучения путем анализа влияющих на организацию учебного процесса основных факторов.
1.5. Последовательность разработки эконометрических моделей
Процесс построения и использования эконометрических моделей включает в себя следующие основные этапы:
1)
определение цели исследования;
2)
построение системы показателей и логический отбор факторов, наиболее влияющих на каждый показатель;
3)
выбор формы связи изучаемых показателей между собой и отобранными факторами;
4)
сбор исходных данных, их преобразование и анализ;
5)
построение эконометрической модели и определение ее параметров;
6)
проверка качества построенной модели, в первую очередь ее адекватности изучаемому экономическому процессу;
7) использование модели для экономического анализа и прогнозирования.
При практической реализации указанных этапов особенно важным является построение системы показателей исследуемого экономического процесса и определение перечня факторов, влияющих на каждый показатель.
Укажем основные требования, предъявляемые к включаемым в эконометрическую модель факторам:
· каждый из факторов должен быть обоснован теоретически;
· в перечень целесообразно включать только важнейшие факторы, оказывающие существенное воздействие на изучаемые показатели, при этом рекомендуется, чтобы количество включаемых в модель факторов не превышало одной трети от числа наблюдений в выборке (длины временного ряда);
· факторы не должны быть линейно зависимы, поскольку эта зависимость означает, что они характеризуют аналогичные свойства изучаемого явления. Например, заработная плата работников зависит, наряду с другими факторами, от роста производительности труда и от объема выпускаемой продукции. Однако эти факторы могут быть тесно взаимосвязаны, коррелированны[1]
и, следовательно, в модель целесообразно включать только один из этих факторов. Включение в модель линейно взаимозависимых факторов приводит к возникновению явления мультиколлинеарности[2]
, которое отрицательно сказывается на качестве модели;
· влияющие на экономический процесс факторы могут быть количественные и качественные. В модель рекомендуется включать только такие факторы, которые могут быть численно измерены;
· в одну модель нельзя включать совокупный фактор и образующие его частные факторы. Одновременное включение таких факторов приводит к неоправданно увеличенному их влиянию на зависимый показатель, к искажению реальной действительности.
При отборе влияющих факторов используются статистические методы отбора. Так, существенного сокращения числа влияющих факторов можно достичь с помощью пошаговых процедур отбора переменных. Ни одна из этих процедур не гарантирует получения оптимального набора переменных. Однако при практическом применении они позволяют получать достаточно хорошие наборы существенно влияющих факторов, кроме того, их можно сочетать с другими подходами к решению данной проблемы, например, с экспертными оценками значимости факторов. Среди пошаговых процедур отбора факторов наиболее часто используются процедуры пошагового включения и исключения факторов. Обе эти процедуры хорошо формализованы и потому успешно реализованы в различных машинных программах статистического анализа. Очень хорошо вписываются в исследования методы группового учета аргументов.
Метод исключения
предполагает построение уравнения, включающего всю совокупность переменных, с последующим последовательным (пошаговым) сокращением числа переменных в модели до тех пор, пока не выполнится некоторое наперед заданное условие. Суть метода включения —
в последовательном включении переменных в модель до тех пор, пока регрессионная модель не будет отвечать заранее установленному критерию качества. Последовательность включения определяется с помощью частных коэффициентов корреляции: переменные, имеющие относительно исследуемого показателя большее значение частного коэффициента корреляции, первыми включаются в регрессионное уравнение.
Выше отмечено, что одной из предпосылок применения методов регрессионного анализа для построения эконометрических моделей является отсутствие среди независимых переменных (факторов) линейно связанных. Если данная предпосылка не выполняется, то возникает, как уже сказано выше, явление мультиколлинеарности, что приводит к искажению смысла коэффициентов регрессии и затруднению выявления наиболее существенно влияющих факторов.
Основные причины, вызывающие мультиколлинеарность, – независимые переменные, либо характеризующие одно и то же свойство изучаемого явления, либо являющиеся составными частями одного и того же признака.
В настоящее время существует ряд методов, позволяющих оценить наличие мультиколлинеарности в совокупности независимых переменных, измерить ее степень, выявить взаимно коррелированные переменные и устранить или ослабить ее негативное влияние на регрессионную модель. Наиболее распространенным методом выявления мультиколлинеарности является метод корреляции. На практике считают, что две переменные коллинеарны (линейно зависимы), если парный коэффициент корреляции между ними по абсолютной величине превышает 0,8. Устраняют мультиколлинеарность чаще всего путем исключения из модели одного из коррелированных факторов. Более подробно об этом будет рассказано во второй главе.
1. Эконометрика, новое направление в развитии математических методов в экономическом анализе. В основу этого анализа положены математические методы корреляционно – регрессионного анализа и методы анализа временных рядов.
2. К сожалению, сегодня еще нет ярких и убедительных примеров применения методов эконометрического анализа в реальной жизни. Это обусловлено, по крайней мере, двумя причинами: прежде всего отсутствием специалистов, умеющих правильно применить эти методы и сделать аргументированный эконометрический анализ и слабая предсказуемость экономических процессов в настоящее время в России.
3. Наивно думать, что эконометрические модели работают в условиях недостаточной информации. Для этого существуют совершенно другие методы. Можно уверенно прогнозировать только те экономические процессы, которые имеют определенную повторяющуюся регулярность во времени и имеется достаточно статистики (не менее 4-х длительных периодов, в которых повторялись эти регулярности). Только в этом случае применение методов эконометрического анализа оправдано и целесообразно.
2. Эконометрический анализ на основе моделей линейной регрессии
Регрессионные методы позволяют выявить связи между переменными, причем особенно эффективно, если эти связи не совершенны или не имеют точного функционального описания между этими переменными. В эконометрическом анализе используются независимые переменные хi
и одна зависимая переменная y.
Регрессией в общем виде представляется функцией следующего вида
(2.1)
где - известные коэффициенты регрессии;
xi
- переменная. В эконометрическом анализе переменные представляют собой статистические данные, например стоимость товара, объем продаж, курс валюты. Так как эти данные чаще всего «привязаны» ко времени, то в эконометрических моделях используют и другие обозначения переменных, такие как Xt
, где индекс t обозначает, что мы используем временной ряд.
e
- невязка (ошибка, отклонение), обусловленная недостаточной пригодностью модели и ошибкой данных. Обычно эти причины являются смешанными.
Обозначения в модели 2.1 интерпретируются достаточно просто. Например, сумму
можно представить как сумму произведений коэффициента b и переменной х
.
В последующем для упрощения выражений знак суммы мы будем обозначать без индексов, как .
В том случае, если исследуется влияние одной переменной или фактора, то выражение (2) упрощается к виду
. (2.2)
Выражение (2) представляет собой линейную однофакторную регрессию. Геометрический смысл уравнения 2.2 поясним на рис. 1.
Пусть мы имеем четыре измерения переменной х
, которые имеют конкретное значение р1 ,
р2
, р3
, р4
. Этим значениям соответствуют определенные значения зависимой переменной y. Тогда уравнение регрессии 2.2 представляет собой прямую линию проведенную определенным образом через точки р1 ,
р2
, р3
, р4
. Так как истинное значение переменной нам неизвестно, то мы предполагаем, что оно располагается на этой прямой в точках Q1
, Q2
, Q3,
Q4
. Свободный член а
уравнения 2.2 имеет реальный экономический смысл. Это минимальное или максимальное значение зависимой переменной (результативного признака).
Коэффициент b
представляет собой постоянную величину, равную отношению

Какова природа ошибки
e?
Существует, по крайней мере, две причины появления в модели 2.2 этой ошибки:
1. Наша модель является упрощением действительности и на самом деле есть еще и другие параметры, от которых зависит переменная y. Например, расходы на питания в семье зависят от размера заработной платы членов семьи, национальных и религиозных традиций, уровня инфляции и т.д.
2. Скорее всего, наши измерения содержат ошибки. Например, данные по расходам семьи на питание составляются на основе анкетного опроса и эти данные не всегда отражают истинное значение параметров.
Таким образом, можно считать, что ошибка e
есть случайная величина с некоторой функцией распределения.
Для нахождения коэффициентов уравнений (2.1) и (2.2) используется метод наименьших квадратов. Сущность метода заключается в том, чтобы минимизировать сумму квадратов отклонений
, (2.3)
где - значение результата, вычисленное по уравнению (2) в точке xi
;
yi
- экспериментальное значение результата в этой же точке.
Рассмотрим задачу «наилучшей» аппроксимации набора наблюдений Yt
,,
t = 1,..., n, линейной функцией (2.2) минимизацией функционала

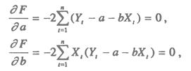
Запишем необходимые условия экстремума


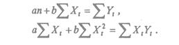
Раскроем скобки и получим стандартную форму нормальных уравнений (для краткости опустим индексы суммирования у знака суммы):
  
а, b
– решения системы (2.4) можно легко найти:
 

Порядок построения эконометрической модели рассмотрим на следующем примере [3].
В таблице 2 представлены статистические данные о расходах на питание и душевом доходе для девяти групп семей. Требуется проанализировать зависимость величины расходов на питание от величины душевого дохода.
В соответствии с этим первый показатель будет результативным признаком, который обозначим у,
а другой будет факторным признакам, или просто фактором, и мы обозначим его соответственно х1
. Это обозначение не случайно, в последующем примере мы рассмотрим более сложную модель, в которой будет два фактора х1
и х2
.
Таблица 2
| Номер группы
|
Расход на питание (у)
|
Душевой доход (х1
)
|
| 1
|
433
|
628
|
| 2
|
616
|
1577
|
| 3
|
900
|
2659
|
| 4
|
1113
|
3701
|
| 5
|
1305
|
4796
|
| 6
|
1488
|
5926
|
| 7
|
1646
|
7281
|
| 8
|
1914
|
9350
|
| 9
|
2411
|
18807
|
Рассмотрим однофакторную линейную модель зависимости расходов на питание (у)
от величины душевого дохода семей (х1
).
Расчеты проведем в таблице 3.
Таблица 3
| Номер группы
|
Расход на питание (у)
|
Душевой доход (х1
)
|
Y Х1
|
Х1
2
|
| 1
|
433
|
628
|
271924
|
394384
|
| 2
|
616
|
1577
|
971432
|
2486929
|
| 3
|
900
|
2659
|
2393100
|
7070281
|
| 4
|
1113
|
3701
|
4119213
|
13697401
|
| 5
|
1305
|
4796
|
6258780
|
23001616
|
| 6
|
1488
|
5926
|
8817888
|
35117476
|
| 7
|
1646
|
7281
|
11984526
|
53012961
|
| 8
|
1914
|
9350
|
17895900
|
87422500
|
| 9
|
2411
|
18807
|
45343677
|
353703249
|
| S = 11826
|
S = 54725
|
S = 98056440
|
S = 575906797
|
Используя данные табл.3, и (2.4) получим систему уравнений:
Можно найти значения коэффициентов по формулам 2.5, но мы покажем как можно использовать более общий подход к решению задачи по правилу Крамера,
для этого найдем значения определителей системы (2.5):


Тот же результат можно получить, используя формулы 2.5.


Таким образом, модель имеет вид:
y = 660,11 + 0,108 Х1
Уравнение (2.6) называется уравнением регрессии,
коэффициент b — коэффициентом регрессии.
Направление связи между у
и x1
определяет знак коэффициента регрессии а1
. В нашем случае данная связь является прямой и положительной.
Вычислим дисперсии оценок а
и b
. Известно [1], что дисперсии оценок а
и b
можно определить как
где - дисперсия ; отклонения исходной выборки от среднего значения;
, среднее значение; - значения расходов на питание, вычисленные по модели 2.6
Для проведения расчетов дисперсий полученных оценок используем таблицу 4
Таблица 4
| №№
|
Y
|
X
|
X2
|
|
|
|
|
|
| 1
|
433
|
628
|
394384
|
727
|
-294
|
86436
|
-5453
|
29730362
|
| 2
|
616
|
1577
|
2486929
|
830
|
-214
|
45796
|
-4504
|
20282013
|
| 3
|
900
|
2659
|
7070281
|
947
|
-47
|
2209
|
-3422
|
11707042
|
| 4
|
1113
|
3701
|
13697401
|
1059
|
54
|
2916
|
-2380
|
5662285
|
| 5
|
1305
|
4796
|
23001616
|
1178
|
127
|
16129
|
-1285
|
1650083
|
| 6
|
1488
|
5926
|
35117476
|
1300
|
188
|
35344
|
-155
|
23887
|
| 7
|
1646
|
7281
|
53012961
|
1446
|
200
|
40000
|
1200
|
1441067
|
| 8
|
1914
|
9350
|
87422500
|
1669
|
245
|
60025
|
3269
|
10689267
|
| 9
|
2411
|
18807
|
353703249
|
2691
|
-280
|
78400
|
12726
|
161962388
|
| S=11826
|
6081
|
S=575906797
|
S=367255
|
S=243148394
|



Следующий этап – оценка значимости коэффициентов полученной модели
. На этом этапе проверяется статистическая гипотеза о равенстве нулю коэффициентов модели а
и b
. Проверяем гипотезу Н0
: b=0
против гипотезы Н1
:b#0
при заданном уровне значимости гипотезы a. Обычно a =0.05. При проверке используется распределение Стьюдента. Для этого рассчитывают значение t-критерия
для исходной выборки наблюдений по формуле
(2.10)
Затем сравнивают его с табличным значением с (n-2)
степенями свободы при заданной степени свободы. Это значение берут из таблицы значений t
-критерия (приложение 4, таблица 2). Для a =0,05 при степени своды равном 7 табличное значение t –критерия (tp
) равно 2,37. Если расчетное значение критерия больше табличного, то гипотеза Н0
отклоняется и принимается гипотеза Н1
: значение коэффициента отличается от 0. В нашем случае . Так как 7,35>2,37, то делаем вывод о значимости коэффициента b в модели. Расчетное значение t-критерия для коэффициента а
равно 5,62, что тоже свидетельствует о его значимости в модели.
Для оценки тесноты связи модели с исходными данными рассчитывается коэффициент детерминации
(2.11)
Для определения коэффициента детерминации проведем расчеты с использованием таблицы 5.
Таблица 5
| №№
|
Y
|
|
|
| 1
|
433
|
295
|
86986
|
| 2
|
616
|
214
|
45979
|
| 3
|
900
|
47
|
2236
|
| 4
|
1113
|
-53
|
2828
|
| 5
|
1305
|
-127
|
16109
|
| 6
|
1488
|
-188
|
35300
|
| 7
|
1646
|
-200
|
39817
|
| 8
|
1914
|
-244
|
59580
|
| 9
|
2411
|
280
|
78549
|
| S=11826
|
S=367383
|
| 
|
Значения ESS возьмем из таблицы 4.
 
Коэффициент детерминации
показывает долю изменения (вариации) результативного признака под действием факторного признака. В нашем случае R2
= 0,884, а это означает, что фактором душевого дохода можно объяснить почти 88% изменения расходов на питание.
Коэффициент корреляции
можно определить как
(2.12)
Чем ближе значение коэффициента корреляции к единице, тем теснее корреля-ционная связь. Полученное значение коэффициента корреляции свидетельствует, что связь между расходами на питание и душевым доходом очень тесная.
Коэффициенты регрессии (в рассматриваемом случае это коэффициент b) нельзя использовать для непосредственной оценки влияния факторов на результативный признак из-за различия единиц измерения исследуемых показателей. Для этих целей вычисляются коэффициенты эластичности.
Коэффициент эластичности
для рассматриваемой модели парной регрессии рассчитывается по формуле:
Он показывает, насколько процентов изменяется результативный признак у
при изменении факторного признака Xt
на один процент.
В нашем примере коэффициент эластичности расходов на питание в зависимости от душевого дохода будет равен

Это означает, что при увеличении душевого дохода на 1 % расходы на питание увеличатся на 0,49 %.
Качество эконометрических моделей может быть установлено на основе анализа остаточной последовательности. Остаточная последовательность проверяется на выполнение свойств случайной компоненты экономического ряда: близость нулю выборочного среднего, случайный характер отклонений, отсутствие автокорреляции и нормальность закона распределения.
О качестве моделей регрессии можно судить также по значениям коэффициента корреляции и коэффициента детерминации для однофакторной модели. Чем ближе абсолютные величины указанных коэффициентов к 1, тем теснее связь между изучаемым признаком и выбранными факторами и, следовательно, с тем большей уверенностью можно судить об адекватности построенной модели, включающей в себя наиболее влияющие факторы.
Для оценки точности регрессионных моделей обычно используются, средняя относительная ошибка аппроксимации (2.11).
Проверка значимости модели
регрессии проводится с использованием F-критерия Фишера
, расчетное значение которого находится как
(2.14)
Расчетное значение F-критерия сравнивают c табличным (таблица 1, приложения 4) при заданном уровне значимости гипотезы (обычно 0,05) и степенях свободы f1
= n – 1
и f2
= n - m - 1
, где n
– обьем выборки, m
– число включенных факторов в модель.
Для нашего случая f1
= 8, f2
= 7. Табличное значение F – критерия находим по таблице 2 приложения 4 Ft
= 3,50.
Если расчетное значение F – критерия больше табличного, то модель считается адекватной исходным данным.
В нашем случае 53,50 > 3,50, следовательно, модель значима и адекватно описывает исходные данные.
Эти же расчеты можно выполнить значительно быстрее при использовании ЭВМ. В электронных таблицах EXCEL в разделе меню СЕРВИС при полной инсталляции пакета присутствует функция АНАЛИЗ. При выборе этой функции открывается окно (рис.2). В предлагаемом перечне необходимо выбрать раздел регрессия и в появившейся форме необходимо заполнить соответствующие поля. Исходные данные необходимо представить на рабочем листе в виде, показанном на рис.3.
 
На рис. 4 представлена форма с заполненными исходными данными для проведения регрессионного анализа.

Рис. 4
После нажатия клавиши OK, проводится расчет и результаты заносятся на новый лист в следующем виде (рис. 5).
| ВЫВОД ИТОГОВ
|
| Регрессионная статистика
|
| Множественный R
|
0,94046717
|
| R-квадрат
|
0,8844785
|
| Нормированный R-квадрат
|
0,86797542
|
| Стандартная ошибка
|
229,054087
|
| Наблюдения
|
9
|
| |
df
|
SS
|
MS
|
F
|
Значимость F
|
| Регрессия
|
1
|
2811892
|
2811892
|
53,594779
|
0,000159874
|
| Остаток
|
7
|
367260,4
|
52465,77
|
| Итого
|
8
|
3179152
|
| |
Коэффициенты
|
Стандартная ошибка
|
t-статистика
|
P-Значение
|
Нижние 95%
|
| Y-пересечение
|
660,106766
|
117,5052
|
5,61768
|
0,000801
|
382,2512536
|
| Переменная X 1
|
0,1075384
|
0,014689
|
7,320845
|
0,0001599
|
0,072803654
|
Рис. 5. Результаты расчетов в электронных таблицах EXCEL
Использование электронных таблиц EXCEL позволяет обойтись без таблиц с критическими значениями t-критерия и F-критерия. В результатах расчетов появляются новые значения Значимость F
и Значимость t
, которое определяет расчетный уровень значимости F и t-критериев по заданным исходным данным. Если это значение меньше заданного (0,05), то модель считается адекватной исходным данным и значимой.
2.2. Многофакторная линейная регрессия
В многофакторных моделях результативный признак зависит от нескольких факторов. Множественный или многофакторный корреляционно-регрессионный анализ решает три задачи: определяет форму связи результативного признака с факторными, выявляет тесноту этой связи и устанавливает влияние отдельных факторов. Для двухфакторной линейной регрессии эта модель имеет вид:

(2.15)
Параметры модели ao
, a1,
a2
находятся путем решения системы нормальных уравнений:
(2.16)
Покажем особенности эконометрического многофакторного анализа на рассмотренном выше примере, но введем дополнительный фактор – размер семьи. В таблице 6 представлены статистические данные о расходах на питание, душевом доходе и размере семьи для девяти групп семей. Требуется проанализировать зависимость величины расходов на питание от величины душевого дохода и размера семьи.
Таблица 6
| Номер группы
|
Расход на питание (у)
|
Душевой доход (х)
|
Размер семей (чел)
|
| 1
|
433
|
628
|
1,5
|
| 2
|
616
|
1577
|
2.1
|
| 3
|
900
|
2659
|
2.7
|
| 4.
|
1113
|
3701
|
3.2
|
| 5
|
1305
|
4796
|
3.4
|
| 6
|
1488
|
5926
|
3.6
|
| 7
|
1646
|
7281
|
3,7
|
| 8
|
1914
|
9350
|
4,0
|
| 9
|
2411
|
18807
|
3.7
|
Рассмотрим двухфакторную линейную модель зависимости расходов на питание (у) от величины душевого дохода семей (x1
) и размера семей (x2
). Результаты расчетов с использованием электронных таблиц EXCEL представлены в таблице 7.
Таблица 7
| ВЫВОД ИТОГОВ
|
| Регрессионная статистика
|
| Множественный R
|
0,997558
|
| R-квадрат
|
0,995121
|
| Нормированный R-квадрат
|
0,993495
|
| Стандартная ошибка
|
50,84286
|
| Наблюдения
|
9
|
| |
df
|
SS
|
MS
|
F
|
Значимость F
|
| Регрессия
|
2
|
3163642
|
1581821
|
611,9239
|
1,1612E-07
|
| Остаток
|
6
|
15509,98
|
2584,996
|
| Итого
|
8
|
3179152
|
| |
Коэффициенты
|
Стандартная ошибка
|
t-статистика
|
P-Значение
|
Нижние 95%
|
| Y-пересечение
|
-187,141
|
77,17245
|
-2,42498
|
0,051513
|
-375,97561
|
| Переменная X 1
|
0,071995
|
0,004463
|
16,13289
|
3,61E-06
|
0,06107576
|
| Переменная X 2
|
343,0222
|
29,40592
|
11,66507
|
2,39E-05
|
271,068413
|
Эконометрическая модель имеет следующий вид

Высокие значения коэффициента детерминации R2
= 0,995 и значение F
– критерия однозначно говорит об адекватности полученной модели исходным данным. Необходимо отметить, что эти значения намного превышают значения R2
и F
– критерия, которые были получены в модели с одним фактором. Таким образом, введение в модель еще одного фактора улучшает качество модели в целом.
В какой степени допустимо использовать критерий R2
для выбора между несколькими регрессионными уравнениями? Дело в том, что при добавлении очередного фактора R2
всегда возрастает и, если взять число факторов, равным числу наблюдений, то можно добиться того, что R2
= 1. Но это вовсе не будет означать, что полученная эконометрическая модель будет иметь экономический смысл.
Попыткой устранить эффект, связанный с ростом R2
при возрастании числа факторов, является коррекция значения R2
с учетом используемых факторов в нашей модели.
Скорректированный (adjusted) R2
имеет следующий вид:
(2.17)
где n – объем выборки;
k – количество коэффициентов в уравнении регрессии.
Для нашего случая

В определенной степени использование скорректированного коэффициента детерминации R2
более корректно для сравнения регрессий при изменении количества факторов.
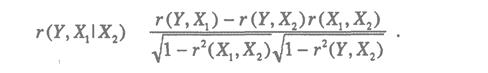
В том случае, когда имеются одна независимая и одна зависимая переменные, естественной мерой зависимости является (выборочный) коэффициент корреляции между ними. Использование множественной регрессии позволяет обобщить это понятие на случай, когда имеется несколько независимых переменных. Корректировка здесь необходима по следующим очевидным соображениям. Высокое значение коэффициента корреляции между исследуемой зависимой и какой-либо независимой переменной может, как и раньше, означать высокую степень зависимости, но может быть обусловлено и другой причиной. Например, может существовать третья переменная, которая оказывает сильное влияние на две первые, что и является, в конечном счете, причиной их высокой коррелированности. Поэтому возникает естественная задача найти «чистую» корреляцию между двумя переменными, исключив (линейное) влияние других факторов. Это можно сделать с помощью коэффициента частной корреляции:
 
где
(2.19)
(2.20)
(2.21)
Значения вычисляются как

Значения коэффициента частной корреляции лежат в интервале [-1,1], как у обычного коэффициента корреляции. Равенство этого коэффициента нулю означает, говоря нестрого, отсутствие прямого
(линейного) влияния
переменной X1
на У.
Существует тесная связь между коэффициентом частной корреляции и коэффи-циентом детерминации, а именно
 
или

Влияние отдельных факторов в многофакторных моделях может быть охарактеризовано с помощью частных коэффициентов эластичности,
которые в случае линейной двухфакторной модели рассчитываются по формулам:

Черта над символом, как и ранее, означает среднюю арифметическую. Частные коэффициенты эластичности показывают, насколько процентов изменится результативный признак, если значение одного из факторных признаков изменится на 1%, а значение другого факторного признака останется неизменным.
Для определения области возможных значений результативного показателя при известных значениях факторов, т.е. доверительного интервала прогноза, необходимо учитывать два возможных источника ошибок. Ошибки первого рода вызываются рассеиванием наблюдений относительно линии регрессии, и их можно учесть, в частности, величиной среднеквадратической ошибки аппроксимации изучаемого показателя с помощью регрессионной модели (Sy
)
(2.23)
Ошибки второго рода обусловлены тем, что в действительности жестко заданные в модели коэффициенты регрессии являются случайными величинами, распределенными по нормальному закону. Эти ошибки учитываются вводом поправочного коэффициента при расчете ширины доверительного интервала; формула для его расчета включает табличное значение t-статистики при заданном уровне значимости и зависит от вида регрессионной модели. Для линейной однофакторной модели величина отклонения от линии регрессии задается выражением (обозначим его R):
, (2.24)
где п –
число наблюдений,
L
– количество шагов вперед,
а
– уровень значимости прогноза,
X
– наблюдаемое значение факторного признака в момент t
,
– среднее значение наблюдаемого фактора,
– прогнозное значение фактора на L
шагов вперед.
Таким образом, для рассматриваемой модели формула расчета нижней и верхней границ доверительного интервала прогноза имеет вид:

где UL
означает точечную прогнозную оценку изучаемого результативного показателя по модели на L
шагов вперед.
2.3.Некоторые особенности применения многофакторных регрессионных моделей в эконометрическом анализе
В предыдущих разделах были рассмотрены основные вопросы применения регрессионных моделей в эконометрическом анализе.
На практике исследователю нередко приходится сталкиваться с ситуацией, когда полученная им регрессия является «плохой», т.е. t-статистики большинства оценок малы, что свидетельствует о незначимости соответствующих независимых переменных. В то же время F
-статистика может быть достаточно большой, что говорит о значимости регрессии в целом. Одна из возможных причин такого явления носит название мультиколлинеарности и возникает при наличии высокой корреляции между факторами.
Одним из условий классической регрессионной модели является предположение о линейной независимости объясняющих переменных. При нарушении этого условия, т.е. когда одна из переменных является линейной комбинацией их других, это называется полной коллинеарностью. В этой ситуации нельзя использовать метод наименьших квадратов (МНК). На практике полная коллинеарность встречается исключительно редко. Гораздо чаще приходится сталкиваться с ситуацией, когда между факторами имеется высокая степень корреляции. Тогда говорят о наличии мультиколлинеарности. В этом случае МНК-оценка (оценка методом наименьших квадратов) формально существует, но обладает «плохими» свойствами.
Мультиколлинеарность может возникать в силу разных причин. Например, несколько независимых переменных могут иметь общий временной тренд, относительно которого они совершают малые колебания. В частности, так может случиться, когда значения одной независимой переменной являются датированными значениями другой.
Выделим некоторые наиболее характерные признаки мультиколлинеарности.
1. Небольшое изменение исходных данных (например, добавление новых наблюдений) приводит к существенному изменению оценок коэффициентов модели.
2. Оценки имеют большие стандартные ошибки, малую значимость, в то время как модель в целом является значимой (высокое значение коэффициента детерминации R2
и соответствующей F-статистики).
3. Оценки коэффициентов имеют неправильные с точки зрения теории знаки или неоправданно большие значения.
Что же делать, если по всем признакам имеется мультиколлинеарность? Однозначного ответа на этот вопрос нет, и среди эконометристов есть разные мнения на этот счет. При столкновении с проблемой мультиколлинеарности может возникнуть естественное желание отбросить «лишние» независимые переменные, которые, возможно, служат ее причиной. Однако следует помнить, что при этом могут возникнуть новые трудности. Во-первых, далеко не всегда ясно, какие переменные являются лишними в указанном смысле. Мультиколлинеарность означает лишь приблизительную линейную зависимость между факторами,
но это не всегда выделяет «лишние» переменные. Во-вторых, во многих ситуациях удаление каких-либо независимых переменных может значительно отразиться на содержательном смысле модели. Наконец, отбрасывание так называемых существенных переменных, т.е. независимых переменных, которые реально влияют на изучаемую зависимую переменную, приводит к смещению коэффициентов модели. На практике, обычно при обнаружении мультиколлинеарности убирают наименее значимый для анализа фактор, а затем повторяют расчеты.
2.3.2. Использование фиктивных переменных
Регрессионные модели являются достаточно гибким инструментом, позволяющим, в частности, оценивать влияние качественных признаков на изучаемую переменную. Это достигается введением в число факторов так называемых фиктивных переменных, принимающих, как правило, значения 1 или 0 в зависимости от наличия или отсутствия соответствующего признака в очередном наблюдении. С формальной точки зрения фиктивные переменные ничем не отличаются от других факторов. Наиболее сложный вопрос, возникающий при их использовании, – это правильная интерпретация получаемых оценок.
Как правило, независимые переменные в регрессионных моделях имеют «непрерывные» области изменения (национальный доход, уровень безработицы, размер зарплаты и т.п.). Однако теория не накладывает никаких ограничений на характер факторов, в частности, некоторые переменные могут принимать всего два значения или, в более общей ситуации, дискретное множество значений. Необходимость рассматривать такие переменные возникает довольно часто в тех случаях, когда требуется принимать во внимание какой-либо качественный признак. С таким примером мы столкнулись ранее, когда рассматривали модель стоимости жилой площади в Москве. В качестве такого признака рассматривалась «этажность»: необходимо было разделить первый, последний и другие этажи. Есть и другие примеры. Так при исследовании зависимости зарплаты от различных факторов может возникнуть вопрос, влияет ли на ее размер и, если да, то в какой степени, наличие у работника высшего образования. Точно также можно выяснить в какой степени имеются различия в оплате труда между мужчинами и женщинами. Для решения подобных задач в принципе можно оценивать соответствующие уравнения внутри каждой категории, а затем изучать различия между ними, но введение дискретных или группирующих переменных позволяет определить параметры модели сразу по всем категориям. Фиктивные переменные, несмотря на свою внешнюю простоту, являются весьма гибким инструментом при исследовании влияния качественных признаков.
Выводы:
1) для исследования влияния качественных признаков в модель можно вводить бинарные (фиктивные) переменные, которые, как правило, принимают значение 1, если данный качественный признак присутствует в наблюдении, и значение 0 при его отсутствии;
2) способ включения фиктивных переменных зависит от априорной информации относительно влияния соответствующих качественных признаков на зависимую переменную и от гипотез, которые проверяются с помощью модели;
3) от способа включения фиктивной переменной зависит и интерпретация оценки коэффициента при ней.
Гетероскедастичность – крайне неприятное свойство исходных, когда дисперсия ошибки зависит от номера наблюдения. На графике гетероскедастичность проявляется в том, что с увеличением или уменьшением порядкового номера измерения увеличивается рассеивание измерений около линии тренда. Это может привести к существенным погрешностям оценок коэффициентов уравнения регрессии. Гетероскедастичность возникает тогда, когда объекты, как правило, неоднородны. Существует несколько методов коррекции, решающих проблему гетероскедастичности.
Наиболее эффективный из них – метод взвешенных наименьших квадратов
.
Сущность метода чрезвычайно проста. Пусть исходная модель имеет вид:
.
Тогда, делением каждого элемента системы на значение st
мы приходим к другой системе
(2.26)
где взвешенная дисперсия;
, n –
число измерений.
Таким образом, с помощью преобразования 2.26 мы устраняем гетероскедастичность. Кроме того, логарифмирование исходных данных также в некоторых случаях снижает ошибки определения параметров модели, вызванные гетероскедастичностью.
Рассмотренные методы корреляционно-регрессионного анализа позволяют находить оценки параметров регрессионных моделей и анализировать их. Безусловно, что разработка эконометрических моделей наиболее эффективна при использовании ЭВМ.
Результаты эконометрического анализа могут быть существенно искажены, если переменные мультиколлинеарны. Эффективного решения этой проблемы в настоящее время не существует. Удаление из анализа переменных, сильно коррелирующих друг с другом, может привести к искажению полученных оценок.
3. Эконометрический анализ на основе временных рядов
Временной ряд – это некоторая последовательность чисел (измерений) экономического или бизнес-процесса во времени. Его элементы измерены в последовательные моменты времени, обычно через равные промежутки.
Как правило, составляющие временной ряд числа или элементы временного ряда,
нумеруют в соответствии с номером момента времени, к которому они относятся. Таким образом, порядок следования элементов временного ряда весьма существен.
Расширенное понятие временного ряда.
Понятие временного ряда часто толкуют расширительно. Например, одновременно могут регистрироваться несколько характеристик упомянутого процесса. В этом случае говорят о многомерных временных рядах.
Если измерения производятся непрерывно, говорят о временных рядах с непрерывным временем, или случайных процессах.
Наконец, текущая переменная может иметь не временной, а какой-нибудь иной характер, например пространственный. В этом случае говорят о случайных полях. Примеры временных рядов.
В экономике это ежедневные цены на акции, курсы валют, еженедельные и месячные объемы продаж, годовые объемы производства и т.п. На рис. 5 показан пример временного ряда с объемами перевозок пассажиров авиарейсами за 12 лет в США.
На графике видна устойчивая тенденция роста объема перевозок от года к году (тренд). Кроме того, у этого ряда есть сезонные компоненты. Объем перевозок резко возрастает в летние месяцы и снижается в зимние. В качестве циклической компоненты ряда здесь можно выделить повторяющиеся пики снижения перевозок на период праздника Рождества (24 декабря) и т.д. Вполне естественно, что этот ряд в достаточной степени предсказуем. На рис.6 представлен другой ряд, с объемами продаж компьютерной техники.

На графике отчетливо видно резкое снижение объема продаж на 146 месяце. Такой скачок называется интервенцией
. Модель этого ряда можно построить, исключив определенным способом интервенцию, но сделать прогноз таких резких и неповторяющихся скачков этими методами невозможно.
Временные ряды называются стационарными
, если числовые характеристики ряда являются постоянными на любом участке временного ряда. Реально в жизни это не так, но существуют методы, позволяющие преобразовать временной ряд и привести его к стационарному.
Цели анализа временных рядов.
При практическом изучении временных радов на основании экономических данных на определенном промежутке времени эконометрист должен сделать выводы о свойствах этого ряда и о вероятностном механизме, порождающем этот ряд. Чаще всего при изучении временных рядов ставятся следующие цели:
1.
Краткое (сжатое) описание характерных особенностей ряда.
2.
Подбор статистической модели, описывающей временной ряд.
3.
Предсказание будущих значений на основе прошлых наблюдений.
4.
Управление процессом, порождающим временной ряд.
На практике эти и подобные цели достижимы далеко не всегда и далеко не в полной мере. Часто этому препятствует недостаточный объем наблюдений из-за ограниченного времени наблюдений. Еще чаще – изменяющаяся с течением времени статистическая структура временного ряда.
Стадии анализа временных рядов
.
Обычно при практическом анализе временных рядов последовательно проходят следующие этапы:
1.
Графическое представление и описание поведения временного рада.
2.
Выделение и удаление закономерных составляющих временного рада, зависящих от времени: тренда, сезонных и циклических составляющих.
3.
Выделение и удаление низко- или высокочастотных составляющих процесса (фильтрация).
4.
Исследование случайной составляющей временного ряда, оставшейся после удаления перечисленных выше составляющих.
5.
Построение (подбор) математической модели для описания случайной составляющей и проверка ее адекватности.
6.
Прогнозирование будущего развития процесса, представленного временным рядом.
7.
Исследование взаимодействий между различными временными радами.
Методы анализа временных рядов.
Для решения этих задач существует большое количество различных методов. Из них наиболее распространенными являются следующие:
1.
Корреляционный анализ, позволяющий выявить существенные периодические зависимости и их лаги (задержки) внутри одного процесса (автокорреляция) или между несколькими процессами (кросскорреляция).
2.
Спектральный анализ, позволяющий находить периодические и квазипериодические составляющие временного ряда.
3.
Сглаживание и фильтрация, предназначенные для преобразования временных рядов с целью удаления из них высокочастотных или сезонных колебаний.
4.
Модели авторегрессии и скользящего среднего, которые оказываются особенно полезными для описания и прогнозирования процессов, проявляющих однородные колебания вокруг среднего значения.
5.
Прогнозирование, позволяющее на основе подобранной модели поведения временного рада предсказывать его значения в будущем.
Простейшие модели тренда.
Приведем модели трендов, наиболее часто используемые при анализе экономических временных рядов, а также во многих других областях. Во-первых, это простая линейная модель
(3.1)
где а0
, а1
– коэффициенты модели тренда;
t – время.
В качестве единицы времени может быть час, день (сутки), неделя, месяц, квартал или год. Модель 3.1. несмотря на свою простоту, оказывается полезной во многих реальных задачах. Если нелинейный характер тренда очевиден, то может подойти одна из следующих моделей:
1.
Полиномиальная
:
(3.2)
где значение степени полинома п
в практических задачах редко превышает 5;
2.
Логарифмическая:
(3.3)
Эта модель чаще всего применяется для данных, имеющих тенденцию сохранять постоянные темпы прироста;
3.
Логистическая
:
(3.4)
4.
Гомперца
(3.5)
где 
Две последние модели задают кривые тренда S-образной формы. Они соответствуют процессам с постепенно возрастающими темпами роста в начальной стадии и постепенно затухающими темпами роста в конце. Необходимость подобных моделей обусловлена невозможностью многих экономических процессов продолжительное время развиваться с постоянными темпами роста или по полиномиальным моделям, в связи с их довольно быстрым ростом (или уменьшением).
При прогнозировании тренд используют в первую очередь для долговременных прогнозов. Точность краткосрочных прогнозов, основанных только на подобранной кривой тренда, как правило, недостаточна.
Для оценки и удаления трендов из временных рядов чаще всего используется метод наименьших квадратов. Этот метод достаточно подробно рассматривался во втором разделе пособия в задачах линейного регрессионного анализа. Значения временного ряда рассматривают как отклик (зависимую переменную), а время t
– как фактор, влияющий на отклик (независимую переменную).
Для временных рядов характерна взаимная зависимость
его членов (по крайней мере, не далеко отстоящих по времени) и это является существенным отличием от обычного регрессионного анализа, для которого все наблюдения предполагаются независимыми. Тем не менее, оценки тренда и в этих условиях обычно оказываются разумными, если выбрана адекватная модель тренда и если среди наблюдений нет больших выбросов. Упомянутые выше нарушения ограничений регрессионного анализа сказываются не столько на значениях оценок, сколько на их статистических свойствах. Так, при наличии заметной зависимости между членами временного ряда оценки дисперсии, основанные на остаточной сумме квадратов (2.3), дают неправильные результаты. Неправильными оказываются и доверительные интервалы для коэффициентов модели, и т.д. В лучшем случае их можно рассматривать как очень приближенные.
Это положение может быть частично исправлено, если применять модифицированные алгоритмы метода наименьших квадратов, такие как взвешенный метод наименьших квадратов. Однако для этих методов требуется дополнительная информация о том, как меняется дисперсия наблюдений или их корреляция. Если же такая информация недоступна, исследователям приходится применять классический метод наименьших квадратов, несмотря на указанные недостатки.
3.4. Порядок анализа временных рядов
Цель анализа временных рядов обычно заключается в построении математической модели ряда, с помощью которой можно объяснить его поведение и осуществить прогноз на определенный период времени. Анализ временных рядов включает следующие основные этапы.
Построение и изучение графика.
Анализ временного ряда обычно начинается с построения и изучения его графика.
Если нестационарность временного ряда очевидна, то первым делом надо выделить и удалить нестационарную составляющую ряда. Процесс удаления тренда и других компонент ряда, приводящих к нарушению стационарности, может проходить в несколько этапов. На каждом из них рассматривается ряд остатков, полученный в результате вычитания из исходного ряда подобранной модели тренда, или результат разностных и других преобразований ряда. Кроме графиков, признаками нестационарности временного ряда могут служить не стремящаяся к нулю автокорреляционная функция (за исключением очень больших значений лагов).
Подбор модели для временного ряда.
После того, как исходный процесс максимально приближен к стационарному, можно приступить к подбору различных моделей полученного процесса. Цель этого этапа – описание и учет в дальнейшем анализе корреляционной структуры рассматриваемого процесса. При этом на практике чаще всего используются параметрические модели авторегрессии-скользящего среднего (ARIMA-модели)
Модель может считаться подобранной, если остаточная компонента ряда является процессом типа «белого шума», когда остатки распределены по нормальному закону с выборочным средним равным 0. После подбора модели обычно выполняются:
· оценка дисперсии остатков, которая в дальнейшем может быть использована для построения доверительных интервалов прогноза;
· анализ остатков с целью проверки адекватности модели.
Прогнозирование и интерполяция.
Последним этапом анализа временного ряда может быть прогнозирование его будущих (экстраполяция) или восстановление пропущенных (интерполяция) значений и указания точности этого прогноза на базе подобранной модели. Не всегда удается хорошо подобрать математическую модель для временного ряда. Неоднозначность подбора модели может наблюдаться как на этапе выделения детерминированной компоненты ряда, так и при выборе структуры ряда остатков. Поэтому исследователи довольно часто прибегают к методу нескольких прогнозов, сделанных с помощью разных моделей.
Методы анализа.
При анализе временных рядов обычно используются следующие методы:
· графические методы представления временных рядов и их сопутствующих числовых характеристик;
· методы сведения к стационарным процессам: удаление тренда, модели скользящего среднего и авторегрессии;
· методы исследования внутренних связей между элементами временных рядов.
3.5. Графические методы анализа временных рядов
Зачем нужны графические методы.
В выборочных исследованиях простейшие числовые характеристики описательной статистики (среднее, медиана, дисперсия, стандартное отклонение) обычно дают достаточно информативное представление о выборке. Графические методы представления и анализа выборок при этом играют лишь вспомогательную роль, позволяя лучше понять локализацию и концентрацию данных, их закон распределения.
Роль графических методов при анализе временных рядов совершенно иная. Дело в том, что табличное представление временного ряда и описательные статистики чаще всего не позволяют понять характер процесса, в то время как по графику временного ряда можно сделать довольно много выводов. В дальнейшем они могут быть проверены и уточнены с помощью расчетов.
При анализе графиков можно достаточно уверенно определить:
· наличие тренда и его характер;
· наличие сезонных и циклических компонент;
· степень плавности или прерывистости изменений последовательных значений ряда после устранения тренда. По этому показателю можно судить о характере и величине корреляции между соседними элементами ряда.
Построение и изучение графика.
Построение графика временного ряда – совсем не такая простая задача, как это кажется на первый взгляд. Современный уровень анализа временных рядов предполагает использование той или иной компьютерной программы для построения их графиков и всего последующего анализа. Большинство статистических пакетов и электронных таблиц снабжено теми или иными методами настройки на оптимальное представление временного ряда, но даже при их использовании могут возникать различные проблемы, например:
· из-за ограниченности разрешающей способности экранов компьютеров размеры выводимых графиков могут быть также ограничены;
· при больших объемах анализируемых рядов точки на экране, изображающие наблюдения временного ряда, могут превратиться в сплошную черную полосу.
Для борьбы с этими затруднениями используются различные способы. Наличие в графической процедуре режима «лупы» или «увеличения» позволяет изобразить более крупно выбранную часть ряда, однако при этом становится трудно судить о характере поведения ряда на всем анализируемом интервале. Приходится распечатывать графики для отдельных частей ряда и состыковывать их вместе, чтобы увидеть картину поведения ряда в целом. Иногда для улучшения воспроизведения длинных рядов используется прореживание,
то есть выбор и отображение на графике каждой второй, пятой, десятой и т.д. точки временного ряда. Эта процедура позволяет сохранить целостное представление ряда и полезна для обнаружения трендов. На практике полезно сочетание обеих процедур: разбиения ряда на части и прореживания, так как они позволяют определить особенности поведения временного ряда.
Еще одну проблему при воспроизведении графиков создают выбросы
– наблюдения, в несколько раз превышающие по величине большинство остальных значений ряда. Их присутствие тоже приводит к неразличимости колебаний временного ряда, так как масштаб изображения программа автоматически подбирает так, чтобы все наблюдения поместились на экране. Выбор другого масштаба на оси ординат устраняет эту проблему, но резко отличающиеся наблюдения при этом остаются за границами экрана.
Вспомогательные графики.
При анализе временных рядов часто используются вспомогательные графики для числовых характеристик ряда:
· график выборочной автокорреляционной функции (коррелограммы) с доверительной зоной (трубкой) для нулевой автокорреляционной функции;
· график выборочной частной автокорреляционной функции с доверительной зоной для нулевой частной автокорреляционной функции;
· график периодограммы.
Первые два из этих графиков позволяют судить о связи (зависимости) соседних значений временного рада, они используются при подборе параметрических моделей авторегрессии и скользящего среднего. График периодограммы позволяет судить о наличии гармонических составляющих во временном ряде.
3.6. Пример анализа временных рядов
Покажем последовательность анализа временных рядов на следующем примере. В таблице 8 приведены в относительных единицах данные продаж продовольственных товаров в магазине (Yt
). Разработать модель продаж и провести прогнозирование объема продаж на первые 6 месяцев 1996 года. Выводы обосновать.
Таблица 8
| Месяц
|
Yt
|
| 1
|
237
|
| 2
|
241
|
| 3
|
274
|
| 4
|
228
|
| 5
|
222
|
| 6
|
193
|
| 7
|
217
|
| 8
|
226
|
| 9
|
238
|
| 10
|
295
|
| 11
|
274
|
| 12
|
298
|
| 13
|
303
|
| 14
|
318
|
| 15
|
353
|
| 16
|
306
|
| 17
|
310
|
| 18
|
279
|
| 19
|
319
|
| 20
|
327
|
| 21
|
365
|
| 22
|
323
|
| 23
|
321
|
| 24
|
296
|
| 25
|
323
|
| 26
|
336
|
| 27
|
351
|
| 28
|
411
|
| 29
|
394
|
| 30
|
420
|
Построим график этой функции (рис. 8). Рис. 8
Анализ графика показывает:
· Временной ряд имеет тренд, весьма близкий к линейному.
· Существует определенная цикличность (повторяемость) процессов продаж с периодом цикла 6 месяцев.
· Временный ряд нестационарный, для приведения его к стационарному виду из него необходимо удалить тренд.
После перерисовки графика с периодом 6 месяцев он будет иметь следующий вид (рис.9). Так как колебания объемов продаж достаточно велики (это видно по графику) необходимо провести его сглаживание для более точного определения тренда.

Рис. 9
Существует несколько подходов к сглаживанию временного временных рядов:
- Простое сглаживание.
- Метод взвешенной скользящей средней.
- Метод экспоненциального сглаживания Брауна.
Простое сглаживание
основано на преобразовании исходного ряда в другой, значения которого являются усредненными по трем рядом стоящим точкам временного ряда:
(3.10)
для 1-го члена ряда
(3.11)
для n
-го (последнего) члена ряда
(3.12)
Метод взвешенной скользящей средней
отличается от простого сглаживания тем, что включает параметр wt
, который позволяет вести сглаживание по 5 или 7 точкам
(3.13)
для полиномов 2-го и 3-го порядков значение параметра wt
определяется из следующей таблицы
| m = 5
|
-3
|
12
|
17
|
12
|
-3
|
| m = 7
|
-2
|
3
|
5
|
7
|
6
|
3
|
-2
|
Метод экспоненциального сглаживания Брауна
использует предшествующие значений ряда, взятые с определенным весом. Причем вес уменьшается по мере удаления его от текущего времени
, (3.14)
где а – параметр сглаживания (1 > a > 0);
(1 - а) – коэф. дисконтирования.
Параметр а
рекомендуется выбирать в пределах от 0,35 до 1.
So
обычно выбирается равным Y1
или среднему из первых трех значений ряда.
Проведем простое сглаживание ряда. Результаты сглаживания ряда приведены в таблице 9. Полученные результаты представлены графически на рис.10. Повторное применение процедуры сглаживания к временному ряду позволяет получить более гладкую кривую. Результаты расчетов повторного сглаживания также представлены в таблице 9. Найдем оценки параметров линейной модели тренда по методике, рассмотренной в предыдущем разделе. Результаты расчетов следующие:
| Множественный R
|
0,933302
|
| R-квадрат
|
0,871052
|
| `a0
= 212,9729043 `t = 30,26026442
`a1
= 5,533978254 `t = 13,50506944
F = 182,3869
|
Уточненный график с линией тренда и моделью тренда представлен на рис. 12.
| Месяц
|
Yt
|
Y1t
|
Y2t
|
| 1
|
237
|
232
|
236
|
| 2
|
241
|
251
|
242
|
| 3
|
274
|
248
|
242
|
| 4
|
228
|
241
|
234
|
| 5
|
222
|
214
|
223
|
| 6
|
193
|
210
|
217
|
| 7
|
217
|
212
|
220
|
| 8
|
226
|
227
|
232
|
| 9
|
238
|
253
|
250
|
| 10
|
295
|
269
|
268
|
| 11
|
274
|
289
|
283
|
| 12
|
298
|
292
|
295
|
| 13
|
303
|
306
|
307
|
| 14
|
318
|
325
|
317
|
| 15
|
353
|
326
|
320
|
| 16
|
306
|
323
|
316
|
| 17
|
310
|
298
|
309
|
| 18
|
279
|
303
|
309
|
| 19
|
319
|
309
|
316
|
| 20
|
327
|
337
|
327
|
| 21
|
365
|
339
|
332
|
| 22
|
323
|
337
|
329
|
| 23
|
321
|
313
|
322
|
| 24
|
296
|
313
|
320
|
| 25
|
323
|
318
|
326
|
| 26
|
336
|
337
|
342
|
| 27
|
351
|
366
|
363
|
| 28
|
411
|
386
|
384
|
| 29
|
394
|
409
|
403
|
| 30
|
420
|
414
|
418
|
Таблица 9
Рис. 10. Временной ряд после первого применения процедуры простого сглаживания (Y1
t
)

Рис.11. Временной ряд после второго применения процедуры простого сглаживания (Yt2
)
Рис. 12 Следующий этап заключается в удалении тренда из исходного временного ряда.
Для удаления тренда вычтем из каждого элемента первоначального ряда значения, рассчитанные по модели тренда. Полученные значения представим графически на рис.13. Рис. 13
Полученные остатки, как видно из рис. 13, группируются около нуля, а это значит, что ряд близок к стационарному.
Для построения гистограммы распределения остатков рассчитывают интервалы группирования остатков ряда. Количество интервалов определяют из условия среднего попадания в интервал 3-4 наблюдения. Для нашего случая возьмем 8 интервалов. Размах ряда (крайние значения) от –40 до +40. Ширина интервала определяется как 80/8 =10. Границы интервалов рассчитываются от минимального значения размаха полученного ряда
| 1
|
2
|
3
|
4
|
5
|
6
|
7
|
8
|
9
|
| -40
|
-30
|
-20
|
-10
|
0
|
10
|
20
|
30
|
40
|
Теперь определим накопленные частоты попадания остатков ряда в каждый интервал и нарисуем гистограмму (рис.14).

Рис. 14
Анализ гистограммы показывает, что остатки группируются около 0. Однако в области от 30 до 40 есть некоторый локальный выброс, который свидетельствует о том, что не учтены и не удалены из исходного временного ряда некоторые сезонные или циклически компоненты. Более точно о характере распределения и его принадлежности к нормальному распределению можно сделать выводы после проверки статистической гипотезы о характере распределения остатков. При ручной обработке рядов обычно ограничиваются визуальным анализом полученных рядов. При обработке на ЭВМ существует возможность более полного анализа.
Что же является критерием завершения анализа временного ряда? Обычно исследователи используют два критерия, отличающихся от критериев качества модели при корреляционно-регрессионном анализе.
Первый критерий
качества подобранной модели временного ряда основан на анализе остатков ряда после удаления из него тренда и других компонент. Объективные оценки основаны на проверке гипотезы о нормальном распределении остатков и равенстве нулю выборочного среднего. При ручных методах расчета иногда оценивают показатели ассиметрии и эксцесса полученного распределения. Если они близки к нулю, то распределение считается близким к нормальному. Ассиметрия
, А рассчитывается как:

В том случае, если A < 0, то эмпирическое распределение несимметрично и сдвинуто вправо. При A > 0 распределение имеет сдвиг влево. При A = 0 распределение симметрично.
Эксцесс
, Е. Показатель, характеризующий выпуклость или вогнутость эмпирических распределений

В том случае, если Е больше или равно нулю, то распределение выпукло, в других случаях вогнуто.
Второй критерий
основан на анализе коррелограммы преобразованного временного ряда. В том случае, если корреляции между отдельными измерениями отсутствуют или меньше заданного значения (обычно 0.1) считается, что все компоненты ряда учтены и удалены и остатки не коррелированы между собой. В остатках ряда осталась некая случайная компонента, которая называется «белый шум».
Резюме
Применение методов анализа временных рядов в экономике позволяет сделать обоснованный прогноз изменения исследуемых показателей при определенных условиях и свойствах временного ряда. Временной ряд должен быть достаточного объема и содержать не менее 4 циклов повторения исследуемых процессов. Кроме того, случайная компонента ряда не должна быть соизмеримой с другими циклическими и сезонными компонентами ряда. В этом случае получаемые оценки прогноза имеют практический смысл.
Литература
Основная:
1. Магнус Я.Р., Катышев П.К., Пересецкий А.А. Эконометрика: Начальный курс. Акад. нар. хоз-ва при Правительстве РФ. – М.: Дело, 1997. – 245 с.
2. Доугерти К. Введение в эконометрику. – М.: ИНФРА-М, 1997. – 402 с.
Дополнительная:
1. Айвазян С.А., Мхитарян В.С. Прикладная статистика и основы эконометрики. – М.: Юнити, 1998. – 1022 с.
2. Многомерный статистический анализ в экономике / Под ред. В.Н. Тамашевича. – М.: Юнити-Дана, 1999. – 598 с.
3. Айвазян С.А., Енюков Й.С., Мешалкин Л.Д. Прикладная статистика. Основы моделирования и первичная обработка данных. – М.: Финансы и статистика, 1983.
4. Айвазян С.А., Енюков Й.С., Мешалкин Л.Д. Прикладная статистика. Исследование зависимостей. – М.: Финансы и статистика, 1985.
5. Айвазян С.А., Бухштабер В.М., Енюков С.А., Мешалкин Л.Д. Прикладная статистика. Классификация и снижение размерности. – М.: Финансы и статистика, 1989.
6. Бард Й. Нелинейное оценивание параметров. – М.: Статистика, 1979.
7. Демиденко Е.З. Линейная и нелинейная регрессия. – М.: Финансы и статистика, 1981.
8. Джонстон Д. Эконометрические методы. – М.: Статистика, 1980.
9. Дрейпер Н., Смит Г. Прикладной регрессионный анализ. В 2-х кн. – М.: Финансы и статистика, 1986.
10. Себер Дж. Линейный регрессионный анализ. – М.: Мир, 1980.
11. Андерсон Т. Cтатистический анализ временных рядов. – М.: Мир, 1976.
12. Бокс Дж., Дженкинс Г. Анализ временных рядов. Прогноз и управление. (Вып. 1, 2). – М.: Мир, 1972.
13. Дженкинс Г., Ваттс Д. Cпектральный анализ и его применения. – М.: Мир, 1971.
14. Гренджер К., Хатанака М. Cпектральный анализ временных рядов в экономике. – М.: Статистика, 1972.
15. Кендэл М. Временные ряды. – М.: Финансы и статистика, 1981.
16. Вапник В.Н. Восстановление зависимостей по эмпирическим данным. – М.: Наука, 1979.
17. Дюран Б., Оделл П. Кластерный анализ. – М.: Статистика, 1977.
18. Ермаков C.М., Жиглявский А.А. Математическая теория оптимального эксперимента. – М.: Наука, 1982.
19. Лоули Д., Максвелл А. Факторный анализ как статистический метод. – М.: Мир, 1967.
20. Розин Б.Б. Теория распознавания образов в экономических исследованиях. – М.: Статистика, 1973.
21. Справочник по прикладной статистике. – М.: Финансы и статистика, 1990.
22. Хьюбер П. Робастность в статистике. – М.: Мир, 1984.
23. Шеффе Г. Дисперсионный анализ. – М.: Наука, 1980.
Обзор литературы по статистическим пакетам:
1. Кузнецов С.Е. Халилеев А.А. Обзор специализированных статистических пакетов по анализу временных рядов. – М.: Статдиалог, 1991.
Приложение 1
Методические указания по выполнению задания 1
Номер варианта определяется по номеру студента в списке в зачетной или экзаменационной ведомостях. При выполнении задания необходимо использовать методику расчета, приведенную во втором разделе пособия при решении задачи построения математической модели зависимости расходов на питание от величины душевого дохода в семье. Все расчета должны быть приведены в табличном виде. Выводы должны быть аргументированы.
Задание 1. Разработка и анализ эконометрической модели
В таблице 1 представлены статистические данные о расходах на питание различных групп населения в зависимости от уровня их суммарных доходов в месяц (числа относительные).
Требуется:
1. Построить линейную однофакторную модель зависимости между доходами семьи и расходами на продукты питания.
2. Оценить тесноту связи между доходами семьи и расходами на продукты питания.
3. Рассчитать коэффициенты детерминации и эластичности пояснить их экономический смысл, оценить точность модели.
Таблица 1
Вариант 1
| Доходы семьи (х)
|
2.4
|
3.2
|
3.4
|
3.6
|
4.5
|
5.1
|
5.6
|
5.8
|
6.4
|
7
|
| Расходы на продукты питания (y)
|
1.2
|
1.3
|
1.4
|
1.45
|
1.7
|
1.8
|
2.1
|
2.2
|
3
|
3.1
|
Вариант 2
| Доходы семьи (х)
|
2.2
|
2.4
|
2.8
|
3.4
|
3.6
|
4.1
|
4.6
|
4.8
|
5.4
|
6.5
|
| Расходы на продукты питания (y)
|
1.4
|
1.5
|
1.55
|
1.6
|
1.7
|
1.8
|
2.1
|
2.2
|
3
|
3.4
|
Вариант 3
| Доходы семьи (х)
|
1.5
|
1.8
|
1.9
|
2.4
|
2.8
|
3.1
|
3.9
|
4.1
|
4.8
|
5
|
| Расходы на продукты питания (y)
|
0.8
|
0.9
|
1.2
|
1.5
|
1.8
|
1.9
|
2.2
|
2.5
|
2.8
|
3.4
|
Вариант 4
| Доходы семьи (х)
|
2.0
|
3.2
|
3.4
|
3.6
|
4.5
|
5.1
|
5.6
|
5.8
|
6.4
|
7.5
|
| Расходы на продукты питания (y)
|
1.1
|
1.3
|
1.4
|
1.45
|
1.7
|
1.8
|
2.1
|
2.2
|
3
|
3.4
|
Вариант 5
| Доходы семьи (х)
|
1.6
|
1.8
|
2
|
2.4
|
2.8
|
3.1
|
3.5
|
4.1
|
4.8
|
5
|
| Расходы на продукты питания (y)
|
0.8
|
0.9
|
1.2
|
1.5
|
1.8
|
1.9
|
2.1
|
2.5
|
2.8
|
3.7
|
Вариант 6
| Доходы семьи (х)
|
2.4
|
3.2
|
3.4
|
3.6
|
4.5
|
5.1
|
5.6
|
5.8
|
6.4
|
7
|
| Расходы на продукты питания (y)
|
1.15
|
1.3
|
1.4
|
1.45
|
1.7
|
1.77
|
2.1
|
2.2
|
3
|
3.8
|
Вариант 7
| Доходы семьи (х)
|
1.4
|
1.8
|
2
|
2.4
|
2.8
|
3.1
|
3.5
|
4.1
|
4.8
|
5
|
| Расходы на продукты питания (y)
|
0.8
|
0.9
|
1.2
|
1.5
|
1.6
|
1.9
|
2.1
|
2.5
|
2.8
|
3.2
|
Вариант 8
| Доходы семьи (х)
|
1.9
|
3.2
|
3.4
|
3.6
|
4.5
|
5.1
|
5.6
|
5.8
|
6.4
|
6.7
|
| Расходы на продукты питания (y)
|
1.2
|
1.3
|
1.4
|
1.45
|
1.7
|
1.8
|
2.1
|
2.2
|
3
|
3.4
|
Вариант 9
| Доходы семьи (х)
|
2.8
|
3.2
|
3.4
|
3.6
|
4.5
|
5.1
|
5.6
|
5.8
|
6.4
|
7
|
| Расходы на продукты питания (y)
|
1.7
|
1.6
|
1.8
|
1.95
|
2.1
|
2.3
|
2.6
|
2.8
|
3
|
3.5
|
Вариант 10
| Доходы семьи (х)
|
2.4
|
3.2
|
3.4
|
3.6
|
4.5
|
5.1
|
5.6
|
5.8
|
6.4
|
6.8
|
| Расходы на продукты питания (y)
|
0.8
|
1.2
|
1.25
|
1.3
|
1.45
|
1.4
|
1.5
|
2
|
2.2
|
2.4
|
Вариант 11
| Доходы семьи (х)
|
2.3
|
3.2
|
3.4
|
3.6
|
4.5
|
5
|
5.6
|
5.8
|
6.4
|
7
|
| Расходы на продукты питания (y)
|
1.2
|
1.3
|
1.4
|
1.45
|
1.7
|
1.75
|
2.1
|
2.2
|
3
|
3.4
|
Вариант 12
| Доходы семьи (х)
|
2.1
|
3.2
|
3.4
|
3.6
|
4.2
|
5.1
|
5.6
|
5.8
|
6.4
|
6.6
|
| Расходы на продукты питания (y)
|
1.05
|
1.3
|
1.4
|
1.45
|
1.7
|
1.8
|
2.1
|
2.2
|
3
|
3.4
|
Вариант 13
| Доходы семьи (х)
|
1.6
|
1.7
|
2
|
2.4
|
2.8
|
3.1
|
3.5
|
4.1
|
4.8
|
5
|
| Расходы на продукты питания (y)
|
0.56
|
0.66
|
1.2
|
1.5
|
1.8
|
1.9
|
2.1
|
2.5
|
2.8
|
3.3
|
Вариант 14
| Доходы семьи (х)
|
2.15
|
3.15
|
3.4
|
3.9
|
4.5
|
5.1
|
5.6
|
5.8
|
6.4
|
6.8
|
| Расходы на продукты питания (y)
|
1.2
|
1.3
|
1.4
|
1.45
|
1.7
|
1.8
|
2.1
|
2.2
|
3
|
3.1
|
Вариант 15
| Доходы семьи (х)
|
1.6
|
1.8
|
2
|
2.4
|
2.8
|
3.1
|
3.5
|
4.1
|
4.8
|
5.2
|
| Расходы на продукты питания (y)
|
0.5
|
0.9
|
1.25
|
1.5
|
1.8
|
1.9
|
2.1
|
2.5
|
2.8
|
3.8
|
Вариант 16
| Доходы семьи (х)
|
2.1
|
3.2
|
3.4
|
3.6
|
4.5
|
5.1
|
5.6
|
5.8
|
6.4
|
7
|
| Расходы на продукты питания (y)
|
1.2
|
1.3
|
1.4
|
1.45
|
1.7
|
1.8
|
2.1
|
2.2
|
3
|
3.1
|
Вариант 17
| Доходы семьи (х)
|
1.5
|
1.8
|
2
|
2.4
|
2.8
|
3.1
|
3.5
|
4.1
|
5
|
6
|
| Расходы на продукты питания (y)
|
0.62
|
0.9
|
1.2
|
1.6
|
1.8
|
1.9
|
2.1
|
2.5
|
2.8
|
3.7
|
Вариант 18
| Доходы семьи (х)
|
2.3
|
3.2
|
3.3
|
3.6
|
4.5
|
5.1
|
5.6
|
5.8
|
6.4
|
6.6
|
| Расходы на продукты питания (y)
|
1.2
|
1.25
|
1.4
|
1.5
|
1.7
|
1.8
|
2.1
|
2.2
|
3
|
3.4
|
Вариант 19
| Доходы семьи (х)
|
2
|
3.25
|
3.4
|
3.6
|
4.5
|
5.1
|
5.6
|
5.8
|
6.4
|
6.5
|
| Расходы на продукты питания (y)
|
1.12
|
1.35
|
1.4
|
1.45
|
1.7
|
1.8
|
2.1
|
2.22
|
3
|
3.3
|
Вариант 20
| Доходы семьи (х)
|
0.87
|
1.64
|
2
|
2.4
|
2.8
|
3.1
|
3.5
|
4.1
|
4.8
|
5
|
| Расходы на продукты питания (y)
|
0.75
|
0.9
|
1.2
|
1.5
|
1.8
|
1.9
|
2.1
|
2.5
|
2.8
|
3.4
|
Приложение 2
Методические указания по выполнению задания 2
Для выполнения задания выбрать вариант, соответствующий номеру студента в списке в зачетной или экзаменационной ведомостях. При выполнении задания необходимо использовать методику расчета, приведенную в разделе 3.7 настоящего пособия. При выполнении задания ручным способом ограничиться графическими методами анализа и определением и выделением тренда в исходном временном ряду. Выводы аргументировать.
Задание 2. Прогнозирование динамики экономических процессов методами анализа временных рядов
В таблице 2 приведены данные продаж продовольственных товаров в магазине. Разработать модель продаж и провести прогнозирование объема продаж на первые 6 месяцев 1996 года. Выводы обосновать.
Таблица 2
Объем продаж продовольственных товаров с 1 января 1990 г. в относительных единицах
| Дата
|
1
|
2
|
3
|
4
|
5
|
6
|
7
|
8
|
9
|
10
|
11
|
12
|
13
|
14
|
15
|
16
|
| 1/1/93
|
178
|
171
|
199
|
192
|
196
|
197
|
182
|
178
|
193
|
182
|
212
|
220
|
193
|
243
|
232
|
236
|
| 1/2/93
|
184
|
201
|
181
|
195
|
205
|
202
|
199
|
185
|
206
|
207
|
236
|
234
|
211
|
236
|
252
|
238
|
| 1/3/93
|
193
|
196
|
201
|
213
|
201
|
194
|
220
|
196
|
197
|
243
|
238
|
248
|
220
|
245
|
256
|
269
|
| 1/4/93
|
182
|
199
|
185
|
201
|
206
|
193
|
207
|
187
|
193
|
236
|
269
|
212
|
234
|
225
|
220
|
220
|
| 1/5/93
|
207
|
208
|
212
|
194
|
202
|
211
|
183
|
197
|
206
|
245
|
220
|
208
|
248
|
191
|
214
|
211
|
| 1/6/93
|
243
|
232
|
236
|
229
|
240
|
220
|
241
|
246
|
218
|
225
|
211
|
175
|
212
|
175
|
188
|
178
|
| 1/7/93
|
236
|
252
|
238
|
231
|
254
|
234
|
243
|
231
|
243
|
191
|
178
|
212
|
208
|
207
|
204
|
198
|
| 1/8/93
|
245
|
256
|
269
|
266
|
264
|
248
|
242
|
244
|
243
|
175
|
198
|
213
|
175
|
218
|
224
|
203
|
| 1/9/93
|
225
|
220
|
220
|
214
|
235
|
212
|
215
|
219
|
224
|
207
|
203
|
216
|
212
|
216
|
214
|
211
|
| 1/10/93
|
191
|
214
|
211
|
192
|
218
|
208
|
203
|
199
|
199
|
218
|
211
|
257
|
213
|
252
|
241
|
263
|
| 1/11/93
|
175
|
188
|
178
|
181
|
199
|
175
|
176
|
187
|
174
|
216
|
263
|
262
|
216
|
237
|
246
|
238
|
| 1/12/93
|
207
|
204
|
198
|
217
|
209
|
212
|
221
|
208
|
201
|
252
|
238
|
249
|
257
|
242
|
232
|
256
|
| 1/1/94
|
218
|
224
|
203
|
202
|
209
|
213
|
211
|
208
|
225
|
237
|
256
|
251
|
262
|
249
|
265
|
256
|
| 1/2/94
|
216
|
214
|
211
|
205
|
199
|
216
|
203
|
223
|
211
|
242
|
256
|
288
|
249
|
284
|
292
|
266
|
| 1/3/94
|
252
|
241
|
263
|
250
|
246
|
257
|
258
|
254
|
254
|
223
|
266
|
283
|
251
|
280
|
290
|
295
|
| 1/4/94
|
237
|
246
|
238
|
235
|
259
|
262
|
262
|
243
|
237
|
254
|
295
|
266
|
288
|
250
|
237
|
242
|
| 1/5/94
|
242
|
232
|
256
|
242
|
241
|
249
|
235
|
243
|
240
|
243
|
242
|
234
|
283
|
217
|
220
|
240
|
| 1/6/94
|
249
|
265
|
256
|
258
|
248
|
251
|
243
|
255
|
271
|
243
|
240
|
186
|
266
|
197
|
181
|
203
|
| 1/7/94
|
284
|
292
|
266
|
282
|
264
|
288
|
287
|
292
|
289
|
255
|
203
|
206
|
234
|
243
|
232
|
236
|
| 1/8/94
|
280
|
290
|
295
|
294
|
291
|
283
|
278
|
288
|
282
|
292
|
227
|
215
|
186
|
236
|
252
|
238
|
| 1/9/94
|
250
|
237
|
242
|
249
|
260
|
266
|
253
|
262
|
244
|
288
|
243
|
232
|
236
|
245
|
256
|
269
|
| 1/10/94
|
217
|
220
|
240
|
221
|
212
|
234
|
235
|
234
|
219
|
262
|
236
|
252
|
238
|
225
|
220
|
220
|
| 1/11/94
|
197
|
181
|
203
|
205
|
182
|
186
|
205
|
204
|
181
|
234
|
245
|
256
|
269
|
191
|
214
|
211
|
| 1/12/94
|
216
|
220
|
227
|
229
|
212
|
206
|
210
|
218
|
230
|
204
|
225
|
220
|
220
|
175
|
188
|
178
|
| 1/1/95
|
222
|
207
|
210
|
222
|
224
|
215
|
220
|
230
|
209
|
218
|
191
|
214
|
211
|
207
|
204
|
198
|
| 1/2/95
|
192
|
213
|
201
|
217
|
212
|
193
|
217
|
197
|
190
|
230
|
175
|
188
|
178
|
218
|
224
|
203
|
| 1/3/95
|
250
|
260
|
235
|
236
|
239
|
252
|
261
|
263
|
241
|
197
|
207
|
204
|
198
|
216
|
214
|
211
|
| 1/4/95
|
255
|
244
|
249
|
243
|
231
|
232
|
246
|
235
|
236
|
263
|
218
|
224
|
203
|
252
|
241
|
263
|
| 1/5/95
|
254
|
255
|
237
|
259
|
235
|
262
|
240
|
262
|
257
|
235
|
216
|
214
|
211
|
237
|
246
|
238
|
| 1/6/95
|
291
|
289
|
276
|
275
|
274
|
269
|
288
|
285
|
283
|
262
|
252
|
241
|
263
|
242
|
232
|
256
|
| 1/7/95
|
307
|
302
|
311
|
311
|
302
|
313
|
313
|
305
|
304
|
285
|
237
|
246
|
238
|
249
|
265
|
256
|
| 1/8/95
|
303
|
296
|
322
|
301
|
322
|
302
|
304
|
316
|
300
|
305
|
242
|
232
|
256
|
284
|
292
|
266
|
| 1/9/95
|
264
|
280
|
260
|
259
|
278
|
262
|
260
|
273
|
263
|
316
|
249
|
265
|
256
|
280
|
290
|
295
|
| 1/10/95
|
258
|
247
|
236
|
247
|
230
|
234
|
245
|
234
|
235
|
223
|
284
|
292
|
266
|
250
|
237
|
242
|
| 1/11/95
|
216
|
209
|
208
|
214
|
230
|
204
|
214
|
203
|
219
|
254
|
280
|
290
|
295
|
217
|
220
|
240
|
Приложение
3
Краткое содержание программы дисциплины «Эконометрика»
Цель дисциплины
- ознакомление с основными принципами применения математической статистики в экономике.
СОДЕРЖАНИЕ
1. Основные задачи, цели и последовательность проведения эконометрического анализа
Содержание и область исследования эконометрики. Краткая история развития эконометрики. Классификация эконометрических моделей. Регрессионный анализ как инструмент анализа и прогнозирования экономических явлений. Роль линейных моделей в экономике. Виды регрессионных моделей. Модели временных рядов. Постановки некоторых эконометрических задач. Последовательность разработки эконометрических моделей.
2. Эконометрический анализ на основе моделей линейной регрессии
Простая однофакторная линейная регрессия. Оценка параметров линейной регрессии методом наименьших квадратов. Связь между параметрами регрессии и их оценками. Оценки дисперсии сериальных ошибок и дисперсий параметров регрессии.
Проверка гипотезы о значимости параметров регрессии с помощью критерия Стьюдента. Соответствие модели выборочным данным. Коэффициент детерминации.
Предсказание и прогнозирование с помощью линейной регрессии.
Множественная линейная регрессия: основные понятия. Оценка параметров множественной регрессии методом наименьших квадратов.
Проверка значимости параметров регрессии с помощью критерия Стьюдента. Соответствие модели выборочным данным. Коэффициент детерминации. Исправленный коэффициент детерминации. Проверка соответствия модели выборочным данным с помощью критерия Фишера.
Прогнозирование по модели множественной регрессии. Проверка гипотезы о значимости введения новых переменных.
Особенности практического применения регрессионных моделей. Проблема гетероскедастичности. Методы коррекции моделей на гетероскедастичность.
Фиктивные переменные в регрессионных моделях.
Проблема мультиколлинеарности и методы ее устранения.
4. Эконометрический анализ на основе временных рядов
Основные понятия в теории временных рядов.
Цели, задачи и методы анализа временных рядов.
Выявление тренда в динамических рядах экономических показателей.
Методы оценки характеристик временного ряда: выборочное среднее, автокорреляционная функция, частная автокорреляционная функция.
Порядок анализа временных рядов: построение и изучение графиков функций, подбор модели тренда, исключение нестационарности ряда, преобразование ряда и сглаживание, подбор моделей скользящего среднего и авторегрессии, изучение остатков и коррелограмм, прогнозирование.
Примеры анализа временных рядов.
Приложение
4
Критические значения критерия F (Фишера) для уровней статистической значимости р < 0,05 и р < 0,01: df1
-
число степеней свободы в числителе, df2
-
число степеней свободы в знаменателе
(по Snedecor., 1956)
Таблица 1
| 
|
1
|
2
|
3
|
4
|
5
|
6
|
7
|
8
|
9
|
10
|
11
|
12
|
| P = 0.05
|
| 1
|
161
|
200
|
216
|
225
|
230
|
234
|
237
|
239
|
241
|
242
|
243
|
244
|
| 2
|
18,51
|
19,00
|
19,16
|
19,25
|
19,30
|
19,33
|
19,36
|
19,37
|
19,38
|
19,39
|
19,40
|
19,41
|
| 3
|
10,13
|
9,55
|
9,28
|
9,12
|
9,01
|
8,94
|
8,88
|
8,84
|
8,81
|
8,78
|
8,76
|
8,74
|
| 4
|
7,71
|
6,94
|
6,59
|
6,39
|
6,26
|
6,16
|
6,09
|
6,04
|
6,00
|
5,96
|
5,93
|
5,91
|
| 5
|
6,61
|
5,79
|
5,41
|
5,19
|
5,05
|
4,95
|
4,88
|
4,82
|
4,78
|
4,74
|
4,70
|
4,68
|
| 6
|
5,99
|
5,14
|
4,76
|
4,53
|
4,39
|
4,28
|
4,21
|
4,15
|
4,10
|
4,06
|
4,03
|
4,00
|
| 7
|
5,59
|
4,74
|
4,35
|
4,12
|
3,97
|
3,87
|
3,79
|
3,73
|
3,68
|
3,63
|
3,60
|
3,57
|
| 8
|
5,32
|
4,46
|
4,07
|
3,84
|
3,69
|
3,58
|
3,50
|
3,44
|
3,39
|
3,34
|
3,31
|
3,28
|
| 9
|
5,12
|
4,26
|
3,86
|
3,63
|
3,48
|
3,37
|
3,29
|
3,23
|
3,18
|
3,13
|
3,10
|
3,07
|
| 10
|
4,96
|
4,10
|
3,71
|
3,48
|
3,33
|
3,22
|
3,14
|
3,07
|
3,02
|
2,97
|
2,94
|
2,91
|
| 11
|
4,84
|
3,98
|
3,59
|
3,36
|
3,20
|
3,09
|
3,01
|
2,95
|
2,90
|
2,86
|
2,82
|
2,79
|
| 12
|
4,75
|
3,88
|
3,49
|
3,26
|
3,11
|
3,00
|
2,92
|
2,85
|
2,80
|
2,76
|
2,72
|
2,69
|
| 13
|
4,67
|
3,80
|
3,41
|
3,18
|
3,02
|
2,92
|
2,84
|
2,77
|
2,72
|
2,67
|
2,63
|
2,60
|
| 14
|
4,60
|
3,74
|
3,34
|
3,11
|
2,96
|
2,85
|
2,77
|
2,70
|
2,65
|
2,60
|
2,56
|
2,53
|
| 15
|
4,54
|
3,68
|
3,29
|
3,06
|
2,90
|
2,79
|
2,70
|
2,64
|
2,59
|
2,55
|
2,51
|
2,48
|
| 16
|
4,49
|
3,63
|
3,24
|
3,01
|
2,85
|
2,74
|
2,66
|
2,59
|
2,54
|
2,49
|
2,45
|
2,42
|
| P = 0.01
|
| 1
|
4052
|
4999
|
5403
|
5625
|
5764
|
5859
|
5928
|
5981
|
6022
|
6056
|
6082
|
6106
|
| 2
|
98,49
|
99,00
|
99,17
|
99,25
|
99,30
|
99,33
|
99,36
|
99,37
|
99,39
|
99,40
|
99,41
|
99,42
|
| 3
|
34,12
|
30,82
|
29,46
|
28,71
|
28,24
|
27,91
|
27,67
|
27,49
|
27,34
|
27,23
|
27,13
|
27,05
|
| 4
|
21,20
|
18,00
|
16,69
|
15,98
|
15,52
|
15,21
|
14,98
|
14,80
|
14,66
|
14,54
|
14,45
|
14,37
|
| 5
|
16,26
|
13,27
|
12,06
|
11,39
|
10,97
|
10,67
|
10,45
|
10,29
|
10,15
|
10,05
|
9,96
|
9,89
|
| 6
|
13,74
|
10,92
|
9,78
|
9,15
|
8,75
|
8,47
|
8,26
|
8,10
|
7,98
|
7,87
|
7,79
|
7,72
|
| 7
|
12,25
|
9,55
|
8,45
|
7,85
|
7,46
|
7,19
|
7,00
|
6,84
|
6,71
|
6,62
|
6,54
|
6,47
|
| 8
|
11,26
|
8,65
|
7,59
|
7,01
|
6,63
|
6,37
|
6,19
|
6,03
|
5,91
|
5,82
|
5,74
|
5,67
|
| 9
|
10,56
|
8,02
|
6,99
|
6,42
|
6,06
|
5,80
|
5,62
|
5,47
|
5,35
|
5,26
|
5,18
|
5,11
|
| 10
|
10,04
|
7,56
|
6,55
|
5,99
|
5,64
|
5,39
|
5,21
|
5,06
|
4,95
|
4,85
|
4,78
|
4,71
|
| 11
|
9,65
|
7,20
|
6,22
|
5,67
|
5,32
|
5,07
|
4,88
|
4,74
|
4,63
|
4,54
|
4,46
|
4,40
|
| 12
|
9,33
|
6,93
|
5,95
|
5,41
|
5,06
|
4,82
|
4,65
|
4,50
|
4,39
|
4,30
|
4,22
|
4,16
|
| 13
|
9,07
|
6,70
|
5,74
|
5,20
|
4,86
|
4,62
|
4,44
|
4,30
|
4,19
|
4,10
|
4,02
|
3,96
|
| 14
|
8,86
|
6,51
|
5,56
|
5,03
|
4,69
|
4,46
|
4,28
|
4,14
|
4,03
|
3,94
|
3,86
|
3,80-
|
| 15
|
8,68
|
6,36
|
5,42
|
4,89
|
4,56
|
4,32
|
4,14
|
4,00
|
3,89
|
3,80
|
3,73
|
3,67
|
| 16
|
8,53
|
6,23
|
5,29
|
4,77
|
4,44
|
4,20
|
4,03
|
3,89
|
3,78
|
3,69
|
3,61
|
3,55
|
Таблица 1. Продолжение
| df1
|
1
|
2
|
3
|
4
|
5
|
6
|
7
|
8
|
9
|
10
|
11
|
12
|
| df2
|
P = 0.05
|
| 17
|
4,45
|
3,59
|
3,20
|
2,96
|
2,81
|
2,70
|
2,62
|
2,55
|
2,50
|
2,45
|
2,41
|
2,38
|
| 18
|
4,41
|
3,55
|
3,16
|
2,93
|
2,77
|
3,66
|
2,58
|
2,51
|
2,46
|
2,41
|
2,37
|
2,34
|
| 19
|
4,38
|
3,52
|
3,13
|
2,90
|
2,74
|
2,63
|
2.55
|
2,48
|
2,43
|
2,38
|
2,34
|
2,31
|
| 20
|
4,35
|
3,49
|
3,10
|
2,87
|
2,71
|
2,60
|
2,52
|
2,45
|
2,40
|
2,35
|
2,31
|
2,28
|
| 21
|
4,32
|
3,47
|
3,07
|
2,84
|
2,68
|
2,57
|
2,49
|
2,42
|
2,37
|
2.32
|
2,28
|
2,25
|
| 22
|
4.30
|
3,44
|
3,05
|
2,82
|
2,66
|
2,55
|
2,47
|
2,40
|
2,35
|
2,30
|
2,26
|
2,23
|
| 23
|
4,28
|
3,42
|
3,03
|
2,80
|
2,64
|
2,53
|
2,45
|
2,38
|
2,32
|
2,28
|
2,24
|
2,20
|
| 24
|
4,26
|
3,40
|
3,01
|
2,78
|
2,62
|
2,51
|
2,43
|
2,36
|
2,30
|
2,26
|
2,22
|
2,18
|
| 25
|
4,24
|
3,38
|
2,99
|
2,76
|
2,60
|
2,49
|
2,41
|
2,34
|
2,28
|
2,24
|
2,20
|
2,16
|
| 26
|
4,22
|
3,37
|
2,98
|
2,74
|
2,59
|
2,47
|
2,39
|
2,32
|
2,27
|
2,22
|
2,18
|
2,15
|
| 27
|
4,21
|
3,35
|
2,96
|
2,73
|
2,57
|
2,46
|
2,37
|
2,30
|
2,25
|
2,20
|
2,16
|
2,13
|
| 28
|
4,20
|
3,34
|
2,95
|
2,71
|
2,56
|
2,44
|
2,36
|
2,29
|
2,24
|
2,19
|
2,15
|
2,12
|
| 29
|
4,18
|
3,33
|
2,93
|
2,70
|
2,54
|
2,43
|
2,35
|
2,28
|
2,22
|
2,18
|
2,14
|
2,10
|
| 30
|
4,17
|
3,32
|
2,92
|
2,69
|
2,53
|
2,42
|
2,34
|
2,27
|
2,21
|
2,16
|
2,12
|
2,09
|
| 32
|
4,15
|
3,30
|
2,90
|
2,67
|
2,51
|
2,40
|
2,32
|
2,25
|
2,19
|
2,14
|
2,10
|
2,07
|
| 34
|
4,13
|
3,28
|
2,88
|
2,65
|
2,49
|
2,38
|
2,30
|
2,23
|
2,17
|
2,12
|
2,08
|
2,05
|
| P = 0.01
|
| 17
|
8,40
|
6,11
|
5,18
|
4,67
|
4,34
|
4,10
|
3,93
|
3,79
|
3,68
|
3,59
|
3,52
|
3,45
|
| 18
|
8,28
|
6,01
|
5,09
|
4,58
|
4,25
|
4,01
|
3,85
|
3,71
|
3,60
|
3,51
|
3,44
|
3,37
|
| 19
|
8,18
|
5,93
|
5,01
|
4,50
|
4,17
|
3,94
|
3,77
|
3,63
|
3,52
|
3,43
|
3,36
|
3,30
|
| 20
|
8,10
|
5,85
|
4,94
|
4,43
|
4,10
|
3,87
|
3,71
|
3,56
|
3,45
|
3,37
|
3,30
|
3,23
|
| 21
|
8,02
|
5,78
|
4,87
|
4,37
|
4,04
|
3,81
|
3,65
|
3,51
|
3,40
|
3,31
|
3,24
|
3,17
|
| 22
|
7,94
|
5,72
|
4,82
|
4,31
|
3,99
|
3,76
|
3,59
|
3,45
|
3,35
|
3,26
|
3,18
|
3,12
|
| 23
|
7,88
|
5,66
|
4,76
|
4,26
|
3,94
|
3,71
|
3,54
|
3,41
|
3,30
|
3,21
|
3,14
|
3,07
|
| 24
|
7,82
|
5,61
|
4,72
|
4,22
|
3,90
|
3,67
|
3,50
|
3,36
|
3,25
|
3,17
|
3,09
|
3,03
|
| 25
|
7,77
|
5,57
|
4,68
|
4,18
|
3,86
|
3,63
|
3,46
|
3,32
|
3,21
|
3,13
|
3,05
|
2,99
|
| 26
|
7,72
|
5,53
|
4,64
|
4,14
|
3,82
|
3,59
|
3,42
|
3,29
|
3,17
|
3,09
|
3,02
|
2,96
|
| 27
|
7,68
|
5,49
|
4,60
|
4,11
|
3,79
|
3,56
|
3.39
|
3,26
|
3,14
|
3,06
|
2,98
|
2,93
|
| 28
|
7,64
|
5,45
|
4,57
|
4,07
|
3,76
|
3,53
|
3,36
|
3,23
|
3,11
|
3,03
|
2,95
|
2,90
|
| 29
|
7,60
|
5,42
|
4,54
|
4,04
|
3,73
|
3,50
|
3,33
|
3,20
|
3,08
|
3,00
|
2,92
|
2,87
|
| 30
|
7,56
|
5,39
|
4.51
|
4,02
|
3,70
|
3,47
|
3,30
|
3,17
|
3.06
|
2,98
|
2,90
|
2,84
|
| 32
|
7,50
|
5,34
|
4,46
|
3,97
|
3,66
|
3,42
|
3,25
|
3,12
|
3,01
|
2,94
|
2,86
|
2,80
|
| 34
|
7,44
|
5,29
|
4,42
|
3,93
|
3,61
|
3,38
|
3,21
|
3,08
|
2,97
|
2,89
|
2,82
|
2,76
|
Таблица 1. Продолжение
| df2
|
1
|
2
|
3
|
4
|
5
|
6
|
7
|
8
|
9
|
10
|
11
|
12
|
| df1
|
P = 0.05
|
| 36
|
4,11
|
3,26
|
2,86
|
2,63
|
2,48
|
2,36
|
2,28
|
2,21
|
2,15
|
2,10
|
2,06
|
2,03
|
| 38
|
4,10
|
3,25
|
2,85
|
2,62
|
2,46
|
2,35
|
2,26
|
2,19
|
2,14
|
2,09
|
2,05
|
2,02
|
| 40
|
4,08
|
3,23
|
2,84
|
2,61
|
2,45
|
2,34
|
2,25
|
2,18
|
2,12
|
2,07
|
2,04
|
2,00
|
| 42
|
4,07
|
3,22
|
2,83
|
2,59
|
2,44
|
2,32
|
2,24
|
2,17
|
2,11
|
2,06
|
2,02
|
1,99
|
| 44
|
4,06
|
3,21
|
2,82
|
2,58
|
2,43
|
2,31
|
2,23
|
2,16
|
2,10
|
2,05
|
2,01
|
1,98
|
| 46
|
4,05
|
3,20
|
2,81
|
2,57
|
2,42
|
2,30
|
2,22
|
2,14
|
2,09
|
2,04
|
2.00
|
1,97
|
| 48
|
4,04
|
3,19
|
2,80
|
2,56
|
2,41
|
2,30
|
2,21
|
2,14
|
2,08
|
2,03
|
1,99
|
1,96
|
| 50
|
4,03
|
3,18
|
2,79
|
2,56
|
2.40
|
2,29
|
2,20
|
2,13
|
2,07
|
2,02
|
1,98
|
1,95
|
| 55
|
4,02
|
3,17
|
2,78
|
2,54
|
2,38
|
2,27
|
2,18
|
2,11
|
2,05
|
2,00
|
1,97
|
1,93
|
| 60
|
4,00
|
3,15
|
2,76
|
2,52
|
2,37
|
2,25
|
2,17
|
2,10
|
2,04
|
1,99
|
1,95
|
1,92
|
| 65
|
3,99
|
3,14
|
2,75
|
2,51
|
2,36
|
2,24
|
2,15
|
2,08
|
2,02
|
1,98
|
1,94
|
1,90
|
| 70
|
3,98
|
3,13
|
2,74
|
2,50
|
2,35
|
2,23
|
2,14
|
2,07
|
2,01
|
1,97
|
1,93
|
1,89
|
| 80
|
3,96
|
3,11
|
2,72
|
2,48
|
2,33
|
2,21
|
2,12
|
2,05
|
1,99
|
1,95
|
1,91
|
1,88
|
| 100
|
3,94
|
3,09
|
2,70
|
2,46
|
2,30
|
2,19
|
2,10
|
2,03
|
1,97
|
1,92
|
1,88
|
1,85
|
| 125
|
3,92
|
3,07
|
2,68
|
2,44
|
2,29
|
2,17
|
2,08
|
2,01
|
1,95
|
1,90
|
1,86
|
1,83
|
| 150
|
3,91
|
3,06
|
2,67
|
2,43
|
2,27
|
2,16
|
2,07
|
2,00
|
1,94
|
1,89
|
1,85
|
1,82
|
| 200
|
3,89
|
3,04
|
2,65
|
2,41
|
2,26
|
2,14
|
2,05
|
1,98
|
1,92
|
1,87
|
1,83
|
1,80
|
| 400
|
3,86
|
3,02
|
2,62
|
2,39
|
2,23
|
2,12
|
2,03
|
1,96
|
1,90
|
1,85
|
1,81
|
1,78
|
| 1000
|
3,85
|
3,00
|
2,61
|
2,38
|
2,22
|
2,10
|
2,02
|
1,95
|
1,89
|
1,84
|
1,80
|
1,76
|
| 00
|
3,84
|
2,99
|
2,60
|
2,37
|
2,21
|
2,09
|
2,01
|
1,94
|
1,88
|
1,83
|
1,79
|
1,75
|
| P = 0.01
|
| 36
|
7,39
|
5,25
|
4,38
|
3,89
|
3,58
|
3,35
|
3,18
|
3,04
|
2,94
|
2,86
|
2,78
|
2,72
|
| 38
|
7,35
|
5,21
|
4,34
|
3,86
|
3,54
|
3,32
|
3,15
|
3,02
|
2,91
|
2,82
|
2,75
|
2,69
|
| 40
|
7,31
|
5,18
|
4,31
|
3,83
|
3,51
|
3,29
|
3,12
|
2,99
|
2,88
|
2,80
|
2,73
|
2,66
|
| 42
|
7,27
|
5,15
|
4,29
|
3,80
|
3,49
|
3,26
|
3,10
|
2,96
|
2,86
|
2,77
|
2,70
|
2,64
|
| 44
|
7,24
|
5,12
|
4,26
|
3,78
|
3,46
|
3,24
|
3,07
|
2,94
|
2,84
|
2,75
|
2,68
|
2,62
|
| 46
|
7,21
|
5,10
|
4,24
|
3,76
|
3,44
|
3,22
|
3,05
|
2,92
|
2,82
|
2,73
|
2,66
|
2,60
|
| 48
|
7,19
|
5,08
|
4,22
|
3,74
|
3,42
|
3,20
|
3,04
|
2,90
|
2,80
|
2,71
|
2,64
|
2,58
|
| 50
|
7,17
|
5,06
|
4,20
|
3,72
|
3,41
|
3,18
|
3,02
|
2,88
|
2,78
|
2,70
|
2,62
|
2,56
|
| 55
|
7,12
|
5,01
|
4,16
|
3,68
|
3,37
|
3,15
|
2,98
|
2,85
|
2,75
|
2,66
|
2,59
|
2,53
|
| 60
|
7,08
|
4,98
|
4,13
|
3,65
|
3,34
|
3,12
|
2,95
|
2,82
|
2,72
|
2,63
|
2,56
|
2,50
|
| 65
|
7,04
|
4,95
|
4,10
|
3,62
|
3,31
|
3,09
|
2,93
|
2,79
|
2,70
|
2,61
|
2,54
|
2,47
|
| 70
|
7,01
|
4,92
|
4,08
|
3,60
|
3,29
|
3,07
|
2,91
|
2,77
|
2,67
|
2,59
|
2,51
|
2,45
|
| 80
|
6,96
|
4,88
|
4,04
|
3,56
|
3,25
|
3,04
|
2,87
|
2,74
|
2,64
|
2,55
|
2,48
|
2,41
|
| 100
|
6,90
|
4,82
|
3,98
|
3,51
|
3,20
|
2,99
|
2,82
|
2,69
|
2,59
|
2,51
|
2,43
|
2,36
|
| 125
|
6,84
|
4,78
|
3,94
|
3,47
|
3,17
|
2,95
|
2,79
|
2,65
|
2,56
|
2,47
|
2,40
|
2,33
|
| 150
|
6,81
|
4,75
|
3,91
|
3,44
|
3,14
|
2,92
|
2,76
|
2,62
|
2,53
|
2,44
|
2,37
|
2,30
|
| 200
|
6,76
|
4,71
|
3,88
|
3,41
|
3,11
|
2,90
|
2,73
|
2,60
|
2,50
|
2,41
|
2,34
|
2,28
|
| 400
|
6,70
|
4,66
|
3,83
|
3,36
|
3,06
|
2,85
|
2,69
|
2,55
|
2,46
|
2,37
|
2,29
|
2,23
|
| 1000
|
6,66
|
4,62
|
3,80
|
3,34
|
3,04
|
2,82
|
2,66
|
2,53
|
2,43
|
2,34
|
2,26
|
2,20
|
| -
|
6,64
|
4,60
|
3,78
|
3,32
|
3,02
|
2,80
|
2,64
|
2,51
|
2,41
|
2,32
|
2,24
|
2,18
|
Таблица 1. Продолжение
| df1
|
14
|
16
|
20
|
24
|
30
|
40
|
50
|
75
|
100
|
200
|
500
|
-
|
| df2
|
P = 0.05
|
| l
|
245
|
246
|
248
|
249
|
250
|
251
|
252
|
253
|
253
|
254
|
254
|
254
|
| 2
|
19,42
|
19,43
|
19,44
|
19,45
|
19,46
|
19,47
|
19,47
|
19,48
|
19,49
|
19,49
|
19,50
|
19,50
|
| 3
|
8,71
|
8,69
|
8,66
|
8,64
|
8,62
|
8,60
|
8,58
|
8,57
|
8,56
|
8,54
|
8,54
|
8,53
|
| 4
|
5,87
|
5,84
|
5,80
|
5,77
|
5,74
|
5,71
|
5,70
|
5,68
|
5,66
|
5,65
|
5,64
|
5,63
|
| 5
|
4,64
|
4,60
|
4,56
|
4,53
|
4,50
|
4,46
|
5,44
|
4,42
|
4,40
|
4,38
|
4,37
|
4,36
|
| 6
|
3,96
|
3,92
|
3,87
|
3,84
|
3,81
|
3,77
|
3,75
|
3,72
|
3,71
|
3,69
|
3,68
|
3,67
|
| 7
|
3,52
|
3,49
|
3,44
|
3,41
|
3,38
|
3.34
|
3,32
|
3,29
|
3,28
|
3,25
|
3,24
|
3,23
|
| 8
|
3,23
|
3,20
|
3,15
|
3,12
|
3,08
|
3,05
|
3,03
|
3,00
|
2,98
|
2,96
|
2,94
|
2,93
|
| 9
|
3,02
|
2,98
|
2,93
|
2,90
|
2,86
|
2,82
|
2,89
|
2,77
|
2,76
|
2,73
|
2,72
|
2,71
|
| 10
|
2,86
|
2,82
|
2,77
|
2,74
|
2,70
|
2,67
|
2,64
|
2,61
|
2,59
|
2,56
|
2,55
|
2,54
|
| 11
|
2,74
|
2,70
|
2,65
|
2,61
|
2,57
|
2,53
|
2,50
|
2,47
|
2,45
|
2,42
|
2,41
|
2,40
|
| 12
|
2,64
|
2,60
|
2,54
|
2,50
|
2,46
|
2,42
|
2,40
|
2,36
|
2,35
|
2,32
|
2,31
|
2,30
|
| 13
|
2,55
|
2,51
|
2,46
|
2,42
|
2,38
|
2,34
|
2,32
|
2,28
|
2,26
|
2,24
|
2,22
|
2,21
|
| 14
|
2,48
|
2,44
|
2,39
|
2,35
|
2,31
|
2,27
|
2,24
|
2,21
|
2,19
|
2,16
|
2,14
|
2,13
|
| 15
|
2,43
|
2,39
|
2,33
|
2,29
|
2,25
|
2,21
|
2,18
|
2,15
|
2,12
|
2,10
|
2,08
|
2,07
|
| 16
|
2,37
|
2,33
|
2,28
|
2,24
|
2,20
|
2,16
|
2,13
|
2,09
|
2,07
|
2,04
|
2,02
|
2,01
|
| P = 0.01
|
| 1
|
6142
|
6169
|
6208
|
6234
|
6261
|
6286
|
6302
|
6323
|
6334
|
6352
|
6361
|
6366
|
| 2
|
99,43
|
99,44
|
99,45
|
99,46
|
99,47
|
99,48
|
99,48
|
99,49
|
99,49
|
99,49
|
99,50
|
99,50
|
| 3
|
26,92
|
26,83
|
26,69
|
26,60
|
26,50
|
26,41
|
26,35
|
26,27
|
26,23
|
26,18
|
26,14
|
26,12
|
| 4
|
14,24
|
14,15
|
14,02
|
13,93
|
13,83
|
13,74
|
13,69
|
13,61
|
13,57
|
13,52
|
13,48
|
13,46
|
| 5
|
9,77
|
9,68
|
9,55
|
9,47
|
9,38
|
9,29
|
9,24
|
9,17
|
9,13
|
9,07
|
9,04
|
9,02
|
| 6
|
7,60
|
7,52
|
7,39
|
7,31
|
7,23
|
7,14
|
7,09
|
7,02
|
6,99
|
6,94
|
6,90
|
6,88
|
| 7
|
6,35
|
6,27
|
6,15
|
6,07
|
5,98
|
5,90
|
5,85
|
5,78
|
5,75
|
5,70
|
5,67
|
5,65
|
| 8
|
5.56
|
5,48
|
5,36
|
5,28
|
5,20
|
5,11
|
5,06
|
5,00
|
4,96
|
4,91
|
4,88
|
4,86
|
| 9
|
5,00
|
4,92
|
4,80
|
4,73
|
4,64
|
4,56
|
4,51
|
4,45
|
4,41
|
4,36
|
4,33
|
4,31
|
| 10
|
4,60
|
4,52
|
4,41
|
4,33
|
4,25
|
4,17
|
4,12
|
4,05
|
4,01
|
3,96
|
3,93
|
3,91
|
| 11
|
4,29
|
4,21
|
4,10
|
4,02
|
3,94
|
3,86
|
3,80
|
3,74
|
3,70
|
3,66
|
3,62
|
3,60
|
| 12
|
4,05
|
3,98
|
3,86
|
3,78
|
3,70
|
3,61
|
3,56
|
3,49
|
3,46
|
3,41
|
3,38
|
3,36
|
| 13
|
3,85
|
3,78
|
3,67
|
3,59
|
3,51
|
3,42
|
3,37
|
3,30
|
3,27
|
3,21
|
3,18
|
3,16
|
| 14
|
3,70
|
3,62
|
3,51
|
3,43
|
3,34
|
3,26
|
3,21
|
3,14
|
3,11
|
3,06
|
3,02
|
3,00
|
| 15
|
3,56
|
3,48
|
3,36
|
3,29
|
3,20
|
3,12
|
3,07
|
3,00
|
2,97
|
2,92
|
2,89
|
2,87
|
| 16
|
3,45
|
3,37
|
3,25
|
3,18
|
3,10
|
3,01
|
2,96
|
2,98
|
2,86
|
2,80
|
2,77
|
2,75
|
| Таблица XVII. Продолжение
|
Таблица 1. Продолжение
| df1
|
14
|
16
|
20
|
24
|
30
|
40
|
50
|
75
|
100
|
200
|
500
|
-
|
| df2
|
P = 0.05
|
| 17
|
2,33
|
2,29
|
2,23
|
2,19
|
2,15
|
2,11
|
2,08
|
2,04
|
2,02
|
1,99
|
1,97
|
1,96
|
| 18
|
2,29
|
2,25
|
2,19
|
2,15
|
2,11
|
2,07
|
2,04
|
2,00
|
1,98
|
1,95
|
1,93
|
1,92
|
| 19
|
2.26
|
2,21
|
2,15
|
2,11
|
2,07
|
2,02
|
2,00
|
1,96
|
1,94
|
1,91
|
1,90
|
1,88
|
| 20
|
2,23
|
2,18
|
2,12
|
2,08
|
2,04
|
1,99
|
1,96
|
1,92
|
1,90
|
1,87
|
1,85
|
1,84
|
| 21
|
2,20
|
2,15
|
2,09
|
2,05
|
2,00
|
1,96
|
1,93
|
1,89
|
1,87
|
1,84
|
1,82
|
1,81
|
| 22
|
2,18
|
2,13
|
2,07
|
2,03
|
1,98
|
1,93
|
1,91
|
1,87
|
1,84
|
1,81
|
1,80
|
1,78
|
| 23
|
2,14
|
2,10
|
2,04
|
2,00
|
1,96
|
1,91
|
1,88
|
1,84
|
1,82
|
1,79
|
1,77
|
1,76
|
| 24
|
2,13
|
2,09
|
2,02
|
1798
|
1,94
|
1,89
|
1,86
|
1,82
|
1.80
|
1,76
|
1,74
|
1,73
|
| 25
|
2,11
|
2,06
|
2,00
|
1,96
|
1,92
|
1,87
|
1,84
|
1,80
|
1,77
|
1,74
|
1,72
|
1,71
|
| 26
|
2,10
|
2,05
|
1,99
|
1,95
|
1,90
|
1,85
|
1,82
|
1,78
|
1,76
|
1,72
|
1,70
|
1,69
|
| 27
|
2,08
|
2,03
|
1,97
|
1,93
|
1,88
|
1,84
|
1,80
|
1,76
|
1,74
|
1,71
|
1,68
|
1,67
|
| 28
|
2,06
|
2,02
|
1,96
|
1,91
|
1,87
|
1,81
|
1,78
|
1,75
|
1,72
|
1,69
|
1,67
|
1,65
|
| 29
|
2,05
|
2,00
|
1,94
|
1,90
|
1,85
|
1,80
|
1,77
|
1,73
|
1,71
|
1,68
|
1,65
|
1,64
|
| 30
|
2,04
|
1,99
|
1,93
|
1,89
|
1,84
|
1,79
|
1,76
|
1.72
|
1,69
|
1,66
|
1,64
|
1,62
|
| 32
|
2,02
|
1,97
|
1,91
|
1,86
|
1,82
|
1,76
|
1,74
|
1,69
|
1,67
|
1,64
|
1,61
|
1,59
|
| 34
|
2,00
|
1,95
|
1,89
|
1,84
|
1,80
|
1,74
|
1,71
|
1,67
|
1,64
|
1,61
|
1,59
|
1,57
|
| P = 0.01
|
| 17
|
3,35
|
3,27
|
3,16
|
3,08
|
3,00
|
2,92
|
2,86
|
2,79
|
2,76
|
2,70
|
2,67
|
2,65
|
| 18
|
3,27
|
3,19
|
3,07
|
3,00
|
2,91
|
2,83
|
2,78
|
2,71
|
2,68
|
2,62
|
2,59
|
2,57
|
| 19
|
3,19
|
3,12
|
3,00
|
2,92
|
2,84
|
2,76
|
2,70
|
2,63
|
2,60
|
2,54
|
2,51
|
2,49
|
| 20
|
3,13
|
3,05
|
2,94
|
2,86
|
2,77
|
2,69
|
2,63
|
2,56
|
2,53
|
2,47
|
2,44
|
2,42
|
| 21
|
3,07
|
2,99
|
2,88
|
2,80
|
2,72
|
2,63
|
2,58
|
2,51
|
2,47
|
2,42
|
2,38
|
2,36
|
| 22
|
3,02
|
2,94
|
2,83
|
2,75
|
2,67
|
2,58
|
2,53
|
2,46
|
2,42
|
2,37
|
2,33
|
2,31
|
| 23
|
2,97
|
2,89
|
2,78
|
2,70
|
2,62
|
2.53
|
2,48
|
2,41
|
2,37
|
2,32
|
2,28
|
2,26
|
| 24
|
2,93
|
2,85
|
2,74
|
2,66
|
2,58
|
2,49
|
2,44
|
2,36
|
2,33
|
2,27
|
2,23
|
2.21
|
| 25
|
2,89
|
2,81
|
2,70
|
2,62
|
2.54
|
2,45
|
2,40
|
2,32
|
2,29
|
2,23
|
2,19
|
2,17
|
| 26
|
2,86
|
2,77
|
2,66
|
2,58
|
2,50
|
2,41
|
2,36
|
2.28
|
2,25
|
2,19
|
2,15
|
2,13
|
| 27
|
2,83
|
2,74
|
2,63
|
2,55
|
2,47
|
2,38
|
2,33
|
2,25
|
2,21
|
2,16
|
2,12
|
2,10
|
| 28
|
2,80
|
2,71
|
2,60
|
2,52
|
2,44
|
2,35
|
2,30
|
2,22
|
2,18
|
2,13
|
2,09
|
2,06
|
| 29
|
2,77
|
2,68
|
2,57
|
2,49
|
2,41
|
2,32
|
2,27
|
2,19
|
2,15
|
2,10
|
2,06
|
2,03
|
| 30
|
2,74
|
2,66
|
2,55
|
2,47
|
2,38
|
2,29
|
2,24
|
2,16
|
2,13
|
2,07
|
2,03
|
2,01
|
| 32
|
2,70
|
2,62
|
2,51
|
2,42
|
2,34
|
2,25
|
2,20
|
2,12
|
2,08
|
2,02
|
1,98
|
1,96
|
| 34
|
2,66
|
2,58
|
2,47
|
2,38
|
2,30
|
2,21
|
2,15
|
2,08
|
2,04
|
1,98
|
1,94
|
1,91
|
Таблица 2
Значения t-критерия Стьюдента (двухсторонний критерий)
| f
|
Уровень значимости а
|
f
|
Уровень значимости a
|
| 0.10
|
0.05
|
0.02
|
0.01
|
0.10
|
0.05
|
0.02
|
0.01
|
| 1
|
6,31
|
12.71
|
31,82
|
63.66
|
18
|
1.73
|
2,10
|
2.55
|
2,88
|
| 2
|
2,92
|
4,30
|
6.9Т
|
9,93
|
19
|
1,73
|
2.09
|
2.54
|
2.86.
|
| 3
|
2.35
|
3.18
|
4,54
|
5.84
|
20
|
1.73
|
2.09
|
2.53
|
2.86
|
| 4
|
2,13
|
2.78
|
3,75
|
4.60
|
21
|
1.72
|
2.08
|
2,52
|
2.83
|
| 5
|
2,02
|
2.57
|
3,37
|
4.03
|
22
|
1,72
|
2,07
|
2,51
|
2,82
|
| 6
|
1,94
|
2,45
|
3,14
|
3.71
|
23
|
1,71
|
2.07
|
2.60
|
2,81
|
| 7
|
1,90
|
2.37
|
3.00
|
3,50
|
24
|
1.71
|
2.06
|
2,49
|
2,80
|
| 8
|
1.86
|
2,31
|
2.90
|
3.36
|
25
|
1,71
|
2.06
|
2.48
|
2,79
|
| 9
|
1,83
|
2.26
|
2.82
|
3,25
|
26
|
1.71
|
2,06
|
2,4в
|
2,78
|
| 10
|
1.81
|
2.23
|
2.76
|
3.17
|
27
|
1.70
|
2.05
|
2,47
|
2.77
|
| 11
|
1.80
|
2.20
|
2,72
|
3.11
|
28
|
1.70
|
2.05
|
2,47
|
2,76
|
| 12
|
1,78
|
2.18
|
2,68
|
3.06
|
29
|
1,70
|
2.04
|
2,46
|
2.76
|
| 13
|
1 77
|
2.16
|
2,65
|
3.01
|
30
|
1.70
|
2fU
|
2,46
|
2,75
|
| 14
|
1,76
|
2,15
|
2.62
|
2,98
|
40
|
1.68
|
2,02
|
2.42
|
2,70
|
| 15
|
1,75
|
2,13
|
2,60
|
2.95
|
60
|
1.67
|
2.00
|
2.39
|
2.66
|
| 16
|
1.75
|
2,12
|
2,58
|
2.92
|
120
|
1,66
|
1,98
|
2,36
|
2.62
|
| 17
|
1,74
|
2,11
|
2.57
|
2.90
|
999
|
1.65
|
1.96
|
2.33
|
2,58
|
[1]
Корреляция – мера статистической линейной связи между исследуемыми факторами, а также между факторами и результатами моделирования.
[2]
Мультиколлинеарность – это линейная взаимосвязь между исследуемыми факторами.
|