| БЕЛОРУССКИЙ ГОСУДАРСТВЕННЫЙ УНИВЕРСИТЕТ
Выпускная работа по «Основам информационных технологий
»
1ММ22
Магистрант кафедры теории функций ММФ БГУ
Бойко Евгений Вячеславович
Руководители:
Кандидат физико-математических наук,
доцент Долгополова О.Б.
Старший преподаватель Кожич Павел Павлович
Минск – 2011 г.
ОГЛАВЛЕНИЕ. 2
Список обозначений ко всей выпускной работе. 3
Реферат на тему «Применение пакета Mathematica для вычисления интегралов» 4
Введение. 4
Глава 1. Обзор литературы.. 5
Глава 2. Основные возможности пакета Mathematica. 6
Глава 3. Применение пакета Mathematica для вычисления интегралов. 12
3.1. Функция z-преобразований. 14
3.2. Вычисление несобственных интегралов. 15
3.3. Интеграл от комплексного переменного. 19
3.4. Вычисление интеграла с помощью теоремы о вычетах. 22
Глава 4. Анализ полученных результатов. 25
Заключение. 27
Предметный указатель. 28
Список литературы к реферату. 30
Интернет ресурсы.. 31
Личный сайт. 32
Граф научных интересов. 34
Тестовые вопросы по Основам информационных технологий. 35
Презентация магистерской диссертации. 36
Список использованной литературы.. 37
Приложение А.. 38
ИТ Информационные технологии
ОДУ Обыкновенные дифференциальные уравнения
Сегодня компьютеры берут на себя огромную долю вычислительной и аналитической нагрузки современного математика. Поэтому перед сегодняшними исследователями стоят и, главное, представляются разрешимыми совсем другие задачи, нежели пол столетия назад.
Благодаря огромной мощи компьютеров становится возможным моделирование и изучение сложных и динамичных систем, которые возникают при изучении космоса, поиске новых источников энергии, создании новых технических изобретений и многих других проблем, затрагивающих сферу научно-технического прогресса. Решение любой задачи подобного рода можно свести к выполнению следующей совокупности действий:
математическое моделирование системы;
построение вычислительного алгоритма;
проведение расчетов;
сбор и анализ полученных результатов.
Использование компьютерных математических пакетов позволяет:
расширить диапазон реальных приложений;
сочетать профессиональную направленность, научность, системность, наглядность, интерактивность;
для наглядного анализа строить графики сложных функций и поверхностей, с помощью которых, например, оцениваются решения ОДУ, что существенно облегчает их анализ;
Забиваем Сайты В ТОП КУВАЛДОЙ - Уникальные возможности от SeoHammer
Каждая ссылка анализируется по трем пакетам оценки: SEO, Трафик и SMM.
SeoHammer делает продвижение сайта прозрачным и простым занятием.
Ссылки, вечные ссылки, статьи, упоминания, пресс-релизы - используйте по максимуму потенциал SeoHammer для продвижения вашего сайта.
Что умеет делать SeoHammer
— Продвижение в один клик, интеллектуальный подбор запросов, покупка самых лучших ссылок с высокой степенью качества у лучших бирж ссылок.
— Регулярная проверка качества ссылок по более чем 100 показателям и ежедневный пересчет показателей качества проекта.
— Все известные форматы ссылок: арендные ссылки, вечные ссылки, публикации (упоминания, мнения, отзывы, статьи, пресс-релизы).
— SeoHammer покажет, где рост или падение, а также запросы, на которые нужно обратить внимание.
SeoHammer еще предоставляет технологию Буст, она ускоряет продвижение в десятки раз,
а первые результаты появляются уже в течение первых 7 дней.
Зарегистрироваться и Начать продвижение
мгновенно обмениваться информацией с человеком, физический контакт с которым невозможен, или трудно осуществим;
исследовать более сложные модели, так как громоздкие вычисления можно осуществить с помощью соответствующих компьютерных систем.
Данный реферат посвящен использованию информационных технологий для вычисления различных видов интегралов на примере пакета Mathematica версии 5.2. Как пример для иллюстрации выбрано вычисление интегралов через вычеты, расчет несобственных интегралов, интегралов в комплексной плоскости, и сравнение полученных результатов с аналитическим решением, которое строит Mathematica.
Основным литературным источником для изучения функциональных возможностей пакета Mathematica, как ни странно, является встроенная справочная система. Она обширна по своему содержанию, наглядна, поскольку в ней демонстрируются множество примеров эффективного использования пакета и удобна, поскольку обеспечивает пользователю удобный поиск и интеграцию с текущими рабочими задачами. Однако произвести изучение самостоятельно, что, естественно, возможно лишь при знании одного из языков локализации пакета достаточно сложно, не представляя всей той полной гаммы функций и задач, с которыми может справиться пакет.
Когда пользователь решает начать использование пакета, ему необходимы набор минимальных, общих знаний о том, как пользоваться пакетам, как вводить данные, как получать результаты, какое окружение необходимо для стабильной работы пакета и какие есть у самого пакета системные требования. Здесь стоит выделить работу В. З. Аладьева и М. Л. Шишакова [1] по введению в среду пакета, его инсталляции, разбор основных компонентов, особенности использования и основам применения. Ещё необходимо также выделить тему 1 и тему 2 из работы Л. Л. Голубевой, А. Э. Малевича, Н.Л. Щеголовой [2], которые освещают основные логические компоненты среды и гарантирует плодотворное знакомство с пакетом, а также с такими базовым объектами как:
выражение;
образец:
символ;
списки;
программирование и функциональное программирование;
вычисления;
управления вычислениями;
базовые графики.
Вычисление интегралов – это одна из наиболее часто встречающихся математических операций. Умение правильно их выполнять – это то, что нужно практически любому математику в той или иной форме для эффективной научной деятельности.
Сервис онлайн-записи на собственном Telegram-боте
Попробуйте сервис онлайн-записи VisitTime на основе вашего собственного Telegram-бота:
— Разгрузит мастера, специалиста или компанию;
— Позволит гибко управлять расписанием и загрузкой;
— Разошлет оповещения о новых услугах или акциях;
— Позволит принять оплату на карту/кошелек/счет;
— Позволит записываться на групповые и персональные посещения;
— Поможет получить от клиента отзывы о визите к вам;
— Включает в себя сервис чаевых.
Для новых пользователей первый месяц бесплатно.
Зарегистрироваться в сервисе
Работа содержит многочисленные примеры, показывающие, что при объединении теории функции комплексного переменного и математического анализа с возможностями пакета Mathematica удаётся легко вычислить различные интегралы.
Немного истории для тех, кт
о недостаточно хорошо знаком с рассматри-ваемым в данной работе средой символьных вычислений Mathematica.
Она разработа
на компанией Wolfra
m Research Inc, основ
анн
ой известным мат
ематиком и физиком Стефаном Во
льфрамом, одним из создателей теории сложных систем. Первая версия программы, появившаяся в 198
8 г,
стала новым словом в автоматизации математ
ических расче
тов.
Mathemati
ca отличается охватом широкого круга задач, так как ее разработчики задались целью объединить все известные математические методы, использующиеся дл
я решения научных задач, в унифицированном и согласованном виде, включая аналитические
и числе
нные расчеты.
За основ
у был вз
ят специально разработ
анный язык симво
льного программирования, который способен опери
ровать очень широким спектром различных объектов с применением небольшого числа базисных конструкций. Однако программа не приобре
ла большой популярности из-
за того, что ее сложно было освоить и невозможно работать без
использования объ
емной документации. Только в 1991
г., пос
ле в
ыхода в свет второй версии, в которой разработ
чики устранили многие ошибки предыдущей версии, а также применили более дружелюбный интерфейс
и включили подсказки по встроенным функциям, программа начала быстро завоевывать п
оп
улярность. А к моме
нту выхода Mathematica 3.0 уже было зарегистрировано
более миллиона пос
тоянных пользователей программы.
Программа состоит из двух частей — ядра, которое, собственно, и производит вычисления, выполняя заданные команды, и интерфейсного процессора, который определяет внешнее оформление и характер взаимодействия с пользователем и системой. Основной ра
бочий
документ программы — тетрадь
, в которой п
ольз
ователь записывает все выкладки. Вид рабочей тетради
на экране монитора зависит от интерфейсного процессора, реализация которого для разных платформ несколько отличается.
Пользовательский интерфейс программы Mathematica 5.2 сначала кажется нескол
ько примитивным: инструментальная панель — это просто строка меню, а отдель
ное
окно документа выглядит как бы подвешенным. Кроме того, на инструментальной
панели отсутствуют кнопки для выполнения часто повторяемых операций, которые были в предыдущей версии.
Одн
ако впечатление примитивности интерфейс
а сразу же исчезает, когда выясняе
тся, что можно подключать настраиваемые кнопочные палитры, которых в програ
мме имеется больше десятка. С их помощью можно выполнять различные функции, а часть кнопок соответствует
специальным символам. Всего в программе более 700 ма
тема
тических, языковых и других
символов. При нажатии
на кнопки с символом последний переносится
в рабочий
документ
на указ
анное курсором мести. Другие кнопки па
литры соответствуют наи
менованиям ряда функций программы, которые при выборе вводятся в командную строку. При нажатии кнопки алге
браических преобразований предварительно выделенное алгебраическое выражение трансформируется в соответствии с названием выбранной команды, например упрощается командой simplify.
Программа дает возможность отображать математические символы с достаточно высоким полиграфическим качеством в тексте на экране, в командах, а также при выводе на печать. Увеличено количество опций. Возможно создание гипертекстовых связей.
Рабочую тетрадь можно сохранять в HTML-формате, а также в формате полиграфического языка LaTex и некоторых других.
Усовершенствована и расширена система подсказок, имеется интерактивный доступ к полному тексту электронной версии документации, которая состоит из инструкции пользователя, справочника по стандартным дополнениям, учебника для начинающих и демонстрационных файлов.
Меню окна справки очень хорошо продумано, что позволяет получить информацию различными путями. Можно получить справку по интересующей теме или функции, а также просмотреть текст всех документов, содержащих введенное ключевое слово.
Аналитические расчеты
.
Умение проводить аналитические расчеты — одно из главных достоинств этой программы, автоматизирующей математические расчеты. Mathematica умеет преобразовывать и упрощать алгебраические выражения, дифференцировать и вычислять определенные и неопределенные интегралы, вычислять конечные и бесконечные суммы и произведения, решать алгебраические и дифференциальные уравнения и системы, а также разлагать функции в ряды и находить пределы. Кроме того, Mathematica имеет стандартные дополнения для аналитических расчетов.
Следует заметить, что возможности каждой новой версии программы качественно возрастают. В версии 5.2 программы команда упрощения алгебраических выражений Simplify дополнена значительно более мощной командой FullSimplify, которая позволяет обрабатывать математические выражения, включающие спец
иальные функции.
Расширен спектр математических выражений, для которых аналитически находятся неопределенные и определенные интегралы. Появилась также возможность задавать область изменения параметров в подынтегральных выражениях, что позволяет интегрировать многие выражения, которые в общем случае не имеют первообразной.
Значительно возросло число различных (конечных и бесконечных) сумм и произведений, вычисляемых аналитически, а также аналитически решаемых обыкновенных дифференциальных уравнений и уравнений в частных производных.
Из числа других улучшений можно выделить повышение скорости решения задач линейной алгебры.
Численные методы
.
Для тех задач, которые невозможно решить аналитически, Mathematica 5.2 предлагает большое количество эффективных алгоритмов для проведения численных расчетов. Она позволяет находить конечные и бесконечные суммы и произведения, вычислять интегралы, решать алгебраические и дифференциальные уравнения и системы, задачи оптимизации (линейного программирования, нахождения экстремумов функций), а также задачи математической статистики. При численном решении математических задач наряду с правильностью алгоритмов расчета особую роль играет точность вычислений.
В Mathematica 5.2 реализован адаптивный контроль точности, основанный на выборе внутренних алгоритмов, позволяющих ее максимизировать. В этой версии программы повышена эффективность многомерной интерполяции, оптимизированы алгоритмы численного решения дифференциальных уравнений. Оптимизированы алгоритмы нахождения экстремумов. Поддерживается арифметика интервалов.
Осуществлен независимый от конкретной компьютерной платформы механизм ввода и вывода числовых данных без потери точности.
Математические функции
.
Мathernatica 5.2 позволяет включать в расчеты все известные элементарные функции, а также сотни специальных встроенных функций. Разумеется, пользователь программы может вводить и свои функции как для применения в течение одного сеанса работы так и для постоянного использования. В новой версии 5.2 добавлены интегралы Френеля интегральные гиперболические синус и косинус, обратная функция ошибок, гаммa и бета функции, дополнительная функция Вейерштрасса, эллиптические и родственные с ними функции. Введены числа и полиномы Фибоначчи.
Графика и звук
.
Mathernatica позволяет строить двух и трехмерные графики различных типов в виде точек и линии на плоскости, поверхностей, а также контурные, градиентные (dencity plot), параметрические. Имеется большое количество опций оформления и настройки, например изменение подсветки, цвета, размеров и точки наблюдения. Mathematica выполняет построение графика в три этапа. На первом создается множество графических примитивов, на втором они преобразуются в независимое от вычислительной платформы описание на языке PostScript, а на третьем это описание переводится в графический формат для той системы, на которой установлена Mathematicа. Если первые два этапа осуществляет ядро программы, то последний — интерфейсный процессор. Mathematica позволяет также строить серии картинок, которые могут быть воспроизведены как анимация. Программа содержит функции, позволяющие создавать и воспроизводить различные звуки, а также воспринимает и может анализировать некоторые типы стандартных звуковых файлов.
Программирование
.
Входной язык Mathematica 5.2 содержит большое количество конструкций, позволяющих для каждой конкретной задачи выбрать оптимальный метод программирования. Помимо обычного процедурного программирования с применением условных переходов и операторов цикла, имеется еще несколько методов:
· основанный на операциях со списками – этот метод использует особенности универсального объекта программы — списка выражений, с которыми можно производить математические операции, как с алгебраическими выражениями, при этом заданные операции выполняются всеми элементами списка;
· основанный на операциях над строками (string-based);
· функционального программирования (functional programming), позволяющий создавать сложные функции и последовательности вложенных функций;
· на базе правил преобразования выражений (rule-based); объектно-ориентированный (object-oriented).
В каждой конкретной программе пользователь может одновременно применять несколько методов или даже все перечисленные. Серьезным недостатком предыдущей версии программы было неэкономное использование памяти компьютера. Для ускорени
я загрузки уменьшено количество первоначально загружаемых в память функций. Введены новые мощные операторы симво
льного программирования и усовершенствованные операторы для манипулирования строками. Появ
илась возможность компилиров
ать вычисляемые выра
жения и процедуры. При эт
ом скорость вычислений может быть сравнима со скоростью такой же процедуры, написанной на яз
ыке Си, или даже выше.
Стандартные дополнения
.
Mathematica 5.2 содержит множество стандартных
дополнений, включающих подпрограммы (пакеты), значительно расширяющие функциональные возможности в таких областях, как алгебра,
а
налитические и численные
расчеты,
графика, д
искретная математика, теория чисел и статистика. Стандартные дополнения могут загружаться по мере над
обности. Для загрузки пакета используется соответствующее название, включающее имя д
ополнения и имя пакета из данного дополнения. Рассмотрим подробнее стандартные допо
лнения.
Алгебра.
В это дополнение входят пакеты, позволяющие задавать различные алгебраические поля и оперировать в них, а также несколько пакетов, расширяющих функциональность программы при оперировании с полиномами и нахождении их корней. В новой версии оно пополнилось пакетами для решения некоторых типов алгебраических неравенств и симметричных полиномов и, кроме того, добавлена Гамильтонова алгебра кватернионов и элементы полей Пигуа.
Вычисления.
Это дополнение содержит пакеты, позволяющие расширять возможности программы при вычислении интегралов, нахождении пределов, решении дифференциальных уравнений и задач линейной алгебры в различных системах координат, а также включает команды преобразования Фурье и Лапласа, обобщенные функции, вариационные методы. В новой версии оно пополнилось пакетом для нахождения полных интегралов и дифференциальных инвариантов нелинейных уравнений в частных производных.
Дискретная математика.
Дополнение предлагает примерно 200 функций для проведения исследований в области комбинаторики и теории графов; вычислительную геометрию, которая содержит несколько геометрических функций для непараметрического анализа данных; пакеты для оперирования с функциями от целых чисел, в частности для решения рекуррентных уравнений, выполнения преобразований.
Графика.
Дополнение включает 21 пакет. Оно значительно расширяет возможности программы при построении графиков и анимации. Введены новые типы: логарифмические графики, графики тел вращения, полярные, контурные, матричные графики, трехмерные параметрические, двух- и трехмерные графики векторных полей, графики неявно заданных функций и др. Появилась возможность отображать ортогональные проекции трехмерных графических объектов на координатные плоскости. Добавлены также функции для графического представления комплексных функций.
Геометрия
.
Геометрическое дополнение содержит пакеты, включающие функции для задания параметров правильных многоугольников и многогранников, а также функции, обеспечивающие вращение на плоскости и в пространстве.
Линейная алгебра
.
В это дополнение входят функции для создания ортогональных векторных базисов, решения матричных уравнений, разложения матриц и выполнения других операций с матрицами.
Теория чисел.
Функции, относящиеся к теории чисел, широко представлены в ядре программы Mathematica. Дополнение теории чисел расширяет этот список функций. В нее включены пакеты для доказательства простоты чисел, разложения целых чисел на множители. Имеются функции для аппроксимации действительных чисел рациональными и полиномов с действительными корнями полиномами с целыми коэффициентами. Пользуясь дополнениями, можно найти разложение действительного числа в бесконечную дробь. В новой версии появились возможности для нахождения базисных элементов для произвольных алгебраических расширений рациональных чисел.
Приближенные вычисления
.
Это дополнение расширяет список встроенных функций программы Mathematica для приближенных численных расчетов. Оно содержит средства подгонки функциями (полиномом, сплайнами, тригонометрическими), численные версии некоторых аналитических функций ядра (ND, NLiunit, NResldue, NSencs), функции численного интегрирования (CauchyPrincipalValue, Listintegrate, IntegrateInterpolationFunction), аппроксимации отношением полиномов, поддержки численного решения дифференциальных уравнений (BesscIZeros, Butcher, Order-Star), а также альтернативный способ нахождения корней (FindRout) с использованием методов интервалов или интерполяции. В последнюю версию введены пакеты для численного нахождения вычетов и разложений комплексных функций.
Статистика
.
Это дополнение включает методы статистической обработки данных. В нем содержатся функции известных непрерывных и дискретных статистических распределений. В новую версию добавлены пакеты подгонки и сглаживания данных, классической и робастной описательной статистики, линейной и нелинейной регрессии с диагностикой.
Профессиональные приложения
.
Для программы Mathematica помимо стандартных дополнений разработано большое количество профессиональных приложений – пакетов, расширяющих возможности программы в специальных областях. Библиотека приложений в настоящее время содержит 23 различных пакета, из которых 18 разработано корпорацией, а остальные – другими разработчиками. Причем эта библиотека очень быстро пополняется.
Глава 3.
Применение пакета Mathematica для вычисления интегралов
Для иллюстрации возможностей рассматриваемого пакета обратимся к следующей теории и примерам:
Многие математические операции базируются на понятии комплексных чисел. Они задаются в форме: z=Re(z)+I*Im(z) или z=Re(z)+i Im(z), где знак I – мнимая единица (квадратный корень из –1), Re(z) – действительная часть комплексного числа, а Im(z) – мнимая часть комплексного числа.
Пример задания комплексного числа: 2 + I 3 или 2 + 3*I
Мнимая часть задается умножением ее значения на символ мнимой единицы I. При этом знак умножения «*» можно указывать явно или заменить его пробелом, в последнем случае комплексное число выглядит более естественным. Функции Re[z] и Im[z] выделяют соответственно действительную и мнимую части комплексного числа z.
Большинство операторов и функций системы Mathematica работают с комплексными числами. Разумеется, это расширяет сферу применения системы и позволяет решать на ней различные специальные задачи – например, относящиеся к теории функций комплексного аргумента.
Элементарные функции в системе Mathematica могут иметь аргумент в виде комплексного числа z. Аргументы указываются как параметры функций в квадратных скобках.
Прежде всего, отметим функции для работы с комплексными числами z.
Abs[z] – возвращает модуль комплексного числа.
Arg[z] – возвращает аргумент комплексного числа z.
Conjugate[z] – возвращает комплексно сопряженное с z число.
Im[z] – возвращает мнимую часть комплексного числа z.
Re[z] – возвращает вещественную часть числа z.
ArcCos[z] – возвращает арккосинус комплексного числа z.
ArcCosh[z] – возвращает значение обратного гиперболического косинуса комплексного аргумента z.
ArcCot[z] – возвращает значение арккотангенса комплексного аргумента z.
ArcCoth[z] – возвращает обратный гиперболический котангенс комплексного аргумента z.
ArcCsc[z] – возвращает арккосеканс комплексного аргумента z.
ArcCsch[z] – возвращает обратный гиперболический косеканс комплексного аргумента z.
ArcSec[z] – возвращает арксеканс комплексного аргумента z.
ArcSech[z] – возвращает обратный гиперболический секанс комплексного аргумента z.
ArcSin[z] – возвращает арксинус комплексного аргумента z.
ArcSinh[z] – возвращает обратный гиперболический синус комплексного аргумента z.
ArcTan[z] – возвращает арктангенс аргумента z.
ArcTanh[z] – возвращает обратный гиперболический тангенс комплексного аргумента z.
Ниже приведены примеры операций в непосредственном режиме с комплексными числами (см. рисунок 3.1):

Рисунок 3.1 – Пример операций с комплексными числами
Если ввести N[z1/0], то система выдаст следующее сообщение:

Итак, в этом случае система выдает сообщение об ошибке, но после него возвращает константу ComplexInfinity, означающую комплексную бесконечность.

Из последних примеров видно, что система Mathematica знает и использует основные соотношения между элементарными функциями. В двух последних примерах используются символьные преобразования с применением функции ComplexExpand (расширение выражений с комплексным аргументом).
Прямое и обратное z-преобразования функций широко используются при решении задач автоматического управления и обработке дискретных сигналов. Прямое z-преобразование последовательности f(n) в функцию комплексной переменной z задается выражением
.
Обратное z-преобразование сводится к преобразованию комплексной функции f(z) в функцию f(z).
Поэтому в системе Mathematica 5.2 для осуществления z-преобразований в ядро включены следующие функции:
ZTransform[expr,n,z] — возвращает результат прямого z-преобразования для выражения expr, представленного как функция целочисленного аргумента n;
InverseZTransform[expr,n,z] — возвращает результат обратного z-преобразования для выражения expr, представленного как функция целочисленного аргумента n.
Приведем примеры выполнения z-преобразований в системе Mathematica 5.2 (см. рисунок 3.2):

Рисунок 3.2 – Пример выполнения z-преобразований
Обратите внимание на то, что для первой функции (Cos[n]) результат получен через комплексные экспоненты, и лишь упрощение функцией FullSimplify позволило получить его без «фокусов».
3.2
. Вычисление несобственных интегралов

Пусть R(x,y) – рациональная функция двух действительных переменных. Тогда справедливы равенства 
Действительно, замена переводит отрезок [0, 2π] в окружность .
При этом: 
В результате имеем формулу, сопоставляющую интеграл от действительной переменной с интегралом по замкнутой кривой от функции комплексного переменного:
.
Утверждение: Пусть R(x) – рациональная функция, не имеющая особых точек на действительной оси, для которой точка z, равная бесконечности, - нуль порядка не ниже первого (т.е. (m-n) больше или равно 1). Тогда справедливы формулы:

Пример 1. Вычислить интеграл .
Положим , тогда . Вычислим , откуда , а исходный интеграл запишется в виде:

Так как при , подинтегральная функция внутри круга имеет один полюс первого порядка в точке z=a.
Поскольку , будем иметь .
В пакете Mathematica (см. рисунок 3.3):

Рисунок 3.3 – Пример вычисления интеграла
Пример 2. Вычислить интеграл .
Рассмотрим функцию .
Она является аналитической функцией, имеющей полюсы второго порядка в точках и в бесконечности имеет нуль второго порядка.
Согласно формуле (1.1) имеем:

В пакете Mathematica (см. рисунок 3.4):

Рисунок 3.4 – Пример вычисления интеграла
Пример 3. Вычислить интеграл: 
Функция в точке z, равной бесконечности, имеет нуль первого порядка и на действительной оси не имеет особых точек.
Особые точки функции: 
Поскольку , вычисляем вычет в точке - просто полюсе функции :
.
Для заданного интеграла по формуле (2.1) получаем результат:

В пакете Mathematica (см. рисунок 3.5):

Рисунок 3.5 – Пример вычисления интеграла
Интегралом от функции комплексного переменного называется предел последовательности интегральных сумм; функция при этом определена на некоторой кривой l, кривая предполагается гладкой или кусочно-гладкой:
, где - точка, произвольно выбранная на дуге разбиения кривой, - приращение аргумента функции на этом участке разбиения, - шаг разбиения, - длина хорды, соединяющей концы дуги , кривая l разбивается произвольным образом на n частей , k=1,2…n.
В случае замкнутой кривой l=C:

Интегрирование происходит в положительном направлении, т.е. в направлении обхода, оставляющем слева конечную область, ограниченную контуром C.
Существует несколько способов вычисления интегралов в комплексной области.
Способ 1.
Интеграл вычисляется сведением к криволинейному интегралу от функции действительных переменных, применяются формулы:
Пример 1. Вычислить интеграл , где:
а). l – прямая, соединяющая точки 
б). l – ломаная ОВА, О(0,0), В(1,0), А(1,1).
Решение:
а). Путь интегрирования l – прямая, соединяющая точки 
Применяем к вычислению интеграла формулу (1). Подинтегральное выражение имеет вид .
Поэтому: .
Уравнение отрезка прямой, соединяющей точки имеет вид .
Получаем: .
б). Путь интегрирования l – ломаная ОВА, О(0,0), В(1,0), А(1,1).
Так как путь интегрирования состоит из 2 отрезков, то:
.
Каждый из этих двух интегралов вычисляем для ОВ ( ), и для ВА ( ).
Тогда .
В пакете Mathematica (см. рисунок 3.6):

Рисунок 3.6 – Пример вычисления интеграла
Способ 2
. Интеграл вычисляется приведением к определенному интегралу (путь интегрирования f задается в параметрической форме z=z(t)) – применяется формула:
.
Пример 2. Вычислить интеграл , l –верхняя полуокружность , обход l против часовой стрелки. Подинтегральная функция здесь непрерывная, но не аналитическая. Применим формулу (2) , поскольку кривая l имеет простое параметрическое представление: . Тогда .
Подставляем в подинтегральное выражение:
.
В пакете Mathematica (см. рисунок 3.7):

Рисунок 3.7 – Пример вычисления интеграла
Способ 3.
Вычисление интегралов от аналитических функций в односвязных областях – применяется формула:
, где F(z) первообразная для f(z).
Пример 3. Вычислить интеграл от аналитической функции .
Применяем формулу (3), находим первообразную, используя методы интегрирования действительного анализа:
.
В пакете Mathematica (см. рисунок 3.8):

Рисунок 3.8 – Пример вычисления интеграла
Теорема (основная теорема о вычетах):
Если функция f(z) – аналитична в за исключением конечного числа особых точек ,то справедливо равенство:
, где D – односвязная область в комплексной плоскости, - граница D, - вычет функции f(z) в точке .
Пример 1. Вычислить интеграл .
Особыми точками подинтегральной функции являются нули знаменателя – корни уравнения exp(z) – i =0, т.е. точки 
Кругу принадлежит только одна из этих точек, точка .
Эта точка - простой полюс функции , т.к. она является простым нулем знаменателя. Вычислим вычет в простом полюсе f(z):
. Тогда .
В пакете Mathematica (см. рисунок 3.9):

Рисунок 3.9 – Пример вычисления интеграла
Пример 2. Вычислить интеграл .
Единственная особая точка подинтегральной функции – существенно особая точка z=0. Она принадлежит области, ограниченной контуром интегрирования.
Вычислим вычет в существенно особой точке функции f(z): , поскольку . Тогда .
В пакете Mathematica (см. рисунок 3.10):

Рисунок 3.10 – Пример вычисления интеграла
Пример 3. Вычислить интеграл .
Особыми точками подинтегральной функции являются нули знаменателя – корни уравнения , т.е. точки 
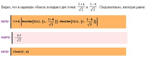
Все эти точки – простые полюсы подинтегральной функции, кругу принадлежит только две из них: .
Вычислим вычеты в этих точках:


Тогда:
.
В пакете Mathematica (см. пример 3.11):


Рисунок 3.11 – Пример вычисления интеграла
Мы убедились, что пакет Mathematiсa 5.2 существенно облегчает вычисление различных видов интегралов. С помощью этой программы затрачивается меньше времени на расчеты, а также появляются новые возможности для развития многих областей математики.
Как уже отмечалось, Mathematica – мощная программа аналитических и численных расчетов, которые использует идеологию интерактивных документов, включающих собственно программы, текст и графику. Так же этот символьный пакет имеет удобный графический интерфейс и развитую помощь, включающую помимо примеров, полное описание программы в гипертекстовом формате. Огромное количество заложенных разработчиками функций, а также открытая среда, позволяющая дополнять пакет своими собственными расширениями, делает их возможности воистину безграничными.
Mathematicа дает возможность специалистам решать большое количество достаточно сложных задач, не вдаваясь
в тонкости программирования. Благо
даря этому программа получила широкое распространение в таких областях
, как физика, биология, экономика. Программа также применяется
как для выполнения, так и дл
я оформления
инженерных проектов.
Mathematica является важным инструментом при разработке программного обеспечения. Она может быть модернизирована самим пользователем, так как относится к открытым программным продуктам.
К единственным недостаткам системы Mathematica следует отнести разве что весьма необычный язык программирования, обращение к которому, впрочем, облегчает подробная система помощи.
Программа Mathematica наряду с программами Maple, MatLab и MathCad применяется в качестве базисной для построения курса математики во многих высших как технических, так и гуманитарных учебных заведениях. Несколько периодических изданий и сотни книг посвящено этой программе.
Данный реферат был посвящен применению пакета Mathematica в современных математических приложениях и исследованиях. Был дан краткий обзор основных возможностей, предоставляемых пользователям данной программы.
В качестве иллюстрации актуальности и идее применения пакета в науке был рассмотрены примеры вычислений различных видов интегралов.
Но как показывает практика, возможности данного пакета все время увеличиваются. Кроме того, ядро Mathematica стало поддерживать многопроцессорные конфигурации и научилось распараллеливать вычислительные потоки, в связи с чем существенно возрастает скорость расчетов на некоторых алгоритмах.
Естественно, в Mathematica развивается не только базовая (математическая) функциональность, но и вспомогательная, во многих случаях также играющая весьма важную роль. Так, реализована поддержка новых внешних форматов (Excel, Matlab, DIF и др.) в функциях импорта/экспорта. Появились дополнительные операторы построения диаграмм новых типов (скажем, ArrayPlot предоставляет довольно гибкие средства для визуализации массивов и некоторых типов специальных статистических графиков), расширена интеграция с базами данных.
Имеется еще ряд небольших усовершенствований, касающихся самых разных сторон функционирования Mathematica, и особенно ее интеграции с внешними системами – к ним можно отнести средства взаимодействия с интернет-поисковиками, возможность использования ядра в удаленном режиме. Это одна из наиболее заметных тенденций развития пакета.
А
Алгебра 11
Аналитические расчеты 8
В
Вычисления 11
Г
Геометрия 12
Графика 12
Графика и звук 10
Д
Дискретная математика 11
Л
Линейная алгебра 12
М
Математические функции 9
П
Приближенные вычисления 12
Программирование 10
Профессиональные приложения 13
С
Стандартные дополнения 11
Статистика 13
Т
Теория чисел 12
Ч
Численные методы 8
Список
литературы к реферату
1. Аладьев В. З., Шишаков М. Л. Введение в среду пакета Mathematica 2.2. – М.: Информационно-издательский дом «Филинъ», 1997. - 368с.
2. Голубева Л. Л., Малевич А. Э., Щеглова Н.Л. Компьютерная математика. Символьный пакет Mathematica. – Мн.: БГУ, 2005. - 103с.
3. Антамошин А. Н., Близнова О. В., Бобов А. В., Большаков А. А., Лобанов В. В., Кузнецова И. Н. Интеллектуальные системы управления организационно-техническими системами. – М.: Горячая линия – Телеком, 2006. – 160с.
4. http://www.exponenta.ru
5. http://library.wolfram.com/tutorials/
1. http://www.exponenta.ru/ – посвящен решению математических задач при помощи современных математических пакетов, таких как Mathematica, Mathcad, MATLAB, Maple.
2. http://www.wikipedia.org/ - сайт свободной энциклопедии, содержащей более 300.000 статей на русском и более 2.400.000 статей на английском языках в том числе и о научных направлениях, таких как математика, физика, информатика.
3. http://wolfram.com – официальный сайт компании Wolfram Reseach Ltd. Представлены программные продукты, события в жизни компании. Содержит несколько разделов в которых собраны примеры использование программных продуктов компании и т.д.
4. http://www.library.bsu.by – электронный каталог фундаментальной библиотеки БГУ. Наиболее ценным разделом с точки зрения автора является электронный каталог, содержащий 9 библиографических баз данных, сформированных по различным видам изданий: книги, периодика, статьи, электронные издания.
5. http://vac.org.by – сайт Высшей аттестационной комиссии Республики Беларусь. Содержит все нормативные акты, касающиеся оформления и защиты диссертаций.
6. http://elibrary.ru – научная электронная библиотека.
7. http://novamedium.infolib.mexmat.ru – здесь представлены исследования и разработки в естественных науках и образовательных технологиях. Решение типовых задач по различным разделам высшей и элементарной математики с помощью пакета Mathematica.
8. http://documents.wolfram.com/flash/ – здесь собраны анимации, которые графически иллюстрируют некоторые встроенные функции программы Mathematica.
http://sheka88.narod.ru – личный веб-сайт автора данной работы.
На сайте размещены граф научных интересов, гостевая книга, презентация магистерской работы, а также данная работа.
магистранта Бойко Е.В. механико-математического факультета
Специальность математика
| Смежные специальности
| 01.01.02 - дифференциальные уравнения
|
| Развитие теории обыкновенных дифференциальных уравнений и уравнений в частных производных.
|
| 01.01.03 - математическая физика (удалено ВАК)
|
| 01.01.05 - теория вероятностей и математическая статистика
|
| Вероятностные пространства и случайные элементы.
|
| 01.01.06 - математическая логика, алгебра и теория чисел
|
| Логические и логико-математические языки, логические системы и логико-математические теории, теории моделей, алгоритмическая разрешимость логических и логико-математических теорий, теории множеств.
|
| 01.01.07 - вычислительная математика
|
| Теория и методы параллельных вычислений.
|
|
Основная специальность
| 01.01.01 – математический анализ
|
| Теория функций действительного и комплексного переменного, обобщенные функции.
Специальные функции и интегральные преобразования.
|
|
Сопутствующие специальности
| 01.01.03 – математическая физика
|
| Физические задачи, приводящие к дифференциальным уравнениям в частных производных
|
|
<question type="close" id="113">
<text>01 Какой атрибут надо написать в теге <a>, чтобы при нажатии на ссылку она открывалась в другом окне?</text>
<answers type="request">
<answer id="1" right="0"> ul type=”content” </answer>
<answer id="2" right="1"> ul type=”target” </answer>
<answer id="3" right="0"> li type=”parent” </answer>
<answer id="4" right="0"> li type=”align” </answer>
</answers>
</question>
<question type="close" id="143">
<text>02 Какой тег обозначает наклонный шрифт в HTML?</text>
<answers type="request">
<answer id="5" right="1"><I> </I></answer>
<answer id="6" right="0"> <B> </B></answer>
<answer id="7" right="0"> <N>, </N></answer>
<answer id="8" right="0"> <K>, </K></answer>
</answers>
</question>
Тема магистерской диссертации: «Построение мероморфных функций на накрытиях Римановых поверхностей векторных задач дискретной оптимизации».
С содержимым презентации вы можете ознакомиться в интернете. Также содержимое слайдов можно просмотреть в приложении А.
1. Гахов Ф.Д. Краевые задачи. – М.:Наука, 1977. – 298 с.
2. Лаврентьев М.А., Шабат Б.В. Методы теории функций комплексного переменного. – М.: Наука, 1973. – 352 с.
3. Афанасьев, Д. Office XP/ Д. Афанасьев, С. Баричев, О. Плотников. – М.: Кудиц-Образ, 2002. – 344 с.
4. Форстер О. Римановы поверхности. – М.: Мир, 1980. – 228 с.
5. Ахметов, К.С. Знакомство с Microsoft Windows XP / К.С. Ахметов. – М.: Русская Редакция, 2001. – 210 с.
6. Ботт, Эд. Windows XP / Э. Ботт, К. Зихерт. – Питер, 2006. – 1068с.
7. Коцюбинский, А.О. Хрестоматия работы на компьютере: учеб. пособие / А.О. Коцюбинский, А.О. Грошев. – М.: Триумф, 2003. – 496 с.
8. Попов, В.Б. Основы компьютерных технологий: учеб. пособие / В.Б. Попов; Финансы и статистика. – М., 2002. – 703 с.
9. Якушина, Е. Изучаем Интернет, создаем Web-страничку / Е. Якушина. – Спб.: Питер, 2001.
10. Учебник по HTML [Электронный ресурс] / Портал Постройка.ру. М., 2007. – Режим доступа: http://www.postroika.ru/html/content2.html. – Дата доступа: 21.09.2008.
11. Высшая аттестационная комиссия Республики Беларусь [Электронный ресурс] / ВАК Беларуси. – Минск, 2007. – Режим доступа: http://vak.org.by/ – Дата доступа: 18.11.2008.
Приложение А
Презентация магистерской диссертации
















|