| Содержание:
Введение.................................................................................................................3
1. Математическое описание связи. Модель парной регрессии.......................6
1.1. Линейная регрессия сущность, оценка параметров...............................11
1.2. Определение тесноты связи и оценка существенности
уравнения регрессии.................................................................................13
1.3. Виды нелинейных регрессионных моделей, расчет их
параметров.................................................................................................18
2. Множественная регрессия и корреляция.......................................................20
Заключение...........................................................................................................23
Список использованной литературы.................................................................25
Введение.
Величины, характеризующие различные свойства объектов, могут быть независимыми или взаимосвязанными. Различают два вида зависимостей между величинами (факторами): функциональную и статистическую.
При функциональной зависимости двух величин значению одной из них обязательно соответствует одно или несколько точно определенных значений другой величины. Функциональная связь двух факторов возможна лишь при условии, что вторая величина зависит только от первой и не зависит ни от каких других величин. Функциональная связь одной величины с множеством других возможна, если эта величина зависит только от этого множества факторов. В реальных ситуациях существует бесконечно большое количество свойств самого объекта и внешней среды, влияющих друг на друга, поэтому такого рода связи не существуют, иначе говоря, функциональные связи являются математическими абстракциями. Их применение допустимо тогда, когда соответствующая величина в основном
зависит от соответствующих факторов.
При исследовании многие параметры следует считать случайными, что исключает проявление однозначного соответствия значений. Воздействие общих факторов, наличие объективных закономерностей в поведении объектов приводят лишь к проявлению статистической зависимости. Статистической
называют зависимость, при которой изменение одной из величин влечет изменение распределения других (другой), и эти другие величины принимают некоторые значения с определенными вероятностями. Функциональную зависимость в таком случае следует считать частным случаем статистической: значению одного фактора соответствуют значения других факторов с вероятностью, равной единице. Однако на практике такое рассмотрение функциональной связи применения не нашло.
Забиваем Сайты В ТОП КУВАЛДОЙ - Уникальные возможности от SeoHammer
Каждая ссылка анализируется по трем пакетам оценки: SEO, Трафик и SMM.
SeoHammer делает продвижение сайта прозрачным и простым занятием.
Ссылки, вечные ссылки, статьи, упоминания, пресс-релизы - используйте по максимуму потенциал SeoHammer для продвижения вашего сайта.
Что умеет делать SeoHammer
— Продвижение в один клик, интеллектуальный подбор запросов, покупка самых лучших ссылок с высокой степенью качества у лучших бирж ссылок.
— Регулярная проверка качества ссылок по более чем 100 показателям и ежедневный пересчет показателей качества проекта.
— Все известные форматы ссылок: арендные ссылки, вечные ссылки, публикации (упоминания, мнения, отзывы, статьи, пресс-релизы).
— SeoHammer покажет, где рост или падение, а также запросы, на которые нужно обратить внимание.
SeoHammer еще предоставляет технологию Буст, она ускоряет продвижение в десятки раз,
а первые результаты появляются уже в течение первых 7 дней.
Зарегистрироваться и Начать продвижение
Более важным частным случаем статистической зависимости является корреляционная
зависимость, характеризующая взаимосвязь значений одних случайных величин со средним значением других, хотя в каждом отдельном случае любая взаимосвязанная величина может принимать различные значения.
Если же у взаимосвязанных величин вариацию имеет только одна переменная, а другая является детерминированной, то такую связь называют не корреляционной, а регрессионной
. Например, при анализе скорости обмена с жесткими дисками можно оценивать регрессию этой характеристики на определенные модели, но не следует говорить о корреляции между моделью и скоростью.
При исследовании зависимости между одной величиной и такими характеристиками другой, как, например, моменты старших порядков (а не среднее значение), то эта связь будет называться статистической, а не корреляционной.
Корреляционная связь описывает следующие виды зависимостей:
причинную зависимость между значениями параметров, "зависимость" между следствиями общей причины.
Корреляционная зависимость определяется различными параметрами, среди которых наибольшее распространение получили показатели, характеризующие взаимосвязь двух случайных величин (парные показатели): корреляционный момент, коэффициент корреляции.
Одной из типовых задач обработки статистических данных является определение количественной зависимости показателей качества объекта от значений его параметров и характеристик внешней среды. Примером такой постановки задачи является установление зависимости между временем обработки запросов к базе данных и интенсивностью входного потока. Время обработки зависит от многих факторов, в том числе от размещения искомой информации на внешних носителях, сложности запроса. Следовательно, время обработки конкретного запроса можно считать случайной величиной.
Но вместе с тем, при увеличении интенсивности потока запросов следует ожидать возрастания его среднего значения, т.е. считать, что время обработки и интенсивность потока запросов связаны корреляционной зависимостью.
Сервис онлайн-записи на собственном Telegram-боте
Попробуйте сервис онлайн-записи VisitTime на основе вашего собственного Telegram-бота:
— Разгрузит мастера, специалиста или компанию;
— Позволит гибко управлять расписанием и загрузкой;
— Разошлет оповещения о новых услугах или акциях;
— Позволит принять оплату на карту/кошелек/счет;
— Позволит записываться на групповые и персональные посещения;
— Поможет получить от клиента отзывы о визите к вам;
— Включает в себя сервис чаевых.
Для новых пользователей первый месяц бесплатно.
Зарегистрироваться в сервисе
Постановка задачи регрессионного анализа
формулируется следующим образом .
Имеется совокупность результатов наблюдений. Требуется: установить количественную взаимосвязь между показателем и факторами. В таком случае задача регрессионного анализа понимается как задача выявления такой функциональной зависимости y*
= f(x2
, x3
, …, xт
), которая наилучшим образом описывает имеющиеся экспериментальные данные.
Допущения:
- количество наблюдений достаточно для проявления статистических закономерностей относительно факторов и их взаимосвязей;
- обрабатываемые ЭД содержат некоторые ошибки (помехи), обусловленные погрешностями измерений, воздействием неучтенных случайных факторов;
- матрица результатов наблюдений является единственной информацией об изучаемом объекте, имеющейся в распоряжении перед началом исследования.
Функция f
(x
2
, x
3
, …, xт
), описывающая зависимость показателя от параметров, называется уравнением (функцией) регрессии. Термин "регрессия" (regression (лат.) – отступление, возврат к чему-либо) связан со спецификой одной из конкретных задач, решенных на стадии становления метода, и в настоящее время не отражает всей сущности метода, но продолжает применяться.
1. Математическое описание связи. Модель парной регрессии.
Любой показатель в статистике, экономике, математике и т.д. практически зависит от бесконечного количества факторов. Однако лишь ограниченное количество факторов действительно существенно воздействуют на исследуемый показатель. Доля влияния остальных факторов столь незначительна, что их игнорирование не может привести к существенным отклонениям в поведении исследуемого объекта. Выделение и учет в модели лишь ограниченного числа реально доминирующих факторов является важной задачей качественного анализа, прогнозирования и управления ситуаций.
Если в естественных науках большей частью имеют дело со строгими (функциональными) зависимостями, при которых, еще раз повторюсь, каждому значению одной переменной соответствует единственное значение другой, то между экономическими переменными, в большинстве случаев, таких зависимостей нет. Поэтому в экономике имеют дело с корреляционными зависимостями.
В зависимости от количества факторов, включенных в уравнение регрессии, принято различать простую (парную) и множественную регрессии.
Простая регрессия представляет собой регрессию между двумя переменными y
и x
, т.е. модель вида
y = f(x),
где у
– зависимая переменная (результативный признак);
х
– независимая, или объясняющая, переменная, (признак – фактор).
Строится простая (парная) регрессия в случае, когда на результативный показатель, влияет единственный фактор.
Множественная регрессия соответственно представляет собой модель вида:
y=f(x1
, x2
,…,xk
),
где хi
– признак – факторы.
Рассмотрим простейшую линейную модель парной регрессии:
y = a+bx+ε
(2.1)
Величина y
, рассматриваемая как зависимая переменная, состоит из двух составляющих: неслучайной составляющей, а+bх
и случайного члена ε.
Случайная величина ε называется также возмущением. Она включает влияние не учтенных в модели факторов, случайных ошибок и особенностей измерения.
Причин существования случайной составляющей несколько.
1. Не включение объясняющих переменных. Соотношение между y
и x
является упрощением. В действительности существуют и другие факторы, влияющие на y
, которые не учтены в (2.1). Влияние этих факторов приводит к тому, что наблюдаемые точки лежат вне прямой у = а+bх
.
Часто встречаются факторы, которых следовало бы включить в регрессионное уравнение, но невозможно этого сделать в силу их количественной неизмеримости. Возможно, что существуют также и другие факторы, которые оказывают такое слабое влияние, что их в отдельности не целесообразно учитывать, а совокупное их влияние может быть уже существенным. Кроме того, могут быть факторы, которые являются существенными, но которые из-за отсутствия опыта таковыми не считаются. Совокупность всех этих составляющих и обозначено в (2.1) через ε.
2. Агрегирование переменных. Рассматриваемая зависимость (2.1) – это попытка объединить вместе некоторое число микроэкономических соотношений. Так как отдельные соотношения, имеют разные параметры, попытка объединить их является аппроксимацией. Наблюдаемое расхождение приписывается наличию случайного члена ε.
3. Выборочный характер исходных данных. Поскольку исследователи чаще всего имеет дело с выборочными данными при установлении связи между у
и х
, то возможны ошибки и в силу неоднородности данных в исходной статистической совокупности. Для получения хорошего результата обычно исключают из совокупности наблюдения с аномальными значениями исследуемых признаков. И в этом случае результаты регрессии представляют собой выборочные характеристики.
4. Неправильная функциональная спецификация. Функциональное соотношение между у
и х
математически может быть определено неправильно. Например, истинная зависимость может не являться линейной, а быть более сложной. Следует стремиться избегать возникновения этой проблемы, используя подходящую математическую формулу, но любая формула является лишь приближением истинной связи у
и х
и существующее расхождение вносит вклад в остаточный член.
5. Возможные ошибки измерения.
В парной регрессии выбор вида математической функции yх
=f(x)
, может быть осуществлен графическим, аналитическим, экспериментальным методами.
Наиболее наглядным методом является графический. Он основан на поле корреляции.
Основные типы кривых, используемых при количественной оценке связей, представлены на рис. 1.
Кроме уже указанных используют также и другие типы кривых, например: Значительный интерес представляет аналитический метод выбора типа уравнения регрессии, который основан на изучении материальной природы связи исследуемых признаков.
Пусть, например, изучается потребность предприятия в электроэнергии y
в зависимости от объема выпускаемой продукции x
.
Общее потребление электроэнергии y
можно подразделить на две части:
- не связанное с производством продукции а
;
- непосредственно связанное с объемом выпускаемой продукции, пропорционально возрастающее с увеличением объема выпуска (b×x
).
Рис 1. Основные типы кривых, используемые при количественной оценке связей между двумя переменными
Тогда зависимость потребления электроэнергии от объема продукции можно выразить уравнением регрессии вида: y = a+bx
Если разделим обе части уравнения на величину объема выпускаемой продукции (х
), то получим выражение зависимости удельного расхода электроэнергии на единицу продукции (z = y/x
) от объема выпущенной продукции (х
) в виде уравнения гиперболы:
z = b+a/x
При обработке информации на компьютере выбор вида уравнения регрессии осуществляется экспериментальным методом, т.е. путем сравнения величины остаточной дисперсии Dост
, рассчитанный при разных моделях.
В реальных условиях, как правило, всегда имеет место некоторое отклонение точек результативного признака относительно линии регрессии, обусловленное, присутствием случайного члена ε. Поэтому для уравнения регрессии вычисляется величина суммы отклонений (y-yx
), где y
– фактические значения результативного признака,
yx
– расчетные значения, полученные по уравнению регрессии.
Чем меньше величина Dост
, тем лучше уравнение регрессии описывает рассматриваемую корреляционную связь. Из разных математических функций выбирается та, для которой Dост
является min.
В случае, когда Dост
оказывается примерно одинаковой для нескольких функций, то предпочтение отдается более простым видам функций.
Обычно число наблюдений должно в 6-7 и более раз превышать число рассчитываемых параметров при переменной х
.
1.1. Линейная регрессия сущность, оценка параметров
Линейная регрессия сводится к построению уравнения вида y=a+bx
Построение уравнения регрессии сводится в первую очередь к расчету его параметров - а
и b
. Они могут быть определены разными методами. Наиболее распространенным методом, является метод наименьших квадратов (МНК).
Допустим, что заданы n
наблюдаемых значений результативного признака (у
) и признака-фактора (х
).
Следует отметить, что рассчитываются не истинные значения a
и b
, а только оценки, которые могут быть хорошими или плохими.
Возникает вопрос: существует ли способ достаточно точной оценки а
и b
алгебраическим путем?
Вначале на поле корреляции построим точки соответствующие наблюдаемым значениям х
и у
и прямую, выражающую линейную регрессию (рис.2).
Первым шагом является определение остатка для каждого наблюдения. Разность между фактическим и расчетным значением, соответствующим xi
, описывается как остаток в i-м приближении:
Рис.2 Точки рассеивания и прямая, выражающая линейную регрессию
Очевидно, что нужно построить такую линию регрессии, чтобы остатки были минимальными. Необходимо выбрать какой-то критерий подбора, который будет одновременно учитывать величину всех остатков.
Критерий минимизации суммы квадратов отклонений, фактических значений результативного признака (у
) от расчетных (теоретических) : заложен в основу МНК.
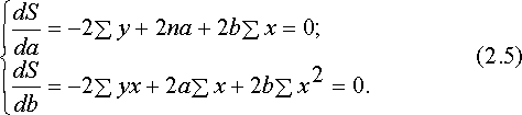
Обозначим через S, тогда
Чтобы найти min (2.4), надо вычислить частные производные по каждому из параметров а
и b
и приравнять их к нулю: Преобразуя систему (2.5), получаем следующую систему нормальных уравнений для оценки параметров a
и b
:
Решая систему (2.6), получим
(2.7)
  где
Параметр b
называется коэффициентом регрессии. Его величина показывает, насколько единиц изменится результат с изменением фактора на одну единицу.
Параметр a
, вообще говоря, не имеет экономической интерпретации. Например, если a
<0, то попытка его экономической интерпретации приводят к абсурду.
Зато можно интерпретировать знак при параметре а
. Если, а
>0, то относительное изменение результата происходит медленнее, чем изменение фактора.
1.2. Определение тесноты связи и оценка существенности уравнения регрессии
Уравнение регрессии всегда дополняется показателем тесноты связи. При использовании линейной регрессии в качестве такового показателя выступает линейный коэффициент корреляции r.
Одна из формул линейного коэффициента корреляции имеет вид: 
Коэффициент корреляции находится в пределах: - 1 < r < 1. Если b
> 0, то 0 < r
< 1, и, наоборот, при b
< 0, - 1 < r
< 0.
Линейный коэффициент корреляции оценивает тесноту связи рассматриваемых признаков в ее линейной форме. Поэтому близость абсолютного значения линейного коэффициента корреляции к нулю еще не означает отсутствие связи между признаками. При нелинейном виде модели связь может оказаться достаточно тесной.
Квадрат линейного коэффициента корреляции называется коэффициентом детерминации. Он характеризует долю дисперсии результативного показателя y
, объясняемую регрессией.
Соответственно величина 1 - r2
характеризует долю дисперсии у
, вызванную влиянием остальных, неучтенных в модели, факторов.
После того как построено уравнение линейной регрессии, проводится оценка значимости как уравнения в целом, так и отдельных ее параметров.
Оценка значимости уравнения регрессии в целом производится с помощью F-критерия Фишера.
С F-критерием тесно связана характеристика, называемая числом степеней свободы, которая применительно к исследуемой проблеме показывает, сколько независимых отклонений из n-возможных требуется для образования данной суммы квадратов.
Существует равенство между числом степеней свободы общей, факторной и остаточной суммы квадратов.
Число степеней свободы для факторной суммы квадратов равно 1, для общей суммы квадратов равно (n
-1), для остаточной суммы квадратов составляет (n
-2).
Разделив каждую сумму квадратов на соответствующее ей число степеней свободы, получаем дисперсию на одну степень свободы: Сопоставляя факторную и остаточную дисперсию на одну степень свободы, получим величину F- отношения (F - критерий):
Величина F- критерия связана с коэффициентом детерминации r2
: F - критерий для проверки нулевой гипотезы H0
: Dфакт
= Dост
.
Т.е. если нулевая гипотеза справедлива, то факторная и остаточная дисперсии не отличаются друг от друга. Это дает основание считать, что влияние объясняющей переменной х модели несущественно, а, следовательно, общее качество модели невысоко.
Английским статистиком Снедекором разработаны таблицы критических значений F – отношений при разных уровнях существенности нулевой гипотезы и различном числе степеней свободы. Табличное значение F – критерия – это максимальная величина отношения дисперсии, которая может иметь место при случайном их расхождении для данного уровня вероятности наличия нулевой гипотезы.
Если Fфакт
> Fтабл
, то нулевая гипотеза Н0
об отсутствии связи признаков отклоняется и делается вывод о существенности этой связи.
Если F факт
< Fтабл
, то H0
не отклоняется и уравнение регрессии считается статистически незначимым.
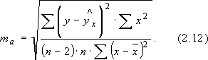
В линейной регрессии обычно оценивается значимость не только уравнения в целом, но и отдельных его параметров. Для этого по каждому из параметров определяется его стандартная ошибка: mb
и ma
:
Для оценки существенности коэффициента регрессии его величина сравнивается с его стандартной ошибкой, т. е. определяется фактическое значение t
- критерия Стьюдента:
которое затем сравнивается с табличным значением при заданном уровне значимости a и числе степеней свободы (n
-2)
Имеет место равенство:
Для оценивания существенности параметра а определяется:
и его величина сравнивается с табличным значением.
Если табличное значение t
– критерия превышает фактическое, то делается вывод о несущественности данного коэффициента, а если наоборот, табличное значение меньше фактического - вывод о существенности данного коэффициента.
Значимость линейного коэффициента корреляции проверяется на основе величины ошибки коэффициента корреляции:

Фактическое значение t
– критерия Стьюдента определяется как Т.о. проверка гипотез о значимости коэффициентов регрессии и корреляции равносильна проверке гипотезы о существенности линейного уравнения регрессии.
B прогнозных расчетах по уравнению регрессии определяется предсказываемое (ур
) значение как точечный прогноз ух
при хр
= хк
т.е. путем подстановки в уравнение регрессии ŷх
= а +
bх
соответствующего значения х. Точечный прогноз явно не реален, поэтому он всегда дополняется расчетом стандартной ошибки ŷх
, т.е. mŷх
, и соответственно интервальной оценкой прогнозного значения:
(2.13)
Стандартная ошибка предсказываемого среднего значения у
, при заданном значении х, определяется по формуле:

(2.14)
где
При прогнозировании на основе уравнения регрессии следует помнить, что величина прогноза зависит не только от стандартной ошибки индивидуального значения у
, но и от точности прогноза значения фактора х
.
Доверительные интервалы прогноза индивидуальных значений у
при фиксированных значениях х
с различными вероятностями имеют вид:
 где ta
=1 при 68% вероятности
ta
=2,0 при 95% вероятности
ta
=2,58 при 99% вероятности
Для экономических расчетов степень вероятности обычно принимается равной 95%.
1.3. Виды нелинейных регрессионных моделей, расчет их параметров
Хотя во многих практических случаях моделирование экономических зависимостей линейными уравнениями дает вполне удовлетворительный результат, однако ограничиться рассмотрением лишь линейных регрессионных моделей невозможно. Так близость линейного коэффициента корреляции к нулю еще не значит, что связь между соответствующими экономическими переменными отсутствует. При слабой линейной связи может быть очень тесной, например, не линейная связь. Поэтому необходимо рассмотреть и нелинейные регрессии, построение и анализ которых имеют свою специфику.
В случае, когда между экономическими явлениями существует нелинейные соотношения, то они выражаются с помощью соответствующих нелинейных эконометрических моделей.
Различает две группы нелинейных регрессионных моделей:
- модели, нелинейные относительно включенных в анализ объясняющих переменных, но линейные по оцениваемым параметрам;
- модели нелинейные по оцениваемым параметрам.
К первой группе относятся, например, следующие виды функций:
- полином 2-й степени;
- полином 3-й степени;
- гипербола.
Ко второй группе относятся:
- степенная;
- показательная;
- экспоненциальная и др. виды функций.
Первая группа нелинейных функций легко может быть линеаризована
(приведены к линейному виду). Например, для полинома к
-го порядка производя замену:
х = х1
, х2
= х2
, ... хk
= xk
получим линейную модель вида Аналогично могут быть линеаризованы и другие виды нелинейных функций 1-й группы, производя соответствующие замены.
Для оценки параметров нелинейных функций первой группы можно использовать, обычный МНК, аналогично, как и в случае линейных функций.
Иначе обстоит дело с группой регрессионных, нелинейных функций по оцениваемым параметрам. Данную группу функций можно разбить на две подгруппы:
нелинейные модели внутренне линейные;
нелинейные модели внутренне нелинейные.
Рассмотрим степенную функцию
Она нелинейна относительно параметров а и b. Однако ее можно считать внутренне линейной, так как, прологарифмировав ее можно привести к линейному виду:
Следовательно, ее параметры могут быть найдены обычным МНК.
Если модель представить в виде:
то модель становится внутренне нелинейной, т.к. ее невозможно преобразовать в линейный вид.
Внутренне нелинейной будет и модель вида:
В исследованиях, часто к нелинейным относят модели, только внутренне нелинейные по оцениваемым параметрам, а все другие модели, которые легко преобразуются в линейный вид, относятся к группе линейных моделей.
Если, модель внутренне нелинейна по параметрам, то для оценки параметров используются итеративные методы, успешность которых зависит от вида функции и особенностей применяемого итеративного подхода.
2. Множественная регрессия и корреляция
На любой экономической показатель чаще всего оказывает влияние не один, а несколько факторов.
 Парная (однофакторная) регрессия является частным случаем множественной регрессии. Схематически модель множественной регрессии записывается в виде: где y результативный экономический показатель, - показатели - факторы.
Множественная регрессия широко используется в решении проблем спроса, доходности акций, при изучении функций издержек производства, в макроэкономических расчетах и при решении других вопросов в различных экономических сферах. В настоящее время множественная регрессия – один из наиболее распространенных методов в математике и эконометрике.
Основная цель множественной регрессии - построить модель с большим числом факторов, определив при этом влияние каждого из них в отдельности, а также совокупное их воздействие на моделируемый показатель.
Построение уравнения множественной регрессии начинается с решения вопроса о спецификации модели (выбор факторов, вида уравнения и др.)
Факторы, включаемые в модель множественной регрессии, должны отвечать следующим требованиям:
- должны быть количественно измеримы;
- не должны быть интеркоррелированы или находится в функциональной зависимости;
- в одну модель нельзя включать совокупный фактор и образующие его частные факторы, что может привести к неоправданному увеличенному их влияние на зависимый показатель, к искажению реальной действительности;
- количество включаемых в модель факторов не должно превышать одной трети числа наблюдений в выборке.
Отбор факторов обычно осуществляется в две стадии: на первой подбираются факторы, исходя из сущности проблемы; на второй – на основе матрицы показателей корреляции определяют t
- статистики для параметров регрессии.
Коэффициенты интеркорреляции (т.е. корреляции между объясняющими переменными) позволяют исключать из модели дублирующие факторы. Считается, что две переменные явно коллинеарны, т.е. находятся между собой в линейной зависимости, если .
Из двух явно коллинеарных факторов, уравнения регрессии - рекомендуется исключить один. Предпочтение при этом отдается тому фактору, который при достаточно тесной связи с результатом имеет наименьшую тесноту связи с другими факторами.
Рассмотрим пример. Для зависимости y = f(x1
,x2
,x3
) задана матрица парных коэффициентов корреляции:
| У
|
x1
|
x2
|
x3
|
| У
|
1
|
| x1
|
0,8
|
1
|
| x2
|
0,7
|
0,8
|
1
|
| x3
|
0,6
|
0,5
|
0,2
|
1
|
Из таблицы, очевидно, что факторы x1
и x2
коррелированны друг с другом. В уравнение целесообразно включить фактор x2
, а не x1
, так как корреляция x2
с y
- слабее, чем корреляция фактора x1
с y
,но зато rx1x3
>rx2x3
. Поэтому в уравнение множественной регрессии включаются факторы x2
и x3
.
При отборе влияющих факторов используются статистические методы отбора. Так, существенного сокращения числа влияющих факторов можно достичь с помощью пошаговых процедур отбора переменных. Ни одна их этих процедур не гарантирует получения оптимального набора переменных. Однако при практическом применении они позволяют получить достаточно хорошие наборы существенно влияющих факторов.
Наиболее широкое применение получили следующие методы отбора факторов: метод исключения, метод включения, шаговый регрессионный анализ.
Метод исключения предполагает построение уравнения, включающего всю совокупность переменных, с последующим последовательным (пошаговым) сокращением числа переменных в модели до тех пор, пока не выполнится некоторое, наперед заданное, условие. Суть метода включения состоит – в последовательном включении переменных в модель до тех пор, пока регрессионная модель не будет отвечать заранее установленному критерию качества. Последовательность включения определяется с помощью частных коэффициентов корреляции: переменные, имеющие относительно исследуемого показателя большие значения частного коэффициента корреляции, первыми включаются в регрессионное уравнение.
Шаговый регрессионный анализ состоит в исключении ранее введенного фактора. Матрица частных коэффициентов корреляции наиболее широко используется в процедуре отсева факторов.
Уравнения множественной регрессии как парной регрессии могут быть: линейными и нелинейными.
Заключение.
Любой показатель практически зависит от бесконечного количества факторов. Однако лишь ограниченное количество факторов действительно существенно воздействуют на исследуемый показатель. Доля влияния остальных факторов столь незначительна, что их игнорирование не может привести к существенным отклонениям в поведении исследуемого объекта. Выделение и учет в модели лишь ограниченного числа реально доминирующих факторов является важной задачей качественного анализа, прогнозирования и управления ситуаций.
Если в естественных науках большей частью имеют дело со строгими (функциональными) зависимостями, при которых каждому значению одной переменной соответствует единственное значение другой, то между экономическими переменными, в большинстве случаев, таких зависимостей нет и дело имеют с корреляционными зависимостями.
В зависимости от количества факторов, включенных в уравнение регрессии, принято различать простую (парную) и множественную регрессии.
Решение задачи регрессионного анализа целесообразно разбить на следующие этапы:
- предварительная обработка ЭД;
- выбор вида уравнений регрессии;
- вычисление коэффициентов уравнения регрессии;
- проверка адекватности построенной функции результатам наблюдений.
Предварительная обработка включает расчет коэффициентов корреляции, проверку их значимости и исключение из рассмотрения незначимых параметров.
В парной регрессии выбор вида математической функции у= f(х) может быть осуществлен тремя методами:
- Графический метод – подбор вида уравнения регрессии достаточно нагляден. Он основан на поле корреляции;
- Аналитический метод – основан на изучении материальной природы связи исследуемых признаков;
- Экспериментальный.
Метод наименьших квадратов (МНК) – классический подход к оценке параметров линейной регрессии. МНК позволяет получить такие оценки параметров а и b при которых сумма квадратов отклонений фактических значений результативного признака (у) от расчетных (теоретических) ух
минимальна
Σ(уi
- yxi
)2
min.
Иными словами, из всего множества линий линия регрессии на графике выбирается так, чтобы сумма квадратов расстояния по вертикали между точками и этой линией была минимальной.
Линейная регрессия описывается уравнением прямой.
Нелинейная регрессия выражается с помощью соответствующих нелинейных функций.
Различают два класса нелинейных регрессий:
- Регрессии, нелинейные относительно включенных в анализ объясняющих переменных, но линейные по оцениваемым параметрам;
- Регрессии, нелинейные по оцениваемым параметрам.
К нелинейным регрессиям по оцениваемым параметрам относятся функции:
- Степенная;
- Показательная
- Экспоненциальная.
Список использованной литературы:
1. Пугачёв В.С., «Теория вероятностей и математическая статистика», –
М.: «Инфра–М», 2004.
2. Замков О.О., Толстопятенко А.В., Черемных Р.Н., «Математические
методы в экономике», – М.: «Дис», 2003;
3. «Эконометрика» под ред. И.И.Елисеевой, - М.: «Финансы и кредит»,
2002;
4. Магнус Я.Р., Катышев П.К., Пересецкий А.А., «Эконометрика начальный курс» - М.: «Дело» 2000;
|