| Министерство образования и науки Российской Федерации
Федеральное агентство по образованию
Саратовский государственный технический университет
Балаковский институт техники, технологии и управления
ВЫСШАЯ МАТЕМАТИКА
ЧАСТЬ 2
Методические указания и контрольные задания
к выполнению контрольных работ №4,5,6
для студентов
специальности 290300 заочной формы обучения
Одобрено
редакционно-издательским советом
Балаковского института техники,
технологии и управления
Балаково 2009
ВВЕДЕНИЕ
Методические указания и задания к выполнению контрольных работ по высшей математике предназначены для студентов 1 курса специальности 290300 «Промышленное и гражданское строительство» заочной формы обучения. Они содержат 4, 5 и 6 контрольные работы и являются продолжением методических указаний (часть 1) к выполнению контрольных работ № 1, 2, 3.
Приступая к выполнению контрольной работы, необходимо ознакомиться с соответствующими разделами программы курса и методическими указаниями, изучить литературу и разобрать решение подобных задач и примеров. Контрольные работы должны быть выполнены и представлены в сроки, установленные рабочим планом по высшей математике.
При удовлетворительном выполнении работа оценивается «допущена к собеседованию»; студент обязан учесть все замечания рецензента, внести в нее необходимые исправления и дополнения. После успешного прохождения собеседования студент получает зачет по выполненным работам и допускается к экзамену.
КОНТРОЛЬНАЯ РАБОТА №4
Дифференциальное исчисление функции
одной переменной
Основные теоретические сведения
1. Пусть на некотором промежутке определена функция . Разность называется приращением аргумента
, а разность − приращением функции
на отрезке . Производной
функции в точке называется предел отношения приращения функции к приращению аргумента, когда последний стремится к нулю:
(1)
Производная есть скорость изменения
функции в точке . Геометрически значение производной в точке численно равно значению тангенса угла наклона касательной к графику функции в точке с абсциссой к положительному направлению оси .
Процесс отыскания производной называется дифференцированием
.
Правила дифференцирования
Если функции и дифференцируемы в точке , то сумма, разность, произведение и частное этих функций (частное при условии ) также дифференцируемы в этой точке и имеют место следующие формулы:
Забиваем Сайты В ТОП КУВАЛДОЙ - Уникальные возможности от SeoHammer
Каждая ссылка анализируется по трем пакетам оценки: SEO, Трафик и SMM.
SeoHammer делает продвижение сайта прозрачным и простым занятием.
Ссылки, вечные ссылки, статьи, упоминания, пресс-релизы - используйте по максимуму потенциал SeoHammer для продвижения вашего сайта.
Что умеет делать SeoHammer
— Продвижение в один клик, интеллектуальный подбор запросов, покупка самых лучших ссылок с высокой степенью качества у лучших бирж ссылок.
— Регулярная проверка качества ссылок по более чем 100 показателям и ежедневный пересчет показателей качества проекта.
— Все известные форматы ссылок: арендные ссылки, вечные ссылки, публикации (упоминания, мнения, отзывы, статьи, пресс-релизы).
— SeoHammer покажет, где рост или падение, а также запросы, на которые нужно обратить внимание.
SeoHammer еще предоставляет технологию Буст, она ускоряет продвижение в десятки раз,
а первые результаты появляются уже в течение первых 7 дней.
Зарегистрироваться и Начать продвижение
1) ; 2) ;
3) ; 4) ,
где − постоянная.
Правила дифференцирования сложной
и параметрически заданной функции
1. Если сложная функция, а и − дифференцируемые функции, то
.
2. Если функция аргумента задана параметрическими уравнениями , то или 
ТАБЛИЦА ПРОИЗВОДНЫХ
простейших элементарных функций
I . ;
II. , в частности , ;
III. , в частности ;
IV. , в частности ;
V. ; VI. ;
VII. ; VIII. ;
IX. ; X. ;
XI. ; XII. .
1. Производной второго порядка
(второй производной) функции называется производная от ее производной первого порядка и обозначается или , или .
Аналогично определяются производные высших порядков.
Если функция задана параметрически, то
.
2. Дифференциалом
функции в точке называется главная, линейная относительно , часть приращения функции. Дифференциалом аргумента называется приращение аргумента: .
Дифференциал функции равен произведению его производной на дифференциал аргумента: .
Если приращение аргумента мало по абсолютной величине, то и ,
(2)
то есть дифференциал функции может применяться для приближенных вычислений.
3. Уравнение касательной к графику функции в точке с абсциссой имеет вид , (3)
а уравнение нормали . (4)
Пример
1
.
Найти производную функции .
Решение.
Здесь основание и показатель зависят от . Логарифмируя, получим . Продифференцируем обе части равенства по , учитывая, что есть сложная функция и . Тогда
,
то есть .
Пример
2
.
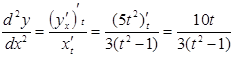
Найти и , если .
Решение.
Найдем ; .
Следовательно, .
Вторая производная .
Пример
3
.
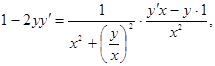
Найти , если .
Решение.
Здесь функция задана неявным образом. Дифференцируем обе части равенства по , учитывая, что и сложные функции .
или .
Выразим из этого выражения : .
Откуда .
Пример
4
.
Вычислить приближенно с помощью дифференциала при .
Решение.
Значение функции в точке равно: . Вычислим значение дифференциала в этой точке, соответствующее приращению аргумента
.
.
.
Тогда, применяя формулу , получим: .
КОНТРОЛЬНАЯ РАБОТА №5
ПРИЛОЖЕНИЯ ДИФФЕРЕНЦИАЛЬНОГО ИСЧИСЛЕНИЯ
Основные теоретические сведения
1. Правило Лопиталя
. Предел отношения двух бесконечно малых или бесконечно больших функций (неопределенность вида или ) равен пределу отношения их производных:
(1)
если предел в правой части равенства существует.
2. Если в некоторой окрестности точки выполняется неравенство или , то называется точкой экстремума
функции (соответственно точкой максимума или минимума). Необходимое условие экстремума: если - экстремальная точка функции , то первая производная либо равна 0 или бесконечности, либо не существует. Достаточное условие экстремума: является экстремальной точкой функции , если ее первая производная меняет знак при переходе через точку : с плюса на минус при максимуме, с минуса на плюс - при минимуме.
Сервис онлайн-записи на собственном Telegram-боте
Попробуйте сервис онлайн-записи VisitTime на основе вашего собственного Telegram-бота:
— Разгрузит мастера, специалиста или компанию;
— Позволит гибко управлять расписанием и загрузкой;
— Разошлет оповещения о новых услугах или акциях;
— Позволит принять оплату на карту/кошелек/счет;
— Позволит записываться на групповые и персональные посещения;
— Поможет получить от клиента отзывы о визите к вам;
— Включает в себя сервис чаевых.
Для новых пользователей первый месяц бесплатно.
Зарегистрироваться в сервисе
3. Точка называется точкой перегиба
кривой , если при переходе через точку меняется направление выпуклости. Необходимое условие точки перегиба: если - точка перегиба кривой , то вторая производная либо равна 0, либо не существует. Достаточное условие точки перегиба: является точкой перегиба кривой , если при переходе через точку вторая производная меняет знак.
4. Прямая называется наклонной асимптотой
кривой , если расстояние от точки кривой до этой прямой стремится к нулю при . При этом
, . (2)
При имеем горизонтальную асимптоту
: .
Если или , (3)
то прямая называется вертикальной асимптотой
.
5. Общая схема исследования функции и построения ее графика[5].
6. Нахождение приближенных значений действительных корней уравнения предусматривает предварительное отделение корня
, то есть установление промежутка, в котором других корней данного уравнения нет. Если функция определена и непрерывна вместе со своими производными и на отрезке , значения и функции на концах промежутка имеют разные знаки, то есть , и обе производные и сохраняют знак во всем промежутке , то на этом промежутке существует единственный корень.
Приближенное значение корня с заданной степенью точности можно вычислить методом хорд
по формуле:
(4)
где выбирают равным , если и имеют одинаковые знаки, то есть ; и , если ; - последовательные приближения, причем при или , если .
Вычислительная формула метода касательных
имеет вид
(5)
где выбирается так же, как и значение в методе хорд.
Вычисления приближений следует производить до тех пор, пока не начнут повторяться в ответе десятичные знаки числа (в соответствии с заданной степенью точности), для промежуточных результатов следует брать один-два запасных знака.
Пример 1.
Исследовать на экстремум функцию 
Решение.
Находим первую производную: Из уравнений и получаем точки, «подозрительные» на экстремум:  . Исследуем их, определяя знак первой производной слева и справа от каждой точки. Для наглядности результаты представим в виде таблицы изменения знака :
| 
|

|
0
|

|
1
|

|
2
|

|
| 
|
+
|
0
|
-
|

|
-
|
0
|
+
|
| 
|
возр.
|
max 0
|
убыв.
|
не опр.
|
убыв.
|
min 4
|
возр.
|
В первой строке указаны интервалы, на которые область определения функции разбивается точками , и сами эти точки. Во второй строке указаны знаки производной в интервалах монотонности. В третьей строке приведено заключение о поведении функции и ее значения в экстремальных точках.
Исследуемая функция, как следует из таблицы, имеет максимум в точке х
=0: у
(0)=0 и минимум точке х
=2: у
(2)=4. Точка х
=1 не является точкой экстремума, так как функция не определена в этой точке.
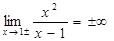
Пример 2.
Найти асимптоты функции .
Решение.
Точка х=1 является точкой разрыва функции. Так как , то прямая х
=1 служит вертикальной асимптотой данного графика.
Ищем наклонные асимптоты у=kx+
b
, используя формулы (2):


Таким образом, уравнение наклонной асимптоты имеет вид у=х+
1.
Пример 3.
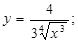
Построить график функции , используя общую схему исследования функции.
Решение.
1. Область определения: Функция не является симметричной и периодической. Находим предельные значения функции.

График функции имеет одну вертикальную асимптоту х
=1 и одну наклонную асимптоту у=х
+1 (см. пример 2). Он пересекает оси в точке (0,0).
2. Как было показано выше (см. пример 1), функция имеет один максимум при х
=0 и один минимум при х
=2.
3. Вторая производная ни в одной точке не равна нулю и обращается в бесконечность при х
=1. При переходе через точку х
=1 направление выпуклости изменяется (см. таблицу), но эта точка не является точкой перегиба, поскольку функция в ней не определена.
Учитывая полученные результаты, строим график функции (рис.1).

Рис.1. График функции
Пример 4.
Используя правило Лопиталя, вычислить предел функции:
Решение.
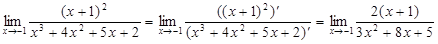
1. Подстановка предельного значения x
= –1 приводит к неопределенности вида 0/0. Раскроем ее с помощью правила Лопиталя (1):

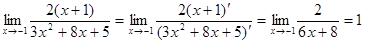
Однократное применение правила Лопиталя не приводит к раскрытию неопределенности (по прежнему получаем 0/0), поэтому применим его еще раз: 
Таким образом, в результате двукратного применения правила Лопиталя находим .
2. Убедившись, что имеет место неопределенность вида , применяем правило Лопиталя:
.
Пример 5.
С точностью до 0,01 найти все действительные корни уравнения .
Решение.
1.Обозначим через левую часть уравнения, т.е. .Установим промежутки, внутри которых находится один и только один корень уравнения. Так как , то, следовательно, функция возрастает на всей числовой оси , и график функции может пересекать ось Ох
не более чем в одной точке. Так как f
(0)=-3, а f
(1)=2,то искомый корень заключен в интервале (1,0).
2.Вычислим корень с заданной степенью точности. Сначала применим метод хорд. Так как в интервале (0;1), то c
=
b
=1 и находим значение .
x
1
= x
0
– – (c – x0
) = 0 – (1 – 0) = = 0,6.
Находим значение функции f
(x
) в точке x
1
=0,6:
f
(0,6) = (0,6)2
+ 4(0,6) – 3 = 0,216 + 2,4 – 3 = –0,384.
Так как f
(0,6)<0 и f
(1)>0, то искомый корень находится в интервале (0,6; 1). Находим значение x
2
:
х
2
= 0,6 – – (1 – 0,6) ≈ 0,6 + 0,064 = 0,664;
f
(x
2
) = f
(0,664) = (0,664)3
+ 4(0,664) – 3 ≈ –0,051.
Следовательно, искомый корень принадлежит интервалу (0,0664, 1).
x
3
= 0,664 – (1 – 0,664) ≈ 0,664 + 0,008 ≈ 0,671;
f
(x
3
) = f
(0,671) = (0,671)3
+ 4∙0,671 – 3 = 0,302 + 2,684 – 3 ≈ –0,0139;
x
4
= 0,671 – (1 – 0,671) = 0,673.
Проверка: .
Рассмотрим теперь метод касательных. Итак, уравнение имеет один корень в интервале (0,1). При этом в этом интервале и f
(1) . Следовательно, x
0
= 1 и
x
1
= x
0
– = 1 – = 0,714;
x
2
= x
1
– = 0,714 – = 0,674;
x
3
= x
2
– = 0,674 – =0,674.
Так как в найденных последовательных приближениях две цифры после запятой стали одинаковыми, то значение корня уравнения , вычисленное с точностью 0,01,равно 0,67.
КОНТРОЛЬНАЯ РАБОТА№ 6
ДИФФЕРЕНЦИАЛЬНОЕ ИСЧИСЛЕНИЕ ФУНКЦИЙ
НЕСКОЛЬКИХ ПЕРЕМЕННЫХ
Основные теоретические сведения
1. Частной производной
первого порядка функции нескольких переменных u = f(x,y,z)
по аргументу x
называется предел:
= 
Обозначаем , . Отыскание частной производной сводится к дифференцированию функции одной переменной u
(x
) = f
(x,y,z
) , полученной при фиксировании аргументов y
и z
: y
=
y
0
, z
=
z
0
.
2. Производной
функции u = f
(x
,
y
,
z
) в точке M(x
,
y
,
z
) в направлении
вектора = называется предел
= .
Если u
(x
,
y
,
z
) дифференцируемы, то производная в данном направлении вычисляется по формуле:
= ∙ + + ,
где α,β,γ – углы, образованные вектором с осями Ox, Oy, Oz.
Скалярным полем
U
называется скалярная функция точки М: U
=U
(M) вместе с областью ее определения.
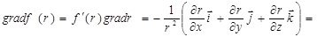
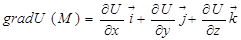
Градиентом
скалярного поля U
(M) называется векторная функция точки М, определяемая формулой
. (1)
Отметим следующее свойство градиента:
(2)
Градиентом
функции u
= f
(x,y,z
) в точке M(x,y,z
) называется вектор, выходящий из точки М и имеющий своими координатами частные производные функции u: grad u
= + + .
Градиент указывает направление наибыстрейшего изменения функции в данной точке и направлен по нормали к поверхности уровня функции u
.
Производная по направлению равна скалярному произведению gradU
и единичного вектора направления :
(3)
Если поверхность задана уравнением u
(x,y,z
)=0, то уравнение касательной плоскости в точке M(x
0,
y
0
,z
0
) имеет вид
м
+
м
+
м
= 0 ,
где м ,
м ,
м
- значение частных производных в точке М.
3. Если функция z
= f
(x
,
y
) дифференцируема, то ее полное приращение ∆f
(x
+∆x
, y
+∆y
) – f
(x
,y
) может быть приближенно заменено дифференциалом dz
= dx
+ dy
.
На этом основано приближенное равенство
f
(x
+∆x
, y
+∆y
) ≈ f
(x,y
) + df
(x,y
). (4)
Если Р – точное, а р – приближенное значение некоторой величины, то абсолютная погрешность ∆, относительная погрешность δ и относительная погрешность в процентах θ определяются по формулам:
∆ = ; δ = ; 0 = 100* δ% .
Пример 1.
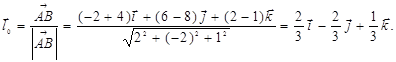
Найти градиент скалярного поля f
(r
)=1/r, где Вычислить производную этого поля в точке А(-4,8,1) по направлению вектора , где В(-2,6,2).
Решение.
Вычисляем градиент по формуле (2), используя соотношение (3):   
Найдем единичный вектор :
 
Теперь найдем производную поля f
(r
) по направлению вектора в точке А:


Пример 2.
Даны функции z
= f
(x
,
y
) = и две точки А(4;2) и В(4,03;1,96). Вычислить: 1) приближенное значение функции в точке В, исходя из ее значения в точке А в точке В дифференциалом; 2) значение функции в точке В, не прибегая к дифференциалу функции, и найти относительную погрешность в процентах, возникающую при замене приращения функции ее дифференциалом.
Решение.
1. Здесь z = ; следовательно,
= = ; = = .
Полагая х
=4, у
=2, получим в точке А: z
=f
(4;2)=3; A = ; A = ;
При ∆х
=4,03-4=0,03, ∆у
=1,96-2=-0,04 найдем дифференциал функции в точке А:
df
(x
,
y
) =  0.03+ (-0.04) =- ≈ - 0.0089.
Далее находим приближенное значение данной функции в точке В:
≈ 3- 0,0089=2,9911.
2. Вычислим теперь значение данной функции в точке В непосредственно:
≈ 2,9914.
В данном случае абсолютная погрешность формулы (4) равна ∆= = 0,0003; относительная погрешность δ = 0,003/ 2.9911 0.0001, или 0=0,01%.
Пример 4.
Найти наибольшее и наименьшее значения функции z= в замкнутой области, ограниченной осями координат и прямой x
+y
=5.
Решение.
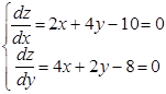
Область, в которой рассматривается данная функция, представляет собой треугольник АОВ. Найдем критические точки функции внутри этой области. Для этого найдем частные производные
=2x
+4y
-10; = 2y
+4x
-8 и решим систему уравнений: 
Получаем критическую точку Р(1;2), лежащую внутри рассматриваемой области. Граница рассматриваемой области состоит из трех отрезков, принадлежащих различным прямым, имеющим различные уравнения. Поэтому исследуем по отдельности каждый из этих отрезков. Отрезок ОА определяется уравнением у
=0 при дополнительном условии
0≤ х
≤5 . Функция z
является здесь функцией одной переменной: z
= -8y
+7.
Ее производная = 2y
-8 обращается в нуль в точке y
=4, лежащей внутри отрезка и являющейся критической точкой функции на этом отрезке.
Отрезок АВ определяется уравнением y
=5-x
при дополнительном условии 0 ≤ х
≤ 5 . Функция z
является здесь функцией одной переменной:
Z= + (5- + 4x
(5-x
)-10x
-8(5-x
) +7, или z
= - + 8x
– 8. Её производная = - 4x
+8 обращается в нуль в точке x
=2, лежащей внутри отрезка и являющейся критической точкой функции на этом отрезке. При этом y
= 5- 2=3.
Границами отрезков ОА, ОВ, АВ являются точки О (0;0), А(5;0) и В(0;5).
Итак точки, в которых данная функция принимает наибольшее и наименьшее значения в заданной области, находятся среди точек Р(1;2), Q(0;4), R(2;3), О(0;0), А(5;0), В(0;5).
Вычислим значения функций в этих точках:
z
(P) = z
(1; 2) = – 6; z
(Q) = z
(0; 4) = – 9; z
(R) = z
(2; 3) = 0;
z
(O) = z
(0; 0) = 7; z
(A) = z
(5; 0) = – 18; z
(B) = z
(0; 5) = – 8.
В вершине треугольника O (0; 0) функция имеет наибольшее значение: z
наиб
= z
(0; 0) = 7, а вершина треугольника A (5; 0) функция имеет наименьшее значение z
наим
= z
(5; 0) = -18.
ЗАДАЧИ ДЛЯ КОНТРОЛЬНЫХ ЗАДАНИЙ
КОНТРОЛЬНАЯ РАБОТА №4
1. Найти производные первого порядка, используя правила вычисления производных.
131. а) б) в) г) д) 
132. а) б) в) г) д) 
133. а) б) в) г) д) 
134. а) б) в) г) д) 
135. а) б) в) г) д)
136. а) б) в) г) д) 
137. а) б) в) г) д)
138.а) б) в) г) д)
139.а) б) в) г) д)
140.а) б) в) г) д)
2. Найти и для заданных функций.
141. 144.
142. 145. 
143. 146. 
147. 149. 
148. 150. 
3. Вычислить приближенно с помощью дифференциала.
151. Площадь круга, радиуса , 152.
153. 154.
155. 156.
157. Объём шара, радиуса , 158.
159. 160.
4. На линии найти точку, в которой касательная к этой линии параллельна прямой . Составить уравнение этой касательной. Сделать чертеж.
161. . 163. .
162. . 164. .
165. .
166-170. На линии найти точку, в которой касательная к этой линии перпендикулярна прямой . Составить уравнение этой касательной. Сделать чертеж.
166.  . 168. .
167. . 169. .
170. .
КОНТРОЛЬНАЯ РАБОТА №5
I. Вычислить предел функции при помощи правила Лопиталя.
191. 192. 
193. 194. 
195. 196. 
197. 198. 
199. 200. 
II. 201. Требуется изготовить из жести ведро цилиндрической формы без крышки данного объема V. Каковы должны быть высота ведра и радиус его дна, чтобы на его изготовление ушло наименьшее количество жести?
202. Равнобедренный треугольник, вписанный в окружность радиуса R, вращается вокруг прямой, которая проходит через его вершину параллельно основанию. Какова должна быть высота этого треугольника, чтобы тело, полученное в результате его вращения, имело наибольший объем?
203. Прямоугольник вписан в эллипс с осями 2а и 2b. Каковы должны быть стороны прямоугольника, чтобы его площадь была наибольшей?
204. Найти радиус основания и высоту цилиндра наибольшего объема, который можно вписать в шар радиуса R.
205. Найти радиус основания и высоту конуса наименьшего объема, описанного около шара радиуса R.
206. При каких линейных размерах закрытая цилиндрическая банка данной вместимости V будет иметь наименьшую полную поверхность?
207. Окно имеет форму прямоугольника, завершенного полукругом. Периметр окна равен а. При каких размерах сторон прямоугольника окно будет пропускать наибольшее количество света?
208. В точках А и В, расстояние между которыми равно а, находятся источники света соответственно с силами F1
и F2
. На отрезке АВ найти наименее освещенную точку М0
.
Замечание. Освещенность точки источником света силой F обратно пропорциональна квадрату расстояния r ее от источника света: Е = kF
/ r2
,
r = const.
209. Из круглого бревна, диаметр которого равен d
, требуется вырезать балку прямоугольного поперечного сечения. Каковы должны быть ширина и высота этого сечения, чтобы балка оказывала наибольшее сопротивление на изгиб?
Замечание. Сопротивление балки на изгиб пропорционально произведению ширины х
ее поперечного сечения на квадрат его высоты у: Q= kxy2
, k
= const.
210. Требуется изготовить открытый цилиндрический бак данного объема V. Стоимость квадратного метра материала, идущего на изготовление дна бака, равна р1
рублей, а на изготовление стенок - р2
рублей. Каковы должны быть радиус дна и высота бака, чтобы затраты на материал для его изготовления были наименьшими?
3. Исследовать методами дифференциального исчисления функцию и, используя результаты исследования, построить ее график.
211. 212. 
213. 214. 
215. 216. 
217. 218.
219. 220. 
4. Определить количество действительных корней уравнения х3
+ ах +
b
= 0, отделить эти корни и, применяя метод хорд и касательных, найти их приближенное значение с точностью до 0,0001.
221. a
= 0,29 , b
= 0,32. 222. a
= 0,43 , b
= 0,46. 223. a
= 0,55 , b
= 0,58.
224. a
= 0,61 , b
= 0,63. 225. a
= 0,11 , b
= 0,14. 226. a
= 0,15 , b
= 0,18.
227. a
= 0,27 , b
= 0,30. 228. a
= 0,80 , b
= 0,83. 229. a
= 0,33 , b
= 0,36
230. a
= 0,49 , b
= 0,52.
КОНТРОЛЬНАЯ РАБОТА№ 6
1. Найти градиент скалярного поля где 
Вычислить производную поля в точке А по направлению вектора 
231. А
(-1;2;-2), В
(2;6;-2); 232. А
(-1;2;2), В
(2;2;6).
233. А
(-2;2;-1), В
(-2;6;2); 234. А
(-1;-2; 2), В
(2;-6;2).
235. А
(2;2;1), В
(6;2:-2); 236. А
(-2;1;2), В
(-2;-2;6).
237. А
(1;2;2), В
(-2;6;2); 238. А
(1;-2;-2), В
(-2;-2;-6).
239. А
(2;-2;1), В
(2;-6;-2); 240. А
(1;-2;2), В
(-2;-6;2).
2. Даны функции и две точки А
(х
0
, у
0
) и В
(х
1
, у
1
). Требуется: 1) вычислить приближенное значение ее в точке А
и заменив приращение функции при переходе от точки А
к точке В
дифференциалом; 2) вычислить точное значение функции в точке В
; 3) оценить в процентах относительную погрешность, возникающую при замене приращения функции дифференциалом; 4) составить уравнение касательной плоскости к поверхности в точке С
(x
0
,y
0
,z
0
).
241. z =
2x2
+ y2
+ x –
3y
; A
(2;-1), B
(2,02; 0,99).
242. z
= x2
– y2
+
5x
+ 4y
; A
(3;2), B
(3,02; 1,98).
243. z = xy +
4x
– 3y
; A
(4;-3), B
(3,98; -3,03).
244. z =
3y2
–
9xy + y; A
(1;3), B
(1,07; 2,94).
245. z = x2
+
3xy – y2
; A
(1;3), B
(0,96; 2,95).
246. z = xy +
2x – y; A
(2;2), B
(1,93; 2,05).
247. z
= 2x2
+ 3xy
+ y
2
; A
(1;2), B
(0,96; 1,95).
248. z = 2y
2
+ 9xy
+ y
; A
(3;1), B
(2,94; 1,07).
249. z = xy +
2y2
–
2x; A
(1;2), B
(0,97; 2,03).
250. z = x2
+ y2
+ y
; A
(-2;2), B
(-2,03; 2,04).
3. Найти наибольшее и наименьшее значение функции 
в замкнутой области, ограниченной заданными линиями.
251. z =x
2
+2xy
– 10; y
= 0, y
= x
2
– 4. 252. z = x2
+ xy
– 2; y
= 0, y =4x
2
– 4.
253. z = xy -
2x –y
; x
= 0, y
=0, x
=3, y
= 4. 254. z = x3
+ y3
– 3xy
; x
= 0, y
=0, x
=2, y
=3.
255. z = x2
+
2xy
– y
2
– 4x
; y
=0, x
=3, y
=x
. 256. z =
5x2
– 3xy
+ y
2
+4; x
= 0, y
=0, x + y
=2.
257. z = x2
-
2y
2
+4; x2
+ y2
= 1. 258. z = x2
+ xy –
3x
– y
; x
= 0, y
=0, x
=2, y
=3.
259. z
= x
2
- xy
; y
= x
2
, y
= 3. 260. z =
5x
2
– 3xy
+y
2
; x
= -1 , x
=1, y
=- 1, y
=1.
4. Экспериментально получены пять значений функции при пяти значениях аргумента, которые записаны в таблице:
| x
|
1
|
2
|
3
|
4
|
5
|
| y
|
y1
|
y2
|
y3
|
y4
|
y5
|
Методом наименьших квадратов найти функцию вида , выражающую приближенно (аппроксимирующую) функцию . Сделать чертеж, на котором в декартовой прямоугольной системе координат построить экспериментальные точки и график функции .
251. y
1
= 4, 2; y
2
=5, 2; y
3
= 3, 7; y
4
= 1, 7; y
5
= 2, 2;
252. y
1
= 4, 3; y
2
= 5, 2; y
3
= 4, 1; y
4
= 2, 1; y
5
= 2, 3;
253. y
1=
4, 6; y
2
= 5, 6; y
3
= 4, 1; y
4
= 2, 1; y
5
= 2, 6;
254. y
1
= 4, 8; y
2
= 5, 8; y
3
= 4, 3; y
4
= 2, 3; y
5
= 2, 8;
255. y
1
= 5, 2; y
2
= 6, 2; y
3
= 4, 7; y
4
= 2, 7; y
5
= 3, 2;
256. y
1
= 3, 7; y
2
= 4, 7; y
3
= 3, 2; y
4
= 1, 2; y
5
= 1, 7;
257. y
1
= 5, 0; y
2
= 6, 0; y
3
= 4, 5; y
4
= 2, 5; y
5
= 3, 0;
258. y
1
= 5, 6; y
2
= 6, 6; y
3
= 5, 1; y
4
= 3, 1; y
5
= 3, 6;
259. y
1
= 5, 7; y
2
= 6, 7; y
3
= 5, 2; y
4
= 3, 5; y
5
= 3, 7;
260. y
1
= 5, 7; y
2
= 6, 9; y
3
= 5, 0; y
4
= 3, 4; y
5
= 3, 9;
Таблица вариантов
| Вариант
|
Номера контрольных заданий
|
| 1
|
2
|
3
|
| 1
2
3
4
5
6
7
8
9
0
|
131 141 151 161
132 142 152 162
133 143 153 163
134 144 154 164
135 145 155 165
136 146 156 166
137 147 157 167
138 148 158 168
139 149 159 169
140 150 160 170
|
181 191 201 211
182 192 202 212
183 193 203 213
184 194 204 214
185 195 205 215
186 196 206 216
187 197 207 217
188 198 208 218
189 199 109 219
190 200 210 220
|
221 231 241 251
222 232 242 252
223 233 243 253
224 234 244 254
225 235 245 255
226 236 246 256
227 237 247 257
228 238 248 258
229 239 249 259
230 240 250 260
|
Рекомендуемая литература
При изучении курса математики может быть использована следующая литература.
1. Пискунов Н.С. Дифференциальные и интегральные исчисления для втузов. - М..: Высшая школа, 2008. –Т1.
2. Бугров Я.С., Никольский С.М. Высшая математика. Дифференциальные и интегральные исчисления. - М..: Наука, 2004.
4. Шипачев В.С. Задачник по высшей математике. - М..: Высшая школа, 2008.
5. Данко П.Е., Попов А.Г., Кожевникова Т.Я. Высшая математика в упражнениях и задачах. -М..: Наука, 2008. –Ч1.
6. Письменный Д.Т. Конспект лекций по высшей математике. – М.: Рольф, 2007. – Т1.
Содержание
ВВЕДЕНИЕ……………………………………………………………..... 2
КОНТРОЛЬНАЯ РАБОТА №4…………………………………………. 3
КОНТРОЛЬНАЯ РАБОТА №5…………………………………………. 7
КОНТРОЛЬНАЯ РАБОТА №6…………………………………………14
Задания для контрольных работ………………………………………… 19
Рекомендуемая литература…………………………………………….. 27
ВЫСШАЯ МАТЕМАТИКА
ЧАСТЬ 2
Методические указания и контрольные задания
к выполнению контрольных работ №4,5,6
для студентов
специальности 290300 заочной формы обучения
Составили: СИМАНОВИЧ Арнольд Антонович
ПРИЯТКИНА Юлия Валерьевна
Рецензент Т.Д. Побежимова. каф. УИТ В.П. Бирюков Редактор Л.В. МаксимоваЛ.В. Максимова
Подписано в печать Формат 60х84 1/16
Бумага тип Усл. печ. л. Уч. – изд. л.
Тираж 100 экз. Заказ Бесплатно
Саратовский государственный технический университет
410054, г. Саратов, ул. Политехническая, 77
Копипринтер БИТТиУ, 413840, г.Балаково, ул.Чапаева, 140
|