
|
МИНИСТЕРСТВО СЕЛЬСКОГО ХОЗЯЙСТВА РОСИЙСКОЙ ФЕДЕРАЦИИ
Федеральное государственное образовательное учреждение высшего пРофессионального образования российский государственный аграрный университет – МСха
имени К.А. Тимирязева
(ФГОУ ВПО ргау - МСХА
имени К.А. Тимирязева)
|
Экономический факультет
Кафедра экономической кибернетики
Б.В. Лукьянов
МЕТОДИЧЕСКИЕ УКАЗАНИЯ
К НАПИСАНИЮ КУРСОВОГО ПРОЕКТА
дисциплины «Информационные технологии в экономике»
Направление – 080100 «Экономика»
Специальность – 080116 «Математические методы в экономике»
Специализация – «Информационные технологии в АПК»
Курс: III – IV
Семестры: VI - VII
Москва 2011
СОДЕРЖАНИЕ
ВВЕДЕНИЕ……..……………………………….…………………..……… 3
I. ОБЩЕЕ ТИПОВОЕ ЗАДАНИЕ «Совершенствование информационных технологий в управлении сельскохозяйственным (агропромышленным) производством» ..…………………… 4
II. ВЫПОЛНЕНИЕ КУРСОВОГО ПРОЕКТА ..………..……… 5
III. ВАРИАНТЫ ЧАСТНЫХ ЗАДАНИЙ ДЛЯ КУРСОВОГО ПРОЕКТА ………………………………………………………….….…… 32
ВВЕДЕНИЕ
Целью курсового проекта является закрепление и развитие студентами знаний методов и приёмов повышения эффективности сельскохозяйственного производства посредством совершенствования информационных технологий.
Интенсификация и эффективность сельскохозяйственного производства в развитых странах мира обеспечивается сегодня наряду с разработкой новых технологий производственных процессов совершенствованием информационных технологий в управлении этими процессами. И нередко именно внедрение новых информационных технологий становится основным фактором повышения эффективности производства.
Применение несовершенных информационных технологий при управлении сельскохозяйственным производством влечет за собой недоиспользование производственного потенциала предприятий, потенциальной продуктивности животных и растений, повышение издержек производства. В возможности совершенствования информационных технологий заключены существенные резервы сельскохозяйственного производства.
Под
информационной технологией
понимается описание правил и средств выполнения работы по получению, регистрации, передаче, хранению и преобразованию информации с целью получения результирующего информационного объекта (управленческого решения, производственного задания, документа, значения показателя и пр.).
Методические указания предназначены для студентов экономического факультета специальности «Математические методы в экономике», но может быть использовано и для других экономических специальностей, а также на технологических факультетах, в частности, при подготовке бакалавров специальности «Технология продуктов питания».
Забиваем Сайты В ТОП КУВАЛДОЙ - Уникальные возможности от SeoHammer
Каждая ссылка анализируется по трем пакетам оценки: SEO, Трафик и SMM.
SeoHammer делает продвижение сайта прозрачным и простым занятием.
Ссылки, вечные ссылки, статьи, упоминания, пресс-релизы - используйте по максимуму потенциал SeoHammer для продвижения вашего сайта.
Что умеет делать SeoHammer
— Продвижение в один клик, интеллектуальный подбор запросов, покупка самых лучших ссылок с высокой степенью качества у лучших бирж ссылок.
— Регулярная проверка качества ссылок по более чем 100 показателям и ежедневный пересчет показателей качества проекта.
— Все известные форматы ссылок: арендные ссылки, вечные ссылки, публикации (упоминания, мнения, отзывы, статьи, пресс-релизы).
— SeoHammer покажет, где рост или падение, а также запросы, на которые нужно обратить внимание.
SeoHammer еще предоставляет технологию Буст, она ускоряет продвижение в десятки раз,
а первые результаты появляются уже в течение первых 7 дней.
Зарегистрироваться и Начать продвижение
В качестве рабочего инструмента для выполнения курсового проекта выступают персональные компьютеры и компьютерные программы:
o Табличный процессор (в частности, Microsoft Excel)
o КОРАЛЛ – Кормление молочного скота
o КОРАЛЛ – Кормление выращиваемого скота
o КОРАЛЛ – Кормление свиней
o КОРАЛЛ – Кормление птицы
o КОРАЛЛ – Кормление овец
o КОРАЛЛ – Ферма КРС
o КОРАЛЛ – Кормовая база
o Другие компьютерные программы, автоматизирующие процессы управления в АПК.
При написании курсового проекта использовать данные, собранные на организационно-технологической практике.
I. ОБЩЕЕ ТИПОВОЕ ЗАДАНИЕ
«Совершенствование информационных технологий в управлении сельскохозяйственным (агропромышленным) производством»
1. Выбрать технологический процесс, бизнес-процесс или процесс административного управления в сельскохозяйственной (или перерабатывающей) организации. Описать выбранный процесс, нарисовать его блок-схему. Перечислить используемые управленческие решения или/и показатели управленческого учета.
2. Описать систему управления процессом и процедуру формирования управленческого(их) решения(ий) или показателей управленческого учета; привести схему информационных связей.
3. Выполнить структурированное описание информационной технологии формирования управленческого решения или/и показателя управленческого учета (одного или нескольких).
4. Выполнить качественный и количественный анализ применяемой в организации информационной технологии. Выявить погрешности и неопределённости, ведущие к неопределённости управленческого решения (показателя управленческого учета).
5. Вычислить интервал неопределённости решения (показателя).
6. Оценить информационно-технологические потери и информационные риски.
7. Выполнить структуризацию неопределённости управленческого решения или вычисляемого показателя по источникам неопределённости.
8. Разработать рекомендации и мероприятия по совершенствованию применяемой информационной технологии.
9. Выполнить структурированное описание предлагаемой информационной технологии.
10. Оценить экономическую эффективность предлагаемой модернизации информационной технологии (по снижению информационного риска или информационно-технологических потерь).
II. ВЫПОЛНЕНИЕ КУРСОВОГО ПРОЕКТА
1. При выполнении п.п. 1 и 2 Задания использовать данные организации, в которой проходила организационно-технологическая практика; знания, полученные при изучении технологических дисциплин, организации сельскохозяйственного производства, управления технологическими процессами.
Сервис онлайн-записи на собственном Telegram-боте
Попробуйте сервис онлайн-записи VisitTime на основе вашего собственного Telegram-бота:
— Разгрузит мастера, специалиста или компанию;
— Позволит гибко управлять расписанием и загрузкой;
— Разошлет оповещения о новых услугах или акциях;
— Позволит принять оплату на карту/кошелек/счет;
— Позволит записываться на групповые и персональные посещения;
— Поможет получить от клиента отзывы о визите к вам;
— Включает в себя сервис чаевых.
Для новых пользователей первый месяц бесплатно.
Зарегистрироваться в сервисе
В качестве примера на рис. 1 приведена блок-схема бизнес-процесса «Кормление» для лактирующей коровы.
При управлении кормлением сельскохозяйственных животных основным управленческим решением является рацион.
Рацион представляет собой перечень масс кормов, которые следует скормить животному в течение суток. Рацион составляют на основании норм кормления. При определении норм кормления для лактирующей коровы исходными данными являются: масса коровы, масса суточного удоя и жирность молока.
На схеме использованы следующие обозначения:
 

Рис. 1. Блок – схема бизнес-процесса «Кормление» для лактирующей коровы
Планирование рациона с применением экономических критериев оптимизации заключается в подборе такого набора кормов, который обеспечит производство молока с максимальной экономической эффективностью (обеспечит получение максимальной прибыли или достижение максимального уровня рентабельности производства).
Рацион как управленческое решение подается в систему кормоприготовления (кормосмеситель) и систему кормораздачи (кормораздатчик). В этих технологических системах управленческое решение преобразуется в управляющие воздействия на дозирующие механизмы кормосмесителя («Процентный состав») и кормораздатчика («Масса»).
В информационной технологии управления кормлением лактирующей коровы присутствует информационный процесс «Коррекция». Наличие этого процесса связано с изменчивостью характеристик коровы и кормов как биологических объектов.
Масса коровы после ее взвешивания не остается постоянной и к тому дню, на который планируется рацион, как правило, отличается от зарегистрированной в журнале взвешивания. Изменение массы коровы во времени связано с изменением ее физиологического состояния и с определенной точностью может быть спрогнозировано.
Кривой лактации предопределяется изменение массы суточного удоя. При знании закономерности изменения суточных удоев коровы во времени информация по удою может быть скорректирована, и точность планирования рациона повышена.
Питательность кормов также не остается постоянной во времени, и с учетом дня кормления данные лабораторного анализа могут быть скорректированы.
2. Для структурированного описания информационной технологии рекомендуется использовать следующие структурные элементы:
1) Результирующий информационный объект.
2) Информационная работа.
3) Концепция информационной технологии.
4) Входная информация.
5) Информационные процессы.
6) Схема связей информационных процессов.
7) Модели, используемые в информационных процессах.
8) Алгоритмы выполнения информационных процессов.
9) Средства выполнения информационной работы.
10) Сценарий диалога «Пользователь – ЭВМ».
Результирующий информационный объект
(РИО) – это итоговый информационный продукт выполнения информационной работы.
Информационная работа
– это совокупность действий по получению, регистрации, передаче, хранению и преобразованию информации с целью получения результирующего информационного объекта.
Концепция информационной технологии
– описание основных принципов выполнения информационной работы (условий и процесса получения результирующего информационного объекта).
Входная информация
– внешние по отношению к рассматриваемой информационной работе данные, необходимые для получения РИО.
Информационный процесс
(ИП) – относительно самостоятельный элемент информационной работы, характеризуемый наличием входной и выходной информации.
В информационных процессах выделяют элементарные информационные процессы.
Элементарный информационный процесс
(ИПЭ) - информационный процесс, деление которого на более мелкие процессы в рамках описываемой информационной технологии нецелесообразно.
Схема связей информационных процессов (или структурная схема информационной работы)
– схема, отображающая связи всех входов и выходов информационных процессов рассматриваемой информационной работы.
Модель, используемая в информационном процессе
– математическое или логическое описание выходного информационного объекта, достаточное для разработки алгоритма его получения.
Алгоритм выполнения информационного процесса
– описание выполнения информационного процесса.
Средства выполнения информационной работы
– аппаратные, программные и другие средства, использование которых обеспечивает выполнение алгоритмов информационных процессов и получение РИО.
Сценарий диалога «Пользователь – ЭВМ»
– эталонные примеры использования диалоговых средств, предусматриваемых в данной информационной технологии.
Пример.
Описание информационной технологии экономической оптимизации суточного рациона для лактирующей коровы.
1) Результирующий информационный объект:
Рецепт рациона (рацион), представляющий собой перечень кормов с указанием масс, которые следует скормить животному в течением суток.
2) Информационная работа:
· По характеристикам коровы и способу её содержания определить суточную потребность коровы в компонентах питания (определить нормы кормления).
· Составить рацион, обеспечивающий максимальную прибыль от конверсии корма в продукцию (оптимальный рацион).
· С помощью аналитических таблиц и диаграмм отобразить зоотехнические и экономические характеристики рациона.
3) Концепция информационной технологии:
· Расчёт норм кормления, оптимизацию рациона и составление аналитических таблиц и диаграмм автоматизировать посредством разработки специальной компьютерной программы.
· Оптимизацию рациона выполнить с учётом потерь, вызываемых отклонением питательности рациона от норм кормления.
· Основным техническим средством выполнения информационной работы должен быть персональный компьютер.
4) Входная информация:
· Характеристики коровы: возраст, масса, удой, жирность молока, упитанность; способ содержания.
· Перечень кормов, которые могут быть включены в рацион.
· Ограничения на суточные дачи кормов.
· Питательность кормов.
· Продукционная стоимость коровы (как средства производства молока), стоимость приплода, цены на молоко и корма.
· Функции потерь от нарушения плана расходования кормов.
5) Информационные процессы



Рис. 2. Иерархическая схема информационных процессов
6) Схема связей информационных процессов,
рис. 3:
  
7) Модели, используемые в информационных процессах
7.1. Модель вычисления норм кормления (ИПЭ 1.1)
Суточные нормы кормления для лактирующих коров
М – масса коровы, кг;
У – суточный удой при жирности молока 4%, кг;
К1, К2 – промежуточные расчётные коэффициенты:
К1 = (1)
2.05 + 0.005 * М + 0.5 * У , при У <= 20
К2 = (2)
– 0.72 + 0.005* М + 0.641 * У, при У > 20
Энергетические кормовые единицы: ЭКЕ = 1.2+0.00914*M+0.57*У (3)
Обменная энергия: ОЭ = 12 + 0.0914 * М + 5.7 * У (4)
Сухое вещество: СВ = 0.8 + 0.017 * М + 0.4 * У (5)
Сырой протеин: сП = -235 + 175 * К2 (6)
Переваримый протеин: пП = -250.4 + 124 * К2 (7)
Расщепляемый протеин: рП = сП * К1 / (К1 + 1) (8)
Нерасщепляемый протеин: нП = сП - рП (9)
Лизин: Лиз =7.32*exp(-2.83E-8*М^2+0.758*LogeМ-2.143)+1.112*У (10)
Метионин: Мет = exp(0.751 * Loge(М) - 3.333) * 12 + 0.568 * У (11)
Триптофан: Тр = Лиз * 0.3584 (12)
Сырая клетчатка: сК = (300 + 0.03* М - 4* У ) * СВ (13)
Крахмал: Кр = -1017.6 + 231 * К2 (14)
Сахара: Сах = -611.2 + 147 * К2 (15)
Сырой жир: сЖ = -180.4 + 49 * К2 (16)
Натрий: Na = 0.015 * М + 1.2 * У (17)
Хлор: Cl = Na * 1.9 (18)
Кальций: Ca = 0.05 * М + 4 * У (19)
Фосфор: P = 0.03 * М + 3 * У (20)
Магний: Mg = 0.0307 * М + 0.584 * У (21)
Калий: K = 0.08 * М + 3.5 * У (22)
Сера: S = 0.03 * М + У (23)
Железо: Fe = 80 * К2 (24)
Медь: Cu = -19.76 + 10.6 * К2 (25)
Цинк: Zn = -184.2 + 77 * К2 (26)
Кобальт: Co = -1.188 + 0.78 * К2 (27)
Марганец: Mn = -184.2 + 77 * К2 (28)
Йод: I = -3.168 + 1.08 * К2 (29)
Каротин: Кар = -41.49 + 47.03 * К2 (30)
Витамин D: D = К2 (31)
Витамин Е: E = 40 * К2 (32)
7.2. Модель рациона (ИПЭ 1.2)
Ограничения на суточные дачи кормов
xj
Î [xмин
j
, xмакс
j
] (33)
Множество кормов в рационе
X
= {xj
| xмин
j
≤ xj
≥ xмакс
j
, j Î [1, M]} (34)
где xj
– масса j-го корма в рационе (независимая переменная);
xмин
j
, xмакс
j
– минимально и максимально допустимые массы j-го корма в рационе;
M – количество кормов в рационе.
7.3. Модель дисбаланса рациона по питательности (ИПЭ 1.3)
Содержание питательных веществ в рационе
M
кпi
= ∑
vij
* xj
(35)
j
=1
где кпi
– содержание i-го компонента питания в рационе ( i Î [1, N] );
vij
– содержание i-го компонента питания в единице j-го корма ( j Î [1, M] );
xj
– масса j-го корма в рационе (независимая переменная);
N – количество нормируемых компонентов питания;
M – количество кормов в рационе.
Значения контролируемых в рационе соотношений
скk
= fk
(КП,
X
,
Мрац
) (36)
где скk
– значение k-го контролируемого соотношения ( k Î [1, L] );
fk
– функция, которой описывается k-е соотношение;
КП –
множество нормируемых компонентов питания;
X
–
множество кормов, входящих в рацион;
Мрац
–
масса рациона;
L – количество нормируемых соотношений.
Дисбаланс рациона по
компонентам питания
∆кпi
= кпi
- кпi
н
ai
= кпi
/ кпi
н
где ∆кпi
– отклонение от нормы содержания в рационе i-го компонента питания;
кпi
н
– норма питательности рациона по i-тому компоненту питания;
ai
– относительное значение i-го компонента питания.
Дисбаланс рациона по
соотношениям
∆скk
= скk
- скk
н
ak
= скk
/ скk
н
где ∆скk
– отклонение от нормы k-го контролируемого соотношения;
скk
н
– норма k-го соотношения;
ak
– относительное значение k-го соотношения.
7.4. Модель потерь, обусловленных дисбалансом рациона и отклонениями от плана расходования кормов (ИПЭ 1.4)
K
N L
M
П = ∑
( ∑
ypi
(ai
) + ∑
ypk
(ak
)) + ∑
yj
(aj
) (37)
p
=1
i
=1
k
=1
j
=1
где П – сумма потерь, обусловленных дисбалансом рациона и отклонениями от плана расходования кормов;
K – количество учитываемых видов потерь;
N – количество нормируемых компонентов питания;
L – количество нормируемых соотношений;
M – количество кормов в рационе;
ypi
(ai
) – потери p-го вида, вызываемые отклонением от нормы i-го компонента питания (p Î [1, K]; i Î [1, N] );
ai
– относительное значение i-го компонента питания
ypk
(ak
) – потери p-го вида, вызываемые отклонением от нормы k-го нормируемого соотношения ( p Î [1, K]; k Î [1, L] );
aq
– относительное значение q-го нормируемого или планируемого элемента.
yj
(aj
) – потери, вызываемые отклонением от нормы включения в рацион j-го корма (j Î [1, M );
aj
– относительное содержание в рационе j-го корма.
7.5. Модель стоимости рациона (ИПЭ 1.5)
M
Срац
= ∑
Скорма
j
j
=1
где Срац
– общая стоимость кормов, входящих в рацион (стоимость рациона);
Скорма
j
– стоимость j-го корма в рационе:
Скорма
j
= Цпj
* xj
при xj
Î [0, Mплj
]
Скорма
j
= Цпj
* Mплj
+ Цзj
* (xj
- Mплj
) при xj
Î (Mплj
, Ммаксj
]
Цпj
– цена имеющегося в наличии («планового») j-го корма;
Цзj
– «кассовая» цена j-го корма для случая его закупки;
Mплj
– план расходования j-го корма на одну гол. в сутки;
Ммаксj
– максимально допустимое содержание j-го корма в рационе.
Под «кассовой» ценой корма понимается сумма цены закупки корма и накладных расходов предприятия, связанных с закупкой.
7.6. Модель оптимальности рациона (ИПЭ 1.6)
Прибыль, обеспечиваемая рационом
ПР =
СБ
прод
–
П –
Срац
= ПРмакс
(38)
где ПР –
прибыль, обеспечиваемая рационом, руб./(гол.*сут);
ПРмакс
– максимальная прибыль, обеспечиваемая рационом, которую можно получить при заданном наборе кормов;
СБ
прод
- стоимость продукции, которая может быть получена от животного за одни сутки при кормлении, соответствующем нормам, руб/(гол*сут);
П –
потери, связанные с применением рациона, руб./(гол.*сут);
Срац
– стоимость рациона, руб./(гол.*сут).
Поскольку СБ
прод
не зависит от фактического рациона, достижение максимальной прибыли при оптимизации рациона может быть выражено минимумом издержек:
(П + Срац
) = (П + Срац
)мин
(39)
где (П + Срац
)мин
– минимальные издержки, возможные при рационе из заданного набора кормов.
7.7. Модели аналитических таблиц и диаграмм сбалансированности рациона (ИПЭ 2.1)
Модели информационного процесса «Отображение сбалансированности рациона в аналитических таблицах и диаграммах» представлены в виде макетов соответствующих таблиц и графиков (рис. 4 – 7).

Рис. 4. Макет таблицы «Сбалансированность рациона по компонентам питания»

Рис. 5. Макет диаграммы «Сбалансированность рациона по компонентам питания»

Рис. 6. Макет таблицы «Сбалансированность рациона по соотношениям»

Рис. 7. Макет диаграммы «Сбалансированность рациона по соотношениям»
7.8. Модели аналитических таблиц и диаграмм потерь, вызываемых дисбалансом рациона (ИПЭ 2.2)

Рис. 8. Макет таблицы «Потери по дисбалансу компонентов питания»

Рис. 9. Макет диаграмм «Структура потерь, вызываемых дисбалансом компонентов питания: сумма потерь, по продуктивности, по ценности животного, по воспроизводству»

Рис. 10. Макет таблицы «Потери по дисбалансу соотношений»

Рис. 11. Макет диаграмм «Структура потерь, вызываемых дисбалансом соотношений: сумма потерь, по продуктивности, по ценности животного, по воспроизводству»
7.9. Модели экономических показателей рациона и аналитических диаграмм (ИПЭ 2.3)

Рис. 12. Макет экранного окна с экономическими показателями рациона
Часть показателей, отображаемых в информационном процессе ИПЭ 2.3, пересылаются из других процессов. Вычислению подлежат показатели:
· цена кормосмеси (Цкс
): Цкс
= Срац
/ Мрац
; Мрац
– масса рациона
· сбалансированность (СБ): СБ = (1 – П / СБ
прод
) * 100
· прибыль (ПР): ПР = СБ
прод
– (П + Срац
)
· уровень рентабельности (Р): Р = ПР / (Срац
+ Пцж
)
· стоимость продукции, обеспечиваемой рационом (Спрод
):
Спрод
= СБ
прод
– (Ппрод
+ Пвоспр
)
· обеспечиваемый удой (Уоб
): Уоб
= Упот
– Ппрод
/ Цмол
,
где Упот
–
суточный удой, который может быть получен от коровы при полностью сбалансированном рационе;
Цмол
– цена молока
· обеспечиваемая оплата корма продукцией (ОК): ОК = Спрод
/ Срац
· ЭКЕ на производство молока: ЭКЕрац
/ Уоб
; ЭКЕрац
– содержание энергетических кормовых единиц в рационе.

Рис. 13. Макет диаграмм «Структура стоимости рациона»
и «Структура цены кормосмеси»

Рис. 14. Макет диаграммы «Структура стоимостных показателей»
8) Алгоритмы выполнения информационных процессов
8.1. Вычисление норм кормления (ИПЭ 1.1)
Прямой счет по формулам п. 7.1.
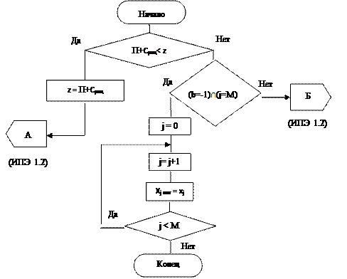
8.2. Генерация текущего рациона (ИПЭ 1.2), рис. 15:
Рис. 15. Блок-схема алгоритма «Генерация текущего рациона»
8.3. Вычисление дисбаланса рациона по питательности (ИПЭ 1.3)
Рис. 16. Блок-схема алгоритма «Вычисление дисбаланса рациона по питательности»
8.4. Вычисление потерь (ИПЭ 1.4)
Рис. 17. Блок-схема алгоритма «Вычисление потерь»
8.5. Вычисление стоимости рациона (ИПЭ 1.5)
Рис. 18. Блок-схема алгоритма «Вычисление стоимости рациона»
8.6. Определение оптимальности рациона (ИПЭ 1.6)
Рис. 19. Блок-схема алгоритма «Определение оптимальности рациона»
8.7. Анализ рациона (ИПЭ 2.1 - ИПЭ 2.4)
Построение таблиц и диаграмм выполняется по макетам, представленным в разделе 7. Вычисление экономических показателей производится прямым счётом по формулам, приведённым в разделе 7.9.
9) Средства выполнения алгоритмов
· Персональный компьютер.
10) Сценарий диалога «Пользователь – ЭВМ»
Представлен макетами диалоговых окон на рис. 20 – 25.
Рис. 20. Диалоговое окно ввода исходных данных
Рис. 21. Диалоговое окно выбора кормов для расчёта
Рис. 22. Задание функции потерь от нарушения плана расходования кормов

Рис. 23. Выбор критерия оптимизации и запуск расчёта

Рис. 24. Диалоговое окно сохранения результатов расчёта

Рис. 25. Диалоговое окно анализа рациона
3.
При анализе применяемой в организации информационной технологии следует рассмотреть погрешности и неопределённости исходных данных, используемых моделей и алгоритмов, средств обработки информации.
4.
Для вычисления интервала неопределённости формируемого решения или вычисляемого показателя рекомендуется использовать метод интервального анализа.
5.
Информационно-технологические потери и информационные риски, обуславливаемые рассматриваемой информационной технологией, оцениваются на основе найденного интервала неопределённости решения (вычисляемого показателя).
Решения по управлению производственными процессами всегда имеют некоторую неопределенность в оценке их оптимальности, обусловленную неполнотой и неточностью знания, на основании которого они принимаются. Отклонения принимаемых решений от фактически оптимальных влекут за собой возникновение информационно-технологических потерь (ИТП) и снижение эффективности управления производством. Чем дальше оказалось принимаемое решение от оптимального, тем больше потери. Чем больше неопределенность решений, тем значительнее их возможные отклонения от оптимальных и тем ниже эффективность управления.
ИТП сельскохозяйственного производства проявляются через избыточные затраты труда и технологических ресурсов (энергии, удобрений, кормов и др.); недополученную продукцию; убытки из-за заниженного качества продукции; снижение потенциала сельскохозяйственного производства – плодородия почвы, продуктивности сельскохозяйственных животных; ухудшение экологических условий производства и среды обитания человека; ускоренный износ техники и т. п.
ИТП снижаются при уменьшении интервала (области) оптимального решения.
Управленческое решение, в общем случае, описывается вектором независимых переменных
, а информационно-технологические потери определяются через отклонения от оптимальных значений технологических переменных.
Технологические переменные характеризуют результат воздействия управленческого решения на объект управления. Они определяется через независимые переменные.
Например, при управлении кормлением животных рацион является управленческим решением. Массы кормов в рационе – значения независимых переменных. Технологическими переменными являются количества компонентов питания в рационе, определяемые через массы кормов рациона.
Пример зависимости ИТП от относительного значения технологической переменной (тп) представлен на рис. 26. Эта зависимость называется функцией потерь
.
тп = тпабс
/ тпопт
,
где тпабс
– абсолютное текущее значение технологической переменной;
тпопт
– оптимальное значение технологической переменной.

Рис. 26. Пример функции потерь
Поскольку оптимальное решение может находиться в любой точке интервала неопределенности, и точка эта остается неизвестной, то определить достоверно ИТП при данном принимаемом решении не представляется возможным. Можно лишь оценить их величину, которой они достигли бы при самом неблагоприятном стечении обстоятельств. Как правило, этому соответствует нахождение оптимального решения на границе интервала оптимального решения.
ИТП, возникающие при исполнении текущего решения в случае нахождения оптимального решения на границе интервала оптимального решения называются граничными ИТП решения.
На рис. 27 представлены зависимости информационно-технологических потерь ИТП
от принимаемого решения D
при нахождении оптимального решения на границах интервала неопределенности. Границам интервала соответствуют решения D
1
и D
2
. Зависимость ИТП1
(
D
)
построена в предположении, что оптимальное решение находится на нижней границе D
1
интервала неопределенности (1-я гипотеза). Зависимость ИТП
2(
D
)
построена в предположении, что оптимальное решение находится на верхней границе D
2
интервала неопределенности (2-я гипотеза).

Рис. 27. Зависимость граничных потерь от принимаемого решения
Наибольшая величина возможных потерь определяет максимальный риск решения ИР
max
:
ИР
max
=
MAX
(ИТП1(
D
), ИТП2(
D
))
при D
Î
[
D
1
,
D
2
]
(40)
На приведенном графике видно, что риск принимаемого решения не может быть ниже потерь, соответствующих точке пересечения кривых ИТП1(
D
)
и ИТП2(
D
)
. Эта точка соответствует решению, минимальному (оптимальному) по риску D
опт по риску
, а соответствующее ей значение потерь равно минимальному риску ИР
min
.
Максимальный и минимальный риск решения указывают границы возможных максимальных потерь, обуславливаемых неопределенностью оптимального решения, для произвольно выбираемого решения из интервала оптимального решения.
Для решений, многократно принимаемых при одном и том же интервале оптимального решения, в качестве показателя потерь целесообразно принять средние потери.
Для произвольно принимаемых решений на интервале неопределенности решения средние потери определяются выражением:
___
M
N
ИТП = 1/(М*
N
) *
å
å
ИТП
ij
(
D
опт
º
Di
,
Dj
)
(41)
i=1 j=1
при Di
Î
[D1
, D2
]
, Dj
Î
[D1
, D2
]
,
где М – количество точек на интервале [
D
1
,
D
2
]
, последовательно принимаемых за оптимальные;
N – количество точек на интервале [
D
1
,
D
2
]
, последовательно принимаемых за текущее решение для каждого значения Di
, принимаемого за оптимальное.
Совершенствование информационных технологий, используемых при формировании решения, ведет к сужению интервала неопределенности решения. Вследствие сужения интервала неопределенности решения происходит снижение потерь, возникающих из-за неопределенности решения. На рис. 27 большей информативности решения соответствует интервал [D
¢
1
, D
¢
2
]
. При этом кривые ИТП1(
D
)
и ИТП2(
D
)
смещаются в положение ИТП
¢
1
(D)
и ИТП
¢
2
(D)
, что приводит к снижению значений показателей потерь.
6.
Структуризация интервала неопределенности – определение долей интервала неопределенности вычисляемого показателя (или оптимального решения), вносимых каждым из рассматриваемых факторов неопределенности.
Структуризация – один из методов системного анализа, при котором объект исследований разделяется по определенным признакам на составные части.
Последовательность выполнения структуризации интервала неопределенности на примере вычисляемого показателя:
1) Найти интервал значений вычисляемого показателя «П» с учетом всех факторов неопределенности:
[П]
= [П1
, П2
]
2) Вычислить интервал значений вычисляемого показателя без учета первого фактора неопределенности:
[П ]
= [П1
, П2
] (42)
3) Вычислить абсолютную долю интервала значений вычисляемого показателя, порождаемую первым фактором неопределенности:
Δ1
= (П2
- П1
) - (П2
- П1
) (43)
4) Повторить п.п. 2-3 для всех факторов неопределенности.
5) Найти сумму долей интервала значений вычисляемого показателя по всем факторам неопределенности:
N
S = Σ Δi
(44)
i
=1
N – количество учитываемых факторов неопределенности.
6) Вычислить процентную долю интервала вычисляемого показателя, вносимую каждым фактором неопределенности:
δi
= Δi
/ S *100, % (45)
7) Ранжировать список факторов неопределенности по значению процентной доли интервала вычисляемого показателя, вносимой фактором неопределенности.
7.
Закончить написание курсовой работы следует выводами и списком использованной литературы.
III. ВАРИАНТЫ ЧАСТНЫХ ЗАДАНИЙ ДЛЯ КУРСОВОГО ПРОЕКТА
Вариант 1
Совершенствование информационной технологии управления содержанием и эксплуатацией молочного стада КРС
1. Описать организацию и технологию содержания и эксплуатации скота на предприятии.
2. Выполнить анализ технологических показателей содержания и эксплуатации коров и соответствие их нормам:
2.1. Питательность рационов.
2.2. Возраст первого отела.
2.3. Длительность сервис-периода.
2.4. Длительность сухостойного периода.
2.5. Длительность межотельного периода.
2.6. Результативность осеменений (номер результативного осеменения).
2.7. Выход телят на 100 коров в год.
2.8. Срок эксплуатации коров.
2.9. Причины выбраковки коров.
3. Выполнить экономический анализ эффективности содержания и эксплуатации скота.
4. Описать технологию планирования, контроля, учета и анализа технологических операций по содержанию и эксплуатации скота, существующую на предприятии.
5. Вскрыть резервы повышения эффективности производства за счёт совершенствования информационной технологии управления содержанием и эксплуатацией скота.
6. Разработать предложения по совершенствованию информационной технологии управления содержанием и эксплуатацией скота.
7. Выполнить структурированное описание новой информационной технологии управления содержанием и эксплуатацией скота.
8. Оценить затраты на внедрение новой информационной технологии.
9. Оценить экономическую эффективность новой информационной технологии управления содержанием и эксплуатацией скота.
Литература
1. Экономика сельскохозяйственного предприятия. Редакторы: К.-Д. Бауэр, Г.Н. Харламова, Л.И. Мосина, Г.И. Павлушина. – М.: ЭкоНива, 1999
2. Цеддиес Ю., Райш Э., Угаров А.А. Экономика сельскохозяйственных предприятий. - М.: Издательство МСХА, 2000
3. Лукьянов Б.В. Информационные технологии в агроэкономике. // Лекция – М:, Изд-во МСХА, 2009
4. Лукьянов Б.В., Лукьянов П.Б. Новая информационная технология оптимизации рационов для сельскохозяйственных животных. // Учебное пособие – М.: Изд-во МСХА, 2009
5. Лукьянов Б.В. Информационные технологии в агроэкономике. // Методическое пособие – М.: Изд-во МСХА, 2009
6. Лукьянов Б.В. Оценка потерь, вызываемых неопределенностью оптимального решения // Методические рекомендации к лабораторно-практическим занятиям. – М.: Изд-во МСХА, 2005
7. Лукьянов Б.В. Факторы информационной неопределенности в управлении сельскохозяйственным производством. Лекция. М.: МСХА, 1996
8. Лукьянов Б.В., Лукьянов П.Б. Эффективно управлять стадом поможет компьютер // «Животновод для всех», № 10, 2002
9. Лукьянов Б.В., Лукьянов П.Б. КОРАЛЛ – Молочно–товарная ферма – файл «ферма.doc», 2009
10. www.korall-agro.ru
Рекомендуемые программные средства
1. Программные средства, используемые на предприятии
2. КОРАЛЛ – Молочно-товарная ферма
3. КОРАЛЛ – Кормление молочного скота
4. Microsoft Excel
5. Microsoft Word
Вариант 2
Совершенствование информационной технологии управления производством растениеводческой продукции
1. Описать организацию и технологию производства продукции.
2. Описать систему управления производством продукции, алгоритмы формирования управленческих решений; нарисовать схемы информационных связей.
3. Выполнить структурированное описание информационной технологии формирования одного из управленческих решений (решение о дне посева, дне внесения удобрений, дозе внесения удобрений, дне уборки и пр.).
4. Проанализировать источники неопределенности управленческого решения. Найти интервалы значений исходных данных и неопределенность, порождаемую процессами их обработки при формировании решения.
5. Рассчитать одно или несколько управленческих решений.
6. Рассчитать интервал неопределенности оптимального решения.
7. Описать зависимости потерь, возникающих при отклонении принимаемых решений от оптимального.
8. Построить зависимость информационно - технологических потерь на интервале неопределенности решения в предположении, что оптимальное решение находится на нижней границе интервала (Первая гипотеза).
9. Построить зависимость информационно - технологических потерь на интервале неопределенности решения в предположении, что оптимальное решение находится на верхней границе интервала (Вторая гипотеза).
10. Определить риски решений, найденных в п.5.
11. Графически и аналитически найти решение, оптимальное по риску, и минимальный риск решения.
12. На основе выполненной аналитической работы разработать и выполнить структурированное описание усовершенствованной информационной технологии формирования рассматриваемого управленческого решения.
13. Оценить экономическую эффективность предлагаемой модернизации информационной технологии, существующей на предприятии, (по снижению информационного риска или информационно-технологических потерь).
Литература
1. Экономика сельскохозяйственного предприятия. Редакторы: К.-Д. Бауэр, Г.Н. Харламова, Л.И. Мосина, Г.И. Павлушина. – М.: ЭкоНива, 1999
2. Цеддиес Ю., Райш Э., Угаров А.А. Экономика сельскохозяйственных предприятий. - М.: Издательство МСХА, 2000
3. Каюмов М.К. Программирование продуктивности полевых культур: Справочник. – М.: Росагропромиздат, 1989.
4. Лукьянов Б.В. Информационные технологии в агроэкономике. // Лекция – М.: Изд-во МСХА, 2009
5. Лукьянов Б.В. Оценка потерь, вызываемых неопределенностью оптимального решения // Методические рекомендации к лабораторно-практическим занятиям. – М.: Изд-во МСХА, 2005
6. Лукьянов Б.В. Информационные технологии в агроэкономике. // Методическое пособие – М.: Изд-во МСХА, 2009
7. Лукьянов Б.В. Факторы информационной неопределенности в управлении сельскохозяйственным производством. Лекция. М.: МСХА, 1996
8. www.korall-agro.ru
Рекомендуемые программные средства
1. Программные средства, используемые на предприятии
2. КОРАЛЛ – Кормление молочного скота
3. Microsoft Excel
4. Microsoft Word
Вариант 3
Совершенствование информационной технологии планирования кормовой базы сельскохозяйственного предприятия
1. Выполнить структурированное описание информационной технологии планирования кормовой базы, используемой на предприятии; выполнить её экономический анализ.
2. Выполнить структурированное описание информационной технологии планирования кормовой базы на основе оценки «кормового эффекта».
3. Описать различие рассматриваемых информационных технологий.
4. Выполнить планирование запасов кормов для молочной фермы (или группы содержания), используя информационную технологию хозяйства.
5. Выполнить планирование запасов кормов для молочной фермы (или группы содержания), используя информационную технологию планирования кормовой базы на основе оценки «кормового эффекта».
6. Вычислить значения характеристик кормовой базы для обоих вариантов и сравнить результаты расчетов.
Литература
1. Лукьянов Б.В. Информационные технологии в агроэкономике. // Лекция – М.: Изд-во МСХА, 2009
2. Лукьянов Б.В. Информационные технологии в агроэкономике. // Методическое пособие – М.: Изд-во МСХА, 2009
3. Лукьянов Б.В., Лукьянов П.Б. КОРАЛЛ – Кормовая база, файл «Кормовая база.doc», 2008
4. Лукьянов Б.В., Лукьянов П.Б. КОРАЛЛ - Комплексная оптимизация рационов, комбикормов, премиксов, файл «рацион.doc», 2009
5. www.korall-agro.ru
Рекомендуемые программные средства
1. Программные средства, используемые на предприятии
2. КОРАЛЛ – Кормовая база
3. КОРАЛЛ – Кормление молочного скота
4. Microsoft Excel
5. Microsoft Word
Вариант 4
Совершенствование информационной технологии планирования рационов для индивидуального кормления коров
1. Описать технологию планирования рационов, существующую на предприятии; нарисовать схему информационных связей между подразделениями и ответственными исполнителями.
2. Выполнить структурированное описание применяемой на предприятии информационной технологии планирования рационов, включая способы получения входной информации (характеристик животных, показателей питательности кормов, цен на продукцию и корма и др.).
3. Взять данные контрольной дойки для одной из коров и рацион кормления.
4. Определить потенциальный удой коровы.
5. Для выбранной коровы определить прибыль в день контрольной дойки, обеспечиваемую применением фактического рациона.
6. Для того же дня кормления рассчитать из набора кормов фактического рациона оптимальный рацион по методике, используемой на предприятии, и по программе «КОРАЛЛ - Кормление молочного скота» (критерий оптимизации – «Максимальная прибыль). Определить прибыль, обеспечиваемую применением рассчитанных рационов.
7. Сравнить показатели эффективности фактического и рассчитанных рационов.
8. На основании учета погрешностей исходных данных (см. п. 2) определить интервал оптимального рациона.
9. Найти рацион, оптимальный по риску.
10. На основе выполненной аналитической работы разработать и описать усовершенствованную информационную технологию планирования рационов, включая коррекцию погрешностей.
11. Найти рацион, оптимальный по риску, для усовершенствованной информационной технологии планирования рационов
12. Оценить экономическую эффективность предлагаемой модернизации информационной технологии планирования рационов.
Литература
1. Лукьянов Б.В. Информационные технологии в агроэкономике. // Лекция – М.: Изд-во МСХА, 2009
2. Лукьянов Б.В., Лукьянов П.Б. Новая информационная технология оптимизации рационов для сельскохозяйственных животных. // Учебное пособие – М.: Изд-во МСХА, 2009
3. Лукьянов Б.В. Информационные технологии в агроэкономике. // Методическое пособие – М.: Изд-во МСХА, 2009
4. Лукьянов Б.В. Оценка потерь, вызываемых неопределенностью оптимального решения // Методические рекомендации к лабораторно-практическим занятиям. – М.: Изд-во МСХА, 2005
5. Лукьянов Б.В. Факторы информационной неопределенности в управлении сельскохозяйственным производством. Лекция. М.: МСХА, 1996
6. Лукьянов Б.В., Лукьянов П.Б. КОРАЛЛ - Комплексная оптимизация рационов, комбикормов, премиксов, файл «рацион.doc», 2010
7. www.korall-agro.ru
Рекомендуемые программные средства
1. Программные средства, используемые на предприятии
2. КОРАЛЛ – Кормление молочного скота
3. Microsoft Excel
4. Microsoft Word
Вариант 5
Совершенствование информационной технологии планирования рационов для группы коров
1. Описать технологию планирования рационов, существующую на предприятии; нарисовать схему информационных связей между подразделениями и ответственными исполнителями.
2. Выполнить структурированное описание применяемой на предприятии информационной технологии планирования рационов, включая способы получения входной информации (характеристик животных, показателей питательности кормов, цен на продукцию и корма и др.).
3. Взять данные об одной из контрольных доек группы коров (не менее 20 голов) и рационе кормления.
4. Для коров группы определить потенциальный удой.
5. Для выбранной группы коров определить прибыль в день контрольной дойки, обеспечиваемую применением фактического рациона.
6. Для того же дня кормления рассчитать из набора кормов фактического рациона оптимальный для группы рацион по методике, используемой на предприятии, и по программе «КОРАЛЛ - Кормление молочного скота» (критерий оптимизации – «Максимальная прибыль). Определить прибыль, обеспечиваемую применением рассчитанных рационов.
7. Сравнить показатели эффективности кормления группы коров по фактическому и рассчитанным рационам.
8. На основании учета погрешностей исходных данных (см. п. 2) определить интервал оптимального рациона.
9. Найти рацион, оптимальный по риску.
10. На основе выполненной аналитической работы разработать и описать усовершенствованную информационную технологию планирования рационов.
11. Оценить экономическую эффективность предлагаемой модернизации информационной технологии планирования рационов, существующей на предприятии.
Литература
1. Лукьянов Б.В. Информационные технологии в агроэкономике. // Лекция – М.: Изд-во МСХА, 2009
2. Лукьянов Б.В., Лукьянов П.Б. Новая информационная технология оптимизации рационов для сельскохозяйственных животных. // Учебное пособие – М.: Изд-во МСХА, 2009
3. Лукьянов Б.В. Информационные технологии в агроэкономике. // Методическое пособие – М.: Изд-во МСХА, 2009
4. Лукьянов Б.В. Оценка потерь, вызываемых неопределенностью оптимального решения // Методические рекомендации к лабораторно-практическим занятиям. – М.: Изд-во МСХА, 2005
5. Лукьянов Б.В. Факторы информационной неопределенности в управлении сельскохозяйственным производством. Лекция. М.: МСХА, 1996
6. Лукьянов Б.В., Лукьянов П.Б. КОРАЛЛ - Комплексная оптимизация рационов, комбикормов, премиксов, файл «рацион.doc», 2010
7. www.korall-agro.ru
Рекомендуемые программные средства
1. Программные средства, используемые на предприятии
2. КОРАЛЛ – Кормление молочного скота
3. Microsoft Excel
4. Microsoft Word
Вариант 6
Совершенствование информационной технологии планирования кормосмесей для кормления птицы
1. Описать технологию планирования кормосмесей, существующую на предприятии; нарисовать схему информационных связей между подразделениями и ответственными исполнителями.
2. Выполнить структурированное описание применяемой на предприятии информационной технологии планирования кормосмесей, включая способы получения входной информации (характеристик птицы, используемых при расчёте кормосмесей; показателей питательности кормов; цен на продукцию и корма и др.).
3. Из набора кормов фактической кормосмеси рассчитать оптимальную кормосмесь по методике, используемой на предприятии, и по программе «КОРАЛЛ - Кормление птицы» (критерий оптимизации – «Максимальная прибыль).
4. Сравнить показатели эффективности кормления птицы по фактической и рассчитанным кормосмесям.
5. Оценить интервалы значений характеристик птицы, питательности кормов (обменная энергия, переваримый протеин, сырая клетчатка, сахара, каротин) и цены на продукцию.
6. На основании учета погрешностей исходных данных (см. п. 5) определить интервал оптимальной кормосмеси.
7. Найти кормосмесь, оптимальную по риску.
8. На основе выполненной аналитической работы разработать и описать усовершенствованную информационную технологию планирования кормосмесей.
9. Оценить экономическую эффективность предлагаемой модернизации информационной технологии планирования кормосмесей.
Литература
1. Лукьянов Б.В. Информационные технологии в агроэкономике. // Лекция – М:, Изд-во МСХА, 2009
2. Лукьянов Б.В., Лукьянов П.Б. Новая информационная технология оптимизации рационов для сельскохозяйственных животных. // Учебное пособие – М.: Изд-во МСХА, 2009
3. Лукьянов Б.В. Информационные технологии в агроэкономике. // Методическое пособие – М.: Изд-во МСХА, 2009
4. Лукьянов Б.В. Оценка потерь, вызываемых неопределенностью оптимального решения // Методические рекомендации к лабораторно-практическим занятиям. – М.: Изд-во МСХА, 2005
5. Лукьянов Б.В. Факторы информационной неопределенности в управлении сельскохозяйственным производством. Лекция. М.: МСХА, 1996
6. Лукьянов Б.В., Лукьянов П.Б. КОРАЛЛ - Кормление птицы (Комплексная оптимизация и анализ кормосмесей, комбикормов, премиксов), файл «кормосмесь.doc», 2009
7. www.korall-agro.ru
Рекомендуемые программные средства
1. Программные средства, используемые на предприятии
2. КОРАЛЛ – Кормление птицы
3. Microsoft Excel
4. Microsoft Word
Вариант 7
Управление групповым кормлением коров
1. Описать организацию и технологию группового кормления коров на ферме, формирование групп кормления.
2. Описать систему управления кормлением; нарисовать схему информационных связей.
3. Описать применяемую информационную технологию планирования рациона для группового кормления коров.
4. Проанализировать источники неопределенности управленческих решений.
5. Определить потенциальные удои коров одной из групп кормления (не менее 10 голов).
6. Для выбранной группы животных определить экономическую эффективность их кормления в течение 10 суток рационом хозяйства, используя программу «КОРАЛЛ – Кормление молочного скота».
7. Для того же периода кормления рассчитать оптимальный по прибыли групповой рацион, исключив из расчета высокопродуктивных коров.
8. Для коров с повышенной продуктивностью рассчитать оптимальный по прибыли рацион докорма к рассчитанному групповому рациону.
9. Выполнить сравнительный анализ эффективности кормления рассчитанными рационами.
10. Оценить снижение прибыли, вызываемое групповым кормлением.
11. На основе выполненной аналитической работы разработать усовершенствованную информационную технологию управления групповым кормлением коров.
Литература
1. Лукьянов Б.В. Информационные технологии в агроэкономике. // Лекция – М.: Изд-во МСХА, 2009
2. Лукьянов Б.В., Лукьянов П.Б. Новая информационная технология оптимизации рационов для сельскохозяйственных животных. // Учебное пособие – М.: Изд-во МСХА, 2009
3. Лукьянов Б.В. Информационные технологии в агроэкономике. // Методическое пособие – М.: Изд-во МСХА, 2009
4. Лукьянов Б.В. Оценка потерь, вызываемых неопределенностью оптимального решения // Методические рекомендации к лабораторно-практическим занятиям. – М.: Изд-во МСХА, 2005
5. Лукьянов Б.В. Факторы информационной неопределенности в управлении сельскохозяйственным производством. Лекция. М.: МСХА, 1996
6. Лукьянов Б.В., Лукьянов П.Б. Оптимизация группового кормления коров // «Животновод для всех», № 1, 2004 (электронный носитель)
7. Лукьянов Б.В., Лукьянов П.Б. КОРАЛЛ - Комплексная оптимизация рационов, комбикормов, премиксов. – файл «рацион.doc», 2010
8. www.korall-agro.ru
Рекомендуемые программные средства
1. Программные средства, используемые на предприятии
2. КОРАЛЛ – Кормление молочного скота
3. Microsoft Excel
5. Microsoft Word
|