| ФЕДЕРАЛЬНОЕ АГЕНТСТВО ПО РЫБОЛОВСТВУ
Федеральное государственное образовательное учреждение
ВПО «МГТУ»
Кафедра физвоспитания
Доклад
Тема: Рациональное питание: масла растительного происхождения
Выполнил: Гусейнова С.Р.
студентка группы ОП-371, ТХФ
Научный руководитель: Кливер О.Г.
Мурманск
2010
Содержание
ВВЕДЕНИЕ……………………………………………………………….3
1Строение и состав липидов………………………………………………5-7
1.1Жирнокислотный состав масел и жиров………………………………5-6
1.2 Биологическая ценность пищевых липидов……………………………..7
2 Виды растительных масел………………………………………………..8-14
2.1. Классификация растительных масел………………………………….8-9
2.2 Подсолнечное масло…………………………………………………..10-11
2.3 Оливковое масло………………………………………………………12-14
2.4 Соевое масло………………………………………………………………15
2.5 Кукурузное масло…………………………………………………………16
3 Роль растительных масел в рациональном питании………………….17-21
3.1Пищевая ценность масел и жиров…………………………………….17-18
3.2 Роль жиров в питании человека…………………………………………19
3.3 Основные ориентировочные критерии растительных масел……….20-21
Список литературы
ВВЕДЕНИЕ
Актуальность работы заключается в том, что здоровье человека во многом зависит от его питания. Рациональное питание - одна из главных составных частей здорового образа жизни, один из факторов продления активного периода жизнедеятельности человека.
Растительное масло - продукт повседневного питания, от качества которого зависит наше здоровье. Учёные всего мира давно утверждают, что жидкие растительные масла необходимы человеческому организму.
Сегодня в магазинах большой выбор растительных масел, но несмотря на общее название, все эти масла имеют разные свойства.
При работе над темой мной было проведено анкетирование студентов МГТУ, в результате чего я пришла к следующему выводу: многие люди не могут реально оценить важность достаточного и правильного употребления в ежедневном рационе масел и жиров, что связано с незнанием правил рационального питания, основных свойств и правил хранения данных продуктов. Поэтому тема моей работы является столь актуальной.
Результаты анкетирования показали, что 98% студентов не понимают значение слова гидратированное, 73 % - дезодорированное, 25% – рафинированное и нерафинированное. Я так же выяснила, что самым известным является подсолнечное масло и оливковое, их знают все респонденты. Кукурузное масло несколько отстает от лидеров, но тем не менее 77% опрошенных указали этот вид масла, 68% вспомнили о соевом масле, о льняном - 35%, о растительном масле с добавками - 32%, 24% - о горчичном масле, о миксах растительного масла – 23% и 3% - о рапсовом масле.
Забиваем Сайты В ТОП КУВАЛДОЙ - Уникальные возможности от SeoHammer
Каждая ссылка анализируется по трем пакетам оценки: SEO, Трафик и SMM.
SeoHammer делает продвижение сайта прозрачным и простым занятием.
Ссылки, вечные ссылки, статьи, упоминания, пресс-релизы - используйте по максимуму потенциал SeoHammer для продвижения вашего сайта.
Что умеет делать SeoHammer
— Продвижение в один клик, интеллектуальный подбор запросов, покупка самых лучших ссылок с высокой степенью качества у лучших бирж ссылок.
— Регулярная проверка качества ссылок по более чем 100 показателям и ежедневный пересчет показателей качества проекта.
— Все известные форматы ссылок: арендные ссылки, вечные ссылки, публикации (упоминания, мнения, отзывы, статьи, пресс-релизы).
— SeoHammer покажет, где рост или падение, а также запросы, на которые нужно обратить внимание.
SeoHammer еще предоставляет технологию Буст, она ускоряет продвижение в десятки раз,
а первые результаты появляются уже в течение первых 7 дней.
Зарегистрироваться и Начать продвижение
Объект исследования - здоровье человека во взаимосвязи с употреблением различных растительных масел.
Предмет исследования – проблема правильного употребления в рационе питания человека растительных масел
Методы исследования – анкетирование, анализ, синтез, математическая статистика
Цели работы – изучение литературы по заявленной тематике, систематизация и разработка кулинарных рекомендаций и рекомендаций по правилам рационального употребления масел и жиров в рационе питания человека, пропаганда здорового образа жизни в плане формирования мотивации к правильному употреблению растительных масел.
Задачи:
· Собрать и проанализировать информацию о растительных маслах;
· Разработать презентацию «Рациональное питание: растительные масла»;
· Разработать памятку «Рациональное использование растительных масел»;
· Разработать методы пропаганды здорового образа жизни: размещение памятки «Использование растительных масел» на сайте МГТУ, использование презентации «Рациональное питание: растительные масла» на уроках по ЗОЖ в системе образования.
1. Строение и состав липидов
1.1. Жирнокислотный состав масел и жиров
Липидами (от греч. lipos — эфир) называют сложную смесь эфироподобных органических соединений с близкимифизико-химическими свойствами, которая содержится в клетках растений, животных и микроорганизмах. Липиды широко распространены в природе и вместе с белками и углеводами составляют основную массу органических веществ всех живых организмов, являясь обязательным компонентом каждой клетки. Они широко используются при получении многих продуктов питания, являются важными компонентами пищевого сырья, полупродуктов и готовых пищевых продуктов, во многом определяя их пищевую и биологическую полноценность и вкусовые качества. Липиды не растворимы в воде (гидрофобны), хорошо растворимы в органических растворителях (бензине, диэтил овом эфире, хлороформе и др.).
В растениях липиды накапливаются, главным образом, в семенах и плодах. (См. Приложение 1)
Содержание липидов в растениях зависит от сорта, места и условий их произрастания; у животных — от вида, состава корма, условий содержания.
Сервис онлайн-записи на собственном Telegram-боте
Попробуйте сервис онлайн-записи VisitTime на основе вашего собственного Telegram-бота:
— Разгрузит мастера, специалиста или компанию;
— Позволит гибко управлять расписанием и загрузкой;
— Разошлет оповещения о новых услугах или акциях;
— Позволит принять оплату на карту/кошелек/счет;
— Позволит записываться на групповые и персональные посещения;
— Поможет получить от клиента отзывы о визите к вам;
— Включает в себя сервис чаевых.
Для новых пользователей первый месяц бесплатно.
Зарегистрироваться в сервисе
По химическому строению липиды являются производными жирных кислот, спиртов, альдегидов, построенных с помощью сложноэфирной, простой эфирной, фосфоэфирной, гликозидной связей. Липиды делят на две основные группы: простые и сложные липиды. К простым нейтральным липидам (не содержащим атомов азота, фосфора, серы) относят производные высших жирных кислот и спиртов: глицеролипиды, воски, зфиры холестерина, гликолипиды и другие соединения. Молекулы сложных липидов содержат в своем составе не только остатки высокомолекулярных карбоновых кислот, но и фосфорную или серную кислоты.
По строению и способности к гидролизу липиды разделяют на омыляемые и неомыляемые. Омыляемые липиды при гидролизе образуют
несколько структурных компонентов, а при взаимодействии с щелочами – соли жирных кислот (мыла).
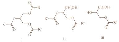
Наиболее важная и распространенная группа простых нейтральных липидов — ацилглицерины. Ацилглицерины (или глицериды) — это сложные эфиры глицерина и высших карбоновых кислот (См. Приложение 2). Они составляют основную массу липидов (иногда до 95%) и, по существу, именно их называют жирами или маслами. В состав жиров входят, главным образом, триацилглицерины (I), а также диацилглицерины (II) и моноацилглицерины (III):

Триацилглицерины (ТАГ), молекулы которых содержат одинаковые остатки жирных кислот, называются простыми, в противном случае — смешанными. Природные жиры и масла содержат, главным образом, смешанные триацилглицерины.
1.2 Биологическая ценность пищевых липидов
Ценность жира определяется такими важными показателями, как незаменимость, перевариваемость и всасываемость, зависящими от температуры плавления. Жиры, содержащие незаменимую линолевую кислоту и другие высшие ПНЖК обладают наибольшей биологической ценностью» поскольку в организме они практически не синтезируются.
Важным показателем биологической ценности жиров является перевариваемость она выражается количеством всосавшихся в лимфу и кровь триглицеридов. Большинство природных жиров в организме человека характеризуется высоким коэффициентом перевариваемости.
Всасываемость жира зависит от состава жирных кислот. Усвояемость жиров с температурой плавления ниже, чем температура человеческого тела, равна 97—98 %, если же этот показатель выше 37 °С, то усвояемость жиров равна 90 %. Жиры с температурой плавления 50—60 °С усваиваются только на 70—80 %.
При смешанном питании усваивается 93—98 % сливочного масла, 96—98 % свиного жира, 80—94 % говяжьего жира, 86—90 % подсолнечного масла, 94—98 % маргарина.
2Виды растительных масел
2.1. Классификация растительных масел
Классификация растительных масел основывается на двух признаках: используемого сырья — подсолнечник, оливки, соя, рапс и др.; способах очистки (рафинации) — фильтрация, гидратация, обесцвечивание, дезодорация и др.
Получают растительные масла двумя способами: прессованием и экстрагированием.
Прессование – механический отжим масла из измельченного сырья.
Оно может быть холодным и горячим, то есть с предварительным нагреванием семян. Масло холодного отжима – самое полезное, обладает выраженным запахом, но не может долго храниться.
Экстракция – извлечение масла из сырья при помощи органических растворителей. Он более экономичный, так как позволяет максимально извлечь масло.
В зависимости от способа очистки масла делят на нерафинированные, прошедшие только механическую очистку, гидратированные, подвергнутые еще и гидратации, и рафинированные, прошедшие, кроме механической очистки и гидратации, нейтрализацию (недезодорированное) или нейтрализацию и дезодорацию (дезодорированное).
В зависимости от способа очистки растительные масла вырабатывают:
1. Нерафинированное масло - очищенное только от механических примесей путем фильтрования, центрифугирования или отстаивания. Масло обладает интенсивной окраской, ярко выраженным вкусом и запахом семян, из которых оно получено.Имеет осадок, над которым может быть легкое помутнение.
2. Гидратированное масло - очищенное горячей водой (70°С), пропущенной в распыленном состоянии через горячее масло (60°С). Масло в отличие от нерафинированного имеет менее выраженные вкус и запах, менее интенсивную окраску, без помутнения и отстоя.
3. Рафинированное масло - очищенное от механических примесей и прошедшее нейтрализацию, то есть щелочную обработку, Масло прозрачное, без осадка и отстоя, имеет окраску слабой интенсивности, достаточно выраженные вкус и запах.
4. Дезодорированное масло – обработанное горячим сухим паром при температуре 170—230"С в условиях вакуума. Масло прозрачное, без осадка, окраска слабой интенсивности, слабо выраженный вкус и запах.
Рафинированное масло на сорта не делят. Вырабатывают не дезодорированное и дезодорированное.
Нерафинированное и гидратированное масла вырабатывают высшего, первого и второго сортов. Нерафинированное и гидратированное масла высшего и первого сорта должны иметь вкус и запах семян, из которых получены.
2 Виды растительных масел
2.2 Подсолнечное масло
Подсолнечное масло -масло, получаемое из семян подсолнечника. Масло используется в пищу непосредственно, а также при изготовлении овощных и рыбных консервов, маргаринов, майонезов, кондитерских изделий.
Усвояемость подсолнечного масла – 95-98 процентов.
Общее количество витамина Е в подсолнечном масле составляет от 440 до 1520 мг/кг. В 100 г масла содержится 99,9 г жира и 898/899 ккал.
Примерно 25-30г подсолнечного масла обеспечивают суточную потребность взрослого человека в этих веществах.
Полезные вещества масла нормализуют холестериновый обмен. В подсолнечном масле витамина Е содержится в 12 раз больше, чем в оливковом.
Бета-каротин – источник витамина А – отвечает за рост организма и зрение.
Бета-систерин препятствует всасыванию холестерина в желудочно-кишечный тракт.
Линолевая кислота образует витамин F, регулирующий жировой обмен и уровень холестерина в крови, а также повышающий эластичность кровеносных сосудов и иммунитет к различным инфекционным заболеваниям. Так же витамин F, содержащийся в подсолнечном масле, необходим организму, так как его дефицит отрицательно сказывается на слизистой оболочке желудочно-кишечного тракта, состоянии сосудов.
Рафинированное масло богато витаминами E и F.
Нерафинированное подсолнечное масло помимо ярко выраженного цвета и вкуса насыщено биологически активными веществами и витаминами групп А и D.
Преимущества подсолнечного нерафинированного масла – в его свойствах:
а) в подсолнечном нерафинированном масле высокое (по сравнению с другими доступными маслами; его достаточно и в оливковом масле) содержание незаменимой ленолевой жирной кислоты (ЛК), регулирующей весь обмен веществ и свойства клеточных мембран.
б) отсутствует антагонист ЛК – леноленовая жирная кислота (ЛНК). Например, много ЛНК содержится в льняном (40–50 %) и соевом (5–10 %) маслах, что делает эти масла нежелательными для лечебной практики.
в) содержит очень мало биологически неактивных насыщенных жиров.
г) имеет в составе намного больше сильнейшего природного антиокислителя (антиоксиданта) альфа-токоферола (витамин Е), чем все другие доступные нам масла, свыше 60 мг% (в 100 г масла – более 60 мг).
д) много антиокислителя-синергиста (усилителя антиоксидантных свойств) для альфа-токоферола: холинофосфатида-лецитина, от 1,0 до 1,4 г% (в 100 г масла – 1,0 - 1,4
е) благодаря очень простой технологии изготовления и дешевизны – к нему очень редко и мало подмешивают "для экономии" другие жиры.
Рафинированное дезодорированное подсолнечное масло не обладает тем набором витаминов и микроэлементов, что нерафинированное подсолнечное масло, но имеет ряд преимуществ. Оно более пригодно для приготовления жареных блюд, производства выпечки, поскольку не пригорает и не имеет запаха. Оно предпочтительно в диетическом питании.
2.3 Оливковое масло
Оливковое масло – производится из плодов (оливки) вечнозелёного оливкового дерева, растущего, преимущественно, в Средиземноморье. На вкус, запах и цвет масла (его определяющие качества) влияют сорт оливок, климат, погодные условия, свойства почвы. Играет роль и время сбора маслин. Ранний урожай даёт более резкий запах и зеленоватый цвет. Спелые маслины придают маслу золотисто-желтый цвет и более мягкий вкус. Оливковое масло высокого качества, чаще всего, фасуют в стеклянные бутылки.
Известно и второе название масла – "прованское" (по наименованию области на Ю-В Франции).
Самые крупные производители оливкового масла на мировом рынке – Испания (осуществляет экспорт продукта, полученного только первичным холодным отжимом) и Италия. Из итальянских масел, в числе лидеров – "Monini" (Монини). Лучший сорт испанского оливкового масла – «Borges» (Борхес). Специалисты считают лучшими для производства оливкового масла маслины сортов «бланкэта» и «арбекина». Оливковое масло из этих маслин самое ароматное и, по своей насыщенности полезными для здоровья веществами, ему нет равных. Хорошего качества и Maestro de Oliva (Маэстро дэ Олива).
Испанское масло дороже т.к. в Испании запрещается смешивать оливковое масло с другими растительными маслами. Смеси (миксты, MIXT) – дешевле 100%-го масла.
Наиболее качественное и дорогое – 'Virgin olive oil extra' (Экстра Вирджин, 'стекло') – нерафинированное оливковое масло экстра-класса, первого (первичного) холодного отжима (spremuta a freddo - на итальянском) Его цена – максимальная. На этикетке может быть указана и степень кислотности. Предпочтительно, чтобы она была низкой – порядка 0,5 градуса и не более одного. Этим маслом хорошо приправлять салат, морепродукты и овощные блюда.
Самое дорогое масло – Single Estate Extra Virgin olive oil. Холодный отжим. Оливки выращены без применения химикатов (удобрений, средств борьбы с вредителями); масло сделано и разлито на одной маслобойне (мельнице). Холодный отжим считается самым правильным, потому как оливки сохраняют после него все ценные качества – особый состав жирных кислот: мононенасыщенные жиры оливкового масла, более полезные, чем полиненасыщенные жиры кукурузного.
Рафинированное оливковое масло обозначается как 'rafined olive oil', 'light olive oil', а также 'pure olive oil' или 'olive oil'. Светлое, с менее ярким вкусом и цветом. Оно применяется для приготовления горячих блюд.
Самое дешевое 'pomace olive oil' – масло второго (горячего) отжима. Используется в основном для жарки и выпечки.
Низкосортное масло – так называемое 'орухо', которое получают в процессе вторичной переработки отходов, сильно нагревая выжимки. В нём содержатся вредные для здоровья канцерогенные вещества (бензопирен), образующиеся в растительном масле при высоких температурах. Не рекомендуется к употреблению, как и жареные семечки.
В продаже встречаются и подделки, поэтому выбирать и покупать надо в фирменных магазинах, учитывая высокую цену масла. Отличить настоящее оливковое масло можно, поместив его в холодильник. При температуре +5 - +8 °С оно густеет.
По нормам Всемирной организациия здравоохранения в составе оливкового масла должно быть 65–83% олеиновой, 3,5–21% линолевой и не более 0,3% линоленовой кислот. Быстрее окисляется линоленовая кислота, медленнее всех – олеиновая.
Специалисты утверждают, что в оливках есть практически все необходимые человеку витамины и микроэлементы, которые хорошо усваиваются организмом человека. В отличие от животных жиров, они приносят организму немалую пользу – препятствуют развитию атеросклероза, болезней сердца и сосудов, способствуют выводу холестерина, помогают в лечении органов пищеварения, укрепляют костную ткань. Входящие в состав оливкового масла полезные кислоты необходимы как строительный материал оболочек клеток (сам организм синтезирует их только частично). Благодаря высокому содержанию олеиновой кислоты, весьма благоприятно влияющей на процессы усвоения и переработки жиров, оливковое масло относят к диетическим продуктам.
Исследования последних лет выявили иммуностимулирующее действие этого натурального продукта. Возможно, антиатеросклеротические свойства оливкового масла объясняются содержанием в нем биологически активных углеводов, стеролов, терпеновых диспиртов и токоферола. Соединение олеокантал оказывает такое же обезболивающее и противовоспалительное действие. Олеиновая кислота замедляет процесс старения. Если съедать, в разном виде, 40 граммов оливкового масла в день, организм будет полностью обеспечен жирами.
Благодаря своему химическому составу, оливковое масло подходит для диеты беременных и кормящих матерей, так как способствует правильному развитию мозга и нервной системы детей до и после рождения. Установлено, что жирные кислоты в оливковом масле, очень похожи на жиры, входящие в состав материнского молока.
Содержание линолевой кислоты, которая способствует выведению холестерина из организма, в несколько раз выше, чем в обычном растительном масле.
Для лечения и в профилактических целях, рекомендуется принимать оливковое масло натощак – пить его утром или днём.
В кулинарии, рафинированные масла обычно используют только для жарки продуктов. Нерафинированным – приправляют салаты. Учитывая высокую калорийность оливкового масла (900 килокалорий на 100 г), суточный рацион ограничить двумя-тремя столовыми ложками.
Хранят оливковое масло в прохладном, тёмном месте (чтобы не окислялось), изолируя от посторонних запахов. Срок хранения указан на этикетке (обычно - не более двух лет).
2.4 Соевое масло
Соевое масло получают из бобов сои.
Среднее содержание жирных кислот в соевом масле: 51-57% линолевой; 23-29% олеиновой; 4,5-7,3% стеариновой; 3-6% линоленовой; 2,5-6,0% пальмитиновой; 0,9-2,5% арахиновой; до 0,1% гексадеценовой; 0,1-0,4% миристиновой.
Соевое масло содержит рекордное количество витамина Е1 (токоферола). На 100 г масла приходится 114 мг этого витамина. В таком же количестве подсолнечного масла токоферола всего 67 мг, в оливковом – 13мг. Кроме того, токоферол помогает бороться со стрессами, предупреждает сердечно-сосудистые заболевания.
Регулярное употребление соевого масла в пищу способствует уменьшению холестерина в крови, улучшает обмен веществ, укрепляет иммунную систему.
Это масло считается рекордсменом среди других растительных масел по количеству микроэлементов (в нем их более 30), содержит жизненно необходимые жирные кислоты, среди которых довольно много линолевой кислоты, тормозящей рост раковых клеток.
Так же восстанавливает защитные и влагоудерживающие способности кожи, замедляя её старение.
Соевое масло обладает высокой биологической активностью и усваивается организмом на 98%.
Сырое соевое масло имеет коричневый с зеленоватым оттенок, рафинированное же – светло-желтый.
Соевое масло низкой очистки имеет, как правило, крайне ограниченные сроки хранения и достаточно неприятные вкус и запах.
Хорошо очищенное масло представляет собой практически бесцветную жидкость без вкуса и запаха со специфической маслянистой консистенцией.
Ценным компонентом, извлекаемым из семян сои вместе с жирным маслом, является лецитин, который отделяют для использования в кондитерской и фармацевтической промышленности.
Используют в основном качестве сырья для производства маргарина.
В пищу пригодно только рафинированное соевое масло, используется оно так же, как и подсолнечное.
В готовке лучше подходит для овощей, чем для мяса.
Чаще используется в пищевой промышленности как основа майонеза, как заправка соусов, а также для производства гидрогенизированного соевого масла.
Рекомендуемое среднесуточное потребление соевого масла – 1-2 ст. ложки (около 20 г, что составляет примерно 190-200 кал).
2.5 Кукурузное масло
Кукурузное масло получают из зародышей кукурузы.
По химическому составу кукурузное масло подобно подсолнечному. Оно содержит кислоты: 2,5-4,5% стеариновой, 8-11% пальмитиновой, 0,1-1,7 % миристиновой, 0,4% арахиновой, 0,2% лигноцериновой, 30-49% олеиновой, 40-56% линолевой, 0,2-1,6% гексадеценовой.
Температура застывания от -10 до -20 градусов. Оно золотисто-жёлтого цвета, прозрачное, без запаха.
Считается, что кукурузное масло самое полезное из доступных и привычных нам масел. Кукурузное масло богато витаминами Е, В1, В2, РР, К3, провитаминами А, что является основными факторами, определяющими его диетические свойства. Полиненасыщенные жирные кислоты, содержащиеся в кукурузном масле, повышают сопротивляемость организма к инфекционным заболеваниям и благоприятствует выведению из организма избытка холестерина, оказывает спазмолитическое и противовоспалительное действие, улучшает работу мозга.
Благодаря питательной ценности кукурузное масло используется для раздраженной и увядающей кожи, регенерируя её.
В кулинарии особенно хорошо кукурузное масло подходит для, жарки, тушения и фритюра, поскольку не образует канцерогенов, не пенится и не пригорает.
Хорошо применять его и для приготовления различных соусов, теста, хлебобулочных изделий. Благодаря своим полезным свойствам кукурузное масло широко применяется в производстве диетических продуктов и продуктов детского питания.
3 Роль растительных масел в рациональном питании
3.1 Пищевая ценность масел и жиров
Растительные жиры и масла являются обязательным компонентом пищи, источником энергетического к пластического материала для человека, поставщиком ряда необходимых для него веществ (непредельных жирных кислот, фосфолипидов, жирорастворимых витаминов, стеринов, то есть они являются незаменимыми факторами питания, определяющими его биологическую эффективность. Рекомендуемое содержание жира в рационе человека (по калорийности) составляет 30—33%; для населения южных зон нашей страны рекомендуется — 27-28%. северных — 38-40% или 90-107 г в сутки, в том числе непосредственно в виде жиров 45-50 г.
Длительное ограничение жиров в питании или систематическое использование жиров с пониженным содержанием необходимых компонентов, в том числе сливочного масла, приводит к отклонениям в физиологическом состоянии организма: нарушается деятельность центральной нервной системы, снижается устойчивость организма к инфекциям (иммунитет), сокращается продолжительность жизни. Но и избыточное потребление жиров нежелательно, оно приводит к ожирению, сердечно-сосудистым заболеваниям, преждевременному старению.
В составе пищевых продуктов различают видимые жиры (растительные масла, животные жиры, сливочное масло, маргарин, кулинарный жир) и невидимые жиры (жир в мясе и мясопродуктах, рыбе, молоке и молочных продуктах, крупе, хлебобулочных и кондитерских изделиях). Это, конечно, условное деление, но оно широко применяется.
Наиболее важные источники жиров в питании—растительные масла (в рафинированных маслах 99,7-99,8% жира), сливочное масло (61,5-82,5% липидов), маргарин (до 82,0% жира), комбинированные жиры (50-72% жира), кулинарные жиры (99% жира), молочные продукты (3,5—30% жира), некоторые виды кондитерских изделий — шоколад (35-40%), отдельные сорта конфет (до 35%), печенье (10-11%); крупы — гречневая (3,3%), овсяная (6,1%); сыры (25-50%), продукты из свинины, колбасные изделия (10—23% жира). Часть этих продуктов является источником растительных масел (растительные масла, крупы), другие — животных жиров. В питания имеет значение не только количество, но и химический состав употребляемых жиров, особенно содержание полиненасыщенных кислот с определенным положением двойных связей и цис-конфигурацией.
Линолевая и линоленовая кислоты не синтезируются в организме человека, арахидоновая — синтезируется из линолевой кислоты при yчастии витамина В6. Поэтому они получили название «незаменимых» или «эссенциальных» кислот. Линоленовая кислота образует другие полиненасыщенные жирные кислоты. В состав полиненасыщенных жирных кислот семейства омега-3 входят: а-линоленовая, эйкозапентаеновая, докозагексаеновая кислоты. Линолевая, у-линоленовая, арахндоновая кислоты входят в семейство омега-6. Рекомендуемое Институтом питания РАМН соотношение омега 6/омега 3 в рационе составляет для здорового человека 10:1, для лечебного питания — от 3:1 до 5:1.
Более 50 лет назад была доказана необходимость присутствия ряда этих структурных компонентов липидов для нормального функционирования и развития нашего организма. Они участвуют в построении клеточных мембран, в синтезе простагландинов (сложные органические соединения), участвуют в регулировании обмена веществ в клетках, кровяного давления, агрегации тромбоцитов, способствуют выведению из организма избыточного количества холестерина, предупреждая и ослабляя атеросклероз, повышают эластичность стенок кровеносных сосудов. Но эти функции выполняют только цис-изомеры ненасыщенных кислот. При отсутствии «эссенциальных» кислот прекращается рост организма и возникают тяжелые заболевания. Биологическая активность указанных кислот неодинакова. Наибольшей активностью обладает арахидоновая кислота, высокой—линолевая, активность линоленовой кислоты значительно (в 8—10 раз) ниже линолевой.
В настоящее время считают, что суточная потребность в линолевой кислоте должна составлять 6—10 г, минимальная — 2—6 г, а ее суммарное содержание в жирах пищевого рациона — не менее 4% от обшей калорийности. Следовательно, состав жирных кислот липидов в пищевых продуктах, предназначенных для питания молодого, здорового организма, должен быть сбалансированным: 10—20% — полиненасыщенных, 50—60% —мононенасыщенных и 30% насыщенных, часть из которых должна быть со средней длиной цепи. Это обеспечивается при использовании в рационе 1/3 растительных и 2/3 животных жиров. Для людей пожилого возраста и больных сердечно-сосудистыми заболеваниями содержание линолевой кислоты должно составлять около 40%, соотношение полиненасыщенных и насыщенных кислот — приближаться к 2:1, соотношение линолевой и линоленовой кислот —10:1 (Институт питания РАМН). По современным представлениям наиболее целесообразно использовать в каждый отдельный прием пищи жиры, имеющие сбалансированный состав, а не потреблять жировые продукты различного состава в течение суток.
Важной в питании группой липидов являются фосфолипиды, участвующие в построении клеточных мембран и транспорте жира в организме, они способствуют лучшему усвоению жиров и препятствуют ожирению печени. Общая потребность человеке в фосфолипидах до 5-10 г в сутки.
3.2 Роль жиров в питании человека
Роль жиров в питании определяется их высокой калорийностью и участием совместно с белками в пластических процессах. Жир, входящий в состав клеточных структур, часто называют протоплазматическим или структурным в отличие от запасного, или резервного, который накапливается организмом в так называемых жировых депо.
Помимо высокой калорийности, биологическая ценность жиров определяется наличием в них жирорастворимых витаминов (A, D, E) и жирных полиненасыщенных кислот. Витамины А и D содержатся в жирах животного происхождения. Особенно много их в печени рыб и морских животных; в растительных маслах преобладает витамин Е.
Полиненасыщенные жирные кислоты – линолевая и арахидоновая – являются незаменимыми, так как их синтез в организме крайне ограничен. Они выполняют важную роль в обмене веществ: недостаток их в питании отрицательно сказывается на жизнедеятельности организма человека.
Наиболее целесообразно в биологическом отношении содержание в жире 10% полиненасыщенных кислот, 30% насыщенных жирных кислот 60% мононенасыщенной (олеиновой) кислоты. Близки к указанному жирно-кислотный состав имеют арахисовое и оливковое масло, а также некоторые виды маргаринов.
Калорийность жиров животного и растительного происхождения примерно одинаковая. На долю жиров должно приходиться около 30% калорийности дневного рациона человека, т. е. ежедневное потребление жиров с пищей должно составлять 90-100г. С учетом потребности организма в жирных полиненасыщенных кислотах 30% потребляемого жира должны составлять растительные масла и 70% животные жиры.
Большое внимание в настоящее время уделяется содержащимся в жирах жироподобным веществам – фосфолипидам, холестерину и другим, которые активно участвуют в различных процессах жизнедеятельности организма. Потребность в фосфолипидах составляет около 5г. в сутки. Следует отметить, что жиры улучшают вкус пищи и вызывают длительное чувство насыщенности, так как они перевариваются и всасываются медленнее других пищевых веществ.
3.3
Основные ориентировочные критерии растительных масел
В ходе моей работы было проведено анкетирование студентов с целью выявления, на какие критерии ориентируются молодые хозяйки при покупке растительного масла.
Критерии узнаваемости растительных масел:
Первое упоминание - первая марка или вид масла, который называет респондент при ответе на вопрос
Спонтанное знание - вспоминание марки или видов масел без посторонней помощи.
Знание с подсказкой - респонденту зачитывается список марок или видов масел, предлагается их перечень, после чего он говорит, какие из этих марок ему известны, а какие нет.
Лидер по спонтанному знанию – традиционное подсолнечное масло без добавок – 87% респондентов назвали его в первую очередь, далее по известности следует оливковое масло, каждый третий вспомнил о растительном и кукурузном масле.
Лидеры по подсказанному знанию – подсолнечное масло без добавок и оливковое, их знают практически все респонденты. Кукурузное масло несколько отстает от лидеров, но тем не менее 77% опрошенных указали этот вид масла, 68% вспомнили о соевом масле, о льняном 35%, о растительном масле с добавками вспомнили 32% опрошенных, 24% - о горчичном масле, о миксах растительного масла – 23% , 3% - о рапсовом масле.
Как свидетельствуют данные опроса, хозяйки предпочитают для семьи покупать традиционное – подсолнечное масло без добавок. Именно его покупало большинство респондентов в последние три месяца – 78%. Оливковое масло покупали примерно в три раза меньшее количество опрошенных – 29%, оно значительно проигрывает подсолнечному по текущему спросу из-за высокой цены.
Чаще всего потребители приобретают растительное масло, когда оно закончилось – 67%, треть респондентов (28%) оказалась запасливой и покупает масло впрок, «про запас».
Обычно потребители покупают масло для заправки салатов, так ответили 80% респондентов, для обжарки овощей в супы 75%, почти столько же 73% для жарки на сковороде, для жарки во фритюре – 34%, тушения – 30%.
В упаковке масла представители анкетирования ценят прежде всего удобство при наливании масла (удобно держать в руках) – 76% опрошенных, удобство при хранении оценили 75% респондентов, удобство при открывании – 76%.
Основным критерием при выборе растительного масла является его натуральность, так ответили 89% опрошенных, для такого же количества респондентов важна его полезность, 84% считают, что растительное масло подходит для всех блюд, 85% - считают растительное масло наиболее оптимальным для жарки, отсутствие холестерина ценят 82% потребителей, а отсутствие консервантов – 81%, также потребители оценили то, что растительное масло всегда можно найти в продаже – так ответили 82% респондентов.
60% опрошенных предпочитают растительное масло, произведенное отечественными производителями, в то время как иностранного производителя выберет только 21%, известность марки влияет на покупку 62% опрошенных. Для представителей анкетирования при покупке растительного масла важна и его цена – так ответили 57% опрошенных – они хотели бы платить меньшую цену за больший объем. Этот фактор особенно существенен при нынешнем росте цен на растительное масло.
Заключение
Растительные жиры и масла являются обязательным компонентом пищи, источником энергетического к пластического материала для человека, поставщиком ряда необходимых для него веществ (непредельных жирных кислот, фосфолипидов, жирорастворимых витаминов, стеринов, то есть они являются незаменимыми факторами питания, определяющими его биологическую эффективность. Рекомендуемое содержание жира в рационе человека (по калорийности) составляет 30—33%; для населения южных зон нашей страны рекомендуется — 27-28%. северных — 38-40% или 90-107 г в сутки, в том числе непосредственно в виде жиров 45-50 г.
Длительное ограничение жиров в питании или систематическое использование жиров с пониженным содержанием необходимых компонентов, в том числе сливочного масла, приводит к отклонениям в физиологическом состоянии организма: нарушается деятельность центральной нервной системы, снижается устойчивость организма к инфекциям (иммунитет), сокращается продолжительность жизни. Но и избыточное потребление жиров нежелательно, оно приводит к ожирению, сердечно-сосудистым заболеваниям, преждевременному старению.
Для восполнения энергетических затрат организма и построения его клеточных структур в дневном рационе взрослому здоровому человеку необходимо 80-100 г жира\сут. В рационе должно содержаться 25-30г непрогретого растительного масла и 30-35г сливочного масла или соответствующие по содержанию жира количества сметаны, сливок, остальное количество (до суточной нормы) должны составлять кулинарные жиры.
Список использованной литературы
1. Диетическое питание [Электронный ресурс] / Режим доступа: http://diamart.su/index.php?option=com_content&task=view&id=73
2. Всероссийский рекламно-информационный еженедельник «Продуктовый рынок» [Электронный ресурс] / Режим доступа: http://www.prod-nn.ru/?id=11163
3. Кливер, О.Г. Здоровый образ жизни. Рациональное питание [Текст] / О.Г. Кливер – Мурманск: Изд-во МГТУ, 2006. – 71 с.
4. Нечаев, А.П. Пищевая химия [Текст] / А.П. Нечаев – СПб.: ГИОРД, 2004. – 640 с.
5. Павлоцкая Л.Ф. Физиология питания [Текст] / Л.Ф. Павлоцкая – М.: Высш. шк., 1989.-368 с.
6. Русская машиностроительная компания [Электронный ресурс] / Режим доступа: http://www.r-m-k.ru/newsd-7.htm
Памятка «Рациональное использование растительных масел»
Эффективность действия растительных масел достигается только при соблюдении рецептов приготовления, соблюдения срока и правил хранения масла, а также при прочих условиях правильного применения растительных масел в домашних условиях.
- Масла холодного отжима должны использоваться исключительно для приготовления холодных и вареных блюд (искл. оливковое и рапсовое масло).
- Нерафинированные масла рекомендуется добавлять в салаты.
- Рафинированные масла рекомендуется применять для жарки на сковороде, тушения в духовке и для приготовления пищи во фритюре
- Растительные масла следует хранить в тёмной таре, при низких температурах (в холодильнике), хорошо закупоренными.
- Сроки хранения растительного масла:
для рафинированного всех видов – 1 год;
для нерафинированного и гидратированного подсолнечного масла высшего и первого сортов – 2 года;
для нерафинированного и гидратированного подсолнечного масла второго сорта – 3 года.
- В дневном рационе взрослому здоровому человеку необходимо 80-100 г жира\сут. В рационе должно содержаться 25-30г непрогретого растительного масла и 30-35г сливочного масла или соответствующие по содержанию жира количества сметаны, сливок, остальное количество (до суточной нормы) должны составлять кулинарные жиры.
|