| МОУ «Гатчинская средняя общеобразовательная школа № 9 с углубленным изучением отдельных предметов»
Работа по геометрии
на тему:
«Золотое сечение»
Подготовила: Загорулько Дарья
ученица 9 «В» класса
Под руководством: Корнет Л.И.
г. Гатчина, 2007 г.
Содержание
Введение…………………………………………………3
Глава I……………………………………………………4
Глава II…………………………………………………...6
Глава III…………………………………………………..8
Глава IV…………………………………………………..10
Глава V……………………………………………………14
Глава VI…………………………………………………...15
Глава VII………………………………………………….18
Глава VIII…………………………………………………21
Список используемой литературы………………………22
Приложение………………………………………………23
Введение
Человек различает окружающие его предметы по форме. Интерес к форме какого-либо предмета может быть продиктован жизненной необходимостью, а может быть вызван красотой формы. Форма, в основе построения которой лежат сочетание симметрии и золотого сечения, способствует наилучшему зрительному восприятию и появлению ощущения красоты и гармонии. Целое всегда состоит из частей, части разной величины находятся в определенном отношении друг к другу и к целому. Принцип золотого сечения – высшее проявление структурного и функционального совершенства целого и его частей в искусстве, науке, технике и природе.
Глава
I
. Золотое сечение – гармоническая пропорция.
В математике пропорцией
(лат. proportio) называют равенство двух отношений: a
: b
= c
: d
.
Отрезок прямой АВ
можно разделить на две части следующими способами:
- на две равные части – АВ
: АС
= АВ
: ВС
;
- на две неравные части в любом отношении (такие части пропорции не образуют);
- таким образом, когда АВ
: АС
= АС
: ВС
.
Последнее и есть золотое деление или деление отрезка в крайнем и среднем отношении.
Золотое сечение – это такое пропорциональное деление отрезка на неравные части, при котором весь отрезок так относится к большей части, как сама большая часть относится к меньшей; или другими словами, меньший отрезок так относится к большему, как больший ко всему
Золотое сечение называют также золотой пропорцией. В изобразительном искусстве - это гармоничная ассиметрия в построении композиции. Подобный принцип придает произведению законченность, совершенство и в то же время подвижность, динамику, оживляет композицию.
a
: b
= b
: c
или с
: b
= b
: а
.

Рис. 1.
Геометрическое изображение золотой пропорции
Рис. 2.
Деление отрезка прямой по золотому сечению. BC = 1/2 AB; CD = BC
Из точки В
восставляется перпендикуляр, равный половине АВ
. Полученная точка С
соединяется линией с точкой А
. На полученной линии откладывается отрезок ВС
, заканчивающийся точкой D
. Отрезок AD
переносится на прямую АВ
. Полученная при этом точка Е
делит отрезок АВ
в соотношении золотой пропорции.
Забиваем Сайты В ТОП КУВАЛДОЙ - Уникальные возможности от SeoHammer
Каждая ссылка анализируется по трем пакетам оценки: SEO, Трафик и SMM.
SeoHammer делает продвижение сайта прозрачным и простым занятием.
Ссылки, вечные ссылки, статьи, упоминания, пресс-релизы - используйте по максимуму потенциал SeoHammer для продвижения вашего сайта.
Что умеет делать SeoHammer
— Продвижение в один клик, интеллектуальный подбор запросов, покупка самых лучших ссылок с высокой степенью качества у лучших бирж ссылок.
— Регулярная проверка качества ссылок по более чем 100 показателям и ежедневный пересчет показателей качества проекта.
— Все известные форматы ссылок: арендные ссылки, вечные ссылки, публикации (упоминания, мнения, отзывы, статьи, пресс-релизы).
— SeoHammer покажет, где рост или падение, а также запросы, на которые нужно обратить внимание.
SeoHammer еще предоставляет технологию Буст, она ускоряет продвижение в десятки раз,
а первые результаты появляются уже в течение первых 7 дней.
Зарегистрироваться и Начать продвижение
Отрезки золотой пропорции выражаются бесконечной иррациональной дробью AE
= 0,618..., если АВ
принять за единицу, ВЕ
= 0,382... Для практических целей часто используют приближенные значения 0,62 и 0,38. Если отрезок АВ
принять за 100 частей, то большая часть отрезка равна 62, а меньшая – 38 частям.
Свойства золотого сечения описываются уравнением:
x
2
– x
– 1 = 0.
Решение этого уравнения:

Свойства золотого сечения создали вокруг этого числа романтический ореол таинственности и чуть ли не мистического поклонения.
Глава
II
. Второе золотое сечение
В 1983 году была опубликована работа Цветана Цекова-Карандаша о втором золотом сечении, по которому отношение другое - 44:56.Такая пропорция обнаружена в архитектуре, а также имеет место при построении композиций изображений удлиненного горизонтального формата.
Рис. 3.
Построение второго золотого сечения
Деление осуществляется следующим образом. Отрезок АВ
делится в пропорции золотого сечения. Из точки С
восставляется перпендикуляр СD
. Радиусом АВ
находится точка D
, которая соединяется линией с точкой А
. Прямой угол АСD
делится пополам. Из точки С
проводится линия до пересечения с линией AD
. Точка Е
делит отрезок AD
в отношении 56 : 44.
Рис. 4.
Деление прямоугольника линией второго золотого сечения
На рисунке показано положение линии второго золотого сечения. Она находится посередине между линией золотого сечения и средней линией прямоугольника.
Глава
III
. Золотой треугольник
Для нахождения отрезков золотой пропорции восходящего и нисходящего рядов можно пользоваться пентаграммой
.

Рис. 5.
Построение правильного пятиугольника и пентаграммы
Для построения пентаграммы необходимо построить правильный пятиугольник. Способ его построения разработал немецкий живописец и график Альбрехт Дюрер (1471 - 1528). Пусть O
– центр окружности, A
– точка на окружности и Е
– середина отрезка ОА
. Перпендикуляр к радиусу ОА
, восставленный в точке О
, пересекается с окружностью в точке D
. Пользуясь циркулем, отложим на диаметре отрезок CE
= ED
. Длина стороны вписанного в окружность правильного пятиугольника равна DC
. Откладываем на окружности отрезки DC
и получим пять точек для начертания правильного пятиугольника. Соединяем углы пятиугольника через один диагоналями и получаем пентаграмму. Все диагонали пятиугольника делят друг друга на отрезки, связанные между собой золотой пропорцией.
Сервис онлайн-записи на собственном Telegram-боте
Попробуйте сервис онлайн-записи VisitTime на основе вашего собственного Telegram-бота:
— Разгрузит мастера, специалиста или компанию;
— Позволит гибко управлять расписанием и загрузкой;
— Разошлет оповещения о новых услугах или акциях;
— Позволит принять оплату на карту/кошелек/счет;
— Позволит записываться на групповые и персональные посещения;
— Поможет получить от клиента отзывы о визите к вам;
— Включает в себя сервис чаевых.
Для новых пользователей первый месяц бесплатно.
Зарегистрироваться в сервисе
Каждый конец пятиугольной звезды представляет собой золотой треугольник. Его стороны образуют угол 36° при вершине, а основание, отложенное на боковую сторону, делит ее в пропорции .
Рис. 6.
Построение золотого треугольника
Проводим прямую АВ
. От точки А
откладываем на ней три раза отрезок О
произвольной величины, через полученную точку Р
проводим перпендикуляр к линии АВ
, на перпендикуляре вправо и влево от точки Р
откладываем отрезки О
. Полученные точки d
и d
1
соединяем прямыми с точкой А
. Отрезок dd
1
откладываем на линию Ad
1
, получая точку С
. Она разделила линию Ad
1
в пропорции золотого сечения. Линиями Ad
1
и dd
1
пользуются для построения «золотого» прямоугольника.
Глава IV. История золотого сечения
Принято считать, что понятие о золотом делении ввел в научный обиход Пифагор, древнегреческий философ и математик (VI в. до н.э.). Есть предположение, что Пифагор свое знание золотого деления позаимствовал у египтян и вавилонян. И действительно, пропорции пирамиды Хеопса, храмов, барельефов, предметов быта и украшений из гробницы Тутанхамона свидетельствуют, что египетские мастера пользовались соотношениями золотого деления при их создании. Французский архитектор Ле Корбюзье нашел, что в рельефе из храма фараона Сети I в Абидосе и в рельефе, изображающем фараона Рамзеса, пропорции фигур соответствуют величинам золотого деления. Зодчий Хесира, изображенный на рельефе деревянной доски из гробницы его имени, держит в руках измерительные инструменты, в которых зафиксированы пропорции золотого деления.
Греки были искусными геометрами. Даже арифметике обучали своих детей при помощи геометрических фигур. Квадрат Пифагора и диагональ этого квадрата были основанием для построения динамических прямоугольников.

Рис. 7.
Динамические прямоугольники
Платон (427...347 гг. до н.э.) также знал о золотом делении. Его диалог «Тимей» посвящен математическим и эстетическим воззрениям школы Пифагора и, в частности, вопросам золотого деления.
В фасаде древнегреческого храма Парфенона присутствуют золотые пропорции. При его раскопках обнаружены циркули, которыми пользовались архитекторы и скульпторы античного мира. В Помпейском циркуле (музей в Неаполе) также заложены пропорции золотого деления.

Рис. 8.
Античный циркуль золотого сечения Рис. 9.
Построение шкалы отрезков золотой пропорции
В последующие века правило золотой пропорции превратилось в академический канон и, когда со временем в искусстве началась борьба с академической рутиной, в пылу борьбы «вместе с водой выплеснули и ребенка». Вновь «открыто» золотое сечение было в середине XIX в. В 1855 г. немецкий исследователь золотого сечения профессор Цейзинг опубликовал свой труд «Эстетические исследования». С Цейзингом произошло именно то, что и должно было неминуемо произойти с исследователем, который рассматривает явление как таковое, без связи с другими явлениями. Он абсолютизировал пропорцию золотого сечения, объявив ее универсальной для всех явлений природы и искусства. У Цейзинга были многочисленные последователи, но были и противники, которые объявили его учение о пропорциях «математической эстетикой».
Рис. 11.
Золотые пропорции в фигуре человека
Цейзинг проделал колоссальную работу. Он измерил около двух тысяч человеческих тел и пришел к выводу, что золотое сечение выражает средний статистический закон. Деление тела точкой пупа – важнейший показатель золотого сечения. Пропорции мужского тела колеблются в пределах среднего отношения 13 : 8 = 1,625 и несколько ближе подходят к золотому сечению, чем пропорции женского тела, в отношении которого среднее значение пропорции выражается в соотношении 8 : 5 = 1,6. У новорожденного пропорция составляет отношение 1 : 1, к 13 годам она равна 1,6, а к 21 году равняется мужской. Пропорции золотого сечения проявляются и в отношении других частей тела – длина плеча, предплечья и кисти, кисти и пальцев и т.д. Справедливость своей теории Цейзинг проверял на греческих статуях. Наиболее подробно он разработал пропорции Аполлона Бельведерского. Подверглись исследованию греческие вазы, архитектурные сооружения различных эпох, растения, животные, птичьи яйца, музыкальные тона, стихотворные размеры. Цейзинг дал определение золотому сечению, показал, как оно выражается в отрезках прямой и в цифрах. Когда цифры, выражающие длины отрезков, были получены, Цейзинг увидел, что они составляют ряд Фибоначчи, который можно продолжать до бесконечности в одну и в другую сторону. Следующая его книга имела название «Золотое деление как основной морфологический закон в природе и искусстве». В 1876 г. в России была издана небольшая книжка, почти брошюра, с изложением этого труда Цейзинга. Автор укрылся под инициалами Ю.Ф.В. В этом издании не упомянуто ни одно произведение живописи.
В конце XIX – начале XX вв. появилось немало чисто формалистических теории о применении золотого сечения в произведениях искусства и архитектуры. С развитием дизайна и технической эстетики действие закона золотого сечения распространилось на конструирование машин, мебели и т.д.
Глава V. Ряд Фибоначчи
С историей золотого сечения косвенным образом связано имя итальянского математика монаха Леонардо из Пизы, более известного под именем Фибоначчи (сын Боначчи). Он много путешествовал по Востоку, познакомил Европу с индийскими (арабскими) цифрами. В 1202 г вышел в свет его математический труд «Книга об абаке» (счетной доске), в котором были собраны все известные на то время задачи. Одна из задач гласила «Сколько пар кроликов в один год от одной пары родится». Размышляя на эту тему, Фибоначчи выстроил такой ряд цифр:
| Месяцы
|
0
|
1
|
2
|
3
|
4
|
5
|
6
|
7
|
8
|
9
|
10
|
11
|
12
|
и т.д.
|
| Пары кроликов
|
0
|
1
|
1
|
2
|
3
|
5
|
8
|
13
|
21
|
34
|
55
|
89
|
144
|
и т.д.
|
Ряд чисел 0, 1, 1, 2, 3, 5, 8, 13, 21, 34, 55 и т.д. известен как ряд Фибоначчи. Особенность последовательности чисел состоит в том, что каждый ее член, начиная с третьего, равен сумме двух предыдущих 2 + 3 = 5; 3 + 5 = 8; 5 + 8 = 13, 8 + 13 = 21; 13 + 21 = 34 и т.д., а отношение смежных чисел ряда приближается к отношению золотого деления. Так, 21 : 34 = 0,617, а 34 : 55 = 0,618. Это отношение обозначается символом Ф
. Только это отношение – 0,618 : 0,382 – дает непрерывное деление отрезка прямой в золотой пропорции, увеличение его или уменьшение до бесконечности, когда меньший отрезок так относится к большему, как больший ко всему.
Фибоначчи так же занимался решением практических нужд торговли: с помощью какого наименьшего количества гирь можно взвесить товар? Фибоначчи доказывает, что оптимальной является такая система гирь: 1, 2, 4, 8, 16...
Глава VI. Обобщенное золотое сечение
Ряд Фибоначчи мог бы остаться только математическим казусом, если бы не то обстоятельство, что все исследователи золотого деления в растительном и в животном мире, не говоря уже об искусстве, неизменно приходили к этому ряду как арифметическому выражению закона золотого деления.
Ученые продолжали активно развивать теорию чисел Фибоначчи и золотого сечения. Ю. Матиясевич с использованием чисел Фибоначчи решает 10-ю проблему Гильберта. Возникают изящные методы решения ряда кибернетических задач (теории поиска, игр, программирования) с использованием чисел Фибоначчи и золотого сечения. В США создается даже Математическая Фибоначчи-ассоциация, которая с 1963 года выпускает специальный журнал.
Одним из достижений в этой области является открытие обобщенных чисел Фибоначчи и обобщенных золотых сечений.
Ряд Фибоначчи (1, 1, 2, 3, 5, 8) и открытый им же «двоичный» ряд гирь 1, 2, 4, 8, 16... на первый взгляд совершенно разные. Но алгоритмы их построения весьма похожи друг на друга: в первом случае каждое число есть сумма предыдущего числа с самим собой 2 = 1 + 1; 4 = 2 + 2..., во втором – это сумма двух предыдущх чисел 2 = 1 + 1, 3 = 2 + 1, 5 = 3 + 2.... Нельзя ли отыскать общую математическую формулу, из которой получаются и «двоичный» ряд, и ряд Фибоначчи? А может быть, эта формула даст нам новые числовые множества, обладающие какими-то новыми уникальными свойствами?
Действительно, зададимся числовым параметром S
, который может принимать любые значения: 0, 1, 2, 3, 4, 5... Рассмотрим числовой ряд, S
+ 1 первых членов которого – единицы, а каждый из последующих равен сумме двух членов предыдущего и отстоящего от предыдущего на S
шагов. Если n
-й член этого ряда мы обозначим через φS
(n
), то получим общую формулу φS
(n
) = φS
(n
– 1) + φS
(n
– S
– 1).
Очевидно, что при S
= 0 из этой формулы мы получим «двоичный» ряд, при S
= 1 – ряд Фибоначчи, при S
= 2, 3, 4. новые ряды чисел, которые получили название S
-чисел Фибоначчи.
В общем виде золотая S
-пропорция есть положительный корень уравнения золотого S
-сечения xS+1
– xS
– 1 = 0.
Нетрудно показать, что при S
= 0 получается деление отрезка пополам, а при S
= 1 –знакомое классическое золотое сечение.
Отношения соседних S
-чисел Фибоначчи с абсолютной математической точностью совпадают в пределе с золотыми S
-пропорциями! Математики в таких случаях говорят, что золотые S
-сечения являются числовыми инвариантами S
-чисел Фибоначчи.
Факты, подтверждающие существование золотых S
-сечений в природе, приводит белорусский ученый Э.М. Сороко в книге «Структурная гармония систем» (Минск, «Наука и техника», 1984). Оказывается, например, что хорошо изученные двойные сплавы обладают особыми, ярко выраженными функциональными свойствами (устойчивы в термическом отношении, тверды, износостойки, устойчивы к окислению и т. п) только в том случае, если удельные веса исходных компонентов связаны друг с другом одной из золотых S
-пропорций. Это позволило автору выдвинуть гипотезe о том, что золотые S
-сечения есть числовые инварианты самоорганизующихся систем. Будучи подтвержденной экспериментально, эта гипотеза может иметь фундаментальное значение для развития синергетики – новой области науки, изучающей процессы в самоорганизующихся системах.
С помощью кодов золотой S
-пропорции можно выразить любое действительное число в виде суммы степеней золотых S
-пропорций с целыми коэффициентами.
Принципиальное отличие такого способа кодирования чисел заключается в том, что основания новых кодов, представляющие собой золотые S
-пропорции, при S
> 0 оказываются иррациональными числами. Таким образом, новые системы счисления с иррациональными основаниями как бы ставят «с головы на ноги» исторически сложившуюся иерархию отношений между числами рациональными и иррациональными. Дело в том, что сначала были «открыты» числа натуральные; затем их отношения – числа рациональные. И лишь позже – после открытия пифагорийцами несоизмеримых отрезков – на свет появились иррациональные числа. Скажем, в десятичной, пятеричной, двоичной и других классических позиционных системах счисления в качестве своеобразной первоосновы были выбраны натуральные числа – 10, 5, 2, – из которых уже по определенным правилам конструировались все другие натуральные, а также рациональные и иррациональные числа.
Своего рода альтернативой существующим способам счисления выступает новая, иррациональная система, в качестве первоосновы, начала счисления которой выбрано иррациональное число (являющееся, напомним, корнем уравнения золотого сечения); через него уже выражаются другие действительные числа.
В такой системе счисления любое натуральное число всегда представимо в виде конечной – а не бесконечной, как думали ранее! – суммы степеней любой из золотых S
-пропорций. Это одна из причин, почему «иррациональная» арифметика, обладая удивительной математической простотой и изяществом, как бы вобрала в себя лучшие качества классической двоичной и «Фибоначчиевой» арифметик.
Глава VII. Принципы формообразования в природе
Все, что приобретало какую-то форму, образовывалось, росло, стремилось занять место в пространстве и сохранить себя. Это стремление находит осуществление в основном в двух вариантах – рост вверх или расстилание по поверхности земли и закручивание по спирали.
Раковина закручена по спирали. Если ее развернуть, то получается длина, немного уступающая длине змеи. Небольшая десятисантиметровая раковина имеет спираль длиной 35 см. Спирали очень распространены в природе. Представление о золотом сечении будет неполным, если не сказать о спирали.

Рис. 12.
Спираль Архимеда
Форма спирально завитой раковины привлекла внимание Архимеда. Он изучал ее и вывел уравнение спирали. Спираль, вычерченная по этому уравнению, называется его именем. Увеличение ее шага всегда равномерно. В настоящее время спираль Архимеда широко применяется в технике.
Еще Гете подчеркивал тенденцию природы к спиральности. Винтообразное и спиралевидное расположение листьев на ветках деревьев подметили давно. Спираль увидели в расположении семян подсолнечника, в шишках сосны, ананасах, кактусах и т.д. Совместная работа ботаников и математиков пролила свет на эти удивительные явления природы. Выяснилось, что в расположении листьев на ветке (филотаксис), семян подсолнечника, шишек сосны проявляет себя ряд Фибоначчи, а стало быть, проявляет себя закон золотого сечения. Паук плетет паутину спиралеобразно. Спиралью закручивается ураган. Испуганное стадо северных оленей разбегается по спирали. Молекула ДНК закручена двойной спиралью. Гете называл спираль «кривой жизни».
Среди придорожных трав растет ничем не примечательное растение – цикорий. Приглядимся к нему внимательно. От основного стебля образовался отросток. Тут же расположился первый листок.

Рис. 13.
Цикорий
Отросток делает сильный выброс в пространство, останавливается, выпускает листок, но уже короче первого, снова делает выброс в пространство, но уже меньшей силы, выпускает листок еще меньшего размера и снова выброс. Если первый выброс принять за 100 единиц, то второй равен 62 единицам, третий – 38, четвертый – 24 и т.д. Длина лепестков тоже подчинена золотой пропорции. В росте, завоевании пространства растение сохраняло определенные пропорции. Импульсы его роста постепенно уменьшались в пропорции золотого сечения.

Рис. 14.
Ящерица живородящая
В ящерице с первого взгляда улавливаются приятные для нашего глаза пропорции – длина ее хвоста так относится к длине остального тела, как 62 к 38.
И в растительном, и в животном мире настойчиво пробивается формообразующая тенденция природы – симметрия относительно направления роста и движения. Здесь золотое сечение проявляется в пропорциях частей перпендикулярно к направлению роста.
Природа осуществила деление на симметричные части и золотые пропорции. В частях проявляется повторение строения целого.

Рис. 15.
Яйцо птицы
Великий Гете, поэт, естествоиспытатель и художник (он рисовал и писал акварелью), мечтал о создании единого учения о форме, образовании и преобразовании органических тел. Это он ввел в научный обиход термин морфология.
Пьер Кюри в начале нашего столетия сформулировал ряд глубоких идей симметрии. Он утверждал, что нельзя рассматривать симметрию какого-либо тела, не учитывая симметрию окружающей среды.
Закономерности «золотой» симметрии проявляются в энергетических переходах элементарных частиц, в строении некоторых химических соединений, в планетарных и космических системах, в генных структурах живых организмов. Эти закономерности, как указано выше, есть в строении отдельных органов человека и тела в целом, а также проявляются в биоритмах и функционировании головного мозга и зрительного восприятия
Глава VIII. Золотое сечение и симметрия
Золотое сечение нельзя рассматривать само по себе, отдельно, без связи с симметрией. Великий русский кристаллограф Г.В. Вульф (1863...1925) считал золотое сечение одним из проявлений симметрии.
Золотое деление не есть проявление асимметрии, чего-то противоположного симметрии Согласно современным представлениям золотое деление – это асимметричная симметрия. В науку о симметрии вошли такие понятия, как статическая
и динамическая симметрия
. Статическая симметрия характеризует покой, равновесие, а динамическая – движение, рост. Так, в природе статическая симметрия представлена строением кристаллов, а в искусстве характеризует покой, равновесие и неподвижность. Динамическая симметрия выражает активность, характеризует движение, развитие, ритм, она – свидетельство жизни. Статической симметрии свойственны равные отрезки, равные величины. Динамической симметрии свойственно увеличение отрезков или их уменьшение, и оно выражается в величинах золотого сечения возрастающего.
Список используемой литературы
.
1. Ковалев Ф.В. Золотое сечение в живописи. К.: Высшая школа, 1989.
2. Кеплер И. О шестиугольных снежинках. – М., 1982.
3. Дюрер А. Дневники, письма, трактаты – Л., М., 1957.
4. Цеков-Карандаш Ц. О втором золотом сечении. – София, 1983.
5.Стахов А. Коды золотой пропорции.
Приложение
1.«Золотое сечение» в скульптуре
Скульптурные сооружения, памятники воздвигаются, чтобы увековечить знаменательные события, сохранить в памяти потомков имена прославленных людей, их подвиги и деяния.
Известно, что еще в древности основу скульптуры составляла теория пропорций. Отношения частей человеческого тела связывались с формулой золотого сечения.
Пропорции «золотого сечения» создают впечатление гармонии красоты, поэтому скульпторы использовали их в своих произведениях.
Скульпторы утверждают, что талия делит совершенное человеческое тело в отношении «золотого сечения». Так, например, знаменитая статуя Аполлона Бельведерского состоит из частей, делящихся по золотым отношениям.
Великий древнегреческий скульптор Фидий часто использовал «золотое сечение» в своих произведениях. Самыми знаменитыми из них были статуя Зевса Олимпийского (которая считалась одним из чудес света) и Афины Парфенос.
Измерения нескольких тысяч человеческих тел позволили обнаружить, что для взрослых мужчин это отношение равно = 1,625, а для взрослых женщин оно составляет = 1,6. Так что пропорции мужчин ближе к «золотому сечению», чем пропорции женщин. Было проведено большое число измерений на помещенных в журналах крупных портретах мужчин и женщин, на многих из них указанные отношения представляют «золотое сечение».
4. «Золотое сечение» в архитектуре
В книгах о «золотом сечении» можно найти замечание о том, что в архитектуре, как и в живописи, все зависит от положения наблюдателя, и что, если некоторые пропорции в здании с одной стороны кажутся образующими «золотое сечение», то с других точек зрения они будут выглядеть иначе. «Золотое сечение» дает наиболее спокойное соотношение размеров тех или иных длин.
Одним из красивейших произведений древнегреческой архитектуры является Парфенон (V в. до н. э.).
Парфенон имеет 8 колонн по коротким сторонам и 17 по длинным. выступы сделаны целиком из квадратов пентилейского мрамора. Благородство материала, из которого построен храм, позволило ограничить применение обычной в греческой архитектуре раскраски, она только подчеркивает детали и образует цветной фон (синий и красный) для скульптуры. Отношение высоты здания к его длине равно 0,618. Если произвести деление Парфенона по «золотому сечению», то получим те или иные выступы фасада.
Другим примером из архитектуры древности является Пантеон.
Известный русский архитектор М. Казаков в своем творчестве широко использовал «золотое сечение». Его талант был многогранным, но в большей степени он раскрылся в многочисленных осуществленных проектах жилых домов и усадеб. Например, «золотое сечение» можно обнаружить в архитектуре здания сената в Кремле. По проекту М. Казакова в Москве была построена Голицынская больница, которая в настоящее время называется Первой клинической больницей имени Н.И. Пирогова (Ленинский проспект, д. 5).
Еще один архитектурный шедевр Москвы – дом Пашкова – является одним из наиболее совершенных произведений архитектуры В. Баженова.
Прекрасное творение В. Баженова прочно вошло в ансамбль центра современной Москвы, обогатило его. Наружный вид дома сохранился почти без изменений до наших дней, несмотря на то, что он сильно обгорел в 1812 г. При восстановлении здание приобрело более массивные формы. Не сохранилась и внутренняя планировка здания, о которой дают представления только чертеж нижнего этажа.
Многие высказывания зодчего заслуживают внимание и в наши дни. О своем любимом искусстве В. Баженов говорил: «Архитектура – главнейшие имеет три предмета: красоту, спокойность и прочность здания... К достижению сего служит руководством знание пропорции, перспектива, механика или вообще физика, а всем им общим вождем является рассудок».
5. «Золотое сечение» в живописи
Переходя к примерам «золотого сечения» в живописи, нельзя не остановить своего внимания на творчестве Леонардо да Винчи. Его личность – одна из загадок истории. Сам Леонардо да Винчи говорил: «Пусть никто, не будучи математиком, не дерзнет читать мои труды».
Он снискал славу непревзойденного художника, великого ученого, гения, предвосхитившего многие изобретения, которые не были осуществлены вплоть до XX в. Нет сомнений, что Леонардо да Винчи был великим художником, это признавали уже его современники, но его личность и деятельность останутся покрытыми тайной, так как он оставил потомкам не связное изложение своих идей, а лишь многочисленные рукописные наброски, заметки, в которых говорится «обо всем на свете».
Он писал справа налево неразборчивым почерком и левой рукой. Это самый известный из существующих образец зеркального письма.
Портрет Моны Лизы (Джоконды) долгие годы привлекает внимание исследователей, которые обнаружили, что композиция рисунка основана на золотых треугольниках, являющихся частями правильного звездчатого пятиугольника. Существует очень много версий об истории этого портрета. Вот одна из них.
Однажды Леонардо да Винчи получил заказ от банкира Франческо де ле Джокондо написать портрет молодой женщины, жены банкира, Моны Лизы. Женщина не была красива, но в ней привлекала простота и естественность облика. Леонардо согласился писать портрет. Его модель была печальной и грустной, но Леонардо рассказал ей сказку, услышав которую, она стала живой и интересной.
Сказка
Жил-был один бедный человек, было у него четыре сына: три умных, а один из них и так, и сяк. И вот пришла за отцом смерть. Перед тем, как расстаться с жизнью, он позвал к себе детей и сказал: «Сыны мои, скоро я умру. Как только вы схороните меня, заприте хижину и идите на край света добывать себе счастья. Пусть каждый из вас чему-нибудь научится, чтобы мог кормить сам себя». Отец умер, а сыновья разошлись по свету, договорившись спустя три года вернуться на поляну родной рощи.
Пришел первый брат, который научился плотничать, срубил дерево и обтесал его, сделал из него женщину, отошел немного и ждет. Вернулся второй брат, увидел деревянную женщину и, так как он был портной, в одну минуту одел ее: как искусный мастер он сшил для нее красивую шелковую одежду. Третий сын украсил женщину золотом и драгоценными камнями – ведь он был ювелир. Наконец, пришел четвертый брат. Он не умел плотничать и шить, он умел только слушать, что говорит земля, деревья, травы, звери и птицы, знал ход небесных тел и еще умел петь чудесные песни. Он запел песню, от которой заплакали притаившиеся за кустами братья. Песней этой он оживил женщину, она улыбнулась и вздохнула.
Братья бросились к ней и каждый кричал одно и то же: «Ты должна быть моей женой».
Но женщина ответила: «Ты меня создал – будь мне отцом. Ты меня одел, а ты украсил – будьте мне братьями. А ты, что вдохнул в меня душу и научил радоваться жизни, ты один мне нужен на всю жизнь».
Кончив сказку, Леонардо взглянул на Мону Лизу, ее лицо озарилось светом, глаза сияли. Потом, точно пробудившись от сна, она вздохнула, провела по лицу рукой и без слов пошла на свое место, сложила руки и приняла обычную позу. Но дело было сделано – художник пробудил равнодушную статую; улыбка блаженства, медленно исчезая с ее лица, осталась в уголках рта и трепетала, придавая лицу изумительное, загадочное и чуть лукавое выражение, как у человека, который узнал тайну и, бережно ее храня, не может сдержать торжество.
Леонардо молча работал, боясь упустить этот момент, этот луч солнца, осветивший его скучную модель...
Трудно отметить, что замечали в этом шедевре искусства, но все говорили о том глубоком знании Леонардо строения человеческого тела, благодаря которому ему удалось уловить эту, как бы загадочную, улыбку. Говорили о выразительности отдельных частей картины и о пейзаже, небывалом спутнике портрета. Толковали о естественности выражения, о простоте позы, о красоте рук. Художник сделал еще небывалое: на картине изображен воздух, он окутывает фигуру прозрачной дымкой.
Несмотря на успех, Леонардо был мрачен, положение во Флоренции показалось художнику тягостным, он собрался в дорогу. Не помогли ему напоминания о нахлынувших заказах.
Задачи.
| Рассмотрим правильный пятиугольник. Его диагонали образуют правильный звездчатый пятиугольник
(пентаграмму). Все диагонали такого пятиугольника делят друг друга на отрезки, связанные между собой золотой пропорцией. Рассмотрим диагональ AD. Т. к. MBCNF правильный пятиугольник, то угол AFD равен 1080
, угол ADF равен углу FAD и равен 360
. По теореме синусов:
| AD
|
=
|
sin1080
|
=
|
sin720
|
=
|
2cos360
|
| AF
|
sin360
|
sin360
|
|
| cos360
= 1-2sin2
180
,
|
| sin760
= 2sin360
cos360
= 4sin180
cos180
(1-2sin2
180
),
|
| sin760
= cos180
(не равно 0),
|
| 1 = 4sin180
(1-2sin2
180
).
|
| Значит, sin180
является одним из корней уравнения 1 = 4x(1-2x2
)
|
| или 8x3
- 4x + 1 = 0.
|
| Разложим левую часть на множители: (2x-1)(4x2
+2x-1) = 0.
|
Корни этого уравнения: x1
= 1/2,
x2
= , x3
= . А так как sin180
есть положительное число, то
sin180
= .
Обозначим эту дробь как 1/2a. Тогда, cos360
= 1-2sin2
180
= 1- 2/(4a2
) =a/2. Таким образом, AD/AF = a. Но AF = AC, значит, AD/AF = AD/AC = a, и точка C делит отрезок AD золотым сечением.
5.
Золотой прямоугольник.
Пусть отношение сторон прямоугольника равно a. Такие прямоугольники называются прямоугольниками золотого сечения или золотыми прямоугольниками. Если вписать в прямоугольник золотого сечения наиболее возможный квадрат, то снова получим золотой прямоугольник.
AD = AE = EF, значит
| EF
|
=
|
AB-EB
|
=
|
a2
-1,
|
| EB
|
EB
|
Но a2
-1 = a, так что получаем:

Книге II своих «Начал» Евклид сформулировал предложение 2.11, которое задает «деление отрезка в среднем и крайнем отношении»:
Предложение 2.11
. Данную прямую разделить так, чтобы прямоугольник, заключенный между целой и одним из отрезков, был равен квадрату на оставшемся отрезке.
Рассмотрим это определение более детально. Для этого возьмем отрезок АВ
и разделим его точкой С
на две неравные части АС
и СВ
(Рис.1)

Рисунок 1. Деление отрезка в крайнем и среднем отношении («золотое сечение»)
Таким образом, Предложение 2.11 по существу представляет собой геометрическую задачу о построении прямоугольника, равновеликого квадрату. Подобные задачи были широко распространены в античной науке (вспомним знаменитую задачу о квадратуре круга). Евклид, однако, не указывает, какой именно отрезок (меньший или больший) должен быть выбран в Предложении 2.11 для того, чтобы сконструировать из него прямоугольник, равновеликий квадрату.
Легко доказать, что «задача Евклида», задаваемая Предложением 2.11, имеет решение только для случая, когда «одним из отрезков», образующим прямоугольник вместе с исходным отрезком, является меньший отрезок СВ.
Действительно, если в качестве «одного из отрезков» выбрать больший отрезок АС,
тогда Предложение 2.11 должно быть записано в следующем виде:
Если разделить обе части равенства (1) вначале на АВ,
а затем на СВ,
то получим следующую пропорцию:
| 
|
(2)
|
Но эта пропорция приводит нас к противоречию. Действительно, отношение большего отрезка к меньшему (АС:СВ
) всегда больше 1, в то время как отношение части отрезка ко всему отрезку (СВ
:АВ
) всегда меньше 1. Поэтому пропорция (2) является абсурдной. Отсюда мы можем сделать вывод, что Предложение 2.11 имеет решение только для случая, когда в качестве «одного из отрезков» выбирается меньший отрезок СВ.
Согласно Предложению 2.11 точка С
должна быть выбрана таким образом, чтобы площадь прямоугольника со сторонами АВ
и СВ
равнялась площади квадрата со стороной АС.
Запишем это утверждение в виде равенства:
А теперь разделим обе части равенства (3) вначале на СВ,
а затем на АС.
В результате получим следующую пропорцию:
| 
|
(4)
|
А это – ни что иное, как «задача о золотом сечении» в современной формулировке. Из этих рассуждений вытекает однозначный вывод, что «задача о делении отрезка в крайнем и среднем отношении» в формулировке Евклида и современная «задача о золотом сечении» — это разные формулировки одной и той же математической задачи!
Будем называть прямоугольник, который вытекает из Предложения 2.11 «прямоугольником Евклида».
Если обозначить длины отрезков АВ, АС
и СВ
соответственно: АВ
= а, АС = b
и СВ = с,
то выражение (3) может быть переписано в следующем виде:
С учетом введенного определения мы можем представить «прямоугольник Евклида», как показано на Рис.2.
 Рисунок 2. Прямоугольник Евклида
Как следует из Рис. 2, в «прямоугольнике Евклида» отношение большей стороны к меньшей равно отношению длины исходного отрезка к длине меньшего отрезка в Предложении 2.11; при этом согласно (5) его площадь равна квадрату длины большего отрезка.
Если в качестве исходного выбрать единичный отрезок (а=
1), то длины большего (b
) и меньшего (c
) отрезков, возникающих при деления единичного отрезка в крайнем и среднем отношении, всегда будут правильными дробями и тогда выражение (1) может быть записано в виде:
Из выражения (6) вытекает следующая формулировка Предложения 2.11 для случая единичного отрезка:
Предложение 2.11 для единичного отрезка
. Разделить единичный отрезок на две неравные части в такой пропорции, чтобы длина меньшего отрезка равнялась квадрату длины большего отрезка.
Обозначим пропорцию (4) через x.
Тогда, учитывая, что АВ = АС + СВ,
пропорцию (4) можно записать в следующем виде:
,
откуда вытекает следующее алгебраическое уравнение для вычисления искомой пропорции x
:
Из «геометрического смысла» пропорции (4) вытекает, что искомое решение уравнения (7) должно быть положительным числом, откуда вытекает, что решением задачи о делении отрезка в крайнем и среднем отношении является положительный корень уравнения (7), который мы обозначим через t, то есть
t = .
Если исходный отрезок АВ
в задаче на Рис. 1 будет единичным отрезком, то есть АВ =
1, то тогда отрезок АС =
t
-1
, а отрезок СВ =
t
-2
. С учетом этого замечания «прямоугольник Евклида» на Рис. 2 будет представлять собой «золотой» прямоугольник с отношением сторон АВ:СВ =
t
2
. Из этих рассуждений вытекает, что Евклид своим Предложением 2.11 не только сформулировал «задачу о делении отрезка в крайнем и среднем отношении» («золотое сечение»), но и открыл новый вид «золотого» прямоугольника с отношением сторон
t
2
(Рис.2).
Заметим, что сформулированное выше Предложение 2.11 для единичного отрезка выражает следующее широко известное свойство «золотой пропорции»:
| 1 = t -1
+ t -2
= 0,618 + 0,382
|
(8)
|
Заметим, что тождество (8) выражает знаменитый «Принцип Золотой Пропорции», который, начиная с античного периода, пронизывает человеческую науку и культуру.
В споре о том, знал ли Евклид «золотое сечение», необходимо четко различать математическое понятие «золотого сечения» и его название (то есть необходимо различать «суть» и «термин»). Сразу же отметим, что Евклид не пользовался термином «золотое сечение», предпочитая ему термин «деление отрезка в крайнем и среднем отношении». Но поскольку, как показано выше, задача о «делении отрезка в крайнем и среднем отношении», сформулированная Евклидом и выражаемая соотношением (3), и задача о «золотом сечении» в современной формулировке, выражаемая пропорцией (4), — это просто разные формулировки одной и той же геометрической задачи, то отсюда вытекает, что Евклид хорошо был знаком с «Принципом Золотой Пропорции»
(8). И поэтому попытки некоторых современных исследователей доказать, что Евклид не был знаком с «золотым сечением», не выдерживают критики.
2.2. Конструирование «золотого» равнобедренного треугольника, пентагона и додекаэдра
С какой целью Евклид ввел Предложение 2.12? Ответ на этот вопрос мы находим в статье [2]. Как показано в [2], Евклид использовал «Принцип Золотого Сечения», заложенный в «задаче о делении отрезка в крайнем и среднем отношении», для конструирования «золотого» равнобедренного треугольника, а затем «пентагона» и «додекаэдра».
Евклид конструирует «золотой» прямоугольный треугольник следующим образом (Рис.3). Возьмем отрезок AB
и найдем на нем точку C,
которая делит отрезок в «золотом сечении». После этого проведем дугу радиусом AB
с центром в точке А.
Найдем на дуге такую точку D,
чтобы AC
= CD
= BD.
Тогда треугольник ABD
и будет искомым «золотым» равнобедренным треугольником, в котором углы при основании BD
(72°) будут равны удвоенному значению угла при вершине А
(36°).

Рисунок 3. Геометрическое построение «золотого» равнобедренного треугольника
Используя это геометрическое построение, Евклид затем строит «пентагон». Исходным для построения «пентагона» является «золотой» равнобедренный треугольник ABD
(Рис. 3). Проведем окружность через точки A
, B
и D
(Рис.4). Проведя биссектрису угла ADB
до пересечении с этой окружностью в точке Е,
мы найдем четвертую вершину Е
«пентагона».
Заметим, что биссектриса DE
проходит через точку С,
которая делит отрезок AB
в «золотом сечении». Аналогично, проведя биссектрису BF
угла ABD
до пересечения с окружностью в точке F,
мы найдем пятую вершину F
«пентагона», после чего можно нарисовать «пентагон» (Рис.4)

Рисунок 4. Геометрическое построение пентагона
Используя «пентагон» на Рис.4, Евклид затем строит «додекаэдр» (Рис.5). Важно подчеркнуть, что Евклид строит две «сакральные» фигуры, которые играли важную роль в учениях Пифагора и Платона. Как известно, «пентаграмма», которая лежит в основе «пентагона», являлась главным «сакральным» символом Пифагорейского союза, а «додекаэдр» в космологии Платона считался главным из пяти «Платоновых тел» и символизировал Гармонию Мироздания. Как подчеркивает Э.М. Сороко [3], «представление о «сквозной» гармонии бытия неизменно связывалось с ее воплощением в этих пяти симметричных геометрических телах, выражающих идею повсеместного совершенства мира вследствие совершенства каждой из составляющих его «стихий», «начал».

Рисунок 5. Додекаэдр
Как известно, геометрическую теорию Платоновых тел Евклид разместил в последней, то есть XIII-й книге своих «Начал». Многие комментаторы считают, что это не является случайным совпадением. Обычно принято размещать наиболее важный материал научного сочинения в заключительной части книги. В частности, древнегреческий математик Прокл, который был одним из наиболее известных комментаторов Евклида, на том основании, что теорию «Платоновых Тел» Евклид разместил в заключительной части своего знаменитого сочинения, утверждает, что Евклид создавал «Начала» не с целью изложения геометрии как таковой, а чтобы дать полную систематизированную теорию построения пяти «Платоновых Тел», попутно осветив некоторые новейшие достижения математики
. А поскольку в космологии Платона, «правильные многогранники» символизировали Гармонию и Принципы Мироздания, то из утверждения Прокла вытекает, что «Начала» Евклида можно рассматривать как исторически первый вариант «Геометрической Теории Гармонии», основанной на «золотом сечении» и «Платоновых Телах».
В настоящее время большинство комментаторов Евклида сходятся в том, что «Начала» Евклида не представляют собой, однако, оригинальное сочинение. Поэтому возникает вопрос: кто изучал «золотое сечение» до Евклида? Как утверждается в статье [2], «книга II Начал содержит материал, впервые изучавшийся Теодором из Кирены (Theodorus of Cyrene), в то время как другие историки приписывают этот материал Пифагору или, по крайней мере, пифагорейцам».
По словам Ван-дер-Вардена [4], «Начала» Евклида на 2/3 написаны пифагорейскими математиками. Как подчеркивается в книге [3], Евклид разместил в своих «Началах» наиболее значительные математические результаты своего времени, и потому его «Начала» являются своеобразным «нерукотворным» памятником Пифагору, Гиппократу (Хиосскому), Евдоксу (Книдскому), Архиту, Теэтету и другим древнегреческим математикам. И это мнение Ван-дер-Вардена и Сороко является дополнительным свидетельством того факта, что Предложение 2.11, задающее «задачу о делении отрезка в крайнем и среднем отношении», скорее всего, принадлежит пифагорейцам, то есть пифагорейцы также были знакомы с «Принципом Золотой Пропорции».
Уже сам факт, что пифагорейцы выбрали «пентаграмму», нашпигованную «золотыми сечениями», в качестве главного символа своего союза, является еще одним свидетельством того, что пифагорейцы знали и почитали «золотое сечение». Именно такой вывод делает в одной из своих книг [5] доктор философских наук, кандидат физико-математических наук, профессор А.В. Волошинов, возглавляющий кафедру культурологии Саратовского государственного технического университета. В статье «Пифагор» [5] он пишет следующее:
«Особое внимание пифагорейцы уделяли пентаграмме – пятиконечной звезде, образованной диагоналями правильного пятиугольника. В пентаграмме пифагорейцы обнаружили все известные в древности пропорции: арифметическую, геометрическую, гармоническую, а также знаменитую золотую пропорцию, или золотое сечение. Совершенство математических форм пентаграммы находят отражение в совершенстве ее формы. Пентаграмма пропорциональна и, следовательно, красива. Видимо именно благодаря совершенной форме и богатству математических форм пентаграмма была выбрана пифагорейцами в качестве символа здоровья и тайного опознавательного знака. С легкой руки пифагорейцев пятиконечная звезда и сегодня является символом многих государств и реет на флагах едва ли не половины стран мира».
Таким образом, по мнению проф. Волошинова, которого трудно обвинить в дилетантизме и незнании «первоисточников», «принцип золотого сечения» был известен пифагорейцам.
2.3. «Золотой» кирпич готической архитектуры
Рассмотрим «прямоугольник Евклида», в котором большая сторона равна t («золотая пропорция»), а меньшая сторона — t -1
(Рис.6). Проведем в «прямоугольнике Евклида» диагональ DB
(Рис. 6).
 Рисунок 6. Вычисление диагонали «Прямоугольника Евклида»
Используя Теорему Пифагора, мы можем записать:
| DB
2
= BC
2
+ DC
2
= t 2
+ t -2
|
(9)
|
Используя так называемую «формулу Бине» для чисел Люка [6], мы можем записать:
DB
2
= 3,
откуда вытекает численное значение диагонали
DB
= 
Как показано в [7], «Прямоугольник Евклида» на Рис. 6 вместе с классическим «золотым» прямоугольником, в котором отношение сторон равно «золотой пропорции» t, может быть использован для конструирования прямоугольного параллелепипеда, известного под названием «золотой кирпич» (Рис. 7).
 Рисунок 7. «Золотой» кирпич
Грани «золотого кирпича» на Рис. 7 представляют собой прямоугольники, геометрические соотношения которых основаны на «золотой пропорции», а именно, грань ABCD
представляет собой классический «золотой» прямоугольник с отношением сторон АВ:ВС =
1: t -1
= t, грань ABGF
также представляет собой классический «золотой» прямоугольник с отношением сторон AF:AB =
t
: 1 = t, наконец, грань BCHG
представляет собой «прямоугольник Евклида» с отношением сторон BG:BC =
t
: t -1
= t 2
.
Используя теорему Пифагора, легко вычислить диагональ CF
«золотого кирпича»:
.
В книге [7] обращается внимание на тот факт, что именно «золотые кирпичи» широко использовались в качестве формы для основных строительных блоков готических замков. При этом выдвигается гипотеза о том, что удивительная прочность готических замков связана с использованием «золотых кирпичей» при строительстве архитектурных монументов готики.
Задача.
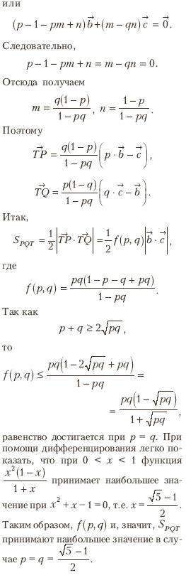
Дан треугольник ABC. Точки P и Q лежат на сторонах AB и AC соответственно, Т-точка пересечения отрезков CP и BQ. Где следует выбрать точки P и Q, чтобы площадь треугольника PQT была наибольшей?



|