| Министерство образования и науки Российской Федерации
Федеральное агентство по образованию
Красноярская государственная архитектурно-строительная академия
Экономический факультет
Кафедра бухгалтерского учета и аудита
РЕФЕРАТ
Анализ соответствия бухгалтерской (финансовой) отчетности налоговым декларациям и статистическим отчетам
Выполнила: студентка группы Э32,
Седельникова Д.И.
Проверил: Чудновец А.Ю.
Красноярск, 2006.
Содержание
Введение …………………………………………………………………….3
Анализ соответствия бухгалтерской (финансовой) отчетности налоговым декларациям и статистическим отчетам ……………………………………….6
Трендовый анализ реализации продукции и обоснование устойчивого тренда……………………………………………………………………………..8
Анализ и оценка структуры затрат и доходов организаций …………….11
Оценка эффективности операционной, финансовой и инвестиционной деятельности ……………………………………………………………………15
Анализ отчетности по составу и движению капитала организации …...20
Особенности анализа консолидированной и сегментарной отчетности организации ……………………………………………………………………..23
Заключение…………………………………………………………………28
Список использованной литературы……………………………………...32
Введение
Бухгалтерская отчетность – это единая система учетных данных об имуществе, обязательствах, а также результатах хозяйственной деятельности, составляемых на основе данных бухгалтерского учета по основным формам. Бухгалтерская отчетность организации служит основным источником информации о ее деятельности, так как бухгалтерский учет собирает, накапливает и обрабатывает экономически существенную информацию о совершенных или запланированных хозяйственных операциях и результатах хозяйственной деятельности. Таким образом, бухгалтерская отчетность служит инструментом планирования и контроля достижения экономических целей предприятия.
В Законе «О бухгалтерском учете», Положении по ведению бухгалтерского учета и бухгалтерской отчетности в Российской Федерации, ПБУ 4/99 « Бухгалтерская отчетность организации», а также в Методических рекомендациях о порядке формирования показателей бухгалтерской отчетности организации сформулированы основные требования к бухгалтерской отчетности, которая должна давать достоверное и полное представление об имущественном и финансовом положении организации, а также о финансовых результатах ее деятельности.
Среди экономических рычагов, при помощи которых государство воздействует на рыночную экономику, важное место отводится налогам. В условиях рыночной экономики любое государство широко использует налоговую политику в качестве определенного регулятора воздействия на негативные явления рынка. Налоги, как и вся налоговая система, являются мощным инструментом управления экономикой в условиях рынка.
В условиях перехода от административно-директивных методов управления к экономическим резко возрастают роль и значение налогов как регулятора рыночной экономики, поощрения и развития приоритетных отраслей экономики, через налоги государство может проводить энергичную политику в развитии наукоемких производств и ликвидации убыточных предприятий.
Забиваем Сайты В ТОП КУВАЛДОЙ - Уникальные возможности от SeoHammer
Каждая ссылка анализируется по трем пакетам оценки: SEO, Трафик и SMM.
SeoHammer делает продвижение сайта прозрачным и простым занятием.
Ссылки, вечные ссылки, статьи, упоминания, пресс-релизы - используйте по максимуму потенциал SeoHammer для продвижения вашего сайта.
Что умеет делать SeoHammer
— Продвижение в один клик, интеллектуальный подбор запросов, покупка самых лучших ссылок с высокой степенью качества у лучших бирж ссылок.
— Регулярная проверка качества ссылок по более чем 100 показателям и ежедневный пересчет показателей качества проекта.
— Все известные форматы ссылок: арендные ссылки, вечные ссылки, публикации (упоминания, мнения, отзывы, статьи, пресс-релизы).
— SeoHammer покажет, где рост или падение, а также запросы, на которые нужно обратить внимание.
SeoHammer еще предоставляет технологию Буст, она ускоряет продвижение в десятки раз,
а первые результаты появляются уже в течение первых 7 дней.
Зарегистрироваться и Начать продвижение
Наиболее краткое и чрезвычайно емкое определение налоговой системы дано Пепеляевым С.Г.: "Налоговая система - это совокупность установленных в государстве существенных условий налогообложения"
Существенными условиями налогообложения, характеризующими налоговую систему в целом, по его мнению, являются:
" принципы налогообложения
" порядок установления и введения налогов и сборов
" система налогов
" порядок распределения налогов между бюджетами различных уровней
" права и обязанности участников налоговых правоотношений
" формы и методы налогового контроля
" ответственность участников налоговых отношений
" способы защиты прав и интересов участников налоговых правоотношений
Анализ положений ст.1 НК РФ позволяет сделать вывод, что федеральный законодатель понимает налоговую систему как сложное многоэлементное экономико-правовое системное образование включающее:
- виды налогов и сборов, взимаемых в Российской Федерации;
- основания возникновения (изменения, прекращения) и порядок исполнения обязанностей по уплате налогов и сборов;
- принципы установления, введения в действие и прекращения действия ранее введенных налогов и сборов субъектов Российской Федерации и местных налогов и сборов;
- права и обязанности налогоплательщиков, налоговых органов и других участников отношений, регулируемых законодательством о налогах и сборах;
- формы и методы налогового контроля;
- ответственность за совершение налоговых правонарушений;
- порядок обжалования актов налоговых органов и действий (бездействия) их должностных лиц.
Применение налогов является одним из экономических методов управления и обеспечения взаимосвязи общественных интересов с коммерческими интересами предпринимателей, предприятий независимо от ведомственной подчиненности, форм собственности и организованно – правовой формы предприятия. С помощью налогов определяются взаимоотношения предпринимателей всех форм собственности с государственными и местными бюджетами, с банками, а также с вышестоящими организациями. При помощи налогов регулируется внешнеэкономическая деятельность, включая привлечение иностранных инвестиций, формируется хозрасчетный доход и прибыль предприятия.
Сервис онлайн-записи на собственном Telegram-боте
Попробуйте сервис онлайн-записи VisitTime на основе вашего собственного Telegram-бота:
— Разгрузит мастера, специалиста или компанию;
— Позволит гибко управлять расписанием и загрузкой;
— Разошлет оповещения о новых услугах или акциях;
— Позволит принять оплату на карту/кошелек/счет;
— Позволит записываться на групповые и персональные посещения;
— Поможет получить от клиента отзывы о визите к вам;
— Включает в себя сервис чаевых.
Для новых пользователей первый месяц бесплатно.
Зарегистрироваться в сервисе
Налоговая система является одним из главных элементов рыночной экономики. Именно налогообложение находится на стыке всех социально-политических и экономических интересов. От того, насколько рационально определено и рассредоточено между плательщиками налоговое бремя, зависит успех индивидуального, корпоративного бизнеса, а значит богатство нации в целом, ее возможность не искать пути к выживанию, а стремиться в своем развитии к высшим культурным ценностям.
Анализ соответствия бухгалтерской (финансовой) отчетности налоговым декларациям и статистическим отчетам
Важную роль при принятии решений относительно эффективного управления и делового сотрудничества играет информация о деятельности организации, доступ к которой пользователи получают через бухгалтерскую отчетность. Это повышает значение погрешностей и допущений в бухгалтерской отчетности.
Требование достоверности бухгалтерской отчетности отмечено в соответствии с п.3 ст.6 положения по бухгалтерскому учету «Бухгалтерская отчетность организации» (ПБУ 4/99), бухгалтерская отчетность должна давать достоверное и полное представление о финансовом положении организации, финансовых результатах ее деятельности и изменениях в ее финансовом положении; достоверной и полной считается бухгалтерская отчетность, сформированная исходя из правил, установленных нормативными актами по бухгалтерскому учету.
Подтвердить информацию о достоверности и правдивости финансовой отчетности предприятия позволяет аудит.
Источниками информации выступают формы бухгалтерской отчетности, применяемые предприятиями и организациями: Бухгалтерский баланс (ф. № 1); Отчет о прибылях и убытках (ф. № 2); Отчет об изменениях капитала (ф. № 3); Отчет о движении денежных средств (ф. № 4); Приложение к бухгалтерскому балансу (ф. № 5); Отчет о целевом использовании полученных средств (ф. № 6); Пояснительная записка к годовому отчету; специализированные формы, устанавливаемые министерствами и ведомостями РФ.
Информация, содержащаяся в бухгалтерской отчетности, основывается на данных синтетического и аналитического учета.
Данные вступительного баланса должны соответствовать данным утвержденного заключительного баланса за период, предшествующий отчетному. В случае изменения вступительного баланса на 1 января отчетного года причины следует объяснить.
Изменения в бухгалтерской отчетности, относящиеся как к текущему, так и к прошлому году (после ее утверждения), производятся в отчетности, составляемой за отчетный период, в котором были обнаружены искажения ее данных.
Бухгалтерская отчетность подписывается руководителем и главным бухгалтером (бухгалтером) организации.
В ходе аудиторской проверки исключительное значение имеет вопрос правильной оценки балансовых статей. Правила оценки статей баланса определены Законом «О бухгалтерском учете», Положением №34н, ПБУ 4/99. Аудитору следует убедиться в обязательном соблюдении правил оценки показателей отчетности по каждой статье.
При анализе достоверности показателей отчетности аудиторам следует изучить результаты инвентаризации, проводимой перед составлением годового отчета. Все расхождения с данными бухгалтерского учета, а также все ошибки и нарушения, выявленные в ходе инвентаризации, должны быть исправлены и отражены в соответствующих учетных регистрах до представления годового отчета. Суммы статей баланса по расчетам с финансовыми, налоговыми органами должны быть согласованы с ними и тождественны. Целесообразно проконтролировать соответствие данных по всем счетам Главной книги показателям форм бухгалтерской отчетности.
Проверяя правильность оценки статей отчетности, аудиторы должны удостовериться в соблюдении следующих принципиальных положений при ее составлении:
1) отражение в отчетности стоимости имущества и обязательств предприятия должно производиться в рублях;
2) оценка имущества и обязательств должна осуществляться путем суммирования произведенных расходов;
3) зачет между статьями активов и пассивов, статьями прибылей и убытков не допускается (кроме случаев, специально оговоренных в нормативных документах);
4) отражение в «Бухгалтерском балансе» (ф. № 1} числовых показателей должно осуществляться в нетто-оценке, то есть за вычетом регулирующих величин;
5) методики формирования показателей отчетности должны соответствовать требованиям нормативных документов. При наличии отступлений от них, их следует раскрыть в пояснительной записке с указанием причин и результата, который эти отклонения оказали на формируемые показатели отчетности.
В том случае, если проверяемое предприятие составляет сводную отчетность, аудиторам следует проверить и правильность ее составления, исходя из установленных правил отражения в ней показателей отчетности дочерних и зависимых обществ. Порядок формирования сводной отчетности отражен в «Методических рекомендациях по составлению и представлению сводной бухгалтерской отчетности», утв. Приказом МФ РФ от 30.12.96 г. № 112 (в ред. Приказа МФ РФ от 12.05.99 г. № 36н).
Финансовый анализ представляет собой метод оценки ретроспективного (т.е. того, что было в прошлом) и перспективного финансового состояния хозяйствующего субъекта на основе изучения зависимости и динамики показателей финансовой информации, одновременно финансовый анализ является неотъемлемой частью финансового планирования.
Цель анализа состоит не только в том, чтобы установить и оценить ФСП, но и в том, чтобы постоянно проводить работу, направленную на его улучшение. Анализ ФСП показывает, по каким направлениям надо вести эту работу, дает возможность выявить наиболее важные аспекты и наиболее слабые позиции в ФСП. В соответствии с этим результаты анализа дают ответ на вопрос, каковы важнейшие способы улучшения ФСП в конкретный период его деятельности.
На практике выбранные основные методы анализа финансовой отчетности: горизонтальный анализ, вертикальный анализ, трендовый, метод финансовых коэффициентов, сравнительный анализ, факторный анализ.
Трендовый анализ
является частью горизонтального анализа, так как базируется на изучении динамики отдельных показателей во времени. В процессе использования этой системы анализа определяются общие тенденции изменения анализируемых показателей (или тренд).
Сопоставление финансовых показателей за ряд предшествующих периодов позволяет выявить тенденции изменения отдельных показателей, характеризующих результаты деятельности предприятия. Результаты такого аналитического исследования позволяют построить соответствующие динамические факторные модели, которые используются затем в процессе планирования отдельных финансовых показателей.
Как правило, результаты такого анализа в целях наглядности рекомендуется оформлять графически, что облегчает определение линии тренда.
Трендовый анализ – сравнение каждой позиции отчетности с рядом предшествующих периодов и определение тренда. С помощью тренда формируются возможные значения показателей в будущем, а, следовательно, ведется перспективные анализ.
Под трендом
понимается тенденция развития явления во времени, которая определяется при анализе данных ряда динамики для характеристики изменений явления во времени.
Существует 3-основных вида тренда: долговременный (долговременные колебания), сезонный (сезонные колебания) и периодический (периодические колебания). Для прогнозирования и создания планов сбыта, наиболее часто используется долговременный и сезонный тренд.
Используют следующие типичные методы анализа долговременного тренда: метод критериев, метод двух средних, метод скользящей средней, метод наименьших квадратов и корреляционный анализ.
-Анализ по классам ABC. Метод разделения важных и не важных данных из огромного объёма сведений о показателях продаж по отдельным видам продукции и отдельным категориям Потребителей.
-Анализ с помощью гипотез, высказываемых ответственными сотрудниками предприятия и экспертами.
При анализе рынка нет смысла пользоваться всеми методами подряд и без разбору. Необходимо чётко определить цели анализа, выбрать те из них, которые будут наиболее эффективны, и отобрать нужные для них данные.
Для того, чтобы анализ согласовывался с целями, надо определить, какие данные и каким способом можно будет обрабатывать наиболее эффективно. Например, при проведении анализа по сферам деятельности предприятия могут использоваться следующие показатели в качестве критериев:
-сумма (объём) продаж в абсолютном выражении;
-маржинальная рентабельность, т.е. (выручка от реализации - переменные издержки)/выручка от реализации, в целом по предприятию/ подразделениям или отдельным группам/видам продукции;
-темпы прироста прибыли;
-окупаемость.
Не стоит в процессе анализа увлекаться и анализом результатов в абсолютном изолированном значении. В этом случае существует опасность одностороннего взгляда. Например, если рассматривать в чистом виде объём продаж какого-либо вида продукции, имеющего абсолютные показатели, даже при низких темпах роста, может создаться впечатление, что свою стратегию надо связывать именно с ним. Для того, чтобы избежать этой опасности надо вводить в расчёт весовые коэффициенты по каждому показателю и использовать произведения параметров, а не их абсолютные значения.
Анализируя рынок в целом, следует понимать, что тенденции рынка невозможно точно определить единичным изучением. За основными показателями следует наблюдать постоянно. При этом, если речь идет о продукции массового потребления, то изучение должно происходить в отношении изменения демографической структуры, географических аспектов, сезонных условий потребления, торговой обстановки в регионе, социально-экономических факторов, поведения потребителей в отношении покупки, стиля жизни, импорта.
Если это продукция производственного назначения, то необходимо учитывать сырьё и материалы, технологические разработки, экономические факторы и т.д.
Основными факторами, влияющими на прибыль предприятия, являются, прежде всего, выручка от продажи продукции, товаров (работ, услуг) или доход от основной деятельности и расходы (себестоимость и прочие). Что касается выручки, то на ее объем влияют такие показатели, как количество реализованной продукции (товаров) и цена продажи. Расчет влияния выручки на прибыль организации мы приведем в другом параграфе, а сейчас — о затратах.
Имея только «Отчет о прибылях и убытках» (ф. № 2), проанализировать влияние изменения затрат на прибыль можно, но оценить влияние факторов на изменение самих затрат — нельзя. Для такого анализа необходимо располагать данными управленческого учета и формой № 5. В пункте 6 формы № 5 отражены расходы, произведенные организацией в отчетном и прошлом году, сгруппированные по экономическим элементам.
Признаки классификации затрат.
Прежде чем приступить к анализу затрат необходимо определить различия в понятиях: выплаты, себестоимость, расходы, затраты.
Выплата — это передача (наличный расчет) или перечисление (безналичный расчет) денежных средств организации другой организации или физическому лицу с полным отчуждением этих средств.
Себестоимость продукции — это выраженные в денежном отношении расходы предприятия (за определенный период времени на изготовление продукции, находящейся на различных стадиях готовности: в незавершенном производстве, на складе готовой продукции, отгруженной в данном периоде покупателю). Различают общую себестоимость продукции и себестоимость единицы продукции. Чем выше производственные затраты, тем выше себестоимость. Себестоимость — это расходы на простое воспроизводство, текущие расходы конкретного производителя.
Расходами организации признается уменьшение экономических выгод в результате выбытия активов (денежных средств, иного имущества) и (или) возникновения обязательств, приводящее к уменьшению капитала этой организации, за исключением уменьшения вкладов по решению участников (собственников имущества).
Затраты — это выраженная в денежном измерении стоимость каких-либо ресурсов (материальных, трудовых, финансовых), использованных на обеспечение процесса расширенного воспроизводства. В отличие от общего понятия «издержек» (кроме издержек обращения) понятие «затрат» в бухгалтерском учете относится прежде всего не к поглощающим объектам, а к поглощающим ресурсам. Понятие «затраты» шире, чем понятие «себестоимость», которая представляет собой затраты на простое воспроизводство, текущие расходы конкретного производителя. Затраты увеличивают стоимость определенного вида активов (например, незавершенного производства). При этом или уменьшается стоимость других активов (например, товарно-материальных ценностей), или увеличиваются обязательства к выплате. Затраты отражаются дебетовыми оборотами соответствующих активных счетов: 20 «Основное производство», 21 «Полуфабрикаты собственного производства», 23 «Вспомогательные производства», 25 «Общепроизводственные расходы», 26 «Общехозяйственные расходы», 29 «Обслуживающие производства и хозяйства» и других. К категории затрат также относятся активы, учитываемые на счете 44 «Расходы на продажу».
Классификации расходов предприятия по различным признакам.
Анализ расходов по элементам.
Качество анализа расходов зависит от качества исходной информации. По данным финансовой отчетности выполнить полный анализ затрат невозможно. Для этого необходимо располагать данными аналитического и синтетического учета. Для того чтобы проанализировать расходы и по видам, и по продуктам, и по затратным центрам можно составлять соответствующие аналитические таблицы.
Анализ влияния факторов на прибыль.
Методика расчета влияния факторов на прибыль от обычной деятельности включает следующие шаги:
1. Расчет влияния фактора «Выручка от продажи».
Расчет влияния этого фактора нужно разложить на две части. Так как выручка организации — это произведение количества и цены реализуемой продукции, то сначала рассчитаем влияние на прибыль от продаж цены, по которой продавалась продукция или товары, а затем рассчитаем влияние на прибыль изменения физической массы проданной продукции. При проведении факторного анализа необходимо учитывать влияние инфляции.
Расчет влияния фактора «Цена»
Для определения степени влияния изменения цены на изменение суммы прибыли от продажи необходимо сделать следующий расчет:

Расчет влияния фактора «количества проданной продукции (товаров)»
Влияние на сумму прибыли от продажи (ПП) изменения количества проданной продукции можно рассчитать следующим образом:

где ΔПП(К) — изменение прибыли от продажи под влиянием фактора «количества проданной продукции»;
В1 и В0 — соответственно выручка от продажи в отчетном (1) и базисном (0) периодах;
ΔВц — показатель (*), изменение выручки от продажи под влиянием цены;
R0p— рентабельность продаж в базисном периоде
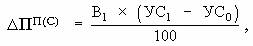
2. Расчет влияния фактора «Себестоимость проданной продукции» осуществляется следующим образом:

где УС1 и УС0 — соответственно уровни себестоимости в отчетном и базисном периодах.
3. Расчет влияния фактора «Коммерческие расходы»
Для расчета используется формула, аналогичная предыдущей:

где УКР1 и УКР0 — соответственно уровни коммерческих расчетов в отчетном и базисном периодах.
4. Расчет влияния фактора «Управленческие расходы»

где УУР1 и УУР0 — соответственно уровни управленческих расходов в отчетном и базисном периодах.
Остальные показатели — факторы от прочей операционной и внереализационной деятельности и чрезвычайные — не оказывают столь существенного влияния на прибыль, как факторы хозяйственной сферы. Однако их влияние на сумму прибыли тоже можно определить. В данном случае используется метод балансовой увязки, факторная модель чистой прибыли отчетного периода аддитивного вида.
Важнейшим фактором, влияющим на сумму всех видов операционной прибыли предприятия, является размер доходов, формируемых им в процессе операционной деятельности. Операционная деятельность
- это основной вид деятельности предприятия, с целью осуществления которого оно создано. Характер операционной деятельности предприятия определяется спецификой сферы или отрасли экономики, к которой оно принадлежит. Основу операционной деятельности большинства предприятий составляет производственно-сбытовая или торговая деятельность.
Под операционными доходами понимают доходы, полученные в результате операционной деятельности предприятия. Они выступают в форме валовых и чистых операционных доходов.
Операционные доходы предприятия являются финансовой базой развития его операционной деятельности, обеспечивающей решение следующих трех важнейших задач:
1. Основная часть операционных доходов предприятия является источником возмещения всех текущих затрат (издержек), связанных с осуществлением его операционной деятельности. Реализация этой задачи обеспечивает самоокупаемость операционной деятельности предприятия.
2. Часть операционных доходов предприятия служит источником выплат налоговых платежей, связанных с осуществлением операционной деятельности. За счет этой части операционных доходов обеспечивается формирование средств государственного и местных бюджетов, внебюджетных фондов. Реализация этой задачи обеспечивает выполнение финансовых обязательств предприятия перед государствами.
3. Определенная часть операционных доходов предприятия является источником формирования его чистой операционной прибыли. За счет этой части операционных доходов предприятие формирует фонды производственного развития, резервный, дополнительного материального стимулирования персонала, социальных выплат, выплат собственникам предприятия и т.п. Реализация этой задачи обеспечивает самофинансирование развития операционной деятельности предприятия на расширенной основе в предстоящем периоде.
Для эффективного управления операционными затратами предприятия разработана соответствующая их классификация. Эта классификация используется в процессе учета, анализа, расчета, планирования и контроля операционных затрат (издержек) и проводится по следующим основным признакам.
1. По степени эластичности к объему реализации продукции выделяют постоянные и переменные издержки (операционные затраты). Такое разделение операционных затрат составляет важнейшее условие эффективности управления операционной прибылью предприятия.
2. По содержанию операционного процесса выделяют операционные затраты, связанные с производством продукции; со сбытом продукции и полные операционные затраты. Такая классификация издержек используется на производственных предприятиях.
3. По возможности отнесения на конкретные результаты операционной деятельности (производство и реализацию отдельных видов продукции; деятельность отдельных центров ответственности и т.п.) выделяют прямые и непрямые издержки.
Инвестиции являются важнейшей экономической категорией и выполняют значимую роль в активизации структурных преобразований в экономике; в экономическом подъеме и стабильном функционировании предприятий; максимизации их прибыли, а также обеспечивают устойчивое развитие национальной экономики. Учитывая, что для российской экономики, которая десять лет находится в состоянии глубокого системного кризиса и лишь в 2000г. наметилась положительная тенденция ее макроэкономической стабилизации, обеспечение поступления инвестиций – вопрос ее выживания.
По финансовому определению, инвестиции - это все виды активов (средств), вкладываемых в хозяйственную деятельность в целях получения дохода (выгоды);
По экономическому определению - расходы на создание, расширение или реконструкцию и техническое перевооружение основного и оборотного капитала.
Это целевые банковские вклады, ценные бумаги, финансовые вложения в технологии, машины и оборудование, лицензии, имущественные права, интеллектуальные ценности.
Одни вложения капитала будут влиять только на составляющие расходов, например на затраты, ведущие к снижению издержек, другие - как на доходы, так и на расходы. Прогнозирование влияния инвестиций на статьи доходов и расходов - сравнительно трудоемкая задача, так как сложно оценить объемы их приращения или наоборот, снижения. Инвестиции в производственные мощности для выпуска новой продукции (товаров, услуг) могут потребовать увеличения оборотного капитала (количества сырья, незавершенного производства, готовых товаров на складе). При продаже продукции в кредит увеличивается дебиторская задолженность и т.д.
Основу финансового инвестирования составляют вложения капитала предприятий в различные финансовые инструменты, прежде всего в ценные бумаги, а также в активы других предприятий. При их осуществлении инвестор увеличивает свой финансовый капитал, получая дивиденды и другие доходы, а эмитент получает возможность привлечения дополнительных источников финансирования своих активов.
Инвестиционная политика — составная часть общей финансовой стратегии предприятия, которая заключается в выборе и реализации наиболее рациональных путей расширения и обновления производственного потенциала.
При принятии решений в бизнесе о долгосрочных инвестициях возникает потребность в прогнозировании их эффективности. Для этого нужен долгосрочный анализ доходов и издержек, на основании которых рассчитывают следующие показатели:
срок окупаемости инвестиций;
чистый приведенный эффект, или чистая текущая стоимость (NPV);
индекс рентабельности инвестиций (IR);
внутренняя норма доходности (IRR).
В основу расчета этих показателей положено сравнение объема предполагаемых инвестиций и будущих денежных поступлений. Первые два могут базироваться как на учетной величине денежных поступлений, так и на дисконтированных доходах с учетом временной компоненты денежных потоков.
Наиболее распространенным показателем оценки инвестиционных проектов является срок окупаемости (РР).
Под сроком окупаемости понимается период времени от момента начала реализации проекта до того момента эксплуатации объекта, в который доходы от эксплуатации становятся равными первоначальным инвестициям (капитальные затраты и эксплуатационные расходы).
Общая формула расчета показателя РР имеет вид:
РР=min n, при котором ∑Рк
≥I0
,
где рк
—
величина сальдо накопленного потока; I0
— величина первоначальных инвестиций.
Дисконтированный срок окупаемости инвестиций (DPP) устраняет недостаток статического метода срока окупаемости инвестиций и учитывает стоимость денег во времени. Формула для расчета дисконтированного срока окупаемости, имеет вид:
DPP=min n, при котором 
Очевидно, что в случае дисконтирования срок окупаемости увеличивается, т. е. всегда DРР > РР.
При использовании критериев РР и DРР в оценке инвестиционных проектов решения могут приниматься исходя из следующих условий: а) проект принимается, если окупаемость имеет место; б) проект принимается только в том случае, если срок окупаемости не превышает установленного для конкретной компании предельного срока.
оценивая эффективность инвестиций, надо принимать во внимание не только сроки их окупаемости, но и доход на вложенный капитал, для чего рассчитываются чистый приведенный эффект (NPV), индекс рентабельности (IR) и уровень рентабельности инвестиций (R).
Чистый приведенный эффект рассчитывается как разность дисконтированных денежных потоков доходов и расходов, производимых в процессе реализации инвестиций за прогнозируемый период.
Ежегодные дисконтированные платежи определяются по следующей формуле:
,
где PV – величина дисконтированных платежей; (1+ r) – множитель дисконтирования; r – ставка дисконтирования, равная ежегодному проценту возврата на инвестированный капитал; к – момент времени.
Чистый приведенный эффект равен сумме ежегодных дисконтированных платежей:
NPV = S PV
При NPV > 0 проект следует принять.
Индекс рентабельности (прибыльности, доходности) рассчитывается по следующей формуле:


Однако и индекс рентабельности, рассчитанный на основании учетной величины доходов, имеет свои недостатки: он не учитывает распределения притока и оттока денежных средств по годам. Обычно руководство предприятия отдает предпочтение более высоким денежным доходам в первые годы, несмотря на то, что выбранный альтернативный проект может иметь более низкую норму прибыли. Поэтому более научно-обоснованной является оценка эффективности инвестиций с помощью индекса рентабельности определенного на основе дисконтированных денежных потоков.
Он определяется как отношение чистой текущей стоимости денежного притока к чистой текущей стоимости денежного оттока (включая первоначальные инвестиции):
или
,
где I0
— инвестиции предприятия в момент времени 0, С1
—
денежный поток предприятия в момент времени t
,
i
—
ставка дисконтирования.
Индекс рентабельности — относительный показатель эффективности инвестиционного проекта и характеризует уровень доходов на единицу затрат, т. е. эффективность вложений — чем больше значение этого показателя, тем выше отдача денежной единицы, инвестированной в данный проект.
Отчетность
предприятия в рыночной экономике базируется на обобщении данных финансового учета и является информационным звеном, связывающим предприятие с обществом и деловыми партнерами - пользователями информации о деятельности предприятий.
Финансовый анализ является прерогативой высшего звена управленческих структур предприятия, способных влиять на формирование финансовых ресурсов и потоки денежных средств.
Эффективность или неэффективность частных управленческих решений, связанных с определением цены продукта, размера партии закупок сырья или поставок продукции, замены оборудования или технологии, и другие решения должны пройти оценку с точки зрения общего успеха фирмы, характера ее экономического роста и роста общей финансовой эффективности.
Источниками формирования имущества являются собственные средства (собственный капитал) и заемные средства (заемный капитал).
Собственный капитал состоит из уставного капитала, добавочного капитала, резервного капитала, нераспределенной прибыли.
Учет уставного капитала осуществляют на счете 80 "Уставный капитал". Сальдо этого счета должно соответствовать размеру уставного капитала (фонда), зафиксированного в учредительных документах организации.
С 1996 г. организации составляют отчет о движении денежных средств (форма N 4 годовой бухгалтерской отчетности).
Отчет состоит из четырех разделов, где содержатся данные об остатке денежных средств на начало года, поступлении денежных средств (всего и в том числе по видам поступлений), направлении денежных средств (всего и в том числе по направлениям расходов) и остатке денежных средств на конец отчетного периода.
Сведения о движении денежных средств представляются в валюте Российской Федерации (рублях) по данным счетов 50 "Касса", 51 "Расчетные счета", 52 "Валютные счета", 55 "Специальные счета в банках". Движение денежных средств показывается по видам деятельности - текущей, инвестиционной, финансовой.
Под текущей деятельностью понимается деятельность организации по производству продукции, торговле, общественному питанию и т.п. Инвестиционная деятельность связана с капитальными вложениями и долгосрочными финансовыми вложениями, а финансовая деятельность - с осуществлением краткосрочных финансовых вложений.
Отчет о движении денежных средств имеет важное значение для контроля за финансовой деятельностью организации. Справочные сведения отчета по наличному расчету, из них с применением контрольно-кассовых аппаратов, позволяют контролировать наличный поток денежных средств.
В соответствии с ПБУ 3/2000 начиная с отчетности за 2000 г. в бухгалтерской отчетности раскрывается информация о курсовых разницах:
о величине курсовых разниц, отнесенных на счет учета финансовых результатов организации;
о величине курсовых разниц, отнесенных на другие счета бухгалтерского учета;
об официальном курсе Центрального банка РФ на дату составления бухгалтерской отчетности.
Данные о составляющих капитала на начало и конец отчетного периода приведены в разделе III "Капитал и резервы" бухгалтерского баланса.
Сведения о различных показателях прибыли (прибыли (убытках) от продаж, прибыли (убытках) до налогообложения, прибыли (убытках) от обычной деятельности, чистой или нераспределенной прибыли (убытках)) отчетного года содержатся в отчете о прибылях и убытках (форма N 2).
Детальные данные о капитале приведены в отчете об изменении капитала (форма N 3). В разделе I "Капитал" содержатся сведения об остатках на начало и конец отчетного года, поступлении и расходе (использовании), об уставном, добавочном и резервном капиталах, нераспределенной прибыли прошлых лет, фондах социальной сферы и целевых финансированиях и поступлениях.
В разделе IV "Изменения капитала" отчета (форма N 3) указывается величина капитала на начало отчетного и предыдущего годов, общая величина увеличения капитала с указанием источников увеличения (за счет дополнительного выпуска акций, переоценки активов, прироста стоимости имущества, реорганизации, прочих доходов), общая величина уменьшения капитала с указанием причин уменьшения (за счет уменьшения номинала акций, их количества, реорганизации, прочих расходов).
В справке к отчету об изменении капитала приведены данные о чистых активах организации на начало и конец года.
Сводная бухгалтерская отчетность - это система показателей, отражающих финансовое положение на отчетную дату и финансовые результаты за отчетный период группы взаимосвязанных организаций, сформированная в соответствии с Методическими рекомендациями по составлению и представлению сводной бухгалтерской отчетности, утвержденными приказом Минфина РФ. Она составляется в объеме и порядке, установленных Положением по бухгалтерскому учету «Бухгалтерская отчетность организации» ПБУ 4/99 и включает сводный баланс, сводный отчет о прибылях и убытках, пояснения к сводной отчетности.
Составление сводной (консолидированной) отчетности связано, прежде всего, с крупными корпорациями, чьи акции котируются на фондовых биржах. Многочисленные мелкие и средние компании в большинстве случаев освобождаются от необходимости ее составления. Вместе с тем значение консолидированной отчетности выходит за чисто информационные рамки, поскольку имеет вполне конкретных пользователей, — инвесторов и акционеров. Внутрифирменные операции могут создавать нереалистичную картину активности группы компаний, ее продаж, расчетов, запасов, финансовых результатов. Консолидированная отчетность представляет более объективную картину операций и финансового положения единой экономической единицы, не заменяя отдельных финансовых отчетов компаний группы, поскольку отражает ее экономические взаимосвязи.
В соответствии с международными стандартами консолидированная отчетность должна базироваться на определенных принципах и методах (отвечать определенным требованиям).
Принцип полноты.
Все активы, обязательства, расходы будущих периодов, доходы будущих периодов консолидированной группы принимаются в полном объеме независимо от доли материнской компании. Доля меньшинства показывается в балансе отдельной статьей под соответствующим заголовком.
Принцип собственного капитала.
Поскольку материнская компания и дочерние предприятия рассматриваются как единая экономическая единица, собственный капитал определяется по балансовой стоимости акций консолидируемых предприятий, а также финансовых результатов деятельности этих предприятий и резервов.
Принцип справедливой и достоверной оценки.
Консолидированная отчетность должна быть представлена в ясной и удобной для понимания форме и давать правдивую и достоверную картину активов, обязательств, финансового положения, прибылей и убытков предприятий, входящих в группу и рассматриваемых как единое целое.
Принцип постоянства использования методов консолидации и оценки и принцип функционирующего предприятия.
Методы консолидации должны применяться продолжительное время при условии, что предприятие является функционирующим, т.е. не намеревается прекращать свою деятельность в обозримом будущем. Отклонения допустимы в исключительных случаях, причем они должны быть раскрыты в приложениях к отчетности с соответствующим обоснованием. Этот принцип распространяется как на формы, так и на методы составления консолидированной отчетности.
Принцип существенности.
Этот принцип предусматривает раскрытие таких статей, величина которых может повлиять на принятие или перемену решения о финансово-хозяйственной деятельности компании.
Единые методы оценки.
Активы, пассивы, расходы будущих периодов, прибыли и затраты консолидированной компании должны быть учтены во всей полноте. Не имеет значения, как они представлены в текущем учете и отчетности предприятий, входящих в группу, поскольку материнская компания не налагает запрет и не осуществляет избирательные учетные подходы. Важно, чтобы при консолидации активы и пассивы материнской компании и дочерних предприятий были оценены по единой методологии, применяемой материнской компанией. Методы оценки по законодательству, которое соблюдает материнская компания, должны применяться при составлении консолидированной отчетности.
Единая дата составления.
Консолидированная отчетность должна составляться на дату баланса материнской компании. Показатели отчетности дочерних предприятий также должны быть пересчитаны на дату консолидированной отчетности.
В том случае, если проверяемое предприятие составляет сводную отчетность, аудиторам следует проверить и правильность ее составления, исходя из установленных правил отражения в ней показателей отчетности дочерних и зависимых обществ. Порядок формирования сводной отчетности отражен в «Методических рекомендациях по составлению и представлению сводной бухгалтерской отчетности», утв. Приказом МФ РФ от 30.12.96 г. № 112 (в ред. Приказа МФ РФ от 12.05.99 г. № 36н).
Аудитору следует учитывать, что при составлении сводной отчетности показатели активов и пассивов балансов основного общества и дочерних обществ суммируются. Если доля основного общества в уставном капитале дочернего общества меньше 50%, то показатели активов и пассивов такого дочернего общества складываются исходя из доли участия материнской компании в его уставном капитале. Показатели бухгалтерского баланса и отчета о прибылях и убытках, отражающие взаимные расчеты и обязательства основного и дочернего общества, а также взаимные объемы реализации между ними, в сводную отчетность не включаются. Прибыль основного и дочерних обществ суммируется. Если основное общество имеет только инвестиции в зависимые общества, то в свою сводную отчетность показатели бухгалтерской отчетности таких обществ оно не включает. Лишь в пояснительной записке к годовому отчету, основное общество делает расшифровку своих вложений в каждое зависимое общество, указывая его название, юридический адрес, величину уставного капитана и долю в нем основного общества, намерения в части дальнейшего участии.
Особое внимание, аудиторам следует уделить проверке составления на предприятиях отчетности по сегментам. ПБУ 12/2000 «Информация по сегментам» утв. Приказом МФ РФ от 27.01,2000 г. № 11-н регламентировало правила формирования и представления информации по сегментам в бухгалтерской отчетности коммерческих организаций. Данный раздел проверки достаточно сложен, т.к. типовых или рекомендованных МФ РФ форм отчетности по сегментам нет. Каждое предприятие должно самостоятельно выделять сегменты своей деятельности и раскрывать информацию о них в отчетности. Аудитору следует проконтролировать правомерность обособления географических, операционных и отчетных сегментов, учитывал требования ПБУ 12/2000. Перечень отчетных сегментов в сводной бухгалтерской отчетности организации устанавливают самостоятельно, исходя из своей организационной и управленческой структуры. При определении перечня, в частности, учитывается наличие филиалов, представительств и иных структурных подразделений организации, дочерних и зависимых обществ. Для того чтобы считаться отчетным операционный или географический сегмент должен иметь достаточно заметные величины показателей, а именно: выручка от продажи, финансовый результат, активы должны составлять не менее 10% от общих аналогичных показателей по всем сегментам. При этом ПБУ 12/2000 требует, чтобы на долю всех отчетных сегментов, выделенных при подготовке бухгалтерской отчетности приходилось не менее 75% выручки организации. Если на отчетные сегменты, выделенные при подготовке бухгалтерской отчетности, приходится менее 75% выручки, то должны быть выделены дополнительные отчетные сегменты независимо от того, удовлетворяют ли они по отдельности условиям обязательного 10-процентного размера.
Одним из основных приемов аудиторской проверки отчетности является ее дезагрегирование т.е. последовательное подразделение данных отчетности на статьи, статей - на счета бухгалтерского учета, счетов -на хозяйственные операции, совершение которых послужило основанием для отражения операции в учете. Процесс дезагрегирования бухгалтерской отчетности облегчает работу аудиторов по проверке ее достоверности и значительно повышает ее эффективность. Разделение отчетности на отдельные сегменты возможно двумя способами:
1) выделение в качестве сегментов циклов хозяйственных операций – цикл приобретения, цикл производства, цикл продаж и формирования финансового результата;
2) выделение в качестве сегментов объектов бухгалтерского учета – основные средства, нематериальные активы, МПЗ, расчеты и т.д.
Все выявленные в ходе аудита ошибки и искажения отчетности регистрируются в рабочих документах и обобщаются в аналитической части аудиторского заключения.
Если при проверке различных видов хозяйственных операций предприятия за отчетный период были установлены существенные ошибки и определено их количественное влияние на показатели отчетности, то следует рекомендовать руководству предприятия внести соответствующие изменения о формы отчетности.
В том случае, когда аудиторы не обнаружили нарушений в отчетности или выявленные нарушения незначительны, аудиторская организация вправе выдать положительное аудиторское заключение.
Если ошибки и искажения, обнаруженные аудиторами, существенны и влияют на достоверность отчетности или наносят ущерб государству, учредителям (собственникам), аудиторская организация предоставляет администрации предприятия-клиента время для устранения выявленных нарушений. Если нарушения не исправлены, то аудиторы не вправе выдавать положительное заключение.
Заключение
Среди экономических рычагов, при помощи которых государство воздействует на рыночную экономику, важное место отводится налогам. В условиях рыночной экономики любое государство широко использует налоговую политику в качестве определенного регулятора воздействия на негативные явления рынка.
Налоговая система - это совокупность установленных в государстве существенных условий налогообложения"
Анализ положений ст.1 НК РФ позволяет сделать вывод, что федеральный законодатель понимает налоговую систему как сложное многоэлементное экономико-правовое системное образование включающее:
- виды налогов и сборов, взимаемых в Российской Федерации;
- основания возникновения (изменения, прекращения) и порядок исполнения обязанностей по уплате налогов и сборов;
- принципы установления, введения в действие и прекращения действия ранее введенных налогов и сборов субъектов Российской Федерации и местных налогов и сборов;
- права и обязанности налогоплательщиков, налоговых органов и других участников отношений, регулируемых законодательством о налогах и сборах;
- формы и методы налогового контроля;
- ответственность за совершение налоговых правонарушений;
- порядок обжалования актов налоговых органов и действий (бездействия) их должностных лиц.
Применение налогов является одним из экономических методов управления и обеспечения взаимосвязи общественных интересов с коммерческими интересами предпринимателей, предприятий независимо от ведомственной подчиненности, форм собственности и организованно – правовой формы предприятия. При помощи налогов регулируется внешнеэкономическая деятельность, включая привлечение иностранных инвестиций, формируется хозрасчетный доход и прибыль предприятия.
Налоговая система является одним из главных элементов рыночной экономики. Важную роль при принятии решений относительно эффективного управления и делового сотрудничества играет информация о деятельности организации, доступ к которой пользователи получают через бухгалтерскую отчетность. Это повышает значение погрешностей и допущений в бухгалтерской отчетности.
Требование достоверности бухгалтерской отчетности отмечено в соответствии с п.3 ст.6 положения по бухгалтерскому учету «Бухгалтерская отчетность организации» (ПБУ 4/99), бухгалтерская отчетность должна давать достоверное и полное представление о финансовом положении организации, финансовых результатах ее деятельности и изменениях в ее финансовом положении; достоверной и полной считается бухгалтерская отчетность, сформированная исходя из правил, установленных нормативными актами по бухгалтерскому учету.
Подтвердить информацию о достоверности и правдивости финансовой отчетности предприятия позволяет аудит.
Источниками информации выступают формы бухгалтерской отчетности, применяемые предприятиями и организациями: Бухгалтерский баланс (ф. № 1); Отчет о прибылях и убытках (ф. № 2); Отчет об изменениях капитала (ф. № 3); Отчет о движении денежных средств (ф. № 4); Приложение к бухгалтерскому балансу (ф. № 5); Отчет о целевом использовании полученных средств (ф. № 6); Пояснительная записка к годовому отчету; специализированные формы, устанавливаемые министерствами и ведомостями РФ.
Информация, содержащаяся в бухгалтерской отчетности, основывается на данных синтетического и аналитического учета.
В ходе аудиторской проверки исключительное значение имеет вопрос правильной оценки балансовых статей. Правила оценки статей баланса определены Законом «О бухгалтерском учете», Положением №34н, ПБУ 4/99. Аудитору следует убедиться в обязательном соблюдении правил оценки показателей отчетности по каждой статье.
При анализе достоверности показателей отчетности аудиторам следует изучить результаты инвентаризации, проводимой перед составлением годового отчета. Все расхождения с данными бухгалтерского учета, а также все ошибки и нарушения, выявленные в ходе инвентаризации, должны быть исправлены и отражены в соответствующих учетных регистрах до представления годового отчета. Суммы статей баланса по расчетам с финансовыми, налоговыми органами должны быть согласованы с ними и тождественны. Целесообразно проконтролировать соответствие данных по всем счетам Главной книги показателям форм бухгалтерской отчетности.
Проверяя правильность оценки статей отчетности, аудиторы должны удостовериться в соблюдении следующих принципиальных положений при ее составлении:
1) отражение в отчетности стоимости имущества и обязательств предприятия должно производиться в рублях;
2) оценка имущества и обязательств должна осуществляться путем суммирования произведенных расходов;
3) зачет между статьями активов и пассивов, статьями прибылей и убытков не допускается (кроме случаев, специально оговоренных в нормативных документах);
4) отражение в «Бухгалтерском балансе» (ф. № 1} числовых показателей должно осуществляться в нетто-оценке, то есть за вычетом регулирующих величин;
5) методики формирования показателей отчетности должны соответствовать требованиям нормативных документов. При наличии отступлений от них, их следует раскрыть в пояснительной записке с указанием причин и результата, который эти отклонения оказали на формируемые показатели отчетности.
В том случае, если проверяемое предприятие составляет сводную отчетность, аудиторам следует проверить и правильность ее составления, исходя из установленных правил отражения в ней показателей отчетности дочерних и зависимых обществ.
Список использованной литературы
1. Бухгалтерская (финансовая) отчетность: Учеб. пособие/ Под ред. проф. В.Д. Новодворского. – М.: ИНФРА-М, 2003. – 464с. – (Серия «Высшее образование»).
2. Баканов М.И., Мельник М.В., Шеремет А.Д., Теория экономического анализа: Учебник. / Под ред. М.И. Баканова. – 5-е изд., перераб. и доп. – М.: Финансы и статистика, 2004. – 536с.: ил.
3. Аудит: Учебник для вузов / В.И. Подольский, А.А. Савин, Л.В. Сотникова и др.; под ред. проф. В.И. Подольского. – 3-е изд., перераб. и доп. – М.: ЮНИТИ-ДАНА, Аудит, 2003. – 583с.
4. 22 положения по бухгалтерскому учету. – М.:. Изд-во ОМЕГА-Л, 2005. – 352с.
|