| В. Ботт
Антропософская медицина
DOCTEUR VICTOR BOTT
MEDECINE ANTHROPOSOPHIQUE
T.
1
UN
élargissement de l'art de guérir
(1972)
T.
2
Plan
ètes et métaux
(1976)
Изд
-
во
«Triades»
4,
улица
Grande-Chamiere
Paris-6e
1976
г
.
Перевод с французского под редакцией
к.м.н. В.А.Сергеева,
А.А.Локтева
Ответственный редактор к. м. н. Д. В. Кошечкин
Ботт, Виктор
Б 86
Антропософская медицина / Виктор Ботт; [пер. с фр. под ред. к. м. н. В. А. Сергеева, А. А. Локтева]; Междунар. последип-лом. мед. образование для врачей и студентов-медиков.— Санкт-Петербург: Деметра, 2005. — 448
ISBN 5-94459-012-2
Автор книги — Виктор Ботт (1918—1996) — выдающийся врач и общественный деятель — всю свою жизнь посвятивший изучению и развитию антропософской медицины во Франции. Итогом этой многолетней работы стал двухтомный труд, опубликованный в Париже в 70-е годы и переведенный впоследствии на многие языки мира. Неординарный взгляд на физиологию, патологию и терапию, огромный клинический опыт автора делает эту работу интересным и полезным изданием для врачей, изучающих и практикующих антропософскую медицину, гомеопатию и фитотерапию.
ББК 53.58
© Ботт В., 2005 5-94459-012-2
© Деметра, 2005
СОДЕРЖАНИЕ
Том 1. РАСШИРЕНИЕ ИСКУССТВА ВРАЧЕВАНИЯ
Введение.......................................................................................... 13
Часть первая.
ЧЕЛОВЕК В СВЕТЕ АНТРОПОСОФИИ....................... 17
Глава 1. Четыре составляющих элемента человека 19
Вопросы, поставленные жизнью. Законы мине
рального мира не объясняют жизнь. Проявление
эфирных сил. Чувствительная кристаллизация.
Жизнь животная. Процесс интериоризации у жи
вотных. Психическое или астральное тело. Опыт Каррела. Вертикальное положение. Речь и мышле
ние. Индивидуальное Я. Человек и свобода. Челове
ческая индивидуальность. Связь между четырьмя
элементами.
Глава 2. Человеческая триада............................................. 31
Трехчленность человека. Физиологический аспект полярности. Обобщенное понятие трехчлен-ности. Сложность человеческого существа. Взаимодействие двух полюсов. Экспериментальные подтверждения. Полюс жизни и полюс смерти. Метаморфоза эфирных сил в мышление. Две стороны, процесса питания. Связи астрального тела и организма. Как действуют астральное тело и «Я». Противостояние между сознанием и жизнью.
Забиваем Сайты В ТОП КУВАЛДОЙ - Уникальные возможности от SeoHammer
Каждая ссылка анализируется по трем пакетам оценки: SEO, Трафик и SMM.
SeoHammer делает продвижение сайта прозрачным и простым занятием.
Ссылки, вечные ссылки, статьи, упоминания, пресс-релизы - используйте по максимуму потенциал SeoHammer для продвижения вашего сайта.
Что умеет делать SeoHammer
— Продвижение в один клик, интеллектуальный подбор запросов, покупка самых лучших ссылок с высокой степенью качества у лучших бирж ссылок.
— Регулярная проверка качества ссылок по более чем 100 показателям и ежедневный пересчет показателей качества проекта.
— Все известные форматы ссылок: арендные ссылки, вечные ссылки, публикации (упоминания, мнения, отзывы, статьи, пресс-релизы).
— SeoHammer покажет, где рост или падение, а также запросы, на которые нужно обратить внимание.
SeoHammer еще предоставляет технологию Буст, она ускоряет продвижение в десятки раз,
а первые результаты появляются уже в течение первых 7 дней.
Зарегистрироваться и Начать продвижение
Глава 3. Здоровье и болезнь................................................ 41
Сознание и болезнь. Смещение нейросенсорных
процессов к нижнему полюсу. Резонанс физического тела. Здоровье — неустойчивое равновесие. Смеще
ние к верхнему полюсу. Последствия слишком ранней интеллектуализации. Ложные симптомы. Инверсия тенденций во времени. Поиск причин заболевания. Необходимо лечить причину, а не симптомы. Пример: пневмония. Воспитание мышления. Значение психических факторов.
Глава 4. Истерия и неврастения................................ 48
Члены существа на нижнем и верхнем по
люсах.
— Влияние верхнего комплекса на организм, Истерическая тенденция. Неврастеническая тенденция. Проявление этих тенденций. Мигрень. Как справиться с начинающейся мигренью. Опасность анальгетиков. Основное лечение мигрени. Разнообразие реакций организма. Склероз. Три плана патологических проявлений. Терапевтические доказа
тельства. Опасность схематизации. Лечение исте
рии. Случаи альбуминурии. Лечение неврастении.
Лечение судорог. Серебро и фосфор.
Глава 5. Сон и бодрстование .............................................. 61
Бессонница: актуальная болезнь. Ритм сна. «Я»
и астральное тело во время сна. Почему мы спим?
Причины бессонницы. Необходимость углубленного
распроса. Лечение бессонниц. Роль холода. Факторы
пищеварения. Неврастеническая бессонница и ее лечение. Истерическая бессонница и ее лечение. Об
манчивые представления о снотворных средствах.
Лечение детской и старческой бессонницы. Бессон
ница и материализм.
Глава 6. Воспаление и склероз........................................... 73
Признаки воспаления. Связи с основными элемен
тами. Лихорадка и воспаление. Старение и затвердение. Процессы сознания
— причины старения. Полярность между воспалением и склерозом.
Apis
и
Bella
donna
. Почему растение ядовито? Астральный
процесс в белладонне. Белладонна и воспаление. Лече
ние воспалений. Контроль за лихорадкой. Как действуют антибиотики. Склероз. Процессы березы. Тера
певтическое применение. Свинец и склероз.
Часть вторая.
ЭТАПЫ ЧЕЛОВЕЧЕСКОГО РАЗВИТИЯ...................... 85
Глава 7. От рождения до семи лет........................... 87
Сервис онлайн-записи на собственном Telegram-боте
Попробуйте сервис онлайн-записи VisitTime на основе вашего собственного Telegram-бота:
— Разгрузит мастера, специалиста или компанию;
— Позволит гибко управлять расписанием и загрузкой;
— Разошлет оповещения о новых услугах или акциях;
— Позволит принять оплату на карту/кошелек/счет;
— Позволит записываться на групповые и персональные посещения;
— Поможет получить от клиента отзывы о визите к вам;
— Включает в себя сервис чаевых.
Для новых пользователей первый месяц бесплатно.
Зарегистрироваться в сервисе
Человек и богатство возможностей. Развитие
по семилетиям. Наследственность и индивидуальность. Пропорции тела новорожденного. Роль головы. Силы роста и подражание. Значение окружающей среды. Вскармливание. Рост и состав молока. Пищеварение у грудного ребенка. Мясо и яйца. Пищеварительный полюс и движущая сила. Положение стоя и первые шаги. Речь. Мысль. Появление первых зубов. Появление «Я». Пропорции тела к семи годам. Предрасположенность к болезням. Рахит. Витамин
D
. Лечение рахита и его профилак
тика. Большие и маленькие головы. Скарлатина и
корь. Лечение кори. Лечение скарлатины. Коклюш.
Эмоциональный фактор в коклюше. Лечение коклюша.
Глава 8. От семи до четырнадцати лет.............. 105
Метаморфоза эфирных сил. Дислексия и труд
ности в понимании прочитанного. Необходимость в
умеренной интеллектуальной активности. Развитие эмоциональности. Эмоциональность до семи лет. Воспитание эмоциональности.
«Я» к девятому
году. Движение и сознание. Хорея или пляска Святого Витта. Лечение хореи. Болезнь Буйо и ее лечение. Сколиоз и кифоз Предупреждение и лечение сколиозов. Ломка голоса.
Глава 9. От четырнадцати до двадцати одного года 116
Рождение астрального тела. Человек и живот
ное. Хлороз и его лечение. Туберкулез. Предрасполо
женность к туберкулезу легких. Роль света. Лече
ние туберкулеза легких. Рождение «Я».
Часть третья.
ЧЕТЫРЕ ГЛАВНЫХ ОРГАНА............................ 123
Глава 10. Легкое............................................... 126
Легкое — орган земли. Астма. Астма и тубер
кулез. Астма и экссудативный диатез. Астма и бронхит. Лечение астмы. Сенная лихорадка и ал
лергия. Лечение сенного насморка. Различие между
сенной лихорадкой и астмой. Роль легкого в душев
ной деятельности. Меланхолический темперамент.
Связь психозов с легкими. Лечение меланхолических
психозов.
Глава 11. Печень................................................................... 136
Печень
— орган жизни. Центр метаболизма.
Полюс тепла. Расстройство водного обмена. Нару
шения билиарной функции. Камни желчного пузыря.
Новые медикаменты.
Hepatodoron
.
Choleodoron
. Олово. Печень и темперамент. Страх жизни. Печеночный психоз и его лечение.
Глава 12. Почки.................................................................... 145
Неполный балланс. Астральный орган. Артериальный орган. Очеловечивание белков. Почечное излучение. Недостаточность почечного излучения и ее
лечение. Нарушения экскреции и их лечение. Избыток почечного излучения. Проблема соли. Отеки. Лечение избыточного почечного излучения. Хронические нефриты и их лечение. Надпочечники. Инфекционные процессы и их лечение. Почечно-каменная болезнь и ее лечение. Почки и эмоциональная жизнь. Почечный темперамент. Шизофрения. Лечение почечных психозов.
Глава 13. Сердце.................................................................. 158
Роль сердца в циркуляции. Кровь и нервы. Диасто
ла и систола. Вариации ритма. Пульс и дыхание. Генез
кардиальных нарушений. Болезни, обусловленные пре
обладанием метаболического полюса. Один пример.
Терапия заболеваний сердца. Болезни, обусловленные
преобладанием нейросенсорного полюса. И их лечение.
Ритм сердца и ритм солнца. Аритмии. Болезнь Буве
ре. Эмоциональная тахикардия. Базедова болезнь ее
лечение. Центр теплового организма. Сердце и эле
мент огня. Сердце и темперамент. Сердечный психоз.
Сердечный невроз. Лечение сердечных неврозов и пси
хозов. Краткий обзор терапии сердечных заболеваний.
Избегая схем. Различные фобии.
Часть четвертая.
ИЗУЧЕНИЕ НЕКОТОРЫХ
ЧАСТНЫХ ПРОБЛЕМ
..........................................................
177
Глава 14.
Проблема рака............................................. 179
Пять вопросов проблемы. Нормальный рост. Опыт Арндта. Опыт Каррела. Изменение равновесия с возрастом. Метаморфоза эфирных сил. Неполная метаморфоза. «Островки органообразования». Рак и шизофрения. Воспаление, склероз и рак. Рак: ложный орган чувств. Катастрофа формы. Анархические влияния. Психические факторы. Вопрос вирусов. Опухоль: начало последнего акта. Локальные факторы. Эксперименты Дрюкрея. Химические продукты в питании. Слабое место. Этапы заболевания. Семиология предрака. Важность ранней диагностики. Вторая и третья фазы. Продолжение развития. Лечение рака. Классические варианты лечения. Омела. Важность типа препарата. Исследования омелы. Результаты лечения Искадором. Действие на метаморфозу эфирных сил. Роль психики. Дополнительное лечение. Раннее лечение — фактор успеха. Роль педагогики в предупреждении рака.
Глава 15. Женский цикл..................................................... 205
Менструальный цикл и «Я». Интериоризированный лунный ритм. Две фазы цикла. Патологические
тенденции. События пролиферации. События дегра
дации. Аменореи. Первичная аменорея. Аменорея,
как следствие нарушения эфирных сил Лечение ме
норагий. Лечение гипоменоррагий. Дисменореи и их
лечение. Лечение аменорей.
Глава 16. Проблема кожных заболеваний................... 215
Трехчленность кожи. Кожа
— нервно-чувствен
ный орган. Метаморфизированные силы роста.
Ритмические процессы. Метаболические функции. Нарушения метаболизма. Сухие дерматозы. Нару
шения ритмической функции. Бородавки. Кожа и внутренние органы. Полярность между кожей и пе
ченью. Экссудативный диатез и его лечение. Деми
нерализующая функция. Лечение сухих дерматозов.
Лечение зуда. Лечение псориаза Угри и их лечение.
Лечение микозов. Раны и ожоги и их лечение. Роль
наружных средств.
Послесловие к 1-му тому.................................................... 228
Примечание о фармацевтических препаратах.
Алфавитный указатель.
Том 2. ПЛАНЕТЫ И МЕТАЛЛЫ
Часть пятая.
ФАРМАКОДИНАМИЧЕСКИЕ ПРИНЦИПЫ В АНТРОПОСОФИИ 231
Глава 17. Лекарство — посредник между природой и человеком 233
Человек и природные субстанции. Реакция организма на природные субстанции. Эволюция
— ду
ховный процесс. Жизнь предшествует минералу. «Высветление» — фундаментальный закон эволю
ции. Беспрерывность на духовном плане и прерывис
тость на плане физическом. Степень родства
между субстанциями и организмом. Организм и синтетические вещества. Возрастание сил «по мере необходимости». «Гомеопатизирующий» организм.
Открытия Ганемана... и их экспериментальное под
тверждение. Эксперименты Хайнца — метод биоло
гический и физический. Троичность кривой динамизации субстанций. От весомого к невесомому. Деся
тичные или сотенные?
Часть шестая.
ПЛАНЕТЫ И МЕТАЛЛЫ................................................... 249
Глава 18. Двойной планетарный процесс.................... 252
Познание материи. Металлы и «Я». Наши орга
ны — «интериоризированные планеты». Планетар
ные сферы... и прохождение «Я» через них. Инкар
нация и экскарнация.
Глава 19. Сатурн и Луна............................................ 258
Два потока Сатурна. Окостенение и кроветворение. Роль селезёнки. Избыток первого потока Сатурна. Сатурн и сон. Память. Склероз и мысль.
Осознание «Я» и прямостояние. Селезёнка и энту
зиазм. Декальцификация и лихорадка. Лунная
сфера. Вечное повторение. Лунные потоки и эмбри
огенез. Кожа и кожный скелет. Половая дифферен
цировка. Дифференциация нейро-сенсорной систе
мы. Луна и рак. Избыток второго лунного потока.
Глава 20. Юпитер и Меркурий................................ 271
Юпитер
— скульптор. Между растворением и ко
агуляцией. Форма и движение. Чтение как обращение
к чувству движения. Избыток формообразующего
процесса. Спазмы и судороги. Циррозы. Усиление дви
жения и растворение формы. Движение и метаболизм.
Гидроцефалия. Психические симптомы. Полярность «Юпитер-Меркурий». Меркуриальная подвижность.
Рождение формы из недр потока. Наши органы —
обездвиженные вихри. Юпитерианские и меркуриаль
ные формы. Источник юмора. Легкое — меркуриаль
ный орган. Логорея и астма. Застои.
Глава 21. Марс и Венера............................................ 286
Марс — планета направленной активности.
Марс, звук и слово. Инструмент
«Я». Звуковой или химический эфир. Гепатит. Заикание, аллергия и
ярость. Избыток первого потока Марса.
Apec
и Ге
фест. Говорить и слушать. Венозное кровообраще
ние. Выработка и создание запасов. Принцип эконо
мии. Венера и сосредоточенность. Ассимиляция,
секреция и экскреция. Инверсия суточного ритма.
Почка
— орган Венеры. Избыток и недостаточность второго потока Венеры. Психическая симптоматика.
Глава 22. Солнце.................................................................. 299
Место Солнца в геоцентрической системе. Серд
це планетарного организма. Материализация и оду
хотворение. Трудности инкарнации. Избыток пер
вого солнечного потока. Уход от реальности. Живое равновесие.
Часть седьмая.
СЕМЬ ГЛАВНЫХ МЕТАЛЛОВ........................... 305
Глава 23. Расположение планет и металлов... 307
Исторический обзор. Новый импульс. Как классифицировать металлы. Небесная гармония и физи
ческие свойства. Дни недели. Тепло- и электропро
водность. Реакция металлов на тепло. Отражаю
щая способность. Химические свойства. Другие полярности.
Глава 24. Свинец................................................................... 317
Свинец и тяжесть. Свинец и звук. Свинец и ио
низирующие излучения. Свинец и тепло. Химические
свойства. Пограничная функция. Естественное со
стояние. Металл Запада. Латентный сатурнизм. Хронический сатурнизм. Мумификация свинцом. Действие динамизированного свинца. Показания для терапии свинцом. Свинец при слабоумии. Свинец и шизофрения. Алкоголизм и «
minium
». Лечение
костных дистрофий. Остеопороз и артериосклероз.
Акселерация и минерализация. Эпилепсия. Свинец и мёд. Высокие динамизации. Лечение артериосклероза. Свинец при бессоннице и анемиях. Антидот — серебро.
Глава 25. Серебро................................................................ 335
Принц света. Серебро и свинец. Серебро и кислород. Серебро и звук. Благородный металл. Химическое сродство. Тенденция к жизни. Естественное
состояние. Действие на организм. Сродство к коже.
Антидот — Сатурн. Лечение поражений генитальной сферы. Лекарство при избыточной минерализации. Гастродуоденальные язвы. Дисгармонии между физическим и эфирным... и их лечение. Серебро при
истерии. Галлюцинации. Регуляция водного организ
ма. Значение лихорадки и контроль за ней. Показа
ния для
Argen
î
um
nitricum
.
Глава 26. Олово.................................................................... 347
Пара олово
— ртуть. Металл со странным поведением. Реакция на тепло и холод. Олово и свинец. Парадоксальный металл. Химические свойства. Ми
нерал олова
— касситерит. География олова. Ис
пользование олова. Краткий экскурс в лингвистику.
Между твёрдым и жидким. Олово при депрессиях.
Олово и кистозные образования. Лечение гидроце
фалии.
Stannum
при выпотах. Лечение артроза. Касситерит
— лекарство для лечения скарлатины.
Глава 27. Ртуть................................................................. 357
Процесс «
MERCUR
». Клетка, капля... и жизнь.
Полярность «ртуть — олово». Химические свойст
ва. Каломель и сулема. Киноварь. Естественное состояние. «Европейский* металл. Роль посредника. Вездесущность ртути. Ртутная интоксикация. Роль меркуриальных сил в организме. Металл и планетарные потоки. Лечение аденоидов. Киноварь и ангины. Дифтерия. Воспаления и уплотнения желез. Лечение паротита. Застой жёлчи. Острый нефрит. Меркурий и психические расстройства. Педагогика — тот же меркурий. Меркурий при «истерических» заболеваниях. Бронхит и киноварь. Возбуждение и мания.
Глава 28. Железо.................................................................. 375
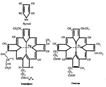
Железо и человеческий труд. Сталь. Завоевание
земли и господство людей. Рабство и свобода. Земной металл. Роль Марса. Географическое распределение
месторождений. Четыре основные руды. Минерал
родом из жизни. Железо и кислород. Магнетит. Гид
раты железа. Карбонаты железа. Метеорное железо.
Железный дождь. Антитоксическая роль железа. Ды
хательная функция железа. Гемоглобин и хлорофилл.
Железный крест. Железо в организме. Железо и ин
карнация. Сродство к кислороду. Магнетизм. Исце
ляющие силы железа. Изменения содержания железа
в крови с возрастом. Роль железа в нейросенсорном
полюсе... и в полюсе метаболизма. Тепло и воля. Суль
фат железа и избыток альбуминизации. Пневмонии и
бронхиты. Железо при туберкулезе. Железо при вы-
здоравлении. Укрепление нервной системы.
Levico
и показания к его применению. Железо и жёлчная функ
ция. Лечение заикания. Блондины больше нуждаются
в железе, чем брюнеты. Железо и психические рас
стройства.
Глава 29. Медь...................................................................... 401
Обольщение медью. Красота расцветок. Поляр
ность «медь — железо». Медь и железо идут рука об руку. Разнообразие химического сродства. Главные руды. География меди. Медь в растительном царстве... и в царстве животном. Медь в организме. Токсичность меди. Болезнь Вильсона(
Wilson
). Медь и ассимиляция. Лекарство при абдоминальном туберкулезе. Обогреватель. Медь и анемии. Медь и венозное кровообращение. Спазмолитик. Медь и почки. Медь и гипертиреоз.
Глава 30. Золото............................................... 417
Металл Солнца. Полярность — «свет — тя
жесть». Золото
— аристократ. Самородки и золо
той песок. Металл африканского района. Металл
вершины и середины. Золото и цивилизации. Раскол
довать золото. Токсичность. Два солнечных пото
ка. Равновесие ртути и равновесие золота. Напо
минание процесса инкарнации. Между схематизмом и неопределенностью. Выбор различных динамиза
ции. Психические симтомы золота. Золото и экссу
дативный диатез. Чрезмерная материализация ор
ганизма. Восстановление гармонии. Между Люци
фером и Ариманом.
БИБЛИОГРАФИЯ................................................ 434
УКАЗАТЕЛЬ......................................................... 437
Том 1.
РАСШИРЕНИЕ
ИСКУССТВА ВРАЧЕВАНИЯ
ВВЕДЕНИЕ
«Пусть никакие дороги к добру не будут заказаны».
Александр Солженицын
Искусство врачевания разных эпох всегда было отражением представлений человека о самом себе. Так и наша современная медицина сформировалась под мощным влиянием материалистического мышления XIX века. В медицине и сегодня господствует тенденция рассматривать человеческое тело как пробирку, в которой все протекает так же, как в лаборатории. Но врач, стоящий у изголовья больного, знает, насколько часто такой подход оказывается далеким от реальной жизни. В результате врачи-практики испытывают в большей или меньшей степени неудовлетворенность своей деятельностью из-за невозможности быть на высоте своего предназначения.
Не свидетельство ли это того, что современные знания о человеке являются неточными или не совсем полными? Не следует ли все вновь и вновь пересматривать наши традиционные взгляды, углубляя и расширяя их, чтобы создавать медицину, основанную на более полных представлениях о человеческом существе, соответствующих его многослойной телесной, душевной и духовной реальности?
Новейший углубленный анализ человеческого бытия был дан на заре XX столетия Рудольфом Штейнером, основателем Антропософии. Практические результаты, достигнутые его последователями в самых разных областях, таких как сельское хозяйство, педагогика, медицина, могут свидетельствовать о правильности пути, по которому он шел. Антропософия является направлением, методом познания, которому свойственны такая же точность и строгость доказательств, как и в других, чисто научных исследованиях.
Тот, кто начинает изучать Антропософию, бывает удивлен тем, что она устанавливает связи между, казалось бы, далекими дисциплинами. Разве не кажется странным, например, что может существовать что-то общее между геологией нашей планеты и медициной. Тем не менее, если начинаешь понимать, что эволюция Земли и Человека неотделимы, тогда понимаешь и то, почему некоторые горные породы могут стать основой лекарств для больных органов человека, эволюционно возникавших примерно в одно время с появлением этих пород, — мы покажем это на примерах. Наше образование — иной раз хочется назвать его антиобразованием — обслуживает мощный технический прогресс, который мы испытываем на самих себе, но это образование создает препятствия истинному познанию Человека и окружающего его Мира. Имея привычку со школьной скамьи думать либо физически, либо химически, либо математически, мы утрачиваем способность непредвзято рассматривать иные области познания, нежели те, где все решают вес, мера и число. Заявлять, что эти другие области, недоступные сегодня для нашего восприятия, просто не существуют, столь же не обоснованно, как и слепая вера в обратное. Современный человек западной культуры с его материалистическим сознанием далек от веры в мир метафизики, хотя материализм — тоже своеобразная вера, вера в ограниченность мира тем, что либо доступно нашим непосредственным ощущениям, либо может быть изучено методами точных наук. При этом забывают, что применение таких методов к изучению одного только физического мира на самом деле уводит нас от поставленной задачи, поскольку человек во всем многообразии его проявлений никак не может быть сведен к весу, мере и числу. И прежде всего не сводимо к материальным процессам само мышление — главный инструмент современного научного познания. Сверхчувственный характер мышления подтверждается простейшим образом, поскольку мышление может не только обращаться к восприятиям чувственного внешнего мира, но и мыслить о самом себе. Другими словами, мышление можно строго научно изучать с помощью самого же мышления. Это путь, которым шел Р. Штейнер в своем труде «Философия Свободы».
Он показал, что существуют другие пути точного познания, и подробно описал их. Кроме того он изложил результаты своих исследований сверхчувственного, которые свидетельствуют о том, что человеческое существо и в строго научном смысле не может считаться одним лишь телом, но — органичным триединством духа, души и тела. Творческое наследие Р. Штейнера включает, помимо нескольких десятков книг, около шести тысяч лекций, большинство из которых было при его жизни застенографировано и значительное число опубликовано.
По одной вводной книге об антропософской медицине невозможно глубоко изучить саму Антропософию, поэтому некоторые понятия могут показаться неподготовленному читателю догматизированными. Ему, возможно, придется обратиться к другим произведениям по Антропософии, часть которых переведена и на французский язык. И все же я излагал материал в манере, доступной для всех. Вместе с тем хочу заметить, что объективный критический анализ этого произведения может основываться только на серьезном знании самого предмета, то есть Антропософии. Антропософия опирается на уважение свободы мысли, что часто повторял Рудольф Штейнер, не требуя от нас брать ничего на веру, наоборот, приглашая все проверять. Можно добавить, что и через сорок пять лет после его смерти проверка истинности Антропософии давала позитивные результаты. Вот один из примеров. На лекции, которую Рудольф Штейнер читал 3 июля 1924 года, он утверждал, говоря о горных породах на Луне, что они отличаются по своему минеральному строению от земных и содержат стеклянные брызги. В то время не было ни ракет, ни космонавтов, и это открытие Штейнера могло быть сделано только духовным путем. Сколько ученых еще несколько месяцев назад с улыбкой отнеслись бы к этому утверждению Штейнера! Но космонавты «Аппо-лона-11» и «Апполона-12» сообщили о лунных скалах, содержащих стеклянные шарики, происхождение которых пока никто не объяснил. «Случай!» — скажут скептики. Но когда шаг за шагом различные утверждения Штейнера после их эмпирической проверки оказываются правдой, мы уже не вправе во всем винить голый случай.
Когда я сам начинал лечить больных, используя открытия антропософской медицины, я чувствовал себя иной раз неуверенно. Тогда я обращался за помощью к доктору Марти из Базеля, который имел уже большой практический опыт и которому я с благодарностью посвящаю эту книгу. Он мне говорил: «Вперед! Смелее!» Что я и делал, стремясь уделить больше времени и внимания каждому больному. Сначала приятным сюрпризом, а позднее и убеждением, стало для меня то, что не было такого больного, которому хотя бы чем-то не удавалось помочь.
Я писал эту книгу с желанием разделить свою уверенность в успехе с теми врачами, которые испытывают неудовлетворенность традиционными подходами «университетской медицины». Я хотел дать им необходимые начальные сведения, которые бы позволили и им пойти по дороге, которой шел я.
Февраль, 1970 г.
В. Б.
ЧАСТЬ ПЕРВАЯ
 ЧЕЛОВЕК
В СВЕТЕ
АНТРОПОСОФИИ
ВСТУПЛЕНИЕ
Мы не сможем постичь человеческое существо, если будем рассматривать его только в материальном аспекте. Лишь рассматривая его как совокупность тела, души и духа, мы сможем получить достаточно полное представление о человеке. Но и само тело человека состоит из двух частей: одной, имеющей вес и принадлежащей пространству, и другой, делающей из него живое, вечно изменяющееся существо. Эта другая часть принадлежит времени. Учитывая эти две компоненты, мы различим в человеке уже четыре части, которые мы будем называть «составляющие элементы».
Другой аспект изучения человеческого существа, учитывающий как видимые формы, так и их функции, позволяет выявить триады, включающие два противоположных полюса, и третью, связующую эти полюса срединную часть.
Таким образом, человек представляется как существо, состоящее одновременно из четырех элементов, если смотреть на него с одной стороны, и из трех — с другой. Для познания человеческого существа, как учит нас Антропософия, необходимо видеть различия и связи между этими двумя аспектами. Все это мы попытаемся осветить в первой части книги.
ГЛАВА ПЕРВАЯ
Четыре составляющих элемента человека
Вопросы, поставленные жизнью.
Изучаемые нами физико-химические процессы мира неживой природы способны только уничтожать живое, но они не могут поддерживать жизнь и уж совсем не способны создать что-либо живое из неживого. С помощью жары, холода, электричества, самых различных химических реакций можно продемонстрировать процессы отмирания, разложения растения, но невозможно вдохнуть жизнь в камень. Попытки понять живое, прикладывая к нему понятия, полученные при изучении царства неживой природы, заводят нас в тупик, так как ставят вопросы, остающиеся без ответа. Мы знаем, как благодаря великим открытиям с земного шара исчезали белые пятна, и как одновременно непрерывно росло количество непознанных вопросов о живом. Множатся выводы, основанные на теориях, которые одна за другой оказываются ложными.
Законы минерального мира не объясняют жизнь. Если вместо того, чтобы продвигаться все дальше в области исчисления бесконечно малого, мы займемся всей совокупностью, всем ансамблем процессов в живых организмах; если мы, отбросив при этом многие предрассудки, живущие столь долго лишь оттого, что они облечены в наукообразную одежку, то сможем сразу же констатировать: жизнь всюду находится в противоборстве с неживой природой, она всегда противостоит тем физико-химическим процессам, которые протекают в царстве неживого.
Мир растений дает тому массу примеров. Так, кусок неживой материи, предоставленный самому себе в поле тяготения, всегда стремится упасть, чтобы занять как можно более низкое место. Живое растение, напротив, растет вверх против силы тяжести. Сок поднимается вверх по стеблю растения не благодаря осмосу, а вопреки осмосу. Смесь мертвых неорганических веществ имеет тенденцию высвободить энергию и занять, таким образом, более низкий энергетический уровень. В мире растений, наоборот, конечный энергетический уровень выше начального. Остается предположить в растениях наличие каких-то особых, довольно мощных сил. Падающее яблоко натолкнуло Ньютона на идею о гравитации, но при этом он, к сожалению, не спросил себя о не менее удивительном факте, как яблоко оказалось вверху на ветке дерева. Яблоко, которое падает, уходит из жизни и подчиняется уже только законам физики, таким как гравитация, направленная к центру Земли. Но когда яблоко было частью яблони, оно находилось под воздействием космических сил Солнца и других небесных тел, действующих в противоположном направлении. Действие этих космических сил не безразлично для типа субстанций, для места, которое они занимают в физическом мире. Эти силы порождают, сортируют, ориентируют выбранные субстанции в пространстве, придают им новые свойства, говоря шире, организуют их. И все это в соответствии с собственным, предустановленным для каждого типа планом. Эти силы являются не только фактором структурирования и роста, но также и фактором размножения. Эти силы, без которых совершенно не возможна жизнь, Антропософия называет эфирными,
или формирующими силами.
Их не следует путать с гипотетической «жизненной силой», о которой говорила наука XIX века и которая была только фикцией, фиговым листочком для прикрытия того, что на самом деле игнорировалось. В эфирных силах нельзя также видеть нечто общее с гипотетическим «эфиром» физиков. Эфирные, или формирующие, силы составляют для каждого живого существа, в некотором роде, второе тело, эфирное тело, теснейшим образом связанное с физическим — единственно доступным для наших органов чувств. Кажется, было бы легко возразить, что никто никогда не видел это самое эфирное тело. Но мы можем ответить, что никто и никогда не видел также электричество, магнетизм или гравитацию — силы, которые мы распознаем только по эффекту их действия. Так же всякий человек может убедиться в существовании эфирных сил по их действию. Мы не видим эфирное тело так же, как дальтоник не различает цвета. Дальтоник остается таким на всю свою жизнь. А вот духовный глаз в зародышевом состоянии есть у каждого человека, и этот глаз можно развить до той степени, чтобы воспринимать с его помощью эфирные силы и даже давать их точные описания[1]
.
Проявление эфирных сил.
Несмотря на то, что эфирные силы по своей природе полностью отличаются от электромагнитных, существуют схожие методы, облегчающие выявление их действий. Вы знаете, что если под листок бумаги с рассыпанными железными опилками поместить магнит, то опилки образуют на бумаге характерный рисунок, соответствующий направлениям сил магнитного поля. Так же, если в пересыщенный раствор соли добавить несколько капель вытяжки живой субстанции, то мы увидим, что выпадающие из раствора кристаллы тоже дадут определенную картинку, которая отражает не только свойства неорганической соли (в самих кристаллах), но и модификацию их действием эфирных сил изучаемой органической субстанции.
«Чувствительная кристаллизация».
Этот метод был детально разработан Е. Пфайффер (Е. Pfeiffer) по предложению Рудольфа Штейнера и назван «чувствительной кристаллизацией»[2]
. Речь идет не о количественном, а о качественном методе. Схожесть с методом визуализации магнитного поля оказывается внешней аналогией. Рисунок магнитного поля остается всегда одним и тем же, тогда как чувствительная кристаллизация дает бесконечное разнообразие картин. Но опытный наблюдатель сможет вам сказать, к какому типу принадлежит вытяжка, добавленная к раствору соли (на практике используют хлорную медь), и даже из какой части растения она взята: из корня, из листа или из цветка. Рисунок кристаллов изменяется также в зависимости от качества субстанции и позволяет отличить растения по способу выращивания. Метод чувствительной кристаллизации в применении к анализу крови человека дает важную информацию при диагностике заболеваний, так как позволяет уточнить некоторые характеристики и локализацию болезней.
Эфирные силы нуждаются в материальном носителе. Таким носителем является, по преимуществу, жидкая среда. Как только растение высыхает, эфирные силы покидают его, и оно становится мертвым. В семенах же эти силы могут оставаться в сонном состоянии в течение нескольких лет. Достаточно увлажнить семена, чтобы увидеть, как эти силы активизируются, проявляются в прорастании семени, в росте побега и в большем или меньшем структурировании растения. Вещества, получаемые из мира неживой природы, преобразуются, поднимаются в своей организации до уровня растительного мира. Они приобретают, следовательно, новые свойства, которых у них не было в мире неживой природы. С точки зрения химии никакой разницы нет, так как химический анализ обнаруживает только свойства, характерные для мира неживой природы. Между тем новые свойства, которые создаются эфирными силами, можно обнаружить, лишь используя другие, особые методы. Методы же, применяемые к миру неживой природы, здесь непригодны.
Жизнь животная.
Растения, как мы видели, частично преодолевают силу тяжести. Животные — существа «горизонтальные», кажется, потеряли эту способность. Но это только на первый взгляд, так как растения статичны, а животные обладают свойством динамичности: они могут свободно перемещаться, прыгать, взбираться, некоторые — летать. Движение, характерное для животных, неотделимо от другого качества — чувствительности. Движение может быть вызвано страстью или страхом. Притяжение и отталкивание, или, говоря иначе, «симпатия» и «антипатия», являются теми двумя полюсами, между которыми непрерывно, в течение всей жизни, колеблется животное бытие. Такое внутреннее состояние между душевным притяжением и отталкиванием, между симпатией и антипатей[3]
, присущее животному, внешне проявляется во всех его движениях. То, что мы называем психикой животного, является результатом более или менее длительного воздействия внешних стимулов. Неотрывную связанность психики животного и его движений хорошо понимали уже в Древнем Риме и обозначали их этимологически близкими словами: ашта1 — животное, все одушевленное, все живое, ашта — жизнь, душа, живое создание, дух. Обладать способностью двигаться может только тот, кто одушевлен, кто имеет душу. Животное есть существо одушевленное и в этом его превосходство перед растениями.
Процессы интериоризации у животных.
Кроме того у животных мы обнаруживаем новую важнейшую способность, которой не обладают растения, а именно — инте-риоризацию. Внешняя среда становится частью животного. Это находит отражение в структуре его тела. Чтобы понять это различие, достаточно сравнить дыхательный орган растения — лист — с альвеолой легких животного. Лист окружен воздухом, который является по отношению к нему внешним фактором. В альвеоле легкого находящийся внутри нее воздух, наоборот, окружен органом; в то же время, движение проявляется в форме дыхания (рис. 1). Даже на очень ранней стадии развития эмбриона мы обнаруживаем процесс интериоризации. Когда яйцо начинает развиваться, оно образует скопление клеток, называемое морула (morula), по причине его сходства с тутовой ягодой (рис. 2). На следующей стадии клетки группируются на периферии и образуют своего рода маленький пузырь, называемый бластула (blastula). Начиная с этого момента, одна из перегородок прогибается, что означает переход к стадии гаструлы (gastrula), называемой так из-за ее сходства с формой желудка. Это углубление, которое называют инвагинацией, является типичным проявлением процесса интериоризации у животных. Растение никогда не выходит за пределы стадии бластулы.
| 
|

|
| А
|
Б
|
Рис. 1. А
— лист растения; Б
— альвеола легких.
Рис. 2. А
— morula;
Б
— blastula;
В
— gastrula.
Психическое
или астральное тело.
Мы должны задаться вопросом, что же приводит к образованию га-струлы. Рост, размножение клеток, воспроизводство являются проявлениями эфирных сил, но при образовании гаструлы имеет место новое явление, новая сила, отличная от эфирных сил и не существующая у растений. Спровоцировав инвагинацию и образовав полость, эта сила устраивается в ней как в гнезде. У животного она образует третий элемент — двумя первыми являются физическое и эфирное тела, — который в Антропософии именуется психическим или астральным телом. Причина, по которой оно получило такое название, не может быть раскрыта в рамках данной работы. Все, что относится к миру чувств — инстинкты, желания, страсти, привязанности и отвращения, — являются выражением этого астрального тела.
Все приносимое внешним миром, интериоризируется астральным телом, а затем вновь выходит во внешний мир в форме движения. Это напоминает своего рода дыхательное движение, чередование интериоризации («симпатии») и экстериоризации («антипатии»), и заставляет нас предположить, что воздушное дыхание является в какой-то степени также и душевным дыханием. Эфирному телу в качестве поддержки необходим жидкий элемент, астральное тело может действовать только через газовый элемент.
Мы говорили, что развитие скрытых способностей человека, позволяющих ему чувствовать эфирное тело, возможно. Если мы продолжим развитие этих способностей при помощи соответствующих упражнений, то сможем также чувствовать астральное тело, причем не только в его действиях, его проявлениях, но и непосредственно — в его бытии.
Эфирное тело, как мы видели, находится в противоречии с законами физического мира, в свою очередь астральное тело противостоит эфирному, но это противоречие другого плана. Выдавая свой комплекс задач эфирному телу, астральное тело с одной стороны ограничивает его богатую и бурлящую жизнь, а с другой стороны предоставляет ему новые возможности.
Эксперимент Каррела.
Эксперимент, который все мы хорошо знаем, а именно — опыт с сердцем курицы, может помочь нам осознать действие астрального тела. Клетка сердца курицы была изолирована от остального организма, но при этом была помещена в питательную среду. Она не была связана ни с дыханием, ни с нервной системой животного — не испытывала больше влияния астрального тела курицы. Что же с ней стало? Размножаясь, она образовала скопление клеток, напоминающее по форме morula, и характер жизни этой morula стал чисто растительным, как мы скажем, чисто эфирным; а клеточная чувствительность и дифференциация полностью исчезли. Впрочем, у нас еще будет возможность поговорить об этом опыте.
Вертикальное положение.
Животное, как мы уже констатировали, — «горизонтальное существо» по своему привычному положению в земном пространстве; переходя к изучению человека, мы начинаем исследовать вертикальное положение. По отношению к растению животное эволюционно выполнило поворот в пространстве на 90°, человек же — на 180°. Тот факт, что человек рассматривается как высшее животное, является одной из ошибок материалистической науки, которая больше всего мешает развитию наших знаний о человеке и эволюции. Между человеком и животным, так же как между животным и растением, существует эволюционная пропасть, и поиск непосредственно «переходных» видов или типов является в обоих случаях непростительной и наивной попыткой упростить бытие в угоду стройности материалистической науки. Вертикальное положение человека является лишь одним из наиболее впечатляющих проявлений этой эволюционной пропасти. Безусловно, есть животные, способные на короткий промежуток времени подняться на задние лапы, но это положение требует от них напряжения, которое они не способны долго выдержать. У человека, напротив, масса всего тела так великолепно сбалансирована, что усилие, необходимое для прямостояния, является минимальным. Тенденция к вертикальности в мельчайших деталях прослеживается во всем его облике и особенно в скелете. Достаточно сравнить скелет человека со скелетом человекообразной обезьяны, чтобы понять это. У обезьяны, к примеру, тяжесть лицевого массива должна быть компенсирована могучей мускулатурой затылка, тогда как у человека равновесие головы поддерживается позвоночником. Последний распрямлен и сохранил лишь легкое воспоминание о гибкости змеи, вполне достаточное, чтобы придать ему необходимую эластичность.
Речь и мышление.
Следующей характеристикой человека является речь. Животные кричат, говорит только человек (попугай лишь имитирует звуки, которые лишены для него какого бы то ни было значения). Реакции животных являются, в некотором роде, автоматизмом, и при помощи дрессировки можно получить новые виды подобных реакций. Человеческий язык приобретается не с момента рождения. Он должен быть освоен, так же как и положение стоя, причем ценой беспрестанных усилий. Третьей способностью, а именно — способностью мыслить, обладает тоже лишь человек. Мышление развивается далеко не сразу, и поэтому у нас всегда вызывает удивление маленький ребенок, у которого мы обнаруживаем первые проблески мышления.
Индивидуальное
«Я». Животное полностью зависит от внешних стимулов и своих инстинктов. Обстоятельства, в которых оно находится в данный конкретный момент, сталкивают его с обстоятельствами прошлого, живущими в нем в виде инстинктов и рефлексов. Только человек может сознательно вспоминать о прошлом, погружаться в него по собственному желанию. Человек может также замыкаться в себе самом и исследовать свои собственные мысли. Он может становиться объектом для изучения себя самого и может называть себя коротким словом, которое нельзя распространить ни на кого другого: «Я». Он не только осознает внешний мир, который его окружает, как это было в случае с животным, он отличает себя от внешнего мира и имеет самосознание. Это «Я» не является абстракцией, как считают некоторые философы, но представляет собой существо столь же реальное, как физическое, эфирное и астральное тела; это — человеческий дух. Именно из него исходит сила, которая придает нашему организму особую конфигурацию, сила, которая заставляет ребенка встать, говорить, мыслить. У живого человека она имеет, как и другие тела, материальную основу: тепловой организм. Если бы было возможно «отсоединить» тепло от нашего организма, мы увидели бы тогда, что оно не является везде одинаковым, но наше тепло представляет собой высокоорганизованную структуру (которую, впрочем, частично можно увидеть при помощи инфракрасной съемки), поэтому совершенно оправдано употребление такого термина как «тепловой организм». Именно через «тепловой организм» действует «я», так же как астральное тело имеет в качестве поддержки «воздушный организм», а эфирное тело — «водный организм». Мы можем резюмировать все вышесказанное в следующей таблице:
Таблица
I
| Основные
элементы человека
|
Органическая
основа
|
Природные
элементы
|
| Физическое тело
|
Минеральный организм
|
Земля /Минерал/
|
| Эфирное тело
|
Водный организм
|
Вода /Растение/
|
| Астральное тело
|
Воздушный организм
|
Воздух /Животные/
|
| "
Я»
/Дух/
|
Тепловой организм
|
Огонь /Человек/
|
Человек имеет, таким образом, минеральное начало в виде своего физического тела, растительное начало в виде своего эфирного тела и животное начало в виде астрального тела, но лишь он один обладает «Я» или человеческим духом.
Человек и свобода.
Каждое из этих начал противопоставляется некоторым образом предыдущему началу. То же мы обнаружим, сравнивая животный мир и человека в их отношении к жизни инстинктов. Животное полностью подчинено своим инстинктам, импульсам. Человек, в силу своего «Я», в состоянии им противостоять. Он имеет в себе «возможность» свободы; он может делать выбор в соответствии со своим идеалом морали. Эта свобода не является данностью (иначе она не была бы больше свободой!), но человек способен завоевать ее с помощью своей собственной воли. Страсти, влечения, инстинкты у нас общие со всеми другими людьми; отличаемся мы друг от друга тем, как управляем своими страстями и инстинктами.
Человеческая индивидуальность.
В рамках одного вида животные являются взаимозаменяемыми, они не обладают индивидуальностью. Каждый человек, напротив, является единственным в своем роде существом. Это проявляется и в физическом строении, например, кровь одного человека никогда не бывает полностью идентичной по составу крови любого другого человека. Эта индивидуальность проявляется в мельчайших деталях, вплоть до состава белков. Тем не менее не физическое тело обеспечивает постоянство индивидуальных характеристик; оно лишь получает при посредничестве астрального и эфирного тел отпечаток «Я». На самом деле, физическое тело полностью обновляет каждые семь лет весь свой минеральный состав; следовательно, невозможно поддержать структуру человека в ее совокупности без действия «Я» на физическое тело при посредстве астрального и эфирного тел. Это обновление субстанции каждые семь лет не раз подчеркивалось Р. Штейнером; и только недавно, благодаря искусственным радиоэлементам, были получены доказательства того, что подобное обновление действительно существует. Несмотря на это обновление, мы сохраняем уверенность в нашей собственной идентичности. Наша субстанция изменяется, наш вид также мало-помалу меняется, психика также трансформируется, и несмотря на это, мы ни на минуту не сомневаемся в том, что мы остаемся тем же индивидуумом, богатым воспоминаниями, собранными в течение нашей жизни.
Связь между четырьмя элементами.
Эти четыре составляющих элемента более или менее тесно связаны друг с другом. Физическое тело и эфирное тело тесно связаны и разделяются только в смерти. Они образуют нижний физико-эфирный комплекс. Верхний комплекс — астральное тело и «Я» — также тесно связаны между собой, но здесь уже нельзя говорить о связи пространственного характера, которую мы имеем в виду в материальном мире, здесь речь идет уже о ступенях сознания. Связь между верхним комплексом, с одной стороны, и нижним комплексом, с другой, является менее прочной и подвержена различным изменениям. Во время сна верхний комплекс отделяется от нижнего, и то, что остается в постели, можно сравнить с растением, с той, однако, разницей, что у человека верхние элементы производят остаточный импульс на эфирное тело. Постепенно этот импульс ослабевает и, поскольку человеческое существо не может жить без этого импульса, необходимо, чтобы «Я» и астральное тело вновь воплотились в нижнем комплексе, другими словами, чтобы человек проснулся. Пробужденное сознание и самосознание в действительности связаны с присутствием «Я» и астрального тела в нижнем комплексе. В момент смерти эфирное тело покидает физическое тело, последнее возвращается в минеральный мир, где оно разлагается.
ГЛАВА ВТОРАЯ
Человеческая триада
Узнав о существовании сверхчувственных элементов человека, мы сделали первый шаг в понимании человека как телесно-душевно-духовного единства. Теперь нам необходимо изучить связи, существующие между этими элементами и различными областями физического тела.
Трехчленность человека.
Наблюдение раскрывает нам полярность, существующую между «верхом» и «низом» нашего организма. Почти сферическая форма черепа противостоит лучевой структуре конечностей. Кости черепа представляют собой мощную оболочку, защищающую мягкие части; напротив, в конечностях твердые части занимают середину. Как это ни странно звучит, рассматривая отдельно голову человека, его можно отнести к беспозвоночным, рассматривая его конечности — к позвоночным. Мы еще лучше представим себе лучеобразную структуру конечностей, если пересчитаем кости: одна в бедре, две — в голени, пять — непосредственно в конечностях. Двух полюсов недостаточно для создания человеческого существа. Необходим центр, элемент связи, без которого полюса не могли бы существовать. Таким элементом является грудная клетка. Рассматриваемая в целом, грудная клетка сохраняет еще некоторую сферичность головы, но если рассматривать каждую сторону отдельно, можно увидеть удлинение, характерное для конечностей. Грудная клетка также является оболочкой для мягких тканей, но сама она защищена солидной мускулатурой. Позвоночник, в целом, является удлиненным сооружением, окруженным мускулами, как и конечности, тогда как каждый позвонок, рассматриваемый отдельно, представляет собой маленький череп, закрывающий мягкие части костного мозга.
Физиологический аспект полярности.
То, что нам раскрывает анатомия, мы обнаруживаем и в физиологии, в функциональности. Черепные кости, за исключением челюстной кости, неподвижно соединены друг с другом; на противоположном полюсе — кости конечностей, которые имеют взаимную подвижность. Кости грудной клетки лишь частично подвижны и не обладают свободой в той степени, что конечности. Их движения, как и органы, которые они защищают, являются ритмическими; в силу этого мы назовем эту среднюю область ритмической.
Головной полюс является местом концентрации: свет, звуки, воздух, пища воспринимаются через его посредство. На другом полюсе мы сталкиваемся с рассеиванием в центробежном движении выделений. Между двумя полюсами (верхом и низом) постоянно поддерживается динамическое равновесие, за которое ответственны органы ритмической (средней) системы. Нейро-сенсорная система, сконцентрированная, в основном, в головном полюсе, является инструментом воспринимающих, мыслительных, сознательных функций. Нижний полюс является полюсом движения, метаболизма (который также является движением), обмена как внутри мускулатуры, так и в пищеварительном аппарате. Он представляет собой инструмент воли. Гармонизируя верх и низ, осуществляя связь между мышлением и волей, ритмическая система является инструментом чувства, эмоциональных переживаний.
Обобщенное понятие трехчленности.
Тем самым, человек состоит из трех частей. Однако вышеприведенное описание является лишь грубым приближением к действительности, поскольку мы можем обнаружить это деление на три части на любом этаже человеческого организма, в любой области, в каждом органе, в каждом элементе, каким бы маленьким он не был. Так, в голове сферический элемент верхнего полюса с его содержимым (нервной субстанцией) господствует только на уровне черепа. Нижняя челюсть своей подвижностью, мускулатурой, пищеварительными слюнными железами напоминает о нижнем полюсе. Нос является напоминанием о ритмической системе, с которой он сообщается через дыхательные пути, так же как рот связан с пищеварительным аппаратом. Но среди трех вышеперечисленных «этажей головы», доминирующим остается сферический, мозговой и нейро-сенсорный. Мы обнаружим эти три этажа с обратной доминантой и на нижнем полюсе: так, головка бедра представляет собой голову, которая связана с вытянутой зоной, собственно ногой (голенью и ступней) при помощи шейки, которая является в этом случае срединной областью. В стопе округлость пятки напоминает головной полюс, а пальцы имеют лучеобразное строение, характерное для конечностей.
Сложность человеческого существа.
Но человек является очень сложным существом, и, например, изучение его ноги в трехмерном аспекте дает тому подтверждение. Если пятка своей округлой формой напоминает нам головной полюс, то по своим функциям, т. е. тогда, когда она прочно контактирует с землей, она напоминает элемент воли нижнего полюса. Это принимает резко выраженный характер, когда гнев заставляет нас стучать ногой. Пальцы, напротив, хотя и являются «конечностями» по своей структуре, принадлежат, в силу богатства нервной сети, в силу своих функций, к нейро-сенсорной системе. Мы наблюдаем здесь своего рода парадокс, рассеивание между формой и функциями.
Такие очевидные противоречия часто встречаются при изучении человека. Очень важно понять, что же они означают, если мы хотим продвинуться вперед в наших исследованиях. В случае с ногой парадокс может получить объяснение, если мы попытаемся понять, что же представляет собой сенсорный процесс в целом. Восприятие является чисто нейро-сенсорным актом, но в пальцах, которые тесно соприкасаются с землей, присутствует «воля восприятия», процесс одновременно волевой и сенсорный. Именно ради этой «воли восприятия», осязания, прикосновения к земле, нейро-сенсорный аппарат протянул свою сеть до самых конечностей. Это участие воли обнаруживается, впрочем, во всей сенсорной деятельности, когда мы направляем куда-либо взгляд или прислушиваемся.
Мы можем сделать аналогичные замечания и по поводу руки, которая то сжимается в кулак, напоминая голову в миниатюре — символ воли, то вытягивается и превращается в сенсорный орган, который осязает, или же становится ритмическим инструментом для контакта с внешним миром, для социального контакта, когда мы протягиваем руку нашему ближнему.
Все это показывает, насколько необходимо сохранять живое мышление, восприятие, если мы хотим понять человека, его сущность. Слишком схематическое, сухо интеллектуальное мышление на это не способно, оно лишь препарирует, постигает то, что мертво, как химик, который для того, чтобы проанализировать субстанцию, сначала убивает ее!
Изучая последовательно нейро-сенсорный полюс, затем полюс метаболизма (или моторно-пищеварительный), а затем ритмическую систему, которая является посредником между первыми двумя, мы как бы расчленяем человека. Но человек является единым целым, и нам необходимо теперь рассмотреть его с этой точки зрения.
Взаимодействие двух полюсов.
Когда мы кладем немного сахара на наш язык, мы испытываем ощущение, а именно — вкус сахара. Речь в этом случае идет о нейро-сенсорном процессе, который помогает осознать качество вещества, которое мы положили на язык. В действительности, весь организм участвует в этом процессе и готовится принять сахар, трансформировать его, переварить и направить туда, где есть в нем потребность. Но нашего сознания достигает только то, что происходит в нейро-сенсорной сфере. После прохождения пищи через глотку все остальное разворачивается совершенно бессознательно. И наоборот, все что происходит на моторно-пищеварительном полюсе, находит свое отражение в головном полюсе, ибо именно так мы осознаем результат наших движений, что позволяет нам их контролировать.
Нормальное состояние подразумевает равновесие между этими полюсами. Если один из полюсов становится слишком активным, нужно чтобы равновесие было восстановлено. Решением этой задачи занимается ритмическая система, главным «действующим лицом» которой является сердце. Последнее функционирует одновременно и как нейро-сенсорный орган, который чувствует все, что идет сверху и снизу, а также как плотина, которая ограничивает и направляет кровяной поток с целью гармонизации двух тенденций. Одной из главных помех на пути развития знаний о физиологии кровообращения была идея сравнивать сердце с механической помпой, с насосом. Этот предрассудок настолько сильно укрепился в сознании, что бывает очень сложно от него избавиться.
В цикле лекций для врачей 1920 г. Р. Штейнер говорил: «В первую очередь происходит обмен между жидкими пищевыми субстанциями и газовыми элементами, получаемыми при дыхании. Этот обмен должен быть подробно изучен. Он заключается во взаимодействии сил. Все, что взаимодействует, попадает в сердце, перед тем как вступить в различные виды обмена. Сердце выступает в роли собирающего сосуда, в роли плотины между тем, что можно назвать низшей деятельностью организма — поглощение и переработка пищи — и высшей деятельностью, внутри которой дыхание находится на самом нижнем месте. Собирание субстанций в сердце происходит ритмически непрерывно, и главное здесь заключается в том, что сердечная деятельность является результатом процесса обмена между жидкими пищевыми субстанциями и поглощенным воздухом. Все то, что проявляется в сердце, все, что можно в нем наблюдать, Должно рассматриваться, как следствие, и должно быть проанализировано в его механическом аспекте»[4]
.
Экспериментальные подтверждения.
Лишь недавно эта концепция сердца как органа поддержания равновесия была проверена, причем двумя различными путями. Профессор Мантойфель[5]
в книге: «Размышления о природе механических функций сердца», а также более чем в десятке других работ, написанных им в 60-е годы, приводит описание опытов над собаками с отведением кровообращения за пределы сердца. Он констатирует, что при этом дебет в минуту значительно увеличился. Если бы сердце было помпой, мы констатировали бы тогда уменьшение или полную остановку кровообращения. У детей с врожденным пороком сердца также наблюдается значительное увеличение дебета кровообращения. Проффессор Мантойфель рассказал о девятилетней девочке, весившей двадцать пять килограммов, у которой дебет кровообращения составлял 11,3 литра. Через шестнадцать дней после операции, сделанной в США, дебет составил 1,451 литра, следовательно, стал нормальным. Другие данные подтверждают вышеприведенные факты[6]
. Эмбриологи прекрасно знают, что появление кровообращения предшествует появлению сердца и пульса. В дальнейшем мы увидим, насколько тот факт, что мы рассматриваем сердце как орган поддержания равновесия, может оказаться благотворным с точки зрения терапии сердечных заболеваний.
Полюс жизни и полюс смерти.
Изучим теперь подробнее деятельность двух полюсов организма. Мы определили нижний полюс как полюс движения и метаболизма (который также является движением — движением веществ). Мы обнаруживаем здесь интенсивную витальность и, следовательно, деятельность, относящуюся к эфирному телу. Постоянное обновление клеток пищеварительного тракта, размножение клеток в органах воспроизводства, все это является чисто эфирными процессами, проявлением жизни. Напротив, в нейро-сен-сорном полюсе доминируют процессы смерти. Такое положение вещей достигает кульминационной точки на уровне нервной клетки, которая не может восстанавливаться. Создается впечатление, что нужно совсем мало для того, чтобы она полностью умерла. Но означает ли это, что эфирные силы отсутствуют на верхнем полюсе?
Метаморфоза эфирных сил в мышлении.
Именно здесь действует правило компенсации, о котором мы уже говорили. Те эфирные силы, которые оторвались от нейро-сенсорных органов и привели их к относительной безжизненности, становятся пригодными для использования в другом плане: плане мышления. Все способности к регенерации, структуризации, подвижности, бесконечное множество и разнообразие пластических форм, которые характерны для жизни и в основе которых лежат эфирные силы, все это мы вновь, на новой ступени, находим в нашем мышлении. Мы можем в воображении создавать самые разные картины, моделировать их, объединять, стирать их и вновь вызывать во всем богатстве форм и аспектов, которые мы в случае внешнего восприятия наблюдаем, например, в растительном мире. Вот во что преобразуются эфирные силы на верхнем полюсе, частично отрываясь от чисто материальных процессов нервной системы и органов чувств. На нижнем полюсе они глубоко и неотрывно связаны с материальными субстанциями, обеспечивая тем самым интенсивную витальность метаболизма. На верхнем же полюсе они участвуют не в пластическом изменении и структуризации субстанций, но в структуризации и изменении образов мышления. Вследствие этого связь эфирного тела с физическим телом на верхнем полюсе является гораздо менее тесной. Эти эфирные силы в определенный период детского развития преобразуются и поступают в распоряжение астрального тела и «Я». Они проявляются на психически-духовном плане.
Две стороны процесса питания.
Пища, которую мы потребляем, является инородной по отношению к нашему организму, она обладает внечеловеческими свойствами. Чтобы организм смог усвоить, например, растительные углеводы или же животные белки, необходимо, чтобы они были освобождены от присущих им специфических эфирных сил (соответствующего растительного или животного вида). Это происходит в пищеварительном тракте. Там, под влиянием астральных сил верхнего полюса, пища расщепляется, лишается эфирных нечеловеческих сил. Стремясь победить инородные эфирные силы, организм сам укрепляется; именно в этом заключена сущность пищеварительного процесса. Здесь не так важны вещества, но — силы, векторами которых являются эти вещества.
После расщепления эти субстанции переходят порог пищеварительного тракта и вновь проходят процесс переработки. Они насыщаются собственно человеческими эфирными и астральными силами. Мы видим, что астральное тело действует противоположным образом на двух полюсах человеческого организма. Из верхнего полюса, оно инициирует процессы расщепления субстанций, из нижнего полюса — процессы их переработки. А на уровне ритмической системы силы астрального тела постоянно колеблются между этими двумя процессами.
Связи астрального тела и организма.
Мы уже говорили о том, что астральному телу для того чтобы действовать, необходима поддержка: газовый элемент. На нижнем полюсе, при нормальных условиях, этот газовый элемент не свободен, но находится в растворенном состоянии в жидкостях; астральное тело здесь тесно связано с организмом. В ритмической системе астральное тело частично освобождается, увлекая за собой свою газовую поддержку, которая проявляется здесь ритмично в свободном состоянии. Поскольку на этом уровне астральное тело уже не вовлечено в процесс метаболизма, часть его сил высвобождается для эмоциональной жизни. Мы понимаем теперь, почему астральное тело столь тесно связано с нашей ритмической системой. Ведь наша эмоциональная жизнь также представляет собой постоянное колебание между двумя полюсами — симпатией и антипатией, в своем роде — процесс дыхания души.
Как действуют астральное тело и
«Я». Если в полюсе метаболизма астральное тело, а также «Я» инициируют процессы, с которыми они тесно связаны, то на нейро-сенсорном полюсе все происходит совершенно по-другому. Здесь, после того как астральное тело и «Я» в течение детства построили органы чувств «по своему образу и подобию», они как бы отступают назад, благодаря чему образуется своего рода «зеркало». Именно это делает возможным восприятие, осознание. Если бы астральное тело и «Я» оставались активными внутри субстанции этих органов, восприятие и пробужденное сознание были бы невозможны. Совершенно необходимо, чтобы наши нейро-сенсорные органы оставались «пустыми» — свободными для получения внешних впечатлений. Мы уже видели, что силы астрального тела, исходящие из верхнего полюса, инициируют процессы расщепления поглощенных веществ. На верхнем полюсе эти астральные силы провоцируют деградацию самих органов каждый раз, когда они вступают в органический процесс, то есть, в моменты восприятия и осознания. Действие сил «Я», освобожденных в процессе развития человека как личности от работы в материальном субстрате, при возвратном внедрении в деятельность органов вызывает процесс, похожий больше не на деградацию, но на настоящую смерть. И лишь благодаря части эфирного тела, оставшейся связанной с ними и немедленно (а в особенности во время сна) восстанавливающей то, что было разрушено, эти органы не подвергаются полному самоуничтожению. Мы обнаруживаем здесь противоречие между физико-эфирным комплексом, верхним комплексом астрального тела и «Я», противоречие которое является основополагающим отношением между духом, душой и телом человека на современном этапе его эволюции. Это противоречие и является главной причиной способности человека к болезням и смерти — кстати, в Священном Писании, в Библии, эволюционный процесс обретения этой ступени человеческого бытия и именуется «грехопадением».
Противостояние между сознанием и жизнью.
Процессы активизации сознания связаны с уменьшением витальности; теперь мы лучше понимаем, почему жизнь как бы отстранена от наших органов чувств, почему нерв не восстанавливается, почему глаз больше напоминает некий механический аппарат. Может случиться так, что метаболические процессы проявят избыточную активность там, где в нормальном состоянии она должна быть значительно понижена. Это происходит, например, при воспалении глаза или уха, тогда орган временно утрачивает способность выполнять свойственные ему функции восприятия. Простой конъюктивит может существенно ограничить зрительное восприятие, ухо больного отитом перестает слышать. Понимание этого открывает нам новые горизонты в познании различных заболеваний.
ГЛАВА ТРЕТЬЯ
Здоровье и болезнь
Вскрытие трупа не может помочь нам понять сущность болезни. Анатомирование вскрывает лишь последствия, но не причины. Только наблюдение за живым человеком помогает приблизиться к пониманию заболевания.
Сознание и болезнь.
Изменение состояния нашего самосознания является одной из характеристик. Простая мигрень так же, как и приступ подагры, влечет за собой изменения состояния нашего самосознания — «я
чувствую себя
больным». Ощущая боль, мы обращаем внимание на органические процессы, которые обычно остаются незамеченными. Нормальное самочувствие характеризуется отсутствием осознания того, что происходит в наших органах; мы отдаем себе отчет в том, что они есть, только при нарушении их нормального функционирования. Процессами самосознания обычно управляет наш нейро-сенсорный аппарат, головной мозг. Там эти процессы на своем месте. Если же избыток самосознания проявляется в метаболическом полюсе или в ритмической зоне, то это является выражением какого-либо болезненного состояния, какой-либо аномалии.
Смещение нейро-сенсорных процессов к нижнему по
люсу.
Мы видели, что процессы самосознания требуют присутствия астрального тела и «Я» и сопровождаются такими явлениями, как деградация и смерть органического субстрата человека. В случае, если нейро-сенсорные процессы начинают играть слишком большую роль, то они имеют тенденцию к захвату остальной части организма, где они проявляются в виде различных отклонений от равновесия, — «нормального самочувствия». Такие отклонения могут быть сильнее или слабее, могут проявляться в виде простого стеснения, боли, спазмов и судорог. Параллельно этому нарушаются метаболические и двигательные функции. Часть организма (или какой-нибудь отдельный орган) получает возможность как бы «возглавить организм», процессы самосознания и разрушения усиливаются в ущерб процессам переработки и регенерации субстанций. Мы получаем плод Древа Познания, но теряем плод Древа Жизни. Таким образом, болезнь проявляется как перемещение, преобладание астральных сил над эфирными силами. То, что было на своем месте в одной из частей организма, вне этой части становится болезнью.
Резонанс физического тела.
Пока анормальное действие астрального тела (а также «Я») распространяется только на эфирное тело, наш организм реагирует функциональными расстройствами, но если воздействие продолжается достаточно долго, оно может достичь физического тела и, как бы налагая свою печать, деформировать его. Именно эти деформации и обнаруживаются при вскрытии.
Однако эфирное тело может оказаться достаточно сильным для компенсации анормальных влияний астрального тела и «Я». В этом случае болезнь не проявляется даже на функциональном плане и остается невидимой. Болезнь заявит о себе лишь тогда, когда эфирное тело окажется неспособным восстанавливать гармонию.
Здоровье
— неустойчивое равновесие.
Таким образом, здоровье является неустойчивым состоянием, это как бы неустойчивое равновесие, которое должно постоянно поддерживаться, при этом главным фактором потрясений является астральное тело, а великим врачевателем — эфирное тело. И это не должно нас удивлять, ведь мы помним, что астральное тело является вектором наших инстинктов, страстей, импульсов. Мы понимаем также, что человек, поскольку у него часть эфирных сил расходуется на процесс мышления, гораздо более уязвим в смысле болезней, чем те менее развитые существа, у которых эфирные силы расходуются лишь на процессы регенерации.
Смещение к верхнему полюсу.
Упомянув о перевесе астральных сил, мы затронули лишь один из аспектов болезни, поскольку возможен также и противоположный процесс. Может случиться так, что ставшие свободными эфирные силы остаются неиспользованными, а «Я» недостаточно сильно для их преобразования. Эти неиспользованные эфирные силы в таком случае имеют тенденцию действовать по своему собственному усмотрению, провоцируя ускоренный рост клеток, появление различных аномальных вегетативных выростов, образование опухолей.
Итак, налицо два противоположных аспекта болезни: в первом случае эфирное тело задействовано сверх меры. Силы, в которых оно нуждается для регенерации организма, у него, в некоторой степени, изымаются. Во втором случае, эфирные силы, оставшиеся свободными, не используются и проявляют свой потенциал, провоцируя различного рода аномальные явления. Такое превосходство эфирных сил сопровождается также ослаблением самосознания, некоторой степенью его затемнения.
Последствия слишком ранней интеллектуализации.
Один из примеров преждевременного использования эфирных сил — это раннее школьное обучение, резко усиливающее интеллектуальное развитие в то время, когда эфирные силы, необходимые для этого культурного скачка, еще не освободились от своих задач строительства организма и налаживания функций органов. Конечно, возможно изъять эти силы у организма ради ускоренного интеллектуального развития, но именно в этом и заключается опасность, поскольку мы забываем, что такое «вытягивание» эфирных сил губительно сказывается на здоровье. Даже если последствия не проявятся сразу, то они могут быть весьма отдаленными и проявляться в течение всей жизни.
Ложные симптомы.
Вероятно, все сказанное выше кажется очень простым. На практике бывает очень трудно определить, к какой из двух вышеописанных тенденций относится данная болезнь, поскольку те симптомы, которые мы наблюдаем в действительности, являются ответами, реакцией организма, и, будучи чрезвычайно схожими по проявлениям, они могут иметь под собой совершенно противоположные причины. Так, если сил астрального тела, происходящих из головного центра, недостаточно для разрушения питательных субстанций, для изымания у них эфирных сил, то оставшаяся, не переработанная часть становится средой обитания для патологической кишечной флоры, и мы наблюдаем ферментацию, сопровождающуюся вздутием живота. Но может случиться также, что астральные силы опустятся на ступеньку ниже и то, что они обычно совершают на уровне легких, а именно — освобождение углекислого газа, спровоцируют на уровне желудка и даже кишечника. Это приведет к заболеванию аэрогастритом или аэроколитом, сопровождающимися также симптомами вздутия живота, которые не следует путать с аналогичными симптомами, вызванными излишней ферментацией.
Инверсия тенденций во времени.
Случается также, что фазы, относящиеся к первой и второй тенденциям, с течением времени сменяют друг друга, причем вторая бывает, порой, реакцией на первую. Мы можем наблюдать феномен подобного рода, наблюдая за тем, что происходит с раной. В течение первой фазы раневого процесса появляется боль и идет воспаление, что является выражением возросшей активности астрального тела (боль) и «Я» (тепло). Затем следует фаза затягивания раны, в течение которой эфирное тело затягивает поврежденные ткани, и, в заключение, третья фаза — фаза затвердения и упрочнения вновь сформированных тканей, в течение которой эфирное тело вновь уступает место астральному телу, усиливающему свою деятельность в области раны, что проявляет себя зудом затянувшейся раны. В случае, если что-то препятствует нормальному течению всех перечисленных фаз, мы не будем иметь правильного выздоровления. Так, если первая фаза замедляется, и вторая, соответственно, не может принять эстафету, мы наблюдаем вялое заживление раны без склонности к излечению. Если же замедляется вторая фаза (что часто является реакцией на несвоевременную и слишком жесткую дезинфекцию), то в результате получается мясистый прыщ, часто превращающийся в гнойник.
Поиск причин заболевания.
Очень важно отметить часто встречающуюся в практике полярность (может быть даже постоянную полярность) между местом проявления симптомов и местом, где мы должны искать причину заболевания. Мы можем вспомнить, к примеру, печеночную этиологию дерматитов. Можем наблюдать также подобную полярность при отите: воспалительный процесс, растворение ткани, образование гноя — все это, по сути, метаболические процессы, но проявляются они в недолжном месте — в нейро-сенсорном полюсе. Отметим также, что наиболее подвержены этому заболеванию именно больные, у которых преобладает метаболический полюс (например, дети). Таким образом, очень важно уметь оценивать симптомы по их действительной значимости и всегда искать их связь с противоположным полюсом.
Необходимо лечить причину, а не симптомы.
Так говорит любая медицинская школа, однако важно не само утверждение, а реальные действия врача, прежде всего мыслительные. Просто узнать, что у больного пневмония, недостаточно для подлинного терапевтического импульса. Современная практическая медицина предписывает в этом случае антибиотики, представляющие собой лишь полумеру, направленную на ликвидацию только одного из вторичных симптомов — инфекции. Подавление данного симптома не является излечением болезни и почти всегда провоцирует ее оттеснение в глубину организма. При этом будет формироваться тенденция к проявлению болезни в аналогичной или какой-либо иной форме, но часто более скрытой, более хронической. Любой врач, будучи хотя бы немного наблюдателем, может констатировать подобное состояние, следующее за «подавленным» заболеванием.
Пример: пневмония.
Исследуем один из симптомов пневмонии, а именно — «опеченение» легких. Это образное выражение очень хорошо передает происходящее: часть легкого приобретает консистенцию, которую обычно имеет печень. В некотором роде легкое становится органом, похожим на печень, органом, отвечающим за метаболизм. Все происходит так, как это обычно происходит на уровне печени, если представить себе, что она переместилась этажом выше, а именно, на уровень легких. Без сомнения, сходство не является полным, структура легких этого не позволяет, и то, что происходит на уровне легких, является лишь отражением. Если бы у нас была возможность восстановить эти метаболические процессы, прорвавшиеся на уровень легких, привести их к нормальному состоянию, не добились ли бы мы в этом случае гораздо более полного выздоровления, чем при непримиримой борьбе с микробами, обосновавшимися в уже больном организме? Реально это возможно: такие восстановительные силы мы можем найти в сурьме или, более узко, в гомеопатическом препарате Tartarus
stibiatus
(стибил-тартрат сурьмы). В качестве примера мы рассмотрели здесь лишь один аспект болезни. Более подробное изучение данного вопроса привело бы нас к пониманию необходимости использования других лекарственных веществ, например, Phosphorus
или Ferrum
phos
-
phoricum
,
но сейчас это увело бы нас в сторону от последовательного изложения.
Воспитание мышления.
Приведенный выше пример должен побудить нас глубже вникать в то, что происходит с больным. Подобные связи между патологией и терапией не могут быть вскрыты с помощью одних интеллектуальных рассуждений, они требуют от врача углубленного медитативного мышления, требуют более глубокого и сильного сознания, далеко превышающего повседневные душевные способности. Это нелегкий путь, но тот, кто способен осуществить его на практике, кто способен сознательно достичь научно прозрачной терапевтической интуиции, получит более широкие возможности для излечения, чем те, которые даются нам сегодня при пассивном обучении, требующем напряжения, в основном, лишь сил памяти и механического навыка «читать» показания приборов и анализов.
Значение психических факторов.
Среди наблюдаемых нами симптомов симптомы психического порядка не менее важны, чем те, что открываются при физическом обследовании. Классификация больных на психических и соматических является схематичной и, в конечном итоге, связана с преобладанием одного из числа наблюдаемых симптомов. Граница между двумя категориями размыта. Мы уже видели, что любая болезнь сопровождается изменением самосознания и не существует ни одной, так называемой, психической болезни, которая не сопровождалась бы целой вереницей физических изменений. Тело, или более точно — физически-эфирный комплекс, является инструментом другого комплекса — астральное — «Я». Как может последний правильно функционировать через посредство неисправного инструмента? Поэтому нет ничего удивительного в том, что психические симптомы помогают нам лучше понять то, что происходит в самих органах. В дальнейшем мы увидим, что существуют психические симптомы, характерные для заболеваний определенных органов. Например, мы можем установить связь различных видов страха с тем или иным органом. Гомеопаты это хорошо знают, они пришли к этому эмпирическим путем, но этот эмпиризм, сколь бы плодотворным он ни был на практике, не может удовлетворить нас в плане научного мышления. Мы испытываем в глубине себя потребность понять, провести связь между нашими различными наблюдениями и не можем на данном этапе нашего сознания довольствоваться верой или традицией, догмой или теорией, если мы не в состоянии разобраться в них при помощи нашего мышления.
Установив связь между болезнями и состоянием нашего сознания, было бы правильно спросить, почему астральное тело несет в себе этот болезненный потенциал? Ответ на этот вопрос выходит за рамки медицинской работы, но те, кто интересуется этим вопросом, сможет найти ответ на него в других работах по антропософии[7]
.
ГЛАВА ЧЕТВЕРТАЯ
Истерия и неврастения
Мы уже показали, что связи между физическим, астральным телом и «Я» на двух полюсах организма не одинаковы.
Взаимодействие членов существа на нижнем по
люсе...
На нижнем полюсе (полюсе обмена веществ и органов движения) «Я» действует в тесной связи с другими телами. Можно сказать и точнее, что его воздействие на организм осуществляется через посредство
астрального, эфирного и физического тела. Это опосредованное действие метаморфизируется в организме в процессы созидания, оживления, регенерации, витали-зации, несомые потоком крови по всему организму вплоть до нейро-сенсорного полюса. Сердце регулирует и ритмизирует этот поток, и, хотя он распространяется по всему телу, своим происхождением он обязан метаболическому полюсу.
...
и на верхнем полюсе.
На нейро-сенсорном полюсе, напротив, действия «Я», астрального, эфирного и физического тел, в некоторой степени, разъединены[8]
. На этом уровне «Я», вместо того чтобы действовать при посредничестве других тел, связывается напрямую с организмом. Это прямое действие «Я» осуществляется по нервным каналам, инициируя процессы деградации, смерти, структуризации[9]
.
Влияние верхнего комплекса на организм.
Поток сил, исходящий из метаболического (нижнего) полюса, оживляет субстанции, «пропитывает их эфиром»; второй поток, происходящий из нейро-сенсорного (верхнего) полюса, их убивает, минерализует, но таким образом делает возможным осуществление процессов мышления, сознания. То, что убивает поток, исходящий из верхнего полюса, должно быть восстановлено оживляющим потоком, исходящим из нижнего полюса, в противном случае, организм погибнет. Налицо постоянная гармонизация двух потоков, осуществляемая посредством ритмической системы, более точно — сердцем.
Равновесие между этими различными потоками не одинаково у разных людей, и преобладание одного из них может спровоцировать различные болезненные состояния.
Истерическая тенденция...
Процессы дегенерации, инициируемые верхним потоком, играют важную роль в пищеварении. Мы видели, что перед тем как перейти пищеварительный порог, элементы пищи должны потерять собственные характеристики, пройти расщепление, почти распад. Предположим, что верхние потоки слишком слабы для полного расщепления элементов пищи, тогда последние сохраняют собственные характеристики внутри организма, вводят в него посторонние вещества и силы — химию и физику внешнего мира. Комплекс расстройств, обусловленный присутствием посторонних сил в организме, Р. Штейнер именовал «истерия». В данном случае это слово обозначает не только знакомые медицине психические симптомы, но и всю совокупность расстройств, где истерия как психиатрическая категория является лишь кульминационной точкой.
...
и неврастеническая тенденциия.
Может случиться противоположное — воздействие сил верхнего потока, вызывающих старение, слишком интенсивно. Тогда «Я», исчерпывает свои силы на нейро-сенсорном полюсе и их уже недостаточно для полноценного охватывания нижнего полюса через посредство астрального, эфирного и физического тел и для процессов переработки веществ. Процессы смерти, старения берут верх, организм становится как бы слишком «интеллектуальным». Недостаточность регенерации перерастает в тенденцию к накоплению метаболитов, отходов, которые откладываются в организме и представляют собой чужеродные тела. Для этой второй разновидности расстройств, в которой преобладают процессы старения, Р. Штейнер употреблял термин «неврастения», взятый также в более широком смысле, чем тот, который принят у психиатров.
Очень важно понять живой образ этой динамической полярности между двумя вышеупомянутыми болезнетворными тендециями — между истерией и неврастенией. Можно сказать, что вообще все существующие болезни в большей или меньшей степени вписываются в первую или во вторую тенденцию.
Проявление этих тенденций.
Не развив в себе способности к ясновидению, мы не можем напрямую наблюдать эти потоки, но мы можем обнаружить симптомы, реакцию организма на эти процессы. Симптомы, впрочем, бесконечно разнообразны и часто неопределенны. На инородное тело организм может реагировать воспалительным процессом, отторгая его, или инкапсуляцией — «склерозом», в зависимости от ресурса имеющихся у него жизненных сил. Несомненно, что любое воспаление — с плеторой, с интенсивными жизненными процессами — должно в этом контексте рассматриваться как «истерическая» тенденция. Однако бывает, что этот процесс является реакцией на «неврастенические» болезненные причины. Напротив, атеросклероз с его процессами старения, деградации, отмирания, седиментации является типично неврастенической тенденцией. Однако мы можем найти подобную реакцию и у больного истерического типа, чей организм, так сказать, «смирился» и более не способен на воспалительную реакцию. Знание подобных феноменов открывает путь чрезвычайно гибкой терапии, позволяющей поддерживать организм в его усилиях к самоисцелению, а не противоречить им. Ведь динамическое равновесие, заложенное в нашем организме, всегда предполагает естественное стремление организма к самоизлечению.
Мигрень.
В свете вышесказанного интересно рассмотреть одно типичное «истерическое» заболевание. В случаях, когда пища из-за слабости верхних потоков, расщепляется недостаточно, ее элементы, перейдя порог кишечника, сохраняют свой инородный характер. В нормальном состоянии в начале пищеварительного тракта еще существует некоторая деятельность, чуждая внутренним процессам человека. Но после порога кишечника мы находимся «внутри» человека, где должны существовать одни лишь «человеческие» процессы. Все инородное действует здесь как яд, токсин, от которого организм должен избавиться. Это не всегда ему удается, особенно при недостаточной функции печени. Кровяной поток переносит эти токсины к нейро-сенсорному полюсу, который, в свою очередь, пытается их «допереварить», то есть докончить то, чем пренебрег пищеварительный тракт. Естественно, что органы нейро-сенсорного полюса не созданы для подобной деятельности. Астральное тело и «Я» как бы концентрируют свои
усилия на этих органах, что ощущается как боль. Мы нарисовали картину мигрени, объясняющую симптом боли,
на что уже указывал д-р Ф. Хуземанн[10]
.
Мы понимаем теперь, почему все, что уменьшает действие астрального тела и «Я» на верхнем полюсе, может способствовать развитию мигренеподобного синдрома. Так, менструальный период, требуя увеличения деятельности астрального тела и «Я» в нижнем полюсе, изымая и без того недостаточные силы у верхнего полюса, может быть причиной мигрени. В случае переедания верхний поток также не способен справиться со своей задачей, и страдающие мигренью инстинктивно стараются уменьшить количество потребляемой пищи. Эмоции, острые споры, интеллектуальные перегрузки, избыток впечатлений, сопровождающие современную жизнь, слишком сильно задействуют астральное тело и «Я», препятствуя выполнению их задачи по преобразованию пищи, что также может вызвать заболевание. Заметим, также, что у мужчин действие астрального тела и «Я» более интенсивно связано с верхним полюсом, и, в целом, они меньше подвержены мигрени, чем женщины, у которых, напротив, члены существа более тесно связаны с нижним полюсом.
Как справиться с начинающейся мигренью.
Какую терапию предложить при этом ярко выраженном истерическом заболевании? В момент криза процесс уже слишком продвинулся и трудно поддается лечению, хотя это не означает, что не существует некоторых возможностей облегчения. Я процитировал бы здесь один рецепт, который иногда позволял мне купировать начинающийся криз: дышать над сосудом с заваренной кипятком горчицей. В нормальном состоянии это немедленно вызывает жжение в глазах, носу, а затем слезотечение. В случае мигрени можно дышать парами горчицы сколько угодно, не испытывая каких бы то ни было неудобств. Серные выделения горчицы призывают астральное тело к выполнению его задачи и переводят процесс на нижний уровень, уменьшая таким образом боль.
Опасность обезболивающих средств.
Нельзя говорить о мигрени, не сказав ни слова об аспирине и других болеутоляющих средствах. Несомненно, что в случаях крайней необходимости, к примеру, при сдаче экзамена, нам не остается ничего другого как прибегнуть к помощи болеутоляющих. Тем не менее важно знать, что анальгетики лишь парализуют действие верхних тел на нейро-сенсорные органы (отсюда и происходит их болеутоляющее действие), а при частом использовании ослабляют верхние потоки, и без того разрушенные у больных, что, в конечном счете, приводит лишь к усилению предрасположенности к мигрени.
Основное лечение мигрени.
Р. Штейнер, понимая социальную важность этого заболевания, учитывая широкое его распространение, вызванное условиями современной жизни, предложил замечательное лекарство для его лечения. Речь идет о Kephalodoron
(в Швейцарии и во Франции — Biodoron [Ferrum sulfu-ricum 5%, Silicea 5%, Mel 5% aa trit]). Комбинация железа и серы действует в месте встречи пищеварительных и дыхательных процессов. Сера, которую мы уже встречали в горчице, интенсифицирует метаболические процессы; железо воздействует на дыхательные процессы, откуда вытекает роль его в гемоглобине. Прописывая комбинацию железа и серы, мы гармонизируем дыхательные и метаболические функции, и таким образом препятствуем прорыву пищеварительного процесса на верхний полюс.
Silicea — осажденная метакремниевая кислота или природная субстанция кварца, характеризуется своими структурирующими силами. Эти силы, как мы видели, действуют в нормальном состоянии на верхнем полюсе, где они скрыты. Применением кварца мы усиливаем верхние потоки структурирования. Простой образ поможет нам понять действие этого минерала и напомнить о связях, существующих между процессами структурирования в организме и душевной деятельностью мышления: не говорим ли мы о мысли — ясна, как кристалл? Mel — мед — призывает силы «Я». Между ульем, обладающим удивительной способностью поддерживать постоянство собственной среды, в частности, температуру (факт уникальный для мира насекомых), и «Я» человека существуют тесные связи.
Kephalodoron
следует прописывать на период в семь недель, три раза в день на кончике кофейной ложки (если это тритурация) или по одной таблетке. Затем следует пауза в пять недель, в течение которой можно было бы прописать Aurum
D
10,
а также терапию для усиления печеночных функций. С этой целью мы прописываем Hepatodoron
и Choleodoron
(см. также гл. 11). Лечение циклами по семь недель препаратом Kephalodoron
должно продолжаться на протяжении месяцев, даже на протяжении двух-трех лет, но существенное улучшение можно констатировать уже в течение первых двух недель. Нужно запастись терпением и продолжать лечение достаточно долго, если вы хотите достичь окончательного выздоровления, что требует также изменения образа жизни и гастрономических привычек.
Разнообразие реакций организма.
Мигрень представляет собой один из способов реакции организма на проникновение в него инородных процессов. Подобные реакции могут наблюдаться на разных уровнях. Так белок, сохраняющий «внечеловеческие» свойства, может быть выброшен почками, что абсолютно не является свидетельством того, что почки больны; но они могут стать таковыми, если эта исключительная работа будет требоваться от них на протяжении долгого времени. Организм может также освободиться от того, что он не приемлет, посредством острого воспалительного процесса, например, с помощью ангины или посредством кожного заболевания, например, экземы.
Склероз.
Прямое действие «Я» и астрального тела на организм влечет за собой доминирование процессов отмирания, разложения с появлением неорганических и даже минеральных субстанций. «Я» испытывает потребность в этих минеральных элементах в ничтожно малых количествах, а остаток должен быть потреблен эфирными силами, начиная с потоков, исходящих из нижнего полюса. В заболеваниях неврастенического типа избыток процессов распада по сравнению с процессами витализации приводит к появлению остатка, который имеет тенденцию к отложению; этот остаток ведет себя как инороднее тело, от которого организм пытается избавиться. Симптомы, которые мы наблюдаем, являются попытками к выделению, реакциями организма на подобные «склады». Молодой организм будет реагировать воспалительным процессом, он попытается избавиться от посторонних субстанций при помощи гноя. Ангина, гайморит могут, таким образом, быть реакцией на процесс неврастенического типа. Но в дальнейшем, если причины не исчезают, организм устает, смиряется и становится неспособным реагировать при помощи воспалительного процесса. В этом случае инородные элементы имеют тенденцию к седиментации в форме камней, артериосклеротических бляшек, отложения солей; в целом, организм отвердевает. Перед нами болезненный процесс, характерный для пожилого организма.
Но перед полным смирением организма существует еще одно средство возможной защиты — инкапсуляция. Во время этого процесса образуется мембрана, которая изолирует инородное тело. Именно потому, что человеческие эфирные силы не могут больше в него проникнуть, это тело становится инородным. Тогда эти силы концентрируются на его периферии, что ведет к образованию мешочка инкапсуляции. Киста оказывается тогда средством защиты организма, конечно, не таким надежным, как воспалительные процессы. Это объясняет и то, что опухоль, которая также является скоплением инородных сил, в случае, если она ограничена мембраной инкапсуляции, как правило, бывает доброкачественной.
До настоящего момента мы рассматривали истерию и неврастению в их органических, или соматических, аспектах. Теперь постараемся разобраться, почему мы наблюдаем то психические, или функциональные, то физические проявления, которые в разные моменты доминируют на сцене. Чтобы понять это, нам необходимо вернуться к понятиям равновесия, гармонии, компенсации, которые осуществляются ритмической системой между верхом и низом.
Три плана паталогических проявлений.
Пока компенсация остается возможной, мы не наблюдаем никаких симптомов, но как только у одной из составляющих появляется анормальная интенсивность, мы наблюдаем появление функциональных расстройств, другими словами, дисфункцию эфирного тела. Если причины повторяются, если равновесие не может быть восстановлено, то неправильности эфирного тела наложат отпечаток на физическое тело, как это сделала бы печать в воске. Тогда мы видим появление физических симптомов, обнаруживаемых при пальпации, аускультации, радиографии, эндоскопии и анатомировании. В этом случае налицо временное или окончательное повреждение органа.
Но может случиться и так, что расстройство, хотя и длительное, не достаточно интенсивно для того, чтобы вызвать функциональные расстройства; иначе говоря, чтобы проявиться на эфирном плане. Расстройство существует в эфирном теле, но оно никак не проявляется. Как говорит Р. Штейнер, эфирные силы в этом случае наложат свою печать на физический орган, но печать эта будет менее глубокой, менее явственной, в некотором смысле, более поверхностной, мешая все же органу корректно выполнять функцию «зеркала», инструмента души. Все происходит так, как если бы зеркало (эфирное тело) потеряло свою прозрачность, не позволяя астральному телу и «Я» в нем правильно «отразиться», что приводит к развитию различных аномальных, деформированных психических проявлений. Такие проявления характерны для определенных поврежденных органов и их функций; они могут проявляться и сами по себе, но гораздо чаще они перемежаются с соответствующими органическими болезненными феноменами.
Важно заметить, что в отличие от повреждений «поверхностных», глубокие повреждения органов, те, что мы наблюдаем при физическом обследовании, почти никогда не влекут за собой психических расстройств; они находятся в некотором смысле позади «зеркала», не изменяя способности отражения душевных феноменов. Можно сказать, что эти более глубокие повреждения представляют собой своего рода отвлечения, оттягивание процесса на физический план; так, мы часто наблюдаем затихание или исчезновение психических болезней в связи с органическими заболеваниями.
Терапевтические доказательства.
Возможно ли доказать наличие связи между органами и психическими расстройствами? В некоторых случаях да, но, мне кажется, что наши методы исследования не являются еще настолько утонченными, чтобы утверждать это в полной мере. Однако сама терапевтическая практика дает неоспоримые подтверждения того, к чему приводит нас духовно-научное исследование.
Опасность схематизации.
Было бы заманчиво установить классификацию всех болезней, деля их на «истерические» и «неврастенические». Я ограничился примером с мигренью не в целях систематизации, но для того, чтобы показать нить размышлений. Ведь куда важнее научиться различать в каждом конкретном случае, что же происходит в реальности. Законченная систематизация представляла бы собой огромную опасность ранжирования различных заболеваний под одной рубрикой, поскольку, в конечном счете, важно не имя, которое мы даем заболеванию, а реальное понимание процесса. Конечно, существуют типичные заболевания, и в подобных случаях у нас появляется необходимость в схеме для того, чтобы оценить и сохранить в памяти некоторые элементы. Нужно привыкать рассматривать схемы как опекунов, в которых у нас есть потребность в течение некоторого времени, но затем с ними нужно расставаться. Только точно понимая то, что представляет собой больной в целом, мы можем прийти к пониманию индивидуальности его болезни.
Лечение «истерии».
Если мы имеем дело с больным истерического типа, мы стараемся укрепить «Я» и астральное тело в их верхних потоках, чего можно добиться при помощи Stibium. Сурьма, кристаллизуясь в природе в виде тонких лучеобразных иголочек, обладает мощной способностью к структуризации, особенно в отношении белков. Мы можем также сказать, что она действует в организме как «Я», замещая временно часть его ослабленных сил, позволяя им восстановиться. Мы прописываем сурьму в виде инъекций или капель Stibium metallicum praep. D6—D10[11]
. Сочетание сурьмы с серебром — минерал дискразит (Dyskrasit) — особенно рекомендовано больным, «перегруженным» как психическими, так и физическими симптомами. В этом случае нужно использовать его в высоких разведениях, например в D30. При острых проявлениях истерии мы назначаем Bryophyllum (каланхоэ) в инъекциях или каплях от D3 — до 5%. Это растение семейства толстянковых обладает уникальной репродуктивной способностью — размножаться от фрагмента листа, что свидетельствует о его экстраординарных жизненных, то есть эфирных, силах. Будучи введены в организм в лекарстве из каланхоэ, эти инородные эфирные силы побуждают к интенсивной работе аналогичные силы человека, они как бы связывают их и направляют в нижнюю часть организма, мешая таким образом осуществлять излишнюю активность на нейро-сенсорном полюсе (именно поэтому эти инъекции следует делать в бедро). Для проведения более глубокого лечения используют преимущественно Bryophyllum Argento cultum, так называемый «вегетаби-лизированный металл», содержащий серебро, динамини-зированное самим растением[12]
. Мы прописываем его в концентрации 0,1% или 1%.
Случаи альбуминурии.
В случае, если недостаточность расщепления протеинов приводит к появлению инородных белков в организме и выбросу их почками, мы прописываем Ferrum siderium D10 / Pancreas D6 aa trit. или dil. Железо является металлом воплощения (внедрения душевно-духовного в телесное), оно побуждает «Я» лучше овладеть организмом (в данном случае оно помогает более полному расщеплению протеинов). Приобщая к железу гомеопатизированныи препарат поджелудочной железы животного (Pancreas), мы ориентируем его действие на орган, одной из функций которого является именно расщепление протеинов. Очень рекомендую прописывать эту композицию и в период выздоровления после таких лихорадочных болезней, как грипп, корь, скарлатина, ангина и т.д.
Лечение неврастении.
При заболеваниях неврастенического типа базовым препаратом является Phosphor в низком разведении — D6. Этот элемент, обладающий способностью неожиданно самовозгораться, служит, образно говоря, сигнальным огнем для «Я» и направляет его в темную (в смысле участия сознания) область метаболических процессов. В случае интеллектуальных перегрузок мы скорее пропишем Kalium phosphoricum D6. Но никогда не следует забывать и о Prunus spinosa (Терн). Это колючее растение с коротким и ярким цветением, с вяжущими плодами, находится в некоторой оппозиции к Bryophyllum, о котором мы говорили выше. Оно обладает некоторыми особенностями — например, если посадить терновый куст под старой яблоней, оно способно заставить ее вновь цвести и плодоносить. В человеческом организме терн (плоды или молодые побеги) обеспечивает подъем жизненных сил. Мы назначаем Prunus spinosa в форме теплых ванн (кофейная ложечка экстракта на ванну), в каплях внутрь или же в подкожных инъекциях (D3).
Лечение судорог.
В целом, судороги появляются в случаях, когда астральное тело слишком интенсивно воздействует на мускулатуру. Независимо от их конкретной причины судороги можно эффективно лечить мазью на базе меди (Cuprum 0,4% Ung., наносить мазь круговыми движениями снизу вверх, вечером). Эта же мазь используется на живот при спазматических запорах и при околопупочных коликах у детей (мазь наносить круговыми движениями по часовой стрелке, используя всегда очень немного мази). Показания к применению мази Cuprum столь многочисленны и разнообразны, что мы можем привести здесь лишь общий обзор ее действия.
Серебро и фосфор.
При заболеваниях неврастенического типа нужно подумать и о применении Argentum. Можно было бы удивиться, увидев упоминание о нем в этой рубрике, раз мы уже говорили о нем в связи с истерией. Argentum и Phosphor являются двумя полярными медикаментами и нельзя прописывать их для параллельного приема. Но их с успехом можно использовать альтернативно: Argentum — при растущей луне, вечером, и Phosphor — при убывающей луне, утром (антропософская медицина, равно как и антропософская фармакогнозия и фармакокинетика, учитывает не только фазы луны, но и определенные сочетания положения планет и светил, т. е. их констелляции, поскольку действие планетарных сил может как стимулировать, так и ослаблять лечебные свойства гомеопатизированных металлов). Такой способ лечения дает особенно сенсационные результаты, если мы имеем дело с больным, чувствительным к луне, независимо от того, относится ли он в большей степени к «истерическому» или «неврастеническому» типу. Применение этих двух медикаментов в вышеуказанном ритме представляет собой замечательную помощь, когда хотят установить гармоничное равновесие между функциями.
ГЛАВА ПЯТАЯ
Сон и бодрствование
Бессонница — актуальная болезнь.
В западном мире многие из наших современников мучаются от расстройства сна, но также и «от расстройства бодрствования», поскольку, если они плохо спят ночью, то часто плохо чувствуют себя и днем. Но проблему бодрствования и сна можно решить, лишь хорошо понимая то, что происходит в этих двух состояниях.
Ритм сна.
В чередовании этих двух состояний мы немедленно увидим ритмический процесс, колебание между двумя полюсами: тем, на котором мы полностью владеем нашим сознанием, и тем, на котором сознание исчезает. Между этими двумя полюсами существует переходное состояние, состояние сновидения, внутри которого сон пробуждения и сон засыпания являются лишь нюансами, направленными к одному или другому полюсу.
В состоянии бодрствования мы имеем восприятия, формируем представления, испытываем чувства, мы можем проявить нашу волю. Мы ощущаем себя отличными от внешнего мира, от других людей, ощущаем себя индивидуумами. Сверх того, когда мы просыпаемся, мы испытываем чувство непрерывности, более точно можно сказать, абсолютную уверенность в том, что, заснув накануне с одним содержанием сознания, мы проснемся на следующий день с этим же сознанием (увеличенным в некоторых случаях лишь содержанием наших снов).
Все это подразумевает в состоянии бодрствования присутствие нашего астрального тела и нашего «Я» в нижних телах (эфирном и физическом). То, что мы испытываем в самом акте –– я
просыпаюсь», не может быть передано логическими умозаключениями. Мы можем понять это, лишь наблюдая за собой изнутри, «медитируя» сами над собой. Это приоткрывает нам путь познания, основанный не на законах формальной логики, как во внешних науках, но который от этого не становится менее информативным. Мы можем также провести обратный опыт: исследовать спящего человека. Мы можем видеть его внешнюю форму, можем взвесить его, измерить, следовательно, перед нами физическое тело; мы можем наблюдать также весь комплекс физиологических проявлений, отличающих спящего человека от трупа. Мы являемся свидетелями тех же жизненных проявлений, что и у растения, а это приводит нас к выводу о наличии помимо физического, еще и эфирного тела.
«Я» и астральное тело во время сна.
Ничто не открывает нам присутствия «Я» и даже астрального тела у спящего (он не переживает ни самосознания, ни сознания). Следовательно, мы обязаны предположить, что «Я» и астральное тело покинули организм во время сна, в некотором смысле, от него отделились. Теперь мы можем понять, почему верхние элементы, лишенные инструментов, каковыми являются для них физическое и эфирное тела, не могут вспомнить, что они испытывали во время сна, вне себя. Некоторые направления материализма хотели бы уверить нас в том, что психика является всего лишь продуктом жизнедеятельности мозга, поскольку вмешательство в мозг способно изменить состояние нашего сознания. Но это так же абсурдно, как абсурдно было бы предположить, что время способно останавливаться оттого, что мы разбили наши часы.
Однако сравнение спящего человека с растением не должно заходить слишком далеко. Человек — существо чрезвычайно сложное, и предложенная нами схема может быть лишь ступенькой на пути к более полному пониманию его сущности.
В предыдущей главе мы видели, что астральное тело действует неодинаково на верхнем и нижнем полюсах. Оно заведует процессами расщепления субстанций на нейро-сенсорном полюсе, открывая, таким образом, путь процессам сознания и заведует строительством и переработкой субстанций на пищеварительном полюсе. Во время сна одна только часть астрального тела, связанная с нейро-сенсорной системой, отделяется от нижних тел. Другая часть остается связанной с пищеварительным полюсом и, напротив, осуществляет очень тесные связи с нижними элементами. Процессы расщепления, необходимые для сознания, приостанавливаются, процессы регенерации, напротив, становятся более активными. Все эти феномены могут прямо наблюдаться ясновидящим сознанием; в отсутствие этого дара мы можем лишь фиксировать, констатировать внешние проявления сна и бодрствования.
Почему мы спим?
Обычно думают, что желание спать вызывается усталостью. Это не точно. Можно быть очень усталым и при этом не испытывать желания лечь спать и, наоборот, можно хотеть спать, не будучи уставшим. Это немного напоминает игру слов, так как усталость и желание лечь спать являются сопряженными понятиями без ярко выраженных границ. То, что мы испытываем при желании спать, выражает, по сути, лишь потребность высших тел (астрального и «Я») отделиться от низших (эфирного и физического). Мы можем с помощью некоторых полунаркотиков, таких как кофе, чай, затормозить эту потребность и заставить ее исчезнуть на некоторое время, заставить исчезнуть чувство усталости. Мы можем при помощи других наркотических веществ спровоцировать обратное.
Если «Я» и часть астрального тела отделяются во время сна от низших тел, то они возвращаются к ним при пробуждении. Если, по какой-либо причине, нормальный процесс этого возвращения нарушен, мы просыпаемся плохо, мы испытываем чувство усталости (которое может совершенно и без малейшего отдыха пройти в течение некоторого времени). В целом, мы можем сказать, что бессонница представляет собой затруднение или невозможность для высших элементов отделиться от низших. Причины могут быть разными, мы рассмотрим некоторые из них, что укажет нам на терапевтические возможности.
Причины бессонницы.
Если какой-либо орган по той или иной причине поврежден, между физическим телом и эфирным телом появляются несоответствия, дисгармония. Это влечет за собой усиление интенсивности действия астрального тела на эфирное, с тем чтобы обязать последнее к восстанавливающему усилию. Может случиться даже, что астральное тело действует прямо на физическое, что выражается в болях и судорогах. Боль, в принципе, является моментом проявления этой повышенной деятельности астрального тела. Очевидно, что более интенсивная связь астрального тела с низшими элементами в какой бы то ни было точке организма является препятствием для необходимого отрыва для наступления сна. Астральное тело и «Я» остаются привязанными к эфирному и физическому телам — и мы получаем некомпенсируемое возбуждение, нервное расстройство (см. гл. 4). Подобная связь может, однако, оставаться вне уровня сознания или не может быть оценена сознанием вследствие поражения какого-либо нерва (например, разрушившийся зуб), следовательно, не может проявиться в болезненных ощущениях (мы знаем, что некоторые органы, даже серьезно поврежденные, не вызывают боли).
Необходимость углубленного расспроса.
Необходимо всегда подробно расспрашивать больных по поводу их сна. Может случиться так, что ваше внимание было отвлечено чем-то другим и вы забыли это сделать, но затем больной, которого вы лечили от совершенно другой болезни, заявляет вам о том, что бессонница исчезла. Это является доказательством главенства причинной терапии перед терапией симптоматической. Очень важно знать, как больной засыпает, как он просыпается, как оценивает качество своего сна, свое состояние бодрствования. Некоторые больные полностью просыпаются лишь к вечеру, а другие, наоборот, полны сил после момента вставания, но неспособны, бодрствовать вечером. Все эти знаки позволяют выявить связи между различными оболочками человека, каковыми являются астральное тело, эфирное тело и тело физическое.
Упражняясь в прочтении дисгармонии, которая может проявляться между различными телами, мы становимся способными назначить терапию по-настоящему причинную, что должно быть целью всякой истинной медицины.
Лечение бессонниц.
Такие расстройства подчас очень долго не оставляют никаких следов в физическом теле и способны в течение нескольких лет проявляться только в области функциональной (в области эфирного тела). У таких больных расстройства сна появляются спустя некоторое время после перенесенной ангины, сопровождавшейся, может быть, скоротечным выбросом белков. Все это настолько скрыто, что анализы и функциональные пробы могут ничего не показать. В этом случае мы будем думать о функциональном состоянии почек и пропишем Equisetum D6. В течение некоторого времени сон возвратится к норме. У другого больного, просыпающегося регулярно в три часа утра, мы станем подозревать повреждение печени. Мы прописываем ему три раза в день перед едой Hepatodoron, чтобы восстановить функции печени, может быть также Choleodoron, который обращен скорее к желчной функции (десять капель после еды в половине стакана теплой воды); мы будем делать также теплые компрессы на область печени с настойкой тысячелистника после обеда и удивимся, увидев, что к этому больному, склонному к депрессии, вернулись жизненные силы и сон.
Нужно хорошо знать, что такие неочевидные повреждения образуются иногда в течение нескольких лет, отравляют жизнь этих больных, но порой, эти расстройства приписывают воображению больного, хотя хватило бы лишь немного внимания и способности сопереживать состояние пациента, чтобы прийти ему на помощь. Конечно же, почки и печень являются при таких недугах не единственными «подозрительными» органами, и я их выбрал только в качестве примера. Какой угодно орган может быть причиной. В дальнейшем мы изучим некоторые психические симптомы, указывающие на дисгармонию в определенных органах. Бессонница может быть также, не будем этого забывать, проявлением и более серьезных заболеваний. Мы часто встречаем ее у больных раком на ранней стадии. В последнем случае мы получаем великолепные результаты от курсов инъекций препаратом Iscador (это препарат «Weleda» из Омелы белой [Viscum album]). В дальнейшем, в главе о раке, мы вернемся к этому вопросу.
Не локализованная ни в каком органе, однако, особенно напряженная дисгармония может появиться вследствие душевных, моральных потрясений, о которых нужно расспрашивать всякого больного с особым усердием. При наличии в анамнезе таких потрясений, мы назначаем Argentum metallicum D6 или Argentum metallicum praeparatum D6 в тритурации или, еще лучше, в подкожных инъекциях, желательно в стадии прибывающей луны. Если шок был пережит очень давно, мы используем более высокие потенции (D15 или D20), но, в принципе, лучше начать с D6. Argentum является вообще главным медикаментом для поддержания эфирного тела (комплекса жизненных сил), и иногда хорошо начинать вообще любое лечение пациента с нескольких инъекций Argentum. В случае, если, на наш взгляд, правильная терапия оказывается неэффективной, мы можем остановить эту терапию и прописать промежуточный курс лечения Argentum, а затем вернуться к предыдущему лечению, после такого призыва эфирных сил эта терапия может стать более действенной.
Роль холода.
Несколько слов о холоде, который также может быть причиной бессонницы. Холод может спровоцировать настоящее повреждение нашего «организма тепла», мешая астральному телу и «Я» отделиться от него. Все мы знаем, что охлаждение ног может прервать сон. В таких случаях достаточно набросить сверху одно или два одеяла, чтобы восстановить нормальный сон. Для больных, страдающих от холодных ног, мы выписываем ножные ванны, попеременно чередующиеся с холодной и теплой водой (1 минута в теплой воде, 15 сек. в холодной воде, повторить двенадцать раз), с последующим мягким растиранием ног мазью Ung. Cupri 0,4%). Избыток тепла также может привести к нарушению сна, но больные, как правило, лучше следят за перегревом во время сна, чем за переохлаждением. Среди причин преждевременного пробуждения могут быть также голод, гипогликемия (что заставляет подумать о том, что стакан подслащенной воды на ночь во времена наших бабушек не был вызван воображаемыми потребностями).
Пищеварительные факторы.
Избыточное питание также является частой причиной бессонницы, а точнее — плохого сна. Когда мы много едим, что требует особенно большого усилия от пищеварительной системы, мы слишком активизируем силы расщепления астрального тела и «Я», исходящие из верхнего полюса; ничего удивительного в том, что тем самым мы мешаем их высвобождению, необходимому для нормального сна. Поэтому вполне естественно, что при избыточном ужине мы можем чувствовать некоторую сонливость, поскольку силы, участвующие для процесса расщепления не в состоянии заниматься на нейро-сенсорном полюсе процессами сознания. Однако в таком состоянии мы не можем ни в полную меру бодрствовать, ни обрести полноценный сон. Пока астральное тело не высвободится из активного пищеварительного процесса — нормального сна не будет. Случается также, что элементы пищи, как мы уже это видели в мигрени, переходят порог кишечной мембраны, не потеряв всех своих чуждых — «внечеловеческих» природных свойств. Они несут в этом случае инородные характеристики внутрь организма — и то, что не сделал до конца пищеварительный тракт, должны доделывать органы, отвечающие за совсем иные функции. Мы обнаружили подобный процесс у больных, страдающих мигренью; нужно знать, что существует и, «малая мигрень», — у больных подобного рода бессонница является доминирующим симптомом. Мы назначаем таким больным, как и больным, страдающим обычной мигренью, Kephalodoron.
Неврастеническая бессонница...
Все вышеизложенное приближает нас к вопросу о конституциональных бессонницах, встречающихся у больных истерического и неврастенического типа. У последних, как мы это видели в предыдущей главе, связь «Я» и астрального тела с нейро-сенсорной системой слишком интенсивная, поэтому нет ничего удивительного в том, что при их отделении имеются трудности. Но у этих больных есть еще один симптом: они плохо пробуждаются утром. Если мы внимательно понаблюдаем за ними, мы увидим, что это неполное пробуждение заключается не в отсутствии сознания — их мышление достаточно активно, хотя и несколько рассеянно, — главное в том, что они неспособны к действию, к волевым проявлениям. Чтобы лучше это понять, используем следующий образ: вообразим стрелка из лука, правая рука которого — активная сторона — натягивает тетиву, выражающую силу воли. Левая рука направляет стрелу (образ силы мышления, исходящей из нейро-сенсорного полюса, которая направляет волю). Эти две силы являются выражением «Я» на различных уровнях организма. То, что не пробуждается утром у неврастеника, — это его «правая рука» — сила воли. Голова его пробудилась, но его «Я» не может завладеть метаболическим полюсом, пристанищем воли. У такого больного наблюдается множество мимолетных мыслей, поскольку мысль также концентрируется у человека при помощи воли.
... и ее лечение.
Phosphor в слабом разведении (D5— D6) воздействует на «Я», как свет на человека, блуждающего в ночи, — проводя его влияние к нижнему полюсу. Он действует как «огонь Прометея» на волю больного. Помогая таким образом больному лучше управлять своим телом по утрам, мы косвенно облегчаем ему отход ко сну вечером, что показывает нам еще раз важность ритмического аспекта функций организма. По поводу фосфора мы можем спросить себя, каково будет его действие в высоких разведениях, например, D25? Если в D6 медикамент концентрирует «Я» на нижнем полюсе, то в высоких разведениях он его рассеивает, устремляет в космические пространства. Следовательно, мы можем назначать Phosphor D25 в однократном приеме вечером, чтобы облегчить засыпание.
Истерическая бессонница.
В противоположность неврастеникам, долговязым астеникам, истерическая конституция наблюдается у людей упитанных, пикников с преобладанием пищеварительного полюса. Если мы вновь обратимся к образу нашего стрелка, то здесь конститутивное преобладание его «правой руки» — волевых сил. Она имеет тенденцию расходоваться без контроля, подчас до полной растраты (гл. 4). Здесь астральное тело и «Я», из-за того, что они слабы на верхнем полюсе, имеют тенденцию закрепляться, как альпинист на стене, чувствующий, что его силы истощились. Такая реакция противопоставляется потоку, исходящему из нижнего полюса. Но, поскольку астральное тело и «Я» «зацепились», они будут иметь большие трудности при отрыве. В этом причина бессонницы у истериков.
... и ее лечение.
Рецептом является, как мы это видели (гл. 4), Bryophyllum, который мы даем в 5%-ном растворе десять капель в 18 часов. У некоторых больных последствия прилива сил из нижнего полюса проявляются в форме стеснения в груди, сердцебиения, удушья (кардиалгии, чаще наблюдаются у неврастеников.) Мы выписываем им Primula / Onopordon сотр., чтобы гармонизировать их ритмические функции (10—15 капель три раза в день перед едой) или же еще Aurum metallicum D10, десять капель около 9 утра.
Вспомним, что бессонницы, вызванные расстройствами печени, о которых мы говорили выше, являются характерными для больных истерического типа, хотя «качество» нашего питания приводит к их появлению также у больных неврастенического плана. Напротив, бессонницы, вызванные избытком нейро-сенсорных впечатлении, характерные для современной жизни, появляются у неврастеников и не встречаются у больных других типов.
Обманчивые представления о снотворных средст
вах.
Обратите внимания — до сих пор мы не использовали в нашем описании терапии ни одного снотворного. В целом, возможно обойтись без снотворных, но больным, которые долго пользовались ими, лучше пройти через период постепенного отвыкания в одну или две недели. Если привычка является не слишком застарелой, то можно сразу отменить снотворные, объяснив больному, что если он хочет восстановить нормальный сон, ему придется смириться с несколькими бессонными ночами. Никогда не нужно забывать о необходимости дезинтоксикации подобных больных. Всегда бывает хорошо напомнить им, что снотворные не обеспечивают им нормального сна, так же как таблетка аспирина не может вылечить грипп или кариес. Можно было бы усилить стремление организма к обретению здорового сна назначением симптоматического лекарства, такого как Ambra/Coffea comp, или Avena sa-tiva comp. Больным, имеющим затруднения с деконцентрацией внимания (необходимой для засыпания) или испытывающим чувство страха, прописывают пять капель Aconitum D20. Тем, кто слишком возбужден, назначаем Belladonna D20. Напротив, Coffea D6—D12 хорошо действует на больных с повышенной умственной активностью, имеющих множество отрывочных мыслей.
Лечение детской бессонницы.
Причиной бессонницы у маленьких детей почти всегда является рахит или даже невыраженная склонность к нему, поэтому базовым лекарством является Phosphor D6 (пять капель утром). Мы находим здесь связь фосфора со светом. Детям с ночными страхами назначаем Argentum metallicum D6 тритурация: однократный прием перед отходом ко сну (при растущей луне) попеременно с Phosphor D6: однократный прием пяти капель в момент пробуждения (при убывающей луне). Это замечательное лечение должно проводиться в течение нескольких месяцев и подкрепляться затем терапией железом — Ferrum metallicum praep. D20 от одного до двух приемов в день. Часто я замечал, что дети, получившие значительную дозу витамина Д, по ночам видят кошмары. Такие дети производят впечатление особенно «затверделых», кажутся старше своих лет, имеют слишком раннюю интеллектуализацию (что вовсе не означает, что они являются очень умными, способными). Для последних полезно заменить Argentum metallicum на Argentum sulfuratum naturale (Argentit) D6. Наконец, хорошим средством, облегчающим засыпание нервозных младенцев или более старших детей, является Chamomilla rad, decoc. D6 dil (два раза в день по пять капель перед едой).
... и старческой бессонницы.
Пожилым больным назначим Plumbum mellitum D12 или D20, о котором мы еще поговорим далее в терапии артериосклероза.
Бессонница и материализм.
В цикле лекций по медицине, прочитанном врачам и студентам-медикам в 1924 г. Р. Штейнер[13]
говорил о том, что во второй половине нашего века можно ожидать настоящей эпидемии бессонницы. Помимо дисгармонии и дисритмизации современной жизни, существует еще одна причина, в существовании которой мы не можем не отдавать себе отчет. Как говорил д-р Хуземанн[14]
, человек, видящий в ближнем лишь совокупность атомов, не может иметь такое же представление о своей собственной персоне. Он приходит, таким образом, к фундаментальным противоречиям. Мало-помалу его душа теряет всякую возможность контакта с духовным миром, который становится для нее пустыней. Факт возвращения в духовный мир во время сна — поскольку отрыв астрального тела и «Я» по сути и является частичным возвращением человека в духовный мир — воспринимается этой душой как падение в ничто, перед которым она испуганно отступает; эта неосознанная боязнь мешает отрыву, следовательно, сну. Однако у больных, которых постигла «бездна материализма», часто встречается неосознанная ностальгия по духовной пище. Можно прийти на помощь таким больным, посоветовав им посвящать ежедневно хотя бы пять минут медитации, одной из тех, что предлагает Р. Штейнер. При этом нужно остерегаться любого рода проповедничества и назидательности, уважая личную свободу больного, и рекомендовать подобные медитации так, как если бы мы выписывали лекарство. Однако, естественно, что советовать человеку ту или иную медитацию следует только в том случае, если сами мы уже в течение довольно долгого времени знакомились с работой над медитированием и представляем, что это такое. Ибо медитация является как достаточно мощным средством развития познавательных способностей врача, так и мощным терапевтическим орудием, поэтому прописывать то, чего мы сами еще не понимаем, просто нельзя.
Сон и бодрствование предстают перед нами как большой дыхательный ритм: утром мы вдыхаем наше «Я» и астральное тело, вечером мы позволяем им отделиться от низших тел, остающихся в постели. То, что происходит в большом масштабе за сутки, повторяется в малом масштабе при дыхании. Каждое вдыхание немного пробуждает нас, каждое выдыхание немного нас убаюкивает. Все в жизни ритмично.
ГЛАВА ШЕСТАЯ
Воспаление и склероз
Признаки воспаления.
Цельс охарактеризовал воспаление четырьмя проявлениями, которые нам знакомы: calor, dolor, tumor и rubor. Исходя из того, что мы изучили в предыдущих главах, попытаемся выявить элементы, относящиеся к данным симптомам.
Связи с основными элементами.
Мы видели, что «Я» имеет в качестве физической поддержки «организм тепла». Все тепловые процессы в человеке являются выражением деятельности «Я», и мы, естественно, отождествляем симптом calor с «Я». Боль является формой интенсивного осознания собственного организма, следовательно, симптом dolor мы должны отнести к астральному телу. Опухоль является вздутием, жидким приливом, отражающим действие эфирных сил. В физическом плане мы констатируем появление покраснения, что является выражением присутствия крови. Все вышесказанное мы можем оформить в виде таблицы:
Calor — выражение «Я» Dolor — выражение астрального тела Tumor — выражение эфирного тела Rubor — выражение физического тела
Воспаление, таким образом, является выражением одновременной активности четырех составляющих элементов, но деятельности скоординированной, организованной, в которой «Я» действует через посредство
трех других составляющих элемента. С тем, чтобы дать более точное представление о том, что происходит, мы немного изменим нашу таблицу:
Я————————————> Calor
Я— астральное тело———————> Dolor
Я— астральное тело—> эфирное тело—> Tumor Я— астральное тело—> эфирное тело———> физи ческое тело--- > Rubor
Можно попытаться представлять себе изолированное действие эфирного тела, к примеру такого его проявления, как вздутие, отек. Но тот факт, что отекание имеет не только водную и лимфатическую природу, но вызывается при участии кровотока, свидетельствует о действии в этой ситуации «Я» на эфирное тело. Такое ступенчатое действие напоминает нам процесс, который мы изучали в связи с истерией. В самом деле, воспаление относится к тепловому полюсу организма, к полюсу метаболизма, вне зависимости от места, где оно появилось. Будучи патологическим процессом, оно усиливает действие «Я» через три тела.
Мы имели бы право удивиться, констатируя, что воспалительные процессы возможны на верхнем этаже организма, если бы не отдавали себе отчет в том, что верхний полюс является не исключительно, а всего лишь принципиально нейро-сенсорным, так же как и нижний полюс, где доминируют метаболические процессы, располагает и нервной системой.
Лихорадка и воспаление.
Нам осталось узнать каковы причины воспаления, когда оно появляется? Мы можем ответить: каждый раз, когда инородное тело или инородный процесс проявляется в организме. Если постороннее присутствие имеет случайный характер (например, заноза), то оно приводит к дисфункции, потере равновесия в том виде, в каком мы изучали его в гл. 4. Инородные процессы могут быть следствием травмы, чрезмерного холода или жары. Типичный пример воспалительной реакции на попадание в организм посторонней субстанции — жар, спровоцированный у грудного ребенка, которому дали выпить 1% раствор морской соли. Так мы приходим к пониманию того, что воспаление является не собственно болезненным процессом, но реакцией организма (прежде всего, теплового организма) на болезненное воздействие, то есть попыткой к самоисцелению, направленной на изгнание посторонних элементов или процессов из организма. Эту мысль необходимо точно и ярко осознать любому врачу, который хочет быть достойным своего имени. Ибо подавлять воспалительный процесс при каждом поводе — грубая ошибка против природы. Может случиться, что по своей интенсивности или локализации воспаление принимает, так сказать, злокачественный характер и может представлять опасность для жизни, тогда долг врача обуздать его. Но необдуманно подавлять любое воспаление, значило бы попасть между Сциллой и Харибдой и подвергнуть организм не менее грозной опасности.
При лучших условиях завершением воспалительных процессов является регенерация того, что было повреждено и выброс эфирным телом того, что было посторонним. Это то, что, к примеру, происходит при заживлении на первой стадии. Но дела не всегда идут так хорошо. Посторонние элементы, ставшие недоступными для человеческих эфирных сил составляют часто изысканную пищу для микроорганизмов, которые в них устраиваются и размножаются. Инфекция же является, как правило, вторичным процессом. Несомненно, мы можем экспериментально вызвать болезнь прививкой какого-либо вируса, но это имеет также мало общего с обычной инфекцией, как мало общего имеет пистолетный выстрел с пощечиной. При инфекциях защитные силы организма активизируются гораздо более мощно, чем при простом воспалении. То, что было локальным перегревом при воспалении, становится жаром при инфекции; формирование антител также может рассматриваться как проявление «Я», поскольку последние являются фактором индивидуализации крови. Астральное тело провоцирует, в добавление к боли, выделения на уровне экскреторных органов. Лейкоцитарная активность приводит к образованию гноя (т. е. она находится в зависимости от эфирного тела).
Старение и затвердение.
Только что родившийся ребенок еще мягок, его формы не обозначены четко, его тело на 70% состоит из воды (тело подростка содержит 60%). Кости его черепа еще эластичны и незакончены, они образуют мембранное пространство, называемое родничком. Мало-помалу ребенок формируется; не только его кости, но и его кожный покров грубеет, и этот процесс продолжается вплоть до самой смерти. Такое огрубение сопровождается прогрессирующим уменьшением тенденций к воспалительным процессам.
Процессы сознания — причина старения.
Если мы соотнесем этот факт с данными главы 4, мы должны будем допустить, что действие «Я» на верхний полюс, в конечном счете, гораздо более заметно, чем на нижний полюс, и что нейро-сенсорные процессы, в конце концов, начинают преобладать над процессами метаболизма. Если мы вспомним, что во время сна «Я» и астральное тело отделяются от верхнего полюса, при этом действие метаболических функций усиливается, то этот факт нас больше не удивит. На самом деле, человек спит в среднем восемь часов и бодрствует шестнадцать часов. Во время бодрствования нейро-сенсорные процессы доминируют, что ведет к деградации живых субстанций, к минерализации. То, что было разрушено днем, не в полной мере восстанавливается ночью, что объясняет постепенное старение организма, его деградацию, одним словом, организм отвердевает. До некоторой точки эти процессы являются нормальными, но, перейдя эту точку, они становятся патологическими.
Полярность между воспалением и склерозом.
В затвердевании, минерализации тела и сопровождающей их структуризации, мы имеем процесс, полярный воспалению; воспаление в свою очередь тяготеет к распаду, выведению из организма. Эти два процесса часто чередуются у человека. Если воспаление является реакцией на минерализацию, затвердение, то склероз, напротив, часто реагирует на процессы распада. Это видно на примере заживления раны, когда после воспалительной стадии наступает стадия рубцевания. Ведь часто во врачебной практике мы можем наблюдать процессы склероза и старения, идущие быстро вслед за перенесенным инфекционным воспалением. Это потрясает при наблюдении большого количества больных туберкулезом, страдающих этим недугом уже много лет. То же мы наблюдаем у больных пищеварительной плеторой, воспалительным заболеванием, при котором развивается особенно быстрый и интенсивный склероз. Это правило маятника поможет нам лучше понять парадоксальные проявления a priori.
Apis
...
Лечение воспаления, прежде всего, должно заключаться в помощи организму в его усилиях по выздоровлению, но ни в коей мере не в прерывание этих усилий. Мы располагаем в этом случае двумя базовыми медикаментами: Apis (пчела) и Belladonna (растение красавка). Действие Apis описано уже в классической гомеопатии, однако причины этого действия и сам процесс выздоровления все равно остаются непонятны. Укус пчелы сопровождается четырьмя симптомами воспаления — calor, dolor, tumor, rubor. Мы не сможем понять действие Apis, не рассмотрев улей в его совокупности, поскольку пчелы в высокой степени являются коллективными существами. Улей представляет собой настоящий организм[15]
. Этот организм обладает способностью, уникальной в мире насекомых: пчелы создают в улье гомеотермию с температурой, близкой к температуре человеческой крови. Такая способность приоткрывает нам связь подобия, существующую между ульем и тепловым организмом человека как физиологическим проявлением «Я». Назначая Apis, мы вводим в организм тепловые процессы, похожие на те, что проявляются при воспалении под влиянием «Я»; мы провоцируем в некотором роде небольшое искусственное воспаление, помогая организму защитить себя и подменить патологический воспалительный процесс контролируемым воспалением. Другая характеристика улья заключается в шестиугольной структуре сотовых ячеек. Здесь мы приближаемся к аналогии с минеральным миром, миром кристаллов — к горному хрусталю, имеющему такую же шестигранную структуру; существует настоящая полярность между почти человеческой температурой в центре улья и почти минерально-кристаллической структурой сот. Именно эта полярность и помогает нам, благодаря своему сходству с полярностью между минерализующим действием «Я» на верхнем уровне и его тепловым действием на нижнем полюсе человека. Ритмически вводя в организм препарат Apis, мы как бы задаем организму прообраз правильного равновесия.
...
и
Belladonna
.
Чтобы понять действие Belladonna, нужно представить себе это растение в его естественном окружении: влажная полутьма подлеска. Быстрый рост Belladonna весной является выражением интенсивных эфирных сил, потом внезапно с появлением первого листка, этот рост замедляется, создавая впечатление, что какие-то другие силы помешали его росту.
Почему растение ядовито?
Мы видели, что обычно растение обладает лишь физическим и эфирным телом. На уровне корней доминируют минеральные силы, на уровне листвы — эфирные силы. С появлением цветка растение приближается к миру животных, оно вступает в контакт с астральными силами, но последние остаются внешними. Таков процесс «нормального» растения; но у ядовитых растений эта астральность вместо того, чтобы остаться снаружи и как бы овевать растение извне, проникает, внедряется в него, что в физическом плане выражается в появлении токсичных веществ, растительных ядов, главным образом алкалоидов. Вот почему в определенный момент (при активизации сил цветения) что-то начинает мешать росту белладонны: это астральные силы противостоят эфирным силам, тормозят их. Все происходит так, как мы это наблюдали у животных. Терапевтически употребляя подобные растения, мы вводим в организм инородный астральный элемент, который действует на подобное же развитие инородных астральных сил в человеке при интоксикации, сопровождающей воспаление.
Астральный процесс в белладонне.
Наличие астральных сил в растении ведет к отождествлению их со свойствами, присущими животным; так, мы можем сказать, что у белладонны появляется своего рода «желание», «страсть» не только воспринять внешний мир, свет, но и почувствовать его. Однако растение не обладает органом, позволяющим ему видеть, смотреть. Образно говоря, оно хотело бы раскрыть глаза, но их нет. Белладонна может сделать это, лишь находясь внутри организма животного или человека, провоцируя расширение зрачка, и глаз реагирует так, как если бы мы находились в темноте.
Белладонна и воспаление.
Другое проявление астрального принципа — это потребность в движении, дви-гательность. У белладонны как растения нет возможности свободного передвижения, нет органов для этого. Отсюда можно понять то специфическое двигательное возбуждение, которое характерно для отравления человеческого организма белладонной, и способность белладонны в правильной дозе бороться с возбуждением, связанным с воспалительной интоксикацией. Покраснение лица, головные боли, учащение пульса — это реакции астрального тела через эфирное тело, которое стремится противостоять прямому разрушительному воздействию астральных сил на физическое тело (происходящему, как правило, на уровне дыхательных органов, в их слизистой оболочке). Если Apis как лекарство действует в игре «Я» и физического тела, то Belladonna трудится, гармонизируя соотношение астрального и эфирного.
Лечение воспалений.
Смесь Apis D3/Belladonna D3 аа является основным медикаментом при воспалениях, особенно в случаях, если воспалительный процесс захватил главным образом верхний полюс, дыхательные пути. При ангине мы добавим Bolus eucalypti comp, в глоточном опудривании параллельно с Mercurius cyanatus D4 каждые один или два часа. Нужно иметь большую смелость, назначая подобное лечение вместо обычного лечения сывороткой при дифтерии, но результаты настолько убедительны, что я сомневаюсь в том, что врач, хоть раз применивший подобное лечение, вернется к сыворотке. В случаях рожи, абсцессов, фурункулезов мы добавляем к Apis D3/Belladonna D3 аа dil (другое наименование — Erysidoron 1) параллельно, чередуя каждый час, Carbo betulae 5% / Sulfur D2 trit (другое наименование — Erysidoron 2).
Контроль за лихорадкой.
Когда воспаление рискует стать опасным, становится необходимым контролировать его. В случаях высокой температуры, мы подумаем об укутывании больного, о горчичниках и особенно о ванне с температурой воды на два градуса ниже температуры тела больного (не забыв дать перед ванной какой-нибудь легкий сердечный препарат или, еще лучше, пять-десять капель Primula/Onopordon comp. [Cardiodoron]). После выхода из ванной больного укутывают банной простыней, не вытирая. Его вновь укладывают в постель, давая выпить настой бузины или липы, чтобы простимулировать потоотделение, которое, уменьшая температуру, помогает организму избавиться от токсинов. С помощью горчичника мы способствуем смещению заболевания к периферии, что является признаком улучшения состояния. Если температура держится, делаем один или два дня инъекции Argentum D20 или D30. Этот медикамент предназначен не столько для борьбы с самим жаром, сколько с теми вредными последствиями, которые может повлечь длительный жар.
Как действуют антибиотики.
Возможен ли отказ от антибиотиков? Важно, в действительности, не осуждать эти препараты, восхваляя другие, а точно понимать, что они делают. Мы видели, что микроорганизмы являются одним из факторов, симптомов, а не причиной болезни. Поэтому просто бороться с ними — совершенно нелогично, ибо это приведет только к подавлению одного из симптомов и, в конечном счете, к его маскировке, перерождению болезни, которая рано или поздно проявится в каком-либо другом плане. В этом можно убедиться, сравнивая двух больных, лечившихся от одного и того же заболевания, первый — антибиотиками, второй — с помощью стимуляции собственных защитных сил (в том числе и медикаментозно). Первый больной может лечиться на протяжении месяцев, при этом силы к нему не возвращаются, часто у него, да и у окружающих, создается впечатление, что он больше не является самим собой. Второй, напротив, после «горячей», как в моральном, так и в физическом плане болезни, ощущает сам и создает впечатление обновления телесных и душевных сил. Если его правильно лечили, то он всегда скажет, что чувствует себя теперь не так же, а лучше, чем до болезни.
В этом случае можно действительно сказать, что болезнь побеждена. Больной, которого лечили антибиотиками, похож на человека, который вместо того, чтобы, так сказать, оплатить долг, подписывает новый вексель, тем самым оплата первоначального долга все усложняется. Неэффективность или недостаточная эффективность гомеопатической (или иной) терапии очень часто объясняется предыдущим активным лечением антибиотиками. В этом случае мы рекомендуем начать лечение с назначения Penicillinum в разведениях более или менее высоких (5-е, 7-е или 9-е СН), в зависимости от того, насколько длительным было лечение антибиотиками. Нужно знать также, что повторение лечения антибиотиками, помимо всем знакомых неудобств, постепенно убивает всякую способность к воспалительной реакции организма, прокладывая, таким образом, дорогу раку.
Склероз.
Если детство является возрастом воспалений, то старость, напротив, тяготеет к склерозу. Но не все пожилые люди являются его жертвой, в то же время мы можем наблюдать его и у относительно молодых больных. Следовательно, склероз является болезненным процессом, который наступает при усилении нормальных процессов отвердения. Прежде чем подумать о лечении, можно спросить себя, существует ли профилактика подобного заболевания? Последняя вытекает из генезиса процесса в том виде, в котором мы его описали. Все, что избыточно усиливает прямое действие «Я» на физическое тело, может быть благоприятной причиной для развития склероза, и эти причины закладываются особенно в раннем детстве, поскольку убыстрение процессов отвердевания, вызванное у юного существа, будет продолжаться на всем протяжении человеческой жизни. Поэтому не будет парадоксальным сказать, что профилактика, предупреждение этого заболевания должно начинаться еще до рождения человека, в эмбриональный период его развития. Мы будем говорить об этом, изучая ребенка. Если склероз уже устроился в организме, победить его очень сложно, и было бы хорошо начать лечение с появлением первых симптомов. Мы располагаем для этого случая двумя основными медикаментами: береза и свинец.
Процессы березы.
Когда мы смотрим на березу с едва раскрывшимися на весеннем солнце листьями, мы чувствуем, что это дерево является выражением молодости. В своем первом «Цикле лекций для врачей»[16]
Р. Штейнер показывает нам, как некоторые свойства березы являются отражением человеческого органического процесса. По своим основным функциям, говорит он, — в том, что происходит на пищеварительном уровне, в процессах образования крови, в дыхании, человек очень близок к животному. Он, как и животное, трансформирует в них растительные белки. Поэтому, назначая в качестве медикаментов растительные вещества, мы прежде всего обращаемся к этим центральным функциям, мы взываем к процессам, «разыгрывающимся» между животным и растительным миром. Ближе к периферии организма, говорит Р. Штейнер, «партия» разыгрывается между «небом и землей», между собственным «Я» и минеральным миром, благодаря космическому элементу, которым обладает человеческое Я. На уровне кожи мы можем наблюдать процесс элиминации солей (т. е. деминерализацию). Назначая минеральный медикамент, мы взываем к тому, что является самым возвышенным в человеке — к его «Я», которое сможет, по нашему мнению, справиться с минералом, разбить, растворить его. Именно это и происходит, когда, например, назначается кремний (Silicea или Quarz).
Нечто аналогичное мы обнаруживаем у березы: с одной стороны, процесс выработки белков, концентрирующийся на уровне молодых листочков, с другой — выделение минеральных солей на уровне коры (в данном случае, солей калия). Р. Штейнер говорит нам, что у березы эти два процесса сильно разделены, разведены по полюсам; если бы они были объединены, то береза была бы великолепным травянистым растением. Эта тенденция к разъединению двух процессов встречается и у других деревьев, но она особенно выражена у березы. Ее кора является, следовательно, наилучшим средством для стимуляции в организме процессов деминерализации кожи. Мы можем назначать ее при склерозах и сухих дерматозах, создающих впечатление, что кожа больше не способна правильно удалять минеральные соли.
Терапевтическое применение.
Мы используем преимущественно кору березы в подкожных инъекциях, поскольку мы обращаемся к периферии, в форме Betula cortex I—2%, две-три подкожных инъекции в неделю.
Но при склерозе, как, впрочем, и при ревматических воспалениях, интересно обратиться к вышеупомянутому центральному процессу выработки белков. В этом случае мы прописываем экстракт из молодых листьев per OS. Особенно приятной формой данного медикамента является Эликсир березы («Велела»). При его отсутствии мы можем использовать настой молодых листьев.
Пример с березой особенно осязаемо показывает нам связи и сходства, которые могут существовать между человеком и природой, понимание которой должно вывести нас на путь истинной терапии.
Свинец при склерозе.
Мы поговорим подробно о свинце при дальнейшем изучении металлов. На данный момент мы ограничимся указанием формы, в какой мы выписываем его при склерозе: Plumbum mellitum D12 (капли или порошок). Когда склероз развивается в мозговой области, мы можем дать его в дозировке D20. Этот препарат дают 2 или 3 раза в день за 15 минут до еды, растворив его в кофейной ложечке березового эликсира (или настоя березы). После четырех-шести недель необходимо сделать паузу, в течение которой можно назначить препарат Argentum D6, который откорректирует то, что было сделано сверх меры при лечении свинцом.
ЧАСТЬ ВТОРАЯ
 ЭТАПЫ РАЗВИТИЯ
ЧЕЛОВЕКА
В первой части был представлен очерк строения человека. Рассмотренные взаимоотношения между четырьмя членами существа человека и тремя функциональными системами (два полюса и середина) изменяются в течение жизни. Во второй части мы рассмотрим изменения этого соотношения по семилетним периодам развития человека. Читателю может показаться, что в этих главах мы уделяем слишком много внимания педагогике. Однако, нельзя недооценивать влияние последней на состояние здоровья человека не только в детстве, но и на протяжении всей его жизни.
ГЛАВА СЕДЬМАЯ
От рождения до семи лет
Человек и богатство возможностей.
Если взрослый человек является наиболее развитым из всех Божьих творений, то человеческий новорожденный, по сравнению с новорожденными высших животных, выглядит самым беспомощным и наименее развитым. И это неудивительно, ибо богатство и разнообразие способностей человека требуют для их созревания больше времени и неиссякаемых органических и психических сил пластического построения, обусловливающих постоянное изменение внешнего и внутреннего человеческого образа.
Животное практически с момента рождения владеет всеми своими способностями. Оно лишь совершенствуется, но новых способностей не приобретает. Способности животного в вышей степени специализированы, заужены. Так лапы кошки гораздо лучше приспособлены к охоте за пищей по сравнению с человеческой рукой. Но они не способны выполнять другие сложные операции. Рука человека, напротив, способна выполнять множество задач, но она должна всему этому научиться. Какого совершенства она может достичь!
Вспомним руки скульптора, часовщика или руки пианиста. Подумаем и о том, что приобретение таких навыков невозможно без участия другого человека, выступающего в качестве воспитателя и учителя. Животное же действует согласно заложенному инстинкту — утка, выращенная курицей или в инкубаторе, плывет без всякого обучения.
Развитие по семилетиям.
Развитие человека происходит семилетними периодами, в которых смена зубов и половая зрелость являются важными вехами. Важно отметить совпадение этого ритма с циклом полного обновления нашего организма, происходящего также каждые семь лет. В момент рождения человеческое существо представляет собой плод наследственности, полученной им от родителей. Этому потоку, в котором мы принадлежим к определенной расе, народу, семье, будет противопоставлено то, что мы вносим личного, то, что сделает нас индивидуумом, непохожим на всех других. Это нерушимое духовное ядро нашего существа, соединяющееся с земным телом при каждом новом рождении, и покидающее его в момент смерти. Рассматриваемое в чисто материальном аспекте человеческое существо остается совершенно непостижимым. Представим на секунду, что человек является лишь результатом своей наследственности, тогда не существовало бы больших различий между двумя человеческими существами, как нет их между двумя овцами.
Наследственность и индивидуальность.
То, что человек несет из духовного мира, взаимодействует с наследственным потоком в течение всего первого семилетия и завершается построением тела, соответствующего структуре нашего «Я» — такого тела, которое, по сути, является своего рода его орудием, инструментом. Достаточно внимательного наблюдения за развитием ребенка, чтобы осознать, что только наследственность и влияние окружения не могут объяснить феномен человека.
Пропорции тела новорожденного.
Наблюдая новорожденного, мы бываем потрясены величиной его головы. Его тело и особенно конечности кажутся нам придатками головы. Это относительная важность головного полюса выражена тем ярче, чем меньше продвинут в своем развитии человеческий эмбрион. В самом начальном периоде зачатия оплодотворенное яйцо можно рассматривать всего лишь как голову.
Роль головы.
Эта огромная голова новорожденного не умеет думать. Можно ли сказать, что она бездеятельна? Еще Р. Штейнер дал нам ключ к решению этой загадки. «Именно из головы, — говорил он, — происходят силы роста, которые лепят, „пластицируют" тело, и пока последнее не достигнет определенной ступени развития, эти силы не могут быть использованы для процесса мышления».
Силы роста и подражание.
Эти силы роста и есть эфирные силы, которые физиологически реализуются в клеточной репродукции, то есть в увеличении количества клеток, в процессе повторения, подражания. Но, с другой стороны, они же проявляются психофизиологически в потребности ребенка к подражанию, характерной именно в первые семь лет жизни, так как подражание есть повторяющий, репродуктивный процесс.
Подражание является насущной потребностью, так как пример, подаваемый родителями и всем окружением ребенка, имеет огромное значение не только для формирования его нравственного облика, но и для создания физической структуры его организма. Ребенок, повторяя то, что видит, реально запечатлевает это в своей физической структуре. Это в равной степени справедливо как для хороших, так и для плохих примеров. Таким образом, гармоничное окружение, в котором живет ребенок, имеет глубокие последствия для всего его существа. Спустя некоторое время эфирные силы приступят к выполнению других задач, связи этих сил с другими составляющими человеческого существа изменятся и допущенные пробелы вряд ли можно будет восполнить. Нельзя будет исправить то, что было деформировано. Мы имеем типичный пример этого в так называемых «детях-волках»[17]
. Эти дети, воспитанные животными, сами стали животными, и никакое последующее воспитательное усилие не способно было сделать из них настоящих людей. Менее трагичный случай донес до нас д-р Н. Глас[18]
в своей книге «Раннее детство». Речь идет о ребенке четырех лет, доставленном в клинику с подозрением на сумасшествие, так как он не говорил и все время бегал и лаял как собака. Обследование показало, что ребенок воспитывался у кормилицы, которая, по сути, им не занималась, не разговаривала с ним, только мыла и кормила его. Обычно она оставляла ребенка в парке, где жило несколько собак, к которым кормилица была в вышей степени привязана, одаривая их многочисленными знаками внимания и нежностью. Когда нашли для этого ребенка понимающего и самоотверженного человека, он стал быстро развиваться и через полтора года стал совершенно нормальным.
Было бы совершенно неправильно искать здесь какой-либо подвох со стороны ребенка. Этот пример показывает нам потребность подражать, характерную для ребенка этого возраста. И в том, что это подражание было направлено больше на собак, нежели на кормилицу, равнодушную к ребенку, нет ничего удивительного. Мало того, внимание кормилицы к собакам на фоне полного невнимания к ребенку тоже побуждало его подражать именно собакам, а не кормилице.
Значение окружения и окружающей среды.
Вышеописанный случай помогает нам глубже почувствовать исключительную силу примера, подаваемого взрослыми детям в течение первого семилетия, что особенно подчеркивал Р. Штейнер. Он говорил: «Воспитывать ребенка — значит воспитывать самого себя». Но важно не только человеческое окружение, важна вся атмосфера, в которой находится ребенок. Уродливо оформленное жилье, дурной вкус в обстановке, аляповатые, кричащие краски, механическая музыка или, еще хуже, постоянно включенный телевизор — являются ядом, травмирующим фактором, оставляющим на физическом теле ребенка неизгладимый отпечаток. Приведенный выше случай помогает нам также понять, почему Р. Штейнер не советовал давать детям, еще не умеющим ходить, игрушки в форме животных. Игрушки оказывают значительное влияние на развитие ребенка. Нужно исключать как игрушки, карикатурно отражающие живой или животный мир, так и чрезмерно усовершенствованные, завершенные, технически законченные игрушки, не оставляющие места воображению ребенка. Атмосфера, в которой растет ребенок, имеет тем большее значение, чем меньше он сам. Поэтому с момента рождения для ребенка должны быть созданы гармоничные условия жизни. Холодная и безликая атмосфера родительского дома бесспорно далека от того, чего хотелось бы пожелать. Сколько ошибок делаем мы из соображения мнимого удобства. Например, изолируя новорожденного от матери, тогда как именно рядом с ней его нормальное место. Ему необходимо тепло матери, не только физическое, но и духовное — тепло материнской любви. Поскольку последнее невозможно измерить термометром, заявляют, что оно-де не существует или что оно не имеет никакого значения! И вот в один прекрасный день замечают, что меры, произвольно установленные в наши дни и свидетельствующие о полном непонимании человеческой природы, имеют последствия не только для психики, но и для физического здоровья, что эти меры провоцируют расстройства, последствия которых могут наблюдаться до самой старости. Пример: во все времена матери укачивали своих детей, они инстинктивно чувствовали, что это хорошо для ребенка. Но однажды какой-то педант заявляет, что укачивание вырабатывает в ребенке плохую привычку — догма, которую спешит повторить весь мир, поскольку метод «следования авторитету» как никогда пышно расцвел в наши дни! Американцы, имеющие манию к анкетированию, провели опрос взрослых, чтобы выяснить — укачивали ли их в детстве? Было выявлено, что те, которых укачивали в детстве, прожили более гармоничную жизнь. Когда укачивают малыша — дают пищу его ритмической активности, гармонизируют его эмоциональность. Из тех же соображений ребенку необходимо петь колыбельные песни, а чуть позже рассказывать народные сказки (прежде всего национальные, народные сказки, но и такие общемировые сказочные сюжеты, как у братьев Гримм, Шарля Перро, Г.-Х. Андерсена).
Вскармливание.
Окружающая среда и эмоциональный контакт только часть того, что ребенок получает из внешнего мира. Питание и его влияние на развитие младенца не менее важно. До 6 месяцев все, что не
является материнским молоком может быть ис
пользовано лишь в крайнем случае.
Как говорила д-р Рита Леруа[19]
: «Грудь, поначалу являющаяся главным выражением женской красоты, в дальнейшем должна превратиться в орган дарующей себя добродетели». Желание сохранить эту красоту в ущерб здоровью ребенка является проявлением эгоизма и позже приводит к раку груди. Мало кто знает, что половина женщин с раком груди никогда не кормили грудью и что вторую половину составляют, в основном, женщины, имеющие менее трех детей и кормившие грудью в течение только очень короткого периода[20]
. Иногда удивляются тому, что столько женщин пользуются бутылочками с соской, тогда как кормление грудью проще. Можно предположить, что этой моде способствовала коммерческая реклама, в том числе консервированного молока. Впрочем, неверно утверждение, что при вскармливании грудью ее деформация неизбежна.
Рост и состав молока.
Мы можем представить себе важность грудного вскармливания, сравнивая рост и состав молока у человека и трех млекопитающих графически:
Мы видим, что скорость роста практически пропорциональна процентному содержанию казеина и минеральных солей (CaO+MgO+P2O5). Процентное содержание жиров также следует этому движению, но более умеренно. Но процентное содержание лактозы обратно пропорционально росту. При этом употребление грудничком коровьего молока, разумеется, не приведет к убыстрению его роста в три раза, а вот минеральные соли будут концентрироваться в организме в соотношении 2,3 г на 100 г прибавки веса против 1,45 г при питании материнским молоком.

Рис. 3.
Следовательно, искусственное вскармливание обусловливает слишком быструю минерализацию. Легко заметить, что оно сопровождается преждевременным пробуждением самосознания, личностного за счет развития телесного. Таким образом, искусственное вскармливание порождает процесс акселерации, что затем приводит к преждевременному старению.
Пищеварение у грудного.
Мы уже знаем, что для усвоения пища должна быть предварительно расщеплена (гл. 2). Возможности расщепления у грудничка весьма ограничены — у него еще нет сил необходимых для этого процесса. Вот почему он так предрасположен к различного рода токсическим пищевым инфекциям. Следовательно, важно не нагружать силы расщепления сверх их возможностей, предлагая неадаптированное питание, а приступать ко всякому изменению в рационе осторожно и постепенно.
Мясо и яйца.
Некоторые педиатры рекомендуют давать детям мясо очень рано, поскольку они установили его влияние на развитие мускулатуры. Последнее неоспоримо, но желательно ли оно? Нужно знать, что употребление младенцем мяса влияет не столько на качество, сколько на скорость его развития, вследствие этого развитие становится неполноценным, однобоким. Можно быть абсолютно уверенным в том, что инфантильная, однобокая, ущербная психика многих взрослых людей в наше время обусловлена не в последнюю очередь характером их питания в раннем детстве.
Напомним также, что яйца, если их начать давать слишком рано, лишают ребенка его здорового природного пищевого инстинкта. Избыток же яиц из-за высокого содержания в них половых гормонов провоцирует преждевременную половую зрелость — другую, также нежелательную форму акселерации.
Детали, касающиеся питания ребенка, выходят за рамки данной книги и их можно найти в боле специализированных работах[21]
.
Пищеварительный полюс и движущая сила.
Из головного полюса, более развитого физически, исходят силы, которые работают над формированием остального организма. На пищеварительном и двигательном полюсе (полюсе обмена веществ) еще в виде намека находятся особенно интенсивные силы воли, как выражения «Я», моделирующего снаружи этот организм, чтобы сделать его своим инструментом. Мы обнаруживаем эти силы воли в процессе вскармливания, когда ребенок с жаром ищет материнскую грудь. Мы можем наблюдать, как все его тело от губ до кончиков пальцев участвует в этой деятельности. Эти силы воли проявляются также в криках ребенка, в его подвижности, которые по их интенсивности далеко превосходят уровень развития его тела, то есть мощно и волево тянут это развитие вперед.
Положение стоя и первые шаги...
Мало-помалу движения, казавшиеся хаотичными, начинают ориентироваться на определенную цель. Ребенок сначала приподнимает голову, затем он пытается выпрямить туловище, осваивает положение сидя и уже после этого, после долгих усилий ему удается принять положение стоя и научиться ходить. Возможность стоять на двух ногах достигается неустанным повторением попыток, такими усилиями воли, о которых мы имеем весьма смутное представление и на которую способны лишь очень немногие взрослые. Это может почувствовать тот, кто стремится достичь совершенства, например, в игре на музыкальном инструменте. Если поначалу можно удивляться тому факту, что антропософия связывает волю с полюсом движения, то наблюдение за ребенком, осваивающим хождение, доказывает нам, насколько такое движение оправдано.
...
речь...
Почти одновременно с этим ребенок учится и говорить. Как и в случае с ходьбой он учится говорить при помощи имитации. Эта способность тесно связана с дыханием и представляет собой одно из первых собственно человеческих эмоциональных проявлений. Но с другой стороны речь, особенно в самом начале ее формирования, это прежде всего движение, упражнение для губ, следовательно, волевая деятельность.
...
и мышление.
И только гораздо позже, когда ребенок научится ходить, он начинает думать, то есть улавливать связь между произносимым звуком и тем, что он обозначает. Ходить, говорить и думать — это три великие победы ребенка над организмом, которым он, в некоторой степени, научился управлять. Ничего подобного нет у животного, которое скачет без всяких предварительных усилий, поскольку способность держаться на своих ногах дана ему природой и ему нет необходимости этому учиться.
Появление первых зубов.
Появление первых зубов почти совпадает по времени с первыми шагами. Их прорезывание также является проявлением внутренней воли. Часто оно сопровождается воспалительным процессом и жаром. Не наводит ли зуб своей твердостью на мысль об инородном теле, от которого организм пытается избавиться с помощью воспаления? Дело, конечно же, не дойдет до полного изгнания, но наиболее твердая часть — коронка, покрытая эмалью, — будет вытолкнута на поверхность. Если зуб слишком трудно прорезывается, силы воли, приторможенные в своем действии, могут взбунтоваться, что ведет к появлению судорог и конвульсий.
Появление «Я».
К трем годам ребенок учится проявлять свои чувства и желания при помощи слова. Он начинает отличать себя от внешнего мира, с которым до этого был связан даже теснее, чем с собой как личностью. Раньше он называл себя в третьем лице, как будто являясь для самого себя внешним объектом, похожим на другие, теперь он говорит о себе «Я». Его духовное существо, его «Я» воплотилось теперь гораздо глубже в сформированное тело и приняло его как свою обитель. В то же время ребенок осознает внешний мир, который он теперь четче отличает от своего внутреннего существа, населяя свой внутренний мир воспоминаниями. Этот важнейший момент самоосознания сопровождается необходимостью самоутвердиться, поэтому он проявляется и в стремлении отвечать «нет» на все, что бы ему не предлагали. Это очень раздражает родителей, но чем меньше вы будете оказывать сопротивление ребенку, тем скорее это пройдет. Начиная с этого момента, ребенок вновь начинает подражать, как это уже было некоторое время назад, своему окружению, но он будет это делать сознательнее. До этого момента подражание имело скорее автоматический характер, теперь же ребенок хочет
делать так, как его мама или как его папа, — и без их помощи. Необходимо, чтобы эта потребность подражать могла развиваться свободно. Если в этом ребенку препятствуют, последствия могут проявиться гораздо позже и сделать из взрослого человека страшного упрямца. Весьма вероятно и то, что если бы дети имели больше возможностей удовлетворять свои потребности к подражанию, то став взрослыми, они не оказывались бы стадными рабами той или иной поверхностной моды. Конечно же, невозможно разрешить ребенку делать все, что он пожелает, но воспитателю необходим такт, богатейшее воображение и долготерпение, чтобы научиться мягко направлять ребенка в правильную сторону. Воспитание — самое настоящее искусство, ибо произведением его является высшее сознательное существо — целый Человек!
Пропорции тела к семи годам.
К концу первого семилетия, с выпадением молочных зубов ребенок полностью обновляет свой организм. Тело, как бы вновь построенное, принадлежит ему во всех его функциях целиком, да и по своим пропорциям оно гораздо больше напоминает тело взрослого человека, чем новорожденного. Пропорция между головой и конечностями становится таковой, что ребенок, пропустив свою руку за голову, может достать ухо противоположной стороны, что представляет собой замечательный традиционный тест на его готовность к школьному обучению. Мы лучше увидим, почему это так, немного позже.
Предрасположенность к болезням.
Интенсивная работа, затрачиваемая ребенком от рождения до 7 лет на созидание своего тела, является одновременно и причиной его недостаточной сопротивляемости болезням. Он не имеет достаточной защиты от воздействия внешней среды (по сравнению со взрослым, который меньше сил тратит на строительство тела и нуждается лишь в поддержании уже выстроенного «дома» в порядке), поэтому необходимо обеспечить маленькому ребенку правильное питание и защиту от влияния внешних факторов. Шум, холод и жара, слишком интенсивный свет могут вызывать органические расстройства. Тепловая регуляция, зависящая от «Я», не обеспечивается до тех пор, пока это «Я» не завладеет своим телом и постепенно не сформируется собственно человеческая «гомеотер-мия». Если слишком сильный свет у маленького ребенка может вызвать неудобства и болезнь, то недостаток света, хотя это и случается в наши дни реже, чем столетие назад, может стать причиной рахита.
Рахит.
Это заболевание является типичным проявлением нарушения равновесия между силами роста и силами структуры организма. Вот почему оно заслуживает нашего особого внимания. Изучение «рахитичных» костей показывает с одной стороны недостаточность кальцификации, следовательно, расстройство обмена веществ, а с другой — хаотичное разрастание соединительной костной ткани. Таким образом, мы наблюдаем недостаточную минерализацию и недостаточную структурность. Эти два процесса, как мы видели в начале, являются отражением прямого воздействия «Я» на организм. При рахите «Я» оказывается слишком слабым, чтобы реализовываться в строительстве, оно не может обеспечить световой метаболизм, трансформировать свет и «интегрировать его в химизм костей». Может случиться, что «Я» не имеет достаточно света в своем распоряжении. Однако эта экзогенная форма рахита стала более редкой в наше время.
Витамин
D
.
Для предотвращения или лечения рахита грудным детям дают обычно синтетический витамин D. Это малоудовлетворительная практика в терапевтическом плане, поскольку носит замещающий характер, не достигает самих корней этой болезни, а помимо этого и не лишена риска. Хотя терапия витамином D влияет на минерализацию, воздействия на структуру, то есть на качество тканей, вообще не наблюдается. Поэтому такая терапия может спровоцировать гипер-кальцификацию, в особенности на уровне почек (вплоть до смертельных случаев). И хотя такие серьезные случаи бывают относительно редко, систематическое назначение витамина D, тем не менее, всегда вызывает слишком раннее отвердение костей, а также всех других тканей. Легко заметить таких детей, «вылеченных» от рахита витамином D, — у них старческие лица, слишком маленькие головы, их дальнейшее развитие не может проходить нормально.
Лечение рахита и его профилактика.
При заболеваниях, связанных с силами света и «Я», типа рахита думают прежде всего о фосфоре, который прописывают в дозе D5 или D6 из расчета 3 капли до первого завтрака и перед вторым завтраком (нельзя назначать фосфор в низких разведениях вечером). Если болезнь затрагивает особенно «головной полюс» (краниотабес), назначают Phosphor D30 по 5 капель через день или через два дня, который можно принимать вечером, около 18 часов. Для стимуляции сил структурности назначают Quarz (Silicea) D10 в тритурации (порошке) или каплях по два раза в день. В случае деформаций прописывают Stannum D10 2 раза в день; Stannum также показан в случае краниотабеса в виде мази (Stannum 0,1% Ungt); мазь наносится на всю голову на ночь. Чтобы стимулировать у ребенка желание держаться прямо, держать осанку, утром дают Ferrum sidereum D20 величиной с горошину.
В порядке профилактики хорошо давать матери во время беременности препарат «Aufbaukalk 1» — утром и «Aufbaukalk 2» — вечером*. Этот препарат можно давать также и ребенку с 9 недели его жизни.
«Маленькие и большие головы».
Для врача весьма полезно упражняться в чисто зрительном отнесении детей к «большеголовому» и «мелкоголовому» типам. У первого типа всегда доминирует система обмена веществ, у них относительно замедлены процессы отвердения и оформления тела. У второго типа, напротив, кальцификация, отвердение происходит значительно быстрее. Соответственно, для первого типа, в идеале, «Aufbaukalk 2» следовало бы прописывать несколько позднее; а заменить его в первые месяцы жизни можно, например, препаратом Conchae D3-D6. Вообще говоря, препараты «Aufbaukalk 1 и 2» полезно прописывать в течение всего детского развития ребенка вплоть до половой зрелости — курсами по 4 недели с двухнедельными паузами между курсами. В период с 15 июня по 15 сентября прием этих препаратов можно отменить. При этом следует иметь в виду, что «Aufbaukalk»[22]
не всегда оказывается достаточной профилактикой рахита, к нему следует добавлять — но в случаях явной тенденции к рахиту — однократный утренний прием Phosphor D6 в период недостаточности солнечного света (с осени по позднюю весну).
Для преодоления передозировки витамина D мы прописываем Argentum sulfuratum naturale (Argentit) D6 (у блондинов, слишком чувствительных к сере, мы заменим этот препарат на Argentum metallicum D6) три раза в день по 3—5 капель (или 3 раза в день дозу тритура-ции на кончике кофейной ложки). Можно также прибегнуть к тепло-горячим ваннам с добавлением чайной ложки Kalium sulfuricum 30%.
Скарлатина и корь.
Так называемые «детские болезни» суть выражение борьбы между «Я» и наследственными силами. В течение детского развития наступают моменты, когда духовное существо («космическая модель») с особой интенсивностью пытается проявить свое господство; это стремление отпечатать свое индивидуальное начало внутри физического организма сказывается в особой предрасположенности к скарлатине. В другие периоды духовное существо более лабильно к воздействию сил наследственности, так сказать к «земной модели», тогда ребенок более восприимчив к кори. Это заболевание имеет выраженный «водный» (отечный) характер, организм как бы затопляется жидкостью — глаза слезятся, веки опухают, лицо да и все тело заплывает, опухает. Это яркие проявления господства эфирного, которое как мы знаем, опирается на жидкий элемент в человеческом организме. Напротив, скарлатина с ее более драматичным течением побуждает нас думать скорее о пожаре — сухость кожных покровов и характер высыпаний напоминают о минерализующей, сжигающей функции «Я» («огонь, оставляющий за собой лишь золу»). Это минерализующее действие сказывается вплоть до осложнений скарлатины — нефрита и ревматизма.
Лечение кори.
Оно просто. Дается противовоспалительное средство типа Ferrum phosphoricum comp, (гомеопатические шарики Weleda по 3—5 шариков в зависимости от возраста) или Aconitum /Eucalyptus comp. (3—5 капель) каждые два часа и горчичник на верхнюю часть грудной клетки для облегчения выхода сыпи. Хорошая богатая сыпь обеспечивает, как правило, полное отсутствие осложнений. Разумеется, ребенку нужно достаточное время провести в тепле и в покое, а на период лихорадки прописать богатую жидкостями диету. Когда температура спадет, не следует резко отменять противовоспалительные гомеопатические средства, но просто урезать количество приемов. В случае необходимости можно прописать отхаркивающие сборы трав с небольшим количеством меда или Pertudoron 1 и 2 (чередуя № 1 и № 2 через 3—4 часа по 3—5 капель), но никогда не давать кодеин или подобные средства. В период ре-конвалесценции мы станем давать ребенку 1—2 раза в день препарат Ferrum sidereum D10 по 3—7 капель на прием и сок (сироп или настой) клюквы или облепихи.
Лечение скарлатины.
При скарлатине, в первую очередь, важно повлиять на происходящие в горле и гортани — каждые четыре часа припудривать пудрой Bolus Eucalypti comp. Weleda (к сожалению, широко пока не доступной в России). Если ангина в основном гипере-мична — преобладает краснота — прописывают каждые четыре часа 3—5 капель (или дозу тритурации) Zinnober D20 (другое название — Mercurius sulfuratum natu-rale D20). Если же ангина кашицеобразная
(творожная), то Zinnober заменяют на Mercurius cyanatus D4 (от 5 до 10 капель в зависимости от возраста). Основным медикаментом при скарлатине считается минерал Cassiterit 0,1 % в тритурации, который добавляют в ванну (на 2 градуса ниже температуры тела больного) из расчета: 1 столовая ложка на ванну. Не забывайте давать тонизирующее сердечное средство перед ванной (7—10 капель Primula /Onopordon сотр.). Если ванна невозможна, ее заменяют холодным обертыванием всего тела. Для этого следует намочить простыню в холодной воде, в которую добавлена 1 чайная ложка Cassiterit 0,1%). После ванны или обертывания больного следует укутать в сухую банную простыню и дать выпить настой из цветков бузины или липы для потения. Ванна или обертывание назначаются один раз в день, если только высокая температура не требует более частого повторения перечисленных процедур. Необходимо всегда поддерживать сердце и давать Primula /Onopordon comp, не менее трех раз в день (от 5 до 10 капель на прием). Как и при других острых лихорадочных заболеваниях, нужно назначать водную диету и быть очень осторожным при возвращении больного к обычному питанию (ни соли, ни белков!). В период выздоровления дают Ferrum sidereum D10 / Pancreas D6 aa и Equisetum D6, даже если нет никаких признаков нефрита. Вылеченная подобным образом скарлатина почти никогда не дает осложнений.
Коклюш.
Если скарлатина приближает нас к огню, а корь — к воде, то коклюш, несомненно, связан с воздухом и астральным телом. Он характеризуется приступами кашля, которые всем нам хорошо знакомы и представляют собой отчаянную попытку организма избавиться от воздуха, содержащегося в легких. При нормальном дыхании связь между астральным телом и остальным организмом изменяется ритмично. При коклюше, вследствие раздражения бронхов, воздух остается в органе, провоцируя спазм голосовой щели, и еще больше задерживается выдох. Не выделенный воздух ведет себя как инородное тело, от которого организм хочет избавиться, что невозможно сделать из-за закрытой голосовой щели. В конечном счете, повышение содержания углекислоты в крови вызывает обморок, следовательно, отрыв астрального тела. Спазм проходит, и воздух со свистом возвращается в бронхи. Может показаться парадоксальным, что неудавшаяся попытка выдохнуть заканчивается вдохом. В действительности попытка выдоха касается только задержанной (остаточной) части воздуха, который ведет себя как инородное тело. При открытой голосовой щели воздух проникает в силу своей упругости в глотку. Если вы понаблюдаете за поведением больного во время приступа кашля, вы увидите, что речь идет, как говорил Р. Штейнер, об «экспираторной одышке», и вы сможете уловить поведение астрального тела.
Эмоциональный фактор.
Роль астрального тела помогает нам понять значение эмоционального фактора при коклюше. У детей, которым Боги подарили нервных, беспокойных матерей, коклюш протекает более тяжело, более драматично, чем у детей, чьи матери способны проявлять спокойствие в критических ситуациях. И вот типичный пример. Я лечил от коклюша ребенка моего коллеги. Все протекало прекрасно до того момента пока мать не узнала о том, что вскоре мне придется уехать на пару недель из города. Она занервничала — как же это ребенок останется без врача. Ее беспокойство немедленно отразилось на ребенке: приступы кашля существенно участились и стали более интенсивными, хотя в лечении не было произведено никаких перемен.
Лечение коклюша.
Для успешного лечения коклюша необходимо вначале успокоить окружающих ребенка взрослых, а также потребовать соблюдения очень строгой дисциплины в некоторых вопросах. Затем необходимо значительно уменьшить питание. Это не всегда просто, т. к. матери боятся, что их дети умрут от голода, но им никогда не приходит в голову, что можно умереть и от переедания. В случае рвоты обычно дают легкий завтрак после приступа кашля. Если приступы рвоты часты, нужно подумать о компенсации потерь хлористых соединений и увеличить употребление поваренной соли. Рвота у грудного ребенка может вызвать быстрое обезвоживание организма. Нужно своевременно восполнять потери жидкости, давая только сильно разбавленное молоко или настои трав. Нужно быть очень точным при назначении противокашлевых средств, являющихся причиной многих осложнений. Применение медицинских препаратов должно быть направлено на смягчение действия астрального тела. Это достигается при помощи Pertudoron 1 и 2. При условии уважения к дозировке вы получите прекрасные результаты. Грудному ребенку дают максимально 3 капли, подросткам или взрослым — не более 5 капель препарата на прием. Назначают N1 и N2 с интервалом между номерами препаратов в два часа. Вначале медикамент дают даже ночью. В течение 1 или 2-х дней в целом отмечается небольшое ухудшение, которое ни в коем случае не должно вызвать увеличение дозы или более частый прием препаратов, скорее наоборот, дозы следует уменьшить. Затем состояние больного улучшается. Неудачи бывают обусловлены, как правило, перегрузкой желудка. Не нужно бояться того, что ребенок похудеет, т. к. по выздоровлении у него появится прекрасный аппетит и он быстро наберет свой вес (за исключением случаев, когда приступы кашля подавлялись кодеином или его производными). Pertudoron 1 и 2 следует давать до полного прекращения приступов кашля, но как только ребенок станет чувствовать себя лучше, можно изменить порядок приема этого лекарства, например, отменить его ночью.
Интересно отметить, что после перенесенного коклюша, иногда в течение более одного года, отличается некоторая раздражительность бронхов, что обусловливает возникновение коклюшеподобного кашля при каждом переохлаждении. Не следует позволять родителям думать, что это недолеченный коклюш.
Наблюдая за ребенком, вылеченным подобным образом, вы будете удивлены не только быстротой его выздоровления, но особенно новыми достижениями в его развитии, которые обнаруживаются даже в обогащении его речи новыми словами и смыслами. Ребенок, у которого болезнь подавили, напротив, иногда в течение месяцев и даже лет чувствует себя плохо. Исходя из вышесказанного, не следовало бы делать ребенку прививку против коклюша, поскольку это лишает его той возможности развития, которая заложена в этой болезни.
ГЛАВА ВОСЬМАЯ
От семи до четырнадцати лет
Преобразование эфирных сил.
До семилетнего возраста эфирное тело остается связанным с всемирным эфиром, совершенно так же, как и физическое тело связано с матерью в эмбриональный период, до момента рождения. Со сменой зубов эфирное тело становится свободным, можно сказать, что оно рождается. До этого времени оно было занято построением физического тела — его ростом, оформлением пропорций, реализующихся в соотношениях между головой и другими частями тела.
Однако часть эфирного тела останется связанной с организмом и продолжит, как и прежде, руководство процессами роста и регенерации. Другая, выполнив свои задачи на физическом плане, становится свободной. Для выполнения каких функций предназначена эта часть? В природе ничто не исчезает, но все преобразуется. Эти, ставшие свободными, эфирные силы преобразуются в силы мышления, памяти, представления, ассоциаций. Теперь мы понимаем, почему возраст школьной зрелости можно установить исходя из соотношения размеров головы и конечностей. Удивительно обнаруживать сходство, существующее между силами роста и мышления. Приведенная ниже таблица подтверждает эту мысль.
Дислексия.
Для того, чтобы эфирные силы преобразовались в силы мышления, необходимо, чтобы «Я» было достаточно зрелым для их использования. Оно должно овладеть ими, структурировать, иначе они проявят тенденцию к регрессии до вегетативной стадии.
Таблица 2
| Действие эфирного тела на...
|
| рост
|
мышление
|
| Репродукция органических элементов, например, клеток
|
Репродукция элементов восприятия (в представлении)
|
| Выработка симметрии (правая и левая стороны)
|
Возможность мыслить противоположностями
|
| Структурирование тканей
|
Структурирование мышления
|
| Разнообразие форм тканей
|
Разнообразие мыслей
|
| Сохранение «памяти» в клетке в виде «свернутого» энергетического запаса, который может быть востребован
|
Воспоминание (сохранение элементов, которые могут быть востребованы сознанием)
|
| Связь клеток друг с другом в соответствии с системным планом
|
Связь мыслей, понятий, согласно логической системе
|
| Разветвление «древа» ткани
|
Разветвление «древа» мыслей, ассоциация понятий
|
| и так далее...
|
и так далее...
|
Затруднения в чтении и понимании прочитанного представляют собой один из аспектов подобной регрессии. Дислексия свидетельствует о неправильной метаморфозе эфирного тела, которая психически проявляется в форме зеркальных картин. Это напоминает нам о способности к воспроизведению симметричных форм, присущей именно эфирному телу. Ребенок читает вместо прописной «р» — «д», «пор» вместо «роп» и т.д., то есть зеркально. К счастью, эти расстройства бывают непродолжительными и, как правило, исчезают полностью после того, как «Я» укрепит свои позиции. В дальнейшем мы коснемся другого аспекта подобной регрессии эфирных сил при раке.
Необходимость в умеренной интеллектуальной
активности.
Освобождение части эфирных сил открывает возможности для запоминания, и тогда ребенок действительно становится способным учиться. Конечно, и трехлетнего ребенка возможно научить письму, но в этом случае слишком рано используют эфирные силы, которые должны сохраниться для строительства организма. Даже если это не приведет к немедленным расстройствам, такое изъятие сил все равно отразится на здоровье. И после того, как ребенку исполнилось семь лет, нужно всегда учитывать его индивидуальные возможности. Если детская память слишком перенапрягается, если нейро-сенсорный полюс напрягают сверх меры, то ребенок быстро становится бледным и слабым. И напротив, если интеллектуальная работа недостаточна, то кроветворные процессы метаболического полюса начинают превалировать и ребенок становится излишне возбужденным. Легко констатировать, что современная эпоха слишком интенсивно использует силы мышления.
Развитие эмоциональной жизни.
Частичное высвобождение эфирного тела дает ребенку больше свободы во внешнем мире. Это необходимое условие для развития эмоциональной жизни, чем ребенок будет заниматься все второе семилетие. Душевная жизнь характеризуется непрерывным колебанием между двумя основными чувствами: симпатией и антипатией. Это колебание между двумя противоположностями является, следовательно, чередованием, ритмом и принадлежит к ритмической системе организма. У ребенка до семи лет только закладываются ее основы, в периоде же второго семилетия эта система развивается полностью для того, чтобы стать инструментом эмоциональной жизни. В первое семилетие формирование организма проходило, в основном, под руководством эфирного тела, теперь же характер развития будет определять астральное тело. Эмоциональность, душевные движения являются своего рода танцем, который осуществляется «под музыку» восприятий и выражается в телесных движениях, колеблющихся между покоем, характерным для головы, и максимальной мобильностью конечностей. Это тоже ритм, который соответственно должен быть уравновешен.
Эмоциональная жизнь до семи лет.
До семи лет жизнь чувств ребенка еще мало развита. Она, в основном, выражает связь его телесного состояния с физическим окружением. Например, ребенок стремится к материнскому теплу. Но он живет в своем мире, практически не раскрываясь чувствам других; он удивительно объективен и почти не испытывает сострадания, может быть (с точки зрения взрослых) очень жестоким, поскольку не в силах понять того, что чувствуют другие. Когда двое маленьких играют вместе, каждый из них играет для себя. Даже если один из них имитирует другого, между ними нет внутреннего контакта.
Воспитание эмоциональности.
Со вступлением астрального тела появляется интериоризация чувства, — все больше впечатлений внешнего мира становятся достоянием души, формируется противопоставление, ставшего внутренней средой, мира внешнему миру. Отныне симпатия и антипатия проникают до самых глубин души. Ребенок становится способным как на дружбу, так и на неприязнь. Он развивает свое социальное чувство — играет в группе, поет в хоре и т. д. В течение этого периода важную роль играет музыка, помогая гармонизировать силы мышления и воли. Мы утратили знание о том, что наше тело построено согласно музыкальным законам и что отношения между интервалами в точности передают соотношение между различными частями тела. Следовательно, мы может помочь развитию ребенка, обучая его игре на музыкальных инструментах, а осознанный выбор инструмента, подходящего для данного психо-физиологического типа, может стать действенной терапией, сглаживающей формирующиеся у ребенка нарушения в развитии. Собственно, то же относится и к другим видам искусства (лепке, скульптуре, живописи, танцу и т.д.). Более того, в этот период любое обучение ребенка (даже и точным дисциплинам) должно основываться на принципах искусства, а не быть сухо интеллектуальным (недаром в последние десятилетия развилось столько педагогических систем, основанных на использовании принципа игры, которая, по сути, и тяготеет к искусству). В этом случае школа не станет ярмом, где природное любопытство ребенка погаснет, но будет местом, где душу ребенка, развивают и укрепляют «Музы».
«Я» на девятом году жизни.
Около девяти лет происходит событие, напоминающее нам то, что происходило между вторым и третьим годами жизни ребенка: очередной рубеж в процессе воплощения «Я». Тогда (в два-три года) «Я» овладевало нейро-сенсорным полюсом, а теперь оно теснее связывается с метаболизмом. Может случиться так, что этот процесс будет прерван, что становится причиной метаболических расстройств, например, диабета. Последний, в сущности, является выражением недостаточного действия «Я» на определенные функции метаболизма. Интересно отметить, что чаще всего ювенильный диабет появляется именно в этом возрасте.
С другой стороны, второе семилетие — период наилучшего состояния здоровья, что объясняется главенством ритмической, гармонизирующей системы. Болезнь всегда выражает чрезмерное преобладание одного из полюсов, а ритмическая система стремится исправить это положение, восстановить равновесие между полюсами.
Движение и сознание.
Соединившись с метаболической системой (т. е. системой обмена веществ и движения) около девятого года жизни, «Я», как из «центра», мало-помалу будет овладевать мускулами и костями. Движения, которые до сих пор носили скорее автоматический характер, станут более осознанными, что приводит подчас к некоторым затруднениям. Вы сможете составить об этом представление, если попытаетесь осознанно выполнить движение, которое обычно делаете бессознательно. Неловкость, испытанная при этом вами, объяснит, почему ребенок на двенадцатом году жизни становится таким неуклюжим. Это просто процесс частичного осознания собственных движений. Ребенок не знает, что ему делать со своими руками, засовывает их в карманы, часто роняет предметы, чем очень раздражает близких. Все это довольно быстро проходит, но не исключено, что расстройства могут быть более серьезными и перерастут в подростковую хорею или «пляску святого Витта».
Хорея или «пляска Святого Витта».
Напомним то, что мы говорили вначале по поводу астрального тела, о его роли в углублении чувств, в реакции на эмоциональные впечатления, проявляющиеся внешне в форме движений. Речь здесь идет о настоящем ритме, своего рода «дыхании», в котором участвует «Я», осуществляющее восприятия осознанно, а движения — произвольно. Если астральное тело не в состоянии правильно внедриться (инкарнироваться) в организм, то эти процессы будут протекать аритмично. «Я» не сможет гармонично выразить себя через астральное тело, т. к. будет остановлено в момент «овладения» телом. Неспособность астрального тела выполнить свою задачу является выражением преобладания эфирных сил, приводящего к некоторой «вязкости», инерции, тормозящего действие астрального тела. Сейчас мы поймем симптоматологию хореи. Она часто кажется продолжением помехи, аффекта, страха, которые существуют в случаях слабости астрального тела. Расстройство дыхания является одним из первых симптомов. Появление непроизвольных движений наводит на мысль о чрезмерной активности астрального тела. Однако, в действительности, они выражают бесплодные попытки овладеть ситуацией, и здесь уместно напомнить пример с альпинистом, который мы приводили в связи с судорогами. Но не будем забывать о фундаментальных различиях: при судороге движение умирает в ригидности и процессы сознания болезненно интенсифицируются. При хорее движение интенсифицируется хаотичным образом и сознание ослабевает вплоть до полного затухания. Это хорошо показывает нам, что в случае с судорогами мы имеем дело с чрезмерно активными процессами, исходящими из нейросенсорного полюса (прямое действие «Я» и астрального тела на физический организм), а при хорее — с преобладанием сил, исходящих из полюса метаболизма и движения (опосредованное действие «Я» и астрального тела на остальной организм). Мы поймем также, что подобное заболевание возможно и во время беременности, характеризующейся преобладанием нижнего полюса и эфирных сил.
Лечение хореи.
Как же лечить хорею? Прежде всего ребенка необходимо освободить от занятий в школе, чтобы избежать травмирования психики, т. к. его поведение не может не вызвать различных замечаний со стороны других ребят, что может способствовать ухудшению состояния. Можно также подумать о гомеопатических препаратах мышьяка. Р. Штейнер говорил: «Давать мышьяк, значит астрализовать». Но нужно быть очень внимательным и осторожным с этим лекарством. При передозировке возможно легко выйти за пределы поставленной задачи. Желательно использовать его в природной комбинации с железом и медью. Такое сочетание встречается в некоторых источниках северной Италии (Левико, Ронченьо) («Веледа» выпускает препарат Levico D3, D6 и т. д.). Подобную природную комбинацию невозможно синтезировать в лабораторных условиях. Железо благоприятствует воплощению «Я», медь гармонизирует действие астрального тела. Эта минеральная вода может быть выписана в форме Levico D3 по пять капель утром и в полдень. Существует еще одно изумительное средство против хореи, состоящее из двух препаратов, изобретением которого мы обязаны д-ру Ноллю, одному из пионеров антропософской медицины: первое состоит из Agaricus D4 / Stramonium D3 / Mygale D5 аа Dil (№ 1), второй — из Cuprum aceticum D4 / Zincum valerianicum D4 aa Dil (№ 2). Назначают попеременно № 1 и № 2 каждые два часа по пять капель. Полезны также серные ванны (Kalium sulfuratum 30% — кофейная ложечка на теплую ванну). Сера помогает восстановить равновесие между астральным и эфирным телами. Наконец, великолепные результаты дает лечебная эвритмия. Ее также можно назначить больному хореей, если есть такая возможность.
Болезнь Буйо...
Хорею иногда рассматривают как осложнение болезни Буйо или острого суставного ревматизма. Однако часто эта болезнь течет самостоятельно. Тем не менее существует связь между этими заболеваниями, которые хотя и имеют совершенно различную симптоматику, но обычно вызываются сходными причинами. Основой эфирного тела в организме является все жидкое, т. е. наш водный организм. Последний, если можно так выразиться, должен быть провентилирован астральным телом при помощи воздушного организма. При ревматическом артрите (болезни Буйо) вентиляция осуществляется недостаточно интенсивно, дыхательная функция астрального тела выполняется не полностью. Вследствие этого появляется то, что можно назвать «эфирно-водянистыми остатками», которые ведут себя как инородные тела, вызывая различные воспалительные острые эксудативные реакции.
Этому заболеванию особенно подвержены люди со склонностью к эксудации, «лимфатический тип» и меланхолический темперамент. Особенно те, которые склонны к воспалениям с преобладанием эфирных сил и водного организма. Danbar отличал у таких больных детей беззаботные, гладкие лица, придававшие им ангелоподобный вид[23]
. Тот факт, что болезнь мигрирует с одного сустава на другой, создает впечатление перетекания болезни, вышеупомянутые эфирно-водянистые остатки уклоняются от действия астрального тела и выпадают из поля его действия. Поскольку здесь метаболические процессы идут снизу, мы понимаем, почему шейные суставы, тесно связанные с процессами структуризации верхнего полюса, защищены от этой болезни. Защищены и мелкие суставы пальцев, поскольку на периферии так же доминирует нейро-сенсорная система. Девочки, в силу своего менее глубокого воплощения, более предрасположены к этой болезни по сравнению с мальчиками. Избыточное потение свидетельствует о попытке астрального тела пронизать водный организм. Потение — шаг к выздоровлению, и было бы ошибкой препятствовать этому процессу.
...н ее лечение.
Лечение прежде всего должно стимулировать водный организм. В первую очередь мы назначим настой березовых листьев, чтобы облегчить процессы выделения и помочь структурированию белков, уменьшая их выход в эксудат. Необходимо также, и это очень важно, с самого начала придерживаться легкой вегетарианской диеты с минимальным количеством белков и соли. В качестве базового лекарства мы назначаем попеременно каждые два часа по пять капель Rheumadoron № 1 и № 2 (№ 1 содержит Aconitum nap. pi. tota D4 / Arnica pi. tota D2 / Bryonia rad. D3 Dil; №2 — Colchicum D3 / Sabina D4 aa Dil). Местно используем мазь Arnica 10%, наносить ее, не втирая в кожу, или накладываем слегка увлажненные компрессы с арникой (кофейная ложечка Arnica 20% в одной трети стакана воды). Этим раствором слегка увлажняется кусок фланели, который помещается на больное место. Арника и шерсть хорошо подходят друг к другу и сослужат добрую службу. Компрессы делаются два раза в день. Температуру компрессов необходимо поддерживать при помощи резиновой грелки. Не забывая о поддержке кровообращения больного, ему назначают Primula/ Onopordon comp, по 10 капель три раза в день. Описанное лечение всегда позволяло мне достичь полного выздоровления без помощи салицилатов и других противовоспалительных средств.
Сколиоз и кифоз.
В течение второго семилетия позвоночник должен быть объектом особенно пристального внимания, т. к. именно в этом возрасте появляются такие деформации как сколиоз, кифоз и лордоз. Все эти заболевания связывают с посещением школы, но совершенно неправильно считают, что они вызываются физическими причинами: долгим сидением в одной позе, ношением перегруженных портфелей. Мы видим, что выпрямление по вертикали и положение стоя являются результатами действия «Я» (животные, которые не имеют «Я», ориентированы горизонтально, даже обезьяны). «Я», высвобождающееся из тела во время сна, возвращается в него утром. Это воплощение в норме должно осуществляться быстро и полно, что обычно проявляется радостью и бодростью. Однако, вследствие интеллектуальных перегрузок нашего образования (это вовсе не груз в портфеле, а в голове), «Я» воплощается неохотно и не полностью вступает во владение организмом. Ребенок плохо просыпается, ворчит, куксится, ему не хочется двигаться, и его позвоночник не обладает силами, преодолевающими тяжесть — он прогибается. Кроме того, эфирные силы оказываются слишком сильно захвачены интеллектуальными разрушающими процессами в ущерб процессам вегетативным.
Предупреждение и лечение сколиозов.
Простые изменения программы в этом случае не помогут, должен быть изменен сам метод образования. В медицинском плане необходимо укрепить «Я» и эфирное тело. Подумаем прежде всего об известковых пищевых солях, о фосфоре (в D5 или D6 утром), о железе (Ferrum sidereum D10). Мы также можем помочь «Я» лучше воплотиться при помощи растираний холодной соленой водой верхней части спины и плеч после пробуждения (полная горсть морской соли на литр воды). Чтобы усилить эфирное тело, мы дадим Prunus spinosa D3 (десять капель три раза в день). При тяжелых случаях болезни Шейерманна нужно подумать об освобождении от школы и делать подкожные инъекции Disci comp. с. Stanno (Wala), чередуя с Betonica D3 / Rosmarinus D3 (Weleda). Неоценимую услугу окажет здесь также лечебная эвритмия.
Ломка голоса.
В течение всего второго семилетия действие астрального тела на организм вызывает глубокие изменения, которые завершаются наступлением половой зрелости. То, что мы констатируем как внешнюю метаморфозу всего организма, происходит в очень короткий срок по сравнению с той внутренней работой первых семи лет, что придает этим изменениям особенно драматический характер. Тональность голоса понижается на октаву у мальчиков и только на один тон у девочек, что свидетельствует о менее глубоком, чем у мальчиков, процессе воплощения. Выражением более интенсивной работы эфирных сил является появление у девочек округлых, женственных форм. У мальчиков, напротив, «Я» и астральное тело, более прочно связанные с физическим телом на нейро-сенсорном полюсе, приводят к формированию угловатости, брюшного дыхания (астральное тело через нейро-сенсорный полюс гораздо глубже внедряется в организм) и к более широким умственным возможностям (в связи с преобладанием нейро-сенсорного полюса).
Выполнив эти преобразования, астральное тело становится свободным и может приступать к выполнению других задач. С ним происходит то, что происходило с физическим телом, когда оно пришло в этот мир при рождении, и с эфирным телом в семилетнем возрасте, т. е. мы можем сказать, что астральное тело «рождается» около четырнадцати лет.
В целом, этот период рассматривается как особенно трудный. Его достаточно успешно преодолевают ученики так называемых Вальдорфских средних школ, где педагогика базируется, прежде всего, на глубоком антропософском пониманиии душевных и духовных явлений.
ГЛАВА ДЕВЯТАЯ
От четырнадцати лет
до двадцати одного года
Рождение астрального тела.
Высвобождение астрального тела, происходящее около четырнадцати лет, дает возможность подросткам, преодолевшим порог половой зрелости, обрести новые силы, которыми они должны научиться пользоваться. Характер овладения этими силами у мальчиков и девочек вновь подчеркивает различие процессов воплощения у двух полов. Девушки менее ин-карнированы (воплощены), астральные силы у них проявляются более поверхностно. Бессознательно девушки пользуются этими силами как одеждой или украшениями, меняя которые, поигрывая которыми девушка учится чувствовать, как их воспринимают окружающие. Если педагог поддается этой игре, то он впадает в ошибку, поэтому учителю требуется много внимания, терпения, а также юмора, чтобы сохранить свое лицо. Речь идет не просто об использовании авторитета, как это было в предыдущем семилетнем периоде. Тогда этот авторитет был на своем месте при условии, что он происходил из неоспоримого положительного превосходства, вызывавшего восхищение ребенка. Теперь же авторитет рискует переродиться в авторитарность и спровоцировать бунт.
У мальчиков освободившиеся астральные силы действуют гораздо глубже и более интимно, вызывая у них чувство неудобства, желание замкнуться в себе, превратиться в медведя (или другого зверька) и отвечать на вопросы рычанием и ворчанием. И здесь опора учителя на свой авторитет не приведет ни к чему хорошему.
Потребуется много такта, деликатности, чтобы показать юноше, что силы, которыми он еще не научился пользоваться, дают ему более высокую степень самосознания, способность к умозаключениям, которыми он не обладал прежде. Нескончаемые дружеские разговоры также очень характерны для подростков в этот период — они должны проработать новые возможности своей души.
Человек и животное.
У животного развитие заканчивается с появлением способности к репродукции, которая одновременно знаменует начало старения.
У человека, напротив, развитие продолжается и после полового созревания и даже тогда, когда наступает инволюция на физическом плане. Духовный рост может продолжаться вплоть до смерти, если только человек не отдается полностью материальному миру, тем самым впадая в некоторую животность.
Итак, перед нами две тенденции, два характерных способа внедрения, интеграции астральных сил в организм: одна в большей степени характерна для женщин, вторая — более мужская. Доведенная до крайности, каждая из этих тенденций может вызывать различные заболевания. Если новорожденная астральность бесконтрольна у молодой женщины, если астральные силы будут неспособны под влиянием «Я» структурировать жизненную мощь эфирных сил, то их хаотичное бурление вызовет проявления, которые мы, в широком смысле слова, можем обозначить как истерические. Об истерии мы уже говорили в 4 главе. Если же преувеличена мужская тенденция, т. е. происходит слишком глубокое внедрение в организм астральных сил, то душа начинает слишком живо интересоваться материальным, особенно телом, что может вызвать влечение к эротизму и в некоторых случаях приводит к шизофрении. Возможны случаи истерии и у мальчиков, а у девушек склонность к эротизму или шизофрении, но обратное случается гораздо чаще.
Хлороз...
Неглубокая инкарнация у девушек может быть причиной заболевания, ставшего редким в наши дни — хлороза или эссенциальной анемии. Занятия спортом, более интенсивная современная жизнь обязывают, в некотором смысле, «Я» к овладению организмом. При хлорозе «Я» как бы отделяется от организма, воплощается с запозданием, неохотно, из-за чего больная чувствует себя как бы посторонней на земле. На физическом плане недостаточность процесса воплощения реализуется гипохромной анемией. Метаболизм железа — металла инкарнации — не может правильно осуществляться без участия сил «Я». Здесь речь идет не о дефиците железа, а о невозможности его усвоения. Даже назначение очень больших доз железа лишь кратковременно облегчает симптоматику такой болезни.
...
и его лечение.
Терапия должна быть направлена на стимулирование метаболизма железа, что возможно благодаря использованию крапивы Urtica dioica, которая является одной из составляющих препарата Anaemodoron. Вторым составляющим будет земляника — Fragaria Vesca. Крапива действует скорее не железом, которого она содержит не так уж много, а «процессом железа», ее характеризующим. Что касается земляники, то мы можем сказать, что она ориентирует этот процесс на кровь. Мы можем также использовать вегетабилизированную форму Urtica Ferro culta D3 или даже D2, т. е. железо, прошедшее процесс динамизации через растение. Поскольку анемия связана со светом и «Я», мы, конечно же, подумаем, как и при других заболеваниях, связанных с процессом воплощения, о фосфоре (D6 утром). Наконец, «витающим в облаках» девушкам мы можем назначить немного свинца в D6 или D10, но с большой осторожностью. Не забудем также и о меди, делающей организм восприимчивым к железу. Как и в других случаях, мы будем использовать ее в виде мази (Ung. Cupri 0,4%) ежедневно втирая ее в область селезенки. Напомним, что железо имеет «братьев» — это элементы № 27 и № 28 периодической таблицы; использование одного из них — кобальта — может быть полезно в случаях резистентности к лечению.
Туберкулез.
Туберкулез достаточно часто обнаруживается в третьем семилетии, хотя и не является заболеванием типичным именно для этого периода и может проявляться в другие семилетия. Этиологически он родственен истерии, которую мы охарактеризовали как избыточный процесс вегетативного роста, поэтому вполне уместно поговорить о туберкулезе именно здесь. Когда вегетативный процесс прорывается в область легких, он создает предрасположенность к туберкулезу. Следовательно, не инфекция начало болезни, она лишь результат продолжительных аномальных условий, установившихся в организме. Это не значит, что не существует заражения, но инфицирование происходит больше в душевной, чем в физической области. Люди, живущие вместе, помимо возможной типологической или наследственной склонности к тому или иному заболеванию, оказывают друг на друга сильное душевное влияние. Феномен подражания (мимикрия) появляется особенно у тех, кто имеет слабое «Я», что может привести к появлению однородных предраспо-ложенностей к болезни. «Истерический» тип со своей сильной душевной лабильностью более подвержен такому способу заражения. Эти факты совпадают с психоэмоциональными особенностями туберкулезных больных, для которых характерны полет фантазии, артистическое чутье, что само по себе находится в оппозиции к абстрактному мышлению, зависящему от структурирующих сил нейро-сенсорного полюса. Нередко можно констатировать у больных туберкулезом беззаботность по отношению к своему состоянию, доходящую иногда до полного отрыва от действительности, что является выражением отказа от настоящего воплощения. Не напоминает ли нам это состояние, которое мы уже констатировали при хлорозе?
Предрасположенность к легочному туберкулезу.
Почему туберкулез отдает предпочтение именно легким? Интересно связать этот факт с низким содержанием кремния в этом органе. По сравнению с другими органами легкие содержат его меньше всего, тогда как поджелудочная железа, орган, особенно богатый кремнием, почти никогда не поражается туберкулезом. Надпочечник — орган также бедный кремнием — представляет собой еще одно излюбленное место для бацилл Коха. Эти факты еще более поражают, когда мы узнаем что правое легкое, у которого содержание кремния меньше, чем в левом, гораздо чаще поражается туберкулезом. Кремний в виде горного хрусталя выражает структурирующие силы верхнего полюса, он несет в себе образ света, ясности мысли, доходящей до абстракции,— как раз всего того, что отсутствует при туберкулезе, характеризующемся преобладанием вегетативных процессов, образованием экссудатов, казеоза и гноя. Последние являются выражением сил метаболизма. После того как туберкулез вылечен, верх вновь берут процессы минерализации и кальцификации. Наконец, легкое — самый нижний из органов верхнего полюса, в силу своего положения, менее подвержен действию сил структурирования.
Роль света.
Мы уже указывали на тесную связь кремния со светом, который также играет важную роль при туберкулезе. Мы знаем, что недостаток света благоприятствует развитию болезни, знаем и то, что бациллы Коха чрезвычайно чувствительны к действию солнца, преимущественно к ультрафиолетовым лучам. Мы знаем также о благоприятном действии света на больных туберкулезом, речь идет, конечно, о специально дозированном свете. Напротив, чрезмерное увлечение солнцем может привести к развитию особенно тяжелых форм туберкулеза. Р. Штейнер говорил нам о метаболизме света. Свет, проникая в организм, претерпевает метаморфозу. Так же, как наша пища, перед тем как быть ассимилированной, должна полностью преобразоваться, так и свет, чтобы быть усвоенным, должен трансформироваться. Этот преобразованный свет также обладает бактерицидным действием. Если организм располагает достаточным количеством «внутреннего» света, бациллы не могут развиваться. Бывает, что недостаток внешнего света становится причиной нехватки преобразованного света, но гораздо чаще именно организм вследствие недостаточного действия «Я» на уровне кожи — органа преобразования света — становится неспособным трансформировать свет. Ничего нет удивительного в том, что человек, кожа которого подвергается излишнему воздействию солнца, делается неспособным трансформировать свет в своей коже и оказывается, особенно предрасположенным к массивному росту бацилл. Эту двойную этиологию — недостаток света с одной стороны и неспособность его трансформировать с другой — мы уже встречали при изучении рахита.
Лечение туберкулеза легких.
Лечение туберкулеза должно быть направлено на усиление процессов структурирования, исходящих из верхнего полюса. Будет совсем неплохо, если для достижения этой цели больной заставит себя заниматься строго логическими упражнениями ума, например, изучать геометрию. Мы можем уменьшить тенденцию метаболического полюса выползать из своих границ, изменив количество потребляемой пищи. Нет ничего более обманчивого, чем желание хорошенько кормить истощенного туберкулезного больного. Для того, чтобы воздействовать на процесс преобразования света, назначим Phosphor D5 утром. Однако назначение фосфора необходимо приостановить с апреля по июнь включительно, т. к. в это время он может стать причиной кровохарканья. На этот период мы можем заменить его Magnesium phosphoricum D6. Для стимуляции процессов воплощения назначается железо в форме Ferrum rosatum D3 — соединение, включающее в себя железо и лепестки розы. Одновременно полезно использовать препарат Graphites D15, который также является поддержкой структурирующих сил. Мы назначим Ferrum rosatum D3 / Graphites Dl 5 по 10 капель три раза в день. В случаях активного процесса мы отдадим предпочтение Ferrum chloratum comp. (Ferrum sesquichloratum D3 / Graphites Dl 5). Мы используем также структурирующие силы кремния, который лучше использовать в виде растительного Equisetum arvense. Никогда нельзя забывать об одновременном лечении печени при помощи Chelidonium и Hepatodoron. Правильная деятельность печени предотвратит распространение избыточных метаболических процессов в легкие.
Рождение
«Я». Около двадцати одного года происходит «четвертое рождение», а именно — рождение «Я». Совсем не случайно этот возраст у многих народов избирался возрастом достижения совершеннолетия, поскольку лишь свободное распоряжение своим «Я» позволяет индивидууму сознательно выполнять возлагаемые на него обязанности. Между четырнадцатью и двадцатью годами мышление носит скорее эмоциональный характер, и только после освобождения «Я» оно получает возможность стать по-настоящему объективным. Речь здесь идет только о возможности и вовсе необязательно, что этой возможностью воспользуются. К сожалению, немало людей за всю жизнь не обретают эту способность объективного мышления.
В эволюции человека можно увидеть и дальнейшие семилетние периоды с их кризисными узлами и разрешением этих узлов, но так как они в большей степени связаны с чистым развитием сил души и духа и в меньшей мере связаны с телесной эволюцией, мы не будем затрагивать их в нашей книге. Отметим все же, что дары, полученные нами при рождении, активно ведут нас только до двадцати восьми лет. Кем мы станем, пройдя этот возраст, зависит уже только от собственной работы человека над собой. Поэтому ничего нет удивительного в том, что некоторые люди по своему умственному развитию никогда не переходят этот возраст.
ЧАСТЬ ТРЕТЬЯ
 ЧЕТЫРЕ
ГЛАВНЫХ ОРГАНА
Некоторым органам или группе органов с давних пор отводилось главенствующая роль. Они обозначались как главные или кардинальные. Традиционно их соотносили с четырьмя природными элементами: землей, водой, воздухом, огнем — так же, как и с различными темпераментами. Антропософия показывает, что эти органы можно связать с четырьмя составными частями человека. В следующей таблице мы подведем итог всем этим соответствиям:
Таблица 3
| Сущностные члены
|
Главные органы
|
Природные элементы
|
Темпераменты
|
| Я
|
Сердце
|
Огонь
|
Холерический
|
| Астральное тело
|
Почка
|
Воздух
|
Сангвинический[24]
или «Нервический»
|
| Эфирное тело
|
Печень
|
Вода
|
Флегматический или Лимфатический
|
| Физическое тело
|
Легкое
|
Земля
|
Меланхолический
|
Знание вышеприведенных связей позволяет лучше понять патологию этих органов. Мы постараемся показать, до какой степени наблюдение позволяет подтвердить эти связи, и опишем несколько типичных для каждого органа заболеваний как в их физическом, так и психическом проявлении.
Мы видели в главе 4, что расстройства могут проявляться в трех областях — в эфирной, или функциональной, в физической, астральной, или душевной. Мы постараемся в ходе последующих описаний выявить связи между этими различными областями и отчетливо продемонстрировать, как функционирует каждый орган в качестве «зеркала души». Это позволит нам выявить новые терапевтические импульсы, предлагаемые антропософской медициной.
ГЛАВА ДЕСЯТАЯ
Легкое
Легкое
— орган земли.
Казалось бы, легкие в силу своей дыхательной функции а priori должны быть «органом воздуха». Но здесь значение имеет не проходящая через орган субстанция, а та роль, которую этот орган играет в организме. Итак, легкие — это прежде всего орган, связывающий нас непосредственно с внешним физическим миром. Пищеварительный аппарат, к примеру, не является органом немедленно связующим нас с внешним миром, т. к. пища перед процессом ассимиляции должна быть преобразована, что не происходит с воздухом. Легкие начинают функционировать в момент, когда мы приходим в этот мир, когда мы становимся земными существами, следовательно, они являются органами воплощения.
При первом вдохе астральное тело объединяется с физически-эфирным комплексом, а при последнем выдохе, в момент смерти, покидает его навсегда. Но при каждом вдохе эта связь между верхним и нижним комплексами усиливается, а при каждом выдохе — ослабевает.
Уже этого достаточно, чтобы рассматривать легкие как «орган земли», но существуют и другие факты. Легкие тесно связаны с нервной системой (следовательно, с полюсом холода организма), что проявляется как в процессе эмбрионального развития, так и при функционировании органа, более тесно связанного с нервной системой, нежели с сердцем, что позволяет изменять дыхательный ритм в зависимости от нашего желания.
Легкие — холодный орган с температурой около 35,5 градусов. А не является ли холод одной из важных характеристик элемента «земля»?
Наконец, легкие в силу своей способности регулировать содержание СОг участвуют в метаболизме карбонатов, преимущественно карбоната кальция — типично «земного» элемента, необходимого для приведения в равновесие слишком интенсивных жизненных процессов. Вообще, отложение известняка, например, в раковине устрицы, представляет собой процесс противоположный интенсивной витальности самой устрицы. В организме человека происходит то же, что и во внешней природе. И не назначаем ли мы Conchae (Calcarea carb) больным, у которых слишком интенсивные витальные процессы привели даже к поражению сознания, и они стали напоминать «моллюсков» в своих раковинах?
Астма.
Поскольку легкие — орган земли, то совершенно необходимо, чтобы связь между физико-эфирным и астральным всегда оставалась в своих физиологических границах. Если вышеуказанная связь становится малоподвижной, слишком прочной, то это приводит к развитию таких заболеваний, как астма. Эта болезнь, как мы знаем, характеризуется спастическими проявлениями при дыхании. Воздух задерживается в альвеолах, т. к. астральное тело слишком сильно объединяется с этим органом. Больной как будто боится выдохнуть, и эта тревога является типичным проявлением действия астрального тела.
Естественно, что задержка воздуха препятствует выдоху. Слишком тесная связь астрального тела с легкими, «давление», которое оно оказывает на легкие, провоцирует выделение мокроты, что еще больше усугубляет затруднения дыхания. Не будем забывать о том, что процесс выделения из организма — есть функция астрального тела, а секреция того, что должно быть выделено или использовано (например, мокрота, ферменты), является, по существу, функцией эфирного тела. Мокрота при астматическом приступе плотная, структурирована в форму спиралей Куршмана и кристаллов Шарко-Лейдена, что отражает процесс минерализации, слишком ярко выраженную связь с элементом «земля», и спастичность вызывается попыткой астрального тела дойти до конца этой твердости, этого анормального сопротивления. При астме мы наблюдаем смещение процесса, который, будучи нормальным, в области головы, становится патологическим, спускаясь в легкие.
На самом деле, когда мы думаем с помощью головного мозга, мы выкристаллизовываем идею, запоминаем, структурируем ее — все это благодаря действию астрального тела. Обнаружение подобных процессов на уровне легких, где обмен с внешней средой должен осуществляться ритмично, гармонично, является аномалией.
Астма и туберкулез.
То, что происходит при астме, противоположно тому, что мы наблюдаем при туберкулезе, когда метаболический полюс стремится подняться на уровень легких. В случае туберкулеза мы выявляем потерю формы, расплавление тканей, обнаруживаем патогенную флору и аномальную жизнь сапрофитов, тогда как при астме отмечаются спастические явления, процессы минерализации, структурирования — легкие становятся слишком «землей».
Ту же полярность мы находим и в психике пациентов. Больной туберкулезом, мы это уже видим, обладает богатой фантазией, беззаботен; астматик, напротив, — тревожен, замкнут, все принимает на свой счет. Астматик выглядит старше своих лет, больной туберкулезом — моложе, что не мешает процессу минерализации, сопутствующему выздоровлению, провоцировать ускоренное старение.
Астма и экссудативный диатез.
В генезе астмы часто находят экссудативный диатез, заболевание, при котором метаболические функции смещаются в нейро-сенсорную зону, к коей относится и кожа, что, казалось бы, противоречит сказанному об астме. На самом деле перед нами вновь правило маятника, которое одной тенденции противопоставляет другую. Чем больше маятник отклоняется в одну сторону, тем больше он отклоняется и в другую. Поэтому нет ничего удивительного в том, что астма часто встречается там, где атопический диатез был подавлен, вместо того чтобы быть преодоленным. То же замечание можно сделать в отношении астмы, развившейся после перенесенного гриппа, пневмонии или даже туберкулеза, особенно если эти заболевания лечили при помощи антибиотиков.
Астма и бронхит.
Но существуют астматические состояния, имеющие генез, отличный от вышеприведенного, причины возникновения которых находятся в метаболическом полюсе. Мы наблюдаем их у больных ди-гестивного (с преобладанием пищеварительно-метаболи-ческой деятельности) типа, у которых спастические проявления, обусловленные астральным телом, представляют собой только реакцию на слишком мощные вещественные перегрузки в метаболическом полюсе. Эти больные страдают хроническим бронхитом, заболеванием, иногда сочетающимся с астмой.
Лечение астмы.
Для лечения астмы Р. Штейнер рекомендовал три базисных медикамента, назначаемых в форме подкожных инъекций:
1. Primus spinosa D5. Инъекции производятся под кожу затылочной области.
2. Nicotiana D10. Инъекции производят под кожу в области реберно-вертебрального угла.
3. Gencydo 1% — 3%. Инъекции делают под кожу в межлопаточную область.
Эти инъекции должны быть назначены в данной последовательности с интервалами в два дня, т. е. три раза в неделю.
Prunus spinosa — терн, обладает избытком эфирных сил, не исчерпывающихся при быстром росте этого растения. Эти силы приходят на помощь силам эфирного тела. Особенно это растение подходит истощенным организмам, исчерпавшим свою витальность.
Nicotiana преимущественно действует на воздушный организм, почему это растение обычно используется при курении. Лист табака порист внутри, что и выявляет его сродство с элементом «воздух». Этим оказывается поддержка астральному телу. Р. Штейнер говорил, что Nicotiana «исправляет деформации астрального тела». Инъекции этого препарата должны производиться на уровне почек — органов «воздуха», внутри которых астральное тело особенно активно.
Gencydo представляет собой соединение сока лимона (из его перегородок, т. е. белого фрагмента цедры) и растительной слизи айвы, избирательное действие которых направлено на укрепление и снижение чувствительности со стороны слизистых. Кроме того этот медикамент используется при сенной лихорадке, о которой мы поговорим чуть позже более подробно.
В дополнение к инъекциям Р. Штейнер рекомендовал Quercus cort. 10% Dil по 10 капель утром и Veronica off вечером в виде настоя или 10% экстракта по 10 капель (гомеопатический вариант — D1). Veronica облегчает освобождение астрального тела и засыпание, в то время как Quercus скорее действует в том же направлении, что и Conchae.
Порой во время астматического приступа трудно обойтись без спазмолитических средств, особенно если больной к ним привык. Можно заменить их на Lobelia D6 (в каплях или подкожных инъекциях). Это растение, плод которого представляет собой воздушную коробочку, воспроизводящую процесс захвата воздуха, аналогичный тому, что происходит при астме. Так же как и Nicotiana, Lobelia связана с воздушным организмом и иногда используется для курения у северо-американских индейцев. Belladonna D3 помогает преодолеть спазм у детей. У старых больных, очень «затверделых» хорошо начать терапию с серных ванн (Kalium sulfaratum 30% — одна столовая ложка на полную ванну). Эти мероприятия являются началом лечения астмы, после чего необходимо прибегнуть к более индивидуализированному лечению с тем, чтобы закрепить достигнутое. Чтобы определить способ такого лечения, полезно выяснить темперамент больного, какие климатические и метеорологические условия и т. п. обычно провоцируют обострение. Больным, особенно чувствительным к влажному теплу, назначают Blatta orientalis. Conchae и Arsenicum album прописывают тем, кто чувствителен к холоду, Apis — тем, кто чувствителен к жаре, и т.д. Нередко при подобном лечении возникает острое, иногда очень серьезное, лихорадочное состояние. Это свидетельствует о пути к выздоровлению и поэтому необходимо приветствовать такую лихорадку. Иногда появляется экзема, которую нужно лечить особенно осторожно. Лично я вылечил описанным способом большое количество больных, большая половина которых были дети. Это огромная радость для врача — видеть как тщедушные существа с головами, провалившимися в плечи, понемногу освобождаются от своего заболевания, нагоняют упущенное и даже становятся способными заниматься спортом, например, лыжами.
Сенная лихорадка и аллергия.
Поговорим здесь о сенной лихорадке, поскольку она является близкой родственницей астмы, хотя и не относится к так называемым легочным заболеваниям. Как и астма, сенная лихорадка представляет собой аллергоз.
Но что же это такое аллергия? Мы лучше поймем это при сравнении аллергии с ее психическим аналогом. Мы с трудом переносим присутствие некоторых людей, испытываем по отношению к ним сильную антипатию и, как бы мало не предрасположены к гневу, незначительный контакт с ними грозит выбить нас из колеи. Мы по отношению к этим людям являемся как бы сверхчувствительными, что может обнаружиться в словах или в действиях. Эта обостренная антипатия представляет собой проявление нашей эмоциональности, которая пытается заставить нас оттолкнуть другого со всей энергией нашего астрального тела. Но эта демонстрация силы совершенно несопоставима с факторами ее вызвавшими, причем до такой степени, что сторонний наблюдатель оценит эту реакцию как совершенно неуместную. То же самое происходит в случае с аллергией. Реакция слизистой оболочки при сенном насморке не идет ни в какое сравнение с несколькими гранулами пыльцы, спровоцировавшими ее. Чихание, сопровождающее реакцию, в физическом плане представляет собой то же самое, что гнев и антипатия в плане психическом. Следовательно, причиной является не частица пыльцы, а особенности структуры слизистой, ее конституция, благодаря чему организм реагирует столь взрывным образом. Бурные реакции астрального тела, идет ли речь о судорогах или спазмах, практически всегда свидетельствуют о его слабости, которую мы охарактеризовали в примере с альпинистом, закрепляющемся на скале тем прочнее и судорожнее, чем больше усталость.
Лечение сенной лихорадки.
Терапия сенной лихорадки должна быть направлена на усиление и гармонизацию астрального тела на уровне слизистых. В этих целях Р. Штейнер предлагает нам Gencydo (Mucilago cydonial/ Succus citri). В момент цветения лимонное дерево представляет собой центр интенсивного распыления. Оно издает густой слегка сладковатый аромат. За этим периодом следует прямо противоположный процесс — стягивания в плод. Эта центростремительная тенденция не доходит до полного высыхания, как у зерна, но ведет к застою жидкого, в котором уже задействованы эфирные силы. Это жидкостное контролируется и ограничивается кожистой коркой. Такое стягивание проявляется при образовании кислот в ущерб сахарам. Используя лимон в терапии, мы показываем дорогу организму, по которой он должен следовать, мы даем ему образец. В самом деле, слизистая должна быть стойкой, она не должна терять жидкость, не должна пересыхать, должна оставаться сочной. Айва также сдерживает процесс образования сахара, но в пользу растительной слизи, роль которой для слизистой оболочки нам уже известна. Это терпкий, твердый плод, усиливающий действие лимона.
Gencydo назначают в виде подкожных инъекций в межлопаточную область два раза в неделю. Очень важно начать лечение до периода появления сенной лихорадки, следовательно, в конце марта или в начале апреля. Вторую серию инъекций назначают осенью. К этим инъекциям нужно добавить орошения слизистой носа жидким Gencydo 3% или 5% при помощи ингалятора или пульверизатора (поскольку жидкость слишком густая, ее немного разбавляют). Очень важно, чтобы Gencydo достиг всех слизистых носа. С первого года мы часто видим значительное улучшение состояния больного. Лечение продолжают в течение трех лет. В первый год используют ампулы Gencydo 1%, на второй и третий — ампулы 3% или 5% Gencydo. При правильном, максимум трехлетнем лечении, случаи, резистентные к терапии, встречались на протяжении десятилетий крайне редко.
Различие между астмой и сенной лихорадкой.
Мы объединили сенную лихорадку и астму по причине их аллергического характера и спастических проявлений, что частично оправдывает схожесть терапии, но нельзя забывать о том, что в других симптомах эти заболевания скорее противоположны друг другу. Если при сенной лихорадке отмечаются сильные центробежные тенденции, то при астме ведущими являются центростремительные, доходящие до минерализации в форму кристаллов. Легкие, имеющие при астме тенденцию к уплотнению, становятся слишком подобны элементу «земля», Gencydo поможет сохранить в них жидкость.
Влияние легких на психику.
Функция легких состоит в постоянном воздушном обмене с внешним физическим миром. В психическом плане их роль заключается в реализации душевных связей человека с его окружением. Поскольку, как мы это уже отмечали, социальный контакт также является формой дыхания, деформация пограничных с внешним миром структур органа мешает ему выполнять роль «зеркала души», нарушая нормальные связи с окружением. Причины подобных нарушений могут быть конституциональными, проявляющимися в темпераменте. Деформации могут появиться и значительно позже и стать причиной различных психических расстройств.
Меланхолический темперамент.
В тех случаях, когда легкие (орган «земля») по своим тенденциям начинают преобладать над другими органами, весь организм устремляется к реализации принципа «земля». Организм становится более плотным, более физическим, каковым он быть не должен, и тогда «Я» вместе с астральным телом испытывают трудности при воплощении. Эти верхние элементы оказываются в положении человека в шубе, тяжесть которой не пропорциональна затрачиваемым силам на ее ношение. Человек оказывается «легочником».
Физическое тело таких «легочников» в действительности тяжелое, плотное, малоподвижное. Поступь больных тяжела, будто на ногах гири. Голова часто опущена, спина согнута — тело как бы притягивается к земле. Вот портрет меланхолика.
Обладание телом, которое тяготит и которым он не может до конца научиться управлять, источник страданий для меланхолика, и он стремится замкнуться в себе самом. Он боится окружающей среды и толпы. Но скорее предпочтет анонимность больших магазинов маленьким лавочкам, которые обязывают к более тесному и личному контакту с продавцом.
Связь психозов с легкими.
Когда описанные выше тенденции акцентируются и приобретают патологический характер, появляются такие психические симптомы, как боязнь пространства. Для подобных больных, например, необходимость пересечь многолюдную площадь превращается в пытку. Усиливается замкнутость, обставляемая мечтами, но с бледной фантазией. Неподвижность мышления (не путать с тупостью) проявляется фиксацией на идеях, от которых больной не может освободиться, хотя и осознает их абсурдность. Эта «задержка» идей напоминает нам задержку воздуха при астме. В конечном счете, пациент все более погружается в глубокую меланхолию или в бредовые представления.
Лечение меланхолических психозов.
При лечении психических расстройств, связанных с легочной патологией, нужно прежде всего думать о теплых серных ваннах. Мы также можем назначить Sulfur или Hepar-sulfur. Сера активизирует метаболизм и помогает преодолеть тенденцию к отвердеванию. Однако специфическим лекарством является ртуть, великий мобилизатор, в форме Nasturtium Mercurio cultum D3 вместе с Pulmo D6 (смешать в шприце и вводить подкожно на уровне грудной клетки 2—3 раза в неделю или же в каплях по 3 раза в день 5—7 капель каждого препарата на прием). Заметим также, что Р. Штейнер[25]
рекомендовал заинтересовывать больных с меланхолическим темпераментом страданиями других, что препятствует им слишком замыкаться в себе. Детям с меланхолическим темпераментом он рекомендовал давать больше сахара.
ГЛАВА ОДИННАДЦАТАЯ
Печень
Печень
— орган жизни.
Познать печень почти так же трудно, как проникнуть в тропический лес. Тропический лес жарок и влажен. Но эти качества характерны и для самой печени. Печень, главным образом, венозный орган, до такой степени богатый жидкостями, что содержание сухих веществ в нем едва больше, чем в крови. Печень является полюсом тепла организма с температурой тканей примерно 40°. В противоположность легким, имеющим сверхчеткую архитектонику бронхиального дерева, печень мягка и структурирована слабо. По сравнению с почками она обладает высочайшей способностью к регенерации — в экспериментах с животными можно наблюдать регенерацию печени после 80% ампутации. Такая витальность встречается только в растительном царстве.
В немецком языке слово «печень» — «leber» тесно связано со словом «leben» (жизнь). В английском языке «liver» — производное от «to live» (жить). Это указывает на то, что люди уже давно инстинктивно чувствовали связь между этим органом и жизнью. Возможно, французское «foie» имеет в основе «ficator» — с корнем «растительный», «живой». Смоковница или фиговое дерево именуется в Библии «деревом жизни». Происхождение слова «figer» — «сгущать» — означает, что некая жидкость приобретает «консистенцию печени», то есть состояние, которое у алхимиков называлось «Solve et Coagula» и соответствовало границе между жидкой и твердой фазами, между процессами растворения и коагуляции. К тому же многие другие факторы, наряду с механическими, подтверждают роль печени в водном обмене: влияние на диурез, тканевую проницаемость, возникновение отеков и асцита при портальной гипер-тензии, которая обусловлена более глубокими, а не просто механическими нарушениями. Наконец, такое состояние, как искусственно вызванная опсиурия, экспериментально подтверждает связь печени с водой. Эта жидкая фаза не зависит от происходящих в этом органе интенсивных химических процессов. Таким образом, печень — центр водного организма, носитель нашего эфирного тела. Поэтому нет ничего удивительного в том, что как говорил Р. Штейнер и доказал в своих работах Т. Швенк[26]
, качество воды региона, в котором мы проживаем, оказывает сильное влияние на состояние нашей печени.
Центр метаболизма.
Химия или алхимия? В той мере, в какой печень более любого другого органа является анклавом окружающей природы, она ассоциируется с химиком. Благодаря ей в нашем внутреннем разыгрываются процессы свойственные внешней природе, можно сказать, что печень работает как некая химическая лаборатория. Именно поэтому так легко изучать процессы печени при помощи лабораторных методов исследования. Но печень — это и алхимик в той мере, в какой эфирные силы причастны к трансформациям, синтезу и распаду гликогена. Гликогенез или гликогенолиз подтверждают нам это. При гликогенезе печень преобразует глюкозу крови в гликоген — в нерастворимую субстанцию, близкую к крахмалу. При гликогенолизе гликоген вновь превращается в глюкозу. Эти процессы, типичные в качестве примеров «Coagula» и «Solve», чередуются ритмически независимо от приема пищи. Синтез гликогена, процесс ассимиляции, происходит преимущественно ночью, начинаясь с 15 часов, он достигает максимума к 3 часам утра. Обратный процесс — гликогенолиз — начинается около 3 часов утра и достигает максимума к 15 часам, являясь, следовательно, дневным процессом[27]
.
Интересно отметить, что мы находим схожие ритмы образования крахмала и сахара у растений, что сближает нас с растительным миром и эфирными силами (с упомянутым выше тропическим лесом). Тот факт, что печень помимо систем артериального и венозного кровообращения, которые мы находим во всех органах, обладает еще и портальной системой кровообращения, поставляющей ей дополнительно СОг, свидетельствует о схожести метаболических процессов печени с таковыми в растительном мире, особенно, в листе.
Полюс тепла.
Обратимся теперь к аспекту тепла. И здесь этимология подсказывает нам, насколько верна народная мудрость: по-русски «печень» происходит от слова «печь», без которой не обходился ни один русский дом. Эта тепловая функция печени необходима для метаболизма жиров и желчных процессов. Желчь потребляется вместе с панкреатической липазой в пищеварении жиров — субстанции, необходимой для поддержания температуры тела. Желчная секреция — процесс, связанный с расщеплением пищи в пищеварительном тракте, является также ритмическим процессом, аналогичным суточному ритму синтеза и распада гликогена. Он начинается в 3 часа утра, достигая максимума к 15 часам. Желчь накапливается в желчном пузыре и используется в пищеварении по мере необходимости.
Тот факт, что эти две функции — регуляция содержания Сахаров и секреция желчи обладают собственным ритмом, не зависящим от времени приема пищи, подтверждает концепцию о том, что печень является анклавом внешнего мира.
Влажность и тепло — эти два принципа обеспечивают физиологию печени и соответственно доминируют при ее патологии. И среди заболеваний, связанных с печенью, мы найдем болезни, характеризующиеся, в одних случаях, избытком, в других — недостатком влаги, так же как и патологию, обусловленную либо избытком, либо недостатком тепла.
Расстройство водного обмена.
Когда печень не обеспечивает корректного метаболизма воды, последняя проявляет тенденцию к независимости, становится как бы инородным телом для организма, не циркулирует, а застаивается. Вслед за этим появляются отеки и транссудаты, порой настолько удаленные от печени, что врачи не всегда ищут причину именно в ней, а, более или менее гипотетически, ищут локальную причину. И только при проводимой терапии выясняется истина. Иногда, при определенных условиях, в транссудатах обнаруживаются признаки воспаления, так как застойная жидкость является для организма инородным телом, и он стремится освободится от нее с помощью воспалительного процесса. Противоположное мы наблюдаем при циррозах, которые правильнее называть склерозами печени. Эти заболевания характеризуются затвердением органа — «Coagula» одерживает верх над «Solve». В этом случае печень не в состоянии выполнять свою роль «витализатора», особенно по отношению к жидкостям, что проявляется в их застое в форме асцита. Выпот в синовии и артрозы можгут рассматриваться, как последствия подобных расстройств метаболизма воды, связанного с печенью. Эти потери формы, вызванные либо избытком жидкости, либо процессами затвердения арти-кулярных и переартикулярных тканей, могут быть устранены терапией печени.
Нарушения желчной функции.
Расстройства желчной функции связаны с элементом «тепло». Мы отмечаем это, например, при катаральном гепатите. В этиологии этой болезни нередко можно найти злоупотребление жирами или использование жиров низкого качества. Когда организм неспособен правильно преобразовывать жиры, они начинают вести себя как инородные тела, создающие, по выражению Р. Штейнера, «очаги паразитического тепла», которые в свою очередь являются питательной средой для некоторых вирусов, вследствие чего возникают воспалительные процессы. Связь гепатита с теплом объясняет также его большую распространенность в теплое время года и в жарких странах. Эти воспалительные процессы сопровождаются приливом крови в область печени, что вызывает увеличение выделения желчи, которая уже не может проходить по желчным путям, и тогда все происходит так, как при пожаре в кинотеатре, когда обезумевшие зрители блокируют выходы. Тогда желчь попадает в кровь и, распространяясь по всему телу, обусловливает желтуху или иктерич-ность.
Камни желчного пузыря.
При камнеобразовании мы наблюдаем обратный феномен — печень слишком холодна и продукция желчи недостаточна. Образуется осадок, откладывающийся в виде желчных камней в желчных путях. Печеночные колики, часто появляющиеся при желчном камнеобразовании, свидетельствуют о попытке астрального тела освободиться от камней.
Новые медикаменты.
Р. Штейнер предложил новую терапию заболеваний печени, указав на три медикамента:
Hepatodoron (состав: Fragaria vesca, fol. 20%/Vitis vinifera, fol. 20% aa),
Choleodoron (состав: Chelidonium D2/Curcuma rhiz D2 aa dil.) и
Stannum (олово) в разных гомеопатических потенциях. Он также обратил внимание на терапевтическую ценность таких растений, как Cichorium intybus и Taraxacum.
Hepatodoron
.
Hepatodoron состоит из смеси листьев земляники и винограда. Лесная земляника растет во влажном тепле подлеска, напоминающем тропики, и несет процесс образования сахара, выражающийся в формировании плодов, усыпанных семенами. В винограде мы также находим интенсивный процесс образования сахара, но он протекает под ярким солнцем и заканчивается образованием виноградной кисти, каждая ягода которой включает в себя несколько семян. Впрочем, используются не плоды, а листья этих растений, в которых процесс образования сахара происходит наиболее интенсивно. Эти два растения, хотя и характеризуются общим процессом сахарообразовния, однако, носят полярный характер, что превращает Hepatodoron в лекарство, влияющее не на одну изолированную функцию, а на комплекс функций. Это лекарство, поддерживающее равновесие между различными формами деятельности печени, мы можем назначать его при любой патологии печени, но оно особенно эффективно при заболеваниях, связанных с нарушением циркуляции и метаболизма воды. Такие симптомы, как жажда, желание сладкого — главные симптомы для назначения этого препарата. Лучше всего принимать его перед едой три раза в день по 1—2 таблетки.
Choleodoron
.
Choleodoron состоит из Chelidonium majus (чистотел) и Curcuma. Чистотел, называемый еще большим чистотелом, или бородавочником, растет возле старых стен, на каменистых пустырях. Его лапчатая нежная листва контрастирует с суровостью окружения, где он произрастает. Его желтый сок напоминает желчь. Куркума — это тропическое растение, ее корневище входит в состав пряных приправ, употребление которых активизирует элемент «тепла». Особенности двух составных частей Choleodoron превращают его в медикамент, специфичный для заболеваний желчного пузыря, особенно при камнеобразовании. Мы назначаем его преимущественно после еды по 10 капель на 0,5 стакана теплой воды. Очень важно употреблять его длительно, не менее 3 лет подряд, делая время от времени перерывы на две недели. Особенно быстро он помогает при острых желчнокаменных заболеваниях чаще у блондинов и блондинок, склонных к выраженным печеночным коликам. Больным брюнетам меланхолического типа он помогает медленнее. Вылечив более 500 пациентов, страдающих желчнокаменной болезнью, и ни разу не прибегнув при этом к хирургическому вмешательству, думаю, что имею право подтвердить не только эффективность рекомендуемого препарата, но и эффективность метода, который позволил его открыть.
Олово.
Действие «Stannum» происходит в организме как раз между «Solve» и «Coagula», между потерей формы и чрезмерным отвердением. Это металл Юпитера в одно и то же время кристаллический и гибкий; он пластицирует мягкие части организма, которые и моделирует сам (в противоположность свинцу, влияющему на минеральные элементы и скелет). Stannum предохраняет как от излишнего размягчения, так и от излишнего затвердения, препятствуя образованию деформаций. Транссудаты в серозных оболочках мы лечим с помощью Stannum совместно с Bryonia (например, Bryonia D6/Stannum D10) подкожными инъекциями ближе к месту патологии, а также per os в виде капель. Мы используем его в виде мази, втирая в область печени при циррозе и асците (Stannum 0,4% ungt). Действие Stannum усиливается и осуществляется более целенаправленно при динамизации его через растения. Cichorium Stanno cultum 0,1 % будет более показан при острых нарушениях теплового процесса печени, Taraxacum Stanno cultum 0,1% предпочтительнее при дегенеративных и хронических процессах («холодных»).
Мы охарактеризовали далеко не все патологии печени. Приведенное выше описание типичных болезней должно служить нам нитью Ариадны, позволяющей найти терапевтическое решение в каждом конкретном случае. Часто диагностику затрудняет вялое течение печеночной патологии. Исключая печеночные колики, являющиеся в действительности симптоматикой желчного пузыря, мы почти не можем говорить о боли в печени. Поэтому нередко можно выявить тяжелые заболевания печени, развивавшиеся годами, но ничем себя не проявлявшими и поэтому не привлекавшими внимание больного. Следовательно, особенно важно знать «психическую» симптоматику данного органа.
Печень и темперамент.
«Человек-печень» — это тот субъект, у которого эфирное тело с его водным организмом доминирует, и тогда он может быть отнесен к лимфатическому или флегматическому темпераменту. Он добродушен и настолько комфортно чувствует себя в своей коже, как если бы он был в теплой ванне. Ему свойственна вялость — качество, присущее жидкостям, но и способность самопроизвольно возвращаться в положение равновесия. Как правило, он склонен к некоторой полноте, но в то же время производит впечатление эластичности, гибкости. Походка его медлительна, размеренна, но не тяжелая.
Страх жизни.
В случаях, когда печень не способна больше нормально выполнять роль инструмента души, эти характеристики имеют тенденцию усиливаться и изменяться. Добродушие трансформируется в слабость ума, медлительность — в депрессию. Больного начинают одолевать навязчивая идея о возможности потерять свое имущество, он начинает бояться жизни и потрясений, которые судьба ему может преподнести. Печень — орган «жизни» — в силу своей дисфункции порождает страх перед жизнью, который может проявиться, к примеру, в боязни оказаться без денег или что с близкими может что-то случиться. Все, что может принести будущее, становится объектом беспокойства. Больные склонны к упрямству, спорам по пустякам. Самым типичным расстройством бесспорно является депрессия. Больные с подобными расстройствами не в состоянии выполнить самые элементарные задачи, кажущиеся им непреодолимыми.
Печеночный психоз...
В конце концов такие пациенты впадают в полное безволие и бездействие. Во второй главе мы уже рассматривали связь воли с метаболизмом. В данной ситуации печень становится причиной этих расстройств. В одной из своих лекций Р. Штейнер[28]
связал энергию воли с резорбцией желчи в тонком кишечнике. Слишком интенсивная резорбция может нас воспламенять, побуждать к действию, недостаточная, напротив, делает нас равнодушными, бесчувственными. Так при желтухе, когда желчь проникает в кровь, и резорбция практически подавлена, мы чувствуем непреодолимую усталость. В тех случаях, когда резорбция становится слишком интенсивной, желание действовать может перерасти в манию. Этот симптом чередуется с депрессией при маниакально-депрессивном психозе.
Люди с лимфатическим темпераментом хотя и предрасположены по преимуществу к этим нарушениям, не являются какой-либо исключительностью. Современное питание, влекущее за собой состояние хронической печеночной недостаточности, является причиной депрессивных проявлений у большого числа больных вне зависимости от их темперамента.
...
и его лечение.
При всех описанных выше проявлениях мы прежде всего назначаем терапию печени и преимущественно используем Taraxacum Stanno cultum Dl /Hepar bovis D4 при депрессиях и Cichorium Stanno cultum Dl/Hepar bovis D4 в случаях маниакального состояния.
Если это возможно, я бы советовал заменить Hepar bovis на Hepar delphini. Чрезмерная кожная чувствительность дельфинов позволяет предположить у них особую конституцию печени, поскольку существует полярность между печенью и кожей.
Для стимуляции желчно-секреторной функции нужно подумать о железе в форме Chelidonium Ferro cultum 0,1% (Dl) в подкожных инъекциях, в каплях или в форме мази Ferri 0,4% ungt. Инъекции и втирания должны производиться в области желчного пузыря.
ГЛАВА ДВЕНАДЦАТАЯ
Почки
Неполный баланс.
Физиология в деталях изучила выделительную функцию почки. Она дает точные сведения об объеме циркулирующей крови, о пропорции между содержанием кислорода в почечных артериях и венах, об энергии, расходуемой на процесс выделения, о выравнивании осмотического давления, о количестве калорий, уносимых кровяным потоком. Если подвести энергетический баланс всех этих процессов, то можно заметить, что часть энергии исчезает. Энергетический баланс в почках отрицательный. Можно сделать вывод, что в почках помимо процессов выделения происходят и какие-то другие процессы.
Астральный орган.
В 1920 г. Р. Штейнер[29]
впервые привлек внимание ко второй функции почек, не менее важной, чем выделение: почки преобразуют питательные субстанции, поступающие из пищеварительного тракта, насыщают их астральными силами, подобно тому, как печень насыщает эти субстанции эфирными силами. Вообще, если какой-либо орган имеет некую внешнюю функцию, то в противовес он выполняет также и некую внутреннюю функцию. В случае почек эта внутренняя функция состоит в «астрализации» питательных веществ, т. е. в преобразовании их в «субстанцию, способную служить для ощущения». Кроме того мы найдем тесные связи между почками, астральным телом и его физической опорой — воздушным или газообразным элементом в человеческом организме.
Как мы видели, процессы выделения находятся под влиянием астрального тела. С другой стороны, высокое потребление кислорода, чувствительность почек к кислородному голоданию, неспособность к регенерации роднит их, скорее, с нервной тканью и, в целом, с нервной системой, являющейся инструментом астрального тела. Это сходство существует даже у эмбриона при появлении у него первых зачатков почечной системы. Страх как астральное проявление отзывается в почках, провоцируя поллакурию. Наконец, интересные данные приводятся в ветеринарии о том, что лошадь, существо в высшей степени нервное и одно из самых умных в животном мире, особенно подвержена заболеваниям почек и коликам. Когда видим ее скачущей, с развивающейся на ветру гривой, особенно хорошо понимаешь тесные связи этого животного с первоэлементом воздуха. Заметим так же, что секреция почек зависит от атмосферного давления. И, наконец, часто отмечаемый метеоризм при почечной патологии является еще одним фактором, который позволяет рассматривать почки как «воздушный орган».
Артериальный орган.
На уровне почек воздушный элемент обнаруживается только в комбинированной (связанной) форме. Почка — преимущественно артериальный орган; кровь почечной вены содержит мало углекислоты и сохраняет ярко-красный цвет живой артериальной крови, в противоположность тому, что мы наблюдаем в печени, которая, как мы помним, в основном является органом венозным.
Связь кислорода с кровью хорошо показывает, что на этом уровне астральное тело, для которого кислород является носителем, действует в сочетании с жидким элементом через эфирное тело, обуславливая процессы переработки (см. гл. 4). Выделительная функция, напротив, предполагает непосредственное участие астрального тела, динамическое действие из нейросенсорной области.
Очеловечивание («гуманизация») белков.
Когда мы обращаемся к процессам построения, то преимущественно сталкиваемся с протеинами (аминокислотами). Хотя белки существуют и в растительном мире, все же они представляют собой скорее животную субстанцию, т. е. субстанцию, способную принимать отпечатки астрального тела, обеспечивающую чувствительность и подвижность. В пищеварительном тракте питательные вещества полностью лишаются присущих им чуждых человеческому организму природных эфирных и астральных сил и, начиная с тканей стенок кишечника, вновь начинают пропитываться астральностью, теперь уже собственно человеческой, и только в почках процесс «гуманизации» субстанций находит свое завершение. Выделение мочи, в конечном счете, является полярным этому структурирующему, созидающему процессу, а выделяется, собственно, только то, что не может быть больше использовано астральным телом и «Я» при синтезе человеческого белка.
Почечное излучение.
Этому процессу ассимиляции Р. Штейнер дал название «почечное излучение», т. к. он локализован не только в почках; последние — только отправная точка, из которой он распространяется по всему организму, определяя различные проявления, которые мы кратко обсудим ниже. Подводя итог, можно сказать, что «почечное излучение» — результат опосредованного действия астрального тела, индуцирующего через эфирное тело процессы ассимиляции, тогда как выделение — результат прямого влияния астрального тела, аналогичного процессам нейро-сенсорной деятельности. Далее мы увидим, что происходит, если «почечное излучение» слишком сильное или, наоборот, слишком слабое.
Недостаточность почечного излучения...
Результатом слабого почечного излучения является недостаточность обработки альбуминов, что часто наблюдается у больных лептосомной конституции. Недостаточно «астрализованные» альбумины ведут себя как инородные тела и в качестве таковых выбрасываются почками. Часто у таких больных слабость астрального тела проявляется не только на нижнем, но и на верхнем полюсе. Обычно это недостаточно инкарнированные люди, у которых весь верхний полюс — астральное тело и «Я» — весьма неохотно завладевает нижним — физически-эфирным. Следствием этого, как мы знаем, является недостаточность переработки альбуминов в пищеварительном тракте, и в кровь попадают белки, сохранившие внечеловеческие характеристики и выделяющиеся почками. Эти два фактора — недостаточная астрализация в почках и неполноценное расщепление в пищеварительном тракте — в той или иной степени сочетаются с альбуминурией. Мы найдем эти же причины при альбу-минуриях перенапряжения, ортостазе, липоидном нефрозе и т.д. Такие симптомы, как гипотония, замедление дыхательного ритма, нарушение переваривания углеводов, сопровождающиеся отрыжкой и метеоризмом входят в орнамент проявлений слишком слабого «почечного излучения».
...
и его лечение.
Все эти симптомы указывают на необходимость назначения железа — металла воплощения, который обяжет верхний полюс активнее овладевать нижним. Мы назначаем этот металл в форме Ferrum sidereum D10 / Pancreas D6 aa, в тритурации, каплях (3 раза в день) или инъекциях (по 1 мл подкожно от двух раз в неделю до ежедневной инъекции). Нужно подумать о мышьяке и адекватном использовании его в форме Levico D3.
Нарушения экскреции...
Расстройства выделения: олигурия, анурия, задержка солей — все это признаки недостаточности действия астрального тела в его нейро-сенсорной динамике. Часто они возникают на фоне острого нефрита как следствие воспаления, являющегося отражением преобладания метаболического полюса.
...
и их лечение.
В этом случае необходимо восстановить гармоничные взаимоотношения между двумя процессами на уровне почек. Мы используем хвощ полевой (Equisetum arvense). В этом растении, богатом кремнием и серой, практически не имеющем ни корней, ни цветов, «солевой» процесс корней и «сульфурический» процесс цветов взаимопроникают друг в друга в стебле, фактически представляющим собой все растение. Стебель имеет «воздушную» структуру, ориентирующую нас на «воздушный» орган человека, каковым и является почка. Хвощ служит для почек своего рода моделью, гармонизирующим фактором между динамикой метаболизма («сульфурического» по своей природе) и нейро-сенсорной динамикой («солевой»). Хвощ используется при заболеваниях почек независимо от их симптоматики. Мы выписываем Equisetum D6 (в случае необходимости, при застарелых формах в D15) per os или в подкожных инъекциях. При анурии мы накладываем теплые компрессы с отваром хвоща на область почек (в этом случае также хорошо ставить медицинские банки). В застарелых формах нужно также прописать Carbo vegetabilis D15 или Garbo Equiseti D15 вместе с Pancreas D6 в инъекциях (или каплях) (см. также т. II, гл. 28).
Избыток почечного излучения.
Когда излучение почек становится слишком сильным, процесс переработки белков приобретает гипертрофированный характер и не уравновешивается процессом структуризации, идущим из верхнего полюса. В этом случае мы оказываемся в ситуации, вышеописанной истерии (гл. 4). Но происходит и другое — действуя слишком интенсивно на полюс метаболизма, астральное тело теряет способность гармонично влиять на физическое через эфирное, оно стремится обойтись без посредничества последнего и вытесняет его. Это приводит к судорогам, спазмам, гипертензии, гнилостным образованиям из белка, запорам, метеоризму. Т. е. налицо симптоматика симпатикотонии. Особенно подобным расстройствам подвержены пациенты «пикнического» типа. Истинное поражение почек такого типа будет носить артериальный характер, то есть склоняться к гломерулонефритам.
Проблема соли.
С патологией почек тесно связана проблема соли, и ее роли в организме. Растения содержат соль (NaCl) в малых количествах, либо вообще ее не содержат, но зато они богаты калием. Последний, так же как и другие щелочные металлы, свидетельствует об активности растительных, то есть эфирных сил. Хлорид натрия, напротив, элемент характерный для «одушевленных» существ, иначе говоря, для носителей астрального тела. Человек и животное не могут обойтись без соли. Содержание соли в организме почти всегда стабильно и не зависит от внешних условий и характера пищи. Хлорид натрия должен быть поставлен в соотношение с астральным телом. Без соли последнее не могло бы действовать на эфирное тело и его водный организм. Соль, открывая путь астральному, пробуждает сознание. Если же над астральным начинает преобладать эфирное тело и его водный организм, то сознание постепенно тускнеет. Так дети, вскормленные коровьим молоком, содержание соли в котором выше, чем в женском, более возбудимы по сравнению с вскармливаемыми молоком человека (см. гл. 7). Склонность к соленому, в принципе, характеризует сильнейшее преобладание «верхнего полюса» над «нижним». Уменьшение потребления соли притормаживает слишком интенсивное действие астрального тела. Следовательно, в случае недостаточного действия астрального тела бессолевая диета нецелесообразна. В связи с изложенным становится очевидным, что необходимо четкое понимание, предельная внимательность и разграничение различных процессов при заболеваниях почек.
Отеки.
Часто отеки связаны с задержкой солей, т.е. иногда почки утрачивают или уменьшают способность выделять поваренную соль, тогда «водный организм», присваивая себе чужую функцию, пытается сам избавиться от соли при помощи осаждений и отложений. Однако не все отеки вызываются этой причиной. Часто они являются выражением, своего рода, «лени» водного организма, благодаря чему происходит застой жидкости.
Лечение избытка почечного излучения.
Лечение слишком сильного «излучения почек», заключается в уменьшении действия астрального тела, в перемещении области его действия из одного полюса к другому. По этому поводу мы уже говорили о роли Nicotiana tabacum (см. гл. 10). Другим медикаментом при подобных расстройствах является Carbo vegetabilis. При обугливании из растения полностью устраняется то, что связано с жизнью, — в угле сохраняется лишь ее носитель. Способность угля к горению и абсорбции газов указывает на его связи с воздушным элементом. Carbo демонстрируя нам образ дыхательного процесса, помогает астральному телу брать на себя дыхательные процессы в организме, например, в случае лечения метеоризма. При заболеваниях почек мы преимущественно используем Carbo D15. Заметим также, что инъекционная форма Carbo D30 обычно помогает купировать астматический приступ почечного происхождения. Если же мы используем не просто принятый в классической гомеопатии «буковый уголь», но Carbo Equiseti (то есть «уголь хвоща»), то мы направляем действие Carbo преимущественно на почки.
Важнейшим медикаментом, предложенным Р. Штейнером для лечения слишком интенсивного «почечного излучения», является корень ромашки лекарственной. Корень этого растения представляет прообраз солевого полюса и таким образом связан с нейро-сенсорной системой человека, на которую он оказывает чрезвычайно сильное структурирующее воздействие. (Цветок, напротив, действует преимущественно на метаболический полюс.) С другой стороны корень ромашки аптечной богат щелочами, что ориентирует его действие на водный организм. Следовательно, мы можем сказать, что корень этого растения способен структурировать водный организм. Таким образом, мы будем назначать его во всех случаях, когда потребуется гармонизировать действие астрального тела на эфирное. Речь здесь идет о медикаменте с весьма обширным радиусом действия. Мы назначаем Chamomilla radix в D6, Dl 5 или D30 в зависимости от области с доминирующей симптоматикой. При этом нужно помнить, что низкие разведения соответствуют метаболическому полюсу. Напомним, что корень ромашки аптечной успокаивает возбужденных больных — мы уже видели, что он используется для лечения бессонницы у детей в D4.
Хронические нефриты...
Избыток деятельности астрального тела с его нейро-сенсорной динамикой в области почек становится причиной таких заболеваний, как хронические нефриты и нефросклероз. Эти процессы часто протекают параллельно с другими и могут развиваться в течение ряда лет. Почки, в противоположность печени, не способны к регенерации, и это обусловливает неблагоприятный прогноз их патологии.
...
и их лечение.
В данном случае терапия должна быть направлена на усиление противоположной динамики, а именно на стимуляцию процессов ассимиляции. С этой целью мы используем медь. Можно употребить ее оксид: Cuprit D4, а также вегетабилизированную форму меди: Melissa Cupro culta D2-D3. Chamomilla Cupro culta D2-D3 назначается при спастических состояниях. Оба эти препарата могут использоваться либо в форме для подкожных инъекций, либо per os. Простым и эффективным способом использования меди является нанесение ее в виде мази на уровне почек (в косто-вертебральный угол). Можно выписать только Cuprum 0,4% ungt или в соединении с Nicotiana: Cuprum 0,4% / Nicotiana D6 аа ungt. Конечно же не забудем об Equisetum, у которого можно усилить составляющий его «сульфурический» принцип, прописав Equisetum cum sulfure tostum D4 trit или в D1O Dil.
Надпочечники.
Обычно почечную патологию отделяют от патологии надпочечников. В действительности, если мы вспомним все, что сказано по поводу почек, мы обнаружим много аналогичного и при заболеваниях надпочечников. Пониженное давление и астения при надпочечниковой недостаточности ассоциируется с симптоматикой слишком слабого «почечного излучения». Напротив, его избыток провоцирует повышение кровяного давления и расстройства циркуляции, что также отмечается и при гиперфункции надпочечников. Все перечисленные симптомы являются, в конечном счете, отображением той же дисрегуляции в действии астрального тела, и при лечении патологии надпочечников используется терапия, родственная лечению заболеваний почек.
Инфекционные процессы.
Необходимо сказать несколько слов о лечении инфекционных процессов в мочевой системе, хотя они не относятся собственно к почечной патологии.
...
и их лечение.
При паранефритах мы используем Erysidoron 1 и 2 (Apis D3 / Belladonna D3 и Carbo betulae 5% / Sulfur D2), чередуя № 1 и №2, как вообще при многих глубоких воспалительных процессах (см. гл. 6). Мы назначаем также в виде инъекций (или капель) Echinacea D3 и Argentum D20.
При пиелитах и циститах, почти всегда провоцируемых переохлаждением, нужно прежде всего делать компрессы с теплым раствором настоя тысячелистника. Еще лучше назначить сидячую ванну с тем же настоем. Помимо этого назначают ряд препаратов: Cantharis D4, органопрепарат Vesica urinaria D6 или органопрепарат Ren D6, Equisetum D3, Achillea D3 или препарат Cantharis D10/Equisetum D6 в каплях или в инъекционной форме. Необходимость использовать препараты «Веле-да», а не препараты простых гомеопатических фирм, связана с тем, что в эффективности гомеопатизирован-ных лекарственных веществ решающую роль играет сам процесс производства. Последний из указанных препаратов назначают по 7—10 капель от трех до шести раз в день per os, либо в инъекционной форме, и тогда требуются подкожные инъекции в низ живота два-три раза в неделю. Необходимо использовать его регулярно, как минимум в течение 10 дней. Эпизодическое применение не дает никаких результатов. Cantharis D3 в инъекциях достаточно эффективная мера, если препарат назначают в начале лечения цистита. Также нужно подумать об Argentum nitricum D20.
Почечно-каменная болезнь...
Заболеванием противоположным инфекционному поражению представляется почечный литиаз, при котором процессы минерализации, исходящие из верхнего полюса, доходят до органов, где они нежелательны. Состав камней значения не имеет, организм торопится использовать любые материалы, находящиеся в его распоряжении на данный момент (ураты, фосфаты, оксалаты, карбонаты). Здесь важно то место, где происходит процесс неорганической минерализации. Нередко можно наблюдать это заболевание у маленьких детей, оно развивается при передозировках витамина D и может окончиться летальным исходом. Интересно отметить, что больные почечно-каменной болезнью принадлежат к одному типу. Это встречается так часто, что порой заподозрить именно такой характер почечной патологии можно при первом взгляде на пациента.
...
и ее лечение.
Медикамент, предложенный Р. Штейнером для лечения этого заболевания, Renodoron состоит из кремния и известковых образований из тела речного рака (Lapides cancrorum D15 / Silicea D15 aa). В своей коллоидной форме кремний приближается к органическому миру и действует на водный организм. Lapides cancrorum — известковое образование, формирующееся в области желудка у рака в период линьки. Эти «камни» рак использует для быстрой минерализации своего нового панцыря. Вот почему они могут быть использованы в качестве лечебного средства при терапии литиаза (поскольку процесс образования и растворения [использования] «рачьих камней» является для почек моделью правильного обращения с минеральным). Благодаря Renodoron я никогда не прибегал к хирургическому вмешательству у больных почечно-каменной болезнью.
В случае острого приступа прежде всего необходимо поставить три медицинские банки или на поясничную область, или на область проекции мочеточника в зависимости от места локализации боли. Часто столь простое действие помогает облегчить кризис в течение четверти часа. Можно использовать также очень горячие компрессы. Иногда необходимо сделать подкожную инъекцию Belladonna D3/Oxalis D3 аа в наиболее болезненную точку. Эти меры почти всегда заменяют применение опиатов. Если есть сомнение в том, что именно обусловливает боль — почечная колика или люмбаго, — нужно вспомнить, что при люмбаго больной ищет облегчения в неподвижности, а при почечной колике — в движении.
Почки и эмоциональная жизнь.
Ассимиляция и выделение — два процесса, совершающиеся в почках, представляют собой своего рода ритм, дыхание. Эти две стороны почечной деятельности также являются отражением, метаморфозой основных элементов душевной жизни — симпатии и антипатии. Мы уже встречались с этой связью душевного и телесного в случае легочного дыхания (см. гл. 1). Вдох и выдох мы поставили тогда в па-ралелль с симпатией и антипатией. Там эта связь для нас более очевидна, поскольку она легче осознаваема. В случае же почечной деятельности, протекающей органически глубже, мы не способны сегодня осознавать этот более глубокий, более «органный» ритм телесно-душевного дыхания. Иными словами, почки связаны с глубинными явлениями эмоциональной жизни, проходящими для души подсознательно. Таким образом, страхи почечных больных следует понимать как соматически обусловленные или «органные страхи». Такие больные очень боятся, например, якобы имеющихся у них, но не выявленных заболеваний; причина канцерофобии у людей такого типа может быть результатом почечной патологии. Как чисто душевные жесты симпатия и антипатия направлены во вне. Их телесный полюс, как приятие или неприятие тонко-субстанциального глубоко внутри, на уровне почек,— отзывается на основном состоянии нашей души, которое мы называем нашим настроением.
Почечный темперамент.
Почки — воздушный орган, поэтому в настроении больного почечной патологией всегда прослеживается лабильность воздушного элемента. Такой пациент эмоционально подвижен и изменчив, непостоянен и даже слегка легкомыслен. Он как флюгер на ветру — склонен «порхать». Он легко впадает во внутреннюю противоречивость, часто не способен принять какое-либо решение, и если это состояние усугубляется и существует длительно, то возможно развитие шизоидных состояний и собственно шизофрении. Однако подобная подвижность имеет не только недостатки. В мышлении она способствует живости ума в противоположность фиксированному мышлению меланхоликов. Тем не менее такой интеллект остается холодным, бесстрастным, и если в нем что-то и «загорится», то это чаще лишь мимолетная вспышка, фейерверк, что опять же является полной противоположностью «идеям-фикс» меланхоликов. Сангвинический, или нервный, темперамент телесно обнаруживает себя в высоком грациозном строении, треугольном лице с острым углом книзу. Моментами он и вправду производит впечатление воздушности, и тогда его походка напоминает танец. Но быстрая утомляемость скоро приведет его к апатии. Мы видим такого пациента легко идущим по жизни, что называется, «нос по ветру», однако вдруг он как бы «проваливается» в нерешительность и бессилие, тогда он может неделями сидеть дома, в кресле.
Шизофрения.
«Неглубокие» повреждения почек, нарушающие не столько их телесные, сколько душевные функции, при длительном существовании могут стать причиной серьезных психических расстройств. Тогда относительно неопасная шизоидность людей нервного темперамента может превратиться просто в шизофрению. Расстройство ассимиляции в почках — в физическом плане, — перерастает в неспособность душевно «переварить», усваивать некоторые события. И в таком случае не белки, а душевные события и состояния становятся чужеродным элементом для собственной души. Впрочем, у таких больных нередко можно обнаружить диспротеинемию. Итак, «Я» не контролирует более центр души, и все начинает вращаться, поначалу с четкой логикой, вокруг этих «психических паразитов», представляющих собой непереваренные душой события. Перед нами заболевание, при котором астральное тело господствует в человеке вместо «Я», в ущерб «Я», становящегося неспособным управлять психическим содержанием. Такие больные почти всегда очень умны, интеллектуальны, рассуждения их логичны, но сконцентрированы вокруг одной «главной» идеи, которая на самом деле уже не имеет отношения к действительности (часто со временем она изменяется). Их анамнез часто свидетельствует о раннем интеллектуальном развитии, сочетавшимся с преждевременным физическим и моральным старением. У нас еще будет возможность поговорить об этом в главе, посвященной раку.
Лечение почечных психозов.
Подобным больным мы прежде всего назначим медь — металл ассимиляции в форме Melissa Cupro culta D2 / Ren D3 aa в подкожных инъекциях (в косто-вертебральный угол) или в каплях. В случае судорог, спазмов, гипертензии указанный препарат заменяют на Chamomilla Cupro culta D2 / Ren D3 aa. Как и при других почечных заболеваниях, мы подумаем об Equisetum и о Carbo. Можно, например, выписать Carbo D30 / Equisetum D20 (смешать в одном шприце) в подкожных инъекциях и еще Carbo equiseti D15. Регулярное применение мази Cuprum 0,4% / Nicotiana D6 часто бывает очень эффективно. Наконец, постараемся таким больным добавить немного «тяжести», назначив им Plumbum также в форме мази (Plumbum 0,4% ungt), которую нужно наносить на область селезенки. Если вы хотите направить действие меди на нервную систему, можно использовать природный силикат меди — диоптаз (Cuprum silicicum nat.), как правило, в высоких потенциях. Не нужно забывать о том, что таким больным в принципе не хватает тепла. Следовательно, нужно следить за тем, чтобы они были тепло одеты и назначать, в случае необходимости, Apis.
ГЛАВА ТРИНАДЦАТАЯ
Сердце
Сердце — не только центр ритмической системы, но и всего человеческого существа. Его нельзя рассматривать изолированно, так как оно составляет одно целое со всей системой кровообращения, включающей все артерии, вены, капилляры и саму кровь.
Роль сердца в циркуляции.
Мы уже видели ранее (см. гл. 2), что сердце не следует уподоблять насосу. Это ложное представление настолько укоренилось в нас с детства, что нам трудно себе представить, что не сердце приводит кровь в движение, а наоборот, именно кровь заставляет сердце работать. Однако не только опыты Мантойфеля, о которых мы уже говорили, но и исследования Старлинга подтверждают это. Последние заключаются в подключении к сердечно-легочному кругу системы трубочек, моделирующей большой круг кровообращения. Как только кровь приходит в движение по этой системе и достигает сердца, сердце начинает сокращаться. Причем происходит это и после перерыва в несколько часов, и даже в несколько дней. Главенство крови, таким образом, совершенно очевидно.
 Кровь и нервы.
Благодаря своему теплу, подвижности, роли в процессах обмена и, наконец, выраженной способности к регенерации (эритроцит живет лишь около месяца), кровь принадлежит к полюсу метаболизма и полярна нейро-сенсорной системе. Сердце же является местом встречи этих двух полюсов, оно их уравновешивает, гармонизирует. Эксперимент Старлинга позволяет увидеть и кое-что другое: когда к сердцу направлен кровяной поток, то в первой фазе оно реагирует ростом амплитуды сокращений (т. е. возрастает объем сердечного выброса), а во второй фазе — учащением сердечного ритма. Благодаря этим двум реакциям увеличивается минутный объем. Мы не осознаем изменений дебета крови в сердце, но способны удивительным образом осознавать учащение ритма; важно понять, что это последнее происходит из-за увеличения венозного притока, то есть вследствие каких-либо изменений в метаболизме.
Рис. 4. А — диастола;
Б — систола
Диастола и систола.
Поступление венозной крови в сердце провоцирует диастолу. За этим центробежным процессом дилятации (расширения) следует нейро-сен-сорная центростремительная реакция сокращения (систола). В диастоле сердце подчиняется силам метаболического полюса — оно округляется, теряя свою форму; напротив, в систоле силы нейро-сенсорного полюса сжимают его, возвращая ему его исходную форму. Таким образом диастола и систола выражают два полярных процесса. В норме они ритмически сменяют друг друга. Но у людей разных типов преобладание диастолы и систолы выражается вплоть до физической формы сердца: у пикнического типа, с присущим ему преобладанием метаболического полюса, сердце более округло, у нейро-сенсорного — «лептосомного» — оно вытянуто.
Вариации ритма.
Если увеличение дебета и ускорение ритма отражают интенсификацию метаболических процессов, что наблюдается после приема пищи или во время лихорадки, то его замедление, напротив, отражает доминирование нейро-сенсорных процессов. Это можно наблюдать при раздражении блуждающего нерва, паракордиальном рефлексе, менингизме, энцефалитах и при ряде других заболеваний, сопровождающихся уменьшением метаболизма. Мы констатируем также замедление ритма во время острой боли, которая, как мы знаем, обусловлена преобладанием процессов сознания. Напротив, понижение активности нейро-сенсорного полюса приводит к ускорению ритма, что мы можем наблюдать при бульварном параличе, некоторых полиневритах, при ряде интоксикаций, например, при отравлении белладонной.
Вариации ритма на протяжении человеческой жизни отражают ту же тенденцию: у ребенка с его интенсивным метаболизмом пульс учащен, тогда как у старика замедлен.
Пульс и дыхание.
В норме сердце сокращается 72 раза в минуту. Если частота дыханий составляет 18 в одну минуту, то мы насчитываем на 4 сердечных цикла один дыхательный. Это соотношение 4/1 имеет тенденцию к увеличению у людей пикнического типа до 5/1 и к уменьшению до 3,5/1 у людей лептосомного типа. Этот тест нужно всегда проводить при осмотре больного, поскольку изменение этого соотношения свидетельствует о попытке сердца восстановить утраченное равновесие между «полюсами» и указывает на трудности, которые сердце встречает при выполнении этой задачи. Любое отклонение вверх или вниз является ранним и очень тонким симптомом, который не следует упускать из виду.
Генез кордиальных нарушений.
Таким образом, сердце — место встречи основных полярных сил организма, где эти полярности компенсируются и уравновешиваются. Сама по себе ритмическая система заболеть не может, ее сущностью является гармония, следовательно, здоровье. Напротив, ее главный физический орган — сердце — может повреждаться, если требуемые усилия для компенсации превышают его возможности, особенно, если эти усилия запрашиваются от него постоянно. Тем самым заболевания сердца по сути отражают доминирование одного из полюсов. Они вторичны и подчас развиваются в течение многих лет, поскольку сердце всегда стремится установить гармонию. Исследование повреждений сердца дает относительно мало информации о самих болезненных процессах. Необходимо изучать патологию во времени, используя углубленный анамнез. Только понимание самих болезненных процессов, приводящих к поражению сердца, становится для врача правильной предпосылкой профилактики и лечения сердечных заболеваний.
Болезни преобладания метаболического полюса.
Преимущественное давление со стороны метаболизма со временем предрасполагает к воспалительным процессам, но это не объясняет, почему альтерация локализуется в сердце. Очевидно, эта локализация никогда не является первичной. Часто она представляет собой следствие острого суставного ревматизма, скарлатины, дифтерийной ангины и т.д. Нередко можно обнаружить латентную инфекцию, например, в зубах, как выражение метаболического процесса, оказавшегося «не на своем месте» и который не могут преодолеть структурирующие силы верхнего полюса.
Пример.
В качестве примера мы детально рассмотрим вариант такого процесса, который как нить Ариадны поможет нам пройти сквозь лабиринт отдельно взятых патологических проявлений. Представим больного с преобладанием метаболического полюса. У него постоянно происходит интенсивнейшая переработка белков, и верхний полюс структурирует их не без некоторых трудностей. При любой внутренней конфликтной ситуации (психического ли, соматического ли генеза) верхний полюс дополнительно напрягается, процессы структурирования тормозятся, и непереработанные белки начинают переполнять организм, сохраняя свойства чужеродных тел. Организм реагирует воспалительным процессом, например, ангиной, и стремится «переработать» эти белки. (К слову об ангине: для д-ра В. фон Вайцзекерса ангина всегда результат некой непреодоленной конфликтной ситуации. Следовательно, полное лечение должно быть направлено: 1) на излечение самой ангины; 2) на гармонизацию организма; 3) на помощь больному для выхода из конфликтной ситуации). Если организму удается переработать эти оставшиеся невостребованными, чуждыми белки, то все возвращается на свои места. Но бывает и так, что эта «переработка» осуществится неполностью, и тогда «аномальные» белки продолжат свое существование. Эти неполностью структурированные белки откладываются в интерстиции. Сердце, утомленное постоянными усилиями по гармонизации, становится удобным местом для отложения таких белков, которые в свою очередь предрасполагают к инфекции, поскольку такие неполностью «очеловеченные» белки — изысканное лакомство для бактерий. Таким образом, сердце может стать очагом инфекционного воспалительного процесса, ведущего к деструкции органа, к потере его нормальной формы. Именно это мы и встречаем при эндокардитах, миокардитах и перикардитах. Анатомические и функциональные проявления этих заболеваний хорошо известны.
Вместе с инфекционными заболеваниями сердца следует рассмотреть патологический процесс, прямо связанный с уравновешивающей, гармонизирующей функцией сердца. При преобладании метаболического полюса интенсивный поток крови «снизу» имеет тенденцию перегружать сердце, переполнять его. Диастола, в некотором смысле, становится сильнее систолы, формирующейся под воздействием структурирующих сил верхнего полюса. Со временем сердце начинает уступать этому натиску обмена веществ и дилятируется. Функционально этот процесс может усиливаться вплоть до асистолии и так же, как и при инфекционных процессах, приводить к деформированию органа. Обычно такое развитие патологии протекает медленно, прерывисто и скрытно. Преобладание полюса метаболизма над нейро-сенсор-ным ведет к торможению процессов сознания, поэтому эти заболевания протекают без болевой симптоматики. Этим можно объяснить частоту внезапных смертей среди таких пациентов. А порой достаточно было бы лишь внимательно расспросить их, чтобы тотчас же обнаружить небольшую одышку или быструю утомляемость, которым ни сам больной, ни врачи не придавали особого значения.
Терапия заболеваний сердца,
связанных с преобладанием метаболизма. Итак, наверно уже ясно, что терапия таких заболеваний сердца заключается прежде всего в профилактике. При остром суставном ревматизме, скарлатине, ангинах и вообще при всех инфекционных заболеваниях необходимо разгрузить метаболический полюс, другими словами, назначить больному диету и постельный режим. Соблюдение этих условий требуется в течение нескольких дней и после падения температуры, конечно, смотря по течению болезни. Иногда бывает трудно заставить выполнять эти меры детей, но здесь необходимо привлечь весь свой врачебный талант и авторитет. Следует отменить употребление животных белков (мяса, яиц) и соли в течение всего периода выздоровления. Идеальными продуктами для «выхода из болезни» являются яблочный компот и рис.
Поскольку мышечная деятельность является активным метаболическим процессом, роль постельного режима очевидна. Но нужно также избегать слишком интенсивной работы нейро-сенсорного полюса до момента, когда он вновь сможет выполнять свои обычные задачи, следовательно, не рекомендуется смотреть телевизор, слушать радио и даже читать. Госпитализация, удаляющая больного из его обычного окружения и повседневных забот, уже одним этим играет иногда спасительную роль. Однако лишь при качественном уходе за пациентом, иначе госпитализация становится источником нервной нагрузки. При острых заболеваниях изоляция — неукоснительное правило; если же заболевание хроническое, то пребывание в палате с другими, конечно бла-гонастроенными пациентами может способствовать выздоровлению. При всех инфекицонных заболеваниях, представляющих угрозу для сердца, особенно при высокой температуре, необходимо с профилактической целью назначить препарат Primula / Onopordon comp, (в Германии, Швейцарии и ряде других стран он известен под своим изначальным названием «Cardiodoron»): взрослым по 7—10—15 капель 3—5 раз в день; детям — от 1 до 7 капель на прием. Отметим здесь лишь, что это препарат с огромной терапевтичеаской предисторией; он действует именно на регулирующую, уравновешивающую функцию сердца и имеет благодаря этому самое широкое применение в нашей медицине.
При инфекционных заболеваниях сердца мы используем Apis D3 / Belladonna D3 (Erysidoron 1) (взрослым по 5—7 капель на прием, детям — 1—3 капли), чередуя его с Carbo Betulae 5% / Sulfur D2 (Erysidoron 2) (взрослым по 1—2 таблетки, а детям по 0,5—1 таблетке). Здесь важен ритм чередования: например, Erysidoron 1, затем через 3 часа Erysidoron 2, в зависимости от тяжести состояния вплоть до ежечасного приема (см. также гл. 6, раздел о лечении воспалений). При подозрении на миокардит мы назначаем наперстянку (Digitalis е fol., Digestio D3 три раза в день по 5 капель). При перикардитах мы назначаем Bryonia D6 / Stannum D10 (см. также гл. 11, раздел о лечении забоелваний печени). В случаях подострого эндокардита или болезни Осслера назначается легкая растительная диета из сырых овощей и фруктов и внутривенные инъекции Аг-gentum D30 и Echinacea D3 (по 1 мл 1 раз в день попеременно). Мы используем также подкожные инъекции Aurum D10 (3 части) / Stibium D8 (2 части) и Lachesis D12 (или D15) (от 2 раз в неделю до ежедневной инъекции каждого препарата, по состоянию).
При всех сердечных заболеваниях метаболического ге-неза, в качестве основного препарата, мы используем Primula /Onopordon comp. (Cardiodoron) per os и в инъекциях, а также Aurum в низких потенциях (D10, при необходимости — D6). Мы можем также прописать вегетаби-лизированный металл — Hypericum Auro cultum D3, добавляющий к незаменимой терапии золотом тонизирующий нюанс. При сформировавшихся пороках сердца и состоянии декомпенсации целесообразно применение боярышника, отдельно как базового средства или в композиции следующего состава: Adonis Vernalis I % / Convallaria majalis 5% / Crataegus oxyacanta 2% / Scilla maritima 2% aa. Благодаря морскому луку эта композиция помогает схождению отеков.
Рассматривая растение Convallaria majalis, ландыш майский, можно увидеть, какую важную роль в его строении играет ритмическое начало. Ландыш можно назвать «музыкальным» растением: его цветки располагаются на стебле как ноты на нотной строке и часто образуют квинту (пять цветков), а иногда — октаву (целых восемь цветочков). Интересно, что тот же ритмический рисунок мы обнаружим в последовательном росте узлов корня этого растения. Если сравнить ландыш с другим, весьма похожим на него растением, с кушной (Polygonatum Adans), к тому же и растущим, как правило, рядом с ландышем, то можно увидеть, как внешние формы роста растений дают нам дополнительное знание об их лекарственных возможностях: два эти растения действительно очень похожи, однако ритмический элемент у ландыша более выражен в строении цветков, тогда как у кушны ритмическое (то есть гармонизирующее) более выражено в области корня. Иными словами, у кушны целительное ритмическое начало больше связано с силами тяжести, т. е. с элементом «земли», а в дополнение к этому надземная часть более расчленена, следовательно, более овеваема воздухом, более воздушна. Если мы вспомним, что основным белковообразующим органом, связанным с элементом «земля», являются легкие, то мы легче поймем, почему это растение охотно использовалось для лечения легочных заболеваний. В то время как ландыш майский, несущий свое целительное ритмизующее начало в цветках, связанных в большей степени с обменными процессами и с элементом «огня», терапевтически воздействует на сердце, в котором органически устоялись, то есть привели к деформации ткани, избыточные влияния обменных (метаболических) процессов.
У плеторических больных мы успешно используем Carduus ben. 10% / Paeonia off. 10% aa (no 10 капель 3 раза в день). Paeonia — пион, или «крестьянская роза», сам немного напоминает плеторическое лицо больного.
При всех заболеваниях сердца должен строго соблюдаться режим питания и жизни. Сердце гораздо сильнее испытывает перегрузки от питания, нежели от физической активности. Поэтому рекомендуется начать лечение с яблочной диеты сроком на одну неделю, а в последующие три месяца соблюдать вегетарианскую диету.
Болезни преобладания нейро-сенсорного полюса.
Когда сердце постоянно подвергается жесткому структурирующему воздействию со стороны нейро-сенсорного полюса, мы обнаруживаем гораздо более пеструю симптоматику по сравнению с той, чье возникновение обусловливалось преобладанием метаболического полюса. Здесь систола преобладает над диастолой, сосуды, в особенности коронарные артерии, склерозируются и стено-зируются, спазмы артерий нарушают циркуляцию крови. Иногда тромб — продукт чрезмерного процесса структурирования крови — полностью перекрывает просвет сосуда. Подобные процессы ведут к стенокардии, инфаркту миокарда, тромбозам.
Боль и чувство стеснения в груди, предчувствие приближающейся смерти доминируют в симптоматике этих заболеваний, что контрастирует с отсутствием болевого синдрома у больных с избытком метаболического полюса. В принципе, кардиалгии и сердечные неврозы свидетельствуют об избытке «процессов сознания» на уровне сердца. Что касается тахикардии, то они являются реакцией сердца на внезапный приток крови из нижнего полюса, и поэтому их нужно отнести, скорее всего, к заболеваниям метаболического генеза.
Важно отметить, что стенокардия и инфаркт миокарда поражают преимущественно глубоко инкарнированных больных (то есть людей, «крепко сидящих в своем теле»), людей пикнического типа с холерическим темпераментом. При этих заболеваниях играет роль не врожденное преобладание нейро-сенсорного полюса, но его чрезмерная эксплуатация, характерная для определенного образа жизни. Пример менеджеров является типичным. Здесь действительно можно говорить о «директорском синдроме». Мы найдем неопровержимые доказательства влияния образа жизни в следующем замечании Эйноса и Холмса[30]
: «Во время Корейской войны систематически практиковалось вскрытие американских солдат, погибших на полях сражений. Их средний возраст составлял 22 года. Аутопсия выявила в 77% случаев склероз коронарных сосудов, очевидно связанный с интенсивным, продолжительным и повторяющимся стрессом, которому подвергались американские солдаты. И, напротив, стенокардия и инфаркт миокарда никогда не встречаются у монахов из орденов, ведущих созерцательный образ жизни, причем вне зависимости от того, являются ли они вегетарианцами или нет».
Лечение сердечных заболеваний с преобладанием
нейро-сенсорных процессов.
Если в случаях метаболически обусловленных заболеваний сердца мы назначаем больному медикамент, приготовленный из сочных плодов, например, из ягод боярышника, то при «отверждаю-щих» заболеваниях сердца, генез которых связан нейро-сенсорным полюсом, мы будем использовать препарат, приготовленный из твердого семени плода строфанта, стимулируя, таким образом, в организме силы, противодействующие затвердению[31]
. Мы назначаем Oleum. Strophanti D3 и Aurum, но в данном случае Aurum metallicum praeparatum, в потенции D30, а при необходимости в соединении с Tabacum (другое название — Nicotiana) в разведении D10 (Р. Штейнер). Прописывая Primula Auro cultua D3, мы обращаемся к тонкой оживляющей стороне терапии золотом. Базовым медикаментом и в этих случаях является Primula/Onopordon comp. (Cardiodoron).
При стенокардии мы используем Cactus grandiflorus от Dl до D4 и Magnesium phosphoricum D3 Trit. В случае инфаркта мы обращаемся к оживляющим силам Prunus spinosa D2 до D3 в соединении с Skorodit D10 и Arnica pi. tota D10. Во время кардиалгии можно для купирования приступа и успокоения больного ввести подкожно в левую руку Arnica pl. tot. D10 + Nicotiana D10 (no 1 мл каждого в одном шприце). При тромбозах к Arnica добавляется Hirudo D4. Отметим также замечательный эффект от наносимой на сердечную область мази Aurum D5 / Oleum Hyperici 10% аа как при сердечных неврозах, так и при более серьезных заболеваниях.
Реальное излечение от этих болезней может быть достигнуто только в случае полной перемены образа жизни. Вначале, и это должно быть очевидным, полный отдых. Затем необходима спокойная жизнь, в которой погоня за материальными ценностями должна уступить место духовному развитию человека. Занятия искусством (живопись, эвритмия, музыка и т.д.) должны помочь больному найти гармонизирующий жизнь ритм.
Сердечный и солнечный ритмы.
Ритмы человека связаны с ритмами космоса. Некоторые из них находятся в прямой зависимости от внешне зримого движения планет или земли. Другие же интериоризированы, то есть стали внутренними телесными ритмами, сохраняя лишь как бы «воспоминания» о своем космическом происхождении. Таков, например, менструальный цикл, являющийся воспоминанием, отражением лунного ритма (28 дней), но уже не находящийся, как правило, в прямой связи с внешним движением луны по небосводу.
Если мы рассмотрим ритм дыхания, который равен 18 дыхательным циклам в 1 минуту, то за сутки мы получим 25.920 дыхательных циклов (18x60x24=25 920). Эта цифра равна продолжительности солнечного (платонического) года, выраженного в земных годах. Теперь, двигаясь в обратном направлении, разделим платонический год на 12 и мы получим платонический месяц, равный 2160 земным годам. Это среднее время, за которое точка весеннего равноденствия проходит одно созвездие Зодиакального круга. Разделим теперь этот платонический месяц на 30, и мы получим 72 земных года, т. е. среднюю продолжительность человеческой жизни. Она, следовательно, равна одному космическому или платоническому дню. Но 72 — это также и средняя частота сердечных сокращений в минуту. Эти, на первый взгляд, абстрактные исчисления показывают нам, сколь прямо и четко сердечный ритм человека связан с солнечным ритмом.
Аритмии.
Только неповрежденный орган может выявлять этот основополагающий ритм. Повреждения некоторых областей сердца приводят к его неспособности придерживаться этой гармонии, что обусловливает возникновение, иногда преходящей, но чаще постоянной аритмии. Аритмия всегда наводит на мысль об имеющемся, хотя и оставшемся незамеченным, серьезном повреждении, которое следует срочно искать.
Помимо собственно аритмии, существуют нарушения ритма, о которых мы уже упоминали, говоря о преобладании одного из полюсов, — брадикардия и тахикардия. Мы кратко рассмотрим три формы тахикардии, причины которых необходимо знать.
Болезнь Бувере (пароксизмальная тахикардия).
Болезнь Бувере характеризуется внезапными приступами ускорения ритма сердечных сокращений — пароксизмальной тахикардией. По внезапности начала и прекращения кризиса эта болезнь расматривается в связи с нервной системой, то есть с инструментом астрального тела. Это ведет нас к мысли о том, что в момент этого пароксизма происходит внезапное и недолгое по длительности прекращение импульсов нервной системы, астральное тело при этом как бы отделяется — в определенном месте нервной системы, например, происходит внезапный и скоропроходящий паралич блуждающего нерва. Эта лабильность астрального тела позволяет минимальным причинам вызвать кризис.
Эмоциональная тахикардия.
При эмоциональной тахикардии мы наблюдаем обратный процесс. В предыдущей главе мы связали эмоции с деятельностью почек. При эмоциональной тахикардии мы наблюдаем, как «кровь ударяет в голову»; французы говорят: «злость поднимается» (on sent la colere monter). Действительно, при эмоциональной тахикардии кровь приливает к сердцу. Однако в силу инертности кровяной массы, здесь нет спонтанности кризиса параксизмальной тахикардии, начало, и конец приступа носят более смазанный характер.
Базедова болезнь.
Достаточно близко к эмоциональной тахикардии находится тахикардия Базедовой болезни. Впрочем, это заболевание вообще нередко развивается вследствие сильных эмоциональных потрясений. Она свидетельствует о значительной активности астрального тела во всем
организме в целом, вот почему одни симптомы этого заболевания провоцируются активностью астрального тела на нижнем полюсе (тахикардия), а другие — такой же активностью астрального тела, но на верхнем полюсе (похудание). Это объясняет разнообразие клинических форм этого заболевания и некоторые противоречивые аспекты течения патологии. Все проявления, как гипер- так и гипофункции щитовидной железы показывают нам тесную связь, существующую между щитовидной железой и астральным телом.
Несколько слов о лечении Базедовой болезни.
Чтобы смягчить и гармонизировать слишком сильное внедрение астрального в физически-эфирное мы используем медь. Для блондинов Cuprit D4, для брюнетов — Cuprum sulf. nat. D4. Точнее, нужно говорить о брюнетках и блондинках, поскольку речь идет почти всегда о пациентках. Мы используем также Nicotiana (Tabacum) Dl0, и в случаях с кардиальной симптоматикой — Oleum Strophanti D3.
Центр теплового организма.
Как мы знаем из предыдущих глав, печень является полюсом тепла, а легкие — полюсом холода организма.
Сердце занимает среднее положение между этими двумя органами в силу своих уравновешивающих функций. Все тепловые процессы нашего организма немыслимы без крови и кровообращения, сердце же является центром нашего «теплового организма», без которого «Я» не смогло бы проявиться в теле человека. Как нервная система является инструментом астрального тела, так кровь (и сердце) является инструментом нашего «Я».
Сердце и элемент огня.
Так же как минеральный остаток органического — пепел — образуется в процессе горения, являющегося для органического, процессом разрушения, деградации, так и образование тепла в организме находится в прямой зависимости от действия «Я», исходящего из верхнего полюса. Вот почему раздражение некоторых центров головного мозга вызывает лихорадку. Но само по себе тепло продуцируется в нижнем полюсе и позволяет «Я» — после соединения с астральными и эфирными силами — воздействовать на кровь и, используя ее, распространять свое действие снизу на весь организм. «Я» уравновешивает, таким образом, влияние нервной системы, распространяющееся с верхнего полюса. «Я» действует не только в физическом тепле, но и в душевном огне — как энтузиазм, смелость, личная инициатива, любовь. Вот почему совершенно оправдано связывать сердце с элементом «огня».
Сердце и темперамент.
Все эти виды тепла конституционально свойственны «сердечным» людям, то есть тем, в телесно-душевном строении которых преобладает элемент «Я». Это, несомненно, сильные личности, способные настойчиво стремиться к достижению поставленной цели, со склонностью любыми средствами навязывать свою волю, но способные и на великодушные поступки; все зависит от цели, на которую ориентирована воля такой личности. Соединенная с мышлением эта воля может покорять самые высокие вершины. Впрочем она плохо переносит препятствия и предрасположена к приступам гнева.
Физически — это, скорее всего, плотный, коренастый человек, пикнического типа, но без мягкости и эластичности, присущих лимфатическому типу. В его походке ощущается желание оставить свой след на земле. Глаза чаще всего черные, горящие темным огнем, и этим отличаются от карих «бархатных» глаз некоторых представителей лимфатического типа. Мышечная система, в целом, развита хорошо. В качестве примера д-р Р. Штейнер приводит типичного холерика — генерала Бонапарта, однако подчеркивает, что когда он стал императором Наполеоном у него обнаружилась некоторая доля лимфатичности. Бетховен тоже был типичным холериком.
«Сердечный» психоз.
Преобладание «Я» может трансформироваться в необходимость самоутверждаться во всем и против всех, в волю, требующую неуклонного продвижения вперед к поставленной цели, даже если эта цель уже признана ложной. То, что было храбростью, т. е. чувством, позволяющим сознательно преодолевать опасность, перерастает тогда в безрассудную отвагу, а то, что было волей, становится буйным помешательством. Здесь мы можем хорошо увидеть, что контроль, исходящий из нейро-сенсорного полюса, является, в принципе, тормозом воли. Когда действует исключительно верхний полюс, то воля тормозится настолько, что порой полностью парализуется. И напротив, в отсутствии контроля воля начинает неистовствовать. Такая концепция могла бы побудить нас к пересмотру понятия «моторного нерва», против которого не без основания выступал д-р Р. Штейнер. Недостаток самоконтроля и несдержанность — вот главные опасности, которым подвержен холерик. Иногда он доходит до саморазрушения и охотно увлекает за собой других. Это пожар, опустошающий все.
«Сердечный» невроз.
Когда сердце подвергается слишком сильному влиянию сил верхнего, нейро-сенсорного полюса, мы видим появление симптомов невроза сердца, весьма широко распространенного заболевания. Бессознательное восприятие процессов деструкции и смерти, исходящее из нейро-сенсорного полюса, приводит к тоске, «сердечной сухости», страху смерти, что может быть опасно для жизни больного даже при отсутствии глубоких повреждений. Именно «неглубокие, поверхностные» повреждения сердца сопровождаются подобными симптомами (сравн. гл. 4, а также введение к третьей части книги).
Лечение сердечных неврозов и психозов.
При невротических нарушениях, вызванных чрезмерной активностью верхнего полюса, мы рекомендуем прежде всего Primula Auro culta D3 в подкожных инъекциях в область сердца, так же как и растирания сердечной области мазью следующего состава: Aurum D5 / Ol. Hyperici 10% аа. Подумаем также и о Prunus spinosa D3 для обеспечения притока новых сил больному.
При буйном помешательстве, являющемся, напротив, выражением неистовства сил воли, связанных с метаболическим полюсом, мы используем Hypericum Auro cul-tum D3, а при необходимости сочетаем этот преперат с Belladonna D3. Если мы имеем дело с кризовым состоянием больного, то можно прибегнуть к инъекции апо-морфина (от 5 до 10 мг). Дело в том, что провоцируя рвоту, мы привлекаем активность астрального тела и «Я» в область желудка, что затормаживает активность бессознательного (и бесконтрольного) волевого полюса. При суицидальных мыслях, особенно если они несут в себе подтекст самоутверждения за счет саморазрушения, назначаем Aurum D6-D10 (или Hypericum Auro cultum D3). Ко всем этим медикаментам постоянно присоединяется Primula /Onopordon comp. (Cardiodoron).
Краткий обзор
терапии сердечных заболеваний
I
.
Заболевания, обусловленные доминированием полюса метаболизма:
Базисная терапия:
а) Cardiodoron
б) Aurum ргаер. D6-D10
в) Hypericum Auro cultum 0,1 %
При поражениях, обусловленных воспалитель
ными процессами:
1.
Эндокардиты:
Apis D3\Belladonna D3 (Erysidoron 1), чередуя с Carbo Betulae 5% / Sulfur D2 (Erysidoron 2); Argentum metallicum praep. D30 (в инъекциях) Echinacea D3 (в инъекциях) Lachesis D12 (в инъекциях)
2.
Миокардиты:
По схеме лечения эндокардитов с дополнением Digitalis е fol. digestio D3 (по 10 капель 3 раза в день)
3.
Перикардиты:
По схеме лечения эндокардитов с добавлением Stannum D10 / Bryonia D6 (в инъекциях)
4.
Септический эндокардит:
вегетарианская диета
Argentum D30 чередуя с Echinacea D3 (инъекции внутривенно)
Lachesis D12-D18 (в инъекциях) Aurum D10 / Stibium D8 в отношении 3:2 (инъекции) Carbo Betulae cum Methano D3 (Trit.)
5.
Сердечная недостаточность, декомпенсация сердца, обусловленная поражением сердечных клапанов:
Adonis vernalis 1%, Convallaria 5%, Crataegus 2% Scilla mar. 2% aa Dil. По 10 кап. З раза в день. Carduus ben 10% / Paeonia off. 10% aa, Dilution no 10 кап. 3 раза в день.
6.
Буйное
помешательство
:
Apomorphin 5—10 мг (инъекции) Belladonna D3 (инъекции)
7.
Аритмии
:
Aurum D10-D15, Cactus D4, Camphora D3, Sarothamus Dl (D2) aa, Dilutio no 10 кап. 3 раза в день
II
.
Заболевания, обусловленные доминированием нейро-сенсорного полюса:
Базисная терапия:
Cardiodoron
Aurum praep. D30
Primula Auro culta D3
Oleum Strophanti D3
Aurum D5 / 01. Hyperici 10% aa
1. Стенокардия
:
Cactus D1-D3
Magnesium phos. D3 (Trit)
Arnica D10 + Nicotiana (Tabacum) D10 (инъекции)
2.
Инфаркт
миокарда
:
Arnica e pi. tot. D10 (инъекции) Skorodit D10 (инъекции) Prunus spin. D3-D6 Nicotiana D10 (инъекции)
3.
Тромбозы
:
Hirudo D4
Arnica e pi. tot. D10
4.
Кардиальный
невроз
:
Primula Auro culta D3
Prunus spinosa D3
Aurum D5 / 01. Hyperici 10% aa
5.
Базедова
болезнь
:
Cuprite D4 (для блондинок) Cuprum sulfur nat. D4 (для брюнеток) Nicotiana (Tabacum) D10 (инъекции) Ol. strophanti D3
Избегая схем.
Мы попытались охарактеризовать четыре основных человеческих темперамента, двигаясь через описание четырех главных органов, четырех сущностных элементов человека и четырех элементов («стихий») природы. Однако подобный набросок представляется очень схематичным и отражает лишь одну из попыток приблизиться к пониманию. Если мы действительно хотим понять и тем более лечить какого-то человека, то после предварительной классификации его типических черт, нам необходимо найти все, что отличает данного человека от другого, то, что делает из него индивидуума. Решение этой задачи идет далеко за границы комбинаторики, подстановки схем и поэтому не под силу и самому совершенному компьютеру. Нужно изучить данного человека во времени, составить род его биографии, вжиться в нее так, чтобы начать понимать происходящее с ним телесно, душевно и духовно как путь его развития. Только тогда, учась помогать ему на этом пути, мы действительно можем надеяться на его исцеление.
Различные фобии.
И еще одно замечание: Многие из наших современников живут в страхе, в страхах, среди страхов. Таково уж время. В зависимости от органов, обусловливающих это состояние, страх этот проявляется по-разному: страх перед окружающей средой связан с легкими у меланхолика, страх перед жизнью — с печенью при лимфатическом темпераменте, «телесный» страх — с почками у неврастеника и страх смерти у холерика — с сердцем. Нужно учиться распознавать симптоматику различных страхов, взвешивать их значимость, поскольку они являются ценным средством в определении источника болезни.
Сравнение четырех главных органов показывает, насколько они связаны между собой и как действие одних отражается на функционировании других. Характер нашего мышления и нашего языка заставляет нас изучать их по отдельности и последовательно. Давайте не будем забывать, что понять человека как целое можно, лишь имея общую картину данного конкретного человека как триединого целого — тела, души и духа, а ценность какой-либо частичной информации об этом целом всегда относительна и сравнима только со строительными лесами, но не с самим зданием храма, скрытого за ними.
ЧАСТЬ ЧЕТВЕРТАЯ
 ИЗУЧЕНИЕ
НЕКОТОРЫХ
ЧАСТНЫХ ПРОБЛЕМ
Антропософская медицина далека от догматизма любого рода, ее нельзя сводить к совокупности рецептов, приложимых к реперторизированному перечню заболеваний или их симптомов. Она является человеческой — следовательно, индивидуальной — медициной. Несколько частных проблем, которые мы затронем в четвертой части, даны только в качестве примеров, помогающих найти пути от общих закономерностей патологий к индивидуальной терапии. При всех наших рассуждениях нельзя забывать, что задача медицины не построение какой-либо доктрины, но — исцеление.
ГЛАВА ЧЕТЫРНАДЦАТАЯ
Проблема рака
Пять основных вопросов проблемы.
Если мы определяем раковый процесс как процесс патологического роста, то мы не можем его понять до тех пор, пока не дадим определение нормальному росту. Проблему нормального роста можно свести к двум вопросам: «Что такое рост?» и «Почему рост прекращается?» А касаясь патологического аспекта, мы принуждены задать и третий вопрос: «Почему рост возобновляется в какой-то определенный момент времени?» Остается еще два принципиальных вопроса: «Почему рост приобретает злокачественный характер?» и «Почему опухоль локализуется именно в данном, конкретном месте?»
Первый вопрос был поставлен исследователем Сиром Уильям Савори, три последующих — д-ром Хольтцапфе-лем в превосходной работе, опубликованной в 1967 г.[32]
В действительности д-р Р. Штейнер уже давно дал ответы на эти вопросы, а великолепные работы д-ра Леруа, основанные на многолетнем практическом изучении предмета, позволили вплотную приблизиться к проблеме в указанных аспектах[33]
. В свете того, что мы рассматривали в предыдущих главах, я постарюсь обобщить результаты упомянутых выше исследований.
Нормальный рост.
На наш первый вопрос: «Что такое нормальный рост?» — мы уже ответили в первых четырех главах этой книги. Мы видели, что он является результатом двух процессов: процесса размножения клеток, отражающего действия эфирных сил, и процесса структуризации, упорядочивания этого роста, выражающего действия сил астрального тела и «Я», трансформирующих эфирные силы в силы формообразования. Если бы силы размножения действовали самостоятельно, то весь организм превратился бы в гигантскую «морулу» (см. рис. 2, гл. 1), но, начиная со следующей стадии эмбриогенеза — «бластулы», появляются силы структуризации, упорядочивания. Все происходит так, как если бы центробежные силы мо-рулы натыкались на некую невидимую оболочку. Создается впечатление, что клетки с их тенденцией к рассеиванию благодаря этой невидимой оболочке группируются в определенном положении, образуя бластулу. Конечно, какой-либо оболочки, в материальном смысле слова, нет. В действительности, это понятие — «оболочка» — отражает действие структурирующих сил в центростремительном направлении. На этой стадии упорядочивающие силы действуют еще снаружи вовнутрь и продолжают действовать так в течение всей жизни, например, у растения. У человека и животного эти силы перемещаются вовнутрь уже на стадии гаструлы, они интериоризируются и становятся, например, куда менее зависимы от изменения внешних условий среды.
Опыт Арндта,
который описал нам А. Леруа, ярко демонстрирует действие этих сил, т. к. в нем мы можем последовательно наблюдать два процесса — воспроизводство и структуризацию. Д-р Леруа пишет: «Профессор Арндт наблюдал в течение продолжительного времени за маленьким грибом, произрастающим в лесах, — Dictostelium muconoides. Его рост всего лишь несколько миллиметров, он покрыт капсулой, содержащей споры. Профессор Арндт выращивал эти грибы в питательном бульоне. Когда они созревали, капсула разрывалась, и споры попадали в питательную среду. Эти споры развивались и, в результате этого развития, превращались в амебы. Если питательная среда содержала бактерии, то амебы их поглощали. Проглотив около 10 000 бактериальных клеток, амеба начинала размножаться путем деления. Амеба, будучи живым одноклеточным существом, ведет себя аналогично другим клеткам, т. е. развивается по пути количественного роста. Этот процесс размножения продолжается до возникновения десятков тысяч подвижных клеток. В момент, когда заканчивается пища, происходит удивительная вещь: Арндт описал, как по всей культуре клеток обнаруживается распространение пузырьков и как клетки начинают концентрироваться в некоторых точках. Так, мало-помалу, они из своих собственных тел строят гриб! Сначала формируется ножка и элемент, являющийся предшественником капсулы, а в нем споры. Так рождается гриб, состоящий из амеб. Срез показывает, как амебы трансформируются в клетки гриба, различаясь в зависимости от того, что они формируют — капсулу или ножку!» Когда профессора Арндта спросили, кто руководит амебами при строительстве гриба, он ответил: «Бог амеб». Это неточно. Если уж речь зашла о Боге, то нужно было бы сказать: «Это Бог грибов». Особенно интересно наблюдать замедленную съемку этого феномена, позволяющую воочию увидеть физическое отражение действия эфирных сил.
В первой фазе этого эксперимента мы видим силы размножения в центробежном направлении, заставляющие амеб быстро размножаться и рассеиваться. Во второй фазе, центростремительные структурирующие силы («Бог грибов») ориентируют амеб к некоторому центру, где они из самих себя формируют гриб.
Опыт Каррела.
Когда мы изолируем клетки какого-либо органа для культивирования, как в опыте Каррела, то наблюдается обратный феномен: форма и дифференциро-ванность утрачиваются, а темп размножения ускоряется.
Таким образом, мы можем ответить на первый вопрос и определить нормальный рост как процесс размножения, контролируемый силами структуризации.
Изменение равновесия с возрастом.
На протяжении жизни равновесие между этими двумя силами изменяется. Постепенно структуризация, а вместе с ней и минерализация, берут верх над процессами размножения. Организм по мере продвижения к старости затвердевает.
Метаморфоза эфирных сил.
Мы могли бы предположить, что это равновесие нарушается вследствие возрастания сил структуризации. Но в действительности уменьшаются силы размножения, снижается активность эфирных сил или, что более точно, происходит их преобразование. Они могут, как это отмечено в гл. 8, трансформироваться в силы мышления, но могут также быть использованы для нормального функционирования органов, которые они построили в начале своей жизнедеятельности. Это то, что мы будем наблюдать, например, в яичках и яичниках в пубертатном периоде. Позднее, в менопаузе у женщин, когда эти органы постепенно прекращают функционировать, указанные выше силы высвобождаются. Они должны подвергнуться новой метаморфозе и реализоваться уже не психо-физиологически, но чисто на духовном плане, преобразуясь в мудрость и доброту.
Параллельно с метаморфозой сил размножения происходит преобразование сил структуризации, необходимость в которых со временем также уменьшается. Эти силы начинают служить мышлению. Оно тоже должно быть структурировано.
Следовательно, на второй вопрос мы ответим так: рост прекращается в связи с тем, что силы воспроизводства и структуризации преобразуются и используются на другом уровне организма.
Ответ на третий вопрос: «Почему при раке в определенный момент времени возобновляется рост?» — принадлежит уже к области патологии.
В соответствие со всем вышесказанным можно констатировать, что возобновление роста может возникнуть лишь при нарушении равновесия между силами размножения и структуризации, то есть при перевесе первых в недолжном месте в недолжное время. Это и происходит: имеет место недостаточное преобразование сил размножения (их остается слишком много) при нормальном уменьшении сил структуризации.
Неполная метаморфоза.
Неполной метаморфозой вегетативных сил можно объяснить некоторые факты. Так, мы видим появление сарком нередко именно в период завершения роста костей. У девочек прекращение роста происходит раньше — и у них же саркомы обнаруживаются в более ранние периоды жизни. Опухоли яичек возникают тогда, когда в силу их эктопического расположения они не могут функционировать, а потенциал сил роста при этом остается неиспользованным. Рак матки, молочной и предстательных желез возникает, как правило, на фоне постепенной утраты присущих им функций при недостаточной метаморфозе сил, обеспечивающих их деятельность. Таким образом, рак груди значительно чаще встречается у женщин никогда не кормивших.
«Островки органообразования».
Однако отсутствие метаморфозы не всегда влечет за собой клеточную пролиферацию, оно лишь создает условия, благоприятные для этого. В своем первом курсе лекций для врачей[34]
д-р Р. Штейнер сказал, что отсутствие, или неполная метаморфоза эфирных сил создает то, что он называет «островками органообразования», которые бездействуют, ожидая благоприятных условий. Здесь мы видим концепцию, имеющую много общего с теорией Конгеима об «эмбриональных островках», остающихся в бездействии, лишь с той разницей, что в этой теории речь идет о физическом остатке, тогда как концепция Р. Штейнера предполагает, что эти «островки органообразования» представляют собой островки эфирных сил (т. е. нефизический субстрат).
Рак и шизофрения.
Если к силам мышления обращаются слишком рано, когда «Я» еще недостаточно созрело для руководства такой метаморфозой телесно-строительных сил в силы души, то эфирные силы, чей вегетативный характер при этом преждевременно растрачивается, могут значительно позднее определить склонность к шизофрении. Это преждевременное использование эфирных сил объясняет существенно меньшую распространенность раковых заболеваний у душевнобольных.
Островки эфирных сил, каковыми являются эти «островки органообразования» не пробуждаются до тех пор, пока они в достаточной степени уравновешиваются силами структуризации. В противном случае они проявляют свой потенциал в форме клеточной пролиферации.
Когда структурирующие импульсы достаточно (для нормы) охватили жизненное буйство роста эфирного тела, став формирующими силами, они претерпевают метаморфозу, аналогичную силам репродукции, — получают новые, менее связанные с телесностью задачи. Это еще дальше поясняет нам ситуацию с раковыми тканями, но все же не дает полного ответа на третий вопрос.
Воспаление, склероз и рак.
Чтобы лучше понять взаимосвязь найденных феноменов, необходимо вновь обратиться к прямому действию «Я» и астрального тела на нейро-сенсорном полюсе, стимулирующему процессы де-витализации, структуризации и минерализации. Если эфирное тело с помощью «Я» не восстановит разрушенное (как оно, например, в норме за ночь восстанавливает разрушенное в течение дня), тогда происходит накопление инородных элементов, от которых организм пытается избавиться при помощи воспалительного процесса. Однако если подобные инородные включения не устраняются, то организм мало-помалу смиряется, воспалительные реакции становятся менее активными, что приводит к склерозу. Но при этом процессы формообразования, исходящие из верхнего полюса, становятся более интенсивными (поскольку они всегда активизируются там, где имеется более или менее минерализованный субстрат), однако «суперсклероза», который можно было бы здесь ожидать, не происходит. Поскольку жизнь по сути своей есть ритм, ничто не может увеличиваться до бесконечности, и если процесс выходит за пределы определенной самоуравновешивающей системы, то он преобразуется во что-то новое. Мы обнаруживаем здесь правило маятника: по достижению некоторой точки то, что было формирующими центростремительными силами, преобразуется в свою противоположность — в центробежные силы освобождения; «Я» и астральное тело отстраняются от органов, уступая место внешним природным влияниям.
А значит-таки, существует некая полярность между воспалением и раком, подтверждаемая многими спонтанными случаями выздоровления от опухоли, которые наблюдались при острых воспалительных заболеваниях, например таких, как рожа (на этом были основаны и некоторые, к сожалению, полузабытые «старые» способы лечения опухолевых заболеваний). Полярность другого порядка существует также между раком и склерозом, и она подтверждается на практике тем фактом, что признаки склероза очень редко встречаются у раковых больных. Таким образом, склероз и рак являются вариантами одного и того же процесса распространения на весь организм того, что в норме присуще только нейро-сенсорной системе.
«Рак — ложный орган чувств».
Одно из определений Р. Штейнера: «Рак есть ложный орган чувств» помогает нам лучше понять этот процесс. В органах чувств и в нейро-сенсорной системе, в целом, мы имеем максимальную для живого организма структуризацию, достигаемую за счет и в ущерб возможностям регенерации. Но там происходит и нечто другое — для того чтобы орган чувств был способен к восприятию, он должен быть не только до определенной степени «обезжизнен» (то есть от него отстраняется эфирное тело), необходимо еще и отстранение от него астрального тела и «Я». На самом деле это не так уж сложно понять. Любой орган чувств человека, а в особенности глаз или ухо, больше напоминает физический инструмент, почти что аппарат. «Я» и астральное тело могут пользоваться им, только отстраняясь от него, покидая его, всякий раз, когда происходит акт восприятия — как, например, мы можем пользоваться по назначению телескопом, только вылезши из него (хотя сначала мы должны были его построить — внутри и снаружи).
Мы помним, что нормально на нейро-сенсорном полюсе, становится болезнью на противоположном полюсе метаболизма. Если астральное тело и «Я» отстраняются вышеописанным образом от какого-либо органа не в нейро-сенсорной системе, где эфирных сил мало, но в метаболической системе, где их много, то остается «свободное поле», «незанятое место», в котором действуют тогда одни только оставшиеся «без присмотра», непре-образованные эфирные силы (то есть силы первичного роста) вкупе с чуждыми для внутрненней среды организма силами внешней природы. Так и образуются упомянутые «островки ложного органообразования».
Следовательно, на третий вопрос мы дадим следующий ответ: пролиферация пробуждается тогда, когда нарушается равновесие между силами структуризации и силами размножения в пользу последних.
Теперь нам легче понять, почему нервная система, чрезвычайно структуризованная и дифференцированная, очень редко формирует опухоли, причем эти опухоли, как правило, бывают относительно доброкачественными (раки нервной ткани составляют 2% от всех случаев рака).
С другой стороны, преждевременное ослабление сил структуризации на этом уровне обусловливает более частое появление подобных опухолей нервных тканей в раннем детстве.
На полюсе метаболизма, то есть в области органов обмена веществ, где процессы регенерации протекают интенсивно на протяжении всей жизни, опухолевые заболевания встречаются часто (75% раков — это опухоли пищеварительных и половых органов) и отличаются особой злокачественностью.
Катастрофа формы.
В чем заключается эта злокачественность? Знаменитый патолог Г. Зигмунд говорил: «Рак — это катастрофа формы». Любая природная катастрофа оставляет после себя хаос, т. е. противоположность всему организованному. Именно это мы наблюдаем при раке. Когда один из органов метаболизма превращается в «ложный орган чувств», иначе говоря, когда его покидают организующие силы «Я» и астрального тела, он открывается для внешних воздействий и становится игрушкой сил анархии. Вместо порядка, поддерживаемого высшими сущностными членами человеческого существа, в органе начинает царить беспорядок, экзистенциальная аритмия, столь характерная для современного мира. Тогда клетки, вместо того чтобы развиваться согласно определенному высшему плану, врожденно заложенному в организм, начинают жить собственной жизнью, самодовлеющей и самодостаточной, а затем начинают массированно (по типу цепной реакции) размножаться, все больше и больше отрываясь от целостности организма и все дальше открываясь влияниям, исходящим из внешнего физического мира.
Анархические влияния.
Необходимо добавить, что эти внешние влияния чрезвычайно разнообразны. Они могут происходить от веществ, образующихся в результате промышленной деятельности человека, против которых человеческий организм беззащитен. Человек, имеющий общие корни с природой, способен реагировать на естественные вещества, но против синтетических веществ он безоружен. Так, например, природная нефть сама по себе не является канцерогеном, в то время как продукты ее перегонки, хоть и в разной степени, но все обладают выраженной канцерогенностью.
К этим внешним воздействиям следует также отнести все то, что проникает в человека через органы чувств (особенно через органы слуха) и проскальзывает в подсознание, не будучи профильтрованным сознанием. Постарайтесь вспомнить, представить себе все «бытовые шумы» и «городские шумы», среди которых с самого детства живут жители современных городов: шум автомобилей, самолетов, механизмов, радио, телевизора и т. д. Вы поймете, что только очень небольшая часть слуховых ощущений становится объектом осознанного восприятия. Будучи медиками, мы не имеем права быть настолько наивными, чтобы полагать, что весь этот насильственный, аритмичный и хаотичный гвалт, воздействуя в течение лет и десятилетий на глубокую психику и организм человека в целом, не оказывает своего разрушительного воздействия, вполне сравнимого по злостности с вещественными канцерогенами в пище, питье и воздухе. Все эти современные «тихие агрессии» способствуют постепенному возникновению тканевого хаоса, который мы наблюдаем при раке.
Психические факторы.
К внешним воздействиям можно также отнести и психические шоки, роль которых в возникновении рака нам хорошо известна. Др. А. Леруа описывает случай из своей практики[35]
. Речь идет о женщине, страдавшей раком мочевого пузыря. Сначала опухоль под влиянием лечения полностью рассосалась. Затем муж этой женщины заболел, и ему ампутировали ногу; у женщины тотчас же возник рецидив. Энергичная терапия вновь потеснила болезнь. Год спустя муж умирает — у женщины образуется повторный рецидив рака, который, впрочем, был вновь подавлен.
Статистика последних лет в США и Швеции показывает, что рак с большей частотой поражает разведенных женщин, перенесших пстихотравму, чем замужних.
Итак, вот наш ответ на четвертый вопрос: злокачественность — есть выражение действия различных анархических, хаотизирующих внешних влияний, которые внутренние организующие силы уже больше не способны контролировать.
Вопрос вирусов.
Происхождение рака периодически связывают с вирусами. Если и верно то, что возможно вызвать опухоли у животных с помощью онкогенного вируса, то не нужно забывать, что их прививают лабораторным методом, который не имеет ничего общего с тем, что мы встречаем в жизни. Однако вирусы действительно находят в раковых клетках, и в этом нет ничего удивительного, просто не нужно путать причину и следствие: вирусы по своей природе занимают положение между растительным и минеральным царствами (некоторые из них даже имеют способность кристаллизоваться). И они, естественно, получают возможность развиваться в тех тканях, из которых самоустранились собственно человеческие «организующие» силы. Это позволяет нам отнести вирусы к внешним влияниям, к следствиям. Не они являются причиной рака, но наряду с другими факторами, вероятно, участвуют в общем ряду дезорганизующих, анархизирующих влияний.
Опухоль — начало последнего акта.
Появление злокачественной опухоли не является началом рака, это начало последнего акта. Исследуя раковых больных, мы видим, что они страдали различными нарушениями явно преканцерозного характера, причем нередко в течение многих лет. Сама по себе раковая опухоль является лишь феноменом локализации и заключительной фазой раковой болезни.
Факторы локализации.
Рассмотренные выше «островки органообразования» уже несут в себе причину локализации болезни; но имеются еще и многие другие факторы. К примеру, сильное многократное раздражение кожи в одном и том же месте, на которое организм из-за частоты появления или интенсивности уже не способен отвечать воспалительной реакцией, ведет к образованию участка, не подверженного структурирующему контролю со стороны астрального тела и «Я», — тем самым создается возможность развития рака. Эта возможность может создаться и в отсутствии всякой конкретной предрасположенности: в случаях общего ослабления структурирующих сил организма.
Что же касается раздражающего агента, то он может быть механическим, химическим или физическим, как, например, при ожогах, при ионизирующей радиации. Мы знаем локализации злокачественных опухолей, возникающих вследствие употребления табака и алкоголя. Высокая частота рака желудка у японцев не выглядит странной на фоне их обычая пить «кипящий» чай.
Эксперименты Дракрея.
Мы знаем, благодаря экспериментам Дракрея на крысах, что желтое масло способно вызывать рак печени[36]
. Некоторые субстанции избирательно атакуют определенные органы. В этих экспериментах интересно отметить, что опухоль печени появлялась только тогда, когда крысы потребляли в сумме всегда одно и то же количество канцерогенной субстанции, причем независимо от продолжительности интервалов, в течение которых назначение прекращалось. Отсюда видно, что печень действительно превращалась в «ложный орган чувств», который «взвешивает» и «суммирует» полученную дозу. Отметим, в плане профилактики, что у крыс, пищевой рацион которых включал еще и просо, доза желтого масла, необходимая для развития гепатомы, должна была быть большей. Тем самым, просо в данной ситуации обладало проти-воканкрозными свойствами, очевидно вследствие богатого содержания кремния — элемента, стимулирующего структурируйте силы.
Химические продукты в питании.
Упоминание «суммирования» в экспериментах Дракрея не должно оставить нас безразличными. Наше сегодняшнее питание содержит множество синтетических химических веществ, каждое из которых в отдельности и в количествах, содержащихся в одной упаковке продукта, само по себе не способно вызвать рак, — на этом основании их объявляют неканцерогенными! — однако, практически очевидно, что их многократное употребление, их «суммирование» (которое постоянно проводит наш организм) подводит нас к опасному порогу. Например, известно, что после определенного порога канцерогенен бензопирен. Д. Бернфилт[37]
доказал, что в присутствии веществ, являющихся моющими средствами (детергентами), рак желудка можно спровоцировать намного быстрее, чем при их отсутствии.
Слабое место.
Часто констатируют, что рак бьет в слабую точку организма, например, по органу, подвергавшемуся более или менее давно хирургическому вмешательству, или же в местах старых травм. Классический пример — давнишний или оставшийся незамеченным ушиб груди (грудной железы) как фактор, открывающий дорогу раку.
Не претендуя на полное освещение вопроса, мы все же можем сказать, что коснулись всех основных причин той или иной локализации рака: закрепление «островков органообразования», травматизация (механическая, физическая, химическая и психическая) и, в более общем смысле, наличие «слабого места» в организме.
Отвечая на пятый из поставленных в начале главы вопросов, остановимся на эволюции ракового заболевания во времени и наметим возможности терапии.
Этапы заболевания.
Раковая болезнь эволюционизирует в три этапа: предопухолевый, опухолевый и период распространения. Относительная продолжительность этих трех периодов очень вариабельна.
В течение предопухолевого периода структурирующие силы еще достаточно мощны для контроля процессов роста. Поэтому аналитические физические исследования остаются для врача в этот период еще немы, и только пристрастный опрос и внимательный осмотр часто выявляют факты, которые могут стать значимыми при их объединении в единую картину в процессе синтезирующего размышления, столь не свойственного современным врачам.
Семиология предрака.
Один из первых симптомов, на который указывает больной, — это особый род усталости, отличающейся от той, которая возникает после интенсивной физической работы (например, после похода в горы) или интенсивного интеллектуального труда. Эта канкрозная усталость скорее есть следствие отсутствия активности или инициативы. Так домохозяйка, которая всегда жила ради содержания своего дома в порядке, начинает делать свою работу как бы нехотя. Или человек, который любит постоянно читать, начинает закрывать книгу на первых же страницах. «Мастер на все руки» бросает свои излюбленные дела и пускает их на самотек.
Эти люди не чувствуют себя больными, они редко жалуются. Окружающие чаще замечают изменения в их самочувствии и могут побудить их к врачебной консультации. Этот тип усталости (отвращения) часто проявляется и в их внешнем облике. Их глаза кажутся затуманенными, взгляд направлен скорее внутрь, чем вовне. Как хорошо сказал доктор Шох, «они производят впечатление людей, постоянно к чему-то прислушивающихся внутри себя».
Анамнез часто выявляет присутствие патологических проявлений «непереваривания» в качестве отправной точки этих нарушений. Это может быть результат утраты дорогого существа, с которой человек не может до конца примириться, это также может быть невозможность переносить существующие обстоятельства, в которых находится больной в данный момент, невозможность реализации чего-то, близкого сердцу. Так, молодой человек, созданный для музыки, вынужден бросить инструмент из-за заработка на хлеб, что противно его душе.
Симптом, которым ни в коем случае нельзя пренебрегать, — это бессонница, как существующая, так и существовавшая ранее. Можно сказать, что любая бессонница, для которой не найдена причина, должна быть исследована с точки зрения латентно текущего рака. Так как часто сами больные на это не жалуются, необходимо целенаправленно расспрашивать их в отношении сна.
Первые проявления злокачественных опухолей просто удивляют своей бедностью, неяркостью. Такие пациенты часто говорят, что они никогда не болели. В частности, никогда не отмечалось высокой темпе
ратуры и предрасположенности к воспалитель
ным заболеваниям.
Но у них имеется некоторая психическая особенность — у них замечается все меньшая и меньшая способность к общению, снижающаяся коммуникабельность.
Отметим, что канцерофобия встречается у этих больных довольно редко, так как душевно все дальше иссушаясь, они не обращают внимания на состояние собственного здоровья.
Замедление метаболизма часто является причиной нарушения пищеварения, и тогда нужно быть внимательными: к уменьшению аппетита, к различным проявлениям печеночной недостаточности, к атоническим запорам и т. п. У этих больных часто формируется более или менее выраженное отвращение к мясу.
При обследовании мы часто отмечаем «землистый» цвет кожи. Она не сухая, но оставляет впечатление плохо дышащей. Больной иногда говорит о кожных пятнах, нередко это невусы, появившиеся некоторое время назад. Отмечается также отсутствие признаков склероза, даже у пожилых больных.
Значение ранней диагностики. Дня
врача особенно важно выявить эту первую фазу раковой болезни, т. к. терапия по-настоящему эффективна именно на этой стадии. Реальную помощь дадут только очень тонкие лабораторные методы исследований. В принципе, здесь возможны и те два метода, на которые обращал серьезнейшее внимание Р. Штейнер, — тонкая кристаллизация и капиллярно-динамические картины. Мы уже говорили о первом, который был разработан д-ром Пфейфером и удачно продолжен, в частности, Бессенихом. Второй был обьектом долгих исследований Колиско и изучался в течение сорока лет д-ром Кэлин[38]
при раковой болезни. Эти методы позволили подтвердить, в частности, наличие трех этапов развития рака и всегда дают важные прогностические указания. Эти методы визуализации эфирных сил открывают качественный аспект этого патологического процесса. Они становятся более информативными, чем рутинные методы исследования. В настоящее время они используются во всем мире как для диагностики рака, так и различных качественных исследований. С другой стороны, рутинное определение содержания сывороточного железа и меди является более точным индикатором динамики и эффективности той или иной терапии. У здорового человека уровни железа и меди колеблются между 80 и 150 мг %. У раковых больных содержание сывороточной меди повышается, в то время как содержание сывороточного железа уменьшается. В течение трех лет доктором X. Мюллером систематически исследовалось содержание меди и железа в сыворотке раковых больных, которых лечили препаратом «Iscador» (см. ниже). Исследование констатировало прогрессивную нормализацию показателей меди и железа в сыворотке во всех случаях, когада одновременно наблюдалось клиническое улучшение, и, напротив, изменение нормы содержания меди и железа всегда указывало на возможность скорого рецидива или метастазирования. Мы не будем здесь останавливаться на второй и третьей фазах канкрозного процесса, поскольку они достаточно хорошо представлены в учебниках патологии. И все же необходимо сделать некоторые уточнения в этом классическом делении развития раковой болезни на три этапа.
Вторая фаза.
Мы видели, что в начале процесса вегетативные силы еще контролируются структурирующими силами. Во втором периоде — собственно опухолевом, — защита в данной точке организма оказывается «пробита», и освобождается путь для процессов пролиферации. Однако организм не перестает бороться. Можно констатировать — причем вне зависимости от проводимого лечения — подьем паратуморальной температуры, которая указывает на напряжение защитных сил организма. Напротив, в первом периоде больной более чувствителен к холоду и ощущает чувство холода в месте, где в дальнейшем формируется опухоль.
Возвращаясь ко второй опухолевой фазе, напомним, что при ней находят многочисленные раковые клетки в крови, однако без малейшего намека на метестазирова-ние. Следовательно, эти циркулирующие канкрозные клетки еще разрушаются самим организмом. А вот и другое доказательство наличия защиты: на аутопсии некоторых умерших не от рака находят очаги злокачественных клеток в простате, щитовидной железе (неразрешившихся раком), и это при отсутствии всякой клинической симптоматики рака. Значит, эти очаги сдерживались собственными защитными силами организма.
Третья фаза.
Только в третьей фазе, с появлением отдаленных метастазов, организм начинает покидать поле сражения. Однако, даже на этой стадии, он еще обладает терапевтическими ресурсами, способными приводить и к излечению.
Продолжительность развития.
Она варьирует в зависимости от возраста. У молодых, с их очень активными жизненными процессами, развитие болезнь развивается быстрее и затушевывает свои этапы настолько, что их трудно разграничить. Напротив, у людей в возрасте, потерявших способности к регенерации, иногда наблюдают такое удлинение этапов, что рак не становится причиной смерти.
Лечение рака.
В свете вышеизложенного задача лечения рака — восстановить равновесие между структурирующими и пролиферирующими силами. Рассмотрим подробно три основные положения адекватной терапии рака: 1 — усиление защитных сил организма и их способности к структурированию; 2 — улучшение способности метаморфизирования вегетативных сил; 3 — предохранение организма от внешних патологических воздействий.
Достижимы ли эти цели классическими терапевтическими методами?
Классические варианты лечения.
Ни хирургическое вмешательство, ни облучение, ни цитостатическое лечение не приближают нас к достижению вышеприведенных целей. Они не усиливают структурирующие силы и не способствуют метаморфозе жизненных (эфирных) сил. Рентгенотерапия, как и хирургия, стремится к разрушению опухоли, являющейся только локальным симптомом ракового заболевания. Оба метода сильно ослабляют защитные механизмы организма, вот почему эти способы лечения часто обусловливают рецидивирование и усугубление общего состояния больного. Означает ли это, что их можно отбросить? Совершенно ясно, что опухоль, живущую за счет организма и являющуюся фактором ослабления и интоксикации, необходимо убрать.
Хирургия (когда она возможна при условии минимального внедрения процесса в целостный организм) кажется предпочтительней по сравнению с облучением, которое оставляет организму как правило почти непосильный труд по выведению остатков деструкции, произведенной рентгеновскими лучами.
Что касается цитостатиков, то они слепо борются против пролиферации, причем до такой степени, что не только опухоль, но и сам организм становится неспособным к жизни, с чем и связано так называемое «побочное» действие цитостатиков, которое одновременно с положительным эффектом нередко приводит просто к медленному отмиранию организма как системы.
Остаются гормоны. Их действие намного более селективно. Они не усиливают защитные силы организма, они также не снижают и пролиферативную тенденцию (скорее ее усиливают), однако они подталкивают организм к физиологическим проявлениям противоположного пола, которые каждый индивидуум несет в себе в скрытом виде. Это «положительное» воздействие не обходится без тяжелых клинически выраженных симптомов, которые слишком хорошо известны, чтобы здесь говорить о них. Следовательно, и тут невозможно с достоверностью говорить об их адекватном лечебном действии.
Омела.
А существуют ли вообще лекарства, способные выполнить первую задачу — усилить защитные силы организма в плане структурирования. Д-р Р. Штейнер, к которому группа врачей обращалась за советами ввиду роста раковых заболеваний в первой четверти нашего столетия, предложил работать над применением оригинальных препаратов из Омелы белой (Viscum album). Это растение, о терапевтической ценности которого известно с глубокой древности, никогда не применялось при лечении рака. В многочисленных заметках Р. Штейнер дал указания как для фармацевтического приготовления, так и для терапетвического использования омелы.
Почему омела? Рассмотрим чуть повнимательнее это растение. В первую очередь оно поражает нас своей сферической формой. В других зеленых растениях мы не находим подобной ориентации: абсолютное большинство растений гео- и гелиотропнны. Омела же в своих формах роста образует сферические тенденции, причем независимо от «низа и верха». Омела, будучи паразитом, растущим на деревьях, сначала выпускает перпендикулярные к месту прикрепления ростки — причем согласно своим собственным правилам роста и своему собственному вегетативному ритму, которые по-иному, чем у всех других растений на земле, связаны, например, с временами года. Омела остается зеленой весь год, независимо от светового дня, ее корнеподобные органы сохраняют хлорофилл в темноте древесной коры и камбия, куда они прорастают. Плодоношение омелы поразительно — она цветет зимой, в отсутствие тепла. Даже ее листья в своей ориентации индифферентны к источнику света. Таким образом, омела не обладает ни гео-, ни фототропизмом. Она эмансипирована от сил Солнца и сил Земли, тем самым ей следует отвести совершенно особое место в растительном мире. Это очень древнее растение, растение-реликт, отставшее в своей земной эволюции от другой флоры. Поэтому оно не может расти непосредственно на почве и нуждается в посреднике. Мы можем сказать, что омела как бы противопоставляет себя земным силам и земным ритмам (подобно способности опухоли противопоставлять себя человеческому организму). При этом и динамически, и субстанциально омела несет в себе свойства противостоять развитию опухолевого процесса. Р. Штейнер[39]
говорит еще, что омела противостоит действию вышеупомянутых «бесхозных» эфирных сил, а значит и пролиферации. Эти свойства были подтверждены в течение десятилетий множеством биохимических, фармакодинамических и клинических исследований[40]
.
Способ приготовления онкологических препара
тов из Омелы.
Р. Штейнер дал также множество других указаний по поводу антиканкрозных свойств омелы. Мы не можем касаться их здесь, так как понимание этих свойств основывается на более глубоком изложении антропософской науки[41]
. В отношении же препаратов из омелы следует учитывать, что Р. Штейнер говорил не о простом фитотерапевтическом или гомеопатическом средстве, но рекомендовал такие методы обработки омелы, которые способны создать из нее настоящий противораковый препарат с особо усиленным свойством независимости от действия космических и земных сил. Такой препарат был создан фирмой «Веледа» еще при его жизни и был назван «Искадор» (Iscador).
Исследование омелы.
Д-р Кэлин, начиная с 1928 года, и д-р Леруа со своими сотрудниками с 1934 г. работали над совершенствованием этого медикамента. В 1949 г. Леруа основал в Арлесхайме (Швейцария) институт «Хиския» (Hiscia), в котором он продолжал исследования по раку вместе со своей женой д-ром Леруа фон Мэй. Долгое время д-р Рита Леруа руководила также «Клиникой святого Луки», специализирующейся на постоперационном лечении рака и соседствующей с институтом «Хиския». Таким образом, способы приготовления и применения омелы не перестают развиваться. (Разумеется, за 20 лет, протекших со времени написания этой книги, исследования омелы и разработка противораковых препаратов из ее субстанции продвинулись весьма далеко. Среди основных центров изучения свойств Омелы отметим «Институт Карла Густава Каруса» (Эшельбронн, Германия), работы которого привели к созданию еще одного ценного онкологического препарата из омелы — «Абноба-Вискум». В настоящее время имеется целое семейство медикаментов омелотерапии, связанных с антропософским пониманием этого заболевания: «Искуцин», «Хеликсор», «Визорель». — Прим. русской редакции).
В отличие от цитостатиков, «Искадор» не провоцирует нарушений в крови и может быть использован в течение многих лет без негативных последствий. Речь не идет о слепом воздействии. Концентрирующее действие «Искадора» определяется гиперемией и повышением температуры в околоопухолевой зоне. Эта реакция определяет некоторую осторожность в лечении церебральных опухолей из-за повышения внутричерепного давления, которое оно может вызывать.
Результаты лечения «Искадором».
Препарат «Искадор» постоянно совершенствуется. Однако еще не достигнута цель, которую предсказывал ему Р. Штейнер: заменить хирургический нож. Тем не менее «Искадор» (вместе с вышеуказанными «младшими братьями» по группе препаратов омелотерапии. Прим русск. редак
ции.)
является единственным медикаментом, способным усиливать защитные силы организма не вообще, а в смысле конкретного структурирования тканей, утративших вследствие злокачественного процесса присущий им изначально целесообразный дифференцированный характер. Кроме того на фоне лечения «Искадором» больные, получающие рентгенотерапию или химиотерапию, могут легче переносить эти мучительные процедуры, а тяжелые для иммунной системы последствия этих видов терапии значительно сглаживаются благодаря «Искадору», что важно — не снижая позитивного противоопухолевого эффекта. В течение многих лет сравнительные исследования, выполненные в различных клиниках Европы, показали превосходство «Искадора» над всеми другими терапевтическими методами лечения онкологических заболеваний. Я укажу здесь на работы Гюнцлера и Зальцера[42]
из Вены из-за наглядности полуценной ими статистики. Вот опубликованный ими график.

Рис.
5. Кривая выживания после резекции желудка
по поводу рака с лечением и без лечения Iscador.
Я не вхожу в детали лечения потому, что читатель может сам найти их в издаваемой институтом «Хиския» (Institut Hiscia) вместе с фирмой «Веледа» брошюре «Указания по применению „Искадора"».[43]
Действие на метаморфозу эфирных сил.
Вторая задача — повлиять на неправильную метаморфозу эфирных сил — не может быть достигнута с помощью медикаментов. Можно даже спросить себя, а в какой мере возможно вообще восполнить метаморфозу, время нормального протекания которой в конце первого семилетия жизни человека было упущено? Маловероятно, что правильное преобразование части строительных сил организма в силы сознания можно наверстать во взрослом возрасте. Что касается более поздних метаморфоз, относящихся к физиологическим силам строительства, которые высвобождаются вместе с полным или частичным прекращением функции органа, то, несомненно, имеется возможность существенно повлиять на такое преобразование с помощью терапии разными видами искусства: живописью, лепкой, музыкой, лечебной эвритмией. Их систематическое применение в больнице св. Луки и других клиниках антропософской медицины составляет существенный фактор улучшения результатов лечения (кстати, не одних только онкологических заболеваний).
Роль психики.
Состояние психики онкологических пациентов чрезвычайно важно для прогноза течения болезни. Как мы видели, душевное состояние может являться причиной развития собственно опухолевого заболевания из различных преканцерозов, а также нередко оказывается основой формирования такого преканцероза. Полное исцеление реально возможно лишь в той мере, в какой пациент сможет «внутренне» трансформировать, преодолеть болезнь. Терапия при помощи искусства уже является большим шагом в смысле одухотворения человека, с ее помощью как раз может быть достигнута метаморфоза физиологических сил, вышедших из-под контроля. Необходимо привлечь больного к активному участию в процессе излечения, что невозможно без знания пациента о самом факте заболевании. Мы не имеем права лгать или оставлять больного в неведении и неуверенности. С другой стороны, необходимо много сердечного такта, чтобы правильно сообщить больному о том, что у него рак, одновременно показывая, что его заболевание нельзя назвать неизлечимым, что с раком можно успешно бороться. Тогда мы увидим, что больной вновь обретет жизненный смысл и смелость, и будет активно участвовать в борьбе. Эта точка зрения не имеет ничего от абстрактной теории; человек — существо в первую очередь сознательное, поэтому лишать его части этого сознания путем лжи о его физическом состоянии, значить помогать болезни. Я сам всегда получал лучшие результаты у больных, знавших о своей болезни. Информированный больной знает, что врач его не обманывает, а доверие мощный фактор успеха лечения. Неужели знание — пусть горькой — правды можно сравнить с состоянием человека, окруженного атмосферой зловещего и молчаливого испуга, сетью обмана, которая своим ложным состраданием лишает пациента последних душевных сил.
Дополнительное лечение.
Для лечения рака необходима мобилизация всех средств, которыми мы располагаем. К омелотерапии «Искадором» мы добавим различные дополнительные методы лечения (см. также «Указания по применению „Искадора"»), причем особенное внимание мы должны уделять печени. Д-р Каспар Блонд[44]
показал выдающуюся роль терапии этого органа при раке.
Нельзя забывать и о третьей задаче, которую мы обозначили, предохранять организм от внешних отрицательных воздействий. Необходимо изменение стиля жизни, создание благоприятного окружения и особенно здорового питания. Реализовать это в настоящее время, особенно в условиях городской жизни, проблематично, почти невозможно. Как, например, обеспечить себя качественными натуральными продуктами? Какова достоверность их экологической чистоты? Присутствие вредных субстанций, например, пестицидов, может быть на худой конец проверено анализами, а вот вопрос собственно качества продукта можно проконтролировать лишь с помощью метода чувствительной кристаллизации и ему подобным, но они слишком мало распространены в лабораториях наших стран, проще говоря, просто недоступны. Условия работы торговли продуктами питания, да и одеждой, поскольку ее химический состав также может влиять на развитие болезни, далеки от того, чтобы давать серьезные гарантии; коммерсанты, как правило, не станут заниматься серьезным анализом закупаемой ими продукции сверх санитарно-эпидемиологических норм; а написать только один лозунг: «Экологически чистый продукт» не составляет труда, ибо во многих странах это понятие еще не связано жесткими юридическими нормами. Такая продукция продается под аккомпанемент ниспровержения конкурентов. Если бы хотя бы одну сотую денег, используемых на рекламу своей продукции, фирмы тратили на отыскание более качественных и чистых источников сырья! Единственная возможность, если нет собственного огорода,— это личное знакомство с производителем (то есть с крестьянином) и доверие его честности. Молодые поколения европейцев и американцев часто за всю жизнь даже и не пробовали здоровым образом выращенного овоща или фрукта! Поэтому у них даже нет собственного критерия качества, основанного на памяти о вкусе и внешнем виде здорового продукта. Только продукты, произведенные на основе биолого-динамического культивирования в сельском хозяйстве, а также продукты старого доброго «натурального хозяйства» представляются идеальной пищей для ракового больного[45]
. Но их мало в современных «цивилизованных» странах, к тому же они обычно значительно дороже.
Ранняя терапия — фактор успеха.
Лечение «Искадором» злокачественных опухолей дает иногда неожиданные, почти «чудесные» результаты. Однако намного важнее не гнаться за чудом, а работать над развитием как можно более ранней диганостики. Ибо успех омелотерапии в преканцерозах и на первых стадиях рака — во всяком случае для врачей, умело пользующихся этим методом, — дело просто обычное. Можно возразить, что трудно судить об эффективности лечения преканцерозов при отсутствии опухоли. Это неверно. Стойкое улучшение общего состояния больного — уже показатель. Длительный периодический контроль за развитием болезни с помощью различных исследований крови, начиная с банального клинического и кончая методами чувствительной кристаллизации или капиллярной динамики, также оказывает в этом деле неоценимую помощь. Жаль, что современное слишком узкое понимание рака побуждает больных, да и самих врачей, неоправданно рано отказываться от терапии и контроля. Поэтому нередко случается, что больные с диагностированным предопухолевым состоянием, по различным причинам не выполнившие программу лечения, несколькими годами позже становятся жертвой сформировавшихся злокачественных опухолей. Вспомним, что рак — это «катастрофа формы», развивающаяся в длительных промежутках времени; глупо было бы предполагать, что даже при вовремя продиагносцированном предраковом состоянии организма можно отказаться от лечения, получив первые успешные результаты.
Роль воспитания и педагогики в предупреждении
рака.
В смысле профилактики рака следует иметь в виду все, что мы говорили о внутренней жизни человека, об его окружении, стиле жизни и питании. Но подлинное предупреждение онкологических заболеваний требует от современной цивилизации еще одного основного элемента. Именно материализм и прагматизм нашей культуры, а следовательно воспитания и обучения современных детей, приводят к тому, что вышеописанная метаморфоза части эфирных сил роста и структурирования организма в силы мышления производится в начале школьного возраста часто неправильно и невовремя... Со всеми вытекающими практически неисправимыми последствиями на всю жизнь. Поэтому мы настаивали и будем настаивать на решающей роли педагога в обеспечении гармоничного развития ребенка. Педагог должен обязательно учитывать такие факторы физического и психического развития человека, которые мы определили в соответствующих главах этой книги.
ГЛАВА ПЯТНАДЦАТАЯ
Женский цикл
Менструальный цикл и «Я».
Рассмотрение менструального цикла указывает на наличие в нем двух основных фаз, первая из которых характеризуется выработкой и построением, а вторая — разрушением и выделением продуктов первой стадии. Такие и подобные им процессы, как видно из второй главы, выражают действия «Я» и астрального тела через посредство эфирного тела на нижнем полюсе (процессы построения), или же прямо, без посредства эфирного тела, — на верхнем полюсе (процессы разрушения). Чередование этих двух стадий является основным ритмом, свойственным всей совокупности женских половых органов и их функций.
Роль «Я» проявляется также и в том факте, что менструальная функция тесно связана с кровью — органом «Я» — и гемопоэзом. Роль «Я» подтверждает и тот факт, что менструация является исключительно человеческим процессом, который не встречается в животном мире. У самок животных физиологические явления, позволяющие обеспечить продолжение рода, следуют годовому ритму, т. е. ритму, который мы встречаем у растений, и который мы, следовательно, должны назвать эфирным. У животных нет регул в прямом смысле слова, и даже псевдо-менструации у макак-резусов не содержат зародышевых клеток. Наконец, тот факт из человеческой физиологии, что приступ лихорадки может иногда стушевать менструацию, также свидетельствует о действии «Я» на этот процесс.
Интериоризированный лунный ритм.
Ранее мы связали сердечный ритм человека с солнечным ритмом. Теперь мы попытаемся сопоставить периоды 28 дневного менструального цикла с лунными фазами. Во втором томе настоящей книги, посвященном взаимодействию планет, металлов и функций органов, мы в деталях изучим связи между планетарными циклами и человеческими ритмами.
Однако, как мы знаем, фазы физически наблюдаемой луны находятся не в банально прямом взаимодействии с менструальным циклом, иначе все женщины менструировали бы в одно и то же время, просто следуя чередованию лунных фаз. Этого не происходит. В действительности, лунный ритм некогда в процессе эволюции человека был интериоризирован, внедрен вовнутрь организма (как и в другой период развития был интерио-зирован солнечный ритм). Поэтому мы могли бы сказать, что женский организм запечатлел в себе воспоминание об этом ритме.
Материалистическая теория смогла бы заявить, что последовательное чередование двух фаз является только автоматизмом, при котором каждый из процессов продолжает предыдущий, как маятник у часов вновь возвращается, достигнув некоторой высоты. В действительности же, тот факт, что за укороченным из-за тех или иных внешних обстоятельств циклом часто следует цикл более продолжительный (и наоборот), является доказательством существования компенсации, следовательно, внутренней регуляции, которую мы можем лишь временно изменить. В этом нет ничего общего с автоматизмом. Так, если мы подведем часы неправильно, они сохранят этот отрыв от нормального времени до тех пор, пока мы не поставим правильное время; напротив, если мы сдвинем, благодаря введению гормонов, менструальный цикл, организм сам будет стремиться компенсировать эту задержку, чтобы вновь обрести свой природный ритм. Можно нарушить органическую функцию организма, но факт разрушения функции никогда не может быть доказательством ее отсутствия.
Две фазы цикла.
Первая фаза цикла, заканчивающаяся в момент овуляции на четырнадцатый день, характеризуется действием «Я», которое последовательно изменяется с помощью сначала астрального, затем эфирного, а затем и физического тел, сообщающих этому действию «Я» динамику, свойственную полюсу метаболизма, которая характеризуется процессами размножения, созидания и трансформации субстанций и качеств. На уровне зародышевой клетки эта динамика способствует созреванию яйцеклетки и образованию фолликула Граафа в яичнике; на уровне матки процесс размножения клеток слизистой оболочки готовит место для яйцеклетки. Эта фаза размножения немного превосходит по продолжительности пик момента овуляции, поскольку образование желтых тел также происходит на этой фазе. Если яйцо было оплодотворено, это желтое тело будет существовать на всем протяжении беременности. Беременность с этой точки зрения представляет собой продолжение и усиление первой фазы цикла. Напротив, неоплодотворенное яйцо умирает, что является начальным шагом второй фазы, характеризующейся прямым действием «Я» на организм, инициирующим процессы разрушения. Тогда желтое тело увядает, оставляя маленький бугорок на яичнике. Слизистая оболочка матки разрушается и становится местом накопления для крови, утратившей свою витальность, которая будет выведена из организма в период менструации. Это выведение того, что уже лишено жизни, сопровождается сокращением матки, свидетельствующим о возросшей активности астрального тела.
В действительности, переход от первой стадии ко второй не столь ярко выражен, как это можно предположить, руководствуясь приведенными выше описаниями. Так, овуляция, являясь процессом выделения, требует вмешательства астрального тела. Она же указывает на вторую стадию, хотя и находится в конце первой. Напротив, образование желтого тела является процессом, относящимся к первой стадии, хотя он и продолжается немного во время второй стадии. Образование гормонов-фолликулина и лютеина, является свидетельством деятельности желез, исходящей от эфирного тела и принадлежащей первой фазе; но выделение этих гормонов в мочу является процессом удаления, принадлежащим ко второй стадии с большей активностью астрального тела. Это еще раз доказывает, что в организме вещество значит куда меньше, чем процесс, находящий свое завершение как раз в образовании вещества.
Во время беременности эти два гормона — фолликулин и лютеин, продолжают образовываться. Их синтез принадлежит, следовательно, к процессам созидания вообще, просто в отсутствии беременности первая фаза более ограничена по длительности.
Патологические тенденции.
Такой физиологический набросок менструального цикла и его связей с основными членами существа человека, необходим для понимания причин расстройств менструации. Он может также подсказать и рациональные методы лечения этих расстройств. В принципе, мы видим возможность двух аномалий: одну — характеризующуюся избытком процессов созидания и размножения; другую, напротив, — избытком разрушительных процессов.
Избыток строительных сил размножения.
Смещение равновесия в сторону тенденции к размножению приводит к железистой гиперплазии, к гипертрофии слизистой оболочки и к избытку фолликулина. Гиперемия, которая сопровождает первую фазу, продолжается и во время второй фазы — регулы тогда бывают крайне обильными. Выделенная кровь имеет ярко красный цвет, что свидетельствует о том, что она не полностью переработана и сохраняет артериальный характер. Кровянистые выделения являются здесь, в отличии от нормальных менструаций, не результатом разрушения слизистой оболочки, но следствием кровоизлияния в нее: это своего рода разрыв, которому предшествует воспалительный процесс. Такие расстройства часто сопровождаются головокружением, астенией, отсутствием внимания, забывчивостью, характерными для любого ослабления сознания. Женщины такого типа часто плеторичны, склонны к мигреням. Мы обнаруживаем здесь тип Calcarea carbonica гомеопатов. Образно говоря, у больных этого типа то, что соответствует мягкой живой субстанции устрицы, доминирует над мертвой минеральной субстанцией раковины.
Избыток разрушительных процессов в сфере ор
ганов размножения.
Когда преобладает вторая фаза и берут верх процессы деградации, разрушения и смерти, мы наблюдаем явления застоя, который не ограничивается рамками внутриматочной слизистой оболочки. Вены растягиваются, конечности имеют синюшный оттенок; регулы — необильные, темного цвета, запаздывают. Перед нами тип «Pulsatilla» гомеопатов. Это больные, у которых доминируют силы земли, упрощенно говоря, «силы тяготения». Застой в венах является выражением действия сил тяготения. Тенденция к меланхолии, опущенные долу взгляд и голова являются также признаками избыточного действия сил тяготения. Ветреница (Pulsatilla) характеризуется сильным стержневым корнем, еще наполненным земными силами. Листья, напротив, тонко вырезаны и широко открываются действию космических сил. Появляющийся затем цветок, напоминающий по форме колокол, обращен к земле, и он, в свою очередь, подвергается действию сил земного тяготения. Наконец, после вызревания, стебель распрямляется, и перистый плод вновь обращен к космосу. Таким образом, все растение является выражением ритмичной борьбы между земными силами и силами космоса, заканчивающейся победой последнего. Этот пасхальный цветок концентрирует в себе смерть и возрождение. Предпочтение, отдаваемое ветреницей кремнеземным почвам, также указывает нам на полярность между типамаи Calcarea carbonica и Pulsatilla.
Аменореи.
Когда силы «Я» слишком интенсивно действуют на верхнем полюсе — что часто встречается при чрезмерной интеллектуальной работе, например, во время учебы или подготовки к экзаменам, — они не могут быть использованы на нижнем полюсе для выполнения генитальных функций. Да и вообще интенсификация процессов разрушения в организме, к которому ведут интеллектуальные перегрузки, должна постоянно компенсироваться эфирными силами регенерации, что может привести к серьезным расстройствам, в первую очередь в сфере размножения. Такое постоянное насильственное изъятие сил «Я» и эфирных сил из нижнего полюса женского организма в пользу высшей психической деятельности верхнего полюса, делает невозможными процессы созревания яйцеклетки и разрастания внут-риматочной слизистой оболочки. Первая фаза цикла как бы подавляется, и, поскольку вторая фаза не может обойтись без первой, то нет больше ни цикла, ни менструаций. Здесь мы имеем дело с аменореей, развившейся вследствие изъятия, истощения жизненных сил. Критической точкой в этих патологических процессах часто становятся и другие факторы: резкое переохлаждение после купания или, например, психический шок.
Когда причины повторяются, например, при постоянном избытке интеллектуальной работы — излечение невозможно. Необходимо прежде всего изменить образ жизни. Однако и в этом случае добиться излечения трудно. «Я», которое на нижнем полюсе является непосредственным деятелем, актером, на верхнем полюсе ведет себя скорее как зритель и, устроившись однажды в ложе, больше не испытывает желания выйти на сцену и вновь взяться за свою роль. Иногда бывает нужно немало «хитрости», чтобы заставить «Я» вспомнить свою деятельную созидательную роль. Согревание нижнего полюса является одной из этих «хитростей», поскольку тепло является собственно элементом, в котором живет «Я».
Несколько отличается от описанной выше аменорея у анемичных девушек. В этом случае мы не находим избыточной интеллектуальной деятельности. «Я» вообще воплощается как бы нехотя, как на верхнем, так и на нижнем полюсах. Вспомнив предыдущий образ, мы можем сказать, что оно в этом случае вообще не любит ни сцену, ни ложу и приходит в театр весьма неохотно. Подобные аменореи требуют, прежде всего, лечения часто имеющейся у таких пациенток анемии. Добавим еще, что иногда эти две формы аменорей переплетаются.
Первичная аменорея.
Обычно генитальные органы трансформируются под влиянием астрального тела в течение второго семилетия. Если последнее выполняет свою роль не корректно, эти органы не достигают своей зрелости, остаются инфантильными, и вторичные сексуальные признаки — волосяной покров, развитие молочных желез, ломка голоса и т. д. не появляются или проявляются недостаточно. Преобразования эфирных сил на функциональном плане не происходит, что ведет к сохранению таких чисто эфирных органов роста, как тимус (вилочковая железа). Так выглядит процесс первичной аменореи.
Аменорея, вызванная избытком эфирных сил.
Среди вторичных аменорей есть те, которые мы выше характеризовали недостатком эфирной активности, существует и их противоположность, являющаяся отражением избыточной деятельности эфирного тела. Гипертрофия становится со временем в некотором смысле «непроницаемой» для действия астрального тела и «Я», которые в этом случае неспособны выполнять свои функции по дифференциации и специализации функций. Овуляции, следовательно, не происходит, т. к. разрушительные процессы второй фазы минимизированы. Пролиферация, которая должна была ограничиться слизистой оболочкой матки, пытается захватить весь организм, вызывая чрезмерную полноту и инфильтрацию. Это немного напоминает то, что происходит при беременности, и не так редко можно увидеть, как эта форма аменореи следует за беременностью.
Лечение менорагий.
Вспомнив о Calcarea carbonica и Pulsatilla, мы указали себе пути обоснованной терапии. Мы используем известняк, когда чрезмерными являются процессы первой фазы цикла. И, напротив, используем Pulsatilla в тех случаях, когда слишком интенсивна вторая фаза. При тенденции к менорагий Р. Штайнер рекомендовал использовать Corallium rubrum, который в этом случае предпочтительнее, чем Calcarea. Мы назначаем его в форме D3, а еще лучше в форме ежедневных втираний в надлобковую область (Unguentum Corallii rubri compositi). В случае сильной меноррагии мы прибегнем к одной или нескольким инъекциям в надлобковую область Marmor D6 / Stibium D6 аа. Мы достигнем также хороших результатов с помощью такого растения как Capsella bursa pastoris (от 10% до D3).
Лечение гипоменорей.
Когда доминируют процессы разрушения второй фазы, т. е. силы земного тяготения — при наличии симптомов застоя в венах и предрасположенности к меланхолии, — мы назначим Pulsatilla от D3 до D6. Необходимо также усилить действие эфирного тела, для чего мы выписываем Argentum, который лучше наносить вечером в форме мази (Argentum 0,4% Ung.), в надлобковую область. К таким втираниям мы прибегаем в течение первой фазы цикла, чередуя их с назначением Pulsatilla в течение второй фазы. Дополняя Argentum, мы назначим Prunus spinosa от D3 до D5.
Дисменореи...
На практике мы часто встречаем расстройства, которые трудно отнести к одной из известных нам тенденций и которые обычно группируют понятием «дисменорея». Эти расстройства являются свидетельством дисгармонии, существующей между различными сущностными членами организма. Они часто сопровождаются спазматическими явлениями, связанными с действием астрального тела, — эти спазмы проявляются в те моменты цикла, когда при нормальных условиях астральное тело должно было бы активно включаться в процесс. Так, в конце второй фазы, во время менструации, выделение остатков расщепления слизистой оболочки и крови сопровождается сокращениями матки, вызываемыми действием астрального тела. Эти сокращения могут носить спазматический характер, что ведет к появлению болезненных ощущений. Расстройства подобного рода могут появиться, хотя и менее интенсивным образом, в момент овуляции, которая также является процессом выделения, требующим присутствия астрального тела.
...
и их лечение.
Мы можем облегчить расстройства спастической природы, назначив Chamomilla D20 / Тогmentilla D30 по десять капель перед едой три раза в день (начинать за два дня до менструаций и продолжать столько, сколько потребуется). Мы можем также использовать Belladonna D6 (для брюнеток) или Chamomilla D3 (для блондинок). Это лечение (per os), если потребуется, может быть дополнено ежедневными втираниями в надлобковую область мази Oxalis 10% Ung. (в случае необходимости — 30%). Можно применить Cuprum metallicum praep. 0,4% Ung., нанося ее на поясничную область.
Однако полное выздоровление возможно лишь в случае более глубокого лечения. Очень часто подобные расстройства бывают вызваны хроническим переохлаждением нижних конечностей, — в данном случае выздоровление невозможно до тех пор, пока мы не убедим больную в необходимости одеваться теплее. Потрогайте ноги ваших больных, очень часто они бывают ледяными, хотя больные говорят о том, что это их не беспокоит. Углубленное лечение, которое можно применить при всех видах расстройств менструации, состоит в назначении препарата «Menodoron» — композиции, которую разработал д-р Р. Штейнер (Achillea millefolium, flos. 4% / Capsella bursa past., herba 3% / Majorana, herba 1 % и semen 3% / Quercus, cortex 5% / Urtica dioica. flos 2%). Мы назначаем его (5—10, вплоть до 20) капель три раза в день перед едой. Необходимо продолжать лечение в течение нескольких месяцев, с перерывом на время менструации. Лечение может быть дополнено или продолжено курсом чая «Metratee» (настой принимают на ночь). «Menodoron» и «Metratee» оказывают гармонизирующее действие при всех менструальных расстройствах независимо от причин.
Лечение аменорей.
Лечение аменорей часто является сложной проблемой, особенно если речь идет о первинной аменорее, которая требует, прежде всего, конституционального лечения. Чтобы обязать «Я» спуститься в генитальную область и выполнять там свою функцию, мы назначим Muciiago levistici D6 попеременно с Ovarium D3 каждый по 2 раза в день по 10 капель (можно, в случае необходимости, смешать их). Руководствуясь теми же целями, мы назначим Phosphor D6, 10 капель после сна, утром. Мы пропишем также Соnchae или Pulsatilla, в зависимости от типа больной, с которой мы имеем дело. После появления или возобновления менструаций больная должна пройти длительный курс лечения «Menodoron», так же как и курс терапии «Metratee».
ГЛАВА ШЕСТНАДЦАТАЯ
Проблема кожных заболеваний
Книги по дерматологии поражают обилием описаний, тщательностью рассмотрения деталей, причем микроскопические исследования являются важнейшей частью этих трудов. Но они практически никогда не исследуют собственно причины заболеваний, а терапия чаще всего разочаровывает своей паллиативностью. Мы покажем на примере нескольких распространенных кожных заболеваний, что можно куда лучше и глубже понять генез этих болезней, если установить связи кожных явлений с целым человеческим организмом и на этом пути отыскать пути к наиболее рациональной терапии.
Трехчленность кожи.
В коже мы находим отражение человеческой триады с ее нейро-сенсорным полюсом, полюсом метаболизма и ритмической частью. Эта трехчленность кожи проявляется как в анатомическом, так и в функциональном плане. Мы попытаемся выявить характерные черты этой троичности.
Кожа, как нейро-сенсорный орган.
Кожа, как орган чувств, принадлежит к нейро-сенсорной системе. Но она обладает еще одной чертой, свойственной полюсу головы, — в ней особо активно работают формообразующие силы. Кожа ограничивает физическое тело и придает человеку внешнюю форму. Центробежные эфирные силы роста встречаются здесь с центростремительными силами астральной природы.
В равновесии между этими силами, каждая из которых несет отпечаток человеческого «Я», кроется красота форм, которыми мы восхищаемся, например, в античных статуях Афродиты.
В детском возрасте доминируют центробежные силы, стремящиеся наполнять все формы, округлять их, даже раздувать. У стариков, напротив, силы структуризации и минерализации берут верх, в связи с чем упругость, формируемая центробежными силами, исчезает, кожа теряет свою эластичность, становится увядшей. Между участками огрубевшей кожи образуются морщины, напоминающие, пусть и отдаленно, соединения отдельных частей панциря беспозвоночных. Старея телесно, мы в некотором смысле проявляем тенденцию стать беспозвоночными. В противовес природному старению нам следовало бы с годами компенсировать это укреплением собственных моральных устоев, формированием гибкого и в то же время крепкого «этического хребта», не подменяя эту личную внутреннюю моральность скорлупой извне навязанных общественных и религиозных условностей.
Метаморфизированные силы роста.
У животных, причем не только у беспозвоночных, твердые элементы кожи — шерсть, перья, чешуя, рога, копыта и т.д.— развиты гораздо лучше, чем у человека, преобразовавшего в процессе эволюции часть этих сил роста в силы мышления. Но за это человек должен был надеть на себя одежду, защитить и скрыть свои нежные покровы. Отведав плод древа познания, он познал и свою наготу.
Ритмические процессы.
Внешний слой эпидермиса, состоящий из постоянно отмирающих клеток, является выражением процессов смерти и минерализации нейро-сенсорного полюса. Большое содержание кремния в структурах кожи и в защитном слое придает ей некоторую прозрачность. Эта прозрачность, которая, впрочем, уменьшается с появлением пигментации, позволяет заглянуть в сосудистую сеть кожи — ее ритмическую часть. Движения души сопровождаются изменениями кровообращения, вызывающими румянец или бледность кожного покрова соответственно характеру эмоции. Ритмическое начало кожи обнаруживается также и в ее дыхательной функции, значение которой хорошо известно.
Метаболические функции.
Наконец, в самом глубоком слое кожи — главным образом в гиподерме — мы находим все, что может быть отнесено к процессам метаболизма. В этом слое расположены потовые железы, волосяные луковицы, характеризующиеся интенсивными пролиферативными процессами и тонкой мускулатурой мимических мышц, обеспечивающих динамику выражения лица.
Нарушения метаболизма.
Таким образом, кожа тесно связана с тремя областями организма — нейро-сенсорной, ритмической и метаболической, отражением которых она, по сути, и является. Поэтому кожные заболевания часто представляют собой поверхностные отражения внутренних событий, связанных с нарушениями во внутренних органах. Участие кожи в этих расстройствах, в целом, представляет собой экстериори-зацию (выведение наружу) болезненных процессов и, следовательно, попытку к самоисцелению со стороны организма. Частое появление атопического диатеза вследствие необдуманного купирования астмы и, наоборот, излечение астмы с одновременным возвращением кожных симптомов ярко подтверждают эту мысль. Заболевания такого рода суть результат неполного преобразования белков в организме. Кожа старается преобразовать и вывести то, что было недостаточно переработано внутренними органами. Такая метаболическая сверхактивность кожи сопровождается центробежными проявлениями в дерме. Эритема, папулы, везикулы являются лишь различными фазами такого «пищеварительного» процесса с попыткой выделить «недоочелове-ченные» белки. Эту симптоматику, просто с различными оттенками, мы обнаруживаем при пиодермии, фурункулезе, мокнущих экземах и т. д. Следует отметить, что подобные расстройства гораздо чаще встречаются в начале жизни, нежели в старости.
Сухие дерматозы.
Когда процессы девитализации и минерализации становятся слишком интенсивными, мы наблюдаем сухие кожные заболевания: ихтиоз, псориаз, сухие экземы и т. д. В принципе, зуд различного рода тоже относится к проявлениям этого рода, причем интенсивность зуда часто контрастирует с бедностью или отсутствием объективных симптомов. Сильный зуд, пру-рит свидетельствует об активизации нейро-сенсорных процессов, он понуждает к расчесыванию. Расчесывание — это попытка освободиться от слишком твердых частей, например, корок. Нужно просто вдуматься в эти процессы.
Расстройства ритмической функции.
Некоторые кожные заболевания своими проявлениями обнаруживают одновременную принадлежность и к метаболическим, и к нейро-сенсорным процессам. Такова крапивница, при которой сыпь — метаболический симптом, а зуд — нейро-сенсорный. Такая двойственность в действительности свидетельствует о расстройствах ритмической системы кожи, а именно о нарушении процессов циркуляции. Другие заболевания, отражающие расстройства ритмической системы, больше связаны с «дыхательной» функцией кожи. Роль этой функции по отношению ко всему организму очень велика, но в общем ее мало учитывают. Вероятно, что, например, микозы являются следствием именно расстройств дыхательной функции кожи. Ведь общеизвестно, что грибы развиваются только в плохо оксигенированной среде, при недостатке кислорода. В основе микотических поражений или предрасположенности к ним мы часто находим использование косметических средств плохого качества или синтетических моющих средств. Таким образом, появление в продаже некоторых детергентов (химических моющих средств) часто сопровождается настоящей эпидемией паранихиоза у домохозяек.
Дезодоранты и другие средства против пота, препятствуя его выделению, провоцируют настоящую аутоинтоксикацию, которая, поверьте, по последствиям для организма, вполне подобна таковым при задержке мочи. Важно знать, что неприятный запах некоторых испарений, образующихся при ферментации (разложении) пота, усиливается щелочностью мыл и ношением синтетической одежды. В других случаях запах пота находится в прямой связи с характером питания. Интенсивность потения и характер запаха многое могут рассказать внимательному врачу. Нюхайте! Размышляйте!
Бородавки.
Некоторое число дерматозов не входит в предыдущие категории, например, бородавки и папилломы. Они являются следствием локальных нарушений отграничительной функции кожи. Все происходит так, как если бы существовала дыра, через которую процессы пролиферации могут выходить наружу. И действительно такая дыра в этих случаях есть — это эфирная дыра, маленькая зона, где отсутствуют человеческие эфирные силы, что позволяет вирусам развивать собственную жизнь, рост и размножение. Этот процесс — но только по смыслу — несколько напоминает ситуацию злокачественных разрастаний. Локальная слабость человеческих эфирных сил всегда связана с их излишней интенсификацией в другом месте, где имеется нарушение, связанное как раз с эфирной гиперактивностью. Часто достаточно исправить это нарушение, тогда эфирные силы вновь вернутся к присущим им функциям в данном месте кожи, и указанные кожные проявления исчезнут сами собой.
Кожа и внутренние органы.
Любая кожная симптоматика указывает на наличие внутренних нарушений в организме, это практически универсальное правило. Оно значимо даже в случаях, где основную роль играет по видимости внешняя агрессия; ведь то, что такая агрессия извне поражает именно этот организм, указывает на имеющийся внутренний предрасполагающий фактор. Это объясняет нам, почему некоторые индивидуумы более устойчивы к таким агрессиям по сравнению с другими. Часто этот внутренний фактор с нарушениями функции печени, поскольку между печенью и кожей имеется явная физиологическая полярность.
Полярность между кожей и печенью.
Мягкие неопределенные формы печени противостоят четкой структурности кожи с ее твердыми элементами — роговым слоем и придатками. Преобладание жидкого элемента в печени контрастирует с сухостью и минерализованнос-тью кожи. Если печень является тепловым полюсом организма, то кожа, напротив, представляет собой полюс холода. Печень — орган, в котором доминирует венозная кровь, тогда как во внутреннем слое кожи присутствует кровь артериальная; мы всегда вспоминаем об этом при цианозе. Наконец, своей малой чувствительностью печень — орган метаболизма противостоит внешней чувствительности кожи — органу преимущественно нейросенсорному. Однако, эти два органа обладают и общими свойствами, например, выраженной способностью к регенерации. Проявление этого свойства кожи в плане разрушения и восстановления эпидермаль-ных клеток и придатков не менее выражено чем у печени.
Экссудативные диатезы...
Когда некоторые функции печени затруднены, кожа пытается компенсировать их. Тогда она становится более горячей, более влажной, менее чувствительной и утрачивает свою форму, образуя папулы, везикулы и т. п. Полярность между двумя органами затушевывается. Это мы наблюдаем при экс-судативных диатезах.
...
и их лечение.
Лечение таких дерматитов, прежде всего, требует соблюдения режима, облегчающего работу печени и, следовательно, в основе должны использоваться гепатотропные препараты (см. гл. 11), на фоне которых проводится более специфическая терапия.
Мы видим, что береза одарена способностью гармонично отделять белковые синтезирующие процессы от процессов минерализации. Синтез белков именно в березе особо подчеркнуто осуществляется в листьях, а минерализация — особо подчеркнуто в коре. С помощью экстрактов из листьев березы мы можем откорректировать как сами процессы переработки белков, так и заставить организм трансформировать белки в нужном месте. Таким образом, мы препятствуем перемещению этого процесса на уровень кожи и задаем этому процессу как бы правильный образец. Итак, мы назначим Betula, folium D3 по 10 капель три раза в день перед едой.
Для правильного метаболизма белков необходима сера, например, в виде Sulfur D3 до D6. При этом часто наступает кратковременное обострение симптомов, что не является противопоказанием к ее применению. Для укрепления дыхательной функции кожи целесообразно добавить железо. Возможно совмещение серы и железа в одном препарате в виде Ferrum sulfuricum naturale (пирит) D3. Когда сера в организме проявляет желание избежать участия в жизненных процессах, что выражается скверным запахом выделений, мы назначим Hepar sulfur от D6 до D10. Еще мы сможем обратиться к уникальным структурирующим силам гомеопатизированнои сурьмы в форме Stibium metallicum praep. D6-D10.
Пациентам с избыточным метаболизмом, производящими впечатление мягкотелости и неясно очерченной структурности, поможет препарат из раковин устриц: Conchae в средних или высоких потенциях (от D15 до D30).
Искушение назначить «наружное» лечение этих дерматитов является достаточно сильным, тем более что у больных всегда создается негативное впечатление, если терапия непосредственно не направлена против яркой местной симптоматики. Важно объяснить больному внутренние причины болезни кожи. Никогда не следует забывать о том, что резкое подавление кожной симптоматики благодаря наружному лечению может быть причиной более серьезных расстройств внутренних органов. Следовательно, нужно ограничиться гигиеническими мерами, включающими умывание или теплые ванны с эссенцией Календулы 20% (достаточно 1—2 чайные ложек на тазик с теплой водой) или еще лучше сбором Species contra eczema в виде чая 1—2 чашки в день внутрь, также и в компрессах. Мыло, моющие средства, различные кремы должны быть строго ограничены.
Функция деминерализации.
Мы видели, что прямое действие «Я» на верхнем полюсе главным образом реализуется в процессах девитализации и минерализации (см. гл. 3). Но «Я» обладает еще и способностью доводить эти процессы до логического завершения, полностью разрушая минеральное. Процессы девитализации необходимы как основа для существования, пробужденного сознания. С процессом же разрушения минерального вплоть до исчезновения материи интимно связан процесс человеческого самосознания, переживания самого себя как индивидуума. Но «Я» ограничено в своей способности к разрушению минерального. Если девитализация и деструкция становятся слишком интенсивными и неадекватны возможностям «Я», образуются недоразрушенные остатки, осадки, представляющие собой инородные тела. Мы находим эти процессы деминерализации и выделения солей на уровне кожи человека. Это не удивляет, так как кожа в данном случае проявляет свойство нейро-сенсорного полюса. Когда процессы деминерализации становятся недостаточными по отношению к процессам минерализации, то твердые части, накапливаясь в коже, делают ее сухой, шелушащейся, покрытой корочками, что наблюдается при ихтиозах, сухих экземах, псориазе. Кожа принимает, в некотором смысле, животный характер, особенно ярко выраженный при ихтиозе. Здесь обнаруживается связь между характером кожного покрова и самосознанием: по сравнению с кожей животных кожа человека содержит гораздо меньше ороговевших элементов и только человек обладает самосознанием.
Лечение сухих дерматозов.
Для лечения сухих заболеванимй кожи используется кора березы (Betula cortex), действующая в периферийных областях организма и стимулирующая выведение всего затвердевшего и минерального. Мы назначим Betula cortex 1% в виде подкожных инъекций или внутрь. Советуем также добавить к лечению листья березы благодаря их оживляющим и мочегонным свойствам в форме концентрированного настоя или эликсира из листьев березы («Birken-Elixier» Weleda). Для пробуждения необходимых разрушительных сил «Я» мы назначим такой твердый минерал, как кремний. Пропишем его в низких разведениях, в средней или высокой потенции — Quarz D15 до D30 trit. на кончике ножа один или два раза в неделю. Благодаря параллельному применению березовой коры мы направляем его действие на кожу.
В качестве общей профилактики следует стимулировать деминерализующую деятельность «Я» с помощью розмарина в тонком дисперсном виде. Для этого хорошо использовать «Добавку для ванн с розмарином» («Веле-да») или масляную вытяжку розмарина для массажа. Применяемые в утренние часы эти процедуры пробуждают сознание и благоприятствуют ночному сну. Применение этих мер вечером рискует спровоцировать бессонницу. Мы располагаем еще одним великолепным средством борьбы с сухими дерматитами — это серные ванны (Kalium sulfuricum 30%, одна столовая ложка на ванну).
Лечение сильного зуда (пруритов)
. При поражениях, сопровождающихся сильным зудом, мы прибегаем к обмыванию горячей водой с настоем Species с. eczema. Чем интенсивнее зуд, тем горячее должны быть вода. В случае обширных повреждений настой может быть добавлен в горячую ванну. При старческом зуде, всегда связанным с артериосклерозом, не следует забывать прописывать Plumbum mellitum D12-D20 и Березовый эликсир «Веледа».
Лечение псориаза.
При псориазе хорошие результаты мы получим только в том случае, если начнем лечение с яблочной диеты (одна неделя), а на последующие три месяца назначим вегетарианскую диету. В дальнейшем больной должен будет навсегда отказаться от употребления животного жира. Помимо Betula cortex и Quarz мы используем Gallae halepenses D2 или D3 Trit на кончике ножа три раза в день и Agaricus muscaricus D10 no 10 капель два раза в день вместе с отваром Speices antipsoriases. В тяжелых случаях следует прибегнуть к двум еженедельным инъекциям Formica D6 до D15.
Акне (угри)...
Юношеские угри характеризуются застоем кожного жира и фрагментов отмирающих клеток. Это содержимое, действуя как инородное тело, провоцирует воспалительные реакции и попытки выделения, что, собственно, и является основой формирования угря. Стало быть причина акне кроется в слабости процессов выделения. Часто у девушек, склонных к образованию угрей, доминирует первая (строящая) фаза менструального цикла и наблюдается избыток фолликулина (гл. 15). Это заболевание вообще чаще встречается у женщин. Локализация угрей, особенно в области грудной клетки у высоких, долговязых больных, побуждает думать о возможной предрасположенности к туберкулезу. Отметим, что фурункулез, имеющий определенную общность с угревой болезнью, может представлять собой «промежуточную болезнь» перед развитием туберкулеза, и поэтому основная терапия в этом случае должна быть направлена больше на лечение общего состояния, чем на подавление фурункулеза.
...
и их лечение.
Лечение угрей требует от больного соблюдение режима аналогичного режиму для больных псориазом: неделя яблочной диеты, затем три месяца вегетарианской диеты. В дополнение к конституциональному лечению назначают Quarz D30, заменяемый у некоторых больных на Conchae, попеременно с Sulfur D3. В тяжелых случаях проводят курсы Erysidoron 1 и 2. Необходимо также бороться с запорами, например, с помощью послабляющих растительных чаев (без Сенны!) перед сном. Нужно постоянно стимулировать выделительные функции астрального тела, особенно потоотделение. Местно целесообразны очень горячие обмывания или компрессы с добавлением 1—2 кофейных ложек 20% раствора Calendula утром и вечером. В принципе, следует воздерживаться от всякого применения мазей, кроме случая очень затвердевшего акне, когда возможно использование мази Mercurius vivus Dl 5. Попутно отметим, что она также дает хорошие результаты и в других случаях отвердевания, например, при ячмене. Применять ее нужно вечером, после умывания календулой. Умеренно приеняемые морские и солнечные ванны благоприятствуют излечению от акне.
Лечение микозов.
Микозы лечат также промыванием очень горячей водой с добавлением календулы дважды в день (утром и вечером). После утреннего умывания используют порошок Wecesin («Веледа»), а после вечернего — накладывают немного мази Cuprum 0,4% / Ni-cotiana 1 % аа. В случае опрелостей, особенно в местах складок, должна быть обеспечена хорошая вентиляция, а для высушивания следует применять марлевые салфетки. Развитию микозов способствуют мыла, содержащие щелочь, поэтому следует воздержаться от их применения. Необходимо порекомендовать больному кислые мыла и проводить обработку пораженных мест кислотными растворами (уксусная или лимонная вода). Одежда не должна соприкасаться с участками пораженной кожи. Эти меры можно использовать и для удаления дурного запаха.
Раны и ожоги.
Хотя раны и ожоги не относятся к заболеваниям кожи, а являются следствием травматизма, тем не менее важно затронуть вопросы их лечения, т. к. отдаленные результаты для кожи часто зависят от того, каким образом была оказана первая помощь.
Лечение ран.
Раны промывают теплой водой с календулой 20% (1 чайная ложка на чашку воды). При необходимости, порванные ткани складывают и к ране прикладывают компресс, пропитанный разбавленной настойкой календулы (никогда не использовать чистую, неразбавленную настойку). Когда началось затягивание раны, можно заменить компресс мазью Calendula / Мегcurialis comp. В случае склонности к инфицированию при промывании и приготовлении компрессов заменить теплую воду на горячую. Такой способ лечения дает хорошие результаты. В случае резаных ран после тщательного промывания раствором календулы можно стягивать края раны при помощи лейкопластыря, что позволит избежать сшивания или применения скобок. В случае глубокой раны, например, от ржавого гвоздя, больному назначают промывание горячей водой с раствором календулы. Если необходима профилактика столбняка, то делают подкожную инъекцию Belladonna D3 / Hyoscyamus D15 аа (совет д-ра Р. Штейнера).
Лечение ожогов.
Лечение ожогов проводится при помощи компрессов с жидким препаратом Combudoron (Arnica, pl. tot. 2,5% / Urtica urens, herba 47,5%) «Beледа». Непосредственно перед применением готовят раствор 1 к 10, или одна столовая ложка Combudoron на девять столовых ложек воды. Полученным раствором пропитывают компресс. Последний накладывается на пораженный участок кожи на пять дней и периодически увлажняется — он никогда не должен высыхать. Через пять дней компресс можно снять, в случае необходимости заменить новым; если эпителизация началась, то жидкий препарат Combudoron меняют на Combudoron-Gelee (гель), а если эпитализация полная, то компрессы сразу заменяют мазью Combudoron. Срок в пять дней, в течение которых компресс не снимают, может быть существенно сокращен в случае, если мы имеем дело с маленькими неглубокими ожогами. Такое лечение ожогов дает значительное облегчение в среднем уже в конце первой четверти часа, оно обеспечивает быстрое выздоровление, хорошее (в том числе с косметологической точки зрения) качество заживления, не оставляет нарывов и гнойничков. В случае обширного ожога необходимо дополнить описанное выше лечение комплексом мер, направленных на улучшение общего состояния больного: Arnica pl. tot. D3 по 10 капель три-шесть раз в сутки, Cardiodoron по 10 капель три раза в день, Argentum D30 в подкожных инъекциях каждый день или через день, а также обильное питье с добавлением Эликсира березы (Birken-Elixier) для стимуляции диуреза. Combudoron приносит облегчение и благоприятствует быстрому выздоровлению даже в случаях ожоговых ослеплений (разбавить 1 к 20 и наложить компрессы на закрытые веки), а также при солнечных ожогах (лечение как при других ожогах).
Роль наружных средств.
Антропософская фармакопея содержит большое количество мазей, из которых лишь небольшая часть используется для лечения кожных заболеваний. Назначая лекарство per os мы главным образом действуем на метаболизм, при подкожных инъекциях — на ритмическую систему. Если же мы применяем медикамент в форме мази, то влияем на орган чувств, каким является кожа, и адресуемся непосредственно к нейро-сенсорной системе. Наносимое лекарство действует не столько проникновением веществ через кожу, сколько своей динамикой, поскольку в них используются потенцированные субстанции. Неоспоримая эффективность этой формы терапии является убедительным доказательством недостаточности познаний современной физики для понимания жизненных взаимосвязей.
ПОСЛЕСЛОВИЕ К 1-му ТОМУ
Открывая эту книгу, дорогой читатель, Вы искали ответы на множество вопросов. Если я и сумел осветить некоторые из них, то, несомненно, поставил перед Вами и много новых вопросов.
На этих страницах я рассказал лишь о некоторых заболеваниях. Кроме того, я не стремился упомянуть все указания д-ра Р. Штейнера, касающиеся медицины, но, быть может, я ближе подошел к своей цели, если пробудил в Вас интерес к новым возможностям понимания человека и терапии, чем если бы просто предложил ряд готовых рецептов.
При первом чтении некоторые идеи могут показаться Вам непривычными, поскольку их трудно понять при помощи одного интеллектуального мышления, а некоторые образы, приводимые в тексте, могут вызвать у Вас улыбку.
Отложите книгу. Если Вы вернетесь к ней, что-то откроется в новом свете; то, что казалось абсурдным при первом чтении, быть может, станет для Вас естественным. Такова природа всякого подлинного познания — оно происходит во времени и требует неоднократных повторных усилий.
Однако, настоящие ответы на глубокие вопросы медицины Вы сможете постепенно получать, только практикуя антропософскую медицину. Книг тут недостаточно. Потому что любая отрасль Антропософии — это дорога, по которой можно только идти; изучение карты, на которой эта дорога намечена, — важное дело. Но понять и осилить дорогу сможет только идущий.
ПРИМЕЧАНИЕ
О ФАРМАЦЕВТИЧЕСКИХ ПРЕПАРАТАХ
Медикаменты, предложенные Р. Штейнером, представляют собой не просто смесь различных веществ — будь они гомеопатизированные или в материально весомых дозах. Глубже понять некоторые аспекты антропософского лекарствоведения Вы сможете, прочитав второй том настоящего издания — «Планеты и металлы». Для того чтобы природное вещество стало медикаментом в антропософском смысле, необходимо, чтобы оно было определенным образом переработано не только количественно, но и качественно. Для этих целей Р. Штейнером были даны конкретные указания, используя которые его ученики приготавливали лекарства для врачей, которые не были удовлетворены арсеналом медикаментов, имевшимся в то время в мире. С этой целью необходимо было создать лабораторию, ориентированную как на исследования, так и на производство новых препаратов для новой медицины. Такая лаборатория была создана в самом начале двадцатых годов в Арлесхайме (Швейцария), и Р. Штейнер дал ей имя «Веледа» (WELEDA). Затем постепенно были открыты ее филиалы во многих странах мира. Исследования эффективности препаратов, оптимального выращивания и сбора растений, методов потенцирования и других фармацевтических тонкостей основаны на совместной работе с тысячами врачей, практикующих антропософскую медицину. Эта работа — огромная по объему и по значимости для современной и будущей медицины. В настоящее время препараты антропософской медицины производятся, в основном, на фирме «Weleda» (в Швейцарии и филиалах, прежде всего в Германии и во Франции) и на небольшой фирме «Wala» (Германия), Поскольку в настоящий момент препараты «Wala» официально не продаются во Франции, я воздерживался от упоминания препаратов этой фирмы. В главе о раке упомянут еще ряд препаратов омелотерапии, разработанных и изготавливаемых другими фармацевтическими фирмами, работающими в области антропософской медицины — «Аbnoba», «Helixor», «Visorel».
Том 2.
ПЛАНЕТЫ И МЕТАЛЛЫ
 ЧАСТЬ ПЯТАЯ
 ПРИНЦИПЫ
АНТРОПОСОФСКОЙ
ФАРМАКОДИНАМИКИ
Основной проблемой для врача является выбор терапии и, в особенности, медикамента. Для того чтобы этот выбор оказался совершенным, требуется чёткое знание всех последствий введения в конкретный организм любого вещества. В большинстве случаев такое знание основано на эмпирических фрагментарных утверждениях. Это особенно верно по отношению к новым медикаментозным средствам. Такой эмпиризм напоминает тактику слепого, движущегося вперед на ощупь. И этот эмпиризм должен быть прёодолён, если хотят основать рациональную и расширенную медицину. При этом возникает фундаментальный вопрос, который вы должны решить: «Возможно ли a priori, вне эксперимента, предвидеть эффекты медикамента на конкретный человеческий организм?» Положительный ответ будет получен только в том случае, если удастся выяснить реальные отношения, которые существуют между человеком и природой. Р. Штейнер указал научный метод — путь, следуя которым можно в этом преуспеть. Я касался этих взаимоотношений между человеком и внешней природой в некоторых терапевтических очерках предыдущей книги (см. Apis и Belladonna, т. I, гл. 6).
В этой части мы займемся установлением связей между человеком и тремя царствами природы, из которых мы черпаем наши знания о лекарственных средствах.
ГЛАВА СЕМНАДЦАТАЯ
Лекарство
— посредник
между природой и человеком
Человек и природные субстанции.
Субстанции, из которых мы получаем лекарства, происходят из различных царств природы — минерального, растительного, животного, и по сути являются чужеродными человеку. Однако и человеческая субстанция одного человека может быть чужеродна для другого человеческого организма. Так, например, кровь, перелитая от одного человека другому, несет с собой для реципиента чуждые характеристики. Стало быть, необходимо, чтобы организм реципиента обладал способностью трансформировать и индивидуализировать введённое вещество. Ибо человек с его «Я» до такой степени индивидуализирован, что терпимо он может относиться только к тому веществу, что было предварительно преобразовано в чистую субстанцию, помеченную затем собственной «печатью» данного индивида. И напротив, организм постарается избавиться от всего того, что сохраняет чужеродные свойства. Организм отторгает все привнесённое в него извне. Так он отторгает трансплантат, взятый от другого индивидуума. При этом толерантность возможна, но только при уничтожении всех защитных реакций, иначе говоря, мы добьемся ее, реализовав в организме потерю индивидуальности.
Реакция организма на природные субстанции.
Такая необходимость трансформировать, очеловечить все, что организм принимает в себя (адсорбирует), в равной степени касается и медикаментов, имеющих (за некоторыми исключениями) тот же путь поступления, что и пищевые продукты. Вынуждая организм трансформировать чужеродную субстанцию, мы даем ему работу, вызываем в нем реакции, которые, при условии корректного выбора медикамента, будут способствовать восстановлению гармонии между основными структурными элементами организма — физическим, эфирным, астральным телами и «Я», другими словами, способствовать его исцелению. Было бы весьма заманчиво допустить, что при любом состоянии организма всегда можно найти некое замечательное лекарство по восстановлению такого равновесия, что в конечном итоге привело бы нас к вероятности бесконечного продолжения жизни. Не будем забывать, что равновесие между четырьмя основными структурами человека постоянно модифицируется от рождения и вплоть до смерти, рисуя в каждый данный момент характерный «образ» индивидуума. Следовательно, восстановление утраченного равновесия есть восстановление этого «образа». Это не значит, что абсолютно невозможно изменить сам «образ». Но здесь мы приближаемся к этической медицинской проблеме, выходящей за рамки настоящей работы.
Введение какого либо вещества в организм требует не только его работы, но и наличия адекватных «способностей» к такой работе. Организм оказался бы не в состоянии осуществлять преобразования тех или иных веществ, если бы не знал, как «атаковать» чужеродную субстанцию, примерно так же, как вы будете не способны разобрать механизм, который вам неизвестен. Таким образом, необходимо, чтобы организм нес в себе некоторое знание, знакомство с веществом или лекарством, что в свою очередь требует наличия прямой связи, родства между человеком и природой. Следовательно, нужно отыскать это родство, изучать, как и когда оно образовалось, иначе говоря, вновь пройти по пути эволюции
подобно тому, как мы изучаем генеалогическое дерево, чтобы отыскать фамильные связи.
Эволюция
— духовный процесс.
Эволюционная идея, какой постиг ее Дарвин, была слишком «запятнана» материалистическими представлениями его последователей, поэтому она и завела науку в тупик. Р. Штейнер, открывший пути духовного исследования, достиг более полного развития этой идеи и показал, что открытия в области палеонтологии в действительности всего лишь материальные свидетельства эволюционного процесса, исходный толчок которого можно найти только в духовном плане. Некоторые читатели с трудом согласятся с таким утверждением. Однако, неоспоримо, что в свете знаний, принесенных Р. Штейнером, проблема эволюции приобретает осмысленный порядок и четкость. Постепенно проясняются многие ее загадки. В наше время одно за другим подтверждаются предвидения Р. Штейнера в отношении проблем эволюции Земли, которые в начале века выглядели технически необоснованными. Пример со стеклянными включениями в лунные породы, о которых задолго до их фактического обнаружения говорил Р. Штейнер, я привел в предисловии к I тому.
Жизнь предшествует минералу.
В книге «Очерк тайноведения», вышедшей в 1909 г.[46]
, Р. Штейнер описывает эволюцию человека и эволюцию Вселенной как два нераздельных феномена. В современных теориях высказываются предположения, что когда-то случайное соединение молекул породило жизнь первого живого существа, от которого произошли все остальные. Еще Лекомт де Нуи[47]
показал несостоятельность этой теории. Позднее В. Хайтлер[48]
, профессор физики из Цюрихского университета, математически доказал невозможность этого совпадения. По теории случайности живые существа якобы произошли от мертвых минералов. Духовное исследование показывает, что происходило обратное — живые существа предшествовали минеральному миру, который можно рассматривать как «продукт выделения» живых существ. Это было бы непонятно, если бы мы забыли, что живой мир существовал изначально в плане духовном, и его физическое бытие есть результат процесса уплотнения, завершающегося в материальной форме.
В своем современном виде человек — продукт очень долгой эволюции. Такой длительный период созревания был необходим, чтобы человек достиг характерной для него степени совершенства. Таким образом, эволюционно человек является самым древним существом. Однако в своей современной форме он предстает последним.
«Высветление» — основной закон эволюции.
Существует закон эволюции, который Р. Штейнер выделил особо. Он гласит: «Для того, чтобы происходило совершенствование, необходимо, чтобы наиболее развитые, наиболее тонкие элементы отделялись от более грубых, подобно тому, как мутная жидкость может осветлиться только за счет выпадения в осадок более плотных частиц.» Для того, чтобы человек стал тем, что он представляет собой сегодня, было необходимо, чтобы подобное «оседание» произошло с другими царствами природы.
В процессе своего развития человек постепенно отторгал все другие живые растительные и животные формы, которые в свою очередь «выбрасывали» в осадок минеральный мир. То, что приобретало физическую структуру и в связи с этим определенную твердость, уже не имело достаточной пластичности, чтобы поддаваться изменениям. Развиваться могли только существа, еще находившиеся на духовном плане или, по крайней мере, имевшие достаточно податливые физические тела. Так, тело ребенка еще может изменяться, в то время как тело взрослого человека сформировано окончательно.
Беспрерывность на духовном плане и прерывис
тость на плане физическом.
Различные известные нам формы жизни проявлялись на физическом плане последовательно. Доходя до определенной степени уплотнения, они теряли способность к изменению, то есть к дальнейшему развитию. Этим объясняется прерывистость между различными формами, которые открывает палеонтология, и невозможность выявления промежуточных форм. Но если развитие не могло продолжаться у окончательно сформировавшихся на физическом плане существ, то оно еще было возможно у их «родителей», сохранивших достаточную мягкость и пластичность, поэтому и не оставивших о себе каких-либо «материальных» свидетельств типа окаменелостей. Точно также невозможно было бы сконструировать современный автомобиль, взяв детали от старой машины и только модифицировав их форму. Преобразование происходит в голове у инженера, т. е. в духовном плане и машина, которой мы пользуемся, есть лишь один из экземпляров, конечный этап в создании этого экземпляра, но лишь промежуточный этап в духовной деятельности инженера, который создает дальнейшие модели. Таким образом, мы можем представить себе эволюцию как непрерывное творчество духовного разума, — физические же существа суть последовательные пробы, продукты этого созидания. В одной весьма интересной книге В. Шюпбах[49]
собрал большое число открытий современной биологии, подтверждающих идеи Р. Штейнера об эволюции.
Степени родства между субстанцией и организ
мом.
Все вышесказанное позволяет предположить наличие родства между внешним миром и человеком. Помимо родства общего характера, Р. Штейнером были обнаружены особые отношения между некоторыми органами, группами органов и некоторыми элементами природы. Так, например, он открыл определенные взаимосвязи между внутренним ухом человека и минералом оникс, которые согласно данным его исследований возникли в эволюции одновременно. На основании этого была создана весьма эффективная терапия.
Вопрос, который мы задавали себе ранее, — это вопрос о способности человеческого организма разрушать субстанции внешней природы. Сам этот процесс, в принципе, возможен именно вследствие вышеуказанного эволюционного родства. Однако реализация его в отношении тех или иных веществ будет различной по степени разрушения. Вполне очевидно, что организм будет вести себя по-разному в зависимости от того, будет ли идти речь о веществах, отторгнутых человеческим родом в процессе его эволюции (то есть, в той или иной мере «забытых» организмом), или же о веществах, имеющих структуру, близкую составляющим субстанциям организма в настоящее время. Так, сравнительно небольшие количества свинца и мышьяка поставят перед организмом более трудные проблемы, чем соответствующие количества железа или карбоната кальция. Первые из упомянутых веществ мы привыкли считать ядами в отличие от вторых; но в конечном итоге все зависит от количества, от дозы. Даже поваренная соль в слишком больших количествах оказывается ядом. Любое вещество (в том числе повседневные продукты питания, такие, как хлеб) в избыточной дозе становится токсичным, если у организма не хватает сил на его переваривание, расщепление.
Организм и синтетические субстанции.
Каково же в этом случае отношение организма к продуктам химического синтеза, которые ему в принципе незнакомы — незнакомы по его эволюции? Будет ли он в состоянии расщепить их? На этот вопрос нет единого ответа. Некоторые синтетические вещества имеют структуру, близкую к структуре натуральных веществ. В этом случае организм с большим или меньшим трудом справляется с ними подобно тому, как он это делал с их природными аналогами. Зато другие ему абсолютно незнакомы — организм «не знает, что с ними делать». Например, в случае с ДДТ, от которого организм не может избавиться и который мало-помалу фиксируется в жировых тканях, лишая их способности выполнять свои функции. Так внутри организма происходит образование чужеродных структур, названных Р. Штейнером «призраками физического тела».
Возрастание сил «по мере необходимости».
При усвоении субстанции для организма имеет значение не столько вещество само по себе, сколько несомые веществом силы (его специфическая энергия), которым организм вынужден противопоставлять свои. Именно разлагая вещества, противопоставляя их силам свои собственные, организм укрепляется, подобно тому, как мышца развивается только благодаря той силе, которую она противопоставляет силе тяжести (или другим внешним силам). Так, астральные и эфирные силы человека, а также силы его «Я», активизируются по мере того, как их востребует процесс пищеварения. Однако нежелательно, чтобы эта их востребованность превышала их возможности, так как в этом случае, вместо того чтобы укрепляться, организм будет ослабевать и постепенно капитулировать, сдаваться. Если прописать несколько сотых долей грамма аконитина — носителя интенсивных астральных сил, то человеческое астральное тело окажется не в состоянии справиться с ним: в данном случае аконитин будет вести себя как яд. Его действие будет благотворно, лишь если применить его при определенном заболевании в правильной дозе — эта доза должна соответствовать конкретной способности организма в данный момент времени уничтожить астральные силы этого лекарства и тем самым укрепить свои собственные астральные и иные силы.
«Гомеопатизирующий» организм.
В сущности, как сказал Р. Штейнер, организм всегда «гомеопатизирует» лекарство (как он, собственно, гомеопатизирует любое попадающее в его внутреннюю среду вещество) — и насколько ему удается осуществить эту гомеопатизацию, настолько эффективно и протекает лечебный процесс. Р. Штейнер добавляет, что в силу этого факта не должно быть разногласий между аллопатами и гомеопатами: «...в действительности,— говорит он,— нет аллопатов, т. к. то, что было прописано как аллопатическое средство, претерпело в организме процесс „гомеопатизации" и именно этим исцелило недуг»[50]
.
Открытия Ганемана...
Самуэль Ганеман интуитивно предчувствовал эти феномены, что и привело его к изобретению «динамизации». Будучи намного мужественнее современных ученых, приносящих в жертву своим исследованиям другие существа — животных, он испытывал лекарственные вещества на самом себе. Таким путем им было сделано основное открытие гомеопатии — «инверсия» свойств субстанций во время динамизации, выраженная афоризмом: similia similibus curantur (подобное исцеляется подобным). Тем не менее глубокий смысл этого явления может быть раскрыт только через углубленное познание человеческого существа и его отношений с природой, подобно тому, как это разъясняет антропософия.
Д-р К. Келлер довольно образно иллюстрирует эту «инверсию» свойств во время динамизации на примере басни Эзопа: собака, стащившая кусок мяса, чтобы попасть в свою конуру должна переплыть реку. Но, попав на берег, она с бешенством бросается на свое отражение в воде, которое принимает за другую собаку. Пытаясь завладеть отражением своего мяса в воде, она упускает реальный кусок. Собака здесь представляет собой астральное тело, а кусок мяса — часть физического тела, задавленное властью астрального тела (например, спазмированное). Чтобы заставить собаку отдать добычу, мы предлагаем ей отражение патологического процесса: динамизированную субстанцию, которая в весомой дозе вызвала бы то же самое заболевание. Не производит ли динамизация настоящего зеркального отражения болезненного процесса?
Легко понять, что современники Ганемана поставили под сомнение эффективность его метода. Получившие образование в школе научного материализма, они не могли допустить существования фармакодинамических форм во все более и более высоких разведениях. Но придерживаться сегодня той же самой позиции было бы проявлением обскурантизма, т. к. существует достаточное количество научных доказательств активности динамизации.
...
и их экспериментальное подтверждение.
Интересно, что первые научные эксперименты, подтверждающие специфическое воздействие гомеопатизированных субстанций были проведены в антропософской научной среде более 50 лет назад. Д-р Лили Колиско начала эту работу еще при жизни Р. Штейнера, который помогал необходимыми методическими рекомендациями. Опыт заключался в следующем: зерна пшеницы помещались для прорастания в исследуемые динамизированные растворы, параллельно проводился контроль с зернами, помещенными в дистиллированную воду[51]
. Если использовать растворы солей металлов, как это делала Л. Колиско, то можно заметить, что низкие ступени динамизации — Dl, D2, D3 — обладают парализующим действием на развитие ростков, что вполне естественно и объясняется известными биохимическими законами. По мере возрастания ступеней динамизации, то есть по мере уменьшения концентрации солей тяжелых металлов, нарушение роста исчезает, достигая в определенный конкретный момент значения «0», при котором больше не существует различия с контрольным опытом. Однако, если продолжить опыт с дальнейшими ступенями динамизациями, то вместо замедления роста наблюдается его ускорение. Эта стимуляция роста достигает максимума в определенный момент, затем вновь уменьшается до 2-й точки «О», за которой происходит новый этап торможения. Таким образом, мы получаем кривую, представляющую три четких зоны по обе стороны от линии контрольного опыта — кривую, динамику которой предсказал Р. Штейнер. Важно отметить, что эксперименты Л. Колиско проводились в течение нескольких десятилетий и с большой точностью, к тому же, как показал позже д-р В. Пеликан, они легко воспроизводимы[52]
.
Эксперименты Хайнца: метод биологический...
С тех пор эта проблема интересовала многих исследователей. Назовем среди прочих труды Jarricot, G. Bertrand, Person, Devraigne, Boiron и его сотрудников, Wurmser и Lapp, Peyraud, Netien, Bockemuhl, Junker, Konig и многих других. Совсем недавно Э. Хайнц, бывший руководитель научно-исследовательской работы в Университете им. Пастера в Страсбурге, опубликовал свои работы по динамизации[53]
. Сначала он рассмотрел влияние последовательной динамизации на дафний и рыб. При низком разведении (то есть высокой концентрации) кумарина (D2-D4) наблюдается негативное влияние на поведение животных в аквариуме, затем, по мере возрастания степени динамизации, негативный эффект слабеет и становится равен 0 (по сравнению с контрольными опытами) при D10. Если продолжить эксперимент, то можно вновь наблюдать негативный эффект, достигающий максимума приблизительно при D12, затем он снижается и сходит на нет при D14. Новая фаза максимального негативного эффекта появляется еще при D16. Около D24 кривая вновь возвращается к 0. В этих опытах вновь четко выявляются три фазы кривой, предвиденные Р. Штейнером (рис. 1, 2).
...
и физический.
Но профессор Хайнц не удовлетворился этими результатами.

Рис. 1.
Будучи физиком, он попытался выявить эффект динамизации и чисто физическим методом. После кропотливых исследований он создал то, что назвал элементом D (рис. 3). Этот элемент имеет два электрода, состоящих из удачно подобранных разных сплавов, подключенных к милливольтметру и приводимых в движение вибратором. Электроды помещаются в исследуемые динамизированные растворы (10). Устройство позволяет получить кривую с тремя фазами, имеющую такую же графическую динамику, как и выявленную с помощью биологических реакций (рис. 4). Элемент D — крайне чувствительное устройство, поэтому необходимо приступать к измерениям при постоянной температуре.
Рис. 2
Кривые, полученные при разных температурах, имеют тот же самый характер движения, но — примечательный факт — при температуре 37°С выявляется максимальная амплитуда (рис. 5).
Рис. 3
Эти эксперименты, проведенные с помощью элемента D, имеют наиважнейшее значение, потому что:
1. Впервые чисто физическим методом была выявле на активность гомеопатических растворов;
2. Этот метод должен способствовать улучшению способов приготовления и контроля динамизированных медикаментов;

Рис. 4. Верхняя кривая: влияние потенцированного
кумарина на электрическое напряжение: измеренное с веществом Д. Внизу: для сравнения приведена кривая с рис. 2а.
Рис. 5. Влияние температуры на кривую динамизации (потенцирования) хлорида ртути
3. Наконец, этот метод подкрепляет результаты, полученные с помощью биологических рецепторов, подтверждая предвидение Р. Штейнера и еще раз доказывая значимость духовного исследования.
Троичность кривой динамизации субстанций.
Р. Штейнер говорил об этих трех зонах динамизации следующее: «Когда вы „динамизируете", вы прежде всего встречаете точку 0, за пределами которой проявляются противоположные свойства. Но это не все. Если вы продолжаете идти тем же путем, то вы достигаете второй точки 0, где в свою очередь эти свойства исчезают. Вы можете перейти эту вторую точку и обнаружить еще более высокие свойства. Эти последние, несмотря на то, что расположены на той же линии, что и первые, оказываются по своей природе совершенно другими»[54]
.
От весомого к невесомому.
Что представляют собой эти свойства? Бесспорно, что до первого 0 преобладают физико-химические свойства материи: сила тяжести, сила сцепления и т. п. А по ту сторону 0 доминирует обратное. «Это, — говорит Р. Штейнер, — „излучение"», то есть сила, противоположная силе сцепления. Во второй фазе растворенное вещество излучается в среду, служащую для разбавления.
Пройдя через максимум, это излучение убывает до второго 0. Если мы продолжим этот процесс, то появится новое свойства, противоположное свойствам второй фазы. Речь здесь уже идет не о физическом сцеплении материальных частиц, но о новом свойстве, имеющем с ним лишь нечто родственное. Р. Штейнер называет это свойство «структуризацией». Вначале мы наблюдаем сцепление самого вещества в его весомом виде, а когда проявляются «структурирующие» силы, мы имеем дело с областью невесомого. «Средняя фаза, — говорит д-р Марти, — колеблется между весомым и невесомым, между материальным сцеплением и нематериальной структуризацией»[55]
.
Здесь можно провести параллель между этой концепцией и идеей о трехчленной структуре организма (см. т. I, гл. 2). В полюсе метаболизма мы встречаемся с процессами, родственными вещественным процессам физики и химии, и, как следствие, со свойствами первой фазы динамизации. В нейросенсорном полюсе начинаются процессы «структуризации», подобные процессам, характерным для третьей фазы. Подобное сопоставление приводит к рациональной концепции использования различных ступеней динамизации. Низкие динамизации будут действовать в полюсе метаболизма, высокие — в нейро-сенсорном полюсе, и средние — в области ритмической системы. Это не значит, что нужно всегда использовать высокое разведение при заболевании, явленные симптомы которого находятся в области головы, ведь причина болезни может иметь место в противоположном полюсе. Так, в случае воспаления среднего уха, если мы пропишем Levisticum е. rad. D3, мы будем воздействовать прямо на метаболический уровень и лишь опосредованно на симптомы заболевания среднего уха.
Можно было бы еще задаться вопросом: не лишены ли терапевтического эффекта динамизации, соответствующие нулевым пунктам? Это, конечно, не так. Не будем забывать, что эти точки есть лишь моменты равновесия между двумя порядками свойств, которые могут великолепно проявляться на различных уровнях организма. Сама практика подтверждает правильность такого взгляда.
Десятичные или сотенные?
Вы могли заметить, что ступени динамизации, принятые в антропософской медицине, как правило, десятичные (D3, D6, D15 и т.д.). Почему не сотенные, как у Ганемана? Р. Штейнер полагал, что десятичные разведения более эффективны. Опыты Л. Колиско, возобновленные позже В. Пеликаном, показали, что кривые, полученные при различных вариантах разведений (1/5, 1 /7, 1 /10, 1 /30, 1 /100), имеют одну и ту же общую динамику, но самая высокая амплитуда кривой выражена десятичными дробями (рис. 6).
Если строить кривую в зависимости от реальной концентрации раствора, а не от номера его динамизации (1, 2, 3-й и т.д.), то кривые будут абсолютно несопоставимыми (рис. 7). Рис. 6. Влияние различных потенций на развитие ростков
пшеницы. По оси абсцисс - номера потенций.
Мы должны ожидать, одного и того же терапевтического эффекта от D9 и С9, от D20 и С20 и т.д., и опыт подтверждает это, причем D, очевидно, будет немного эффективнее. Однако это сходство между всеми D и всеми С неприемлемо для низких динамизации, в которых существуют фармакодинамические свойства, определяемые количественным присутствием вещества. В таком случае мы получим ощутимые различия между всеми D и всеми С. Действительно, D3 соответствует Ю-3
, однако СЗ — 1О6
. Необходимо учитывать это при написании рецепта!
Результаты изучения гомеопатических растворов в течение многих десятилетий показывают, что в настоящее время больше не может существовать никаких сомнений в терапевтической ценности гомеопатических препаратов. Те, кто пользовался ими в течение многих лет, уже давно убедились в этом, но потребовалось проведение экспериментов, чтобы выдать права «гражданства» этому многообещающему методу с большими возможностями. Те, кто сегодня не признает его, просто демонстрируют свою умственную лень и ограниченность, если не злонамеренность.
Не будем же забывать о значительном вкладе антропософии как в понимание, так и в экспериментальную проверку процессов динамизации и их терапевтическое применение.

Рис. 7. Данные кривые получены в результате воздействия
не потенцированными веществами, а простыми раствора
ми. Согласованности кривых не наблюдается.
ЧАСТЬ ШЕСТАЯ
 ПЛАНЕТЫ
И МЕТАЛЛЫ
Благодаря антропософии взаимоотношения между планетами солнечной системы и земными металлами предстают в новом свете. Возможности, которые предоставляет терапия металлами, раскрываются во всей полноте, когда она освещается «планетарной патологией». Сразу же уточним, что «планетарная патология» ничего общего не имеет с «астрологической патологией», строящейся на влиянии на организм физически наблюдаемых небесных тел, хотя такое влияние бесспорно существует. То, что составляет предмет нашего изложения, есть выражение «интериоризации» (дословно — «овнут-рения») планетарного мира в процессе формирования нашего тела. Человек несет планетарный мир внутри себя — в своих органосистемах и органах, — и способ, которым в каждом случае индивидуальной биографии осуществлялась эта интериоризация, прямо отражается в органной патологии. Мы начнем с краткого описания самой возможности «планетарной патологии», а затем займемся изучением семи основных металлов и влиянием лекарств из этих металлов на развитие указанной патологии.
В дальнейшем мы часто будем обращаться к понятиям, изложенным в I томе. Для восприятия II тома нужно, чтобы эти идеи были прочно усвоены читателем.
Физическое тело, каким оно предстает перед нашими глазами, является результатом духовного, недоступного внешним органам чувств формирующего процесса, который начинает подготавливать это тело задолго до его земного рождения. Необходимо хотя бы кратко отразить некоторые аспекты этой проблемы, если мы хотим понять морфологию (пространственный аспект), физиологию (временной аспект) и патологию человеческого тела. Поскольку в рамках данного труда невозможно вдаваться в подробные пояснения, читателям, мало знакомым с понятиями антропософии, некоторые утверждения могут показаться догматичными. И все же эта работа вполне доступна, предназначена как раз для мало подготовленного читателя — при условии, что он готов временно принять данные духовного исследования как род рабочих гипотез, понятных и весьма стройных внутри самих себя, которые предоставляют богатые практические возможности для терапии.
ГЛАВА ВОСЕМНАДЦАТАЯ
Двойной планетарный процесс[56]
Познание материи.
Какой бы материалистической ни была современная наука, ее знание материи очень несовершенно. Благодаря замечательной технике, наука умеет использовать материю в своих интересах, но в действительности не понимает ее. Еще не так давно существовала догма о стабильности элементов. Так, считалось, что некоторое количество материи не может ни создаваться, ни теряться и, что масса каждого элемента во Вселенной постоянна. Открытие расщепления атома почти не изменило этого предубеждения. Сегодня умеют превращать один элемент в другой, высвобождая энергию, умеют разлагать материю, но, конечно же, не умеют создавать ее. Все физико-химические процессы, в конечном итоге, ведут по пути постепенного разрушения физического и никогда по пути его создания. Похоже, что наша планета прошла пик своего развития как физическое тело и находится на пути постепенного разрушения, постепенной деградации. Согласно антропософскому воззрению на эволюцию, минеральный мир постепенно вышел из растительного и животного миров как продукт их выделения. В некоторых научных экспериментах делалась попытка доказать, что и в наши дни возникновение материи еще возможно, хотя преобладают всегда именно процессы разрушения[57]
.
Металлы и
«Я». Среди минеральных веществ металлы занимают особое место. За весьма редкими исключениями они не встречаются в природе в чистом виде, и, чтобы извлечь их из их соединений, необходимо прибегать к техническим средствам. Таким образом, сами чистые металлы связаны с деятельностью человека, с цивилизацией, с развитием человеческого существа, о чем свидетельствуют понятия «золотой век», «бронзовый век» и т. д. В силу этого, металлы тесно связаны с силами «Я», то есть с силами, делающими человека человеком. Следы металлов рассеяны по всей Земле, но в определенных зонах они сосредоточены в рудах. В некотором роде они представляют собой некие органы того огромного живого существа, каковым является наша Земля. Согласно антропософии, всякое вещество является конечной точкой, результатом того или иного духовно продуктивного процесса. Можно сказать, что уплотняющийся духовный процесс исчерпывает себя, умирает в материи. Металлы и минералы являются конечными точками очень отдаленного процесса планетарного развития. Древние ученые знали о связях между планетами и металлами. В своей новой духовной науке Р.Штейнер прояснил эти связи светом современного разума. Материалистическая наука однозначно отнесла бы эти связи в разряд суеверных представлений. Однако эксперименты, подобные опытам Л. Колиско[58]
, подтверждают их реальность.
В нашей терапии мы обращаемся не к физико-химическим свойствам металлов в их грубо материальной форме. Насильственно введенные в организм в больших дозах они ведут себя как инородные процессы, факторы расстройств, разрушения и смерти. Но благодаря процессу гомеопатической динамизации, можно возродить созидающие планетарные силы, скрытые в металлах. Металлы представляют собой завершение планетарного процесса, и их можно использовать для восстановления гармонии между различными сторонами психофизиологического целого человеческого организма и, самое главное, направить силы «Я» в нужном направлении. «Любое минеральное вещество, введенное в организм,— говорит Р. Штейнер,— обязательно должно претерпеть некую трансформацию, пройти через несубстанциональную стадию, стадию теплового эфира, прежде чем стать пригодным для данного организма. Подобный процесс требует от сил „Я" интенсивного участия. „Я" предстоит выдержать настоящую борьбу с минералом, и мы свидетельствуем глубокое уважение в отношении „Я", считая его способным одержать победу в этой борьбе».
Наши органы
— «интериоризированные в нас плане
ты».
Чтобы рационально использовать эти сверхчувственные свойства металлов, необходимо знать не только их связи с планетами, но и характер проявления планет в организме. Мы видим, что лунный ритм внедрился в органы размножения, причем по преимуществу в женский организм. Такой процесс интериоризации имеет куда более общий характер, потому что каждой планете в человеке соответствует какой-то орган или, точнее, совокупность функций. Человек-микрокосмос есть истинное отражение макрокосмоса. Говоря об «интериоризации», мы сразу же приходим к размышлению об астральном теле (том I, гл. 1), которому свойственен именно этот процесс, начинающийся с гаструляции и постепенно дающий всем нашим органам структуру при посредничестве эфирного тела.
Планетарные сферы...
Хотя наблюдение за физическим телом раскрывает механизмы его формирования, тем не менее, оно не дает никакой информации о причинах этих механизмов. Формирование наших органов, на самом деле, является результатом процесса, который начинается задолго до рождения и зачатия. Готовясь к новой инкарнации, «Я» — единственный постоянный элемент человеческого существа, последовательно пересекает планетарные сферы. При этом планеты, наблюдаемые нами на небе, представляют собой лишь физическую, точечную локализацию силовой сферы их воздействия. Так, сферу Сатурна можно представить в виде огромного шара, с диаметром, соответствующим приблизительно его орбите.
...
и прохождение «Я» через них.
Приближаясь к земле для инкарнации, «Я» последовательно пересекает все планетарные сферы, в которых оно пребывает более или менее длительный срок[59]
. Во время этого пребывания в разных планетарных сферах оно с помощью высоких духовных индивидуальностей постепенно формирует сверхчувственный элемент своего существа, который принято называть (теперь понятнее почему) астральным телом (то есть «звездным телом»). В зависимости от продолжительности пребывания в каждой из этих планетарных сфер астральное тело человека наделяется различными качествами, которые позже проявят себя в функционировании органов. Жизненный путь не определяется мгновенным влиянием созвездий в момент рождения, как это думают некоторые астрологи. Конфигурация небесных тел при рождении — это опять же лишь результат долгой подготовки к нашему приходу на землю, она свидетельствует о том, что человеческое «Я» подтверждает свою верность избранным им путям данного воплощения, свою верность встрече с землей. Одно сравнение позволит лучше понять эту связь. Никому бы не пришло в голову утверждать, что табельные часы на заводе являются причиной прихода служащего в определенный момент, они только фиксируют этот момент. Но его приход на завод именно в конкретный момент времени указывает на то, что, отправляясь в дорогу и по пути на работу, служащий находился в совершенно определенных соотношениях с самим собой и с окружающим миром, которые позволили ему прийти «вовремя», в соотношениях, которые были бы иными, если бы он пришел в другое время. Точно так же и для души факт прихода на землю в определенный момент сопряжен с конкретными условиями, о которых нам говорят «небесные часы».
Эти астральные (звездные) характеристики будут проявляться в организме в течение всего земного существования, они будут влиять на работу органов. Следовательно, необходимо, чтобы в медицине знали симптомы проявления этих влияний, особенно они важны для применения металлотерапии.
Инкарнация и экскарнация.
Все, что является жизнью, есть ритм, состоящий из двух полярностей, проявления которых чередуются и уравновешиваются. Так, за длительным процессом воплощения, инкарнации, следует экскарнация, развоплощение, а моменту рождения противостоит момент смерти. После смерти мы вновь пересекаем планетарные сферы, но в противоположном направлении. Процесс инкарнации не заканчивается мгновенно при рождении, а продолжается, постепенно затухая по мере приближения смерти. Точно так же, процесс экскарнации начинается не со смертью, а постепенно начинается с рождения. Процесс умирания начинается, хотя и незаметно, с самого момента нашего прибытия на землю. Этот процесс ускоряется по ходу нашего земного существования. Таким образом, рождение представляет собой начало процесса экскарнации, а смерть — конец процесса инкарнации. Между этими двумя процессами устанавливается равновесие, это равновесие различно для каждого данного возраста. Смещение этого равновесия в том или ином направлении будет проявляться патологией. Эти два потока можно изобразить схематически (рис. 8).
Следовательно, земной организм испытывает влияние не только первого потока, т. е. инкарнации, но и с самого рождения ощущается влияние второго потока, т. е. экскарнации, чьи проявления уравновешиваются проявлениями первого.

Рис. 8. Двойственный процесс инкарнации и экскарнации
через планетарные, сферы.
Эти понятия могут показаться абстрактными, поэтому хорошо бы их проиллюстрировать. Рассмотрим первый процесс — инкарнации. Мы видим, что он ведет к созданию земного человеческого существа. Но дальше человек как создание сам становится создателем. Создание человека — это материализация духовного потока. Когда человек, в свою очередь, становится создателем, когда он рисует, лепит, строит дом,— что он тогда делает? Он действует в обратном направлении: он овладевает мертвой материей и вводит в нее духовный элемент, которого без него в ней не было, он одухотворяет материю. Так второй процесс, т. е. экскарнация, является процессом одухотворения, альтернативным материализации, уплотнению, т. е. — инкарнации. Существуют еще полярности другого порядка, которые противопоставляют планетарные сферы друг другу. Так, мы находим полярность действия между сферой Сатурна и сферой Луны, сферой Юпитера и сферой Меркурия, сферами Марса и Венеры. Солнце стоит в этом ряду отдельно и представляет собой центральный пункт, вокруг которого концентрируются вышеуказанные полярности. Эти предварительные выкладки позволяют нам приступить к конкретному рассмотрению различных аспектов этих процессов.
ГЛАВА ДЕВЯТНАДЦАТАЯ
Сатурн и Луна
Два потока Сатурна.
Первой планетарной сферой, которую пересекает «Я», спускаясь из духовных миров к земле, является сфера Сатурна. Поэтому она представляет собой внешнюю границу планетарного мира, отделяющую его от остального космоса. Там «Я» собирает первые элементы «астральной субстанции», из которой оно мало-помалу сформирует в дальнейшем свое астральное тело. В этой зоне «Я» приобретает силы, позволяющие позднее проявить себя в физическом пространственном мире. Этот первый импульс является также импульсом, который зайдет дальше всего по пути материализации — вплоть до минерального в человеке, вплоть до скелета. Скелет является пространственным образом «Я», однако, его мертвым образом. Так первый сатурнический поток, который соответствует инкарнации, воплощению можно кратко резюмировать словами «мертвый в пространстве». Но там, где этот поток прерывается, исчерпав все свои силы, начинает проявляться противоположная полярность, исходящая из потока развоплощения, экскарнации, которую мы назовем вторым сатурни-чеким потоком. Чтобы лучше понять эту полярность, необходимо вспомнить, что «...во всей Вселенной не найти процесса, длящегося до бесконечности, но что, всегда существует какой-то предел. Когда этот предел достигнут, то процесс возвращается на круги своя, но то, что возвращается, уже носит иной характер»[60]
. Это явление, как мы увидим, соизмеряется со временем и пространством.
Окостенение и кроветворение.
Сатурнические процессы в организме подтверждают реальность этого взгляда. В первом сатурническом потоке мы рассматриваем процессы окостенения и минерализации, завершающиеся в мертвой структуре скелета. Но ведь именно там, где останавливается этот первый поток, где он завершается формированием костей, возникает костный мозг, все функции которого представляют собой противоположность первому потоку: вместо смерти в процессах образования клеток крови — в гемопоэзе — проявляется интенсивная жизнь. Образованию костей противостоит разрушение кости остеокластами в период роста, холод минерала уступает место теплоте крови. Первый поток характеризовался появлением структуры в пространстве, жизненные проявления второго потока располагаются во времени, о чем свидетельствует также недолговечность эритроцитов, которые живут несколько недель и разрушаются в селезенке — органе Сатурна. Одно четверостишие Р. Штейнера великолепно выражает эту двойственную полярность:
Созерцая скелет человека, Ты созерцаешь смерть. Взгляни вовнутрь костей Ты узришь там Воскресителя[61]
Если суть первого потока можно выразить словами «мертвый в пространстве», то второй можно сформулировать как «воскрешение во времени».
Скелет — мертвый образ «Я» — соотносит нас с прошлым. Кровь — живое орудие «Я» — ведет нас к будущему. Именно через тепло крови, в постоянном обновлении «Я» проявляет себя в воле, несущей поступок, в той воле, которая может реализоваться только в будущем. Действительно, мы ведь не можем желать того, что было, мы можем желать только то, что будет.
Роль селезенки.
Выступая в роли «кладбища» эритроцитов, селезенка выполняет одну из функций смерти, этой стороной относясь к первому сатурническому потоку. Но она также связана с функцией пищеварения и кишечного кровоснабжения. Ритм приема пищи даже при самых оптимальных условиях плохо согласуется с внутренними ритмами организма. Необходимую компенсацию осуществляет как раз селезенка: если еда была обильной, объем селезенки увеличивается, а затем вновь уменьшается по мере переваривания этой пищи. Эта ритмическая функция имеет временной характер и тем самым принадлежит второму потоку Сатурна.
Точно также как сфера Сатурна располагается в макрокосмосе на границе звездного и планетарного мира, селезенка в человеческом микрокосмосе представляет собой своего рода духовную диафрагму между пищеварительными областями, где еще в какой-то мере преобладают внешние процессы, и внутренними областями, функционирующими по своим собственным законам. В случае ампутации физической селезенки именно «духовная», сверхчувственная часть этого органа берет на себя, по мере сил, выполнение этих функций отграничения.
Избыток первого потока Сатурна.
Таковы нормальные проявления этих двух потоков, которые взаимно уравновешиваются. Но может случиться так, что один из них будет преобладать. Когда первый поток интенсивнее второго, процессы отвердения и окостенения становятся чрезмерными. У ребенка это проявляется слишком маленьким и твердым черепом, ранней интеллектуализацией и старческим лицом. Нередко у таких детей наблюдается влечение к дурным запахам и неодолимое желание играть со своими экскрементами. То, что в грудном возрасте является нормальной физиологической тенденцией к отвердению (поскольку воплощающемуся младенцу нужен сильный первый сатурни-ческий поток), становится патологией для ребенка более старшей возрастной группы. Отметим также аналогичное действие витамина D, который ведет себя как конденсатор первого потока. Избыток первого сатурничес-кого потока у взрослого приведет к склерозу и, преимущественно, к артериосклерозу: процесс окостенения выходит в этом случае за свои естественные рамки и распространяется на сердечно-сосудистую систему. Он поражает сосуды, стремясь превратить их в кости.
Сатурн и сон.
Слишком глубокий сон также является симптомом избытка первого потока, что великолепно выражено во французской поговорке: «Спать свинцовым сном», так как этот металл, как мы увидим в дальнейшем, как раз является металлом Сатурна. «В этом случае, — говорит Р. Штейнер, — „Я" и астральное тело полностью отделяются от эфирно-физического комплекса» (см. т. I, гл. 5). Эта неправильность неизменно приводит к обратной дневной ситуации: «Я» и астральное тело глубоко внедряются в нейро-сенсорный полюс во время бодрствования. Оттуда они подстрекают к процессу слишком сильной минерализации.
Во всех этих склеротических процессах уплотняется весь организм, иногда настолько, что становится непригодным для существования в нем сверхчувственных элементов. Создается парадоксальная ситуация: «Я» и астральное тело намертво привязаны к организму, который при этом, в силу своей уплотненности, не может в достаточной мере питать их. Подобные случаи, как правило, заканчивается сосудистыми взрывами, такими, как инсульт, при котором высшие элементы как бы разрывают панцирь, разрушают сковывавшие их путы.
С избытком первого сатурнического потока связаны такие заболевания, как свинцовая интоксикация (сатурнизм) с ее анемией, гиперхромные анемии (с гипохромными мы встретимся в разделе, посвященном Марсу), агранулоцитозы и панмиелофтиз. При всех этих заболеваниях нарушается восстановление форменных элементов крови.
Память.
Важной функцией сферы Сатурна является то, что выступает в человеке как память. Фиксация воспоминаний есть феномен, тяготеющий к смерти, подобно феномену образования скелета. В противоположность живости мысли память носит характер неподвижности. Запомненные образы — это как бы кристаллизованные мысли. Такой вид консервации, сохранения «про запас» связывает нас с прошлым, и его следует отличать от процесса воспоминания, от воспроизведения образов памяти, которое оживляет то прошлое, которое будто бы стало застывшим[62]
.
Таким образом, запоминание есть процесс смерти, который принадлежит первому потоку Сатурна. Если, как мы видели немного выше, воля направляет нас к будущему, то память, наоборот, относит нас к прошлому. Мы можем помнить только то, что было, воспроизвести только то, что хотя бы один раз уже присутствовало в сознании. Этот образ был великолепно схвачен древними, которые символизировали силы памяти в образе Овна. Они изображали его с головой, обращенной назад, другими словами, в прошлое.
Склероз мышления.
Рассмотренный под таким углом зрения избыток первого потока Сатурна будет выражаться слишком большой значимостью мышления и памяти в ущерб воле. И это — нормальная черта для старого человека, если она удерживается в определенных границах. Опасность для старца таится в том, что «...он слишком привязывается к своим воспоминаниям, привычкам и становится, — как говорит Р. Штейнер, — „рантье ума", его „биография" остановилась, в ней не появляется ничего нового». Если несмотря на возраст человек хочет продолжать идти вперед, развиваться, необходимо противопоставить этому мумифицированию новые силы — силы духовного воскрешения, которые несет второй поток Сатурна.
Осознание «Я» и прямостояние.
Напротив, когда первый сатурнический поток ослаблен, рост сознания замедляется — ему не хватает опоры. Этот недостаток следует рассматривать в связи с расстройствами вертикального положения в случае слабости скелета. Сознание «Я», прямостояние и кальцификация тесно связаны между собой. Так у астронавтов состояние невесомости снимает всякое ощущение вертикальности, затухает интерес к земным вещам, а организм в это время быстро декальцифицирует-ся. Расстройство сознания «Я» часто бывают у подростков, особенно у девушек (т. к. женский пол инкарнируется менее глубоко), производящих впечатление — или воображающих самих себя — парящими над землей. Им не хватает «апломба» (aplomb — франц.),
родственное названию изучаемого нами металла свинца — «plomb» (франц.),
другими словами — Сатурна. Эти проявления близки некоторым симптомам шизофрении — заболеванию, при котором «Я» теряет контроль над астральным телом (см. т. I, гл. 12). И мы понимаем, почему Р. Штейнер рекомендовал таким больным примочки со свинцовой водой на область селезенки.
Селезенка и энтузиазм.
К предыдущим рекомендациям Р. Штейнера можно прибавить еще одно утверждение, которым он подчеркивает значение селезенки в формировании в человеке душевного энтузиазма[63]
. Противоположностью энтузиазму является ипохондрия, которую и греческий, и английский языки приписывают именно этому органу, говоря о «сплине». Переживая состояние ипохондрии, мы испытываем чувство тяжести, «серости» и холода. Мы становимся в какой-то степени свинцовыми. Тогда селезенка испытывает очень интенсивное влияние первого потока Сатурна. И наоборот, когда преобладает влияние второго потока, то в проявлении энтузиазма мы ощущаем сатурническое тепло, божественную изначальную теплоту, чувствуем «Бога в себе». Подобное почти невозможно, если селезенка будет занята исключительно работой по гармонизации физических процессов тела. Именно это и происходит при переедании, но также и при чрезмерном голодании. Мы, врачи, слишком часто забываем о важности этого органа, незаметно выполняющем свои функции, и чересчур пренебрегаем таким простым терапевтическим средством, как легкое массирование области селезенки.
Декальцификация и лихорадка.
Мы приступаем теперь к теме преобладания второго потока Сатурна над первым. Естественно, мы включим сюда заболевания, проявляющиеся расстройствами окостенения — остеомаляцию, остеопороз, рахит, болезнь Лобштайна, — со всеми свойственными им особенностями. Вообще, к этой теме относятся все болезни, восходящие к слабости кальциевого обмена. Преобладание второго потока Сатурна может проявляться и гиперактивностью гемопоэза: эритремией, болезнью Vaquez (с заинтересованностью первого потока Марса) и т.д. Наконец, говоря о крови в связи с человеческим «Я», нельзя забывать о лихорадке как таковой, потому что она всегда означает интенсификацию второго потока Сатурна. Не забудем, что воспаление, одним из симптомов которого является жар, есть защитная реакция на процессы отвердевания, несомые первым потоком Сатурна. Напомним также, что фебрильные заболевания всегда сопровождаются декальцификацией, подобно той, какую мы наблюдаем при туберкулезе. Когда туберкулезный процесс идет к исцелению, мы видим, что воспаление уступает место кальцификации пораженных мест.
Лунная сфера.
На другом краю, со стороны Земли, планетарный мир ограничен лунной сферой — последней, которую пересекает душа перед тем, как обрести земное тело. Силы, собранные ею в лунной сфере, должны позволить ей создать новый организм. Эти силы имеют отношение к воспроизводству жизни. Они проявляются, в частности, в детородных органах — органах Луны, имеющих совершенно фантастическую способность к размножению: так 1 см3
спермы содержит 250 млн сперматозоидов. Этот потенциал воспроизведения не ограничивается только зародышевыми клетками, но вся эмбриональная жизнь, а также любая регенерация тканей исходят именно от него.
Вечное повторение.
Воспроизводство, в своем простейшем виде, сводится к повторяющемуся процессу, имеющему тенденцию репродуцировать один и тот же образ до бесконечности. Именно это наблюдается в эксперименте Карелла с сердцем цыпленка. Одна клетка сцепляется с другой, всегда подобной предыдущей, в течение неограниченного времени, пока нечто не прервет процесс, ведущий к формированию гигантской морулы (см. т. I). Вкратце мы можем обозначить этот «первый лунный процесс» словами: «бесконечное повторение, безграничное распространение и индифференциация». Эти феномены разворачиваются во времени в противовес чисто пространственным проявлениям первого сатурнического потока; зато характеризующей их жизнью они сродни второму потоку Сатурна. Уточним по этому поводу, что функции костного мозга по способу воспроизводства также принадлежат первому потоку Луны. Кроме того мы связываем с ним наследственность, склонную к бесконечному воспроизводству идентичных существ.
Лунные потоки и эмбриогенез.
Но человеческое существо не становится огромной морулой. Наблюдение за эмбрионом обнаруживает целый ряд последовательных остановок процесса клеточного размножения. Так, странно наблюдать внезапное, без видимых причин, прекращение клеточной пролиферации в точно определенных зонах эмбриона. Возникает вопрос: что же произойдет теперь? Происходит остановка роста — рост замирает как бы с вопросом. Затем, через некоторое время появляются вполне новые формы роста, связанные уже с процессом клеточной дифференциации, — именно они дают очертания нового органа. Здесь воспроизведение уступает место дифференциации. Временной процесс первого лунного потока уступает место пространственному процессу второго. Эта игра между противостоящими друг другу силами двух потоков продолжается в течение всего периода развития эмбриона, из этой полярности рождаются все органы. Отграничение и дифференциация суть характерные пространственные проявления второго лунного потока, полярные первому (временному). Они родственны, но не идентичны свойствам первого потока Сатурна.
Кожа и кожный скелет.
Проявления этих лунных потоков хорошо заметны в коже: постоянное возрождение эпидермиса принадлежит первому лунному потока, а дифференциация вплоть до кератоза, вплоть до смерти клеток обеспечивает коже функцию ограничения в пространстве и принадлежит ко второму потоку.
Говоря о коже, нельзя не упомянуть насекомых, у которых дифференциация и ограничение усиливаются вплоть до формирования кожного скелета. В данном случае преобладает тенденция, противоположная той, которая проявляется в моруле; правда, у насекомых имеется и мощнейший потенциал размножения. Тот же самый процесс формирования кожного скелета обнаруживается и у других беспозвоночных, например, у рака, который вообще может расти, лишь сбрасывая ежегодно свой панцирь. Во время этого короткого периода линьки первый лунный процесс становится у него в высшей степени активным. Человек также «сбрасывает свой панцирь», только не столь заметным образом, — у него это происходит путем постоянного отшелушивания ороговевших частей. Придатки эпидермиса — волосы на голове и теле, щетина, ногти и т. д.— являются структурными особенностями этого «лунного скелета». В этом отношении нет ничего удивительного, что древние народы ассоциировали рога и копыта животных и мифических существ именно с лунными силами.
Половая дифференциация.
Как мы видели, органы размножения — это органы Луны, и, характеризуясь огромным потенциалом размножения зародышевых клеток, они формируются под влиянием первого лунного потока. Однако, как у мужских, так и у женских особей в процессы формирования первого рода вмешивается также и второй поток. Даже в этих органах размножение ограничено и приводит к дифференциации пола. Это явление было подтверждено экспериментально: наложение лигатуры на отводные каналы влечет за собой атрофию семенных клеток в пользу интерстиция с усилением вторичных половых признаков. Впрочем, это всего лишь особый вид трансформации сил размножения. Их метаморфоза в психическом плане имеет гораздо большее значение для существования и эволюции человеческого существа.
Дифференциация нейро-сенсорной системы.
На другом полюсе тела мы находим еще один типично лунный орган — мозг. Он, как и кожа, сформирован из эктодермы. В этом органе второй лунный поток проявился настолько интенсивно, что первый лунный поток отступил назад, и всякая возможность возрождения нервной ткани практически исчезла в пользу тончайшей дифференциации. Таким образом, мозг, использовав метаморфизированные силы регенерации, оказался пригодным для выполнения более высоких функций, а именно функций мышления и сознания (см. т. I, гл. 2). Эти процессы можно сопоставить с теми, о которых говорилось несколько выше по поводу памяти и первого потока Сатурна. Таковы физиологические аспекты этих двух лунных потоков. Остается только исследовать, каковы патологические проявления, вызываемые преобладанием одного из них.
Луна и рак.
Опухолевые заболевания, бесспорно, связаны с интенсификацией процесса размножения. В раке мы обнаруживаем «неукротимый» первый поток, который больше не контролируется и не ограничивается вторым лунным потоком. По степени нарушения равновесия мы вновь обнаруживаем все нюансы, отличающие доброкачественные опухоли от злокачественных опухолей. Лейкемии являются родственными им процессами, но связанными еще и со вторым потоком Сатурна. Ряд других заболеваний также входит в эту группу.
Избыток второго лунного потока.
Когда равновесие смещается в сторону 2-го потока Луны, клеточная регенерация становится недостаточной. У грудного ребенка это выражается гипотрофией, потерей тургора, отсутствием припухлостей, отмечается склонность кожи к увяданию. В других возрастных периодах отмечается появление кожных заболеваний — мозолей, гиперкератоза, ихтиоза, старческого кератоза, а также поражения слизистых — изъязвления, перерождения, крауроз вульвы и т. д.
В тканях нервной системы, которые нормально физиологически уже склонны к избытку второго лунного потока, потока дифференциации, усиление этого потока приводит ткань к состоянию, близкому к смерти, — может спровоцировать дегенерацию и атрофию структур. В такой ситуации возникают вирусные заболевания нервной системы, т. к. появление вируса, микроорганизма, стоящего на полпути между растительным и минеральным бытием, свидетельствует о частичном отмирании, сопровождаемом, как правило, только слабыми фебрильными реакциями.
Некоторые генитальные заболевания, например, ас-пермия, и некоторые виды аменорей также связаны с избытком второго потока Луны. В этих случаях иногда бывает трудно различить, какой именно поток является преобладающим, тем более что равновесие между ними с течением времени меняется. Только внимательное наблюдение за развитием событий позволяет решить эту задачу. Так, связав появление макрогенитосомии[64]
с избытком первого потока Луны, невольно оказываешься в искушении объяснить половой инфантилизм избытком второго лунного потока. Однако это заболевание, бесспорно, содержит в себе как раз недостаточность функций дифференциации и часто приводит к образованию злокачественных новообразований. В этом случае все, вероятно, начинается с преобладания первого потока Луны, к которому затем присоединяется избыточность первого потока Венеры, который мы охарактеризуем ниже.
Между Сатурном и Луной как со стороны первых (то есть инкарнирующих, создающих телесность) потоков, так и со стороны вторых — экскарнирующих, разрушающих тело, потоков разыгрывается сложная двойственная
полярность, отражение которой мы найдем в конкретных вариантах патологии. Мы попытались представить это в общих чертах в следующей таблице, которая, конечно же, является упрощенной и незавершенной. Поняв принцип, читатель может развивать эту таблицу дальше.
Таблица 1
| САТУРН
|
ЛУНА
|
| СЕЛЕЗЁНКА, СКЕЛЕТ,
КОСТНЫЙ МОЗГ
|
ОРГАНЫ
РАЗМНОЖЕНИЯ,
МОЗГ, КОЖА.
|
| I Инкарнация
|
ПРОСТРАНСТВО
|
ВРЕМЯ
|
| Смерть в пространстве — минерализация.
Формирование скелета (как мертвого образа «Я»)
Спленический гематолиз
Мелкоголовые дети со «старческими лицами» — ранняя интеллектуализация
|
Бесконечное повторение — репродукция
Увеличение количества клеток.
Большеголовые дети с «лунообразными лицами» — мечтатели.
|
| Остеопетроз.
Продуктивный остеит.
Склероз, атеросклероз, отосклероз, катаракта, нефросклероз.
Микроцефалия.
Тяга к дурным запахам, жестокость, отсутствие чувства морали,
Гиперинтеллектуализм.
Мертвое, автоматическое,
Схематическое мышление.
Интерес к физическому.
«Рантье ума».
|
Доброкачественные опухоли — Бородавки.
Рак.
Лейкемии (при участии 2-го потока Сатурна).
Делирий, галлюцинации, сомнамбулизм (лунатизм).
|
| САТУРН
|
ЛУНА
|
| СЕЛЕЗЁНКА, СКЕЛЕТ,
КОСТНЫЙ МОЗГ
|
ОРГАНЫ
РАЗМНОЖЕНИЯ,
МОЗГ, КОЖА.
|
| II
Экс
карнация
|
ВРЕМЯ
|
ПРОСТРАНСТВО
|
| Воскресение во времени — биография
Гемопоэтические процессы костного мозга
(при участии первого потока Луны)
Телесное тепло (как живое выражение «Я»)
Энтузиазм
|
Дифференциация
Формирование нервной системы и кожи
Критический ум
|
| Рахитизм
Остеомаляция
Остеопороз
Болезнь Лобштейна
Лихорадка (жар)
Нарушения самосознания
|
Гипотрофия новорожденных
Дисменорея
Стерильность
Дегенеративные заболевания половых путей, craurosis vulvae
Кератоз, ихтиоз
Атрофии нервов, вирусные и дегенеративные заболевания нервной системы
Олигофрения
|
ГЛАВА ДВАДЦАТАЯ
Юпитер и Меркурий
Юпитер — скульптор.
Собрав необходимые силы из сферы Сатурна, человеческое «Я» продолжает свое нисхождение, спуск к Земле и пересекает следующую сферу — сферу Юпитера. Астральные силы, собранные в этой сфере, также проявятся в человеческом организме, но области приложения этих сил отличны от областей, подверженных силам Сатурна. В отличие от сил Сатурна, ответственных за сооружение твердой минеральной структуры кости, Юпитер воздействует на мягкие части организма, придавая им форму. Его влияние на ткани распространяется до уровня твердости, соответствующей хрящевой ткани. Юпитер обрабатывает материал, придает ему контуры. Воспринимаемый нами внешний вид человеческого существа является, в основном, творением Юпитера. Ведь внешнюю форму человеку придают не кости, не кожа (хотя без них эта форма не могла бы поддерживаться), но мягкие части — мускулы, соединительные и жировые ткани. Мы вновь встречаемся с силами Юпитера в мышлении. Не говорим ли мы: «сформулировать, оформить мысль»? Сказанное не находится в противоречии с той ролью, которую играют в мышлении эфирные силы (т. I, гл. 2). Потому что именно на них обращены юпитериан-ские силы оформления, так же как на телесном уровне юпитерианские астральные силы лепят, пластицируют эфирные процессы роста тканей.
Между растворением и сгущением.
Невозможно лепить из глины, если она не размягчена, то есть если в ней нет воды. Так и силы Юпитера действуют с помощью жидкого элемента, постепенно уплотняя его. Благодаря им происходит переход из состояния золя в состояние геля. Тут уже нет незыблемых кристаллических структур Сатурна, здесь царство пластичности коллоидов. Эта игра между Solve et Coagula (уплотняй и растворяй — лат.)
уже встречалась нам при изучении печени (т. I, гл. 11), поэтому нас не удивит, что «главный орган» Юпитера — это печень. Двойственность: «жидкость — твердость» обнаруживается также в суставах, в серозных оболочках и в других местах преобладания процессов Юпитера.
Форма и движение.
Противоположностью застывшей форме является движение; более того, ни форма, ни движение не могли бы существовать друг без друга. Любое созидание предполагает наличие пластицирую-щего, оформляющего движения. Правда, форму можно получить и путем литья, например, из чугуна, бронзы и т. п. Однако в действительности здесь не будет процесса созидания чего-либо нового, но только процесс воспроизведения, что возвращает нас к ранее изученным лунным процессам[65]
. Действия Юпитера больше похожи на лепку из глины, они создают округлые формы, выпуклости и углубления. В действительности, бесконечное разнообразие человеческих форм представляет собою противоположность безостановочному воспроизведению одинаковых форм, вечному размножению, которое связано с лунными силами.
А что же происходит с силами Юпитера, когда они завершат свою работу по созданию форм человеческого тела? А происходит следующее: они проникают внутрь созданной ими формы и придают ей подвижность. Вылепив мускул или сустав, они сами становятся его движителем. Ведь любой мускул, образующий пассивный контур тела, одновременно является и активным элементом движения этого тела. Так то, что было сначала только формой, превращается в движение — лицо человека, сформированное мышцами, обладает богатейшими мимическими движениями.
Эта связь между формой и движением проявляется еще и в процессах восприятия органами чувств. Обычно мы несколько наивно полагаем, что формы воспринимаются нами с помощью зрения. Если мы правильно изучим этот процесс, то увидим, что это неверно. Зрение позволяет нам воспринимать только свет и его различные качества, а именно — цвета. В действительности же, при восприятии формы мы прослеживаем ее контур, используя наше чувство движения. Чувство движения, с помощью которого мы воспринимаем формы, обычно бывает неосознанным. Легче понять, что мы имеем в виду под понятием «чувство движения», если проанализировать, как мы воспринимаем форму предмета или тела на ощупь, осязанием: мы делаем жесты весьма близкие к тем, которые необходимы скульптору, пожелай он вылепить, то есть создать, сам этот предмет или само это тело.
Чтение как обращение к чувству движения.
Когда ребенок учится читать, он физически своим взглядом обводит контур каждой буквы. Внимательно проследите за ребенком, читающим букву «О», и вы увидите, что не только его глаза, но даже голова описывает небольшую окружность. На самом деле, даже все его тело в той или иной степени участвует в этом движении. Ребенок постарше и взрослый попросту приобретает навык, то есть эта деятельность движения переходит в эфирное тело и внешне уже не видна. Следовательно, можно значительно облегчить процесс обучения, предлагая ребенку крупно рисовать большие буквы и элементы букв (то есть дуги, окружности, овалы и прямые линии) на доске или на бумаге. Тем детям, которые испытывают значительные затруднения при обучении чтению, было бы полезно бегать по формам букв на земле, но, разумеется, не по заранее нарисованному контуру, но по мысленно представляемому рисунку. Чем быстрее продвигается обучение, тем менее заметными становятся эти движения и, в конечном итоге, они будут выполняться только мысленно. Этот процесс абстрагирования будет осуществляться тем лучше, чем больше в начале обучения использовалось чувство движения. Таким образом, ребенку следовало бы раньше учиться писать, а не читать. Когда мы применяем в отношении детей так называемый метод обучения скоростному чтению, то заставляем их мчаться без остановок и очень быстро вырабатываем навык абстрагирования, однако сам процесс чтения осваивается при этом плохо, впоследствии это может предопределить развитие дислексии[66]
.
Следовательно, форма и движение представляют собой два полярных аспекта сил Юпитера — физического аспекта и аспекта мышления. С помощью первого потока мы реализуем форму, с помощью второго — проявляемся в движении.
Избыток формообразующего процесса.
Знаменитый в антропософских кругах врач и педагог Бернхард Ливехуд в качестве иллюстрации избытка первого (формирующего) потока Юпитера приводит образ классического английского коммерсанта, в жестах и поведении которого нет ни одного лишнего движения, — там все застыло, все статично, выражение его лица холодно и вежливо. Мы также можем вспомнить профессионального игрока в бильярд, движения которого четко рассчитаны до строго определенного минимума. Рассказывают, что некоторые из них, часто страдающие подагрой, делают пометки мелом на сукне бильярдного стола с помощью тофуса[67]
, выступающего на суставе пальца. А ведь подагра является как раз типичным заболеванием преобладания первого (формирующего) потока Юпитера, это болезнь сидячего или застывшего образа жизни, заболеванием, которое еще в большой степени ограничивает двигательную активность. Короче говоря, болезни, приводящие к анкилозу, связаны с избытком первого потока Юпитера, — это артрозы, прогрессирующий хронический полиартрит и т. д. Случаи же обострения хронических полиартритов есть ни что иное, как попытки самоисцеления организма. Естественно, эти попытки болезненны и обычно малоэффективны, так как часто сопровождаются ухудшением состояния. Нередко случается, что лица, страдающие прогрессирующим хроническим полиартритом, сохраняют в своем облике и поведении нечто инфантильное и моложавое. Может показаться, что это находится в противоречии с симптомами заболевания, такими как неподвижность, ригидность, анкилоз, т. е. с признаками старости. Парадокс исчезает если осознать, что сам феномен — «оставаться молодым» — означает в некоторых отношениях отказ от развития, то есть своего рода застывание, неподвижность. В таком случае болезнь выступает как реакция, понуждающая больного осуществлять развитие, которого он хотел бы избежать. С этой точки зрения следует рассматривать ранние стадии суставного ревматизма и болезни Буйо. Тем более что осложнения этого заболевания препятствуют проявлению как раз сил молодости. В заболеваниях, связанных с нарушениями сил Юпитера, мы постоянно имеем дело с парадоксами. Так, при хроническом прогрессирующим полиартрите, называемым еще деформирующим ревматизмом, происходит последовательная утрата формы суставов, и в этой связи мы будем склонны относить это заболевание к избытку второго потока Юпитера. Но то, что мы называем здесь деформацией, по сути, есть проявление избытка формирующего процесса, совершенно отличного от процесса второго потока, растворяющего форму. Точно также узловатое дерево демонстрирует нам усиление формообразования, а не растворения.
Спазмы и судороги.
К этой же группе нарушений относятся спастические заболевания мышц, особенно тогда, когда они, как и судороги, носят тонический характер. Оставаясь сокращенной, мышца подчеркивает свою форму в ущерб движению. Создается впечатление, что при клонических судорогах организм старается компенсировать процесс антагонистической реакцией.
Патология хрящей близка к патологии суставов и обычно кажется трудной для понимания. Здесь еще раз понятие полярности между двумя потоками Юпитера открывает путь для изучения и лечения этих заболеваний.
Циррозы.
На уровне печени — органа Юпитера — преобладание первого потока выражается отвердением в виде циррозов и склерозов. Цирроз часто сопровождается асцитом, который можно было бы истолковать как склонность к разжижению, присущую второму потоку Юпитера. В действительности ничего подобного; здесь речь идет только о застойном явлении, о замедлении кровообращения, т. е. о неподвижности, о которой мы поговорим несколько ниже.
На психическом плане преобладание первого потока проявляется некоторой ригидностью мышления, склонностью к предвзятости, предубеждению, упрямству, догматизму, доходящем до фанатизма. Однако заметим, что этот последний случай включает в себя агрессивный марсианский элемент.
Усиление движения и растворение формы.
Если образ английского коммерсанта послужил нам для карикатурного выражения первого потока Юпитера, то образ комедианта, а еще лучше — мима, великолепно иллюстрирует второй поток. У него все — подвижный жест, все — экспрессия. Когда этот юпитерианский поток экскарнации становится преобладающим, то у формы отмечается стремление к исчезновению, к растворению, а аспект подвижности при этом усиливается. В целом сюда относятся воспалительные заболевания, особенно когда они сопровождаются образованием гноя, что представляет собой процесс, характеризующийся растворением и потерей формы. Но при этом не следует забывать, что симптом повышения теплообмена, то есть лихорадки, связан со вторым потоком Сатурна. Туберкулез в своей экссудативной или казеозной стадии является типичным тому примером, но уже сопутствующий туберкулезному процессу фиброз свидетельствует о реакции организма, стремящегося противостоять растворению. Эта реакция при выздоровлении будет еще больше усиливаться процессами кальцификации, о чем уже говорилось в предыдущей главе.
Движение и метаболизм.
На уровне печени избыток второго потока проявится гепатитами, а на уровне суставов — гнойными артритами. Все эти заболевания, обзор которых мы только что сделали, хорошо иллюстрируют потерю формы, но явно не сопровождаются возрастанием активности движений, т. к. такие лихорадящие больные не очень подвижны. Однако усиление движения существует, но, не проявляясь снаружи, оно поражает обмен веществ, который, по сути, является движением как таковым. Метаболизм и движение настолько тесно связаны друг с другом, что Р. Штейнер даже объединил их под одним названием — «полюс метаболизма и органов движения». При ряде других заболеваниях, таких как тик, хорея, белая горячка и т. п., также принадлежащих ко второму потоку Юпитера, анормальным, то есть превышающим норму является именно избыток мышечного движения. К этому типу заболеваний относятся также тремор головы, отмечаемый, кстати, у некоторых рахитичных малышей.
Гидроцефалия.
С одной стороны, из-за недостатка кальцификации, рахит относится к избытку второго потока Сатурна, но при этом заболевании избыточен также и второй поток Юпитера — недостает сил формирования хрящевой ткани. Этот недостаток формообразующего процесса проявляется в синдроме гидроцефалии, которую можно рассматривать в качестве истинного прототипа заболеваний этого типа. Здесь Solve явно одерживает победу над Coagula — склонность, которую мы находим при многих патологиях, осложняющихся образованием различных выпотов (менингиты, плевриты, перикардиты, перитониты и даже гидрартрозы). Не следует, однако, путать эти воспалительные экссудаты с застойными явлениями, примером чего может служить цирротический асцит.
Психические симптомы.
Среди психических проявлений излишней силы этого потока мы обнаружим невозможность концентрировать свое внимание, фрагментарность и расстройства мышления, что выражается в неспособности формулировать мысль, своего рода мыслительное разжижение.
Полярность Юпитер — Меркурий.
Между Юпитером и Меркурием существует полярность, подобная той, которая противопоставляет Луну Сатурну. Меркурий тоже колеблется между формой и движением, но в отличие от Юпитера движение у него первично, а форма — вторична. Проследим за падением капли ртути. Она рассыпается в полете на необычайно подвижные, неуловимые капельки. Кажется, еще немного, и они оживут. Затем эти капельки вновь сливаются вместе и замедляют свое движение.
Меркуриальная подвижность.
Эти повторяющиеся движения растекания и слияния, эта непрекращающаяся циркуляция находятся во всех жидкостях организма. Так жидкости рассеиваются в клетках, затем вновь сливаются в единый поток в венах и лимфатических железах. Точно также в пищеварительном тракте химус растекается между кишечными ворсинками, находящимися в беспрерывном движении, затем снова сливается в общий пищеварительный поток. Подвижность — это одно из основных свойств белых кровяных телец, осо-бенно многоядерных, которые благодаря своей пластич- ности проникают везде, способны к диапедезу и захватывают всевозможные остатки, препятствуя накоплению их в организме.
Рождение формы из недр потока.
Когда поток встречает препятствие, или когда встречаются два потока, возникает водоворот, другими словами появляется новая форма. Эти явления были замечательно изучены д-ром Теодором Швенком[68]
, которому удалось, воздействуя на потоки жидкостей в лабораторных условиях, получить спиралевидные формы, напоминающие органические (сердце, гортань) образования, вполне сопоставимые с анатомической формой гортани и других органов и выраженные тем ярче, чем выше были скорости потоков.
Наши органы
— обездвиженные вихри.
В организме такие формы рождаются повсюду, где существует поток. Так гортань является местом замедления потока дыхания. Сердце — другой яркий пример: его мышечные волокна четко указывают на формы завихрений, если сделать поперечный разрез от верхушки органа. Р. Штейнер прекрасно понимал, что сердце является не причиной циркуляции крови, а результатом, следствием встречи двух потоков (что с помощью более современных технических средств наблюдения можно просто увидеть в эмбриогенезе). Лимфатические узлы также зарождаются в точках замедления лимфатической циркуляции. Да и в легком — собственно органе Меркурия — альвеолы также являются местом встречи потоков — воздушного и кровяного.
Юпитерианские и меркуриальные формы.
Такие меркуриальные структуры будут отличаться от структур первого потока Юпитера. Юпитер лепит так, как если бы он действовал снаружи, создавая по образу небесного свода полусферические формы: лобные бугры, черепной свод, купол диафрагмы, свод верхнего полюса печени, головки суставов и т.д. Эти формы мало детализированы, если только это не те детали, которые зарождаются на пересечении двух полусфер. В формах, зависящих от радиальной динамики, сферы вытягиваются наподобие веретен. Таковыми являются мышцы. Зато формы Меркурия, рожденные движением, кажутся выдолбленными изнутри. В своей основе они имеют спираль, которая тем ярче выражена, чем быстрее поток (сердце, гортань). Завихрения склонны к множественности; поэтому меркуриальные формы бесконечно разнообразны, проработаны до мельчайших деталей и часто асимметричны, как об этом свидетельствуют, например, отпечатки человеческих пальцев[69]
. Капиллярные сети, в которых жидкости растекаются и снова сливаются, являются другим типичным примером меркуриального образования.
Источник юмора.
Придавая живость мышлению, силы Меркурия оказываются одним из источников юмора. Поэтому игра слов, каламбуры, остроты являются замечательным средством лечения скованности, создаваемой Юпитером. Это хорошо знают школьники, когда с удовольствием насмехаются над преподавателем, скованным своими привычками и странностями. Смех, рассыпающийся капельками ртути, обладает таким целебным свойством, что, к примеру, Р. Штейнер считал учителя, не сумевшего хотя бы один раз рассмешить своих учеников во время занятия, неспособным стать хорошим педагогом. Но юмор не терпит повторения. Замусоленные шутки становятся привычными, принимают характер обыденности, которая совершенно лишает их остроты, пикантности. Я помню одного преподавателя, который ежегодно на одном и том же курсе повторял одну и ту же шутку, не вызывавшую у его учеников уже ничего кроме сарказма.
Не случайно у греков и римлян Гермес — Меркурий был, в частности, богом торговцев и воров. Каждый из них, на свой лад, помогает пустить в оборот то, что тяготеет к застою. Меркурий также был гонцом богов, он передавал их повеления, тем самым устанавливал связи и распространял новости. В работе Меркурия мы повсюду видим движение, но при этом движении всегда присутствует связь, контакт. Еще Меркурий — бог молодости, и этим он контрастирует с Юпитером — богом зрелости. (От 7 до 14 лет дети находятся под влиянием Меркурия. Отсюда и наименьшая заболеваемость в этом периоде. Юпитер соответствует зрелости — возрастному периоду от 56 до 63 лет или 9-му семилетию, а Сатурн — старости, от 63 до 70 лет.).
Легкое
— орган Меркурия.
Связь, контакт, посредничество в особой степени присутствует в системе легких человека. Легкие человека — орган Меркурия. Здесь поток крови встречается с потоком воздуха; внутреннее непосредственно связывается с внешним.
Два аспекта Меркурия — подвижность и форма — суть выражение его полярности. Подвижность соответствует первому потоку — инкарнации, а форма — второму потоку — экскарнации. Следовательно, в случае Меркурия существует инверсия по отношению к Юпитеру. Поэтому именно в дыхательном аппарате встречаются два типа заболеваний, связанных с преобладанием (или ослаблением) одного из этих двух потоков Меркурия — либо равновесие между ними смещается в сторону избытка подвижности, либо к ее недостатку и, соответственно, к избытку формы.
Логорея и астма.
Так, логорея — типичный признак избытка первого потока. Она наступает как настоящее половодье, наводнение — вверх поднимается все то, что исходит из нижней части человеческого организма. Поэтому логорею правильно связывать с преобладанием метаболического полюса, с тем, что мы ранее описали как род органической истерии. Поток слов отражает неправильно сформировавшееся мышление. Эти больные в буквальном смысле «думают своим языком», они мыслят, говоря, и не способны размышлять молча.
В противоположность этому мы имеем астму, характеризующуюся преобладанием неиросенсорного полюса, задержкой воздушного потока, склонностью к излишней структуризации мокроты, с подверженностью психосоматической неврастении и чисто внешним природным земным процессам.
Отметим также, что логорея больше присуща женщинам, т. к. женщина менее глубоко инкарнирована по сравнению с мужчиной, больше подвержена нестабильности и беспокойству. Зато она менее склонна к догматизму. Астма же скорее мужское заболевание[70]
. Избыток первого потока выражается еще такой патологией как диарея, гиперсаливация, ринорея, гипергидроз и т. п.
Застои.
Избыток второго потока Меркурия провоцирует застой, который мы можем наблюдать при цирротическом асците и при большинстве отеков. Здесь важным элементом является пассивность жидкостей, уступающих силам тяжести. Например, отечность, сопровождающая травму от удара, симптоматична для ускорения циркуляции и диапедеза. В связи с гландулярной активностью отмечаются и другие симптомы застоя, свидетельствующие об избытке второго потока Меркурия и проявляющиеся в накоплении и уплотнении секретов, например, при халязионе.
Застойный процесс может вообще означать некоторого рода критический узел в протекании судьбы человека, особенно в детстве. Мы это видели на примере ангины, которая представляет собой попытку мобилизации всего организма, следовательно, реакцию на застой. Приостановка в ходе судьбы, бесспорно, принадлежит второму потоку Меркурия, а реакция в виде ангинозного воспаления обусловлена силами первого потока. Поэтому, кстати, несвоевременное и неадекватное, то есть слишком жесткое лечение рискует погубить целительное начало, которое может быть заключено в данной воспалительной реакции[71]
. Застои могут появляться во всех потоках организма. Так, застой в лимфатической системе лежит в основе аденоидных разрастаний, застои венозного кровообращения вызывают варикозное расширение вен и геморрой.
Застой в психической деятельности, в плане мышления проявляется умственной вялостью, заторможенностью и, в конце концов, приводит к формированию навязчивых или фиксированных идей. Если задерживается эмоциональный поток, то наблюдаются трудности при контакте, что довольно схоже с другим аналогичным процессом при аллергии.
Объединив рассматриваемые понятия в приведенной ниже таблице, можно лучше уяснить полярность описанных процессов, противопоставляя 4 потока — два юпитерианских двум меркуриальным. Диагональ «Юпитер 1 — Меркурий 2» характеризуется формой: округлые поверхности (отражение небесной сферы), напоминающие ручную лепку, и тенденция к юпитерианской симметрии; выразительность игры потоков, детализация форм и асимметрия присущи Меркурию. Вторая диагональ, связывающая «Меркурий 1 с Юпитером 2», является диагональю движения: определенное движение, движение в себе самом характерно для Меркурия, движение как выражение души вовне — признак функции Юпитера. Мы могли бы также сказать, что движение Юпитера — это выражение астральных сил, а движение Меркурия — скорее проявление эфирных сил, но это верно лишь отчасти. Чтобы уловить эти соотношения, нужно обладать исключительно живым мышлением, потому что Меркурий в своей подвижности избегает всякого догматизма и любой схематизации.
Таблица 2
| ЮПИТЕР
|
МЕРКУРИЙ
|
| Печень — мышцы,
суставы
|
Легкое — лимфа,
железы
|
| ФОРМА (путем легких)
|
ДВИЖЕНИЕ (как таковое)
|
| I Инкарнация
|
Формирование рельефа, контура.
Создание консистенции органов.
Образование поверхностей.
Структурирование мышления
|
Привнесение движения в жидкости (кровь, лимфа, химус, желчь, ликвор и т.д.).
Лейкоцитарный диапедез — обмен веществ (в аспекте подвижности).
Динамика и подвижность мысли-юмор.
|
| Циррозы, ригидность мышц,
Судороги,
Скованность суставов, артрозы, подагра.
Глаукома.
Скованность мысли, догматизм, упрямство, нетерпимость.
Депрессия, страх жизни, безволие.
|
Диареи, гиперсаливация, Потливость, сперматоррея,
Энурез.
Болезнь Hodgkins (лимфогранулематоз).
Рассеянность, дилетантизм.
Ажиотаж, нестабильность,
Мании.
|
| ЮПИТЕР
|
МЕРКУРИЙ
|
| Печень — мышцы, суставы
|
Легкое — лимфа, железы
|
| ДВИЖЕНИЕ (выявление движения)
|
ФОРМА (путем замедления потока)
|
| II Экскарнация
|
Мимика, подвижность суставов, мышечное движение.
|
Формирование полых органов (сердца, гортани, лимфатических желез) и т. п.
|
| Гидроцефалия, гидрартроз, Гнойный артрит.
Распространение воспаления, гноеобразование (как потеря формы).
Казеозный туберкулез. Бесструктурное ожирение. Размягчение мозга, старческий маразм.
Хаос идей, трудности концентрации, бессвязность, отсутствие логики. Тики, хорея, алкогольный делирий
|
Разрастание аденоидов, ангины, скарлатина, Индурация желез, припухание, Кисты, аденомы, халязион. Нарушение оттока секретируемого содержимого. Стазы, отеки, асцит. Синдром Меньера. Аллергии, астма. Невозможность контакта, боязнь окружения, вязкость мысли, фиксированность идей. Меланхолия, стереотипность.
|
ГЛАВА ДВАДЦАТЬ ПЕРВАЯ
Марс и Венера
Марс
— планета направленной активности.
Различные планетарные потоки представляют собой некоторые аналогии, и мы встречали формообразующие процессы у ряда рассмотренных планет, процессы, которые четко отличаются один от другого. Различные аспекты движения проявились, в частности, у второго потока Юпитера и у первого потока Меркурия. Понятие движения или, более точно, активности является главным качеством для Марса, и тем более важно отличать его от процессов второго потока Юпитера и первого потока Меркурия, потому что их влияния постоянно пересекаются.
Мы можем составить себе представление о Марсе, обратившись к образу копьеметателя. В начальный момент мы наблюдаем концентрацию сил, во второй — копье летит в цель и, наконец, в третий оно достигает ее, оказывая некоторое воздействие. Концентрация, движение и результат четко отражают три фазы этого процесса, который вновь проявляется в органе Марса — желчном пузыре. Сначала желчь накапливается, затем она перегоняется в кишечник, а там выполняет необходимую работу по перевариванию жиров. Таким образом, Марс характеризуется направленной к определенной цели активностью. Это то, что отличает его от подвижности Меркурия, похожей скорее на игру, и от движения второго потока Юпитера, являющегося выражением внутреннего содержания. Марс, напротив, направляет свою активность на внешний элемент (в нашем случае — орган), на который он хочет воздействовать. Он стремиться устранить все препятствия на своем пути, тогда как Меркурий играючи обходит их.
Марс
— звук и слово.
Между тем деятельность Марса имеет свои пределы. В представленном выше образе копьеметателя на пути полета копья может встретиться дуб, то есть непреодолимое препятствие, и тогда копье, попав в него, начнет вибрировать. Зарождается явление, схожее с тем, когда смычок касается струн скрипки или когда выдыхаемый легкими воздух заставляет с бесконечными нюансами вибрировать голосовые связки. Пластика гортани, как мы это видели, является результатом действия меркуриальных сил, но голос — результат действия Марса. Воинственные крики, издаваемые некогда бойцами, скорее для приумножения в себе марсианских сил храбрости, нежели для запугивания врага, демонстрируют нам это.
То, что мы сказали о гортани, в равной мере истинно и для сердца. Судя по его форме, сердце является результатом меркуриального процесса при встрече двух потоков, а вот пульс — выражение марсианских сил, встречающих препятствие в виде сердца, поэтому при анемии недостаточность Марса выражается ослаблением пульса.
Инструмент «Я».
Марсианские силы, выражение которых мы нашли в потоке воздуха, идущего навстречу к гортани, в пульсирующей волне крови и в выделении желчи связаны с первым инкарнирующим потоком. На физическом плане этот поток выражается волей, сопряженной с функцией желчи (т. I, гл. 21). Таким образом, Марс выступает в качестве посредника «Я», позволяя ему полностью завладеть своим физическим инструментом и проявить себя в земном плане.
Звуковой или химический эфир.
Звук возникает тогда, когда силы Марса встречают препятствие (копье застревает в дубе и вибрирует), но и само препятствие может войти в вибрацию, однако уже не в звуковую, а в химическую. Вещество, обычно являющееся препятствием силам Марса, испытывает химическую модификацию. Это сближение между химией и звуком может удивить. Между тем, не являются ли законы химических соединений аналогичными законам музыкальной гармонии? Подумаем также о периодической системе элементов, в которой соблюден ритм октавы[72]
. Р. Штейнер назвал эти силы, которые обнаруживаются при рождении звуков, а также лежат в основе химических синтезов, «химическим или звуковым эфиром»[73]
; именно они проявляются во втором экскарнирующим потоке Марса, обусловливая возникновение, хотя и мимолетной, но реальной структуры, которую представляет собой звук[74]
, а также структуры химического синтеза. Отметим, однако, что процессы аналитического, разлагающего характера связаны с первым, инкарнирующим потоком Марса. Агрессивность соляной кислоты в желудке, которая расщепляет пищу, является характерным свойством этого потока, что подобно желчи в кишечнике расщепляющей жиры. Неудивительно, что гипохромная анемия и хлороз, характерные заболевания при недостаточности первого потока Марса, часто сопровождаются слабостью системы пищеварения с повышенным или пониженным содержанием соляной кислоты в желудке.
Гепатит, заикание, аллергия и гнев.
Точно также так называемый «вирусный гепатит» является заболеванием, свидетельствующим о временной недостаточности первого потока Марса. Он сопровождается прекращением выделения желчи, что вызывает невозможность переваривания жиров, сильную усталость, подавление воли. Мы не зря говорим «так называемый вирусный гепатит», потому что здесь, как и в других случаях, инфекционный процесс является не причиной болезни, а одним из вторичных ее проявлений.
Нельзя говорить о Марсе, не вспомнив о заикании, аллергии и гневе. В качестве голосового симптома заикание является проявлением нарушения деятельности Марса. Тот факт, что оно сопровождается беспокойством и тревогой доказывает, что в этом недуге недостает марсианских сил для преодоления препятствия, против которого они сконцентрировали все свои средства. Перед нами феномен, подобный катаральной желтухе, когда мы сравнивали застой желчи с давкой, препятствующей выходу из многолюдного места во время пожара. Не говорят ли о заике, что его слова «толпятся у входа»?
Почти аналогичная ситуация наблюдается при аллергии. Здесь также недостаточные марсианские силы, пытаясь любой ценой победить, порождают реакции, опережающие цель, так как Марс является не только тем, кто атакует, но также и тем, кто защищает. Все защитные силы организма, все, что активно противостоит проникновению инородных элементов, связано с первым потоком Марса. Аллергик оказывается в ситуации осажденного города, который чувствует свою слабость, он охвачен страхом и при каждом поводе стреляет из всех орудий своей артиллерии одновременно. Зато полноценный иммунитет похож на бдительность того, кто уверен в своих силах и реагирует только на серьезную атаку. Хороший иммунитет свидетельствует о хорошем равновесии между Марсом и Венерой, о чем мы поговорим несколько позже.
Все что происходит с аллергией на физическом плане, встречается и на психическом в виде гнева и агрессивности. Это не симптомы сильного первого потока Марса, как хотелось бы думать, а резкий, неожиданный разряд сил, которым не удается преодолеть препятствие, причем оно необязательно должно быть внешним. В равной степени и наши моральные несовершенства являются внутренними препятствиями, способными вызывать гнев и подавленность. В сущности, агрессивность — это проявление слабости, которая старается нанести опережающий удар. Но не все проявления слабости выражаются таким «упреждением»; часто слабость предпочтет отступление, заранее считая, что все потеряно. Подобное поведение характерно для депрессии. Для больного, подверженного этому недугу, малейшая из задач кажется непреодолимой, и недостаток собственной воли может привести к полному безволию. Болезнь может также включать в себя и взаимопротивоположные фазы — депрессии и агрессии как при маниакально-депрессивном психозе. Не следует забывать, что депрессия — происходит не только из-за Марса, но и из-за очень слабого второго потока Юпитера. Патологические проявления этих двух потоков соседствуют также как норме это реализуется на органном и функциональном уровнях между печенью и желчным пузырем — органами этих планет.
Избыток первого потока Марса.
Заболевания, которые мы только что обозначили, относятся к очень слабому Марсу, теперь посмотрим каковы проявления слишком сильного или преобладающего первого (инкар-нирующего) потока Марса. Субъекты, носители этой тенденции, относятся в основном к типу холериков (т. I, гл. 4). Они идут своим путем, без зазрения совести устраняя мешающие им препятствия. Пока все расступаются перед ними, они не буйствуют, но если возникает неожиданное сопротивление, их может охватить неистовое, разрушающее бешенство, доходящее до буйного помешательства. В отличие от слабого первого потока Марса приступы их гнева редки, но ужасны. В органном плане сильный инкарнирующий поток Марса проявляется плеторической гипертензией или полиглобулией. Мы могли бы сказать еще об этих субъектах, что они прожигают жизнь, или, как говорят французы, «жгут свечу с двух концов», гиперреактивность приговаривает их самих к преждевременному изнашиванию и иногда к насильственной смерти.
Apec
и Гефест.
Мы могли бы дать имя греческого бога войны «Ареса» — метателю копья, иллюстрирующему первый поток Марса. Он растрачивает и рассеивает тепло. Второй поток Марса, скорее всего, соответствовал бы активности Гефеста, кузнеца, который с помощью собранного им огня перековывает железо и действует как созидатель. Это образ сил химического синтеза, о котором говорилось выше. В организме этот процесс созидания касается конкретно альбуминов и заключается в их реструктуризации за кишечным барьером. Когда эти процессы реструктуризации (можно было бы также сказать «гуманизации») недостаточны, альбумины ведут себя как инородные субстанции, от которых организм спешит избавиться. Элиминация альбуминов может осуществляться через почки и, если процесс затягивается, может повредить им. Избавление от избытка, может реализовываться на уровне кожи, вызывая экссудативный диатез. Это заболевание соседствует с аллергией, но не сопровождается вспыльчивостью.
Говорить и слушать.
Если говорить — дело Марса, то способность слушать — компетенция Венеры. Марс направляет свою активность на внешнее, Венера — на внутреннее. Так процессы ассимиляции, очищения, создания резервов, интериоризации и, говоря более абстрактно, всего того, что имеет отношение к экономии, зависят от астральных сил, собранных «Я» во время его прохождения через сферу Венеры. Почка, роль которой в ассимиляции альбумина показана выше, является органом Венеры. По своим выделительным функциям она в равной степени относится к Венере. Процессы Венеры не ограничиваются почечной областью, и мы находим другие примеры создания резервов, например, гликогена в печени или жиров в подкожной клетчатке.
Венозное кровообращение.
Венозное кровообращение представляет собой другой типично венерианский процесс. В противоположность марсианскому, артериальному кровообращению оно идет от периферии к центру, имеет более пассивный характер, а отсюда и риск застоя, когда кровь, уступая силе тяжести, вызывает расширение вен и варикозные узлы. Впрочем, венозное кровообращение вообще задает множество неразрешимых загадок, если придерживаться механистических объяснений.
Открыв какую-либо книгу по физиологии, вы прочтете в ней, что кровь по венам поднимается от ног к сердцу посредством vis a tergo — «восходящей силы», но физиологи не могут объяснить, в чем заключается эта восходящая сила и пытаются связать ее с остаточным давлением в капиллярах. Когда в науке не находят удовлетворительного объяснения, то скрывают свою озадаченность под целомудренной вуалью латинского изречения. Впрочем, эта попытка механистического объяснения феномена венозного кровообращения является еще более спорной в случае с воротной веной. Воротная система — это венозная сеть, заканчивающаяся капиллярами с двумя окончаниями, причем другие вены впадают не в капилляры, а в главный сосуд, который в свою очередь впадает в сердце. Воротная вена зарождается в капиллярах кишечника и заканчивается печеночной капиллярной сетью, принося к ней питательные вещества. В силу этого ей принадлежит значительная роль в ве-нерианских процессах ассимиляции. Венозное кровообращение в своем объеме, направленное в противоположную сторону силам тяжести, может осуществляться только под напором эфирных сил, наподобие того, как они вызывают подъем сока в растениях. Эти эфирные силы сами находятся под управлением астральных сил, в данном случае под управлением астральных сил первого потока Венеры. Образ ветра, увлекающего морские потоки, может помочь лучше понять этот процесс.
Выработка и создание запасов.
Говоря о втором (экскарнирующем) потоке Марса, мы обратились к Гефесту, как к образу повторного синтеза и химической реструктуризации вещества. Напомним, что Гефест был супругом Афродиты, иначе говоря, Венеры, у которой Apec — Марс был только любовником. Здесь мы видим как Гефест — Вулкан и Венера протягивают друг другу руки для созидания человеческого вещества: Гефест воспроизводит его, а Афродита — Венера оставляет его про запас; деяния обоих супругов великолепно дополняют друг друга. Слишком часто мы рассматриваем мифы как малоосмысленные фантазии, потому что больше не умеем обнаруживать в этих фантазиях реальные факты, отражением которых они являются.
Принцип экономии.
Все эти процессы присущи первому потоку Венеры. К ним еще нужно добавить понятие экономии. Венера хочет не только получать, но и сохранять, на что Марс не способен. Она не позволяет ничего потерять, ею используется все до малейшей частицы. Поэтому образ, предложенный Б. Ливехудом для Венеры, — это образ экономной хозяйки, внимательной к нуждам каждого, умеющей слушать беседы и редко вступающей в них, но всегда умеющей создать теплую, уютную обстановку, в которой могут проявить себя другие. Конечно Венера — это символ красоты, но не следует забывать, что силы, которые необходимы для ее проявления, должны будут с возрастом изменяться в более возвышенном плане.
Венера и сосредоточенность.
Это описание первого потока Венеры был бы неполным, если бы мы не отметили особую форму интериоризации, погружения во внутрь, которую человек выполняет, когда сосредотачивается, созерцательно размышляет, медитирует, молится. Подобное поведение — полная противоположность гневу Марса, и это конечно не случайно, слово ven-егег — боготворить (фр.)
этимологически происходит от Venus — Венера.
Ассимиляция, секреция и выделение.
Во втором потоке Венеры мы сталкиваемся с другой полярностью. Интериоризация превращается в экстериоризацию, а ассимиляция — в секрецию. Очень важно правильно расположить эти три процесса: ассимиляцию, секрецию и экскрецию по отношению друг к другу. Между ассимиляцией центростремительного направления и экскрецией центробежного направления, принадлежащих, соответственно первому и второму потокам Венеры, располагаются процессы железистой секреции — одновременно обмен и обработка (Меркурий и Марс соответственно).
Диссимиляция и экскреция связаны с процессами сознания высшего полюса. Ассимиляция, присущая первому потоку Венеры, обращается к астральным силам нижнего полюса и сопровождается уменьшением сознания, доходя в некоторых случаях до апатии и оцепенения (ступора). Можно задать себе вопрос: не прекращаются ли процессы выделения и элиминации во время сна, в связи с отделением высших составных элементов человека — «Я» и астрального тела — от низших составляющих? Действительно, имеется ночное уменьшение всех процессов экскреции, но полного прекращения не происходит, т. к. организм в течение некоторого времени продолжает деятельность, вызванную высшими элементами, даже в их отсутствии. Так, максимум желчеотделения и гликогенолиза наблюдается к 15 часам, а минимум — к 3 часам ночи. Процессы ассимиляции варьируют в противоположном направлении, свидетельствуя о более выраженной связи астрального тела с метаболическим полюсом во время сна. Так, гликогенез и кишечное всасывание жиров достигает своего максимума в 3 часа ночи, а минимума — в 15 часов. Многие другие органические процессы придерживаются собственного суточного ритма.
Инверсия суточного ритма.
Случается, что эти ритмы нарушаются и даже меняют свою направленность на противоположную. Ночной пот является тому примером. Потоотделение представляет собой нормальное физическое следствие действий сознания — ниже мы уточним эту мысль. Когда этих действий во время бодрствования недостаточно, организм стремиться восполнить этот недостаток во время сна. Уточним по этому поводу, что деятельность сознания — это не только мышление. Сюда относятся переживания чувств и волевые импульсы. Потоотделение происходит и во время интенсивной умственной работы, например, во время шахматной игры, совсем как при мускульной работе, мышечная же работа не может выполняться при отсутствии воли. Напротив, во время сна мышление, чувства и воля приостановлены.
Другим примером инверсии выделительного ритма является никтурия, при которой в противоположность норме максимум мочеотделения происходит ночью. Такое расстройство ритма мочеотделения должно вызвать подозрение на наличие нефросклероза. Изобилие ночного мочеотделения не всегда свидетельствует об истинной инверсии. Она проявляется также и при сердечной недостаточности. В этом случае количество выделенной мочи вызвано просто горизонтальным положением больного, облегчающим мобилизацию жидкостей, тяготеющих к застою, будь то ночью или днем.
Почка — орган Венеры.
Система, сформированная почками и их спутниками — надпочечниками, составляет орган Венеры, внутри которого два потока этой планеты проявляются особенно ярко. Роль надпочечников, в основном, касается процессов ассимиляции, связанных с первым потоком. Надпочечники являются предпочтительным местом для действия астрального тела на эфирное. В случае их поражения эфирное тело, не получая больше импульсов астрального тела, атрофируется, и его жизненные функции редуцируются. Тогда проявляются симптомы адинамии, гипотонии, гипогликемии и другие расстройства метаболизма, вырисовывая образ болезни Аддисона. Соль в данном случае ведет себя как инородный элемент и не задерживается в организме. Но не нужно полагать, что заболевание железы всегда первично. Первичным оно является в тех случаях, где слабость первого потока Венеры не вызывает симптомов, выраженных столь же ярко, как при болезни Аддисона.
Когда, напротив, первый поток Венеры очень сильный, мы вновь встречаем симптомы слишком сильного почечного излучения (см. т. I, гл. 12), характеризующегося преимущественно гипертонией и метеоризмом. Разумеется, преобладание первого потока Венеры, усиливая ассимиляцию, предрасполагает к тучности. Этот недуг часто связан с чревоугодием, но было бы неправильным говорить, что он является обязательным его следствием. Разумнее считать чревоугодие параллельным симптомом на психическом плане.
Избыток второго потока Венеры...
Преобладание второго потока ускоряет выделения. Оно может провоцировать диарею, гипергидроз и полиурию. Этот избыток диссимиляции в некоторых случаях может подтолкнуть того, кто страдает этим заболеванием, к компенсации своих потерь за счет увеличения потребления продуктов питания. Именно это встречается у типа хороших едоков, остающихся всегда худыми. Если лишить их избытка продуктов, может развиться кахексия. Полифагия и полидипсия диабетика является другим примером такого явления компенсации. Имея слишком много сахара в крови, диабетик испытывает чувство его недостатка, т. к. он не в состоянии его использовать. Он чем-то напоминает человека, умирающего от голода возле склада, набитого продуктами, ключи от которого потеряны. Впрочем, существует некоторый параллелизм между болезнью Аддисона и диабетом. В первом случае очень слабое астральное тело не в состоянии использовать соль, во втором — собственное «Я» не может использовать сахар. Этот последний кристаллизующийся элемент должен быть преобразован в печени в гликоген, вещество более близкое к растению и к жизни. Такое нарушение ассимиляции свидетельствует о недостаточности первого потока Венеры и, вероятно, второго потока Марса. Собственное «Я» представляет здесь ключ от склада в приведенной выше метафоре. Но когда ключ потерян, то случается, что «замок» — поджелудочная железа — «ржавеет» из-за функциональной недостаточности. Для человеческого «Я» на физиологическом уровне поджелудочная железа является тем же, что и надпочечники для астрального тела.
...
и его недостаточность.
По своим выделительным функциям почка относится ко второму потоку Венеры. Но здесь Венера, в соответствии с процессами сознания, обращается своей динамикой к силам астрального тела. Недостаточность второго потока выражается в расстройствах процессов выделения (олигурии и анурии). Распространившись на другие органы, она может привести к запору или недостаточности потовой секреции.
Психическая симптоматика.
В психическом плане преобладание первого потока в соответствии с избытком вегетативных функций провоцирует состояние умственного отупения, т. е. ступора. Случается, напротив, что часть астрального тела, которое в норме отделяется от нижнего эфирно-физического комплекса, остается, в некотором роде, «подвешенным в воздухе» и это провоцирует бессонницу. А если подняться на этаж выше, то может появиться некоторое несоответствие между астральным телом, остающимся связанным с тем или иным физическим органом, и «Я», не способным, в свою очередь, обеспечить господство над этим астральным телом. Такой разлад ведет к шизоидной тенденции.
Эти описания помогают понять двойственную полярность, существующую между двумя потоками Марса и двумя потоками Венеры, полярность, которую мы постараемся кратко представить в следующей таблице.
Таблица 3
| МАРС
|
ВЕНЕРА
|
| (
желчный пузырь,
гортань)
|
(
почки, венозная
система)
|
| ЭКСТЕРИОРИЗАЦИЯ
|
ИНТЕРИОРИЗАЦИЯ
|
| Внешняя активность.
Речь.
Артериальная циркуляция.
Сжигание, гликогенолиз.
Катаболизм.
Волевая активность.
Ирония.
|
Ассимиляция. Слух.
Венозное и портальное
кровообращение.
Создание гликогена.
Создание атмосферы
Пассивность.
Восприимчивость,
страдание. Религиозность,
прощение. Жертвенность
|
| МАРС
|
ВЕНЕРА
|
| (
желчный пузырь,
гортань)
|
(
почки, венозная
система)
|
| ИНТЕРИОРИЗАЦИЯ
|
ЭКСТЕРИОРИЗАЦИЯ
|
| Активность, направленная во внутрь (химический и звуковой эфир).
|
Активность, направленная наружу — все процессы выделения (моча, пот, молоко, потери соли и т.п.).
|
| Охриплость.
Заикание,,
Липоидный нефроз.
Гипохромная анемия.
Хлороз.
Аллергия.
Агрессивность (как проявление слабости).
Страх перед жизнью.
Паралич воли.
|
Глухота.
Гипергидроз.
Хроническая диарея.
Тиреоидная лихорадка.
Болезнь Аддисона.
Потеря веса, кахексия.
Полифагия, полидипсия.
Полиурия, гипергидроз, дисгидроз.
Потеря вкуса.
Аутизм.
Шизоидные тенденции
|
ГЛАВА ДВАДЦАТЬ ВТОРАЯ
Солнце
Место Солнца в геоцентрической системе.
Для астронома Солнце является звездой, а не планетой. Для оккультиста Солнце — это сердце того, что мы называем планетарным организмом. За Сатурном начинается мир неподвижных звезд — мир Зодиака[75]
. До Луны лежит земной мир. Эта концепция не противоречит астрономическим знаниям, она просто рассматривает вещи с другой точки зрения. Астроном воспринимает Вселенную как материальную систему, к которой он пытается применить законы, полученные при механистическом изучении нашей Земли. Таким образом, он материализует Вселенную. Для духовной науки небесные тела значат больше, чем просто физические образования. Исследования д-ра Р. Штейнера показывают, что «внешность» планет — есть только физическое проявление духовных сил. Так, можно представить себе Вселенную как единое целое, где каждый регион имеет свои функции и характеристики. Важным является то, что планетарный или астральный мир — это мир движения и ритма; он посредник между миром неподвижных звезд и Землей. Для нас, живущих на Земле, наша планета занимает главное, центральное место и противополагается далям космической периферии. Между этими полярностями заключен планетарный мир, ориентированный на Солнце. Геоцентризм придает большое значение Земле не в противовес законам массы и притяжения, но потому что Земля является той сценой, на которой разыгрывается вся жизнь и деятельность человека, воплощенного в теле. Древние помещали Землю в центр Вселенной именно поэтому, и делалось это не из-за невежества (их астрономические знания не были примитивными: существование египетских пирамид достаточно убедительно свидетельствуют об этом), а потому что они ставили Человека выше вещества, превыше материи. В наше время ученых, которые отрицают планетарные влияния на человека, попросту следует критиковать за узость взглядов. Вообще, мыслить упрощенно многим людям кажется удобным. Однако сотни экспериментов, проведенных за последние 50 лет такими исследователями как Л. Колиско, А. Файф, М. Тун и Фоссюрье доказали реальность этих влияний.
Сердце планетарного организма.
Движение и ритм — вот главные характеристики планетарного мира. Прежде всего, это относится к его центральному органу — к Солнцу[76]
. Корона то расширяется, главным образом в экваториальных зонах, при этом количество солнечных пятен убывает, то сокращается, а количество солнечных пятен увеличивается. Весь цикл длится около 11 лет. Сокращение и расширение превращает Солнце в настоящее сердце с систолами и диастолами, в центральный орган планетарного мира. Сокращение короны и появление пятен соответствует процессу материализации, расширение и исчезновение их — дематериализации или одухотворению. На пути души из далей мироздания к Земле именно прохождение через эту солнечную сферу дает человеческому «Я» силы, необходимые для строительства ритмической системы организма и главным образом сердца.
Материализация и одухотворение.
Глядя на процесс воплощения человека в тело, то есть на инкарнацию, мы увидим, что он представляет собой некое сжатие, систолу, а развоплощение человека, его экскар-нация — диастолу. Это крупный (для человека) временной ритм, при котором сверхчувственные элементы человеческого существа концентрируются в отделенном от всего остального земном организме, а потом вновь расширяются в космосе. При движении вниз пересечение солнечной сферы знаменует материализацию, а при подъеме, напротив, проход через Солнце является одухотворением. В нашем организме влияние первого нисходящего потока преобладают в первой половине жизни, приблизительно до 35 лет, а влияние второго восходящего потока все больше и больше проявляется во второй половине жизни, после 35 и вплоть до смерти.
Трудности инкарнации.
Таков процесс земного бытия человека в его норме. Но случается, что первый поток слишком слаб, тогда второй поток доминирует и в начальных фазах земной жизни. Такая ситуация ведет к общим трудностям воплощения, самым ранним симптомом является склонность к выкидышу. Существо, которое не несет в себе достаточно солнечных сил, не может удержаться на физическом плане; оно неспособно преодолевать трудности, которые могут встретиться ему в организме матери. Конечно, непреодолимые препятствия могут возникать и для воплощающихся душ, которые обладают достаточными солнечными силами. С этим связана вся гамма патологий — от единичного выкидыша и до полной стерильности, в зависимости от отношений, которые устанавливаются между душей человека, стремящегося воплотиться в земной эмбрион, и телесной структурой материнского организма.
В дальнейшей жизни рожденного при таких сложностях человека слабость инкарнационного солнечного потока скажется хрупкостью телосложения, повышенной предрасположенностью к лихорадочным заболеваниям с бредом. Чаще всего это больные лептосомного типа, субтильного телосложения. Анорексия, бледность, вялость — вот симптомы слабого первого солнечного потока. В сильно выраженной форме такая слабость будет способствовать развитию воспалительных заболеваний сердца, перикардиту, миокардиту, эндокардиту. Тем не менее нередко бывает, что уже воплотившаяся душа, «Я» человека мало-помалу преодолевает эти слабости, и тогда индивидуумы, которым удается «зацепиться за жизнь» и пройти через многие болезни и превратности судьбы, доживают до преклонного возраста. Им иногда приходиться так много бороться ради «акклиматизации» на Земле, что в старости они с трудом отрываются от своей жизни, столь преданными которой они стали.
Избыток первого солнечного потока.
Другие души, у которых силы первого солнечного потока доминируют, устремляются к Земле и стараются цепко закрепиться на ней. Это крепкие дети с загорелыми лицами, любящие игры и спорт. Обычно они обладают плотной конституцией. Если естественное преобладание первого солнечного потока в первую половину жизни продолжится и после 35-летнего возраста, то оно будет препятствовать процессу одухотворения. Человек, слишком прочно привязанный к Земле, будет предрасположен к атеросклерозу, гипертонии, дегенеративным заболеваниям сердца, таким как инфаркт, стенокардия и т. п.
На физическом плане преобладание первого солнечного потока будет проявляться чрезмерным «аппетитом» к материальным ценностям с постоянным стремлением к обладанию ими. Таким субъектам трудно познавать духовное. В старости у них проявляется жадность, и они не могут расстаться со своей собственностью. Их смерть становится драматической борьбой, так как они безнадежно цепляются за физическое тело, которое благодаря своей конституции оказывается слишком минеральным и неспособным уступить место душе.
Уход от реальности.
Преобладание второго — экс-карнирующего потока провоцирует бегство от реальности, страх перед земным миром и его требованиями. Лица, имеющие такие склонности, хотели бы жить в воображаемом мире. Это может привести к различным формам бреда. Многие душевнобольные подсознательно ищут прибежище в своих психических расстройствах. Это похоже на моральное самоубийство. Нижеследующая схема резюмирует проявления двух солнечных потоков.
Живое равновесие.
Не стоит забывать, что солнечные силы всегда стремятся к равновесию. Мы постоянно колеблемся между двумя полюсами солнечного ритма, и именно от этого ритма рождается гармония. Сердце, солнечный орган, компенсирует жизненный избыток диастолы структурирующими силами систолы и наоборот. Между этими двумя потоками устанавливается чередование, живое динамическое равновесие, всегда непохожее, постоянно меняющееся в течение всего своего существования. Этот ритм, который всегда стремится корректировать излишки, является великим целителем организма. Сколько же нарушений в течение жизни компенсируется при помощи этого солнечного сердечного ритма прежде, чем само сердце погибнет! Без него организм постоянно болел бы, и искусство исцеления прежде всего заключается в помощи солнечным силам для уравновешивания полярностей различных планетарных потоков, выражением которых является наше астральное тело.
Таблица 4
| СОЛНЦЕ
|
| СЕРДЦЕ
— ЦИРКУЛЯЦИЯ
|
| <
–––––––––––––
Материализация
Поток инкарнации доминирует
|
Пикнический тип, загорелый, шустрый, активный крепыш любяший игры на воздухе.
Хороший аппетит.
Ускорение процессов инкарнации, ведущих к раннему старению
Преобладание верхнего комплекса («Я — Астральное тело»)
|
Лептосомный тип, хрупкий бледный,
Мечтательный не увлекающийся много читающий.
Маниакальный.
Плохой аппетит.
Замедление процессов инкарнации.
Преобладание нижнего (физически-эфирного) комплекса.
Тяготеет к самостоятельности.
Организм предрасположен к влиянию сил тяжести.
|
О
духотворение
––––––––––>
Поток экскарнации доминирует
|
| Прекардиалгии, стенокардия, коронарииты, инфаркты, тромбозы, склероз.
Сухие, зудящие дерматозы.
Тоска, тревога, маниакальное поведение.
Буйное помешательство.
|
Приливы, тахикардия, головокружение, обмороки.
Лихорадящие заболевания, делириозные состояния.
Кифоз, сколиоз, лордоз.
Птоз внутренних органов.
Воспалительные заболевания сердца, сердечная недостаточность.
Размягчение мозга.
Выкидыши.
Экссудативный диатез.
Меланхолия, склонность к суициду, бегство от реальности.
|
ЧАСТЬ СЕДЬМАЯ
 СЕМЬ ГЛАВНЫХ
МЕТАЛЛОВ
Исключительное положение металлов в минеральной природе представляют металлы в самородном состоянии. Чаще всего они встречаются в рудах — в виде соединений, откуда их можно извлечь только с помощью технических средств и огня. Таким образом, они становятся завоеванием человечества и, хотя бы в силу этого факта, легко понять, что может существовать некая глу:
бока я связь между развитием человеческого сознания, мышлением и металлическим миром. Все металлы обладают одной общей характеристикой, а именно — объединяют в себе противоречивые, на первый взгляд, свойства — тягучесть и ковкость. Конечно, природа дарит нам вещества тверже металлов, например, алмаз, но эти вещества лишены ковкости. И наоборот, исключительно пластичная глина практически не обладает никакой тягучестью. Металлы имеют еще одно примечательное свойство, они в различной степени способны проводить тепло и электричество.
Этим свойствам металлы обязаны планетарным силам, даровавшим им жизнь. Семь планет нашей системы стоят за семью металлами, которые я назвал главными. Другие металлы, встречающиеся в природе, несут в себе влияние двух или нескольких планет. Знания о семи главных металлов, их изучение в последующих главах открывает путь также и к изучению других металлов, к использованию металлов в терапевтических целях.
ГЛАВА ДВАДЦАТЬ ТРЕТЬЯ
Планетарный порядок и металлы
Исторический очерк.
Использование металлов в терапии восходит к глубокой древности. Во время лекции 10 февраля 1923 г. Р. Штейнер рассказал, как Древние наблюдали за соотношениями между некоторыми патологическими состояниями кишечника (дизентерия, брюшной тиф и т.д.), планетой Венера и медью. Они отмечали более тяжелое течение этих заболеваний, когда Венера была видна на небосводе, и незначительную их тяжесть, когда планета была закрыта тенью Земли. Из этого они сделали вывод: что-то на Земле ослабляет действие Венеры, и причиной этого ослабления является медь, следовательно, медь можно использовать для лечения этих заболеваний.
В течение всей эпохи Средних веков металлы играли главную роль в алхимии. Но свойства металлов, изучаемые алхимиками, были не те, которыми интересуются современные физики и химики. Парацельс был великим знатоком металлов и их лечебных свойств. Именно он дал, например, имя цинку. Среди металлов в древней медицине очень важную роль играла сурьма. Наши предки нередко хранили флакончик с сурьмой в семейной аптечке, используя его в течение многих лет. В XVII веке этот металл считался универсальным средством. Им стали настолько злоупотреблять, что медицинский факультет Парижа в 1566 г. запретил использование сурьмы. Несмотря на это, сурьмой продолжали пользоваться вплоть до начала XX века. Интересно отметить, что современная химическая медицина все меньше и меньше обращается к металлам. Они применяются на практике только благодаря своим бактерицидным свойствам. Мода на золото в ревматологии прошла так же быстро, как и появилась. Серебро было свергнуто с престола антибиотиками, как и ртуть, которая раньше играла очень важную роль в арсенале противосифилитических средств. Больше уже не выписывают ни серную мазь, ни хлористую ртуть (каломель). Только диуретические свойства некоторых органических соединений ртути находят применение, а использование ее как дезинфицирующего средства, по правде говоря, не является лечением. В действительности, только железо из-за присутствия его в организме в весомых количествах выписывается при гипохромной анемии.
Новый импульс.
Именно антропософская медицина вернула металлотерапии достойное место, дав ей солидное обоснование. Р. Штейнер показал, что металлы являются завершением, последней точкой определенного космически-земного процесса. В более образной форме можно сказать, что в субстанции металла как бы заколдованы, заточены определенные космические духовные силы, и эти силы нам надлежит «расколдовать», если мы хотим использовать их для исцеления. Я знаю, что многим читателям этот язык покажется мало научным, но, к сожалению, на сегодня действительность поддается в большей степени образному способу выражения. Итак, эти силы, некогда породившие металлы, или, другими словами, уплотнившись до формы металлов, оставили в них свой отпечаток, свой почерк, который нам предстоит расшифровать.
Как разместить металлы.
Когда вы изучаете какой-либо металл, никогда не нужно терять из вида планету, которая ему соответствует. В своем известном исследовании металлов Вильгельм Пеликан[77]
сгруппировал их, поставив по кругу в порядке увеличения атомных весов. Учитывая изученный ранее планетарный процесс, я предпочел расположить металлы в зависимости от планет, которые им соответствуют, согласно траектории движения «Я» во время инкарнации (рис. 8). Тот же самый порядок мы находим, размещая семь планет в зависимости от продолжительности их звездного обращения.
Таблица 5
Звездное обращение планет
| Сатурн 10759 дней
|
Солнце 365 дней
|
| Юпитер 4332 дня
|
Венера 224 дня
|
| Марс 686 дней
|
Меркурий 87 дней
|
| Луна 27 дней
|
Помещая Солнце и золото вверху, мы сразу видим, как обнаруженные нами полярности окажутся по разные стороны вертикальной оси симметрии, проходящей через Солнце (рис. 9).
Небесные гармонии и физические свойства.
На рис. 10 возле каждого металла указан его атомный номер по периодической системе элементов. Самый высокий атомный номер и самый большой атомный вес принадлежат свинцу.

Рис. 9. Соотношение между планетами и металлами
Если мы соединим металлы ломаной линией в порядке уменьшения их атомных весов, то получим правильную семиконечную звезду. Следовательно, существует гармоничная связь между порядком планетарных сфер и внутренней структурой металлов. Некогда люди имели представление об этих связях, и не случайно, что каждому дню недели они дали имя планеты. Порядок, которого они придерживались, — это порядок последовательных этапов созидания, такой же порядок представлен в духовных исследованиях Р. Штейнера[78]
.
Дни недели.
Теперь вернемся к нашему основному рисунку и отметим там соответствие планет и дней недели (рис. 11). До сих пор во многих европейских языках сохранилось (хотя уже и неосознанно для людей, на этих языках говорящих) понимание связи семи дней недели с семью планетарными сферами: суббота — Сатурн (Saturday — в английском), воскресенье — Солнце (по — английски Sun-day — день Солнца, по не-

Рис. 10. Планеты и атомные номера металлов
(Аи-79;
Fe
-26;
Sn
-50; РЬ-82;
Ag
-47;
Hg
-80;
Cu
-29).
мецки то же — Sonntag), понедельник — Луна (Lundi — франц., Monday — англ.), вторник — Марс (Mardi — франц.), среда — Меркурий (Mercre-di — снова франц.), четверг — Юпитер (Jeudi — франц.) и пятница — Венера (Vendredi — франц.).
Если теперь последовательно соединить точки дней недели хордами, то можно увидеть, как вырисовывается другая правильная семиконечная звезда с более острыми вершинами, чем предыдущая. В связи с этим интересно отметить терапевтические указания, которые дал д-р Р. Штейнер одной конкретной весьма ослабленной больной. Он посоветовал лечащему врачу назначить ей в воскресенье золото D10, в понедельник серебро D3, во вторник — железо D4, в среду — ртуть D6, в четверг — олово D10, в пятницу — медь D10 и в субботу — свинец D10[79]
.
Электро- и теплопроводность.
Поразительно, что порядок, в котором мы расположили металлы, оказывается полностью соответствующим последовательности ряда электро- и теплопроводности (рис. 12). Исключение составляет ртуть, но это исключение легко объяснимо тем, что ртуть при комнатной температуре имеет жидкое состояние; если же рассматривать соответствующие показатели у твердой (то есть охлажденной) ртути, то гармония ряда восстановится.

Рис. 11. Планеты и дни недели.
Реакция металлов на теплоту.
Металлы реагируют на теплоту по-иному. Это выражается плавкостью, коэффициентом расширения, удельной теплотой и еще одной интересной характеристикой — разницей (дельтой) между точками плавления и кипения. По первым трем из этих показателей металлы четко делятся на две группы (см. рис. 12) — верхнюю, включающую металлы тугоплавкие, мало расширяющиеся и требующие высокой температуры для плавления (медь, золото и железо), а также нижнюю, включающую в себя легкоплавкие, сильно расширяющиеся, с низкой температурой плавления — олово, свинец, ртуть и серебро. (Свойство, называемое удельной теплотой, следует относить не к массе, а к объему, иными словами, учитывать количество теплоты, необходимой для увеличения температуры на Г при нагревании 1 дм3
металла.)
Рис. 12. Влияние тепла.
Тепло- и электропроводность металлов.
Нижеследующая таблица демонстрирует разницу между точкой плавления и точкой кипения наших семи основных металлов.
Таблица 6
Точки плавления и кипения металлов
| Металл
|
Химический
символ
|
Точка
плавления
|
Точка
кипения
|
Различие
|
| Медь
|
Си
|
1083
|
2310
|
1227
|
| Ртуть
|
Не
|
-39
|
357
|
396
|
| Серебро
|
Ае
|
961
|
1950
|
989
|
| Золото
|
Аи
|
1063
|
2600
|
1537
|
| Железо
|
Fe
|
1537
|
3200
|
1663
|
| Олово
|
Sn
|
232
|
2270
|
2038
|
| Свинец
|
Pb
|
327
|
1620
|
1293
|
Бросается в глаза, что металлы, расположенные слева от оси золота (см. рис. 12, 13) — медь, ртуть и серебро, имеют небольшую дельту между точками кипения и плавления, в то время как металлы, расположенные справа — железо, олово и свинец, соответствуют более высоким значениям этой дельты. Еще интереснее то, что если мы посчитаем среднее арифметическое между показателями дельты в первой и второй группе металлов, то получим соответственно 871 и 1665; остается лишь взглянуть на дельту золота 1537 — она лежит между этими показателями. Рис.
13. Разница температуры между
точками кипения и плавления.
Отражательная способность.
Теперь рассмотрим поведение металлов по отношению к свету. Мы обнаруживаем слабую отражательную способность у металлов, расположенных справа (Pb, Fe), и высокую у металлов, расположенных слева (Ag, Си) (рис. 12). Оригинальностью отличаются олово и ртуть, кажется, что они поменялись местами — олову, более блестящему, имеющему также более теплое излучение, следовало бы расположиться между медью и серебром, а более тусклой и более серой ртути было бы лучше оказаться между железом и свинцом. Тем не менее странно констатировать симметрию этих неправильностей.
Химические свойства.
На рисунке 14 показано распределение электрохимических свойств металлов. Слева располагаются электроотрицательные, а справа — электроположительные металлы. Последние имеют тенденцию к легкому образованию солей. Металлы слева, напротив, стремятся сохранить свое металлическое состояние, чем и объясняется, что иногда их находят в природе в виде самородков. Что касается золота, то оно занимает особое положение; оно самый электронегативный металл из всех, с трудом образует соли и не окисляется. В природном состоянии оно встречается только в металлической форме. Это самый благородный металл. Говоря о химических свойствах, следует отметить, что металлы, расположенные слева,
одновалентны, а металлы правой группы — двухвалентны. Рис. 14. Отражательные способности.
Потенциал. Валентности.
Другие полярности.
Нашу исходную фигуру можно еще раз преобразовать, как это показано на рисунке 15. Золото по-прежнему определяет вертикальную ось симметрии, кроме того, мы сохраним горизонтальную линию, характеризующую полярность «ртуть — олово». Но дальше, вместо противопоставления «медь — железо» и «серебро — свинец», как на рис. 9, проведем диагонали, противопоставляя медь свинцу, а серебро — железу, рисуя таким образом крест Св. Андрея. Тогда эти вновь возникшие полярности опять соответствуют физическим реальностям: медь обладает самой высокой удельной теплотой (теплоемкостью), самой высокой температурой плавления, и оба эти свойства относятся к объему (определяются через объем), а свинец обладает этими качествами в незначительной степени. Следовательно, диагональ Си—РЬ относится к теплоте. Полярность между Ag и Fe касается света, причем, отражательная способность серебра самая высокая, а железа — самая низкая. Горизонтальная линия Hg—Sn выражает полярность удельных масс: ртуть является самой плотной, олово — наименее плотное, не считая, естественно, золота, которое находится за пределами полярностей. В противоположность золоту и олову ртуть представляет собой металл, который легче всего переходит из жидкого состояния в газообразное, а олово — труднее всего.

Рис. 15. Парадиаметральные
полярности
Вся ценность этих трех последних полярностей (Си—Pb, Ag—Fe и Hg—Sn) отражена в терапевтических показаниях, изложенных Р. Штейнером во время дискуссии после одной из лекций, прочитанных им для воспитателей вальдорфских школ. Тогда Штейнер советовал врачам после 6 недельного приема одного металла назначать (вероятно, речь шла о детях) в течение последующих двух недель полярный металл, чтобы избежать привыкания и сохранить терапевтический эффект, а в качестве вариантов полярностей металлов он назвал медь и свинец, серебро и железо, ртуть и олово.
Все эти совпадения не могут быть случайностями. Наоборот, они показывают, что металлы несут в себе, в своих свойствах память о космическом происхождении. Мы же, пытаясь отыскивать это космическое начало в металлах, приобретаем способность использовать металлы не просто для борьбы против той или иной болезни или симптома, но — для восстановления у человека космической гармонии, которую он утратил, став больным.
ГЛАВА ДВАДЦАТЬ ЧЕТВЕРТАЯ
Свинец
Свинец и сила тяжести.
Кусок свинца в руке вызывает ярко выраженное ощущение тяжести. Среди наших семи главных металлов — он один из самых тяжелых, уступая по плотности только ртути и золоту. Другими словами, можно сказать, что свинец очень сильно испытывает силу земного притяжения. Этой силой тяжести он противопоставляется свету, по отношению к которому проявляет сильную «жадность», интенсивно его поглощая. Даже на свежем срезе свинца заметно только очень слабое сияние, бледный отблеск, быстро исчезающий при контакте с воздухом. Эта полярность между свинцом и светом обнаруживается в нашем языке: когда мы говорим, что свинец тяжелый (lourde — Фр.),
мы используем производное слово от латинского термина luridus, что значит тусклый, темный, мрачный. Как хорошо этот термин описывает свинец! В общем, тяжесть всегда связана с мраком, а легкость — со светом. Так, англичане используют то же самое слово light и немцы — близкие слова licht и leicht, чтобы обозначать свет и легкость. В дальнейшем мы увидим, как при свинцовой интоксикации организма свинец увлекает нас как раз к минерализации, к земле, к тяжести. Странным образом свойства этого металла как бы переворачиваются в его солях: белизна, отражающая и покрывающая способность свинцовых белил (карбоната свинца), обеспечили длительное использование этой соли в живописи и малярном деле, лишь по мере возникновения других белил (например, цинковых) от свинца отказались из-за его токсичности. Силикаты свинца проявляют, с одной стороны, блеск, но помимо этого при ударе по кристаллу силиката раздается звучный звон.
Свинец и звук.
Однако, как чистый металл, свинец мягок и издает приглушенный звук. Колокол из свинца никогда бы не зазвучал. Он поглощает вибрации как высоких, так и низких частот и является отличным изолятором от звука. Эта способность приглушать, или амортизировать, удары используется для улучшения качества горючего — добавление тетраэтилсвинца в горючее смягчает громкость взрывного горения бензина и приглушает стук мотора.
Свинец и ионизирующее излучение.
К тому же свинец обладает значительной способностью абсорбировать ионизирующие излучения: Х-, b- и g- лучи. Проникающие излучения, особенно опасные и разрушительные для человеческого организма, останавливаются свинцом. Это свойство используется в производстве емкостей, предназначенных для перевозки радиоактивных веществ: радия, радиоизотопов и т.д., а также для защиты персонала, подвергающегося воздействию радиации.
Свинец и теплота.
Кусок свинца в руке быстро нагревается. Говорят еще, что он обладает слабой удельной теплоемкостью: требует мало теплоты, чтобы нагреться, и неохотно отдает ее при охлаждении. Имеет высокий коэффициент расширения, уступая в этом только ртути. Другими словами, ему нужно мало теплоты, чтобы значительно расшириться. Многие свойства свинца противоположны свойствам серебра, занимающего на рисунке 9 симметричную позицию. Таким образом, из семи металлов свинец самый плохой проводник тепла и электричества, серебро же, напротив, является лучшим проводником. Можно, не обжигаясь, спокойно держать кусок свинца за один конец, тогда как другой плавится в пламени. Плавится он легко, достаточно пламени свечи. Резюмируя эти свойства, можно сказать, что этот металл пассивно переносит воздействие теплоты. Если он нуждается в таком малом количестве тепла для нагревания, расширения и плавления, то не потому ли, что несет в себе еще нечто от первоначальной теплоты Сатурна?
Химические свойства.
Изучение химических свойств свинца показывает, что он слегка электроположителен. Он легко образует соли и совершенно не встречается в природе в свободном состоянии. Его соли нерастворимы или мало растворимы, здесь мы имеем указание на его сугубо минеральный характер. На открытом воздухе свинец покрывается карбонатной или окисной пленкой, предохраняющей его от дальнейшей коррозии. Это свойство позволяет использовать свинец для защиты от природных агентов и от морской воды, так, электрические и телефонные кабели покрывают свинцовыми оболочками. Здесь свинец снова проявляет свою пассивность к внешнему миру.
Пограничные функции.
Стало быть различные свойства свинца имеют общие черты — пассивность, индифферентность, отказ передавать то, что приходит извне, идет ли речь о тепле, звуке, химических воздействиях, электричестве или ионизирующих излучениях. Добавим, что свинец как бы антибиологичен — он противостоит «передаче жизненных сил» (в отличие, например, от серебра), ибо вызывает, как мы это увидим при свинцовом отравлении, последовательную деградацию и смерть живого организма. Такие изолирующие и ограничивающие свойства присущи также и сфере планеты Сатурн. Она располагается на периферии солнечной системы точно так же, как свинец — на периферии периодической системы элементов.
Естественное состояние.
В природе свинец, главным образом, встречается в виде сульфида, а именно галенита. Галенит часто содержится в породе кальцита (карбонат кальция), указывая, таким образом, на сродство свинца с кальцием. Морфологически галенит кристаллизуется в кубическую систему наподобие каменной соли или алмаза. Куб представляет собой типично земную форму, в противоположность космическому шестиграннику кварца или многообразным кристаллам снега. Среди других минералов свинца назовем еще пироморфит, в котором содержится натуральный фосфат свинца. Эта руда — изоморф апатита, натурального фосфата кальция. Фосфат и карбонат кальция обнаруживается в наших костях. Родство кальция и свинца проявляется и в изоморфизме их карбонатов, и в том, что оба эти металла двухвалентны.
Металл Запада.
Свинец — металл Запада. Некогда римляне добывали его в Испании. В настоящее время половина месторождений свинца принадлежит Северной Америке. Может быть, это и не случайно, что именно жители Пиренейского полуострова — полуострова свинца, отправились на покорение Нового Света — «континента свинца».
В нормальном состоянии человеческое тело не содержит свинец в материальной дозе. Однако в ничтожных количествах он находится в костях и в патологических кальцификатах, таких, как почечные, желчные камни и т. д. Зато труднее всего обнаружить его в крови (разумеется, за исключением случаев интоксикации). Эти факты представляют собой истинную сигнатуру потоков Сатурна, описанных во время рассмотрения планеты: первый действует на уровне костей, концентрируя в них свинец, в то время как второй выводит его из крови.
Скрытый сатурнизм.
Свинцовая интоксикация изучается давно. Долго считали, что небольшие количества свинца полностью удаляются почками и не вызывают никаких расстройств. Эта ошибочная концепция была искусно поддержана заинтересованными отраслями промышленности[80]
. В действительности, отсутствие клинического сатурнизма никоим образом не означает безопасность, так называемых, «допустимых доз», и сегодня известно, что многие заболевания, этиология которых неясна, могут быть уверенно приписаны свинцу. Так, склонность к меланхолии, депрессивности нередко просто отражает прогрессирующее уплотнение организма, вызываемое свинцом, вбираемым нашим организмом из отравленной им атмосферы. Д-р Р. Штейнер напомнил о роли печатников (наборщиков) в организации рабочего движения по всему миру, сказав при этом, что помимо других факторов, делавших их склонными к специфическому становлению пролетарского сознания, на них действовал именно свинец, которым они были буквально пропитаны из-за работы со свинцовыми шрифтами, — свинец делал их неразговорчивыми, больше других профессий склонными к размышлению. Действуя в противоположном от жизни направлении, свинец пробуждает сознание. Эксперименты, проводимые Егоровой[81]
, показали, что инъекции 0,002 мг свинца на 1 кг веса в течение 6 дней подряд достаточны для поражения яичек и сперматозоидов. «Свинец, — говорит Штофен в своем прекрасно документированном труде[82]
, поражает все органы...», а расстройства, описанные этим автором, имеют одну общую характеристику — деградация жизни, т. е. хромосомные аберрации, способные вызвать наследственные уродства, выкидыши, преждевременные роды, рост детской смертности, сокращение периода лактации, атеросклероз, энцефалопатии, нефропатии и т. д. Можно до бесконечности перечислять заболевания, вызываемые свинцом или развитию которых он способствует. Бармс[83]
изучал невероятную частоту кариеса у туземцев долины Сепик в Новой Гвинее (там в почве много свинца и других тяжелых металлов). Им были изучены 32 микроэлемента, но единственно значимая причина кариеса была связана со свинцом. Отметим также, что в натуральных продуктах питания местного населения отсутствовал сахар. Жители соседней долины, употреблявшие те же самые продукты, не болели кариесом. Наличие или отсутствие фтора не вызывало никаких изменений. Другие исследования, проведенные Штофеном, подтвердили воздействие свинца на кариес[84]
. Вероятно, что эволюция патологии человечества вообще, характеризующаяся, начиная с XV века, уменьшением «горячих» (лихорадящих) заболеваний в пользу «холодных», связана со свинцом. Следствием такой эволюции является модификация состояния сознания западного мира в сторону интеллектуализации.
Эта трансформация значительно ускорилась за последние 50 лет, в течение которых ежедневно получаемые человеком дозы свинца значительно возросли. Из-за свинца, выбрасываемого в атмосферу автомашинами, жители больших городов находятся иногда на пределе токсической дозы, и мы уже дошли до того, что ежедневной нормой поглощения свинца считается 0,5 мг![85]
Хронический сатурнизм.
Более значительные дозы порождают клинически выраженный хронический сатурнизм, характеризующийся прогрессирующей девитализацией и минерализацией всего организма (острая форма редка). Кожа становится бледной, слизистые высыхают, обусловливая охриплость (поражение слизистых гортани) и кашель (поражение слизистых бронхов). Кишечная секреция уменьшается, появляются болезненные спазмы, вызывающие запор, вырисовывая картину свинцовой колики. В мочеполовой сфере отмечается задержка мочи, нерегулярные болезненные менструации и склонность к выкидышам. Не обойдена и печень: ее заболеванием является гематопорфиринурия. Особенно страдает нервная система, жизнеспособность которой уже в нормальном состоянии и так сведена до минимума. Развиваются параличи, поражая в основном экстензоры, провоцируя положения сгибания и вызывая хронические судороги. Перерождение глазного нерва вызывает прогрессирующий амавроз. Резкие головные боли, потеря памяти, аффективные расстройства и тревога (тоска, беспокойство) связаны с заболеванием головного мозга. Поражается также и кровь — появление эритроцитов с базофильными гранулами позволяет диагностировать свинцовую интоксикацию. Спазмы на уровне сердечно-сосудистой системы обусловливают повышение артериального давления. С течением времени интима сосудов перерождается и склеротизируется. Высыхание суставов вызывает ревматические боли. Наконец, почкам также угрожает склероз.
Мумификация свинцом.
Если представить себе всю совокупность симптомов девитализации, высыхания и контрактур, то создается впечатление, что если не остановить интоксикацию, то она превратит человека в скорченную мумию, например, наподобие тех, что были обнаружены в Перу. По этому поводу интересно отметить, что краснолицая раса, от которой происходят индейцы того района, сформировалась, согласно духовно-научным данным Р. Штейнера, на древнем Атлантическом континенте как раз под воздействием жреческих оракулов Сатурна. Напомним еще, что у народов доколумбовой Америки в представлениях о человеке главную роль играли именно образы и понятия, связанные с его головой — то есть с минеральным и сатурническим полюсом человека. Еще принцип Сатурна мы встречаем в символике птичьего пера: орел, змея с пером — все это образы достаточно «сухие», холодные и «маложивые» (сравним это с символикой восточных азиатских народов — со священными коровами, барсами, медведями и т. п.)[86]
. Понятно, почему эта сатурническая раса развивалась на «континенте свинца».
Симптоматология свинцовой интоксикации, которую мы только что описали, сравнима с той, которую нам раскрыло изучение первого потока Сатурна (см. табл. в конце главы 19, т. 2). В этой согласованности появляется путеводная нить, позволяющая с уверенностью ориентироваться в терапии свинцом. Очевидно, что при терапии свинцом нужно воздержаться не только от токсических, но и от субтоксических доз. Например, если мы пропишем тритурацию D4 из расчета три раза в день, то суточная доза будет порядка одна двадцатая миллиграмма. Мы, следовательно, будем несколько ниже допустимой дозы; однако, в случае D3 мы уже соприкасаемся с токсическим пределом. На практике, за исключением препарата Minium
,
о котором мы будем говорить отдельно, ниже дозы D6 при терапии свинцом стараются не опускаться.
Мы видели, что отравленный организм стремиться удалять свинец через мочу. Когда интоксикация прекращается, то плюмбурия уменьшается и исчезает полностью, хотя свинец в организме остается. Как показали работы д-ов Вюрмсера и Лаппа, процесс выделения свинца из организма может возобновиться как раз при назначении свинца в гомеопатической нематериальной дозе.
Действие динамизированного свинца.
Где в этом случае будет место действия в организме динамизированного свинца порядка D6? Хотя свинец в этой дозе потерял свою разрушительную власть над организмом, присущую токсическим дозам, тем не менее и здесь, работая через обмен веществ, он будет вызывать изменения именно в нейросенсорной динамике «Я», то есть будет воздействовать на нервные и психические процессы. Тут мы снова находим абсолютно универсальный принцип, на который обращал внимание Р. Штейнер во второй лекции курса для врачей «Духовная наука и медицина»[87]
: «Все, что происходит на нижнем полюсе, имеет свой „негатив", свой контротип на верхнем полюсе». Так, когда мы согреваем ноги с помощью горчичников, мы охлаждаем голову. Совершенно точно так, как об этом и говорил Р. Штейнер: низкие гомеопатические потенции действуют через метаболизм, высокие — через нейросенсорную и средние — через ритмическую систему. Но, если мы будем забывать о том, что, обращаясь к одному полюсу организма, мы одновременно вызываем обратную реакцию на другом его полюсе, то мы никогда правильно не поймем терапевтические процессы и не сможем рационально ими управлять. Если во врачебной практике вышеуказанные обратные реакции организма не всегда выражены ярко, то это попросту обусловлено врожденной тенденцией организма к спонтанному самоисцелению, то есть к восстановлению нарушенного равновесия. По мере того как организм «гомеопатизирует» лекарства, которые мы ему даем, он исправляет наши ошибки при выборе дозы (в случае «аллопатических» лекарств) или при выборе ступени динамизации (потенции). Но организм не всегда имеет достаточную силу гомеопатизи-ровать вещества, исправляя наши врачебные ошибки или ошибки питания, и в этом случае только правильный выбор не только вещества, но и степени его динамизации (короче, дозы) сможет предопределить исцеление.
Показания для терапии свинцом.
Итак, прописывая свинец в низком разведении, мы взываем к силам «Я» в их высшей динамике; таким образом, мы стремимся притормозить слишком большую жизненную силу метаболизма, обращаясь к ней «сверху», через нейросенсорный полюс. Следовательно, мы усиливаем первый поток Сатурна. Таким образом, свинец в низком разведении будет показан тогда, когда первый поток Сатурна недостаточен или когда полярные ему потоки, т. е. второй поток Сатурна и, особенно, первый поток Луны, преобладают. Обычно это выражается избыточной жизненной активностью, усилением метаболизма, приводящим к уменьшению сознания; нам ведь уже известно, что сознание может проявляться только в ущерб жизни (см. т. I). Само собой разумеется, что такие проявления избыточной активности первого потока Луны будут чаще встречаться в начальные периоды жизни человека, нежели в конце.
Здесь большое значение для диагностики и выбора лекарства будет иметь соответствие физических симптомов психическим, хотя оно и не является абсолютным. В некоторых случаях мы увидим, как функциональные и физические расстройства чередуются с психическими или даже полностью отступают перед душевными симптомами.
Преобладание вегетативных процессов проявляется преимущественно и достаточно рано у большеголовых детей (см. т. I). То, что обычно является только более или менее явной тенденцией, достигает своей кульминации в гидроцефалии, к которой мы еще вернемся в главе об олове. Большеголовые дети «минерализуются» медленнее, у них дольше не затягиваются роднички, и они в основном менее подвижны, более мечтательны, чем другие. Врачу требуется особо тонкий подход к организму, чтобы как можно раньше обнаружить границу между физиологическим и патологическим в этой области. Было бы абсолютно неверным считать, что каждый ребенок с большой головой должен получать свинец или подобные ему по действию субстанции. Зато с девятой недели после рождения таким детям полезно давать кальциевые соли — препарат «Ауфбаукальк» (фирмы «Веледа») (утром — № 1, а вечером — №2). Свинец стоит сохранить для патологических случаев, тем более что с ним нужно обращаться с большой осторожностью и давать только под постоянным наблюдением. Если же имеются показания к его применению, например, при склонности к гидроцефалии, то его назначают в динамизации от D6 до D10 (Plumbum met. praep. D6-D10 trit. или капли). Или в виде мази (Plumbum Ung. 0,4%), нанося ее вечером на макушку головы, точнее, на то место, где волосы образуют маленький завиток. Согласно духовным исследованиям Рудольфа Штейнера, это место представляет собой «центр сил неприятия (отторжения) свинца» эфирным телом. Родничок, будучи также динамическим центром костей свода черепа, является фокусом минерального полюса организма, откуда сатурнические силы воздействуют еще на эмбрион. Нанося на это место мазь свинца, мы действуем в духе этих сил, то есть в духе первого потока Сатурна, тем самым мы компенсируем их недостаточность у ребенка, оставшегося после рождения «слишком мягким», «слишком эмбриональным». Работая мазью, мы действуем уже не через метаболизм, а намного более прямым образом. Однако результат остается тем же. Само собой разумеется, что такая терапия применима, лишь пока череп не отвердел, пока родничок еще мягок. У детей более старшего возраста подобные аппликации, вероятно, не будут иметь эффекта, и тогда нам надо будет прибегнуть к пероральному приему лекарства или даже к подкожным инъекциям.
Свинец при слабоумии.
Когда слабость сознания выражена значительно, она приводит к слабоумию. Часто контрастом этому оказывается вполне нормальное или несколько бурное физическое развитие ребенка. В этом случае свинец находит одно из своих главных показаний, и чем раньше он будет назначен, тем больший эффект даст. Если врачу достаточно рано удастся заподозрить такую предрасположенность к слабоумию, то простые аппликации свинцовой мази смогут предотвратить появление многих тяжелых расстройств. К сожалению, эти дети весьма мало привлекают к себе внимание врачей, поскольку физически, как сказано выше, развиваются неплохо или даже очень хорошо.
Основываясь на вышеизложенном в таком случае следует прибегнуть к свинцу и при осложнениях на мозг вследствие неудачной вакцинации, а также при последствиях сотрясения головного мозга, для которых также характерно ослабление сознания.
Результатом преобладания процессов метаболизма часто бывает ожирение. У детей, которые страдают ожирением, особенно если они выглядят несколько вялыми, также будет полезно применение свинца. Эти дети могут напоминать патогенез Calcarea
carbonica
гомеопатов. Здесь мы вновь находим родство между свинцом и кальцием, понимание этого родства часто бывает полезно для врачебной практики.
Свинец и шизофрения.
В первом томе мы говорили о том, как эфирные силы роста постепенно преобразуются в силы мышления, формирования представлений и понятий приблизительно около седьмого года жизни под влиянием деятельности «Я». Когда эти новые силы активно развиваются и изобилуют, проявляется здоровая склонность к фантазии и творческому воображению. Но может случиться так, что «Я» оказывается недостаточно развитым для контроля над этими силами, и тогда они выйдут из-под его контроля в виде галлюцинаций. Такой процесс может носить проходящий, временный характер (кстати, при бреде, сопровождающем высокую температуру, мы имеем дело с аналогичными явлениями; при этом высокая температура, избыток тепла, является как раз проявлением второго потока Сатурна). Но если галлюцинации принимают перманентный характер, то под влиянием доминирующего у такого человека астрального тела (в отсутствии контроля со стороны »Я»), они организуются в систематизированную форму бреда, часто характерного для шизофрении. Здесь свинец опять поможет нам укрепить «Я» на нейросенсорном полюсе в его высшей динамике. В данном случае хорошо назначить металл в вегетабилизированной форме (см. т. I): Cichorium Plumbo cultum 0,1% (D3) в виде инъекций подкожно 2—3 раза в неделю. Для того чтобы прописать свинец в металлическом виде (Plumbum praep. D6-D10), необходимо подождать, пока «Я» достаточно окрепнет, так как эта форма препарата потребует от «Я» определенного усилия, которое оно не способно развить без вводной терапии вегетабилизированным свинцом. Если шизофрения принимает «молчаливый» характер с депрессивным или меланхолическим течением, то для получения теплоты, необходимой «Я» для самовыражения, надо начать лечение с Aconitum Plumbo cultum и с втирания свинцовой мази Plumbum Ung. 0,4% в область селезенки.
Алкоголизм и препарат
Minium
.
Хронический алкоголизм имеет много общего с вышеизложенным. У алкоголика то же ослабленное «Я», у него интенсивный обмен веществ, он находится в «состоянии постоянного воспаления» и, наконец, также оказывается жертвой галлюцинаций. Хотя, с течением времени, перенасыщенность организма этиловым спиртом (этилизм) вызывает общий склероз и преждевременное старение, сама же токсикомания определяется не избытком первого потока Сатурна, скорее наоборот — недостатком второго. Р. Штейнер советовал лечить таких алкоголических больных солью свинца Minium D3 (в порошке), а если нужно, то инъекциями D6. Отметим, что было бы ошибкой назначать это лекарство без ведома больного, так как исцеление вряд ли наступит без участия его воли. Конечно, его «Я» душевно ослаблено, но нужно обязательно обратиться и к тем малым силам «Я», которые у такого человека все же всегда есть; в конечном итоге, укрепить волю можно только через волю самого человека. Точно так же, как мышцу можно укрепить, только заставив ее работать (конечно, если мы не будем превышать ее возможностей). Такое лечение может применяться также и к другим типам токсикомании.
Лечение костной дистрофии.
Окостенение и минерализация находятся под влиянием первого потока Сатурна. Его недостаточность влечет за собой различные формы дистрофий: остеомаляцию, остеопороз, болезнь Пажета, болезнь Лобштейна и т.д. Все они подлежат лечению свинцом в низких разведениях. Существуют, однако, и другие костные дистрофии, такие как конденсирующий остеит и остеопетроз, в которых первый поток Сатурна чрезмерен. Об этих заболеваниях мы поговорим отдельно. Отметим еще интересные результаты, полученные при лечении метастатических поражений костей с использованием минералов Cerussit D8 и Pyromorphit D8 — двух природных соединения свинца, которые назначались в виде подкожных инъекций в область «loco dolenti».
Остеопороз и атеросклероз.
Сенильный остеопороз поднимает особую проблему, поскольку он сопровождается процессом, обратным артериальному склерозу. Создается впечатление, что склонность к минерализации возникает у сосудов. Бесспорно, деминерализация кости является процессом экскарнации, свойственным второму потоку Сатурна, в то время как атеросклероз принадлежит первому потоку. В принципе, можно сказать, что кости опережают в своем развитии (а, следовательно, и в своей деградации) мягкие ткани организма: их минерализация начинается раньше всего, еще до рождения; они также первыми испытывают процессы экскарнации, тогда как остальной организм еще продолжает затвердевать. Таким образом, здесь имеет место пространственно-временное смещение двух потоков. Несмотря на это, нет показаний для назначения свинца в низких разведениях при старческом остеопорозе, наоборот, «Aufbaukalk» является отличной профилактикой хрупкости костей у пожилых людей.
Акселерация и минерализация.
Мы начнем рассмотрение заболеваний, связанных с избытком первого потока Сатурна, с атеросклероза. Хотя такое преобладание первого потока Сатурна проявляется обычно к концу человеческой жизни, тем не менее склонность к затвердению может встретиться намного раньше. Типичный тому пример мы находим у детей с маленькой головой (см. т. I, гл. 7), которые имеют тенденцию к быстрой минерализации организма и, соответственно, к излишней интеллектуализации. В противоположность большеголовым детям, эти дети очень шустрые. Эта весьма распространенная в наше время тенденция в развитии детей, вероятно связанная со скрытым сатурнизмом, бывает еще акцентирована различными семейными привычками (или обычаями), ускоряющими минерализацию детского организма, например, кормление детей коровьим молоком (вместо материнского) или вообще ранний переход на искусственное кормление, преждевременное употребление мяса, излишние нагрузки нейро-сенсорного полюса (телевизор, электронные игры) и особенно систематическое (и часто необоснованное) назначение витамина D. Немало детей умирают от легочного или почечного склероза в результате применения витамина D, a те, кто выживает, в течение всей своей жизни испытывают последствия слишком ранней минерализации, среди которых изменение сознания не самая серьезная проблема. Подобные дети часто являются предметом неуместного, глупого любования со стороны взрослых. Их любят называть вундеркиндами. В действительности, их ранние интеллектуальные способности нередко быстро достигают максимума, прекращают дальнейшее развитие и затем превращаются в схематический склад мышления. Мышление автоматизируется, работает подобно вычислительной машине; фактически, оно «обесчеловечивается». Эта, весьма общая тенденция связана, конечно, со многими другими социальными уродствами нашего века и будет, к сожалению, только усиливаться в течение грядущих десятилетий.
Эпилепсия.
Среди физических проявлений, которые встречаются иногда у малоголовых детей, отметим еще жестокость, копрофагию, копролакию и тягу к дурным запахам. Когда у таких детей некоторые органы слишком быстро затвердевают, они становятся труднодоступными для высших членов человеческого существа, для астрального тела и «Я». Тогда высшие члены существа, особенно астральное тело, стараются преодолеть сопротивление, которое им оказывает орган, и «сотрясают» весь организм (подобно тому, как мы сотрясаем неподдающуюся дверь). Это выражается приступом эпилепсии или эпилептоидными состониями. Такое затвердевание необязательно касается всего организма, но гораздо чаще ограничивается одним органом или даже одной его частью, например, желудком, печенью, легкими и т.д. Если при таких приступах эпилепсии оказывается возможной органная диагностика, то иногда открываются терапевтические возможности, позволяющие в ряде случаев исцелить это заболевание. Среди прочих способов лечения можно применять наложение свинцовой мази на участок кожи, соответствующий данному органу. Можно также назначить свинец в высоком разведении: Plumbum mellitum (Trit.) или Plumbum praep. (Dil.) D12 — D20. Напомним, однако, что не все варианты эпилепсии связаны с категорией мелкоголовых детей и могут быть связаны с избыточно усиленным метаболизмом, что определяет местное или общее препятствие проникновению астрального тела.
Свинец и мед.
Основное лекарство от атеросклероза Plumbum mellitum D12 (Trit.) (в Германии и в Швейцарии это препарат «Scleron» фирмы «Веледа»). Речь идет о свинце, особым образом приготовленном на меду и сахаре. При введении просто металлического (пусть и потенцированного) свинца в организме возбуждают активность, которая должна бы в норме выполняться самим «Я». Такое временное терапевтическое подспорье для «Я» облегчает его задачи, но в итоге ведет к его ослаблению, учитывая, что терапия должна быть продолжительной. Сахар и мед, вмешиваясь в свинцовый процесс, вынуждают «Я» развивать свою собственную активность. Таким образом, в этом уникальном препарате сахар и мед гармонизируют деятельность свинца.
Высокие динамизации.
Чтобы понять действие свинца в высокой динамизации, нужно вернуться к тому, о чем мы говорили выше. Высокая динамизация действует в нейро-сенсорном полюсе, вызывая в области метаболизма только реакцию. Тогда становится понятной фраза Р. Штейнера, которая кажется на первый взгляд парадоксальной: «То, что в низких разведениях вызывает болезнь, исходя из нейросенсорной системы, это же приводит к выздоровлению, исходя из системы метаболизма в высоких разведениях». Парадокс будет разрешен, если мы ясно осознаем, что Р. Штейнер рассматривает реакции организма одновременно на обоих его полюсах.
Так, высокие разведения свинца действуют на нейро-сенсорном полюсе, но вызывают обратную реакцию на полюсе метаболизма, активизируя его и позволяя лучше бороться с затвердением и склерозом. Именно сатурничес-кая теплота крови возрастает благодаря высоким динами-зациям свинца, мы вызываем немного жара в слишком холодном, склеротизирующемся организме. Таким образом, мы усиливаем второй (экскарнирующий) поток Сатурна. Конечно, речь не идет о том, чтобы вызвать безразличие «Я», поэтому с помощью меда мы нейтрализуем прямое действие свинца на «Я», таким образом «Я» не перестает «интересоваться организмом».
Лечение атеросклероза.
Благодаря выраженной средней динамизации, Plumbum mellitum D12 обладает согласованным и ритмичным действием между слишком большим отвердением и склонностью к экскарнации. Не это ли мы ищем, когда в организме больного деминерализуются кости, а сосуды слишком затвердевают? В Plumbum mellitum D12 (Scleron) мы имеем идеальное средство борьбы с этими склонностями, развивающимися во второй половине жизни. Препарат назначают 3 раза в день за четверть часа до еды (в порошке — строго на кончике кофейной ложки, или же одну таблетку, или 5—7 капель), предпочтительно с глотком «Березового эликсира» («Веледа»).
Когда атеросклеротические проявления касаются в основном головы, что сопровождается потерей памяти, головокружениями, нарушениями пространственной ориентации, отосклерозом и помутнением хрусталика, предпочтительно использовать Plumbum mellitum D20 (порошок или капли). В этом случае исследование радужной оболочки может дать точные показания: тогда старческая дуга преобладает вверху. В тяжелых случаях можно прибегнуть к подкожным инъекциям Plumbum mellitum D12, D20 или даже D30, из расчета 2—3 инъекции в неделю.
Свинец при бессоннице...
Тенденция к экскарнации, вызываемая свинцом в высокой динамизации, может также использоваться для улучшения сна. В этом случае применяется гомеопатизированный свинец без сахара и меда: Plumbum metallicum praeparatum D20 в растворе, либо в подкожных инъекциях, предпочтительно в сочетании с Primula /Onopordon comp, (в Германии и Швейцарии — «Cardiodoron»). В этом случае Plumbum назначается вечером.
...
и анемиях.
Следует думать о свинце при анемиях типа Бирмер. У этих больных существует преобладание первого потока Сатурна и особенно недостаток второго потока: у них наблюдается органическая недостаточность обновления клеток крови. Почти всегда речь идет о женщинах, чьи эфирные силы слишком истощены жизнью, например, многочисленными беременностями. Они не способны к продукции необходимого им количества тепла; следует отметить, что если у больных такого типа все же бывает по тем или иным поводам лихорадка, то это является хорошим прогностическим признаком. В жизни им не хватает воодушевления, энтузиазма, они оставляют впечатление глубокой усталости и покорности. Здесь нередки случаи склероза на уровне мозговых оболочек и нервных тканей, это указывает на то, что полярный сатурническому процесс первого потока Луны больше не уравновешивается. Мы назначим таким больным аппликации свинцовой мази на область селезенки (Plumbum ung 0,4%), так же как и подкожные инъекции (Plumbum prep. D20).
Антидот
— серебро.
Назначая свинец слишком длительное время, мы рискуем утратить его эффективность, вызвать привыкание и к тому же получить отрицательный результат. Тогда, после четырех или шести недель лечения свинцом, надо на 1—2 недели прописать терапию Argentum D6, предпочтительно на растущей Луне. Такое лечение серебром следует прописывать и тогда, когда терапия свинцом, хотя и правильно назначенная, не дает должного эффекта. Тогда серебро назначают перед следующим за ним курсом свинца. В свете тех же соображений подчеркнем, что можно получить интересные результаты при лечении сатурнизма с помощью ножных ванн с добавлением гомеопатического раствора нитрата серебра (Argentum nitricum D4 — 1 чайную ложку размешать на ванну для ног).
ГЛАВА ДВАДЦАТЬ ПЯТАЯ
Серебро
Принц света.
Мы чаще бываем в контакте с серебром, чем со свинцом, хотя последний встречается в природе чаще. Но серебро по всем своим свойствам намного привлекательнее. Кусок серебра в руке не дает такого ощущения тяжести, которое вызывает аналогичный кусок свинца, и, тем не менее, плотность свинца почти близка к плотности серебра: 11,35 против 10,5. Но серебро — светлое и блестящее, тогда как свинец — темный и тусклый, и эти свойства, бесспорно, меняют наше ощущение тяжести; свет и легкость идут в паре, так же как темнота и тяжесть.
Из всех металлов серебро обладает самой высокой отражательной способностью. Это свойство в какой-то мере ставит его в оппозицию к свинцу и особенно к железу, отражательная способность которого еще менее выражена, как об этом свидетельствует следующая таблица:
Таблица 7
Отражательная способность семи
основных металлов в % отраженного света
по отношению к падающему свету
| Argentum 95%
|
Mercurius 72%
|
| Aurum 85%
|
Plumbum 61%
|
| Stannum 76%
|
Ferrum 56%
|
| Cuprum 73%
|
Серебро не изменяет, не преломляет свет, как другие металлы, а возвращает его неизмененным. Поэтому оно является идеальным металлом для производства зеркал. Отражение образа — форма воспроизведения. Если мы поместим два зеркала одно против другого, то увидим, что там отражается бесконечное число образов, мы увидим вечное воспроизводство, которое характеризует первый поток Луны. Эта способность к воспроизводству проявляется также в крайней чувствительности серебра к свету. Раствор соли этого металла быстро разлагается на свету, выделяя металлическое серебро и образуя зеркало на стенках сосуда; поэтому необходимо хранить растворы солей серебра в темноте. Это свойство используется в фотографии: пластина или пленка, покрытая эмульсией соли серебра, обычно галогенидом, чернеет на свету за счет высвобождения металлического серебра. Достаточно даже самой короткой экспозиции, чтобы начался процесс, который будет продолжаться во время проявления. Хлорид серебра даже проявляет способность воспроизводить цвета, так как он принимает оттенки падающего на него света. К сожалению, такие прекрасные цвета нестойки, их нельзя закрепить, что не позволяет использовать это явление в технике цветной фотографии.
Серебро и свинец.
По многим характеристикам серебро противоположно свинцу. Так, оно является лучшим проводником тепла и электричества, в то время как свинец — наихудший. Однако эта полярность между свинцом и серебром не абсолютна, и по некоторым свойствам эти два металла довольно близки друг другу. Они оба относительно мягки, их температура плавления ниже 1000°С и количество теплоты, необходимое для их плавления, незначительно. Оба легко улетучиваются, причем серебро испускает голубые пары. Оба легко расширяются.
Серебро и кислород.
В твердом состоянии серебро не имеет никакого сродства с кислородом. Тогда как в жидком оно обладает способностью растворять кислород, однако, при этом не окисляясь. Один объем серебра способен растворить 22 объема кислорода. При отвердении этот кислород внезапно и с шумом взрывается, феномен, называемый «пузырением» («сморщиванием поверхности»): на гладкой и блестящей поверхности расплавленного серебра образуются маленькие кратеры, напоминающие кратеры Луны[88]
. Подобно тому, как серебро не способно удержать кислород, который оно растворило, наш спутник не в состоянии удерживать газообразный элемент, отсюда и отсутствие атмосферы на Луне. Чистое серебро мягкое и настолько ковкое, что его можно превратить в такие тонкие листы, что они станут пропускать свет, придавая ему фиолетовый оттенок. Оно также очень тягуче. Из одного грамма металла можно вытянуть нить длиной в два километра. Такие свойства напоминают характеристики не твердого тела, а вязкой жидкости, что еще раз подтверждает слабую тенденцию серебра принимать кристаллическую форму. При использовании серебра в производстве драгоценных изделий или для чеканки монет ему придают твердость, включая в его состав небольшое количество меди.
Серебро и звук.
По своему отношению к звуку серебро вновь находит полярность в свинце. По звучанию монеты легко отличить фальшивую, сделанную из свинца со слабым добавлением серебра, от настоящей. Таким образом, серебро является идеальным металлом для изготовления некоторых музыкальных инструментов, требующих исключительно чистого и светлого звучания, например, флейты. Незначительное добавление серебра в бронзу колоколов делает их звук более светлым. Не говорят ли «серебряный звук», «серебряный голос»? И наоборот, когда добавляют немного свинца в бронзу колокола, он издает более «теплый» звук. Звучность, которую так ясно проявляет серебро, распространяя свои волны, также представляет собой форму вечного воспроизводства.
Благородный металл.
Химически чистое серебро характеризуется своей электроотрицательностью, которая превращает его в благородный металл, упорно отказывающийся от окисления. Тем не менее возможно получить окиси серебра обходным путем, например, воздействуя окисью калия на нитрат серебра. Так получают очень нестабильную закись серебра — Ag2Û; вступая в реакцию с нашатырным спиртом, она превращается в черный порошок, который, будучи высушенным, при малейшем сотрясении бурно взрывается (гремучее серебро).
Химическое сродство.
С другой стороны, серебро обладает сильным сродством с серой и галогенам. Присутствие следов сероводорода в атмосферном воздухе вызывает почернение металла. Наиболее интересными солями, конечно, являются галогениды: растворимый фторид и нерастворимые хлориды, бромиды, йодиды. Три последних используются в фотографии. Обрабатывая раствор нитрата серебра хлористоводородной кислотой, получают белый «створоженный» осадок хлорида серебра. Хлорид серебра плавится при 260°С, при охлаждении он схватывается в массу, имеющую вид и консистенцию рога — роговое серебро. Это явление следует сопоставить с родством, которое мы установили выше между вторым путем Луны и роговыми веществами.
Тяга к жизни.
Большая легкость, с которой серебро образует коллоиды, показывает, насколько этот металл близок к жизненным процессам. Когда стеклянную пластину покрывают хромированной желатиной, на которую наносят одну каплю нитрата серебра, то образуется серия колец, называемых кольцами Лизеганга. Реакция постепенно перемещается к периферии, подобно расходящимся кругам на воде от брошенного камня. Снова здесь фигурирует процесс воспроизведения, вид которого напоминает некоторые растительные формы, например, форму гранул крахмала или форму среза ствола дерева. Такие повторения являются характерным элементом жизненных процессов.
Естественное состояние.
В природном состоянии серебро часто встречается в виде сульфида: аргентита — серебряного блеска, кристаллизующегося как галенит (сульфид свинца) в кубическую систему. Встречается также хлорид — природное роговое серебро. В самородном виде серебро иногда встречается там, где обнажаются жилы, но на глубине оно остается в состоянии соли. Природное серебро существует в двух формах, обе ближе к растению, чем к минералу. Оно бывает либо в виде тонких, вьющихся нитевидных волокон — нитевидное серебро, либо в виде маленьких сферических масс, образующих грозди. Почти всегда серебро сопровождает какой-нибудь другой металл, как то: свинец, золото, иногда медь. Можно представить, будто серебру поручено уравновешивать крайности влияния на Землю других металлов, которые оно сопровождает. Так, практически не существует месторождений свинца без присутствия серебра. Наиболее богатые залежи серебра находятся в Америке (Мексика, Боливия, Перу и Северная Америка). Создается впечатление, что этот «континент свинца» нуждается больше, чем любой другой, в «противоядии», каковым является серебро.
Морская вода, эта пражизненная среда, по преимуществу содержит тонко распределенное серебро, около 10 мг/1 м3
. Д-р Вадьтер Клосс[89]
показал значение сродства серебра к морской среде: пропорция серебра по отношению к свинцу там составляет 1/13, тогда как для минеральной среды это соотношение соответствует 1/250.
Серебро известно с глубокой древности. Превратив его в монеты, его сделали участником новой формы воспроизводства — хозяйственной. Эта форма использования была столь обычной, что уже во времена древних греков этот металл обозначал деньги и богатство. Если в природном состоянии серебро часто связано со свинцом и Западом нашей планеты, то в чистом виде оно стремится утвердить свою полярность западу, эмигрируя на Восток. Еще в Средние века большая часть серебра, добываемая в Европе, отправлялась на Восток.
Влияние на организм.
Будучи благородным и несклонным к изменениям, серебро лишено токсичности и особенно подходит для изготовления столовых приборов и посуды. Соли серебра, наоборот, токсичны и могут вызвать диарею и воспаление слизистых. Серебро усиливает связь эфирного тела с его физической опорой, «водным организмом» (см. т. I, гл. 1). По этому случаю хорошо напомнить о роли эфирного тела во всех процессах воспроизводства, что позволяет называть его также «телом образующих сил» — тех сил, которые, начиная с духовной прамодели, создают весь наш организм. Серебро увеличивает превосходство эфирного тела над жидким элементом физического тела. Эта интенсификация эфирных сил отталкивает астральное тело к периферии, провоцируя метеоризм.
Сродство к коже.
При отравлении солями серебра мы видим, что кожа приобретает аспидный цвет. Этот симптом является следствием сродства этих солей к коже, в которой они осаждаются. Под влиянием света они распадаются, освобождая металл, который вызывает темную окраску. Это сродство серебра к коже является подтверждением связи кожи со вторым потоком Луны: «мертвое» металлическое серебро фиксируется в мертвом роговом участке организма.
Антидот Сатурна.
Когда расстройства обусловлены Сатурном, нужно обратиться к Луне, другими словами, к серебру. Следовательно, мы обратимся к нему в случае сатурнизма и, вообще, при всех заболеваниях, связанных с избытком одного из потоков Сатурна. Если преобладает первый поток Сатурна, то серебро будет назначаться в низких разведениях от D4 до D6. Вообще, такое лечение показано для слишком рано минерализованных, малоголовых детей со старческими лицами. Часто такие дети бывают смуглыми — признак, который заставит нас предпочесть чистому металлу его сульфид, аргентит — Argentum Sulfuratum nat D6 (Trit.). Наибольшую активность препарат обнаруживает при приеме перед сном, так как процессы регенерации, которые мы хотим усилить, преобладают ночью. Это не запрещает назначать лекарство три раза в день, если лечение должно быть интенсивным. При часто повторяющихся ночных кошмарах у детей этого типа Argentum D6 Trit. (y блондинов) или Argentum suif nat D6 (у брюнетов) следует чередовать с Phosphor D5-D6 Dil. Серебро назначают вечером при растущей Луне, фосфор — утром на убывающей Луне. Вообще, серебро более активно в период от новолуния до полнолуния, но не всегда можно ждать самого благоприятного момента для терапии серебром. Впрочем, такая периодичность необходима только тогда, когда симптомы болезни находятся под влиянием лунных фаз. Иногда можно умерить нетерпение больного, прописав ему на несколько дней «предварительную терапию», например, в виде Thuja D3-D4. Малоголовым детям, а также вообще гипотрофичным, истощенным младенцам со сниженным мускульным тонусом, дряблой кожей, у которых отсутствие тканевого тургора свидетельствует не об избытке первого потока Сатурна, но о несостоятельности первого потока Луны. В этом случае мы начнем лечение с низких динамизации серебра: от D4 до D6. Эти гипотрофии также очень хорошо реагируют на подкожные инъекции морской воды (Aqua maris 5% или D4), в случае необходимости, вместе с Prunus spinosa (Aqua maris D3 / Prunus spinosa D6, или Aqua maris 5% / Prunus spinosa D6). Такое оживляющее действие морской воды, несомненно, частично связано с содержанием в ней серебра.
Лечение заболеваний генитальной сферы.
Поскольку функции размножения связаны с первым потоком Луны, мы будем использовать серебро при необходимости их стимуляции и регулирования. Многие дисменореи эффективно лечатся серебром. Иногда этот металл дает неожиданные результаты, как при мужских, так и при женских формах бесплодия. Так, я исцелил многих женщин, считавшихся после многочисленных обследований безнадежно бесплодными. В этих случаях мы прописываем серебро D6 на две недели, в первой половиной цикла. В данном случае нужно учитывать не фазы Луны, а «Луну внутреннюю» (или — «интериоризиро-ванную»), то есть силы Луны, действующие изнутри организма. Лечение per os будет полезно дополнять вечерними втираниями мази в область низа живота (Аг-gentum 0,4%, Ung.). Когда дисменоррея сопровождается метритом, нужно использовать введение вагинальных шариков (Argentum 0,4%, globuli vaginales) на ночь, каждый вечер или через вечер, обычно этого бывает достаточно. Серебро также назначается в качестве дополнительного лечения гонококкового уретрита. В этом случае прибегают к Argentum nitricum D4, Dil. через каждые 2 часа, чередуя с Cannabis sat D3 / Cantharis D4 / Eucalyptus 10% aa. Возможно, что это лечение сделает излишним использование антибиотиков, но я бы остерегся это утверждать, так как не имею сравнительного опыта. Во всяком случае, при гонорее требуются повторные, неоднократные бактериологические проверки из-за отдаленных последствий, риск формирования которых может быть связан с недостаточной терапией. Местно применяются горячие компрессы или сидячие ванны с добавлением Thuja 20% раствора.
Если болезнь глубоко укоренилась в организме, серебряную терапию следует начинать с использования «вегетабилизированного» металла. В случаях, когда необходимо было оживить организм, мы использовали Thuja Argento culta D3 (однако, если имеется избыток жизненных сил, то это, как мы увидим ниже, требует, применения Bryophyllum Argento cultum D3).
Лечебное средство при избытке минерализации.
Наконец, говоря о преобладании первого потока Сатурна, назовем сухие запоры. Твердый стул, как камень, называемый «сибалл», свидетельствует о процессе интенсивной минерализации. Будет ли он следствием свинцовой интоксикации или нет, мы противопоставим ему серебро в низкой динамизации.
Гастродуоденальные язвы.
Серебро также является средством от язв пищеварительного тракта, заболеваний, для которых характерно господство пищеварения — преобладание процессов астрального разрушения пищи над эфирными — регенерацией слизистых оболочек кишечной трубки. Здесь мы прописываем Argentum nitricum D4 или D6, обращаясь, таким образом, к Argentum, чтобы стимулировать регенерацию, и к Nitricum, чтобы завладеть избытком «астральности». В высокой динамизации Argentum nitricum имеет диаметрально противоположные свойства. Потом мы к ним вернемся.
Дисгармонии между физическим телом и эфирным.
В норме эфирное тело довольно точно совпадает с физическим, но это соответствие между ними может быть нарушено различными способами. Моральный или физический удар может вызвать расподобление эфирного тела от физического. Этот термин — рас-подобление или «дис-ло-кация», взятый в своем буквальном смысле, прекрасно характеризует аномалию, а именно: эфирное тело больше не совпадает точно с физическим. Такое состояние проявляется расстройствами жизнеспособности или расстройствами сознания, иногда сразу обоими. Это процесс того же порядка, что лежит в основе медиумической способности: та часть эфирного тела, которая высвободилась от физического, отражает внешние для организма процессы в сторону астрального тела, однако минуя нормальный путь через путь органов чувств. Такое болезненное экстрасенсорное восприятие сопровождается уменьшением сознания и потерей контроля, который «Я» через эфирное тело должно осуществлять над любым восприятием. Подобный процесс в различных вариантах встречается у лунатиков и у субъектов в состоянии гипноза, при этом «дис-лока-ция» эфирного тела затрагивает в основном заднюю область головы.
У лиц, часто подвергающихся гипнозу, смещение эфирного тела по отношению к физическому становится все более упорным в своей лабильности, и человек в еще большей степени становится податливым для гипноза. Со временем это приводит к тяжелым нарушениям, вплоть до физических. Отметим еще, что субъект, обладающий достаточно сильным «Я», всегда может оказать сопротивление гипнотизеру.
При всех этих нарушениях мы обращаемся к серебру, потому что этот металл более тесно связывает эфирное тело с физическим. Здесь также обязательно должна быть низкая динамизация, около D6. В случае шока терапия дополняется втиранием в низ живота Oxalis 10% Ung. (и в случае необходимости — 30%).
Серебро при истерии.
Истерия как тенденция схожа с предыдущими расстройствами в том, что она представляет собой «половодье» эфирных сил, оттолкнувших астральное тело к периферии. Отсюда самые разнообразные болезненные ощущения, испытываемые больными, например, шуршание, щекотание, ползание мурашек и пр. И вновь серебро поможет поставить эфирное тело на место. В этом случае вегетабилизированное серебро Bryophyllum Argento culta D3 особенно показано в начале лечения. Оно назначается в виде подкожных инъекций на уровне бедер, т. к. нужно притянуть книзу эфирное тело, стремящееся «вырваться» вверх организма. Затем хорошо подкрепить лечение самим металлом — Argentum met. ргаер. D6, или его природным соединением, содержащим сурьму, например, дискрази-том (Dyskrasit D6-D12), который к свойствам серебра добавляет структурность сурьмы.
Галлюцинации.
Галлюцинации также являются проявлениями, близкими к описанным выше. В первом томе мы рассматривали процессы сознания подробно и могли убедиться в том, что они совершаются лишь в той мере, насколько жизнь отстраняется от нейросенсорных органов. Мозг — это зеркало, роль которого в том, чтобы отражать наши восприятия для астрального тела и «Я» с его душевными органами. Качеством зеркала является его пассивность, так как если оно не полностью отстраняется и вносит характеристики, присущие ему самому, то происходит деформация, искажение отображаемого образа. Подобно этому, если жизненные процессы овладевают нашим мозгом, то отраженные в нашем сознании образы будут в значительной степени деформированы и болезненно «дополнены» иллюзорными образами, происходящими не от внешних восприятий, но от искаженных восприятий собственных органов (например, обменных процессов). Таков, в сущности, процесс формирования галлюцинации. И здесь снова серебро является средством для возврата эфирных жизненных процессов в свою сферу. (Bryophyl-lum Argento cultum D3 и затем Dyskrasit D20).
Регуляция водного организма.
Неустойчивость эфирного тела отраженно оказывает влияние на свою физическую опору — «водный организм», вызывает в нем функциональные расстройства. Отсутствие тургора тканей у гипо-трофичного новорожденного, упомянутого выше, является тому примером. Другой пример — детский энурез, подтверждающий правильность лечения серебром в виде мази (Argentum 0,4% Ung.), накладываемой вечером на область мочевого пузыря. Некоторые диареи также зависят от этой неустойчивости и будут хорошо реагировать на серебро. Таким образом, этот металл представляет собой регулятор водного организма, хорошо действующий как при избытке сухости, так и при избытке влажности.
Значение температуры и контроль за ней.
Антагонизмом между Луной и Сатурном можно воспользоваться также при заболеваниях, связанных с преобладанием второго потока Сатурна, но тогда обращаются к серебру в высоких динамизациях (D20-D30). Основным показанием для этого будет лихорадка. Однако не надо забывать, что температура является ценным вспомогательным терапевтическим средством, которое надо уметь щадить в той мере, насколько оно содействует выздоровлению. И только когда температурная реакция превысит допустимый предел либо своей интенсивностью, либо своей продолжительностью, ее следует умерить. Такое возможно, например, в случае тифозной лихорадки (брюшного тифа). Argentum D20 или D30 следует вводить по мере необходимости через день, каждый день и, в исключительных случаях, два раза в день. Но, однако, не следует ожидать от серебра сенсационного понижения температуры, и иногда бывает необходимо дополнить инъекции серебра бальнеотерапией или обертываниями.
Показания к
Argentum
nitricum
.
Чаще всего жар сопровождает инфекционные процессы, которые приводят к распаду тканей и появлению гноя. Эта потеря формы относится ко второму потоку Юпитера, имеющему некоторые сходные черты со вторым потоком Сатурна. Все инфекционные процессы (было бы слишком долго их перечислять) вне зависимости от локализации справедливо подлежат лечению серебром в высокой динамизации. В этих случаях было бы выгодно заменить металл одной из его солей: Argentum nitricum D20-D30 в виде подкожных инъекций вблизи инфекционного очага. Вводя Argentum nitricum, благодаря металлу мы, с одной стороны, обращаемся к силам «Я», а с другой — мобилизуем силы астрального тела за счет воздействия азотной кислоты.
Argentum nitricum D20 позволит также победить другие, менее острые потери формы, такие, как альвеолярная пиорея (пародонтоз), церебромаляция и некоторые формы ожирения. Ложная беременность представляет собой очень специфический аспект потери формы и требует того же самого лечения. С другой стороны, такое заболевание роднится с истерией, которая может рассматриваться как потеря формы.
Выше мы упомянули об отношениях, существующих между вторым потоком Луны и кожей, в частности, при гипертрофии роговых тканей. В этих заболеваниях, кажется, все указывает на использование такой особой субстанции, каковой является роговое серебро (Argentum chloratum nat. D6-D10). Избыток второго потока Луны проявляется также в атрофиях и вирусных заболеваниях нервной системы, при которых серебро используется в низких динамизациях.
ГЛАВА ДВАДЦАТЬ ШЕСТАЯ
Олово
Пара олово — ртуть.
Вернемся к рисунку 9. С одной и с другой стороны вертикальной оси симметрии, проходящей через золото, над парой «свинец — серебро» мы находим другую пару: «олово — ртуть». Эти два металла отличаются особым поведением, как будто стараются утвердиться по отношению к другим, избегая общего правила. Так же обстоит и с золотом, расположенным на вершине равнобедренного треугольника, в котором ртуть и олово занимают нижние углы.
Металл со странным поведением.
Между железом и свинцом — тусклыми металлами правой группы — олово выглядит блестящим красавцем. Так и хочется поменять его местами со ртутью, которую из-за ее меньшего блеска и серого цвета следовало бы разместить справа. Так, олово отчасти сближается с серебром, и оно длительно использовалось вместо серебра для изготовления зеркал (амальгамирование зеркал). Во времена моего детства листовое олово (оловянная фольга), которым обертывался шоколад, замененное потом алюминиевой, неправильно называлось «серебряной бумагой». Другая особенность: олово, встречаемое в природе обычно в виде окислов, упорно не поддается окислению при обычной температуре и, как подобает благородному металлу, сохраняет свой блеск.
Реакция на тепло и на холод.
Но этот металл не перестает удивлять и другими свойствами. Он является единственным металлом, имеющим запах, который появляется при контакте с кожей. Но это не все. В противоположность другим металлам, при нагревании (выше 160°С) он, вместо того чтобы размягчиться, затвердевает и до такой степени становится хрупким, что может превратиться в пыль. Создается впечатление, что этот металл пытается защитить себя от воздействия теплоты. Еще более странным образом олово реагирует на холод. Так, при температуре ниже 18°С оно начинает трансформироваться в серый порошок, серое олово, менее плотное, чем обычное белое олово, и это происходит тем быстрее, чем ниже температура. Как только начинается такая трансформация, она продолжается подобно болезни; поэтому древние говорили об «оловянной чуме». Возможно даже привить эту «болезнь» «здоровому» куску олова, сделав на нем надрез, в который вводится немного серого олова, тогда на поверхности металла образуется нечто типа гнойничка, который постепенно увеличивается. Эта трансформация олова, к сожалению, явилась причиной разрушения многих старинных монет, хранившихся во время суровых зим в неотапливаемых музеях. Но процесс не бывает необратимым: стоит только расплавить серое олово, и оно после охлаждения восстанавливается в белое олово. Способность уменьшать плотность под воздействием холода во время превращения в серое олово есть свойство, которое этот металл разделяет с водой, также уменьшающей свою плотность при охлаждении (при температуре ниже 4°С).
Олово и свинец.
Олово обладает несколькими общими свойствами со своим соседом — свинцом, а именно: оно мягкое, тягучее, легкоплавкое, плохо проводит тепло и электричество и легко расширяется. Металлы правой группы (рис. 13) имеют значительное различие между температурой плавления и кипения, и это является кульминационным свойством для олова, т. к. для него такое различие составляет 2038°С. При этом оно стремится противостоять дальнейшему влиянию тепла и как можно дольше сохраняет жидкое состояние, не возгоняясь. Как и свинец, олово легко текуче (его легко расплавить), но не поддается ковке. Однако, в противоположность свинцу, оно не тускнеет на воздухе. Наряду с этими свойствами, олово — самый легкий из всех семи основных металлов.
Парадоксальный металл.
Олово, будучи мягким металлом, имеет в отличие от свинца кристаллическую структуру, и когда сгибают оловянную проволоку, слышится скрипение — «крик олова». Кристаллическая структура и тягучесть, которую не нужно путать с ковкостью, являются двумя противоположными свойствами, и их странно обнаружить в одном и том же металле. Здесь вновь проявляется его оригинальность. Таким образом, олово, как Янус проявляет двуликость. В сплаве с медью оно придает ей твердость, образуя бронзу. Добавленное в свинец, олово образует более плавкий сплав, чем каждый из составляющих компонентов, что позволяет использовать его для пайки. Этот припой обычно содержит около 33% олова и обязан ему своей текучестью, позволяющей проникать между соединяемыми деталями. Немного олова добавляется также в металл типографских букв (свинец-сурьма-олово) для повышения его плавкости и текучести[90]
.
Химические свойства.
Химия олова проста: его основные соединения — это окислы и хлориды. Двуокись олова SnO2
используется для приготовления эмалей и, в силу своей твердости, для полировки камней. Этот оксид образует гидраты, способные образовывать станнаты; так, окислы олова ведут себя индифферентно и как кислоты, и как основания; здесь вновь проявляется оригинальность олова. Дихлорид олова SnCl2
используется в красильном производстве — оловянная соль красильщиков. Сама по себе она бесцветна, но проявляет цвет у некоторых растительных красителей, к которым ее добавляют. Тетрахлорид олова SnCl4
представляет собой летучую жидкость, как и тетрахлорметан CIC4
и тетрахлорид кремния SiCL4
. Впрочем, эти два элемента — углерод и кремний — в периодической системе элементов принадлежат к тому же самому семейству, что и олово. В водном растворе дихлорид олова гидролизуется, образуя коллоидный гидрооксид. Из соединений олова назовем еще двусернистое олово SnS2
, называемое мозаичным золотом (aurum musivum), используемое для позолоты гипса и железа.
Минерал олова — касситерит.
В природе олово главным образом встречается в виде окисла касситерита. Он представляет собой ярко блестящие коричневые кристаллы, принадлежащие квадратичной системе, элементарная форма которой представляет собой призму с квадратной основой. Касситерит образует жилы в гранитах, где он подменяет собой полевой шпат. Ему часто сопутствуют флюорит, топаз или гранит с включениями топаза. Гранит состоит из кварца, полевого шпата и слюды и таким образом образует триаду, в которой кварц и слюда представляют собой противоположные полюса, связанные промежуточным элементом — полевым шпатом. Кварц — кристалл, выражающий космические силы структурности. Слюда же, с ее пластинчатой слоистостью, сближается с жидким элементом, сопоставимым с бесконечным количеством слоев, скользящих по поверхностям друг друга. В залежах олова связующую роль между крайностями (кварцем и слюдой) играет уже не полевой шпат, а касситерит; таким образом, последний одновременно имеет отношение и к одной, и к другой полярностям. Мы вновь обнаруживаем космические силы кварца в кристаллической структуре олова, а в его тягучести свойство, сближающее его с жидким элементом, с пластинчатой структурой. Эти два свойства проявятся в терапевтическом плане. Кварц — окись кремния — в переносном значении — «металл» в семействе олова. Двуокись кремния SiO2
и касситерит SnO2
имеют схожие формулы.
География олова.
В прежние времена олово искали на Касситеридских островах. Сегодня из ближайших к нам месторождений назовем Корнуэлл на юго-западе Англии. А самые богатые залежи олова расположены вблизи экватора. В. Пеликан, автор знаменитой и уже упоминавшейся нами книги «Семь металлов», сделал по этому поводу очень интересное наблюдение. Если разделить земной шар по центру плоскостью ее солнечной орбиты, то есть эклиптикой, то получится большой круг с наклоном в 23,5° по отношению к экватору. Так вот: многочисленные месторождения олова расположены на проекции одного из этих больших кругов. Эта линия точно пересекает боливийские залежи: Ла Пас, Ороро, Потоси; в Африке она пересекает Нигер с его огромными месторождениями. В Азии она проходит через Бирму, где имеются самые богатые залежи в мире. Наконец, на юге от этого круга расположены тасманские и австралийские месторождения, а на таком же расстоянии на север — залежи Испании и известные рудники Англии и Богемии. Таким образом, места залежей олова на Земле образуют своего рода ритм по отношению к оси эклиптики. Далее, Юпитер единственная планета в солнечной системе — вращается вокруг своей оси перпендикулярно плоскости своей эклиптики. Если бы Земля вращалась таким же образом, то линия, по которой и вокруг которой ложатся месторождения олова, оказалась бы экватором такого вращения (рис. 16). Так, пусть и не совсем привычным, зато совершенно точным способом можно представить себе «юпитерианское нача ло» на нашей планете. Силовые линии Юпитера на Земле — это география олова.

Рис.
16. Распределение залежей олова (Пунктирные линии
обозначают расположение месторождений при изменении
угла к эклиптике оси вращения Земли).
Отметим, что наряду с касситеритом имеются и две другие формы оловянной руды среднего значения: оловянный колчедан (сульфид) и природный силикат олова — аранди-зит, важный для нас в терапевтическом плане.
Использование олова.
Ни само олово, ни его соли не токсичны для человека, и этот металл широко использовался в прошлом в производстве ложек и сосудов для хранения продуктов. Некогда оловянная фольга служила для упаковки пищевых продуктов. Сегодня из экономических соображений она заменена на более крепкую, но менее гибкую алюминиевую. В наши дни олово играет значительную роль в консервной промышленности, где оно служит для запаивания консервных банок и особенно для защиты их от коррозии. Вероятно, в настоящее время эта промышленность является самым крупным потребителем олова.
Добавляя немного олова в медь, получают бронзу, которая своей твердостью обязана кристаллической структуре первого. Одна медь не стала бы достаточно твердой для изготовления инструментов, оружия или колоколов. Бронза играла такую важную роль в развитии человечества, что ее именем был назван один из периодов развития цивилизаций — «бронзовый век». В ту эпоху это был самый твердый металл, известный людям. До сей поры поражает совершенство памятников, выполненных с помощью инструментов из бронзы.
Краткий лингвистический обзор.
Вероятно, термин «l'etain» («олово») происходит от кельтского «ystaen» — слова, сопоставимого с греческим «sténos», означающим «сила», с немецким «stein» и с английским «stone», обозначающих «камень», другими словами — «твердость». В латинском языке имеются слова «stannum» и «stag-num» — два синонима, используемые для обозначения как олова, так и болота, водного пространства. Stagno — придавать прочность, твердость. Эти слова вызывают также в памяти двойственный облик олова: с одной стороны — его свойство укреплять бронзу, с другой — представление о застывшей жидкости. Когда какое-нибудь событие удивляет нас до такой степени, что мы не можем реагировать и застываем словно статуя, говоря: «étonnée» (удивилен!) слово, имеющее один и тот же корень, что и английское слово «stone». О крайней форме удивления, пораженности мы говорим «окаменел от удивления» — «pétrifier» (каменеть).
Между твердым и жидким телом.
Избыток твердости и избыток текучести — вот ключи к лечению оловом. Этими симптомами выражаются расстройства водного организма, связанного с печенью. В принципе, если имеется тенденция к затвердению и высыханию при преобладании первого потока Юпитера, мы пропишем олово в средних разведениях: Stannum metallicum praep. D8-D12 при циррозах, асцитах, отеках и при некоторых формах экзем, обусловленных патологией печени. В том же смысле следует рассматривать указание Рудольфа Штейнера о дополнительном лечении аллергического ринита препаратом Plumbum / Stannum: лицам с ипохондрическими склонностями давать Plumbum Dl4 (2 части) / Stannum Dl4 (1 часть), а субъектам с повышенной возбудимостью — Plumbum Dl4 (1 часть) / Stannum D14 (2 части) в виде порошка два раза в день на кончике кофейной ложки (или по 7 капель, если это раствор). В связи с этим отметим еще малоподвижных аденоидных детей, предрасположенных к кишечным паразитам (симптомы, выражающие определенную форму застоя), которым мы тоже прописываем Stannum D8-D10 Trit.
Олово при депрессиях.
Рефлекторное влияния печеночных расстройств на психику проявляется в основном депрессией, иногда манией или их чередованием. Лечение должно всегда начинаться с вегетабилизированного металла в виде подкожных инъекций, как то: Taraxacum Stanno cultum D3 при депрессии и Cichorium Stanno cultum D3 при мании, оба предпочтительно в комбинации с Hepar bovis D4. В исключительно тяжелых случаях прибегают к 1 % (=D2) вегетабилизированному металлу. Эти препараты, разумеется, можно давать и в виде капель внутрь. Позднее лечение необходимо будет подкрепить назначением Stannum met. praep. D8-D12 или же природным силикатом кремния Arandisit D6 или D15.
Олово и кистозные образования.
Кистозные образования также следует поставить в зависимость от расстройства водного организма, так как они тоже являются формой застоя, связанного с печенью, и лечатся оловом. Так, киста яичника быстро регрессирует на фоне терапии Mixtura Stanni comp (Acidum nitricum 0,23%/Alumen um 0,1%/Cuprum 0,0002%/Stannum 0,2%). Не редко случается, что через неделю от начала терапии киста не прощупывается потому, что как только давление жидкости внутри нее падает, она становится дряблой, наподобие спущенного шарика, и под рукой не ощущается уплотнения, по которому и обнаруживалась киста. Однако нужно продолжить лечение в течение нескольких недель, даже нескольких месяцев, делая время от времени перерывы от 10 до 15 дней. С этих же позиций инъекция Stannum D20, в принципе, могла бы быстро облегчить синдром Меньера, воздействуя на повышенное давление эндолимфы. То же самое лечение можно было бы предложить в случаях повышения внутричерепного давления. Отличные результаты были получены при процессе, близком к глаукоме с помощью подкожных инъекций Stannum praep. D20-D30 и введения глазных капель Stannum praep. D8/Succinum. D6 аа. Эта терапия должна дополняться назначением per os Cinis ossium cum Philodendron D3 — D6 Trit (существует также в инъекционной форме в D10 для подкожного введения).
Лечение гидроцефалии.
Избыток второго потока Юпитера характеризуется потерей формы. Типичным примером этого является гидроцефалия. Кроме свинцовой мази, накладываемой на область макушки (см. гл. «Свинец»), следует накладывать оловянную мазь утром на лоб (Stannum 0,1% Ung.). Или же делается шапочка из оловянной фольги, которую на ночь надевают ребенку. Per os дают Stannum met. ргаер. D15 — D20 Trit два раза в день на кончике кофейной ложки (или капли на воде для внутреннего применения по три капли на прием), подмешивая в детскую бутылочку с молоком (если ребенок получает грудное молоко, то медикамент дают непосредственно перед кормлением). Эти «гидроцефальные» дети сверхчувствительны ко всем стимуляторам нервной системы и органов чувств, особенно к свету; поэтому Р. Штейнер рекомендовал не подвергать их прямому резкому воздействию солнечных лучей в течение первого, и в случае необходимости, второго года жизни, а оставлять их в полутьме и выводить на улицу только в сумерки. Назначение и реализация такой меры определенно требуют мужества, но хорошие результаты этой терапии являются доказательством ее права на существование.
Stannum
при экссудатах.
Stannum D8 — D10 дается при всех воспалительных выделениях, плевритах, перикардитах, асцитах и при гидроартрозах в виде подкожных инъекций в «loco dolenti», в некоторых случаях в сочетании с Bryonia D6. Хорошо дополнять это лечение смазыванием поврежденных участков Stannum 0,4% Ung. Это лечение часто делает пункции излишними и, в общем, позволяет избегать остаточных явлений, в частности, спаек. Stannum D10 / Bryonia D6 будет также хорошим лекарством от бронхита.
Лечение артрозов.
Артроз — главное показание для терапии оловом. Он представляет собой одновременно обезвоживание и потерю формы (которая может быть вторичной) суставных хрящей. Назначается Stannum 1%, затем 5% Trit. три раза в день. Одновременно нужно прописывать Phosphorus oleosum D3 сначала одну каплю, затем две, затем три, принимать по утрам (каждое утро) в небольшом количестве сахара. Затем следует вернуться к двум каплям, потом к одной. Затем на две недели прекратить прием как Phosphor, так и Stannum, далее повторить курс.
Stannum от D10 и вплоть до 5% может быть использован и при другом типе потери формы — при некоторых формах ожирения. При этом отметим, что в принципе необходимо соблюдать осторожность при назначении терапии Stannum худым людям, субъектам с ослабленной жизнеспособностью и в некоторых случаях предварять лечение оловом двухнедельным курсом Агgentum D6. Впрочем, мы уже упоминали о потере формы в организме, говоря о серебре; следует принципиально продумывать терапевтический выбор между этими двумя металлами.
Касситерит — лекарство от скарлатины.
При скарлатине Р. Штейнер рекомендовал ванны или обертывания с добавлением одной ложки 0,1 % касситерита, природного окисла олова, с целью предотвращения осложнений этой болезни, таких как нефрит и ревматизм. Это объяснимо, учитывая, что при данном заболевании интенсивное воздействие «Я» может вызвать нарушения в водном организме. Отсюда можно понять, почему Р. Штейнер рекомендовал Cassiterit D2 попеременно с Cuprit в двух случаях Базедовой болезни.
Если, изучив, таким образом, олово, мы в дальнейшем увидим у себя на приеме больных с патогенезом Stannum, то мы лучше сможем понять фигурирующие здесь симптомы, эмпирическим путем открытые гомеопатами. При этом мы, конечно, не считаем, что исчерпали в этой главе случаи, оправдывающие применение Stannum.
ГЛАВА ДВАДЦАТЬ СЕДЬМАЯ
Ртуть
«Живое серебро»
— между тяжестью и легкос
тью.
Какой ребенок, разбив термометр, не пытался схватить капельки ртути, раскатившиеся по полу? Но только поймать их невозможно, они выскальзывают, рассыпаются на еще более мелкие и подвижные капельки, разбегаясь по всем углам комнаты, и чтобы их собрать, необходимо проявить большую хитрость; можно, например, закатить их на лист бумаги, где удается слить их в одну крупную каплю, вновь скатывающуюся при малейшем движении. Так «живое серебро» — ртуть — побуждает нас играть с нею, да и сама по себе она есть игра, правда, опасная для человека из-за токсичности этого металла. Если удается поймать немного ртути в ладошку, испытываешь странное ощущение тяжести, которое удивительно контрастирует с ее подвижностью. Ведь ртуть, после золота, самый тяжелый металл из семи основных металлов (ее плотность 13,5). Несмотря на это силам тяжести она подвержена, лишь когда она заключена в закрытый сосуд. Как только ее освобождают, ртуть стремится сбросить с себя тяжесть, испаряясь, распыляясь в атмосфере в виде чрезвычайно мелких капель. Эта дисперсия настолько быстра, что, уронив каплю ртути на пол в одном конце комнаты, через несколько мгновений обнаруживаешь ее следы в воздухе по всей комнаты. Речь действительно идет о диффузии, имеющей место даже в отсутствие потоков конвекции, которые потребовали бы намного больше времени, чтобы распространить пары ртути по всему помещению[91]
.
Если ртуть так легко рассеивается под воздействием сил «легкости», то не менее легко капельки ртути соединяются, как только начинают доминировать силы тяжести. Достаточно придать листу бумаги, на котором находятся капельки, слегка вогнутую форму, чтобы увидеть, как они сливаются в углублении и растворяются в одной большой капле. Этого нельзя сделать с другими металлами при обычных атмосферных условиях. Для этого нужно либо осуществить фриттирование, т.е. подвергнуть предварительно размельченный в порошок металл высокому давлению, либо привести металл в ртутное состояние — расплавить его. Но есть еще другой способ вновь соединить между собой металлические частицы без применения высокого давления или температуры — амальгама. Амальгаму получают как раз с помощью ртути. Например, частички серебра, растертые с несколькими каплями ртути, быстро срастаются и образуют постепенно затвердевающую массу. В этом процессе ртуть явно проявляет свою роль связующего вещества, или посредника, способного соединить то, что разъединено.
Меркуриалный процесс.
Рассеивание-соединение[92]
. Эта полярность замечательно иллюстрирована сказкой братьев Гримм «Дух в колбе». Ртутные силы представлены в ней маленьким существом — лягушонком по имени Меркуриус, заключенным в бутылку, но разрастающимся до размеров великана при его освобождении. Студент (другими словами ученик школы Посвящения), освободивший эти силы, должен остаться их хозяином и суметь снова заключить их в бутылку, что и удалось ему сделать с помощью хитрости. Взамен за свое освобождение дух делает ему подарок — пластырь, исцеляющий все раны (это, собственно, образ ртутных целительных процессов) и превращать железо в серебро. Это последнее свойство указывает нам на полярность «железо — серебро», представленной на рис. 15. (См. Р. Paede:» Der Geist im Glass oder der Weg Izur Heilkunst.» In: «Beitrage zu einer Erweiterung der Heilkunst», 1970/4.), чередование между этими двумя тенденциями, гармонизация между двумя полюсами, на самом деле, характеризуют не только ртуть как металл, но и все то в природе, что можно объединить под названием «ртутный процесс»; именно этот мировой принцип алхимики средневековья называли РТУТЬ или МЕРКУРИЙ. По их мнению, MERCUR — это особое состояние в природе, промежуточное между тем, что они именовали SULFUR (сера) и SAL (соль). В «соли» процесс концентрации продолжается вплоть до стадии минерала, обозначенного у них словом ЗЕМЛЯ.
Что касается серы, то в конечном итоге дисперсия вещества приводит в природе к состоянию «ОГНЯ», к теплу. МЕРКУРИЙ колеблется между двумя состояниями, никогда не достигая крайностей: его конденсация приходит только до стадии «ВОДЫ», а его дисперсия — только до стадии «ВОЗДУХ». Это позволяет нам установить отношения между тремя состояниями и четырьмя элементами: МЕРКУРИЙ бывает то ВОЗДУХОМ, то ВОДОЙ.
ОГОНЬ------------- СЕРА
ВОЗДУХ---------- МЕРКУРИЙ
ВОДА-------------- МЕРКУРИЙ
(Таким образом ртуть предстает то «Воздухом» то «Водой»)
ЗЕМЛЯ------------- СОЛЬ.
Рассмотренный в таком аспекте меркуриальный процесс может быть приближен к органическим процессам в человеческом организме, происходящим по одну и по другую сторону диафрагмы: над диафрагмой, в легком — органе планеты Меркурий — меркуриальность проявляется как «ВОЗДУХ»; под диафрагмой, в кишечнике — как «ВОДА». Постоянная подвижность кишечных ворсинок, сравнимых с каплями воды, и текучесть кишечного содержимого полностью оправдывает этот способ рассмотрения.
Природа дает нам много примеров меркуриальных процессов; типичной иллюстрацией тому является роса, с ее двумя аспектами — конденсацией и дисперсией. Первый приводит к образованию капель на траве, которые иногда объединяются в маленькие лужицы, подобно тем, какие можно наблюдать в углублении листьев манжетки, которые имеют форму полуоткрытого перевернутого зонтика. За этой ночной фазой конденсации на восходе солнца следует фаза рассеивания: роса испаряется и вновь становится «ВОЗДУХОМ».
Р. Штейнер выражает эту полярность следующим образом: «Подобно ткачу, меркуриальный процесс непрерывно связывает космическое с земным»; и в другом месте: «Меркуриальное является компенсацией между теллурическим (земным) и тем, что является в какой-то мере сверх-теллурическим, сверх-земным»[93]
. Таким образом, МЕРКУРИЙ проявляется как посредник, как компенсирующий ритм между полюсами СОЛИ и СЕРЫ, приближаясь то к одному, то к другому, но, никогда не достигая их.
Живая клетка.
Если своим самовоспроизведением, вечным повторением клетка принадлежит скорее к Луне, то по своей форме она должна быть отнесена к влиянию сил Меркурия. В клетке мы находим всегда две тенденции, а именно: тенденцию к рассеиванию, характерному для одноклеточных организмов, таких как амебы, и тенденцию к конденсации в протоплазменных скоплениях, называемых syncytiums, которые встречаются, в частности, в ретикулоэндотелиальной ткани. Опыт Арндта, описанный нами в первом томе, особенно хорошо иллюстрирует эти две тенденции: первая амебовидная фаза размножения соответствует рассеиванию, вторая — фаза образования грибов, соответствующая концентрации. В организованных многоклеточных тканях, каковыми являются почти все ткани нашего организма, обе тенденции уравновешиваются.
Живая клетка настолько похожа по своему поведению на каплю ртути, что кажется достаточно пустяка, чтобы преодолеть шаг между мертвым и живым. Р. Штейнер поясняет, что этому противостоит: «Меркуриальное — это то, что лишено жизни и сохранило от жизни только форму, форму капли, и мы должны рассматривать меркуриальное как то, что наделено непреодолимой склонностью превратиться в живую каплю, стать клеткой, но этому мешает действие планеты Меркурий, и остается только трупик — капелька ртути... Каждая капля “живого серебра” ожила бы, если бы не было планеты Меркурий[94]
».
Следовательно, именно планетарные силы мешают жизни зародится во всем, что имеет форму капли. Те самые планетарные силы, которые лежат в основе происхождения металла, называемого «ртутью», силы, которые мы снова высвобождаем, чтобы использовать их в лечебных целях.
Полярность РТУТЬ
— ОЛОВО.
Единственный металл, существующий при обычной температуре в жидком состоянии, — ртуть контрастирует с оловом и его кристаллической структурой. Другая полярность между этими двумя металлами проявляется в их способе реагировать на тепло: ртуть начинает улетучиваться при комнатной температуре, тогда как для перевода олова из жидкого состояния в газообразное необходимо довести температуру до 2038°С. Чтобы довести ртуть до кипения, достаточно 396°С выше точки плавления (рис. 13). Олово, несмотря на свою легкость, отказывается терять свою уникальность, в то время как ртуть постоянно стремится избавиться от тяжести и рассеивается. Подобно своему антагонисту — олову, ртуть отличается оригинальностью. Своеобразность ее поведения проявляется также в слабых удельных тепло- и электропроводности, тогда как можно было бы ожидать обратного, учитывая расположение этого металла рядом с медью и серебром (рис. 12). Но эта непоследовательность не что иное, как результат ее жидкого состояния. При затвердевании на фоне охлаждения ниже — 39°С ртуть становится хорошим проводником. Другая странность ртути — ее относительно низкая отражательная способность и серый оттенок, в противоположность олову, металлу блестящему, с более теплой окраской; можно подумать, что эти два металла поменялись местами.
Химические свойства.
Химические свойства ртути характеризуются выраженной электроотрицательностью (которая близка к таковой серебра) и тем, что ртуть главным образом одновалентна, как и другие металлы левой группы (рис. 14). Итак, ртуть почти благородный металл, не вступающий в соединения с кислородом при обычной температуре и сохраняющий свой блеск в чистом состоянии; но он быстро тускнеет на воздухе, если в нем содержатся следы меди или свинца, которые быстро окисляются.
Таким образом, появляется возможность очищать ртуть, пропуская через нее поток воздуха, который окисляет примеси: они, как более легкие, собираются на ее поверхности. Ртуть вступает в реакцию с кислородом только при температуре около 350°С, образуя окисел красного цвета, имеющего формулу HgO, который вновь распадается на составные элементы, если его нагревать до появления темно-красного цвета. Это свойство было использовано для извлечения кислорода из воздуха в лабораторных условиях. Тот факт, что ртуть не образует ни гидратов, ни карбонатов, также является характеристикой этого металла.
Каломель и сулема.
Если ртуть не вступает в реакцию с кислородом, водородом и углеродом, то зато она обладает очевидным сродством к галогенам и сере. Два ее соединения с хлором: хлористая ртуть (каломель) и хлорная ртуть (сулема) широко известны. Каломель — белый, нерастворимый в воде порошок, в присутствии нашатырного спирта становится интенсивно черным, откуда и его название — каломель, — что означает «прекрасная черная» (черная красавица). Полярность между легкостью и тяжестью, характерная для ртути, проявляется у соли в виде противопоставления между светом и темнотой[95]
. В силу своей нерастворимости каломель безвкусна и нетоксична, что позволило использовать ее как противоглистное и слабительное средство даже для детей.
Зато сулема слегка растворима в воде, является сильным ядом, используемым иногда для дезинфекции рук и хирургических инструментов.
Киноварь.
С серой ртуть образует сульфиды, один из которых интенсивно красного цвета и используется в живописи под названием киноварь. Это любимый цвет детей, цвет, который так хорошо согласуется с их, в высшей степени, ртутной конституцией.
Естественное состояние.
Ртуть встречается в природном состоянии именно в виде киновари, сульфида ярко-красного цвета. Киноварь легко превращается в металл путем простого прокаливания. Эта руда почти всегда содержит металлическую ртуть в виде мелких капелек. Если осветить образец киновари светом ртутной лампы, то ее великолепный красный цвет померкнет и появится сероватая порода, так как свет этой лампы, образованный электрической дугой, выбрасывающей в разреженную атмосферу ртутный пар, имеет зелено-голубой цвет, дополнительный к цвету киновари. Ярко-красному цвету, созданному «теплом» серы, противопоставляется зелено-синий, вызываемый электричеством. И вновь именно теплота способствует образованию красного окисла и трансформирует желтый окисел, полученный химическим путем, в красный. Эти различные проявления позволяют нам предположить некоторое противостояние между эффектами теплоты и эффектами электричества, впрочем, за недостатком места, мы не станем говорить об этом более подробно. Отметим еще, что свет, излучаемый ртутной лампой, богат ультрафиолетовыми лучами с интенсивной химической активностью. Хотя ультрафиолетовые лучи невидимы для глаз, они воздействуют, например, на фотоэмульсию, а кроме того способны осуществлять множество химических синтезов. У человека ультрафиолет осуществляет, например, синтез витамина D на базе эргостерола в коже.
«Европейский» металл.
Залежи киновари, единственно разрабатываемой ртутной руды, находятся главным образом в Европе. Более 80% добываемого в мире металла поступает из Альмадены (Испания), Монте Амиата (Италия) и Идрии (Карниол). Залежи в Америке и России значительно менее богаты. Таким образом, ртуть вдвойне является металлом середины: на полдороге между востоком и западом, и на полдороге между тропическими регионами и северным полюсом. В Алма-дене добыча ртути является предметом забавного обычая: все жители, какой бы профессии они ни были, один-два дня в неделю работают на руднике, поэтому среди работающих можно увидеть врачей и адвокатов. Призвав, таким образом, к работе все население, удалось свести к минимуму время контакта с токсичной рудой и, вследствие этого, меньше подвергать каждого отдельного человека риску отравления.
Несмотря на то, что ртуть была известна с древности, в прошлые эпохи ее использовали мало. Довольно интенсивно ртуть стали добывать испанцы в эпоху Карла V, чтобы получить путем амальгации серебро из бедных месторождений, после того как наиболее богатые залежи серебра были уже истощены. Таким образом добывали и затем транспортировали в Америку более 100 000 кг ртути в год.
Роль посредника.
Ртуть используется во многих физических приборах, чаще всего в измерительных, самыми распространенными из которых являются барометр и термометр, где этот металл способствует определению физических параметров. Ртуть, таким образом, играет роль посредника и связного между физическим миром и человеком. В других аппаратах она служит для установки электрических контактов, что является иным способом осуществления связи. Во многих случаях использование этого металла относится к функции «связи», о которой уже упоминалось в связи с амальгамой, например, когда ртуть используется как катализатор, т. е. для осуществления химических синтезов, в которые она «вмешивается» только одним своим присутствием. Сущность связующей функции была представлена у древних в образе бога Меркурия в сандалиях с крыльями (Гермес у греков).
Ртуть стремится проникнуть повсюду.
Делимость, рассеиваемость ртути, особенно проявляется в присутствии жирных тел, что дает возможность получать суспензии (серое масло, серая мазь, неаполитанская мазь и т.д.), в которых металлические капельки настолько мелки, что способны диффундировать через кожу и провоцировать интоксикации. Таким образом, ртуть проникает в весь организм и фиксируется, в основном, в жирах. Очень трудно извлечь ее оттуда, где она скапливается. Это явление часто обнаруживал профессор анатомии Хиртл, который преподавал в Вене в прошлом веке. Каждый раз при аутопсии он ломал кость и показывал ее своим студентам. Если пациент длительное время получал противосифилитическое лечение ртутью, то можно было видеть блестящие капельки металла, скопившиеся между костными трабекулами.
Ртутное отравление.
Гидраргиризм или отравление ртутью — одно из тяжелых заболеваний, чаще всего профессионального характера, жертвами которого становятся рабочие, имеющие дело с ртутью (добыча металла, заводы по производству термометров) или ее солями (шляпное производство). Но в настоящее время ртуть используется настолько широко, что, в конечном итоге, отравляет моря и океаны до такой степени, что вызывает массовые интоксикации. Такие, например, как в Минамата (Япония), где сотни рыбаков умерли или стали инвалидами. Ртуть, содержащаяся в морской воде, абсорбируется и концентрируется в планктоне. Планктон, в свою очередь поглощаемый моллюсками, заново концентрируется в их организме. Теперь уже рыбы, питающиеся моллюсками, вновь концентрируют яд. В конечном итоге, рыбаки Минамата, питавшиеся исключительно моллюсками и рыбой, накопили в своем организме ртуть в количествах, способных вызвать тяжелые, часто смертельные расстройства.
Хотя мы, благодаря более разнообразному питанию, в меньшей степени, чем рыбаки Минамата, подвержены смертельным отравлениям ртутью, то все же и мы испытываем интоксикацию, причем тем более опасную, поскольку она замедлена и скрыта. Опасность настолько реальна, что некоторые северные страны были вынуждены на уровне государственных решений ограничивать еженедельное потребление рыбы своими гражданами! Поражаешься наивности (но наивность ли это?) некоторых ученых, устанавливающих допустимые пределы, ниже которых не будут отмечаться токсических эффектов, раз в течение очень коротких периодов наблюдений они-де не обнаружили ничего анормального. Конечно, трудно установить и доказать причинную связь с эффектом, наступающим через 10, 20, а то и 30 лет после произошедшего отравления, но отношение к ртути в наше время должно быть весьма осторожным. Рост процентного содержания ртути в ракообразных и рыбе показывает, что механизмы естественной детоксикации, которые очевидно существуют, перегружены и неспособны уравновесить массивные ядовитые ртутные выбросы промышленности и сельского хозяйства.
Острые интоксикации выражаются кишечными и почечными расстройствами (изъязвлениями слизистых, диареей, нефритом). Анурии, вызываемой ртутным нефритом, можно противопоставить диуретическое действие некоторых органнортутных соединений. То, что в одном случае провоцирует болезнь, может, при правильном использовании, помочь исцелению. При хронических интоксикациях также наблюдаются кишечные симптомы «ускоренного транзита», а также признаки ускоренных, нецеленаправленных движений в виде тремора. На другой стадии проявления интоксикации имеют другую тенденцию, а именно, замедление экскреции с гландулярными уплотнениями и замедление движений вплоть до паралича с болезненными мышечными контрактурами («судороги» испанских шахтеров). Таким образом, ртутная интоксикация может проявляться в виде двух противоположных аспектов: в виде ускорения движения или замедления движения.
Роль меркуриальных сил в организме.
В лекции от 30.06.1922 г. Р. Штейнер изложил один из аспектов действия меркуриальных сил, позволяющих улучшить терапию: «Действие меркуриальных сил дает человеку возможность завладеть твердыми компонентами своего тела. Мы постоянно оставались бы за пределами плотной части нашего организма, если бы в мире не было меркуриальных сил». Это именно те силы, которые позволяют самой ртути легко проникать во все тело, это силы, типичным образом проявляющиеся при лейкоцитарном диапедезе и во всех движениях и обменах жидкостей организма.
Металл и планетарные потоки.
При изучении планетарных потоков Меркурия мы уже встречали эти силы. Их избыток или недостаток следует соотносить с одним из двух потоков, представленных в таблице (см. гл. 20), сопроводив указанием на соответствующие заболевания, приведенные там, в качестве примера. Также в главе об олове сказано, что некоторые заболевания, вызываемые преобладанием второго потока Меркурия (или недостаточностью первого), подконтрольны олову, тем не менее основным лекарством здесь остается ртуть, которая обладает более прямым и мгновенным действием, хотя это действие менее длительное и более поверхностное, нежели действие олова. Напомним также, что ребенок от 7 до 14 лет находится в «меркуриальном периоде»[96]
, то есть под особым влиянием сил Меркурия, поэтому в это время дети бывают особенно чувствительны к терапии меркуриальными лекарствами.
Лечение больных аденоидитом.
Лимфатический, в том числе аденоидный ребенок является типичным примером недостатка первого потока Меркурия; у такого ребенка циркуляция жидкостей замедленна, создается впечатление застоя. Чрезмерное развитие лимфоидных органов (миндалины, аденоиды и т.д.) является выражением стаза. В данном случае нарушение меркуриально-го процесса проявляется в виде уплотнения, и мы противопоставляем ему преимущественно «теплую» форму ртути — киноварь. Обычно она используется в дозе D20, что оправдано в случае гипертрофии миндалин или наличия разрастаний в верхней части организма. Если же речь идет о процессе, затрагивающем весь организм, логичнее использовать среднюю динамизацию — D12 лучше в виде тритурации. Это лечение должно быть дополнено другими мерами, главная из которых — назначение Archangelica (Дягиля), растения, чей мерку-риальный характер проявляется в некотором особом равновесии между воздушным и водным. Archangelica дается в дозе D3 — D6 от 5 до 8 капель три раза в день перед едой, одновременно с Cinnabaris Dl 2 или D20 Trit. He следует забывать о назначении «Ауфбаукальк 1 и 2» (см. т. I, гл. 7/8), и Conchae (Calcium carbonicum из раковин моллюска), обладающим обезвоживающим действием. Наконец, очень эффективно применение 10% мази Berberis fruc. на область мочевого пузыря, на ночь.
Киноварь и ангины.
Cinnabaris D20 является также хорошим средством при ангинах, особенно при красных ангинах. Напомним, что ангина — органическое следствие застоя в «продвижении судьбы» (см. т. I, гл. 13), часто поражающая людей либо не способных в данный момент к некоторому выбору в своей жизни, либо недостаточно для этого сильных или же находящихся при таком назревшем выборе под препятствующим давлением внешних обстоятельств.
Дифтерия.
Дифтерия — особый аспект вышеуказанной проблемы, ее причины, по Р. Штейнеру, лежат вообще в предыдущей земной жизни человека, где он проявлял себя особо гневным или раздражительным[97]
. При этой болезни использование Mercurius cyanatus D4 от 5 до 8 капель через каждые два—четыре часа попеременно с «припудриванием» глотки Bolus eucalypti comp.[98]
дает устойчивые результаты, неоспоримо лучшие, чем эффективность противодифтерийной сыворотки, как по быстроте, так и по качеству исцеления. Для ликвидации дифтерийных пленок редко требуется больше двух суток такой терапии, и выздоровление наступает быстро. Тем не менее необходимо требовать полного постельного режима в течение недели после исчезновения локальных признаков и нормализации температуры, во избежание сердечных осложнений. В течение этого периода следует назначать 5—8 капель Cardiodoron три раза в день (см. т. I, гл. 13).
Воспаления и уплотнения желез.
Воспаление желез — другая форма стагнации лимфатического тока. Чаще всего оно является реакцией на меркуриальный процесс рассеивания, распространения — например, рассеивания микроорганизмов или раковых клеток. В этих случаях препараты ртути используются не для усиления дисперсии, а для ее торможения и попытки вернуть под контроль организма процессы, пытающиеся уйти от этого контроля. Такой реакционный процесс уплотнения, индурации желез связан скорее с преобладанием первого, нежели второго потока Меркурия. Своим пролиферативным аспектом он указывает также на одну из составных частей первого потока Луны. Следовательно, весьма логично использовать в этих случаях ртуть в металлическом виде в средней или высокой динамизации от D15 до D20. Часто достигаются отличные результаты при наложении ртутной мази Mercurius vivus D15 на кожу в районе пораженных узлов. На это простое лечение благоприятно реагируют и другие формы индурации, например, уплотнения молочной железы и халязионы. В случае последних, помимо мази, накладываемой вечером на веко, дают утром и вечером 10 капель Staphysagria D10. К тому же мазь Mercurius vivus D15 приносит быстрое облегчение как при орхи-тах, так и при паротитах.
Лечение паротита.
Ртуть — основное средство при лечении свинки (паротита), другой формы уплотнения желез. Его назначают в виде подкожных инъекций: Mercurius viv. nat. D8 по 1 мл ежедневно или через день. Вокруг шеи накладывают пластырь с небольшим количеством 10% мази Archangelica и дают per os Barium citricum D3 Trit, на кончике кофейной ложки три раза в день. Строгая диета позволит избежать панкреатических осложнений.
Застой желчи.
Желчный стаз является типичным результатом замедления потока жизненных соков. Стаз обычно сопровождается появлением избытка структуры в виде камней и представляет, таким образом, типичный пример преобладания второго потока Меркурия. Мы уже показали, что это заболевание замечательно реагирует на терапию препаратом Choleodoron (см т. I, гл. 11), но здесь можно подумать и о ртути. Не будем забывать, что желчегонные свойства каломели известны с давних пор. Однако предпочтителен динамизированный, то есть гомеопатический препарат, например, Мегcurius dulcis или Mercurius bijodatus.
Острый нефрит.
Стаз и индурация также характерны и для острого нефрита; впрочем, он может быть ртутного происхождения, и кажется логичным лечить его ртутью, например, с помощью Mercurius corrosivus D4-D6 в виде подкожных инъекций. Однако эта мера не освобождает нас от других средств лечения, описанных в главе о почках (см. гл. 12). Я не помню ни одного случая острого нефрита с тех пор, как начал заниматься антропософской медициной. Вероятно терапия, которую мы предлагаем при заболеваниях, склонных к подобному осложнению, делает его очень редким.
Меркурий и психические расстройства.
Психические проявления избытка Меркурия-2 выражаются «умственной вязкостью» такой, какую можно обнаружить у лимфатических или аденоидных субъектов вплоть до стереотипного мышления и «идей фикс». Последние типичны для субъектов, которых мы образно назвали в первой части «человек-легкое», при этом следует помнить, что легкое как раз является органом Меркурия. Одна из особенностей этого типа заключается в стремлении замыкаться в себе. Это желание «человека-легкое» уходить в себя следует сопоставить со структурой грудной клетки, которая напоминает клетку; грудную клетку древняя мудрость связывала с зодиакальным знаком Рака. Интересно, что Рак по латыни Cancer (как и career) обозначает и «рак», и «краб», и «тюрьма». «Человек-легкое» — тот, у которого доминируют некоторые аспекты органа Меркурия, испытывает особую трудность при контактах с другими людьми. Быть может его переживание «клетки» в разных жизненных реакциях сказывается не столько как защита, сколько как заточение? Как бы то ни было, такой человек имеет болезненный страх перед всем, что приходит к нему из его окружения. Эта трудность общения на душевном уровне представляет тот же процесс, который мы встречаем в органическом плане в виде аллергии. Для аллергии характерны грубые, марсианские черты (см. т. II, гл. 21). Можно было бы сказать, что за недостатком Меркурия человек реагирует своим Марсом. Здесь, вероятно, кроется объяснение многих агрессивных проявлений — будь ли они психического или органического характера. С этой точки зрения применение препаратов ртути для базового лечения аллергии предстает как весьма обоснованное. В этом случае мы прописываем ртуть в «вегетабили-зированной» форме — Nasturtium Mercurio cultum D3 предпочтительно в виде подкожных инъекций, два или три раза в неделю. Здесь меркурий вновь поможет нам вернуть под контроль организма то, что стремилось его избежать. Так как легкое действительно является органом, который самым непосредственным образом связывает нас с внешним миром, мы сочетаем здесь Nasturtium Mercurio cultum D3 с препаратом Pulmo D4. Учитывая восприимчивость аллергиков, «вегетабилизированная» форма металла с ее более мягким действием является более чем оправданной, а к самому металлу мы сможем обратиться лишь тогда, когда «Я» уже приобретет некоторую способность победить свой недуг.
Педагогика — это ни что иное, как Меркурий.
По поводу стереотипности мышления. Не будем забывать, что наша современная интеллектуальная мысль страдает, прежде всего, от отсутствия подвижности. Она может добиваться успехов в технических областях, но реальность жизни от нее ускользает. В этом смысле современное западное человечество нуждается в Меркурии, который может принести так называемая «валь-дорфская» педагогика (основанная на идеях Штейнера), способная реально исцелить человека от материализма, не превращая его в слабого мечтателя.
Меркурий при «истерических» заболеваниях.
Вернемся теперь к первому потоку Меркурия, которого мы коснулись, говоря об аденитах. Его избыток проявляется в усилении циркуляции жидкостей, что может также выйти за нормальные пределы. От этого могут возникать некоторые виды диарей, колитов и, чаще всего, различные типы гиперсекреции. Мы видели, что препараты ртути могут усиливать диурез; они могут также вызвать сиалорею (слюнотечение) и сперматорею. Образование пробок ушной серы в результате избытка секреции желез слухового прохода может также рассматриваться как меркуриальный процесс. Все эти проявления имеют один важный образный признак — «органическая истерия» (см. т. I, гл. 3). Они прекрасно лечатся ртутными лекарствами. При колитах и энтеритах мы будем использовать Mercurius viv. comp. (Mercurius viv. nat. D4 2 части / Nasturtium, herba 1 часть / Stannum met praep. D14 2 части, trit) три раза в день на кончике кофейной ложки. Этот состав является также основным лечением кишечного туберкулеза, для которого он и был изначально создан. Летние диареи хорошо реагируют на Mercurius viv. nat. D15, Trit. В отсутствие этого средства используется кофейный уголь (Carbo Coffea) из расчета три кофейные ложки в день. Выгода этого лекарства заключается в его эффективности и в легкости приготовления, доступного больному при любых обстоятельствах. Достаточно обуглить на сильном огне в металлическом сосуде маленькую горсть кофейных зерен и после охлаждения растереть их в порошок. Вся эта операция требует меньше получаса и может быть выполнена даже в условиях кемпинга. При заболеваниях, имеющих тенденцию к хронизации, применение Mercurius vivus D15 все же будет необходимо.
Бронхит и киноварь.
Бронхит также является проявлением гиперсекреции. Его можно уподобить перемещенному пищеварительному процессу, другими словами, метаболической активности, захватившей неподобающий орган — бронхи. С помощью ртути в виде Cinnabaris D8-D10 можно переместить этот процесс, стремящийся ускользнуть из-под контроля организма обратно. А входящая в ее состав сера удержит пищеварительную активность в сфере метаболизма.
Возбуждение и мания.
При психических проявлениях избытка первого потока Меркурия, близких к истерии и сопровождающихся логореей, неуравновешенностью, возбуждением, доходящим до мании, мы будем использовать другую «вегетабилизированную» форму ртути — в виде Bryophyllum Mercurio cultum D3 в подкожных инъекциях. Инъекции делают в нижнюю часть тела, как правило, в ягодицы. Позже используется сам металл ртуть — Mercurius vivus naturalis — предпочтительно в высоких разведениях.
* * *
Вот некоторые показания для использования ртути, которые далеко не исчерпывают всех ее терапевтических возможностей. Ведь ртуть — Меркурий — является поистине универсальным лекарством. Его многочисленные возможности подобны разнообразию функций бога Гермеса — Меркурия, от которого врачи унаследовали свой главный символ — жезл кадуцей.
ГЛАВА ДВАДЦАТЬ ВОСЬМАЯ
Железо
Железо и человеческий труд.
Имеется определенная связь между различными эпохами жизни человеческой цивилизациями и металлами. Использование металла всегда требует от цивилизации определенного труда, активности. С этой точки зрения, относительно легко было получать из руды и обрабатывать золото, серебро, медь и олово. Железо, если рассматривать его в этой связи, можно выделить в чистом виде и обработать только ценой больших усилий.
Для извлечения железа из руды необходима высокая температура, а чтобы превратить его в полезный для цивилизации металлический инструмент, следует затратить много энергии, источником которой в течение тысячелетий почти исключительно оставались человеческие мускулы.
С другой стороны, для изготовления и обработки железа требовалось больше изобретательности, то есть мысли, выраженной в технических средствах: прежде всего, требовалось построить печь или, по крайней мере, топку, позволяющую достигать необходимой температуры плавления, здесь впервые возникли воздуходувные меха. Лишь путем сложного выплавления и горячей ковки достигали качеств, благодаря которым и ценится железо: твердость и тягучесть. По-латыни — ferrum происходит от глагола ferio, что означает «бить», то есть «ferrum» — это «то, что били (или ковали)». В самом слове выражена работа, необходимая для получения этого металла. Греки называли железо «sideros», что напоминало им об его космическом происхождении, римляне же подчеркивали в своем термине уже чисто человеческую работу, деятельность, необходимую для получения железа. Sideros и ferrum, эти два слова хорошо выражают различие, которое и во многих других аспектах цивилизации отделяло греков от римлян.
Сталь.
То, что мы обычно обозначаем словом «железо», не является чистым металлом, а бывает почти всегда сталью, т. е. соединением железа и углерода, свойства которого еще больше улучшаются благодаря закалке (быстрое охлаждение раскаленного до красноты металла), в некотором роде освящая «свадьбу» железа с углеродом. Эти два элемента имеют друг к другу большое сродство, и об этом мы еще поговорим.
Завоевание земли и господство людей.
Почему металл, полученный с таким трудом, является таким желанным для людей, почему они отдают ему столько энергии? Какими преимуществами он обладает по сравнению с металлами, использовавшимися раньше, в частности перед бронзой? Что ж, это известно каждому — это твердость железа и его тягучесть, также эластичность, пластичность. С железными орудиями человек становился действительно способным овладеть землей: железной киркой и плугом с железным лемехом значительно легче было обрабатывать землю. Железным кайлом было легче разрушать горную породу, чтобы извлекать оттуда ее сокровища. С самого начала железо использовалось не только для изготовления орудий труда, но и для изготовления оружия, позволяющего тому, кто им владеет, навязать свою власть другому. Таким образом, железо становится орудием завоевания земли и инструментом воли и могущества. Орудие обработки земли и оружие — эти два аспекта железа были представлены двумя божествами, уже упомянутыми в связи с планетарными путями: Гефест (Вулкан) — кузнец, и Apec (Марс) — бог войны.
Рабство и свобода.
Но из железа можно изготовить цепь, превращающую человека в раба, и римляне называли раба, носившего свои оковы, «ferritus». Таким образом, железо становится не только инструментом свободного овладения землей, но и символом слишком крепкой связи с нашим земным миром, вплоть до лишения этой свободы. Если железо, с одной стороны, разрешает человеку, в
какой-то мере, освободиться от зависимости, связанной с материей, то с другой — оно таит угрозу превратить его в раба этой материи. С одной стороны, оно позволяет овладеть землей, но владелец, в свою очередь, подвержен риску порабощения.
Земной металл.
Итак, железо является земным металлом по преимуществу. Тем более, что земная кора содержит его в огромных количествах, — железо занимает четвертое место по распространенности элементов, после кислорода, кремния и алюминия. Естественно, оно является самым распространенным и из наших семи основных металлов, среднее содержание которых, представленное в земной коре, расположено в порядке, представленном в таблице 8.
Таблица 8
Содержание металлов в земной коре
| Железо 4,7%
|
Олово 0,0006%
|
| Медь 0,01%
|
Серебро 0,000004%
|
| Свинец 0,002%
|
Ртуть 0,000003%
|
| Золото 0,0000001%
|
Эта таблица показывает, что железа на земле почти в 500 раз больше, чем меди, в 2500 раз больше, чем свинца, в 10000 раз больше, чем золота. Таким образом, распределение металлов придерживается логарифмической прогрессии.
Железо находится практически везде; его отсутствие в почве и в породах выражается их белым цветом — цветом, весьма редким для земной поверхности, да и то отсутствие железа является результатом вымывания, то есть связано не с изначальным происхождением, а относительно более поздними атмосферными явлениями. Цветовая палитра железа исключительно разнообразна: желтый цвет охряных земель, красный — песчаников и латеритов, серый — глины, краснеющей при обжиге, зеленый — оливинов и хлоритов, бурый — вулканических пород и т.д. Роль других металлов в окраске руд намного меньше, и мы можем утверждать, что без железа наш мир был бы весьма бесцветным!
Роль Марса.
В своей космологии Р. Штейнер объясняет нам, почему железо уже чисто в количественном отношении занимает особое место в планетарно-металличес-ких процессах нашей планеты. Он описывает, как в начале так называемого «лемурийского» периода истории Земли планета Марс прошла сквозь тогда еще вполне еще мягкую водно-воздушную массу нашей планеты. Мы лучше поймем чем была тогда Земля, если будем рассматривать ее как живой организм. Она обладала весьма разреженной белковой атмосферой, а самые твердые составляющие Земли имели консистенцию воска. Ее размеры приблизительно соответствовали современной орбите Марса. Проходя через Землю, Марс, также сильно отличавшийся от того, чем он является теперь, оставил железо (точнее то, что затем стало железом в современном смысле), в качестве следа своего прохождения[99]
. Интересно, что согласно Штейнеру именно в «лемурийскую» эпоху люди впервые получили сознание своего «Я»[100]
. Таким образом, мы видим, как вырисовываются отношения между железом и «Я» человека, отношения, некоторые детали которых мы уточним в дальнейшем.
Географическое распределение месторождений.
Хотя железо находится в земной коре везде, разрабатывают его, конечно, только в районах наибольшей концентрации. Основные месторождения имеют определенную закономерность — они расположены по окружности, параллельной экватору, на равном расстоянии от него на юг и на север — в так называемой умеренной зоне; кроме того, большие залежи имеются, конечно же, на Северном полюсе. Мы уже встречались с явлением такого порядка, говоря об олове, залежи которого распределяются по обе стороны большой окружности с наклоном к экватору в 23,5°. У железа, наоборот: пояс основных залежей образует малый круг, параллельный экватору, расположенный в умеренной зоне. Если мы будем пытаться провести сравнение между Землей как живым организмом и человеком, то экваториальные зоны, характеризующиеся теплом, влажностью и изобилующие растительностью, мы отнесем к метаболической области, к области обмена веществ. На другом краю располагаются полюса — Северный и Южный, где жизнь исчезает, напоминая картину нейро-сенсорной системы. Умеренные области с четкой сменой времен года и периодическим переходом атмосферных фронтов от холодных до жарких, со всей очевидностью, имеет связь, с циркуляторной и респираторной, т. е. с ритмической областью человека. Именно в этой умеренной области, особенно благоприятной для процветания человеческой цивилизации, и находят железо. Отметим также, что именно в этих областях расположены основные месторождения каменного угля, свидетельствующие, таким образом, о сродстве железа с углеродом.
Четыре основные руды.
Самородное железо в природе не встречается; исключение составляют единичные залежи на острове Диско (запад Гренландии), причем интересно, что железо находится там, в виде многотонных глыб. В крупных месторождениях его обычно находят в четырех формах: в виде сульфидов, окислов, гидратов и карбонатов. Эти четыре класса руд можно сопоставить с четырьмя элементами алхимии: сульфиды — с элементом ОГОНЬ, окислы — с элементом ВОЗДУХ, гидраты — с элементом ВОДА и карбонаты — с элементом ЗЕМЛЯ. Эта классификация подтверждается даже внешним видом этих руд. Сульфиды существуют, главным образом, в трех формах: 1) пирротин — FeS, состоящий из кристаллов бронзового цвета; 2) пирит — FeS2
— красивые кристаллы желто-золотистого цвета с металлическим блеском, образующими либо кубы, либо пятиугольные додекаэдры (пирит всегда содержит немного золота и поэтому иногда ради разрабатывался не ради железа, но ради золота); 3) марказит, имеющий ту же формулу, что и пирит — FeS2
и представляющий узелковую форму Эти узелки имеют красивую внутреннюю кристаллическую структуру, образованную бледно-желтыми кристаллами, лучащимися от периферии к центру и имеющими некоторую аналогию со срезом лимона. Эта центростремительная ориентация в железной руде является настоящим знаком или (согласно Парацельсу) «сигнатурой», указывающей на характер динамического действия железа в земной коре и в земных организмах. Примечательно и то, что марказиты встречаются чаще всего в верхнем слое мелового периода.
В. Пеликан в своем труде о металлах показывает связь этих трех сульфидов железа с теплотой. Пирротин образовался при самой высокой температуре, пирит — при умеренной, а марказит, самый земной из трех, — при самой низкой. Эти минералы свидетельствуют, таким образом, о различных состояниях Земли, во время которых они сформировались.
Минерал родом из жизни.
Немного выше мы рассмотрели Землю как живой организм. Для нее, как и для человека, минерализация считается признаком старения. Не будем забывать, что не жизнь произошла от минерала, как еще думают в современных научных кругах, а наоборот, минерал произошел от жизни. Когда Земля еще имела белковую атмосферу, она вся была насыщена только живыми процессами. Для нашей современной конституции подобная атмосфера была бы непригодна для дыхания, но там жили и процветали другие существа, реликтами которых являются, например, многие бактерии. Белковая атмосфера была богата серой, углеродом и азотом. Эти вещества оставались постепенно выпадали в осадок. Сера соединялась с железом сначала в виде пирритина, затем пирита и, наконец, в виде марказита. Углерод выпал в осадок в виде каменного угля, азот остался, в основном, в нашей современной атмосфере. Следовательно, процесс девитализации и минерализации частично связан с появлением железа. Без него жизнь в этой белковой атмосфере сохранила бы «стихийный», хаотический характер, о чем свидетельствуют каменноугольные окаменелости.
Железо и кислород.
Если в сульфидах железо фиксирует элемент ОГОНЬ, то в окислах оно захватывает элемент ВОЗДУХ. Отношение железа к кислороду изменчиво и зависит от валентности этого металла. Будучи двухвалентным, железо образует закись железа или окись железа — FeO, но это соединение нестойко и никогда не встречается в природе в свободном состоянии. Напротив, его находят в соединении с другими элементами, такими как кремний, магний и т.д., в таких минералах, как оливин, диаллаж и, как правило, во всех основных зеленых породах. Когда железо ведет себя как трехвалентный элемент, оно образует с кислородом окись железа — РегОз с кислотными свойствами, называемый «сесквиоксид» железа (шестикислородное железо). Это соединение существует в естественном состоянии в значительном количестве под названием красный железняк или гематит, иногда кристаллизующийся в маленькие пластинки черного блестящего цвета, собранные в «железную розу». Чаще всего гематит представляет собой зернистые кристаллические массы более или менее красного цвета. От него получили свою красную окраску крупные геологические формации (пермского периода и пестрые песчаники триаса). Гематит — одна из основных руд железа.
Магнетит (магнитный железняк).
Магнетит (другую окись железа с формулой — FeßO^ можно рассматривать как соединение основной закиси и кислотной окиси, следовательно, он может быть уподоблен соли. Наряду с пирротином он обладает магнитными свойствами, отсюда и его название. Он может кристаллизоваться в ромбовидные октаэдры или додекаэдры. Содержится в богатых месторождениях Швеции (Кирунаава), Урала, Северной Америки, и в менее значимых залежах в других местах. Магнетит — это более древнее образование, чем гематит, что позволяет рассматривать гематит в качестве продукта распада магнетита.
Гидраты железа.
При фиксации элемента ВОДА железо образует гидратированную окись железа «гетит» с большим количеством разновидностей. Эта руда образовалась в неглубоких морях за счет других месторождений, разрушаемых под влиянием атмосферных факторов. Разновидность гидратированного железа, лимонит, составляет значительные залежи лотарингского бассейна. Даже в наше время еще можно наблюдать образование гидрата железа в некоторых озерах Финляндии: пириты, содержащиеся в местных породах, разрушаются атмосферными явлениями, трансформируются в гидраты, уносимые водами по пологому склону к берегам озер. Там гидраты осаждаются в неглубокую воду, по истечении нескольких лет слой становится весьма значительным, и их можно добывать почти открытым способом — хотя бы драгами.
Карбонаты железа.
Четвертый класс железных руд составляют карбонаты, в которых железо фиксируется на элементе ЗЕМЛЯ — углерод. Эта руда, называемая сидерит, или железный шпат, с формулой FeCO3, образуется в результате взаимодействия угольной кислоты воздуха и железа. Она представляет собой некоторую аналогию с известняком со схожей формулой — СаСОз и иногда образует с ним смешанный карбонат — анкерит. Как и карбонат кальция, карбонат железа растворим в воде, насыщенной углекислым газом, отсюда существование железистых вод. Когда эти воды теряют углекислый газ, железо выпадает в виде ржавого осадка.
Как и гидраты, карбонаты являются относительно недавними формированиями.
Среди многочисленных форм, в виде которых железо проявляется в природе, имеется одна, особенно интересующая нас из-за своей лечебной роли, хотя она существует в очень небольшом количестве. На севере Италии в местечках Левико и Ронесньо находятся минеральные источники, содержащие уникальные соединения железа, меди и мышьяка, важные в медицинском отношении. Об этом мы поговорим позже.
Метеоритное железо.
Изучая основные формы руд от сульфидов до карбонатов, мы проследовали путем от ОГНЯ через ВОЗДУХ и ВОДУ вплоть до ЗЕМЛИ, — это истинный процесс инкарнации. При этом железо проявляло себя во все более и более земной форме. Но железо существует также и в космической форме, в виде метеоритного железа. Мы можем наблюдать в конце лета и осенью «падающие звезды». Долгое время они рассматривались как результат разогрева плотных тел за счет трения в атмосфере. В действительности же — ничего подобного. Метеориты, собранные сразу после падения, оказываются не раскаленными, но чуть теплыми. Их образование является, скорее всего, результатом конденсирующего процесса, то есть вещество это только образуется именно при входе в земную атмосферу. Метеориты сохраняют «сигнатуру» своего космического происхождения в своеобразной кристаллической структуре с широкими пластинками. Если воздействовать кислотой на гладкую поверхность метеорита, то можно увидеть, как появляются рисунки, напоминающие кристаллы снега. А ведь снег, в противоположность граду, проявляет в своей форме действие как раз космических сил.
Железный дождь.
Кроме метеоритов весом от нескольких граммов до нескольких тонн в атмосфере встречается огромное количество микроскопических железных частиц, образующих в атмосфере настоящий «железный дождь», особенно обильный в районе местечка Сен-Мишель на атлантическом побережье Франции.
Антитоксическая роль железа.
Существует много других минералов, содержащих железо, но в незначительных для разработок количествах. Они, тем не менее, могут играть существенную роль в природе и, соответственно, в медицине. Итак, железо обладает антитоксическими свойствами, поскольку фиксирует некоторые элементы, присутствие которых в свободном состоянии сделало бы жизнь на нашей Земле невозможной. В. Пеликан в уже многократно упоминавшемся нами труде о металлах приводит один интересный пример о фиксации серы железом: «В наши дни мы еще присутствуем при явлениях такого характера (фиксация серы железом). Так, в глубоком и закрытом бассейне Черного моря гниение погруженных в придонный слой белковоподобных веществ сопровождается образованием сероводорода, очень токсичного газа, который делает любую жизнь невозможной. Поступление солей железа из рек вызывает на средней глубине формирование микроскопических пиритов, которые производят дезинтоксикацию моря, допуская, таким образом, существование обильной растительной и животной жизни в верхних слоях».
В равной степени железо фиксирует мышьяк, по большей части этот элемент существует в комбинации с железом и серой в виде минерала арсенопирита. Мы знаем также, что свежеприготовленный гидрат железа является в медицине настоящим антидотом мышьяка.
Железо обладает свойством осаждать тяжелые металлы. Ртуть, свинец, медь и т.д., постепенно увлекаемые потоками вод к океану, давно сделали бы морскую среду непригодной для жизни, если бы не присутствие гидратов окиси железа, также приносимых реками. Этот окисел соединяется с тяжелыми металлами и в виде красной грязи выпадает в осадок на дно океанов. Органические частицы, также занесенные вместе с этими грязями, вызывают разложение этих комбинаций в соли железа, которые поднимаются и недалеко от поверхности вновь окисляются и заново осаждаются в виде гидрооксида. Это движение вверх-вниз реализует настоящий дыхательный процесс внутри океанов.
В связи с антитоксической функцией железа отметим еще его действие на синильную кислоту и цианиды щелочных металлов — исключительно сильные дыхательные яды, которые оно обезвреживает, фиксируя их в виде нетоксичных ферро- или феррицианидов.
Респираторная функция железа.
Однако значимость железа в природе постигается только при изучении его роли для живых существ. С железом появился новый тип дыхания: легочное дыхание и его полярное дополнение — хлорофилловая ассимиляция. Эти два процесса противопоставляются и взаимно дополняются как ассимиляция и диссимиляция. Мы отмечали в первом томе, что сознание в организме может проявляться только за счет жизни, требуя, таким образом, существования процесса диссимиляции. Можно сказать, что этот процесс не существует у низших существ: у большинства беспозвоночных, у чисто вегетативных, метаболических существ, которые используют для своего дыхания не железо, а медь. Открыв путь к появлению легочного дыхания, железо, таким образом, играет необходимую роль для появления сознания.
Гемоглобин и хлорофилл.
Легочное дыхание, связывающее кислород с углеродом, может существовать, если только оно встречает противоположный процесс — процесс хлорофильной ассимиляции, удерживающей углерод и высвобождающей кислород. Эта функция не может осуществляться без железа, хотя сам хлорофилл его не содержит. Это вещество существует в изобилии в двудомной крапиве и в шпинате, растениях, используемых для его получения и отличающихся богатым содержанием железа. Существует потрясающее сходство между структурой хлорофилла и структурой гематина, пигмента гемоглобина. Эти два вещества состоят из четырех ядер пиррола, объединенных одной молекулой магния для первого и молекулой железа для второго. Но зато эти два вещества имеют противоположные функции. Их полярность проявляется

Рис. 17.
также в их цвете и флюоресценции, так, хлорофилл — зеленый, с красным свечением, а гематин, наоборот, красный с зеленым свечением.
Железный крест.
При рассмотрении вышеописанных химических формул поражаешься их видом, странно напоминающим кресты. Они напоминают формы образованные кристаллами ставролита — минерала, состоящего из железа, алюминия и кремния. Пирит тоже часто образует крестообразные кристаллы. Таким образом железо, по преимуществу металл инкарнации, воплощения на Землю, принимает, форму креста — символа воплощения.
Железо в организме.
Железо, как и олово, не токсично. Это единственный металл, содержащийся в организме в весомых количествах. У человека весом 70 кг его содержится около 5,85г, распределенных следующим образом:
Таблица 9
Распределение железа в организме
| гемоглобин
|
3,25 г
|
| миоглобин
|
0,60 г
|
| цитохром
|
1,00 г
|
| плазма
|
3—4 мг
|
| резерв
|
1,00 г
|
Таким образом, железо присутствует во всем организме, но в основном находится в крови и больше всего содержится в красных кровяных тельцах в виде гемоглобина. Это вещество состоит из двух элементов: бесцветного белка — глобина, имеющего свою собственную структуру для каждого индивида, и железного пигмента — гематина, идентичного у всех существ с красной кровью. Благодаря этому пигменту, гемоглобин способен переносить то кислород, то углекислый газ (СО2
), образуя с этими газами лабильные, обратимые соединения. Зато с окисью углерода (СО) гемоглобин в обычных условиях образует стабильное соединение, делая насыщенные им эритроциты неспособными к переносу кислорода и углекислого газа, что приводит к тканевой асфиксии.
Артериальная кровь, богатая кислородом, имеет ярко-красный, живой цвет, напоминающий цвет эритроцита. Венозная кровь — наоборот, темная, насыщена углекислым газом; можно было бы также сказать, что она более «углеродная», или более «земная». Когда организм склонен стать слишком «венозным», то кожные покровы принимают синюшный оттенок, называемый цианозом. Тогда появляется необходимость стимулировать дыхание, используя углерод, тяга которого к кислороду известна. Назначенный, например, в динамизации D30, он буквально втягивает кислород внутрь организма, устраняя такие состояния асфиксии, которые можно наблюдать при приступе астмы и при многих других заболеваниях.
Железо и Инкарнация.
Как мы видели выше, плазма также содержит железо, хотя и в очень малых количествах, приблизительно в тысячу раз меньше, чем эритроциты. Это железо, однако, играет важную роль, и изменение его процентного содержания, в сравнении с содержанием меди, может стать диагностическим и в особенности прогностическим признаком при развитии раковых заболеваний. У здоровых субъектов содержание плазменного или сывороточного железа в только что дефибринированнои плазме, бывает относительно стабильным и колеблется между 80 и 150 мкг на 100 мл. Б. Шпек показал, что существует суточное колебание содержания сывороточного железа, нарастающего в течение дня. Он также показал, что среднее содержание сывороточного железа у женщин слегка ниже, чем у мужчин. Другие исследования обнаружили параллельные колебания содержания гемоглобина. Кровь, следовательно, более богата железом по утрам, при пробуждении, т. е. в момент инкарнации высших составляющих элементов — «Я» и астрального тела — в низшие. С другой стороны, средние пропорции немного больше у особей мужского пола, глубже инкарнированных, чем женские особи. Таким образом, кровь очень близко отражает способ сочленения различных составных элементов человека.
Сродство к кислороду.
Мы уже упоминали о химических свойствах железа в связи с различными минералами. Напомним, что среди семи главных металлов железо — самое электроположительное, отсюда и та легкость, с которой оно соединяется с большинством других элементов. В силу своего большого сродства к кислороду оно легко окисляется, особенно на влажном воздухе, образуя ржавчину. Ржавчина не изолирует металл от дальнейшего окисления, что вынуждает защищать его либо лаком, либо с помощью другого, более устойчивого металла (цинк, олово, свинец и т.д.). В чистом виде железо тверже шести остальных металлов. Эта твердость может значительно возрасти, если соединить железо с углеродом, чтобы превратить его в сталь, которую тогда подвергают закалке.
Магнетизм.
Железо обладает также любопытным свойством — магнетизмом, другими словами, способностью проявлять силу притяжения (или отталкивания) по отношению к другим массам, имеющим сходное свойство. Таким образом, железо овладевает силами других веществ, и Р. Штейнер говорит, что оно поступает немного как вор, присваивая их себе. Эти магнитные силы имеют большое значение в нашей технической цивилизации. Не ясно ли, что если бы наукой не было открыто свойство магнетизма, то мы до сих пор в нашей технике не преодолели бы стадию паровой машины? Мы даже не имели бы компаса! Почти все изобретения, ежедневно используемые нами, тем или иным образом обязаны магнетизму и электричеству, которые тесно между собой связаны. С другой стороны, мы плохо представляем себе, насколько мы в нашей цивилизации стали рабами этих сил, влияние которых на человека нам так плохо известно. Так, своими магнитными свойствами железо еще крепче связывает нас с материальным миром, с землей. Нам нужно быть исключительно бдительными и оставаться вполне сознательными, если мы не хотим бесповоротно стать рабами материи, ее сил, если хотим сохранить нашу истинную свободу.
Целительные силы железа.
«Qui nescit martern nescit artem» — гласит древняя поговорка, которую мы переведем так: «Тот, кто не знает Марса (действия железа), тот не знает искусства исцелять». Этот металл играл важную роль в терапии со времен античности. Мы знаем сегодня, что он использовался уже в древней Индии и в Египте, хотя о присутствии его в крови и о его функциях, какие мы рассматриваем сегодня в медицине, не было известно. Греки также широко использовали железо. Гален и Цельс прописывали своим больным отмочную воду кузниц, содержащую окись железа. С тех пор железо входит во все фармакопеи.
Каково же действие железа в организме? В силу своего присутствия в крови в большом количестве и своей респираторной функции, это действие должно иметь очень тесную связь с ритмической системой человека. Функции железа крови в дыхании являются отражением той роли, которую оно играет в умеренных ритмических и респираторных областях Земли. К этому можно добавить понятие «орган Земли» (орган, сущностно связанный с твердым элементом), которое мы сформулировали в первом томе говоря о легких. Говоря о роли железа в цивилизации, мы акцентировали внимание на способе, которым железо связывает человека с землей. В организме оно действует таким же образом, связывая «Я» с физической опорой. Мы показали также в первом томе, что «Я» нуждается в теплоте крови, чтобы проявиться в человеческом теле. Эта теплота не могла бы существовать без железа. С помощью железа, как мирового процесса, »Я» и пришло из космического пространства к Земле.
При контакте с железом (самым минеральным компонентом крови, т. к. гематин является минерализующимся веществом) «Я» начинает активно действовать в организме для того, чтобы сломить сопротивление, которое ему оказывает этот металл в крови; тем самым «Я» пробуждается к обретению земного сознания. Железо — действительно металл земной инкарнации, и его недостаточность в организме при гипохромной анемии выражается зябкостью, отсутствием активности и ослаблением воли, доходящих до состояния прострации. В одной из лекций врачам Р. Штейнер представил роль железа в крови несколько в другом аспекте: «...при рассмотрении крови мы имеем дело с элементом, который просто в силу своего состава, постоянно болен. Кровь больна по своей собственной конституции и должна непрерывно лечиться за счет „поставки" железа. Кровяной процесс постоянно нуждается в исцелении самой природой, а именно — минералом, железом».
Это требует объяснения: в чем заключается принципиальная болезненность крови? Об этом можно получить представление, еще раз рассмотрев процессы, которые мы приписываем первому потоку Венеры и, более конкретно, потокам, имеющим отношение к альбуминам и к их ассимиляции. Кровь, особенно венозная, нагружается альбуминами — продуктами метаболизма, а вместе с альбуминами всей совокупностью вегетативных сил регенерации и пролиферации метаболического полюса. Естественному процессу альбуминизации крови, который мог бы, если бы оказался чрезмерным, привести к ее распаду, природа противопоставляет железо, подавая нам, врачам, пример естественного природного самоисцеления. Таким образом, кровь становится ареной борьбы между вегетативными процессами, исходящими от метаболизма, и процессами, обусловленными железом, которые начинаются с дыхательного аппарата, в особенности, от марсианского органа — гортани. Именно оттуда распространяется действие железа, направляясь к нижней части организма, противопоставляя себя «альбуминизирующей тенденции».
Это действие железа в крови хорошо иллюстрируется структурой эритроцитов, которые преждевременно «убиваются» (или почти «убиваются») железом. Они теряют свое ядро и становятся неспособными к регенерации, но железо придает им также определенную сопротивляемость, позволяющую выживать около трех месяцев. При анемиях, в силу недостаточности железа, эритроциты сохраняют дольше свой регенераторный потенциал, что выражается возрастающей стойкостью ядра.
Возрастные изменения содержания железа в
крови.
Отношения между железом и процессом воплощения «Я» подтверждаются исследованием содержания железа в организме в зависимости от возраста. У маленького ребенка железа в организме сравнительно немного, затем его содержание возрастает и достигает своего окончательного значения к периоду полового созревания. Однако, у новорожденного и в первые дни жизни содержание гемоглобина (в граммах) соответствует 15—16 гр%, что отражает интенсивность процесса воплощения, первого всплеска формирования и роста тканей и органов. Затем это содержание приблизительно к трем месяцам падает и составляет не более 8— 9 гр%. Можно задаться вопросом, почему у маленького ребенка происходит это уменьшение, почему молоко матери практически не приносит ребенку железа? Да просто потому, что у ребенка вегетативные процессы роста и размножения тканей должны преобладать над всеми другими процессами. Без этого излишка метаболизма и альбуминизации ребенок был бы не способен строить свой организм. С этим относительным недостатком железа связана высокая заболеваемость детей в возрасте до 7 лет. От И до 13 лет средний вес ребенка увеличивается на 25%. За этот же период процентное содержание железа возрастает на 35%. Именно в это время человеческое существо приобретает определенную зрелость, покидает физиологический период детства и окончательно «спускается» на землю. Отметим также, что процентное содержание сывороточного железа достигает окончательной величины к трем годам, когда ребенок начинает говорить «Я».
В медицинском плане можно поддаться искушению и лекарственным или пищевым способом возмещать этот кажущийся недостаток железа, но тогда была бы допущена грубая ошибка против намерений самой природы, ибо это означало бы — искусственно и преждевременно связать «Я» с физическим организмом. Это, конечно, не означает, что нужно воздерживаться от железной, «марсианской» терапии у детей, если патологическое состояние этого требует.
Роль железа в нейросенсорном и метаболическом
полюсах.
Хотя действие железа тесно и прямо связано с ритмической системой, процессы железа служат, разумеется, всему организму, то есть действие его направляется как в сторону нейросенсорного полюса, так и к полюсу метаболизма и движения. Альбумины в нервной клетке, столь специализированной и обезжизненной, постоянно подвергаются риску распада. Нервная клетка так же, как и эритроцит, не способна к размножению, но в противоположность эритроциту она невозобновима, однако должна существовать в течение всей жизни. Следовательно, необходимо, чтобы она оживлялась извне посредством крови, приносящей ей кислород. Удивительно наблюдать, как мозг, который представляет менее одной сороковой массы тела, потребляет 18% вдыхаемого кислорода, не выполняя при этом никакой физической работы. Этот интенсивный приток кислорода показывает, на сколько же должны быть физиологически скомпенсированы процессы деградации нервной ткани. Дыхание нервной ткани нуждается в железе и в виде дыхательных ферментов — цитохромов.
На другом краю организма, на метаболическом полюсе, мы вновь находим деятельность, связанную с присутствием железа, а именно желчную деятельность. Она может рассматриваться как завершение кровяного процесса. Существует полярность между железом (как минеральным элементом) и теплотой, порождаемой «Я» в крови с другой стороны, теплотой, без которой это «Я» не смогло бы проявиться.
Железо обращается к «Я», которое создает теплоту, необходимую для своего проявления. На физиологическом уровне печени оба элемента этой полярности диссоциируют: железо выпадает в осадок, а теплота импульсами вытекает в виде желчи, всегда относящейся к элементу ОГОНЬ. Желчный пузырь, собрав желчь, направляет ее в тонкий кишечник навстречу жировым веществам. Интересно напомнить, что в растительном мире жиры появляются в семенах, то есть на самом зрелом, огненном полюсе растения, где они концентрируют в себе солнечное тепло. Как и все вещества внешней природы, жиры могут проникнуть в кровь, только освободившись от своих вещественных характеристик. Этот процесс освобождения жиров — «детей теплоты» — от присущих им до попадания в организм свойств может быть выполнен, только соответствующей им силой, а именно, силой «огня желчи». И только после этой работы по их расплавлению жиры могут преодолеть пищеварительную стенку, излиться в кровь и отдать свое тепло организму. Аналогичное рассуждение приемлемо и для животных жиров, хотя они уже были частично трансформированы и приближены к человеческой физиологии, пройдя через животный организм.
Теплота и воля.
Теплота необходима человеку как физиологическая основа для проявления воли; холод парализует организм, а мускульная активность не может проявляться в отсутствие железа, которое содержится в мышце в виде миоглобина. Благодаря железу, Марс может проявляться во внешней активности человека. Это лишний раз показывает, до какой степени метаболизм и движение тесно связаны, и когда Р. Штейнер характеризует нижний полюс человека как полюс «метаболизма и движения», то эта ассоциация действительно не имеет ничего общего с произволом. Обратимся теперь к таблице, приведенной в конце главы 21 («Марс и Венера»). С одной стороны, мы найдем там расстройства, вызванные недостаточностью первого потока Марса. С другой стороны, мы обнаружим вверху справа заболевания, связанные с избытком первого потока Венеры. Сравним теперь эти две группы заболеваний с тем, что мы сказали о роли железа в организме, и мы увидим, что как одни, так и другие могут рассматриваться как выражение недостатка этого металла. Следовательно, для их лечения мы обратимся именно к железу, точнее, к тем силам, носителем которых он является. Посмотрим теперь, в каких формах мы прописываем железо.
Сульфид железа и избыток альбуминизации.
Когда преобладают процессы ассимиляции и «альбуминизи-рующие» тенденции изобилуют на верхнем полюсе, им противопоставляется железо в виде пирита — Pyrit в растертом виде, как правило, в D3. Это средство широкого диапазона, на которое хорошо реагируют бронхиты, ларингиты, ангины и т. д. Его хорошо назначать попеременно с Cinnabaris D20 Trit, о котором уже говорилось в предыдущей главе. Пирит входит также в состав препарата Kephalodoron (в его состав входит железо, сера, кремний и мед) — медикамента, специфичного для лечения мигрени. Почему здесь участвует пирит? Какова в этих случаях роль серы? Р. Штейнер описал ее действие очень выразительным образом: «...сера, — сказал он, — увлажняет пальцы, которые лепят альбумин, подобно горшечнику, который смачивает пальцы, чтобы обрабатывать глину». Таким образом, сера служит, посредником между железом и белками; она подводит к ним металл.
Пневмонии и бронхиты.
В некоторых случаях серы не хватает и приходится прибегать к фосфору (Infludo, Ferrum phos. сотр.). При более тяжелых легочных заболеваниях: пневмониях, плевритах, бронхитах, необходимо использовать Пневмодорон (Pneumodoron) 1 и 2 (I: Aconitum napel. 0,05%/Bryonia rad.0,1%; II: Phosphorus D5 / Tartarus stibiatus D3), назначая эти два медикамента попеременно через 1 или 2 часа из расчета, в среднем, по 10 капель на прием. Это лекарство не содержит железа, поэтому к нему рекомендуется добавлять Ferrum phosphoricum D8 в подкожных инъекциях, особенно при высокой температуре.
Железо при туберкулезе.
Когда при легочном туберкулезе мы прописываем Ferrum chloratum сотр., мы воздействуем на альбумины, начиная с уровня стадии пищеварения; пирит действует на другом уровне: между процессами крови и дыханием. Обычно Ferrum chloratum D3-D6 показан в случаях недостаточного или замедленного кровообращения при опущении желудка и при анемиях с явными пищеварительными расстройствами[101]
. Хотя они тесно связаны с железом, мы не будем возвращаться к уже изложенному в первом томе лечению гипохромных анемий и хлорозов. Напомним, однако, что в этих ситуациях прибегают к «железному процессу», в некоторых растениях энергетически даже более выраженному, нежели в самом металле (Urtica dioica — Fragaria vesca). В тяжелых случаях хорошо начинать с инъекций «вегетабилизированного» металла: Urtica Ferro culta 0,1% (D3) по 1 мл 2—3 раза в неделю на уровне левой надостной ямки[102]
.
Железо в период реконвалесценции (выздоровле
ния).
При лихорадящих заболеваниях «Я» должно предпринять особые усилия в организме. Успешно одержав победу над болезненным процессом, оно желало бы временно «отдохнуть» — дистанцироваться от организма. Ему необходимо как бы «перевести дух», но ему не следует слишком задерживаться в состоянии безразличия по отношению к организму. Мы поможем человеческому «Я» вновь найти «вход» в жизненный поток физического тела, применив метеорное железо в сочетании с гомеопатизир-пованным экстрактом поджелудочной железы животного, так как этот орган является настоящей опорой для «Я». Итак, в период выздоровления мы прописываем Ferrum sidereum D10 / Pancreas D6, Trit., на кончике кофейной ложки 3 раза в день до еды.
Укрепление нервной системы.
Когда распад альбуминов угрожает нервной системе, мы используем чистый металл в высокой динамизации, так как имеем в виду поддержку верхнего полюса организма. При всех дегенеративных заболеваниях нервной системы назначают Ferrum metallicum praeparatum D20-D30, в случае необходимости, одновременно с серебром. Можно также использовать природный арсенат железа — скородит, особенно показанный при лечении последствий (остаточных явлений) полиомиелита и для их предупреждения: Skorodit D30 amp, подкожные инъекции через день. Мышьяк обращается к астральному телу («арсенизировать — значит астрализировать» — говорил Р. Штейнер), а его композиция с железом приводит к «высшему объединению» «Я» с астральным телом.
«Левико» и показания к его применению.
Левико (Levico), вода из уникального источника в Италии, о котором мы говорили немного выше, создает невоспроизводимый в лаборатории комплекс меди, железа и мышьяка. Р. Штейнер говорит об этих минеральных водах, что они несут в себе компенсирующие силы железа, меди и, благодаря мышьяку, расширяют поле деятельности этого восстанавливающего эффекта. Если дать простую смесь железа и меди, мы добились бы не компенсации, а уничтожения их эффектов. Зато их природное соединение имеет гармонизирующий эффект. Благодаря мышьяку этот эффект перемещается на верхний, астральный план. Действительно, Levico является замечательным лечебным средством при некоторых расстройствах равновесия астрального тела, как это иногда встречается в различные периоды детства. Итак, часто бывает полезно начинать лечение с Levico D3 Dil., 5— 10 капель в зависимости от возраста, перед едой. Детям, имеющим склонность к бессоннице, следует избегать давать Levico вечером.
Железо и функция желчи.
Катаральная желтуха и расстройства желчеотделения являются важной областью марсианской терапии. Тем не менее было бы опрометчивым стимулировать заблокированную функцию желчи в начальной стадии гепатита. Разумнее сначала «разблокировать» ее с помощью Mercurius dulcis D4 или D6, Trit. Затем, когда стул вновь начнет окрашиваться, можно использовать железо в виде мази: Ferrum 0,4%, Ung., накладывая ее на гепатовезикулярную область. Можно также назначать вегетабилизированный металл: Chelidonium Ferro cultum 0,1%.
Лечение заикания.
Если вспомнить, что особенностью второго потока Марса является способность говорить и кричать, то будет логично использовать железо при расстройствах речи. Р. Штейнер рекомендовал использовать пирит при заикании. Можно дать Pyrit 1%—5% в размельченном виде величиной с горошину, три раза в день, во время или после еды. Пятипроцентный препарат, принятый до еды, может вызвать желудочно-кишечные расстройства. В то же время рекомендуется один раз в день накладывать немного медной мази между лопатками (Cuprum 0,1% Ung.) чтобы смягчить спастический характер этого заболевания. Здесь мы имеем замечательный пример лечения: уравновешивание двух полярностей. Говоря о голосе, нужно также вспомнить, что слабый голос часто выражает определенную робость и всегда должен указывать на терапию железом.
Блондины больше нуждаются в железе, чем брю
неты.
Железо — металл инкарнации, поэтому оно чаще должно назначаться блондинам и рыжим, обычно неглубоко воплощенным по сравнению с брюнетами. Мы обязательно прописываем железо его альбиносам, например, в виде Ferrum silicicum nat. (Nontronit) D12, Trit., в котором кремний направляет действие железа к периферии. Тот же самый препарат может быть использован при кожной депигментации: витилиго и пр. Хотя это может показаться парадоксальным, но к железу обращаются также при меланозах, но направляя его действие к нужному органу (печень — надпочечник).
Другие признаки недостаточной инкарнации: зябкость и охлаждение конечностей, должны также заставить подумать о железе. Urtica dioica 5% в D3 — отличное средство в этих случаях. Слабость «Я» в процессах воплощения может вызвать головокружения и тенденцию к обморокам. В этих случаях мы приписываем лекарство, предложенное Р. Штейнер: Ferrum с. Aceto praep 2% или 5%, Trit. В период беременности хорошо пополнить недостаток железа Ferrum pomatum 1%, dil., 10 капель три раза в день. Можно также давать пациенту каждый вечер по одному яблоку, в которое за сутки до этого воткнуть по самую шляпку 4 гвоздя, причем эти гвозди вновь могут использоваться для яблока, предназначенного на следующий день (таким путем мы простым способом получаем яблочно-кислое железо).
Железо и психические расстройства.
Железо ценно при лечении неврозов и психозов. Оно позволяет вновь обрести бодрость жизни, и особенно показано подавленным больным в начале лечения (в некоторых случаях после предварительного лечения серебром). Для таких больных мы применяем вегетабилизирован-ный металл: Chelidonium Ferrum cultum D3 amp, 2— 3 подкожных инъекции в неделю в точку Мерфи, т. к. именно через желчный процесс мы пытаемся стимулировать волю (Можно вместо инъекций прописать и капли D2). Более широко железо может использоваться при страхах и тревогах. Страх окружения, который мы связываем с легкими, потребует не только ртути, но и железа. В данном случае можно дать Urtica Ferro culta D3 per os или в инъекциях. При тревожных состояниях мы прибегаем к Ferrum arsenicosum или к Levico (D6-D12 и выше), учитывая, таким образом, астральную составляющую этого симптома. У усталых, беспокойных субъектов с инфильтрированной кожей, часто женщин, Ferrum arsenicosum D3 Trit. дает хорошие результаты.
Показания для железа не претендуют на исчерпанность темы; они всего лишь путеводная нить в широком диапазоне марсианской терапии и показывают, насколько обоснована поговорка «qui nescit Martern nescit artem».
ГЛАВА ДВАДЦАТЬ ДЕВЯТАЯ
Медь
Медь привлекает к себе взгляд, как бы зовет руку человека прикоснуться к ней, одним словом, вызывает безусловную симпатию, причем больше, чем другие металлы. В любой квартире предметы из меди создают ощущения тепла и уюта. В отличие от вечно агрессивного железа медь, образно говоря, стремится к дружбе. Изделие из железа побуждает к действию, а медь располагает к радушию, принимает, она металл — реципиент, предназначенный преимущественно принимать. Не всегда бывает приятно взять в руку предмет из железа, поэтому железный инструмент, например ножи, обычно снабжены деревянными рукоятками. Нож, целиком сделанный из металла, скорее отбивает аппетит, чем помогает ему. Некоторые чувствительные люди испытывают настоящее отвращение, беря в руки железные предметы. Контакт же с медью, наоборот, вызывает приятное ощущение. Ее любят держать в руке, так как тепло тела идет навстречу тому, что излучается от нее.
Красота расцветок.
Хорошо отполированная медь обладает живым розовым блеском, напоминающим румянец на лице. Медное зеркало отражает нам румяный образ, свидетельствующий о цветущем здоровье. Оставленный на воздухе металл начинает «наряжаться» в более теплые тона, затем постепенно тускнеет и принимает бронзовый оттенок. Со временем он покрывается прекрасным манто — миндально-зеленой патиной, еще больше оттеняющей его элегантность, постоянно предохраняющей его от ненастий, превращающей медь в идеальное покрытие для соборов. Какое отличие от железа, которое до основания разъедает язва ржавчины!
Цветовая гамма, происходящая от железа, поражает своим богатством. Цвета меди не столь разнообразны, но притягивают своим качеством, своей живостью, в них преобладают переливающиеся оттенки красного, радужные отблески. Итак, медь пробуждает чувство удовольствия; не без основания алхимики называли ее «куртизанкой металлов» — «Meretrix metallorum». Поистине медь — металл Афродиты, привлекающий, как и она, и взгляды, и руку.
Полярность «медь
— железо».
Если расположить металлы по кругу, как мы это уже делали на рисунке 9, медь и железо займут симметричные позиции по отношению к оси, проходящей через золото, обнаруживая, тем самым, полярность, которая их разъединяет. Если рассмотреть их электрическое сродство, то обнаружим исключительную симметрию между электропозитивностью железа при +34°С и электронегативностью меди при — 34°С. Медь — металл довольно твердый, а по тягучести стоит в классификации семи основных металлов после железа, как свидетельствует об этом нижеследующая таблица:
Таблица 10
Тягучесть семи основных металлов в кг/мм3
| Железо 60
|
Олово 3,9
|
| Медь 35
|
Свинец 2,4
|
| Серебро 28
|
Ртуть 0
|
| Золото 16
|
Твердость меди увеличивается еще при холодной ковке, а умеренный нагрев позволяет проявиться всей полноте этого ее свойства, причем оно не теряется и во время быстрого охлаждения. Следовательно, медь не поддается закалке, как железо. В сплаве с оловом медь образует бронзу — сплав, более твердый, чем она сама, но менее твердый, чем железо, что позволяет изготавливать бронзовые орудия труда. В противоположность железу бронза не дает искр, когда по ней бьют кремнем. Поэтому на пороховых заводах используется бронзовый инструмент, любые же детали из железа исключены именно из-за опасности искрения.
Ковкость меди превратила ее по преимуществу в металл медника (жестянщика). Ей можно придать все желаемые формы. В антагонизме между медью, выдерживающей напряжение и сталью, которая не деформируется под ударами молота, мы вновь находим все то, в чем Венера противопоставлена Марсу. Кроме того медь — это металл, который лучше всего поддается обработке гравера, так как позволяет делать очень мелкие насечки или травление кислотой. Эта замечательная чувствительность меди удивительным образом проявляется в «методе чувствительной кристаллизации» по Пфайферу, где для косвенного выявления действия эфирных сил используется именно хлорид меди. Приведенная ниже таблица резюмирует эту полярность между железом и медью.
Таблица 11
Полярность медь/железо
| Характеристики
|
МЕДЬ
|
ЖЕЛЕЗО
|
| Реакция на свет
|
Блестящая, теплая
|
Тусклое, серое
|
| Звучность
|
Нежная
|
Резкая
|
| Контакт
|
Удовольствие
|
Неудовольствие
|
| Электропроводность и теплопроводность
|
Хорошие
|
Плохие
|
| Ковкость
|
Поддается изменению формы
|
С трудом обрабатывается на холоде
|
| Использование
|
Принимающее
|
Агрессивное
|
| Проницаемость
|
Для электричества
|
Для магнетизма
|
| Заряд
|
Отрицательный (-34-)
|
Положительный (+34-)
|
| Валентность
|
Одновалентная
|
Двухвалентное
|
| Окраска минералов
|
Разнообразная окраска, блеск
|
Землистых оттенков
|
| Распространенность минералов
|
Редко встречающиеся
|
Широко распространенные
|
Медь и железо вместе.
Противоположные свойств меди и железа не мешают им нередко выступать вместе, как в человеческом организме, так и в природе. Эта их особенность используется в технике при производстве приборов, в которых имеется электрическая и магнитная части (электромагниты, динамомашины, электромоторы, трансформаторы, реле и т.д.): медь хороший проводник электричества, она способствует появлению магнитных полей различной интенсивности, а вот концентрировать и проводить эти поля позволяет только железо. Каждый из них в отдельности не смог бы реализовать то, что позволяет их союз.
Однако, такое объединение сил электричества и магнетизма, принадлежащих к мощнейшим силам земной природы, — или, лучше сказать, — «под-природы», может представлять серьезную угрозу свободе человека и человечества в целом, если мы в построении нашей цивилизации не будем предпринимать надлежащих мер предосторожности. Дело в том, что, будучи предоставлены сами себе, они не только оказывают множество технических услуг, позволяющих делать нашу жизнь с внешней стороны все более удобной и комфортной, но и оказывают на наше тело, душу и дух истощающее, мертвящее воздействие. Результаты этого воздействия пронизывают все области личной и общественной жизни. Никакие «экологические» предприятия не способны всерьез повлиять на сдерживание господства этих сил «под-природы» в нашей современной земной жизни, поскольку все они лишь чувствуют и понимают угрозу со стороны «под-природы», но не предлагают адекватных мер, способных в корне изменить ситуацию. Вопрос, разумеется, не в том, чтобы отказываться от услуг этих сил, но в том, чтобы каждый человек в отдельности понял необходимость противопоставления им сил «сверх-природных», то есть собственную душевную и духовную активность. Человеку следует по-человечески бодрствовать, а это предполагает мыслительное, эстетическое и моральное бодрствование, только тогда он оказывается господином этих сил. В еще большей мере это касается сил ядерного распада... Подробное изложение этой темы выходит за рамки данной работы, да и вообще узко медицинской сферы. Однако вдумчивый читатель поймет актуальность сказанного и ту роль, которую могут сыграть антропософская медицина и антропософские идеи вообще в исправлении создавшегося положения.
Разнообразие химического сродства.
Но вернемся к меди. Медь не была бы металлом Афродиты, если бы она не вступала в соединения с различными элементами. Однако медь всегда сохраняет, если не истинное благородство, то определенную разборчивость и элегантность, проявляющуюся в красоте ее солей. Она легко подвергается воздействию даже слабых кислот, но эти соединения нестойки, и она легко возвращается в металлическое состояние. Поэтому медь часто находят в самородках в виде прекрасного древовидного разветвления. Следовательно, благодаря своим химическим свойствам, медь также является «meretrix metallorum».
Медные руды весьма разнообразны. Здесь представлена почти вся мыслимая цветовая гамма: красный и коричневый цвета куприта с металлическим блеском (показатель преломления света этих кристаллов выше, чем у алмаза); желтовато-золотистый цвет халькопирита; зеленые оттенки малахита, оливенита и блестящего диоптаза; голубой цвет азурита и фиолетовый ковелина. Один только борнит объединяет в своих радужных переливах все богатство этой планеты. Даже черный цвет представлен некоторыми разновидностями халькозина.
Основные руды.
Основными разрабатываемыми медными рудами являются сульфиды, расположенные, в основном, на хорошей глубине. Когда жилы находятся вблизи поверхности, они подвергаются влиянию атмосферных агентов и трансформируются в карбонаты (малахит и азурит) или в окислы (куприт). Медь часто соединяется со своим «противником» железом (как серебро со свинцом) и образует вместе с ним различные руды (борнит, халькопирит, эрубесцит).
География меди.
Интересные особенности представляет собой распределение меди по поверхности Земли. Чтобы их понять, нужно представить себе Землю в прад-ревних стадиях ее развития. Если допустить теорию Ве-генера о дрейфе континентов, то можно представить себе их положение на земном глобусе до начала дрейфа (рис. 18). Периферические области сильно деформированы; только Африка, расположенная в центре, более или менее сохраняет свою форму. Мы видим, как Южная Америка совмещается с Африкой, а Северная Америка с Европой, при этом место, которое, вероятно, занимала Атлантида, остается свободным. К востоку от Африки располагается австралийский континент, составлявший, возможно, часть исчезнувшего континента Лемурии. Континентальная масса, составленная объединением Европы, Африки, обеими Америками и Австралией, представляет то, что Гюнтер Ваксмут[103]
, работая над данными Р. Штейнера, назвал атлантическим полюсом. Земля, с еще не отделенной от нее Луной, имела в то время форму вращающегося эллипсоида (рис. 19).

Рис. 18. Атлантический полюс и круг меди. Ей: Европа.
As:
Азия
AM
.
N
: Северная Америка
AM
.
S
- Южная Америка
АЛ. Атлантида.
LE
— Лемурия
AU
: Австралия. Главные
месторождения: 1. Нью-Мексико; 2. Канада; 3. Южный
Урал; 4. Австралия; 5. Катанга - круг меди.
Один край составлял атлантический полюс, а другой — тихоокеанский, от которого позже отделилась Луна. На восстановленную массу атлантического полюса (рис. 18) мы перенесли главные залежи меди: Канада, штат Новая Мексика, Чили, Катанга, Урал и Австралия. Мы видим, как эти названия расположились по малой окружности Атлантического полюса, с приблизительным центром возле массива Хоггар на Тропике Рака. Радиус этого круга соответствует углу в центре 46°20', т. е. точному значению угла, совпадающего с тем, под каким мы наблюдаем Венеру — планету меди — во время ее самой большой элонгации.

Рис. 19. Земной эллипсоид до отделения Луны.
Рисунки 18 и 19 в своем начертании несколько отличаются от данных Ваксмута. Атлантический полюс находится на тропике Рака (у Ваксмута он на экваторе), следовательно, тихоокеанский полюс смещается ниже; на рисунке 19 он соответствует впадине Тонга, самой глубокой во всем мировом океане (10882 м). Австралия находится напротив Африканского континента, а Вакс-мут расположил ее почти на ее нынешнем месте, к востоку от древней Лемурии. Можно подумать, что когда Луна отошла от Земли (смещаясь сквозь тихоокеанский полюс), лемуро-австралийский континент продрейфовал и частично опрокинулся в образовавшуюся пустоту. Современная Австралия, представляющая крайнюю часть тихоокеанского полюса, вероятно, является остатком Лемурии. Опираясь на этот тезис, отметим существование подводного плато от Австралии до впадины Танго, которая, наверно, также является остатком Лемурии. Азиатский континент, вероятно, тоже испытал незначительный дрейф к востоку, породив на свет Красное море, Персидский залив и, может быть, Каспийское море. Можно предположить, что в эпоху образования меди Земля вращалась вокруг оси Хоггар-Тонга, при этом атлантический полюс по-прежнему был ориентирован к Солнцу. Тогда окружность, по которой распределена медь, является геометрическим местом точек, с которых видна Венера во время самой большой элонгации, и испытывающих, главным образом, ее влияние. Это подтверждает высказывания Р. Штейнера о том, что «медь образовалась под непосредственным влиянием Венеры»[104]
. Отметим еще, что когда мы переходим за пределы круга меди по направлению к Азии, залежи меди встречаются все более и более редко.
Медь в растительном царстве...
Однако в небольшом количестве медь встречается по всей Земле. Несмотря на то, что она встречается почти в 10 раз меньше железа, в природе медь играет не менее важную роль. Присутствие следов меди необходимо для формирования хлорофилла (хотя сам хлорофилл ее не содержит). Отсутствие меди в растениях вызывает пороки развития, особенно в листьях. В лекции от 31.10.1923 г. Р. Штейнер говорит об экспериментах, проводившихся в Штуттгарте на растениях, у которых динамизированная медь вызывала появление тканевых складок по окружности листа. Если следовое содержание меди необходимо для высших растений, то для низших — грибов и водорослей, — наоборот, этот металл оказывается токсичным. Отметим также, что присутствие меди оказывается необходимым для активности витамина B1
и что его содержание в растительных и животных тканях варьируется соответственно содержанию этого металла.
...
и в царстве животных.
Медь необходима как для растительного, так и для животного организма. У многих беспозвоночных она обнаруживается в виде гемоци-анина, дыхательного пигмента, где медь играет роль, аналогичную роли железа в гемоглобине теплокровных животных. Все животные, дышащие с помощью меди (моллюски, кишечно-полостные, ракообразные), имеют одну общую черту: преобладание метаболизма и функций ассимиляции. Так, устрица почти полностью состоит из живой белковой массы, мало «структурированной» и не переносящей в своем организме минерального элемента, который она отторгает, выделает из себя в виде раковины. Все процессы проявления вовне (экстериоризации), свойственные высшим животным и биохимически обусловленные присутствием железа: свободное перемещение в пространстве, способность издавать звуки, крики и пр. — у нее отсутствуют. В сущности, устрица есть только ассимиляция, интериоризация и жизнь. Недаром Венера всегда представлялась мифологическому сознанию рождающейся из раковины — то есть из простого морского «питательного» элемента. Она не является символом лунных функций воспроизводства, как это часто думают, но символом ассимиляции, восприимчивости и интериоризации, которые преобладают в особях женского пола, а также символом окутывания и защиты — как раковина для моллюска.
Противоположностью моллюскам во многом являются птицы — сильно высушенные воздушные животных. Интересно, что в их организме медь переместилась к периферии, у ряда птичьих родов она участвует в пигментации оперения. Здесь доминирует другой венерианский элемент — украшение. Иными словами, здесь медь находится на службе у другой формы астральности, имеющей вектор не вовнутрь, но вовне.
Можно заметить, что медь участвует в окрашивании и других животных, а также играет некоторую роль в пигментации человека. Шерсть белых кроликов менее богата медью, чем темных, а у собак и кошек, пятнистых или тигровых темные шкурки содержат меди больше, чем светлые. У человека образование меланина связано с присутствием меди.
Медь в организме.
Все ткани человеческого организма содержат медь. Субъект среднего веса содержит ее от 0,2 до 0,3 грамма, т. е. приблизительно в 10 раз меньше, чем железа. Мы вновь увидим здесь соотношение один к десяти (1/10), характеризующее пропорцию этих металлов в земной коре.
Органом, наиболее богатым медью является печень, главный венозный орган ассимиляции (а не почка, функционально связанная с силами Венеры). Этот факт, вероятно, указывает на процесс создания резерва меди в организме подобно аналогичному запасающему процессу для железа. Кстати, в селезенке и легком содержание меди значительно ниже среднего уровня. Сыворотка мужчины содержит около 97 g% меди, а сыворотка женщины — 106 g%. Следовательно, существует инверсия соотношений железа и меди в зависимости от пола: в пользу железа у мужчин и в пользу меди у женщин. У беременной женщины содержание сывороточной меди поднимается до 230 g%. Вообще же оно возрастает пропорционально метаболической активности. Так, содержание сывороточной меди растет при гипертиреозе, а также при раке. Как показал X. Мюллер в статье: «Precancerose, méthodes de diagnostic et prophylaxie» Compte-rendu des conferences, Colloque medical, Arjesheim, 1973), — изменения соотношений меди и железа в сыворотке крови являются ценным «гидом» в ходе лечения и в отношении прогноза у раковых больных. Интересно также отметить рост сывороточной меди при некоторых психических заболеваниях, таких как шизофрения и эпилепсия, болезнях, при которых «Я» не обеспечивает больше своей контрольной функции над деятельностью астрального тела. Повышение сывороточной меди отмечается к тому же при желчных заболеваниях, сопровождаемых желтухой, при которых процесс железа ослаблен.
Токсичность меди.
В течение долгого времени медь считалась сильным ядом. Но она значительно менее токсична, чем свинец или ртуть, а иногда сама по себе может вызывать благоприятные эффекты и вне медицинского применения. Так, рабочие, постоянно имеющие дело с металлической медью, нередко оказывались более стойкими к холере. Справочник Симонена (Simonin, Medicine du Travail, Librairie Maloine) не упоминает о профессиональных заболеваниях, вызываемых медью. Однако, поглощение значительного количества солей меди вызывает кишечно-желудочные расстройства: диарею, рвоту, спазмы желудка, дисфагию. Последствия приема внутрь малых количеств меди прекрасно описаны Хуго Щульцем[105]
: появляются психические симптомы, такие как меланхолия, депрессия, тревоги, страх смерти, дезориентация, потеря памяти и бессвязность мыслей. К этим расстройствам сознания добавляются головокружения, чувство тяжести, приливы крови к голове; учащение пульса, который становится жестким, малым, а все тело — холодным. Легочная плетора выражается ощущением сдавливания грудной клетки, напряжения и интенсивной одышкой. Наблюдается также холодный пот, охриплость из-за инфекции слизистых. Отмечаются болезненные спазмы и судороги мышц. Все эти симптомы, описанные Шульцем, отражают недостаточность или отсутствие контроля со стороны «Я» над астральным телом.
Болезнь Вильсона.
Болезнь Вильсона или гепатолен-тикулярная дегенерация относится к наследственным заболеваниям, связанным с дефектом обмена меди и аминокислот. Для этой болезни характерны мышечная ригидность, тремор, зрительные и психические расстройства. Кроме этого, ей присущ интересный симптом: кажется, что кожа больного «инфильтрирована» воздухом и при прикосновении производит впечатление, как-будто набитая ватой, что можно трактовать как выраженный венери-анский симптом. К большому счастью речь идет о редком заболевании, но указанный кожный симптом встречается в ослабленной форме довольно часто сам по себе, кожа при этом просто производит впечатление исключительной нежности и эластичности. Нетронутой этим изменением кожного покрова сохраняется только параорбитальная область, и лица таких пациентов сразу привлекают внимание постоянными кругами и как бы «провалами» вокруг глаз.
Медь и ассимиляция.
Медь, говорит Р. Штейнер, находится в родстве с нижней областью организма, со всем, что происходит ниже диафрагмы, с ассимиляцией, с теплотой, а также с образованием лимфы и крови. Следовательно, мы будем использовать этот металл в низких потенциях в связи с выраженным его сродством к нижнему полюсу организма. Среди прописей Р. Штейнера отдельным больным самая высокая потенция меди, которую я встретил, — D10. Наиболее употребляемыми динамизациями являются D4-D6. В лекции, прочитанной в Торкви 14.08.1924 г. Штейнер делает одно весьма знаменательное высказывание в отношении меди, правда, не в связи с ее медицинским применением: «Когда новообращенному в (мистические. — прим. ред.)
таинства древней Халдеи, после тщательной подготовки посредством духовных упражнений, предписывали принимать внутрь очень тонко дозированную медь, — сегодня мы бы сказали: медь в высокой гомеопатической динамизации, — то у него складывалось впечатление, что теперь все, что он говорит, все его слова несут в себе больше теплоты, так как нервы, ведущие от гортани к мозгу, разогревались (вследствие этой процедуры. — прим. ред.).
У наших современников такая же динамизация меди вызвала бы заболевание гортани. В области выше сердца медь связана с гортанью, а ниже сердца — с органами пищеварения». В другом месте[106]
Лекция от 18.04.1921 г. Р. Штейнер уточняет, что это действие меди на пищеварительный полюс касается процессов, которые происходят за кишечной стенкой. Таким образом, мы точно находимся в области ассимиляции и в области, названной в первом томе, областью почечного излучения.
Таким образом, медь будет основным средством при расстройствах ассимиляции, обусловленных слабостью или недостаточностью первого потока Венеры (см. таблицу к главе 21). Худоба, кахексия, недомогание и т. д. будут показаниями для Cuprum sulfuricum D4-D6. Применение меди в виде мази часто дает хорошие результаты. Грудному ребенку, страдающему недостаточностью переваривания, делают растирания ножек небольшим количеством мази (величиной с чечевицу) Cuprum 0,1 % Ung.
Средство от абдоминального туберкулеза.
Абдоминальный туберкулез является основным показанием для меди. При туберкулезе тонкого кишечника прописывается Cuprum sulfuricum comp. (Coffea tosta 30%/ Cuprum suif. D2/ Plumbum praep D15) 7 капель (или крупинок) три раза в день. В случае поражения толстого кишечника, наоборот, нужно назначать Mercurius viv. comp. При почечном туберкулезе применяется карбонат меди — малахит, и прописывается Malachit D6 в три-турации или в каплях (на кончике ножа или по 7 капель три раза в день).
Прогревание медью.
Медь обладает замечательным действием на тепловой организм. Ее прописывают зябким людям, тем, кто страдают охлаждением конечностей, и при заболеваниях, являющихся результатом этого состояния (фибромы, аппендициты, циститы и т.д.). Этим больным назначается растирание конечностей мазью Cuprum 0,4% Ung. Им хорошо бы носить стельки с тонкой медной пластиной. При аппендицитах рекомендуется растирание колен все той же мазью, так как существует определенная связь между коленями и аппендицитом, которая, я полагаю, хорошо известна специалистам по акупунктуре. При холодных руках больным необходимо каждый вечер крутить в руках медный шарик (конечно, речь всегда идет о красной меди, а не о латуни).
Медь и анемии.
В силу воздействия меди на гемопоэз, ее прописывают при анемиях. Впрочем, среди них есть такие, которые совершенно не реагируют на железо, если одновременно не применяется медь. И здесь снова медь и железо идут «рука об руку». Вообще, ежедневным втиранием медной мази в область селезенки можно эффективно дополнить марсианическое лечение железом.
Медь и венозное кровообращение.
Медь также является базовым медикаментом против венозных застоев: варикозов, геморроев, портального застоя и т.д. Возможно, что тепловое воздействие меди на конечности происходит в связи с ее стимулирующим действием на «возвратное» кровообращение. Действительно, венозная кровь, которая уступает силе тяжести и застаивается в сосудах, расширяя их, является косвенным препятствием артериальному давлению. Устраняя это препятствие, активизируя венозное кровообращение, мы облегчаем также циркуляцию артериальной крови. Здесь опять Венера и Марс «подают друг другу руки» и дополняют друг друга. Лечение, главным образом, будет наружным: растирание ног по направлению к сердцу 2—3 раза в неделю с небольшим количеством мази Cuprum 0,4% Ung. или медным тонизирующим лосьоном Weleda, а также ношение стелек с медью. Применяется дополнительно внутреннее лечение Kalium acet с. Stibio D3, Trit. на кончике ножа три раза в день и, в некоторых случаях, Hirudo и Lachesis. Растирание ног медной мазью следует систематически назначать во время беременности.
Антиспастическое средство.
Силы меди, говорит Р. Штейнер, в какой-то мере противостоят силам железа, и, вследствие этого, мы будем обращаться к ним, когда первый поток Марса проявляется слишком интенсивно. Так, при гипертониях, связанных с избытком «почечного излучения», Chamomilla Cupro culta D2 (0,1 %), в виде подкожных инъекций 2—3 раза в неделю будет предпочтительным средством для снятия артериального спазма. Медь во всех своих формах является по преимуществу антиспастическим средством и прописывается при спазмах в виде мази, в частности, при околопупочных коликах у детей, являющихся причиной большого количества бессмысленных хирургических операций (аппендэктомий), а также при пилороспазмах и спастических запорах. Втирания надо производить медленно вокруг пупка в направлении по часовой стрелке, с умеренным нажимом. Помимо этого, наилучшим местом для наружного воздействия медью является солнечное сплетение. Антиспазматическое действие меди также проявляется при тиках и при хорее Сиденгама или пляске святого Витта, о чем мы уже говорили в первом томе. Кроме того, медь будет основным медикаментом при спазмофилиях и тетаниях. Д-р Хольцапфель рекомендует в этих случаях форму Chamomilla Cupro culta D2 (D3).
Спастические кашли, в том числе коклюш, также поддаются лечению именно медью — Cuprum aceticum D3, dil (= Пертудорон II). Напомним действие меди при заикании. При астме, о связи которой с нарушением почечных функций мы уже упоминали, Cuprum D5 Trit тоже окажет действие на бронхоспазм. Каждому астматику, в принципе, показано втирание мази меди или мази меди в сочетании с табаком (Cuprum 0,4%/Nicotiana D6) в область почек (реберно-позвоночные углы).
Медь и почки.
Лечение препаратами меди может с большим успехом применяться при всех хронических заболеваниях почек: почечная недостаточность, нефрит, нефросклероз; но также и при психических расстройствах, связанных с почками, одной из характеристик которых является освобождение астрального тела из под контроля «Я», что д-р Трайхлер[107]
характеризует двойным термином: возбуждение-отупение, указывая тем самым на главные симптомы, между которыми «колеблются» эти больные.
Медь и гипертиреоз.
Медь, говорит Р. Штейнер в лекции, прочитанной на конференции 29.08.1924 г., помогает организации »Я» восстановить равновесие по отношению к астральному телу. Таким образом, этот металл представляет тип лекарства не только для лечения упомянутых выше психических заболеваний, но также при заболеваниях, при которых эмансипация астрального тела особенно касается «функционального» плана. Таким случаем является Базедова болезнь, при которой антропософская медицина прописывает обычно Cuprum sulfuricum naturale D4 (минерал куприт) или Cuprum metallicum D4. В случае одного пациента, который проходил у меня лечение в период редакции первого тома, когда куприт не дал ожидаемых результатов, я получил сенсационное уменьшение тахикардии со 140 до 80 ударов в минуту за две недели с помощью вегетабилизированного металла: Mellissa Cupro culta D2 (0,1%) per os, по 10 капель 3 раза в день. Хотя это касается другого металла, напомним, что этих больных можно потом стабилизировать наложением мази Argentum 0,4% на переднюю область шеи перед сном.
Чрезмерное превосходство астрального тела над остальными слоями организма может также проявляться не общими нарушениями (как в случае гипертиреоза), но локализоваться в некоторых органах, как мы это наблюдаем при дуоденальных язвах. Здесь медь может использоваться вместе с серебром (см. главу о серебре). У таких больных существует обычно «заинтересованность» почечной сферы; поэтому д-р Рудольф Хаушка рекомендовал сочетать медь с гомеопатизированной вытяжкой из левого надпочечника животного (препарат Glandula suprarenalis). Вдохновившись этой идеей, мы можем прописать Malachit D6/ Glandula suprarenalis D6, 10 капель 3 раза в день перед едой.
В заключение приведем еще одну любопытную мысль Р. Штеинера относительно меди, хотя она, на первый взгляд, не связана с медициной: «медь вызывает способность находить аналогии. Под ее влиянием мышление больше не тормозится физическим элементом мозга»[108]
.
Разнообразие минералов, богатство красок, множество показаний для использования в терапевтических целях характеризуют медь. Если алхимики могли сравнивать ее с куртизанкой, то мы, медики, смогли бы назвать ее «прислугой, выполняющей всю работу». Тем самым, мы присоединяемся к образу экономной хозяйки, которым пользовался д-р Б. Ливехуд, иллюстрируя первый поток Венеры.
ГЛАВА ТРИДЦАТАЯ
Золото
Металл Солнца. Золото прекрасно, блестяще, и с первого же взгляда обнаруживает свое родство с солнечным светом. Чтобы говорить о золоте, надо его иметь перед глазами. Купите листок золотой фольги у рамочного мастера или у позолотчика, попросите его поместить этот листок между двумя стеклянными пластинками и созерцайте золото, вглядывайтесь и даже вслушивайтесь в него, — оно так много может вам поведать! Золото так любит блестеть, так любит свет, что стремится занять как можно большую площадь, — золотую фольгу можно раскатать до толщины не более одной десятитысячной миллиметра. Другими словами, нужно положить друг на друга десять тысяч листков фольги, чтобы получить слой в один миллиметр, и достаточно двух граммов золота, чтобы покрыть такой фольгой поверхность площадью в один квадратный метр. Теперь посмотрите через листок фольги на Солнце — оно покажется зеленым. Действительно, такой листок так тонок, что пропускает свет, придавая ему зеленый оттенок.
Игра золота и света хранит для нас еще и другие сюрпризы. Если осадить золото раствором хлорида, то можно наблюдать, как появляется красивый красный цвет, классический пурпур. Таким образом, золото таит в себе три оттенка: золотисто-желтый, отражаемый его поверхностью, пурпурный цвет своих коллоидных растворов и зеленый цвет, как оттенок прозрачности. Можно провести эксперимент, неоспоримо доказывающий срединное расположение желтого цвета между красным и зеленым: осветите белую поверхность двумя источниками света —красным и зеленым, — и вы получите желтый[109]
. Впрочем, варьируя пропорции красного и зеленого цветов, можно получить всю гамму, разделяющую эти два цвета. Если через призму рассматривать полученную таким образом желтую поверхность, вы увидите, как она разделяется на две области: одну — красную, другую — зеленую!
Таким образом, золото содержит в себе триаду цветов — с одним главным и двумя дополнительными: красным и зеленым, которые противостоят друг другу; связующий же, центральный, «ритмический» элемент проявлен в прекрасном золотистом желтом блеске. Не удивительно ли встретить здесь вновь ту самую полярность «красный — зеленый», которую мы выявили ранее при сравнении хлорофилла и гемоглобина? Итак, мы видим, как на уровне цветовых соответствий вырисовывается связь между золотом и ритмическими областями растения и человека.
Блеск золота всегда сравнивали с солнечным светом, точно так же как блеск серебра с отражением Луны. Я точно знаю от физиков, что лунный свет пропорционально богаче желтыми лучами, и если мы фотографируем наш спутник на цветную пленку, то, к нашему большому удивлению, получаем огромный желтый шар. Но когда речь идет о цветах, то важным является не то, что измеряют физические приборы, а то, что видим и ощущаем мы сами, поскольку за цветом скрывается не одна только физическая, но и душевно-духовная реальность. Собственно, за пределами зрения конкретного человека (сюда, конечно, следует отнести и высших животных) цвет лишается смысла. Нет ничего более грустного, чем освещение лампами или трубками так называемых «дневного света», которые физически несут яркое освещение, но чей блеклый мертвый свет ни в какое сравнение не идет с золотистым сиянием солнечного света! Что же касается Луны, то если после солнечного дня мы будем наблюдать полную Луну, она покажется нам серебристой. Это так называемые «субъективные ощущения», но они отнюдь не обманывают нас, следует только вдуматься вчувствоваться в эти явления. А что до «объективности», то уже десятилетия назад открыты неоспоримые связи между золотом и Солнцем, серебром и Луной, как это показали опыты Л.Л.Колиско, А.Файфа и Фоссюрье (см.т. II, гл. 1).
Полярность «свет
— тяжесть».
Если золото является самым блестящим металлом после серебра, то среди всех семи главных металлов оно самое тяжелое — с плотностью 19,3. Мы вновь встречаемся с полярностью «легкость — тяжесть», открытую у ртути, но на один порядок выше. У ртути легкость не превышает состояния «ВОЗДУХ», тяжесть — состояния «ВОДА». Золото идет дальше, оно стремится полностью превратиться в свет, более разреженный субстрат по сравнению с воздухом. Оно либо конденсируется в одну из самых плотных масс земной коры, либо, расстилаясь тончайшим слоем фольги, действует наподобие жидкости или масляной пленки, стремясь занять только двухмерное пространство, тогда как ртуть, склонная рассеиваться до состояния «ВОЗДУХА», своими парами занимает всегда трехмерное пространство, таким образом оставаясь ближе к материи. И наоборот, при конденсации золото образует твердую массу, естественно куда более плотную, чем ртуть, и даже стремится к кристаллизации. Так, в обоих направлениях — в сторону легкости и в сторону тяжести — золото идет дальше ртути.

Учитывая высокую плотность этого металла, можно было бы ожидать, что он залегает глубоко в Земле, но ничего подобного, — золото находится либо на поверхности кремниевых горных пород, которые также в родстве со светом, либо в жилах средней глубины. Еще один любопытный факт: в верхних слоях атмосферы золото находят в коллоидном состоянии. Так, золото объединяет в себе помимо полярности красного и зеленого цветов, другую полярность — противопоставление света и тяжести, света и материи, света и темноты. Если вспомнить, что Р. Штейнер говорит о материи, что она является по сути своей конденсированным светом, то мы можем назвать золото таким «видом» конденсированного света, который сохранил даже внешне нечто от первоначального света.
Золото
— аристократ.
Золото стремится остаться самим собой; оно аристократ, избегающий смешивания с толпой. Однако оно не может, наподобие инертных газов, оставаться безучастным при любой химической реакции. Например, оно вступает в реакции с хлором, выделяющимся из царской водки или из хлоратной царской водки, образуя хлориды. Но золото упорно отказывается окисляться, по преимуществу оно — благородный металл и этим похоже на серебро. Как и в случае с серебром, с золотом тоже можно получить окислы обходным путем, используя хитрость. Но этот окисел, как и окисел серебра, крайне нестабилен и образует с нашатырным спиртом серый порошок, т.н. «гремучее золото», детонирующее при малейшем ударе. Золото реагирует также со щелочными цианидами, что позволяет извлекать его из относительно бедных руд. Щелочные цианиды, способные вступать в реакцию с золотом, являются также очень сильными ядами, действующими (любопытный факт) именно на гемоглобин крови, чьи световые свойства мы уже поставили в параллель со свойствами золота. То же самое вещество, которое парализует дыхательный пигмент, может испортить золото, похищает его у света и связывает с процессами земного химизма.
Из семи наших металлов золото — самый электроотрицательный, стремящийся в реакциях замещать собою другие металлы. Это свойство используется в фотографии для вирирования снимков, когда их помещают в раствор соли золота, этот металл замещает серебро. Обработанный таким образом отпечаток принимает стойкий коричневый теплый оттенок.
Самородки и золотые песчинки.
В отличие от других металлов в природе золото встречается только в виде самородков. Несмотря на то, что это редкий металл, он широко распространен и не так уж много горных пород, которые в принципе не могут содержать его следов. Обычно золото присутствует в земной коре в «гомеопатической» дозе, эквивалентной D9, т. е. миллиграмм на одну тонну. Золото особенно любит соседство полного света вещества, каковым является кремний, но никогда не вступает с ним в химические реакции, сохраняя свою независимость. Богатые кремнием граниты содержат в среднем 1 грамм золота на тонну, что уже эквивалентно D6. Золото также встречается в виде золотых песчинок в наносах, являющихся результатом эрозии горных пород. Из песка оно может извлекаться различными способами, самым простым из которых является лоток для промывки песка: более тяжелое золото собирается в центре лотка, а песок уносится водой. Иногда находятся более значительные массы — самородки, вес которых достигает нескольких килограммов. Самый тяжелый самородок весом 543 грамма, был обнаружен около 1850 г. пастухом из Аволь в департаменте Ардэш (Франция); это был булыжник диаметром 2 см!
Металл африканского полюса.
Основные залежи золота разбросаны по всей планете. Однако африканские месторождения издавна являются самыми мощными, и этот континент занимает первое место по производству золота в мире (62%). Итак, континент Солнца является также и континентом золота. Можно ли также сказать, что этот континент является «сердцем Земли»? Посмотрим, рис. 19 с полярностью «Атлантика — Тихий океан». С одной стороны, Африканский континент, сердце «земного организма», всегда во все эпохи ориентированный на Солнце, а с другой стороны — Тихоокеанский полюс, своего рода матка, от которой отделилось тело Луны. Наша полярность Атлантика — Тихий океан, точнее было бы сказать Африка — Тихий океан, соответствует полярности, противопоставляющей в человеческом теле сердце и матку, о чем д-р Р. Штейнер говорил в одной из своих лекций врачам 16.04.1921 года. Она соответствует также полярности Солнце — Луна и полярности, которая противопоставляет золото серебру. Такая концепция не противоречит порядку расположения планет и металлов, представленных на рис. 8—15; изменение точки зрения ведет в данном случае не к противоречию, но к метаморфозе, которыми столь богата природа — как только меняется точка зрения, хорошо мимоходом вспомнить о прежней и идти дальше. Рассмотрение вещей под новым углом зрения является, между прочим, отличным умственным упражнением, настоящим противоядием от церебросклероза.
Металл вершины и середины.
Вернемся теперь к положению, служившему базой этим исследованиям. Мы поместили золото в середину фигуры, на вершину семиугольника (рис. 9—15). Тем самым мы предполагали, что золото обладает промежуточными свойствами между металлами слева и металлами справа. Это верно для некоторых свойств, таких как теплопроводность и электропроводность, разность температур между точками плавления и кипения (рис. 13) и тягучесть (см. таблицу к гл. 29), но для других свойств это не тот случай. Так, золото — самый тяжелый и самый электроотрицательный металл изо всех семи и располагается действительно на вершине. Но золото несет в себе и обратное, а именно — свет; объединяя в себе полярность «тяжесть — свет», оно вновь становится металлом середины. Точно также его большой химической инертности, связанной с электронегативностью, мы можем противопоставить его вездесущность, факт широкой распространенности на планете. Итак, золото остается металлом середины, поскольку оно объединяет в себе полярные свойства. У алхимиков оно было одновременно и СОЛЬЮ, и РТУТЬЮ и СЕРОЙ, и они говорили: «Facilius est aurum facere quamm destruere» (легче сделать золото, чем разрушить его), выражая, таким образом, трудности выделения (изолирования) одного из трех его состояний, настолько интимно они в нем связаны.
Золото и цивилизации.
Золото известно со времен самой глубокой древности, но владеть им было строго запрещено, так как оно предназначалось только для священных церемоний; только царь-священник хранил его у себя, но так же не владел им! Таким образом, золото было металлом наивысшей духовности. Мы издавна храним о нем память, до настоящего времени используя его для изготовления предметов культа: чаш и потиров в церквях. На старинных иконах и картинах, когда хотели изобразить божественные или святые персонажа, всегда помещали их на золотой фон, что служило отражением их высокой духовности. Позднее этот фон был сведен к нимбу, которым обрамляли головы святых; а затем золото полностью исчезло из картин. Однако от этого остался один след — привычка золотить рамки. Золото играло также важную роль в витражах; их великолепный красный цвет достигался именно добавлением в стекло небольшого количества хлорида золота.
Золото — символ духовной мудрости, лишь постепенно стало символом земного богатства, материального могущества. Уже Александр Великий владел золотом, на пике своей славы даже практически всем золотом Античности. После его смерти это золото рассеялось по всему древнему миру. Жадные до золота римляне постоянно использовали 60 000 рабов на работе в рудниках. Они завладели сокровищами Галии, но не смогли удержать золото, необходимое для оплаты своих легионов, и недостаток золота, естественно, способствовал распаду их державы. Средние века были бедны золотом. К концу этой эпохи золото сконцентрировалось в руках тамплиеров. Завидующий их мощи и жаждущий их богатства Филипп Красивый разрушил орден, но не был уверен, что золото оказалось в его власти. В последующие эпохи жажда золота только усиливалась. Сколько жестокостей совершили испанцы, чтобы завладеть золотом инков! Цель большинства крупных экспедиций — поиск золота и пряностей. Времена золотой лихорадки (Клондайк, Австралия) не так уж далеки от нас. Сегодня могущество государств в большей степени определяется величиной золотого запаса, а один руководитель близлежащего государства даже смог установить свою власть на «блефе», заставив поверить, что владеет всем золотом государства, во главе которого он себя поставил, не имея при этом ни одной унции!
В настоящее время на таких рудниках, как Витвате-рсранд, Колыма и другие, добывается большое количество золота ценой огромного труда, условия которого иногда во многом аналогичны условиям времен римского рабства, если не хуже. Что же случается с этим золотом, извлеченным на свет ценой такого невыносимого труда, ценой страданий? Его вновь торопятся упрятать в подвалы национальных банков! Можно ли представить себе более бесплодную деятельность, более противоречивое поведение людей?
Созданный для того, чтобы красоваться при свете дня, для любования им, для радости сердец, этот благородный металл принужден облекаться в тяжелые слитки, прозябать во мраке крепостей, и служить своей массой только для того, чтобы учредить превосходство нескольких человек над остальным человечеством. Так золото было отстранено от своей священной миссии в человечестве, и вместо того, чтобы способствовать духовному развитию, оно становится инструментом материальной власти и порабощения душ.
Расколдовать золото.
Золото, так тесно связанное с материальным миром, дано нам для того, чтобы мы расколдовали его, освободили от тяжести, выделили из него при динамизации силы света и легкости и превратили их в инструмент исцеления. Кроме того нужно уметь использовать золото с добрыми намерениями, а для этого нужно изучить его действие на человека.
Токсичность.
Соли золота токсичны и вызывают тяжелые поражения. Их массовое терапевтическое использование многократно вызывало смертельные случаи. Коллоидные растворы золота также не лишены токсичности. Металлическое золото, наоборот, не токсично и может без риска использоваться при изготовлении кубков или столовых приборов. Ребенок, случайно проглотивший золотую монету, ни чем не рискует. Однако может быть из-за присутствия соляной кислоты в желудке, регулярное всасывание совсем незначительных количеств золота вызывает расстройства, хорошо известные гомеопатам: гипертермию, припадки жара, сердцебиение, уплотнения тканей, хронические отиты, особенно меланхолию и тенденцию к самоубийству. Здесь присутствуют те же самые симптомы, которые мы связывали с избытком солнечного потока экскарнации (раз-воплощения), вкратце перечисленные в таблице 4.
Два солнечных потока.
Изучение этой таблицы указывает на симптомы, выражающие стремление человека стать либо слишком материальным, либо слишком духовным. Конечно, здесь речь идет о психических, функциональных и органических проявлениях, исключающих со стороны врача всякое моральное суждение. Врач совершил бы серьезную ошибку, если бы из той или иной симптоматологии делал бы выводы о моральном или аморальном в человеке; ибо назначение врача — лечить, а не судить.
Большинство симптомов и заболеваний, фигурирующих в этой таблице, уже указывалось во время изучения других планет. Можно сказать, что Солнце в какой-то степени резюмирует все ранее встречавшиеся нам тенденции, что хорошо соответствует его центральной позиции в обоих процессах инкарнации и экскарнации (см. рис. 8). Солнце действительно является центральным органом планетарного мира, совершенно так же, как и сердце — центральным органом человеческого тела. Причем Солнце обеспечивает равновесие между внешними и внутренними планетами, а сердце между метаболическим и нейросенсорным полюсами.
Таблица
| СОЛНЦЕ
Сердце-циркуляция
|
| (
доминируют процессы инкарнации)
|
Пикнический тип
|
Лептосомный тип
|
II
Одухотворение
|
| Крепкий, загорелый, шустрый
|
Хрупкий, бледный, мечтательный
|
в
|
| я
|
Активный, любитель спорта и игр на свежем воздухе
|
Вялый, любитель чтения и умственных игр
|
экскарнации
|
| I
Материализация
|
Хороший аппетит
|
Малый аппетит
|
| Ускорение процессов инкарнации, сопровождающееся преждевременным старением
|
Задержка процессов инкарнации
|
(
доминируют процессы
|
| Преобладание Я и астрального тела
|
Тенденция к эмансипации нижнего комплекса (физического и эфирного тела), капитуляция организма перед силами тяжести
|
| \
|
Тревоги, прекардиалгии
|
Сердцебиение, приступы жара
|
| Стенокардия
|
Головокружение, обмороки, синкопальные состояния
|
| Грудная жаба
|
Лихорадящие заболевания с проявлением делирия
|
| Коронареит, инфаркты
|
Кифоз, сколиоз, лордоз
|
| Тромбозы
|
Опущение внутренних оганов
|
| Склероз
|
Старческий маразм
|
| Преждевременные роды
|
| Сухой зудящий дерматоз
|
Эксудативный диатез
|
| Маниакальное поведение, бешенство
|
Меланхолия, уход от реальности, тенденция к самоубийству
|
Равновесие ртути и равновесие золота.
Функция Солнца по сохранению равновесия, распространяется за пределы планетарной системы, перекрывая, с одной стороны, сатурническую сферу — границу между космосом планет и собственно сферой духа, с другой — лунную сферу, граничащую с земным и материальным. Таким образом, золото как представитель Солнца становится металлом гармонии, но равновесие, которое оно обеспечивает, отличается от равновесия определяемого ртутью. Выслушаем по этому поводу Р. Штейнра[110]
: «Учитывая компенсацию, которую меркуриальный процесс осуществляет на ограниченной плоскости, мы вполне естественно, были вынуждены искать его эквивалент в более широкой области, так как меркуриальное есть фактор равновесия между „теллурическим" (земным) и „экстрателлурическим" (внеземным). Но в действительности вся наша Вселенная проникнута духом, а это обусловливает необходимость другой полярности. Рассмотрите Землю с одной и с другой стороны: во внеземном вы найдете полярность „свет — тяжесть", касающуюся этой ограниченной области. Но существует другая полярность, устанавливающаяся, с одной стороны, между целым, которое формируется земным и внеземным, и с другой стороны то, что пронизывает это целое, между духовным и материальным, будь это последнее весомым или невесомым. В каждой точке материального должно установиться равновесие между этим материальным и духовным. Это касается всей Вселенной. Самым близким к нам местом Вселенной, где устанавливается это равновесие, является само Солнце. Именно Солнце осуществляет во Вселенной такое равновесие между материальным и духовным. Поэтому Солнце является одновременно элементом-регулятором планетарной системы и распорядителем сил, которые пронизывают нашу материальную систему. По образу связей между различными планетами и металлами можно установить одну из них между Солнцем и золотом. В действительности древние оценивали золото не по его ариманическои стоимости, а по его связям с Солнцем, по равновесию между духом и материей». Таким образом, в случае золота мы оказываемся на ступень выше по отношению к плоскости ртути. Золото становится металлом — маэстро терапии и требует больше, чем любой другой металл, разумного с собой обращения.
Напоминание о процессе инкарнации.
Следовательно, для понимания терапии золотом очень важно постичь процессы инкарнации и экскарнации с их последствиями в органическом плане. Итак, попытаемся углубить их, хотя отчасти мы сейчас будем повторяться. У того, кто глубоко инкарнируется, высший комплекс «Я — астральное тело», имеет сильное превосходство над низшим («физическое — эфирное»). Скажем еще, что весь его организм сильно «используется», что проявляется выраженной активностью, как на метаболическом полюсе, так и на нейросенсорном. Подобный субъект в силу господства своего тела, хорошо себя чувствует в своей коже, доволен жизнью и в первой половине своего существования мало болеет. Однако тот, кто слишком интенсивно погружается в свое тело, распыляет свои силы «на внешнее». Он нередко не контролирует свою деятельность, а подчиняется ей, — усиливаясь, это может реализоваться в различных нарушениях вплоть до буйного психоза. Эта слишком интенсивная активность — как бы «лезвие, которое изнашивает ножны», намного быстрее приводит организм к старению. Если благотворным и нормальным является то, что поток инкарнации преобладает в течение первой половины существования, то по прошествии 35-летнего возраста, он должен уступить место потоку экскарнации, в противном случае появляется риск вызвать расстройства, указанных в левой части таблицы, расстройства, которые мы можем выразить одним словом — склероз. Таким образом, излишнее господство тела над духом приводит в конечном итоге к материализации, и наоборот, когда поток инкарнации бывает слишком слабым, рецессивным, низший комплекс («физическое — эфирное») старается раскрепоститься, навязать свои законы; материя (физическое) и жизненные процессы (эфирное) доминируют на арене. Так, менее инкарнированный лептосомный тип гораздо интенсивнее испытывает силу тяжести, чем пикнический: он сутулится, страдает опущением органов, продолжительное стояние само по себе может вызвать обморок. Его плохо контролируемое эфирное тело проявляется чрезмерным ростом и предрасположенностью к инфекционным заболеваниям. Однако эти субъекты часто доживают до преклонного возраста. Через все превратности своего существования они медленно, мало-помалу, но все же учатся лучше инкарнироваться, иногда до состояния слишком крепкого «сцепления» со своим телом во второй половине жизни, когда должен доминировать уже поток экскарнации!
Между схематизмом и неопределенностью.
Было бы удобно систематизировать больных по той или иной категории и применять к ним соответствующее лечение, но жизнь так сложна, что схемы дают лишь частичный результат. Врач должен учитывать как скоротечные проявления, так и общую конституцию, т. к. то и другое не обязательно совпадает. Некоторые больные, и их немало, постоянно колеблются между двумя тенденциями: они бывают то слишком инкарнированы, то недостаточно ин-карнированы. Они производят впечатление, что их верхний комплекс пытается периодически поколебать нижний, которым он плохо овладевает. Типичным примером этого является маниакально-депрессивный психоз. Ситуация осложняется еще и тем, что господство верхнего комплекса над нижним может доминировать в одном из полюсов организма и даже изолированным органом, в других же ор-ганосистемах положение будет совершенно иным. Определенно человек является очень сложным существом, и требуется большое искусство, чтобы проводить действительно разумное лечение, избегая двух подводных камней — закоренелого схематизма и действий наугад.
Выбор динамизации (дозы).
Обычно высокие динамизации действуют в верхнем полюсе, а низкие — в нижнем; это верно как для золота, так и для других металлов. С практической точки зрения может быть полезнее знать, в каком направлении действует золото согласно степени динамизации; и мы можем сказать, что низкие динамизации D6-D10 действуют в направлении инкарнации, материализации, а высокие в направлении экскарнации, одухотворения. Средние динамизации, как мы это увидим, обладают уравновешивающими свойствами. Так, мы прописываем преимущественно золото низкой динамизации для молодых людей, процесс инкарнации которых должен быть подкреплен, а высокие — для людей более старшего возраста. Aurum D6-D10 поможет «Я» и астральному потоку лучше овладеть нижним комплексом и победить его законы. Мы дадим, таким образом, Aurum met. praep. D10 в случае угрозы выкидыша, при угрозе отторжения или трудностях инкарнации. Мы назначаем также Aurum D6-D10 в растираниях или в инъекциях при всех симптомах, выражающих преобладание сил тяжести: деформации позвоночника, венозных застоях, птозах и т.д., особенно у молодых субъектов.
Люди старшего возраста также могут проявлять симптомы этого порядка: горбясь, старец уступает силам тяжести, но причиной этого у него скорее является увядание физического тела, нежели недостаточность процесса инкарнации. В этом случае было бы ошибочным прописывать ему золото в низких динамизациях, особенно на продолжительный срок. Наоборот, нужно помочь «Я» постепенно освободиться от своего организма, ставшего слишком минеральным.
Психические симптомы золота.
Само преобладание сил тяжести, т. е. когда человек чувствует, что он «носит на себе», влачит свое непослушное (другими словами, «слишком физическое») тело, склоняет его к меланхолии, попыткам ухода или даже бегства от материального мира вплоть до самоубийства. Здесь у нас есть определенное показание для Aurum в низкой динамизации, но предпочтительно заменить его в начале «вегетабилизированным» металлом: Primula Auro culta D2 (0,1%), который назначается в виде подкожных инъекций или в каплях. В дальнейшем, когда организм начнет хорошо реагировать, можно прибегнуть к Aurum met. praep. D6 Trit или D6 в инъекциях. К той же области, но уже не на физическом плане, а на функциональном, относятся такие симптомы, как головокружения, помутнение сознания, рассеянность, легкие обмороки и т.д., при которых также прописывается золото в низких динамизациях. Так, в случае обморока, немедленно назначается инъекция Aurum met. praep. D10 на уровне солнечного сплетения.
Золото и экссудативный диатез.
Можно удивиться, встретив экссудативный диатез среди расстройств, вызываемых недостаточностью процесса инкарнации, но разве не силы верхнего комплекса («Я» и астрального тела) выполняют переработку пищи? Когда процессы разрушения и «очеловечения» чужеродных сил пищи (а также чужеродных сил впечатлений внешних чувств) оказываются недостаточными, неполными в силу недостаточности верхнего комплекса, организм стремится освободиться от веществ, сохранивших инородный характер. Организм делает это, как правило, через кожу. В данном случае мы также можем обратиться к золоту в низких динамизациях. С этих же позиций можно с успехом осуществлять лечение кожных трещин, рагад, анальных трещин и фистул, атонических ран и т. п., применяя мази, содержащие золото (Aurum D5, Ung. и другие).
Чрезмерная материализация организма.
Преобладание потока инкарнации (за исключением крайних его форм) почти не вызывает расстройств в детстве, ни в юности, но влечет за собой преждевременное изнашивание организма, слишком интенсивно «используемого» верхним комплексом. Это выражается ранним старением, склерозом и, как правило, стремлением организма стать слишком физическим. Так, кровь становится гиперкоагулирующей, что ведет к тромбозам. Начальными симптомами часто бывают страхи и предсердные боли; позже присоединятся стенокардия, коронареиты и инфаркты, особенно у сверхактивных субъектов, подвергающих себя многочисленным стрессам. В этих случаях надо обращаться к золоту в высокой динамизации. Мы прописываем 2—3 подкожные инъекции в неделю Aurum met. praep. D20-D30, которые следует сочетать с Betula, cortex Dl (1%) (смешивать в одном шприце!) в случае артериального склероза. Подобные больные часто бывают предрасположены к потере памяти, тогда вышеприведенный препарат чередуют с Formica D6 в виде инъекций. Когда эти заболевания сопровождаются психическими расстройствами (тоска, страх смерти и т.д.), рекомендуется обратиться к «оживляющим» свойствам «вегетабилизированного» металла Primula Auro culta D2 (0,1%) назначаемого либо в виде подкожных инъекций, либо per os. И наоборот, маниакальное возбуждение и буйное помешательство лучше реагируют на Hypericum Auro cultum или Aurum met. praep. D6-D10, что может показаться несколько парадоксальным. Терапевтический опыт показывает, что этот выбор хорош, а парадокс разрешим, если учитывать тот факт, что усиливая процесс инкарнации, мы одновременно вводим элемент контроля над разбушевавшейся волей. Склонность к склерозу вызывает также сухие, зудящие дерматозы, для лечения которых показано золото высоких динамизации. Но золото не единственный препарат для лечения этих заболеваний, впрочем об этом мы уже говорили в первом томе.
Восстановить гармонию.
Вернуть здоровье больному — значит восстановить гармонию. Может случиться, что лечение вместо возвращения здоровья, приводит к симптоматике, противоположной той, что была в начале лечения. Это бывает либо или из-за слишком затянувшегося применения того или иного препарата, либо в силу естественной склонности организма больного совершать колебания из одной крайности в другую. В подобных случаях мы должны быть в состоянии ослабить эти колебания, прибегая к регулирующей деятельности ритмической системы. Все, что укрепляет ритм, помогает исцелению. Сам простой факт приема лекарства регулярно в назначенное время уже обладает целительным свойством. Но и кроме лекарств, любое творческое действие, особенно в области художественного творчества, коренится в сфере чувств человека, его ритмов. Правильное обращение к этой сфере всегда содействует исцелению. На этих путях антропософская медицина весьма эффективно использует живопись, ваяние, музыку, искусство речи и эвритмию. К сожалению, эти поразительно мощные методы нелекарственного воздействия пока еще доступны лишь малому числу специалистов. Но и мы с вами всегда можем воодушевить наших больных, побудить их вести более творческую, ритмичную, упорядоченную, более гармоничную жизнь. Если это удается, то ритмическая система человека получает дополнительные силы для помощи в лечении, в самоисцелении. Мы можем способствовать гармонизации ритмических сил организма и с помощью препаратов — с помощью золота в средней динамизации, например, Aurum metallicum praep D15. Это особенно действенно в конце курса лечения. Если серебро часто служит прелюдией к лечению, то не будем забывать прописывать золото в его завершении.
Между верхом и низом.
Итак, золото, солнечный металл подлинной середины, обладает способностью предохранить человека как от соблазна чрезмерного отклонения от физического к духовному, так и от искушения безвозвратно впасть в материю. Между этими двумя аспектами зла, так ясно охарактеризованными Р. Штейнером, лежит область середины, срединный поток, открытый для солнечного духа, для сил Христа. Поистине золото есть металл Божественного слова. Разумно назначая золото, врач в современной жизни действует в духе царя-священника прошлых времен, помогая тому, кого он лечит, реализовать в себе самом «мост» равновесия между материей и духом. Работа с золотом как препаратом требует от врача как знаний, так и определенного внутреннего преображения. Именно к этому идеалу должен стремиться антропософский врач, познавая глубинные силы духа, питающие его «Я», через усердный труд и развитие сил любви к ближнему, ибо «человек действует в мире не только тем, что он делает, но в особенности тем, кто он есть» (Р. Штейнер).
БИБЛИОГРАФИЯ
1. Bauer К. H. Das Krebsproblem.
2. Bessenich F. Les forces formatrices et la méthode des cristallisations sensibles. / Triades, t.l, N 2, Paris 1953.
3. Bindel E., Blikle A. Zahlengesetze in der Stoffesweld und in der Erdenentwichlung. / Verlag Freies Geistesleben, Stuttgart.
4. Blond С. The liver and cancer. / Ed. John Wright, Bristol, 1960.
5. Bornfelt J. Arch. Hyg. Bakt., 1960, 249.
6. Glas N. Premiere enfance. / Ed. Triades, Paris, 1966.
7. Gunzler M. Das Magenkarzinom. / Beitr. Erw. Heilk., 6, 1968.
8. Gunzler M. et al. Iscadortherapie in der Nachbechandlung operierter Carcinome. / Beitr. Erw. Heilk., 5, 1970.
9. Heintz E. Le comportement des daphines sous l'influence des solutions de coumarine et de sulfate de cuivre. / Comptes rendus Acad. Sei., t. 258, p.3292.
10. Heintz E. La mesure de l'action des dilutions successives a l'aide de piles electriqes. / Les annales homeopathiqes, 1971, p. 515.
11. Heitler W. Die Naturwissenchaftliche Erkenntins und der Mensch. / Ed. Vieweg, Braunschweig, 1961.
12. Holtzapfel W. Raumliche und zeitliche Ordnungen im Wachstum der malignen Tumoren. / Beitr. Erw. Heilk., 6, 1967, Stuttgart.
13. Husemann F. Das Bild des Menschen als Grundlage der Heilkunst. / B. 1—3, Stuttgart, 1956.
14. Kaelin W. Der Rapillar-dynamische Bluttest zur Frudiag- nose der Krebskrankeit. / Phil. Anthr Verlag, Dornach, 1969.
15. Kesseler E. Stillen und Brustkebs. / Dtsch. Med. Wsch., 93(13), 1968.
16. Kolisko L. Physiologischer und physicaliscer Nachweis der Wirkung kleinster Entitaten. / Arbeitsgemeinschaft antroposo- phischer Artzte, Stuttgart.
17. Kolisko L. Sternenwirken in Erdstoffen. / Dornach. 1932.
18. Lecomte du Nouy L'avenir de l'esprit. / Gallimard, 1941.
19. Leroi A. Le cancer, maladie d'époque. / Triades. II, 4, 1954.
20. Leroi A. Causes et traitement du cancer. / Triades. XI, 2, 1963.
21. Leroi A. Le cancer, problème de la cellule ou de l'organ isme ? / Triades. XIII, 3, 1966.
22. Leroi R. Das Mammakarzinom. / Beitr. Erw. Heilk. 6, 1970.
23. Maison L. Les enfants sauvages, mythe et realite. / Union Generale d'Editions, Paris, 1964.
24. Manteuffel-Szoege L. Observation on energy sources of Blood Circulation. / Polish Med. Sience and Hist. Bull., Ill, 86, 1960.
25. Manteuffel-Szoege L. Energy sources of blood circulation and the mechanical action of the heart. / Thorax, XV, 47, 1960.
26. Manteuffel-Szoege L. New observations concerning the haemodynamics of deep hypothermia. / Journ. Cardiovas. Surg., Ill, 316, 1962.
27. Manteuffel-Szoege L. Haemodynamic disturbances in Normo and Hypothermia with Excluded Heart and during acute Heart Muscle failure. / Journ. Cardiovas. Surg., IV, 551, 1963.
28. Manteuffel-Szoege L. On Stopping and Restarting of Cir culation in Deep Hypothermia. / Journ. Cardiovas. Surg., V, 76, 1964.
29. Manteuffel-Szoege L. et al. Reflexions sur la nature des fonctions mécaniques du coeur. / Minerva Cardioangiolica Europea, VI, 261—267, 1958.
30. Manteuffel-Szoege L. et al. Remarks on energy sources of blood circulation. /Bull. Société Inter. Chirur., XIX.371 — 374,1960
31. Manteuffel-Szoege L et al. On the possibilities of blood circulation continuing after stopping the Heart. / Journ. Cardiovas. Surg. VII, 201, 1966.
32. Marti E. Die vier Aether. / Verlag Freies Geistesleben, Stuttgart.
33. Mathe G. Revue française des Etudes cliniques et biolo giques. 8, 1963, 1017.
34. Pelican W. Sieben Metalle. / Hybernia Verlag, Dornach- Stuttgart, 1952.
35. Pfeiffer M. Empfindliche Kristallisationen als Nachweis von Formkraften im Blut. / Emil Weise Verlag, Dresden, 1936.
36. Он же: Fécondité de la terre. Ed. Triades.
37. Potenzierte Heilmmittel. / Verlag Freies Geistesleben, Stuttgart, 1971.
38. Steiner R. Geistewisseenschaft und Medizin.
39. SteinerR. Conferrence du 10—11—23.
40. Steiner R l'Initiation, ou comment acquérir la connais sance des mondes supérieurs. Triades éditeur. (Как достигнуть познания высших миров?» изд. Ной.
41. Он же: Science de l'Occulte. / Td. Triades. Paris, 1971 a.
42. Он же: Über die Bienen. / Dornach. 1965 а.
43. Он же: См. 26.?
44. Он же: Das Geheimnis der menschlichen Temperament.
45. Он же: Das wirken des Geistens in der Natur
46. Он же: Enter la mort et une nouvelle naissance. / «Edi tions de la Science Spirituelle», Paris, 1937
47. Он же: Science spirituelle et médecine. (2 conf.)
48. Он же: Mysterienstatten des Altertum. (4—13/24. 5я
конф.)
49. Schupbach W. Nouvelles perspectives en biologie. / Triades, 1969.
50. Schwenck Th. Grundlage der Potenzforschung.
51. Stelter. Zur Wirkung von Extracten aus viscum album mali auf Gewebskulturen normaler und maligner Zeller. / Diss. Heidelberg, 1957 a.
52. Selawry 0. S. et all. Tumor-ingybitory activty of products ofloranthaceae. / Proc. Amor. Ass. Cancer Res. 3.1, 1959, 63.
53. Salzer et all. Erfahrungen mit der eingeschränkten Radi- kal-operation und Iscador-Nachbechandlung beim Brustdrusen Karzinom. / Krebsarzt, 17, 1962, 198.
54. Vester F. et all. Cancerostatische Proteincomponente aus viscum album. / Experientia 21, 1965, 197.
55. Wachsmuth G. Erde und Mensch. / p. 329, Dornach.
56. Walter H.Die sieben Metalle. / p. 215. Phil. Antrhop. Verlag, Dornach, 1966.
[1]
Р. Штейнер.
Как достигнуть познания высших миров? GA10, Калуга, 1993. // Steiner R.
l'Initiation, ou comment acquérir la connaissance des mondes supérieurs. Triades éditeur.
[2]
Pfeiffer M.
Empfindliche Kristallisationen als Nachweis von Formkraften im Blut. Emil Weise Verlag, Dresden, 1936. — Bes-
senich F.
Les forces formatrices et la méthode des cristallisations sensibles. / Triades, t.l, N 2. Paris, 1953.
[3]
Мы часто используем понятия антипатии и симпатии, поэтому необходимо уточнить смысл, который мы в них вкладываем. Под симпатией мы подразумеваем все то, что может нас подтолкнуть (притянуть) к другому существу, под антипатией — то, что отталкивает нас. В конце концов, все движения души могут быть связаны с одним из этих понятий, если рассматривать эти движения в более широком и глубоком смысле.
[4]
Р. Штейнер.
Духовная наука и медицина (GA 312). Духовное познание, Калуга, 2000. // Steiner R.
Geistewisseenschaft und Medizin. Dornach, 1990.
[5]
Manteuffel-Szoege L. et al.
Reflexions sur la nature des fonctions mécaniques du coeur. / Minerva Cardioangiolica Europea, VI, 261—267, 1958. Manteuffel-Szoege L.et al.
Remarks on energy sources of blood circulation. Bull. Société Inter. Chirur., XIX, 371 — 374, 1960. Manteuffel-Szoege L.
Observation on energy sources of Blood Circulation. / Polish Med. Sience and Hist. Bull., Ill, 86, 1960. Manteuffel-Szoege L.
Energy sources of blood circulation and the mechanical action of the heart. / Thorax, XV, 47, 1960. Man
teuffel-Szoege L.
New observations concerning the haemodynamics of deep hypothermia. / Journ. Cardiovas. Surg., Ill, 316, 1962. Manteuffel-Szoege L. Haemodynamic disturbances in Normo and Hypothermia with Excluded Heart and during acute Heart Muscle failure. / Journ. Cardiovas. Surg., IV, 551, 1963. Manteuffel-
Szoege L.
On Stopping and Restarting of Circulation in Deep Hypothermia. / Journ. Cardiovas. Surg., V, 76, 1964.
[6]
Schreiber S.S., Rothschild M. A.
Blood volume and heart. / Progress in Cardiovasc. Dis. IV, 6, May, 1962.
[7]
Штейнер Р.
Очерк тайноведения. Пер. с нем. Л.: Эго, 1991. // Steiner R.
Science de l'Occulte. / Ed. Triades. Paris, 1971
[8]
Слово «разъединены» не совсем точно, поскольку речь идет здесь о непространственных и нематериальных процессах. Однако за отсутствием лучшего, мы можем его использовать, помня, что оно дает лишь «образ» реальности.
[9]
Может показаться парадоксальным смысловое объеди
нение процессов деградации и структуризации, но в живом мире, чем сложнее какой-либо орган, тем меньше его жизнестойкость. — Чрезвычайно структурированная нервная система не способна к регенерации. А мало сформированный, слабо структурированный организм ребенка полон жизненных сил.— Избыток структуры и формы ведет к смерти. Так скульптор в поисках более и более совершенной формы стал бы все дальше и дальше обрабатывать старую, от которой, в конце концов осталась бы груда черепков (прим. автора).
[10]
Husemann F.
Das Bild des Menschen als Grundlage der Heilkunst. B. 2. Stuttgart, 1956.
[11]
За редким исключением, инъекции, применяемые антропософской медициной, являются подкожными. Если место инъекции не указано, ее делают в плечо.
[12]
Вегетабилизированные металлы получают путем выращивания культур соответствующих растений на земле, удобряемой специальным компостом на базе металлов. Идеей вегетабилизи-рованных металлов мы обязаны д-ру Р. Штейнеру, предложившему активизировать целебные силы гомеопатизированных ме
таллов путем их органичного объединения с определенными
видами лекарственных растений.
[13]
Р. Штейнер.
Духовная наука и медицина (GA 312). Духовное познание, Калуга, 2000. // Steiner R.
Geistewisseenschaft und Medizin. Dornach, 1990.
[14]
Husemann F.
Das Bild des Menschen als Grundlage der Heilkunst. B. 2. Stuttgart, 1956.
[15]
Steiner R.
Über die Bienen. Dornach, 1965.
[16]
Р. Штейнер.
Духовная наука и медицина (GA 312). Духовное познание, Калуга, 2000. // Steiner R.
Geistewisseenschaft und Medizin. Dornach, 1990.
[17]
Malson L.
Les enfants sauvages, mythe et realite. / Union Generale d'Editions. Paris, 1964.
[18]
Glas N.
Premiere enfance. / Ed. Triades. Paris, 1966. 90
[19]
Leroi R.
Das Mammakarzinom. / Beitr. Erw. Heilk. 6, 1970.
[20]
Kesseler E.
Stillen und Brustkebs. / Dtsch. Med. Wsch., 93(13), 1968.
[21]
Glas N.
Premiere enfance. / Ed. Triades. Paris, 1966. 94
[22]
Aufbaukalk (
нем.)
— строящий кальций (прим. ред.).
[23]
Husemann F.
Das Bild des Menschen als Grundlage der Heilkunst. / B. 1—3, p.449. Stuttgart, 1956.
[24]
Термин «сангвинический», использованный Р. Штейнером, может вызвать неразбериху, поскольку некоторые классификации вкладывают в него смысл, обозначающий холерика. Я охотно буду пользоваться термином «нервический», т. к. Р. Штейнер связывал «сангвинический» темперамент с преобладанием у таких людей нервной системы.
[25]
Steiner R.
Das Geheimnis der menschlichen Temperamente. Zbinden Verlag, Basel, 1967.
[26]
Schwenck Th.
Grundlage der Potenzforschung. Schwflbisch-Gmbnd, 1954.
[27]
Wachsmuth G.
Erde und Mensch. / P. 329. Dornach. 138
[28]
Steiner R.:
Das wirken des Geistens in der Natur (II Vortr.)
[29]
Р. Штейнер.
Духовная наука и медицина (GA 312). Духовное познание, Калуга, 2000. // Steiner R.
Geistewisseenschaft und Medizin, Dornach, 1990.
[30]
« Enos and Holmes. J.A.M.A. 1953/XII, р.1090.
[31]
R
.
Steiner
.
[32]
Holtzapfel W.
Raumliche und zeitliche Ordnungen im Wachstum der malignen Tumoren. / Beitr. Erw. Heilk., 6, 1967, Stuttgart.
[33]
Leroi A.
Le cancer, maladie d'epoque. / Triades. II, 4, 1954. Leroi A.
Causes et traitement du cancer. / Triades. XI, 2, 1963.
[34]
Р.Штейнер.
Духовная наука и медицина (GA 312). Духовное познание, Калуга, 2000. // Steiner R.
Geistewisseenschaft und Medizin Dornach 1990.
[35]
Leroi A.
Causes et traitement du cancer. / Triades. XI, 2, 1963.
[36]
Ваиег
К
.
Н
.
Das Krebsproblem.
[37]
Bornfelt J.
Arch. Hyg. Bakt., 1960, 249. 190
[38]
Kaelin W.
Der Rapillar-dynamische Bluttest zur Frudiagnose der Krebskrankeit. / Phil. Anthr Verlag, Dornach, 1969.
[39]
Р. Штейнер.
Духовная наука и медицина (GA 312). Духовное познание, Калуга, 2000. // Steiner R.
Geistewisseenschaft und Medizin. Dornach, 1990.
[40]
Stelter.
Zur Wirkung von Extracten aus viscum album mali auf Gewebskulturen normaler und maligner Zeller. / Diss. Heidelberg, 1957.— Selawry O.S.
et all. Tumor-ingybitory activty of products ofloranthaceae. / Proc. Amor. Ass. Cancer Res. 3.1, 1959, 63.— Mathe G.
Revue francaise des Etudes cliniques et biologiques. 8, 1963, 1017.
[41]
Boie D..
Mistel u. Krebs. Verlag Freies Geistesleben. Stuttgart 1970.
[42]
Salzer et all.
Erfahrungen mit der eingeschränkten Radikaloperation und Iscador-Nachbechandlung beim Brustdrusen Karzinom. / Krebsarzt, 17, 1962, 198.— Gunzler M.
Das Magenkarzinom. / Beitr. Erw. Heilk., 6, 1968.
[43]
Institute Hiscia. CH 4144. Ariesheim. Там же публикуется библиографическая информация по современным публикациям об исследованиях препарата «Искадор» (прим. ред.).
[44]
Blond
С
.
The liver and cancer. / Ed. John Wright, Bristol, 1960.
[45]
Для более подробного ознакомления с принципами использования биолого-динамических продуктов можно обратиться к следующей литературе: Pfeiffer
E
.
Fécondité de la terre. Ed. Triades, Renzenbrink U.
Diet and Cancer, Rudolf Steiner Press, London, 1988.
[46]
Штейнер Р.
Очерк тайноведения. Пер. с нем. Л.: Эго, 1991. // Steiner R.
Science de l'Occulte. / Ed. Triades. Paris, 1971.
[47]
Lecomte du Nouy.
L'avenir de l'esprit. / Gallimard, 1941.
[48]
Heitler W.
Die Naturwissenchaftliche Erkenntins und der Mensch. / Ed Vieweg, Braunschweig, 1961.
[49]
Schupbach W.
Nouvelles perspectives en biologie. / Triades, 1969.
[50]
Штейнер Р.
Духовная наука и медицина. Пер. с нем. Калуга, 2000. // Steiner R.:
Geisteswissenschaft und Medizin (GA 312), Dornach, 1990.
[51]
Kolisko L.
Sternenwirken in Erdstoffen. / Dornach, 1932.
[52]
Potenzierte Heilmmittel. / Verlag Freies Geistesleben, Stuttgart, 1971.
[53]
Heintz
Е
.
Le comportement des daphines sous l'influence des solutions de coumarine et de sulfate de cuivre. / Comptes rendus Acad. Sei., t. 258, p. 3292.
[54]
Штейнер Р.
Духовная наука и медицина. Пер. с нем. Калуга, 2000. // Steiner R.
Geisteswissenschaft und Medizin (GA 312). Dornach, 1990.
[55]
Potenzierte Heilmmittel. / Verlag Freies Geistesleben. Stuttgart, 1971.
[56]
В 1950 г. д-р В. С. Lievegoed опубликовал на эту тему статью, очень важную для понимания рациональной металлотерапии в «Der Beitrag der Geisteswissenschaft zur Erweiterung der Heilkunst» (Hybernia-Verlag Dornach). Настоящее исследование обязано ему многими идеями. Мы выражаем здесь ему нашу благодарность.
[57]
Так, в экскрементах дождевых червей было обнаружено больше кальция, чем его содержалось в их пище. У желтого люпина, который растет только на кремнеземных почвах, в листьях находят повышенное содержание кальция. Не следует забывать и об экспериментах Герцеля во второй половине XIX века, работы которого были преданы намеренному академическому забвению, и более поздние опыты Хаушки в Германии и Кервена во Франции.
[58]
Kolisko L.
Sternenwirken in Erdstoffen. Dornach, 1932 г.
[59]
Объяснение большей или меньшей продолжительности такого пребывания и характеристик, вытекающих из этого, выходит за рамки данного труда. Консультироваться по данному вопросу: «Enter la mort et une nouvelle naissance». R. Steiner, «Editions de la Science Spirituell». Paris, 1937.
[60]
Штейнер Р.
Духовная наука и медицина (2-й доклад). Пер. с нем. Калуга, 2000. // Steiner R.
Geisteswissenschaft und Medizin (GA 312). Dornach, 1990.
[61]
Steiner R.
Mysteriens Utten des Altertums (4—13/24. 5-я лекция).
[62]
Это не мешает тому, чтобы наша мысль и вообще все процессы сознания осуществлялись бы в ущерб жизни и были бы возможны только в той мере, в какой жизнь уходит из органов, ответственных за эту функцию.
[63]
Штейнер Р.
Лекция от 22.10.1922.
[64]
Макрогенитосомия — увеличение органов, относящихся к вторичным половым признакам (прим. перевод.)
[65]
Интересно отметить ту значимость, которую приобрел процесс воспроизводства в нашей цивилизации. Типография, фотография, индустрия пластических материалов, любое серийное производство и т.д. состоят из воспроизводства в неограниченном количестве одного и того же товара, одной и той же формы. Эта тенденция становится опасной, когда она проявляется в социальной жизни и стремится сделать из людей одинаковых существ, лишенных всякой личной инициативы, автоматов, короче говоря, превратить мир в огромный муравейник.
[66]
Дислексия — нарушения чтения, которые могут выражаться в неполном или слитном произнесении слов, заменой одних букв на другие, близкие по звучанию или написанию (прим. перев).
[67]
Тофус — отложение уратов (солей мочевой кислоты) и холестерина мелового характера в подкожной клетчатке. Случается, что он прорывается наружу и самопроизвольно удаляется.
[68]
Th. Schwenk.
Le Chaos sensible, Formes de l'eau en mouvement, Ed. Triades.
[69]
Можно сопоставить рисунки отпечатков пальцев с некоторыми доисторическими рисунками, например, с рисунками из курганов Гаврини в Моравии. Те, кто их рисовал, воспроизводили эфирные силы, которые они еще непосредственно наблюдали творящими в окружающей природе (см. Triad, т. 5, стр. 3).
[70]
* Однако это не означает, что астмой болеют преимущественно мужчины. Речь идет, скорее, о преобладании мужского или женского начала в организме и психике вообще (прим. ред.).
[71]
Здесь мы ощущаем, насколько медицина является искусством. Ученый будет удовлетворен просто исчезновением ангины; художник, артист, каким должен быть врач, сможет считать свой труд завершенным только в том случае, если его лечение не помешало, а способствовало восстановлению и развитию хода судьбы.
[72]
Bindet
Е
., Blikle A.
Zahlengesetze in der Stoffesweld und in der Erdenentwichlung. / Verlag Freies Geistesleben, Stuttgart.
[73]
Р. Штейнер
последовательно описывает четыре эфира: тепловой, световой, химический или звуковой, и жизненный, по мере появления четырех планетных состояний.
[74]
Эти структуры были обнаружены Хладни. Он вызывал вибрацию посыпаемых песком пластинок. Позже П. Э. Шиллер выявил структуры, вызываемые звуками в ощутимом пламени с помощью стробоскопа. Их картины возможно найти в книге Швенка «Чувствительный хаос».
[75]
За пределами Сатурна существует еще три астрономических планеты: Уран, Нептун, Плутон. Согласно космологии Р. Штейнера, эти планеты зародились не в самой солнечной системе, но были притянуты извне.
[76]
Мы называем центром то Землю, то Солнце — но читателю не следует путаться. Когда мы называем центром Землю, то противопоставляем ее космической периферии, как точка противопоставляется кругу. Ставя в центр Солнце, мы подразумеваем его срединное положение между двумя полюсами, каковыми являются периферия Космоса (круг) и Земля (точка). При этом имеется в виду и срединное положение между «внешними» — «надсолнеч-ными» и «внутренними» — «подсолнечными» планетами. Наблюдение за солнечной короной выявило чередование синхронных фаз сжатия и расширения, появления и исчезновения солнечных пятен. Впечатляющие фотографии этих процессов имеются в книге Гюнтера Ваксмута «Эволюция Земли» (G. Wachsmuth. L'évolution de la terre. Ed. Triads).
[77]
Pelican W.
Sieben Metalle. / Hybernia Verlag. Dornach-Stuttgart, 1952.
[78]
Штейнер Р.
Очерк тайноведения. Пер. с нем. Л.: Эго, 1991. // Steiner R.
Science de l'Occulte./Ed. Triades. Paris, 1971
[79]
Walter H.
Die sieben Metalle./P. 215. Phil. Antrhop. Verlag. Dornach, 1966.
[80]
Около 1920 г. американская компания Ethyl Lead inc., выпускавшая тетраэтилсвинец для введения его в бензин, наняла молодого исследователя по имени Кэхо, поручив ему выполнять научные работы, предназначенные для доказательства безвредности этой практики, с тем чтобы успокоить общественное мнение. Эти работы пользовались, увы, авторитетом во всем мире в течение нескольких десятилетий и только недавно были отвергнуты, (см. работу: Stofen. Blei als Umweltgift. Schroeder-Verlag, Eschwege).
[81]
Там же.
[82]
Там же.
[83]
Там же.
[84]
Следует отметить, что то, на что указывается (несправедливо!) как на пломбирование зубов, в действительности является амальгамой серебра.
[85]
Эта так называемая «допустимая доза» завышена по меньшей мере в десять раз. Что тогда говорить о жителях тех городов, где ежедневно организм поглощает 1,5 мг свинца, а иногда и гораздо больше!
[86]
В древней Индии преобладал символизм «принципа живота» (жизненных сил обмена веществ), представленный коровой, а также важнейший принцип подвижности конечностей, каким он выражен в образе шестирукого Шивы.
[87]
Штейнер Р.
Духовная наука и медицина. Пер. с нем. Калуга, 2000. // Steiner R.
Geisteswissenschaft und Medizin (GA 312). Dornach, 1990.
[88]
Карта дна Тихого океана, составленная с помощью ультразвукового эхолота, также открывает нашему взгляду своего рода лунный пейзаж, наполненный множеством потухших подземных вулканов. Что ж, возможно именно из этой зоны Земли некогда выделилась наша современная Луна.
[89]
Cloos W..
Saturn-Blei und Mond-Silber-Prozesse in Mench und Erde. In: Heilmittel fur typische Krankheiten. Dornach, 1963.
[90]
В современных типографиях применяется никелевый сплав. (прим. перев.)
[91]
Если ртуть случайно разлилась в помещении, то находившимся там людям необходимо немедленно принять Stannum D10 в качестве противоядия.
[92]
Эта полярность замечательно иллюстрирована сказкой братьев Гримм «Дух в колбе». Ртутные силы представлены в ней маленьким существом — лягушонком по имени Меркуриус, заключённым в бутылку, но разрастающимся до размеров великана при его освобождении. Студент (другими словами ученик школы Посвящения), освободивший эти силы, должен остаться их хозяином и суметь снова заключить их в бутылку, что и удалось ему сделать с помощью хитрости. Взамен за своё освобождение дух делает ему подарок — пластырь, исцеляющий все раны (это, собственно, образ ртутных целительных процессов) и превращать железо в серебро. Это последнее свойство указывает нам на полярность «железо-серебро», представленной на рис. 15.См. P.Paede: «Der Geist im Glass oder der Weg zur Heilkunst.» In: «Beitrage zu einer Erweiterung der Heilkunst», 1970/4.
[93]
Штейнер Р.
Духовная наука и медицина (7-ой доклад). Пер. с нем. Калуга, 2000. // Steiner R.
Geisteswissenschaft und Medizin (GA 312). Dornach, 1990.
[94]
Штейнер Р.
Духовная наука и медицина. Пер. с нем. Калуга, 2000. // Steiner R.
Geisteswissenschaft und Medizin (GA 312). Dornach, 1990.
[95]
Когда Улисс, отправляясь к Цирцее, встречает Гермеса — Меркурия, последний дает ему какую-то траву, чтобы предохранить от чар волшебницы. Не удивительно ли, что у этого растения белый цветок и черный корень, а имя его — Molu, которое мы вновь находим в слове калоМЕЛЬ.
[96]
Harwood
А
.
С
.
»Le mysterre de l'enfance», Ed. Triades.
[97]
R.
Steiner.
Manifestations de Karma, Edit. Triades
[98]
Apis 0,1% / Belladonna pl. tot. 0,1% / Bolus alba 99,7%/ Eucalyptus fol. 0,1%.
[99]
Штейнер Р.
Теософия розенкрейцера. Курс лекций (Лекции 11-я и 12-я). Пер. с нем. М., Энигма, 1999. // Die Theosophie des Rosenkreuzers. GA 99.
[100]
Штейнер Р.
Очерк тайноведения (глава «Развитие мира и человек»). Пер. с нем. Л.: Эго, 1991. // Steiner R.
Science de l'Occulte. / Ed. Triades. Paris, 1971.
[101]
Holtzapfel, используя указания Р. Штейнера, рекомендует при лечении детей: Ferrum carbonicum от D3 до D6 при нарушениях метаболизма; Ferrum chloratum D6 при нарушениях циркуляции; Ferrum citricum D8 при дыхательных расстройствах; Ferrum praep. D10 при головных болях в период школьного обучения (W. Holtzapfel: Kupfer und Eisen in der kindlichen Entwicklung. Korrespondenz-Blatter fur Aerzte, №3, mars, 1957).
[102]
Именно к этому месту тела германского мифологического героя Зигфрида приклеился лист липы во время купания в крови только что убитого им дракона. Напомним, что это купание он предпринял, чтобы стать неуязвимым. И именно от ранения в это место, оставшееся незащищенным, он умрет позже. У каждого человека эта область особенно чувствительна к марсианской терапии, особенно когда эта терапия направлена на дыхательные пути и кровообращение, т. е. на ритмическую систему.
[103]
Wacfismuth G.
Levolution de la terre. Triades, Paris. 406
[104]
Лекция от 14.04.1912 года.
[105]
Schultz Hugo.
Wirkung und Anwendung der unorg. Arzneistoffe
[106]
«Courier Суг»
[107]
Р. Трайхлер автор множества публикаций касающихся вопросов психиатрии многие годы успешно использовал принципы антропософской медицины в психиатрической практике.
[108]
Лекция от 13.10.06.
[109]
Очень важно знать, что смешивать два цвета, исходящие от двух источников цветного света или от двух участков призмы, — не то же самое, если смешивать материальные вещества, которые являются красками. Когда вы смешиваете два цвета, имеет место усиление света (в нашем примере объединенные красный и зеленый дают желтый, более блестящий чем красный и зеленый, взятые по-отдельности). Когда вы смешиваете две краски — материальные вещества, — то вы усиливаете темноту. Я описываю здесь просто эксперименты, которые проводились многими исследователями цветов в самые разные эпохи; кстати, я и сам проводил эти простейшие с технической точки зрения опыты, которые при желании может повторить каждый. Наиболее последовательным экспериментатором в этой области был И. В. Гете, который в яростных спорах с И. Ньютоном и вывел это фундаментальное различие между смешиванием цвета и смешиванием красок.
[110]
Штейнер Р.
Духовная наука и медицина. Пер. с нем. Калуга, 2000. // Steiner R.
Geisteswissenschaft und Medizin (GA 312). Dornach, 1990.
|