| ФЕДЕРАЛЬНОЕ АГЕНТСТВО ПО ОБРАЗОВАНИЮ
ГОСУДАРСТВЕННОЕ ОБРАЗОВАТЕЛЬНОЕ УЧРЕЖДЕНИЕ
ВЫСШЕГО ПРОФЕССИОНАЛЬНОГО ОБРАЗОВАНИЯ
ИВАНОВСКАЯ ГОСУДАРСТВЕННАЯ ТЕКСТИЛЬНАЯ АКАДЕМИЯ
(ИГТА)
КАФЕДРА МЕНЕДЖМЕНТА
Методические указания к курсовой работе ПО КУРСУ «
СТАТИСТИКА
» для студентов, обучающихся по специальности
080502 (060800) экономика и управление
на предприятиях отрасли
по сокращенной образовательной программе
Иваново 2007
В методических указаниях последовательно изложены основные положения о курсовой работе, требования к объему, структуре, содержанию и выполнению работ, в схематичном виде рассмотрены основные этапы подготовки курсовой работы.
Составители: канд.техн.наук, доц. С.М.Степанова
А.С.Занюкова
Научный редактор д.соц.н. Л.С.Егорова
оглавление
| 1. Общие положения
|
4
|
| 2. Требования к выполнению и оформлению курсовой работы
|
7
|
| 3. Содержание задания и требования к нему
|
15
|
| 4. Методические указания к выполнению курсовой работы
|
18
|
| 4.1 Содержательный анализ объекта исследования
|
18
|
| 4.2 Методика отбора факторов, влияющих на выходной показатель
|
19
|
| Пример определения существенности влияния показателя Х1 на Y, т.е. влияния коэффициентов роста производительности труда на фондоотдачу
|
22
|
| 4.3. Методы выравнивания динамических рядов
|
24
|
| 4.4. Примеры решения задач
|
32
|
| Перечень рекомендуемой литературы
|
40
|
| Приложение А. Образец оформления титульного листа
|
41
|
| Приложение Б. Образец оформления задания на курсовую работу
|
42
|
| Приложение В. Образец оформления содержания курсовой работы
|
43
|
| Приложение Г. Образец оформления рисунков
|
44
|
| Приложение Д. Образец оформления таблиц
|
45
|
| Приложение Е. Пример оформления формул
|
46
|
| Приложение Ж. Образец оформления библиографического списка
|
47
|
| Приложение И. F- распределение
|
48
|
| Приложение К. Сокращенная таблица случайных чисел
|
49
|
| Приложение Л. Нормальное распределение
|
50
|
| Приложение М. t
- распределение
|
52
|
| Приложение Н. Динамика отдельных показателей развития
|
53
|
1. Общие положения
Роль статистики в нашей жизни настолько значительна, что люди, часто не задумываясь и не осознавая, постоянно используют элементы статистической методологии в повседневной практике. Работая и отдыхая, делая покупки, знакомясь с другими людьми, принимая какие-то решения, человек пользуется определенной системой имеющихся у него сведений, сложившихся вкусов и привычек, фактов, систематизирует, сопоставляет эти факты, анализирует их, делает необходимые для себя выводы и принимает определенные решения и действия. Таким образом, в каждом человеке генетически заложены элементы статистического мышления, представляющего собой способности к анализу и синтезу информации об окружающем нас мире. Это так называемая обыденная компонента статистического мышления.
Забиваем Сайты В ТОП КУВАЛДОЙ - Уникальные возможности от SeoHammer
Каждая ссылка анализируется по трем пакетам оценки: SEO, Трафик и SMM.
SeoHammer делает продвижение сайта прозрачным и простым занятием.
Ссылки, вечные ссылки, статьи, упоминания, пресс-релизы - используйте по максимуму потенциал SeoHammer для продвижения вашего сайта.
Что умеет делать SeoHammer
— Продвижение в один клик, интеллектуальный подбор запросов, покупка самых лучших ссылок с высокой степенью качества у лучших бирж ссылок.
— Регулярная проверка качества ссылок по более чем 100 показателям и ежедневный пересчет показателей качества проекта.
— Все известные форматы ссылок: арендные ссылки, вечные ссылки, публикации (упоминания, мнения, отзывы, статьи, пресс-релизы).
— SeoHammer покажет, где рост или падение, а также запросы, на которые нужно обратить внимание.
SeoHammer еще предоставляет технологию Буст, она ускоряет продвижение в десятки раз,
а первые результаты появляются уже в течение первых 7 дней.
Зарегистрироваться и Начать продвижение
Цель данной курсовой работы - развитие в себе научно-исследовательской компоненты статистического мышления, т. е. постижение множества специальных научных правил, методов и приемов количественного анализа разного рода информации. Современному специалисту необходимы знания в различных областях науки. Одним из основополагающих предметов у студентов-экономистов является статистика. Она дает представление о принципах изучения массовых явлений и процессов, методах построения и анализа данных наблюдения и эксперимента. Используя статистические методы в научных исследованиях, появляется возможность экстраполяции показателей и, как следствие, прогнозирование работы предприятия с учетом изменения внешних факторов.
К тому же основными объектами приложения статистической теории и методологии выступают экономическая деятельность, население, условия жизни людей и управление, а ядром статистической системы знаний выступает теория статистики,
обеспечивающая теоретическую и методологическую подготовку профессиональных статистиков, менеджеров, экономистов высшей квалификации, финансистов, коммерсантов и бухгалтеров, демографов, социологов.
В таблице 1.1 представлены основные методы статистического анализа, используемые для принятия управленческих решений.
Таблица 1.1 - Основные направления использования статистических методов при реализации управленческих решений
| Статистические методы
|
Этапы процесса управления
|
| Подготовка информации
|
Выявление направлений анализа
|
Исследование выявленных проблем
|
Выработка вариантов решения
|
Учет и контроль выполнения
|
Анализ эффективности результатов
|
| А
|
1
|
2
|
3
|
4
|
5
|
6
|
| 1. Статистическое наблюдение
|
Х
|
Х
|
| 2. Сводка и группировка данных
|
Х
|
Х
|
Х
|
Х
|
Х
|
| 3. Обобщающие статистические показатели, средние величины, вариация
|
Х
|
Х
|
Х
|
Х
|
Х
|
| 4. Ряды динамики
|
Х
|
Х
|
Х
|
Х
|
| 5. Индексы
|
Х
|
Х
|
Х
|
Х
|
| 6. Корреляционно-регрессионный анализ
|
Х
|
Х
|
Х
|
| 7. Дисперсионный анализ
|
Х
|
Х
|
Х
|
| 8. Экспертные методы
|
Х
|
Х
|
Х
|
Х
|
| 9. Факторный и компонентный анализ
|
Х
|
Х
|
Х
|
В ходе выполнения курсовой работы студенты приобретают следующие знания и навыки:
Сервис онлайн-записи на собственном Telegram-боте
Попробуйте сервис онлайн-записи VisitTime на основе вашего собственного Telegram-бота:
— Разгрузит мастера, специалиста или компанию;
— Позволит гибко управлять расписанием и загрузкой;
— Разошлет оповещения о новых услугах или акциях;
— Позволит принять оплату на карту/кошелек/счет;
— Позволит записываться на групповые и персональные посещения;
— Поможет получить от клиента отзывы о визите к вам;
— Включает в себя сервис чаевых.
Для новых пользователей первый месяц бесплатно.
Зарегистрироваться в сервисе
- изучение дисперсионного анализа, корреляционного и регрессионного анализа, анализа динамических рядов;
- навыки по активному использованию статистических методов и приёмов в анализе и прогнозировании экономических показателей, а также умение пользоваться справочной литературой;
- навыки воспитания творческого, исследовательского подхода к решению поставленной задачи.
Курсовая работа по статистике является самостоятельным квалификационным трудом студента, в ходе которого он должен проявить свои аналитические способности, показать умение практического использования теоретических знаний.
Номер варианта курсовой работы выбирается по последней цифре номера зачетной книжки студента или определяется преподавателем на практических занятиях.
2. Требования к выполнению и оформлению курсовой работы
Курсовая работа должна выполняться в соответствии со следующими требованиями:
1. Теоретический уровень работы должен свидетельствовать о глубоком знании студентами нормативных материалов по изучаемой проблеме, а также новейших достижений экономической науки и практики.
2. Практическое значение курсовой работы должно заключаться в умении автора рассчитывать и анализировать статистические величины, с целью разработки рекомендаций по повышению эффективности управления.
3. Все положения должны излагаться четко, логично, последовательно.
Построение пояснительной записки к курсовой работе предусматривает наличие титульного листа, задания, оглавления, введения, теоретического раздела, аналитической части, выводов, приложений и списка использованной литературы. Общий объем курсовой работы при формате бумаги А4 должен составлять примерно 30 – 40 страниц машинописного текста, набранного через 1,5 интервала размером шрифта 14. На введение, как правило, приходится 2-3 страницы, на теоретическую часть – около 15 страниц, аналитическую – 10-12 страниц. Нумерация листов ведется с введения (страница 3) сверху листа по правому краю.
Титульный лист
Титульный лист является первой страницей любой студенческой работы. Он имеет стандартный вид и оформляется в соответствии с приложением А.
Задание на курсовую работу
Оригинал задания является второй страницей курсовой работы, также, как и титульный лист, имеет стандартный вид (см. приложение Б), в нем указываются дата выдачи задания и предельный срок представления работы к защите.
Оглавление
Оглавление включает в себя перечисление составных частей работы: введения, наименования всех глав, разделов и подразделов основной части, заключения, библиографического списка и приложений с указанием номеров страниц, с которых начинаются эти элементы (см. приложение В).
Во введении
раскрываются теоретические вопросы статистики, подчеркивается ее значение для управления деятельностью предприятий. Во введении должна быть обоснована актуальность разрабатываемой темы, сформулирована цель и основные задачи, поставленные для решения в работе. В нем отражается логика построения работы и круг рассматриваемых вопросов, принятые ограничения и особенности изложения проблемы. Если курсовая работа выполнялась на базе какой-либо организации, то во введении указывают наименование организации и сферу ее деятельности.
Здесь же дается краткий обзор разделов курсовой работы, указывается объем работы в страницах, количество иллюстративного материала (таблиц, рисунков) и используемой литературы.
В теоретической части
освещаются известные из литературы подходы к изучаемой в работе проблеме. Раскрываются основные понятия, показатели, методы (формулы) их расчета, тенденции развития, не решенные до настоящего времени проблемы. При этом отражаются дискуссионные моменты, аргументируется собственная позиция по тому или иному вопросу. Теоретические выкладки желательно иллюстрировать схемами и рисунками.
Аналитическая часть
включает в себя расчет соответствующих показателей, анализ их динамики и возможных направлений улучшения деятельности предприятия за счет использования инструментов и методов статистики. В качестве исходной информации для расчетов используются данные, представленные в Приложении Н.
Основная часть курсовой работы завершается формулированием выводов
и предложений, которые должны быть конкретными и краткими. Все результаты аналитических расчетов должны быть представлены как в цифровом, так и в графическом виде. Допускается оформление выводов и предложений в форме заключения, где кратко подводятся итоги проведенного исследования, отмечается социально-экономическое значение темы, обобщаются основные выводы, вытекающие из аналитической части работы, оценивается в целом эффективность предлагаемых направлений совершенствования управления.
Список использованной литературы
должен оформляться в соответствии с существующими требованиями. При этом библиографические источники приводятся или в порядке алфавитной последовательности, или по мере ссылок на них в тексте работы. Используемую литературу не рекомендуется приводить в конце страниц. Ссылки оформляются так: [3, с.38], где первая цифра – номер источника, указанного в списке литературы, вторая – номер страницы.
Приложения.
В приложения могут быть вынесены громоздкие таблицы, исходные данные для расчетов, документы, формы статистической и бухгалтерской отчетности и т.п. для того, чтобы повысить степень восприятия основного текста и вместе с тем усилить достоверность выполненного проекта.
Курсовая работа считается завершенной, если она содержит все структурные элементы, включая разработку всех разделов основной части, и оформлена в соответствии с требованиями стандартов.
Текстовая часть должна оформляться на листах формата А4 (210х297 мм). При написании текста необходимо оставлять поля
следующих размеров:
слева – не менее 30 мм
справа – не менее 10 мм
сверху и снизу – не менее 20 мм.
Текст
может быть написан чернилами или пастой одного цвета (черного, синего, фиолетового) почерком с высотой букв и цифр не менее 2,5 мм. Интервал между строками не менее 5 мм. Если текстовая часть выполнена машинописным или компьютерным способом, то расстояние между строками - полтора межстрочных интервала, шрифт Times New Roman Cyr, 14 кегль. Вписывать в отпечатанный текст отдельные слова, формулы, условные обозначения допускается только черной пастой или черной тушью. Ошибки (опечатки), графические неточности должны быть исправлены. В тексте допускаются только общепринятые сокращения слов.
Абзацный отступ
должен быть одинаковым во всей работе: 15-17 мм, что соответствует пяти пробелам.
Нумерация страниц
основного текста и приложений должна быть сквозной. Номер листа ставят в правом верхнем углу без точки в конце. Первым листом является титульный лист, вторым – задание, третьим – оглавление, но номера страниц на них не проставляются, таким образом, первый номер, проставленный на листе оглавления, будет 3. Все разделы (главы), подразделы, пункты и подпункты, кроме “Введения”, “Заключения”, «Списка использованной литературы» и «Приложений», нумеруются
арабскими цифрами и записываются с абзацного отступа. Номер подпункта включает номер раздела, подраздела, пункта и порядковый номер подпункта, разделенные точкой. Например, 1.1.1.1, 1.1.1.2, 1.1.1.3 и т.д.
Каждый раздел (глава) в т. ч. и “Введение” и “Заключение” начинается с новой страницы
. Разделы (главы) должны иметь краткие, соответствующие содержанию заголовки
. Подчеркивать заголовки и переносить слова в заголовках не допускается. Заголовки не должны иметь точки на конце. Если же заголовок состоит из 2-х предложений, их разделяют точкой. Расстояние между заголовком и предыдущим или последующим текстом должно равняться трем интервалам (15 мм). Изложение текстового материала рекомендуется выполнять от первого лица множественного числа (“…. понимаем…”, “…на наш взгляд…”).
В тексте не допускается
:
- применять для одного и того же понятия различные научно-технические термины, близкие по смыслу (синонимы), а также иностранные слова и термины при наличии равнозначных слов в русском языке;
- сокращать обозначения физических величин, если они употребляются без цифр, за исключением единиц физических величин в заголовках и боковиках таблиц и в расшифровках буквенных обозначений, входящих в формулы;
- использовать в тексте математический знак (-) перед отрицательными значениями величин. В этом случае следует писать слово “минус”;
- употреблять математические знаки без цифр, например: ≤ (меньше или равно), ≠ (не равно), а также знаки № (номер) и % (процент);
- применять индексы стандартов (ГОСТ, ОСТ, СТП) без регистрационного номера.
В тексте числа с размерностью следует писать цифрами, а без размерности – словами, например: “Себестоимость единицы продукции снизилась на 20 руб.”, “Национальный доход увеличился в два раза”.
Количество иллюстраций
должно быть достаточным для пояснения излагаемого текста.
Все иллюстрации (фотографии, графики, схемы, диаграммы и пр.) именуются рисунками
. Они должны быть выполнены в черно-белом варианте на нелинованной белой либо масштабно-координатной бумаге. Фотографии наклеиваются на белую бумагу.
Все иллюстрации (если их в проекте больше одной) нумеруются последовательно в пределах раздела (главы) арабскими цифрами. Номер иллюстрации состоит из номера раздела (главы) и порядкового номера иллюстрации в разделе (главе), разделенных точкой, например: Рисунок 1.1
. Если количество рисунков в работе невелико, то возможна сквозная нумерация рисунков по всей работе.
Каждый рисунок должен сопровождаться содержательной надписью. Надпись помещают под рисунком в одну строку с его номером. При необходимости под рисунком помещают поясняющие данные. Номер и название рисунка располагают после поясняющих данных.
Располагаться рисунок должен сразу после ссылки на него в тексте работы. Пример оформления рисунков приведен в приложении Г.
Цифровой материал, как правило, оформляют в виде таблиц
. Таблицы могут нумероваться сквозной (единой) нумерацией в пределах всей работы либо в пределах одного раздела (главы). В этом случае номер таблицы состоит из номера раздела (главы) и порядкового номера таблицы в этом разделе, разделенных точкой. Название таблицы пишется на одной строке после указания номера таблицы над самой таблицей. Название должно отражать содержание таблицы, быть точным и кратким. Подчеркивать заголовок таблицы не следует. Слова в названии таблицы переносить и сокращать нельзя.
Заголовки колонок и строк таблиц следует писать с прописной буквы, а подзаголовки – со строчной буквы, если они составляют одно предложение с заголовком, или с прописной буквы, если они имеют самостоятельное значение. В конце заголовков и подзаголовков таблиц точки не ставятся. Таблицы слева, справа, сверху и снизу, как правило, ограничиваются линиями. Помещают таблицы после первого упоминания их в тексте. Допускается применять размер шрифта в таблице меньший, чем в тексте.
При переносе таблицы на следующую страницу необходимо пронумеровать графы и повторить их нумерацию на следующей странице. Эту страницу начинают с надписи “Продолжение таблицы” с указанием ее номера. Если в конце страницы таблица прерывается и ее продолжение будет на следующей странице, то в первой части таблицы нижнюю горизонтальную линию, ограничивающую таблицу, не проводят. Отдельные графы «Номер по порядку», «Единицы измерения», «Примечания» в таблицу не включаются. Пример оформления таблиц приведен в приложении Д.
Формулы
, помещенные в тексте, должны нумероваться арабскими цифрами в пределах раздела (главы). Номер формулы состоит из номера раздела (главы) и порядкового номера формулы в разделе, разделенных точкой. Номер указывается с правой стороны листа на уровне формулы в круглых скобках. Ссылка в тексте на номер формулы дается в скобках, например, “… в формуле (2.1) ”. В качестве символов в формулах следует применять обозначения, установленные соответствующими стандартами. Значение каждого символа приводят с новой строки в той последовательности, в какой они приведены в формуле. Первая строка должна начинаться со слова “где” без двоеточия после него. Пример оформления формул приведен в приложении Е.
Материал, дополняющий работу, допускается помещать в приложениях
. Их помещают в конце дипломного проекта. Каждое приложение должно начинаться с нового листа (страницы) с указанием в верхней части страницы (посередине) слова “Приложение” и его обозначения. Приложение должно иметь заголовок, который подписывают симметрично относительно текста с прописной буквы отдельной строкой.
Приложения обозначают заглавными буквами русского алфавита, за исключением букв: Ё, З, Й, О, Ч, Ь, Ы, Ъ. Допускается обозначение приложений буквами латинского алфавита за исключением букв I и O.
В случае полного использования букв русского или латинского алфавита допускается обозначение приложений арабскими цифрами. Если в пояснительной записке одно приложение, то оно обозначается «Приложение А». Все приложения должны быть перечислены в содержании пояснительной записки с указанием их буквенного обозначения и заголовков.
Ссылки на использованную литературу
в тексте приводят в косых или квадратных скобках, указывая номер источника в соответствии с приведенным в Пояснительной записке библиографическим списком, например: “ … используя рекомендации Ануфриева И.И. /4/, принимаем …
. ”. В отдельных случаях в ссылках, кроме номера источника, указывается номер страницы, таблицы и т.п., например: /4, с.5/ или /8, т.2.3/.
Сведения о книгах в списке литературы
должны включать: фамилию и инициалы автора, заглавие книги, место издания, издательство и год издания, количество страниц. Фамилию автора следует указывать в именительном падеже.
Заглавие книги следует приводить в том виде, в каком оно дано на титульном листе книги. Название места издания необходимо приводить полностью в именительном падеже, допускаются сокращения названия четырех городов – Москва (М) и Санкт-Петербург (СПб.), Ростов-на-Дону (Ростов н/Д), Нижний Новгород (Н. Новгород).
Сведения о статье из периодического издания (журнала и т.п.) должны включать: фамилию и инициалы автора, заглавие статьи, наименование издания, год выпуска, номер издания.
Список литературы может быть сформирован двумя способами: либо в порядке упоминания источников в тексте, либо в алфавитном порядке.
Пример оформления библиографического списка содержится в приложении Ж.
3. Содержание задания и требования к нему
Для выполнения задания по курсовой работе используются данные, приведенные в приложении Н. Номер варианта курсовой работы выбирается по последней цифре номера зачетной книжки студента.
По данным своего варианта выявить закономерности изменения во времени одного из показателей развития отрасли (валовой продукции, производительности труда, фондоотдачи и т.д.) и осуществить его прогноз на заданную перспективу, оценив достоверность полученного прогноза. С этой целью необходимо:
1. Подготовить исходную информацию.
2. Провести содержательный анализ изучаемого объекта.
3. Отобрать факторы, влияющие на исследуемый показатель.
4. Проанализировать динамику показателя и факторов с помощью темпов роста, уравнения тренда, множественной регрессии.
5. Осуществить прогнозные расчеты по: темпам роста, уравнениям тренда.
6. Оценить достоверность полученных прогнозов, сделать выводы.
7. Изобразить графически фактические и прогнозные показатели.
Используя информацию из приложения Н об изменении во времени показателей Y, Х2
, Х3
, Х4
, Х6
, Х7
, X8
, провести анализ динамических рядов. Результаты расчета свести в таблицу. Первая часть работы
1)
отобрать факторы, влияющие на выходной показатель
Y
. Для этого требуется рассчитать
F
критерии и сравнить с табличными значениями;
По оставшимся (значимым) показателям Х и выходным показателем
Y
:
2) определить годовые (по отношению к предшествующему году) и общие (по отношению к первому году (принять за базу) показатели анализа ряда динамики;
3) рассчитать значения средних уровней динамических рядов, используя, в зависимости от характера ряда (моментный или интервальный), формулы средней арифметической или средней хронологической).
4) рассчитать значения среднегодовых темпов роста и темпов прироста показателей;
5) исходя из предположения о неизменности среднегодовых темпов роста, найти прогнозные значения показателей (период упреждения зависит от варианта);
6) сгладить динамические ряды методом скользящей средней, задав для сравнения несколько значений периода сглаживания (3, 5, 7 лет);
7) для каждого из сглаженных по трех-, пяти-, семилетней скользящей средней динамических рядов построить соответствующие уравнения тренда, воспроизводящие динамику показателей во времени
t
;
8)по данным приложения Н (по показателю фондоотдачи
Y
и значимых показателей Х) провести аналитическое выравнивание по прямой;
9) на основе построенных уравнений тренда спрогнозировать значения показателей на условно заданную перспективу ( в зависимости от варианта);
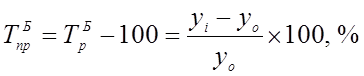
10) сравнить результаты, полученные в п. 8 оценив достоверность прогнозов с помощью коэффициента несоответствия Тейла (см. раздел 4.6).
| Номер варианта
|
Срок упреждения (для расчета прогнозных показателей), лет
|
Номер факторов, входящих в вариант
|
| 1
|
3
|
Х4
|
| 2
|
5
|
Х5
|
| 3
|
7
|
Х6
|
| 4
|
2
|
Х7
|
| 5
|
4
|
X
8
|
| 6
|
6
|
Х9
|
| 7
|
8
|
Х1
|
| 8
|
9
|
Х7
|
| 9
|
3
|
Х4
|
| 10
|
5
|
Х5
|
4 Методические указания к выполнению курсовой работы
4.1
Содержательный анализ объекта исследования
Содержательное изучение объекта должно сопутствовать всем этапам исследования, и выделение данного вопроса в виде отдельного параграфа правомерно лишь с позиции заострения внимания на важности проведения неформального анализа и опасности получения ошибочных выводов в случае чисто механического наложения на объект статистических методов.
В качестве примера можно привести анализ развития во времени добывающего предприятия, спецификой функционирования которого является кратковременный характер действия, обусловленный ограниченностью отводимой предприятию сырьевой базы. Под влиянием этого обстоятельства, а также в результате ухудшения, по мере эксплуатации, параметров сырьевой базы и усложнения условий добычи природных ресурсов, в динамике основных показателей предприятия прослеживается четко выраженная этапность.

Рисунок 4.1 - Изменение во времени объема добычи ресурсов (Q) стоимости основных производственных фондов (Ф), численности занятых (Т) и себестоимости единицы продукции (С) в нормированном измерении
Изображенные на рисунке показатели на разных этапах деятельности предприятия (наращивания производственных мощностей, стабилизации и спада) связаны различными соотношениями. Из этого со всей очевидностью следует необходимость дифференцированного подхода к моделированию каждого из этапов. Попытка описания развития предприятия единой статистической моделью, введу нарушения принципа однородности совокупности, может привести к самым абсурдным результатам.
Сложность качественного элемента исследования - в невозможности выработки готовых рецептов и рекомендаций. Многое определяется знанием конкретной ситуации, накопленным опытом, спецификой исследуемого объекта и, стало быть, зависит от творческой инициативы исследователя.
4.2 Методика отбора факторов
, влияющих на выходной показатель
На этой стадии исследования необходимо из множества факторов, сформированного на первом этапе путем чисто интуитивных соображений, отобрать факторы, действительно значимые с точки зрения их влияния на показатель. Научно обоснованное решение задач подобного вида осуществляется с помощью дисперсионного анализа - однофакторного, если проверяется существенность влияния того или иного фактора на рассматриваемый признак, или многофакторного в случае изучения влияния на него комбинации факторов.
Будем обозначать выходной показатель через Y
, воздействующие на него факторы - через Х1
, Х2
, ..., Хг
. По каждой из этих (
r
+1)
характеристик имеются динамические ряды протяженностью n - лет, уровни динамического ряда рассматриваются как элементы совокупности. Для того чтобы из исходного набора r факторов выбрать существенно влияющие на Y , рассмотрим последовательно каждую пару характеристик (Х
l
,Y
)
, где
l = 1,……,r.
Используем аппарат однофакторного дисперсионного анализа. Разобьем n
имеющихся элементов совокупности на т
групп по фактору Xl
и зафиксируем значения Yij
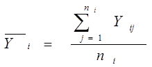
, попавшие в каждую из полученных групп. Найдем средние значения Y в группах 
(i = 1, ………., m)
(4.1)
где ni
- число элементов, попавших в группу i ,
Yij
- значение показателя Y , соответствующего j-му элементу в i-й группе.
Затем вычислим общую среднюю
(4.2)
Результаты расчетов удобно оформить в виде следующей таблицы.
Таблица 4.1 – Расчеты отбора факторов, влияющих на выходной показатель
| Номер группы
|
Значения пределов групп по фактору
Xl
|
Число элементов в группе
|
Значения показателя
Y
, соответствующие элементам группы
|
Групповые средние
|
| 1
2
.
.
m
|

|
nl
n2
nm
|
Yl1
Yl2……………
Yln1
Y21
Y22…………
Y2
т
2
Ym1
Ym2
……Ymnm
|
 

|
Найдем значение
, (4.3)
где
 (4.3.1)
(4.3.2)
Сравним полученное расчетное значение F с табличным F , найденным по таблицам f-распределения на основе трех параметров: уровня значимости
q % , числа степеней свободы (m-1) и
(4.4)
Если Fрасч.
F табл.
(см. приложение И), то влияние соответствующего фактора признается несущественным. И наоборот, если Fрасч.
Fтабл.
, влияние фактора существенно.
Сформированный в результате описанной процедуры набор значимых факторов используется на одной из последующих стадий исследования - при построении уравнения множественной регрессии.
Число групп можно определять по формуле Стерджесса, методом «сигм» или принять самостоятельно (не менее 5).
Пример определения существенности влияния показателя Х1
на
Y
, т.е. влияния коэффициентов роста производительности труда на фондоотдачу
Показатель Х1
коэффициенты роста производительности труда, % Распределяем на группы, определив n=5
По формуле определим значение интервала.
Максимальное значение 1,075. Минимальное значение – 1,014
(1,075 – 1,014): 5 = 0,012
Распределяем на группы с интервалом равным 0,012
Таблица 4.2 – Расчеты отбора факторов, влияющих на выходной показатель Х1
темпы роста производительности труда, %
| Номер группы
|
Значения пределов групп по фактору Xl
|
Число элементов в группе
(частота)
|
Значения показателя Y, соответствующие элементам группы
|
Групповые средние
 
|
| 1
|
2
|
3
|
4
|
5
|
| 1
|
1,014 – 1,026
|
3
|
2,70 2,63 2,55
|
2,63
|
| 2
|
1,027 – 1,039
|
4
|
3,13 3,00 2,80 2,74
|
2,92
|
| 3
|
1,040 – 1,052
|
7
|
3,14 3,18 3,26 3,18 3,05 2,90 2,86
|
3,08
|
| 4
|
1,053 – 1,065
|
0
|
| 5
|
1,066 – 1,08
|
3
|
3,37 3,20 3,02
|
3,20
|
| Всего
|
17
|
Рассчитаем по формуле (4.1) групповые средние и подставим в графу 5.

и т.д.
Рассчитаем общую среднюю по формуле (4.2):

Рассчитаем межгрупповую вариацию (дисперсию). Расчет представлен в таблице 4.3.
Таблица 4.3 – Расчет межгрупповой вариации (дисперсии)
| Групповые средние

|
 
|

|

|
| 2,63
|
-0,35
|
0,1225
|
0,3675
|
| 2,92
|
-0,06
|
0,0036
|
0,0144
|
| 3,08
|
0,1
|
0,01
|
0,07
|
| 3,2
|
0,22
|
0,0484
|
0,1452
|
| Всего
|
0,5971
|
Межгрупповая вариация (дисперсия) Q1
= 0,5971
Внутригрупповая или остаточная вариация (дисперсия) рассчитывается как:
Q2
=(2,7-2,63)2
+(2,63-2,63)2
+(2,55-2,63)2
+(3,13-2,92)2
+(3,00-2,92)2
+(2,8-2,92)2
+(2,74-2,92)2
+(3,14-3,08)2
+(3,18-3,08)2
+(3,26-3,08)2
+(3,18-3,08)2
+(3,05-3,08)2
+(2,9-3,08)2
+(2,86-3,08)2
+(3,37-3,2)2
+(3,20-3,20)2
+(3,02-3,20)2
=0,3076
Q
2
=0,3076
Тогда
Табличные значения F (Приложение И):
5% предел К1
=5-1=4 К2
=17-5=12 F=3,26
1% предел F=5,41
Сравнивая расчетное и табличные значения видим, что F-расчетное превышает табличные. Следовательно, влияние коэффициентов роста на производительность труда признается существенным.
Аналогичным образом производится проверка всех остальных факторов.
4.3 Методы выравнивания динамических рядов
Процесс развития общественных явлений во времени принято называть динамикой, а показатели, характеризующие это развитие,– рядами динамики.
Ряды динамики, характеризующие уровни развития общественных явлений на определенный момент времени, называются моментными рядами. Уровни моментного ряда суммированию не подлежат. Моментные ряды могут быть полными и неполными. Полный ряд характеризуется тем, что его уровни равно стоят во времени. В неполном моментном ряду принцип равных временных периодов не соблюдается.
Ряды динамики, характеризующие уровни развития общественных явлений за определенный период, называются интервальными рядами динамики.
Количественное изменение рядов динамики характеризуют следующие аналитические показатели:
1) абсолютный прирост;
2) темп роста;
3) темп прироста;
4) абсолютное значение одного процента прироста.
Величину, характеризующую изучаемое явление на определенный момент или за данный период, называют уровнем ряда и обозначают через у.
В рядах динамики различают начальный, конечный и средний уровень ряда.
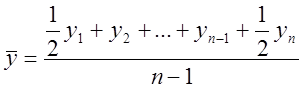
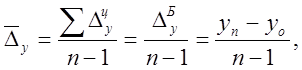
Средний уровень интервального ряда динамики рассчитывают как среднюю арифметическую простую:
(4.5)
где – сумма уровней ряда;
– число уровней.
Средний уровень полного моментного ряда (при равных отрезках времени между датами) равен
(4.6)
или
(4.6.1)
Для определения среднего уровня интервального ряда (с неравными промежутками между датами) используют формулу
(4.7)
где – время, в течение которого данный уровень оставался неизменным.
Показатели анализа ряда динамики
Показатели анализа ряда динамики могут быть рассчитаны цепным
и базисным
методами.
Если за базу сравнения принимается неизменная величина (как правило, начальный уровень ряда), то определяют базисные
величины.
Если база сравнения меняется, определяют цепные
величины.
Схема расчета показателей приведена на рисунке 4.2.
цепные показатели
базисные показатели
Рисунок 4.2 - Схема расчета показателей
Показатели анализа ряда:
1) Абсолютный прирост
а) базисный
(4.8)
б) цепной
, (4.9)
где – базисный абсолютный прирост за конечный уровень.
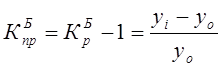
2) Коэффициент роста
а) базисный
(4.10)
б) цепной
(4.11)
3) Темп роста – это коэффициент роста, выраженный в процентах, т.е.:
а) базисный
; (4.12)
б) цепной
; (4.13)
4) Коэффициент прироста
а) базисный
; (4.14)
б) цепной
; (4.15)
5) темп прироста – это коэффициент прироста, выраженный в процентах:
Тприроста
= Кприроста
* 100
или
Тприроста
= Троста
– 100
а) базисный
; (4.16)
б) цепной
. (4.17)
Средние показатели ряда динамики
1) Средний абсолютный прирост – это обобщенная характеристика индивидуальных абсолютных приростов:
(4.18)
где n
–
число уровней ряда.
2) Средний темп роста
; (4.19)
средний коэффициент роста:
(4.20)
3) Средний темп прироста
. (4.21)
4) Среднее значение 1% прироста:
(4.22)
5) Абсолютное значение 1% прироста определяется как отношение абсолютного прироста к темпу прироста, выраженного в процентах:
(4.23)
Т.к. , то абсолютное значение одного процента прироста равно 0,01 предыдущего уровня:
(4.24)
Посредством анализа динамических рядов решается еще одна важная задача – характеристика тенденций в развитии явлений. Выявление основной тенденции развития
производится посредством выравнивания ряда динамики.
Этим недостатком не страдает другой способ выявления общей тенденции – способ скользящей средней. Сглаживание с помощью скользящей средней
заключается в последовательном расчете среднего уровня, сначала из определенного числа первых по счету уровней ряда, затем из того же числа уровней ряда, но начиная уже со второго по счету уровня ряда, далее из того же числа уровней ряда, но начиная с третьего уровня ряда и т.д. Таким образом, при образовании групп уровней ряда, из которых рассчитывается скользящая средняя, в каждой последующей группе отбрасывается начальный уровень предшествующей группы и добавляется следующий по порядку уровень ряда.
| Интервалы
|
Средние уровни
|
| Первый
|
(у1
+ у2
+ …+ у
n
) ×
n
|
| Второй
|
(у2
+ у3
+ …+ у
n
-1
) ×
n
|
| Третий
|
(у3
+ у4
+ …+ у
n
-2
) ×
n
|
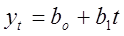
Более сложный метод выявления основной тенденции развития – метод аналитического выравнивания
. В этом случае уровни ряда замещаются уровнями, вычисленными на основе определенной кривой, которая выражает общую тенденцию изменения во времени изучаемого показателя.
При аналитическом выравнивании ряда динамики изменяющийся уровень показателя оценивается как функция времени.
, (4.25)
где У
t
– уровни динамического ряда, вычисленные по соответствующему аналитическому уравнению на момент времени.
В данной контрольной работе необходимо провести выравнивание по прямой.
Уравнение прямой имеет вид:
. (4.26)
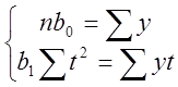
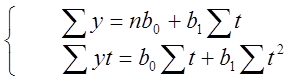
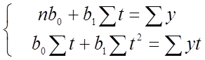
Для вычисления параметров уравнения используют метод наименьших квадратов. Для этого решается система нормальных уравнений:
. (4.27)
Для решения данной системы уравнений применяют способ определителей:
(4.28)
В уравнении прямой b
0
– это величина уровня, принятого за начальный;
b
1
– это средний абсолютный прирост уровней.
Для экстраполяции данных (прогнозирования) используют показатели среднего темпа роста и среднего абсолютного прироста при краткосрочном стратегическом прогнозировании (КСП). При КСП предполагается, что выявленная внутри ряда основная закономерность развития (тренд) сохраняется и при дальнейшем развитии. Поэтому если в статистическом ряду нет резких колебаний цепных показателей динамики, то для определения экстраполируемого уровня (yn
+1
) применяются формулы:
а) по среднему абсолютному приросту 
(4.29)
б) по среднему темпу роста 
(4.30)
При этом yn
– конечный уровень ряда динамики с вычисленными

– срок прогноза (упреждения).
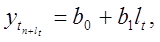
Для КСП может быть использован метод экстраполяции тренда на основе аналитического выравнивания уровней ряда динамики, отображающего динамику развития явления на отдельных этапах экономического развития.
Расчет экстраполируемого уровня производится по формуле
(4.31)
где b
0
и b
1
– параметры модели тренда;
lt
– показания времени прогнозируемого периода (период упреждения).
4.4 Примеры решения задач
Задача 1
Пусть имеются следующие данные о величине товарооборота фирмы за 5 лет (в сопоставимых ценах):
| Год
|
1
|
2
|
3
|
4
|
5
|
| Товарооборот, млн.руб.
|
50
|
54
|
62
|
70
|
80
|
Рассчитать:
1) средний уровень за 5 лет;
2) абсолютные приросты (цепные и базисные);
3) темпы роста (цепные и базисные);
4) среднегодовые показатели.
Решение:
1. Так как это интервальный ряд, то средний уровень ряда (среднегодовой товарооборот), определим как среднюю арифметическую простую:
.
Средние показатели ряда динамики:
а) средний абсолютный прирост:
;
б) средний темп роста:

или
;
в) средний темп прироста:
;
г) среднее значение 1 % прироста:
.
Задача 2
Имеются следующие данные о численности рабочих на 1 число каждого месяца:
на 1.01 …………300 человек,
на 1.02 …………330 человек,
на 1.03 …………338 человек,
на 1.04 …………320 человек.
Определить среднемесячную численность рабочих за 1 квартал.
Решение:
Так как это полный моментный ряд, то для нахождения среднего уровня ряда используем формулу средней хронологической:


Задача 3
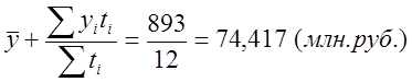
На 1 января отчетного года стоимость основных средств (ОС) составила 75 млн. руб.
В марте были приобретены ОС на сумму 2 млн. руб.
В мае выбыло ОС на сумму 7 млн. руб.
В сентябре было приобретено ОС на сумму 8 млн. руб.
Определить среднегодовую стоимость ОС предприятия.
Решение:
Сведем данные в таблицу.
Таблица 4.3 – Сводная таблица расчетов
| Дата
|
Стоимость ОС, млн.руб. 
|
Число месяцев, в течение которых стоимость не менялась, t
|

|
| 01.01
|
75
|
3
|
225
|
| 01.04
|
77 (75+2)
|
2
|
154
|
| 01.06
|
70 (77–7)
|
4
|
280
|
| 01.10
|
78 (70+8)
|
3
|
234
|
| Итого
|
893
|
.
Задача 4
Имеются следующие данные, характеризующие динамику производства валового выпуска продукции предприятия по месяцам. Требуется произвести сглаживание ряда, применяя трехмесячную скользящую среднюю.
| Месяц
|
Валовой выпуск продукции, млн.руб.
|
Скользящая сумма из трех членов
|
Скользящая средняя из трех членов
|
| Январь
|
63
|
-
|
-
|
| Февраль
|
93
|
63+93+102=258
|
253:3=86
|
| Март
|
102
|
93+102+117=312
|
312:3=104
|
| Апрель
|
117
|
102+117+126=345
|
345:3=115
|
| Май
|
126
|
117+126+117=360
|
360:3=120
|
| Июль
|
117
|
-
|
-
|
Задача 5
Имеются следующие данные о численности населения города за 5 лет (на начало года):
| Год
|
1
|
2
|
3
|
4
|
5
|
| Численность населения, тыс.чел.
|
72
|
78
|
83
|
87
|
90
|
Найти линию тренда, используя полученное уравнение, определить численность населения в 8 году (прогноз).
Решение:
1 метод
Предположив, что численность населения изменяется во времени по прямой , для нахождения параметров и решаем систему нормальных уравнений, отвечающих требованиям способа наименьших квадратов:
.
Далее в таблице 4.4 рассчитаны необходимые для решения системы уравнения суммы. Годы последовательно обозначены, как 1, 2, 3, 4, 5 (n
= 5
).
Таблица 4.4 –Выравнивание рядов динамики
| Год
|
Численность населения, тыс. чел.

|
Условное обозначение времени
|

|

|

|
| А
|
1
|
2
|
3
|
4
|
5
|
| 1
|
72
|
1
|
1
|
72
|
73
|
| 2
|
78
|
2
|
4
|
156
|
77,5
|
| 3
|
83
|
3
|
9
|
249
|
82
|
| 4
|
87
|
4
|
16
|
348
|
86,5
|
| 5
|
90
|
5
|
25
|
450
|
91
|
| n
= 5
|

|

|

|

|

|
Подставляя полученные суммы в систему уравнений
, получаем b
0
= 4,5;
b
1
= 68,5
.
Отсюда исходное уравнение тренда: .
Подставляя в это уравнение значения t: 1, 2, 3, 4, 5, находим выравненные (теоретические) значения yt
(графа 5).
Для 8 года t
= 8
. Следовательно, по прогнозу численность населения города в 8 году составит:
68,5 + 4,5 * 8 = 104,5 (тыс.чел.).
2 метод
Для решения данной задачи можно использовать и второй метод, упрощенный.
Если время (
t
)
обозначить так, чтобы t
= 0
(т.е. счет вести от середины ряда), то система упростится и примет вид:

Каждое уравнение в этом случае решается самостоятельно:

Необходимые для расчета b
0
и b
1
суммы приведены ниже в таблице 4.5.
Таблица 4.5 – Выравнивание рядов динамики
| Год
|
Численность населения, тыс. чел.

|
Условное обозначение времени
t
|

|

|

|
| А
|
1
|
2
|
3
|
4
|
5
|
| 1
|
72
|
-2
|
4
|
-144
|
73,0
|
| 2
|
78
|
-1
|
1
|
-78
|
77,5
|
| 3
|
83
|
0
|
0
|
0
|
82,0
|
| 4
|
87
|
1
|
1
|
87
|
86,5
|
| 5
|
90
|
2
|
1
|
180
|
91,0
|
| n
= 5
|

|

|

|

|

|
Получаем: 

отсюда уравнение прямой для выравненных уровней:
(линия тренда)
Выравненные значения:
для 1 года .
для 2 года .
для 3 года .
для 4 года .
для 5 года .
Численность населения в 8 году (
t
= 5)
находим по формуле:
.
Естественно, это величина условная при предположении, что линейная закономерность изменения численности населения, принятая для 1 - 5 годов, сохранится на последующий период до 8 года.
Для определения размеров погрешности или точности прогноза показателя Y рассчитаем коэффициент несоответствия Тейла по формуле (4.39). Числителем этого показателя является средняя квадратическая ошибка прогноза, а знаменателем – квадратный корень из среднего квадрата фактических значений показателя за условный прогнозируемый период.
Таблица 4.6 – расчет коэффициента несоответствия Тейла
| Фактические значения
Y
|
Выравненные значения
у
t
|
y-y
t
|
(y-y
t
)2
|
у2
|
| 72
|
73
|
-1
|
1
|
5329
|
| 78
|
77,5
|
0,5
|
0,25
|
6006,25
|
| 83
|
82
|
1
|
1
|
6724
|
| 87
|
86,5
|
0,5
|
0,25
|
7482,25
|
| 90
|
91
|
-1
|
1
|
8281
|
| 410
|
410
|
3,5
|
33822,5
|
Кт
=3,5/ = 0,019
Чем ближе значение к нулю, тем лучше результаты прогнозирования.
Таблица 4.7 - Аналитические показатели динамики товарооборота фирмы
| Год
|
Товаро-оборот, млн.руб.
|
Абсолютный прирост, млн.руб.
|
Темп роста, %
|
Темп прироста, %
|
Абсолютное значение 1 % прироста, тыс. руб.
|
| базисный

|
цепной

|
базисный

|
цепной

|
базисный

|
цепной

|
| А
|
1
|
2
|
3
|
4
|
5
|
6
|
7
|
8
|
| 1
|
50
|
0
|
-
|
100
|
-
|
0
|
-
|
-
|
| 2
|
54
|
54-50=4
|
54-50=4
|
54/50*100=108
|
54/50*100=108
|
108-100=8
|
108-100=8
|
500
|
| 3
|
62
|
62-50=12
|
62-54=8
|
62/50*100=
|
62/50*100-114,8
|
114,8-100=14,8
|
540
|
| 4
|
70
|
70-50=20
|
70-62=8
|
70/50*100=
|
70/62*100=112,9
|
112,9-100=12.9
|
620
|
| 5
|
80
|
80-50=30
|
80-70=10
|
80/50*100=
|
80/70*100=114,3
|
114,3-100=14,3
|
700
|
Перечень рекомендуемой литературы
1. Елисеева, И.И. Общая теория статистики: учебник /И.И.Елисеева, М.М.Юзбашев/- М.: Финансы и статистика, 1995.
2. Ефимова, М.Р. Общая теория статистики: Учебник / М.Р Ефимова, Е.В. Петрова, В.H. Румянцев/ - М.: ИHФРА-М, 1996.
3. Ряузов, H.H. Общая теория статистики. - М., 1990.
4. Адамов В.Е. Экономика и статистика фирм. - М., 1998.
5. Экономико-математические методы и прикладные модели: Учеб. Пособие для вузов/В.В.Федосеев, А.Н. Гармаш, Д.М. Дайитбегов и др.; Под ред. В.В.Федосеева. – М.:ЮНИТИ,1999.
6. Громыко Г.Л. Общая теория статистики: Практикум. - М.: ИНФРА-М, 1999.
Приложение А
Образец оформления титульного листа курсовой работы
ФЕДЕРАЛЬНОЕ АГЕНТСТВО ПО ОБРАЗОВАНИЮ
ГОСУДАРСТВЕННОЕ ОБРАЗОВАТЕЛЬНОЕ УЧРЕЖДЕНИЕ
ВЫСШЕГО ПРОФЕССИОНАЛЬНОГО ОБРАЗОВАНИЯ
«ИВАНОВСКАЯ ГОСУДАРСТВЕННАЯ ТЕКСТИЛЬНАЯ АКАДЕМИЯ»
(ИГТА)
КАФЕДРА МЕНЕДЖМЕНТА
Курсовая работа
по дисциплине: «статистикА»
Автор курсового проекта Иванова Н .Н. Иванова
подпись инициалы, фамилия
Группа _____2э4
____
Специальность 080502
«Экономика и управление на предприятии»_
Руководитель проекта
25.04.06 г. С.М. Степанова
подпись, дата инициалы, фамилия
Консультант 25.04.06 г. ______________
_
подпись, дата инициалы, фамилия
Иваново 2007 Приложение Б
Образец оформления задания на курсовую работу
ЗАДАНИЕ НА курсовую работу
Студент _______Иванова Наталья Николаевна
группа 2э4
Специальность 080502 «Экономика и управление на предприятии»
Вариант 7
Срок представления работы к защите «__
25
___»___апреля
________ 2006
г.
Руководитель работы ______ 12.02.06 г С.М.Степанова
_
подпись, дата инициалы, фамилия
Научный консультант __ 12.02.06 г.
_ ______________
__
подпись, дата инициалы, фамилия
Задание к исполнению принял (а) «_12_»_февраля _
2006 г.___ ___ Иванова__
_
подпись студента
Приложение В
Образец оформления содержания курсовой работы
Содержание стр.
Введение………………………………………….… ……………………………….Х
Глава 1. (Название главы)……………………….… ……………………………….Х
1.1. (Название пункта)………………………………...............................Х
1.2.(Название пункта)………………………………………………...…Х
Глава 2. (Название главы) ……………………..… ….……………….……………Х
2.1.(Название пункта)……………………………...………..….…… …..Х
2.2. (Название пункта)………….….…………..................... ………..…..Х
Глава 3.(Название главы)……………..… ………………………………….……....Х
3.1. (Название пункта)……………………..… …………………...……..Х
3.2. (Название пункта)……………………..… ……………………...…..Х
3.3. (Название пункта)…………………………………...............………..Х
Заключение …………………………………………..…………………..…………..Х
Библиографический список ………………………………………………..………..Х
Приложения …………………………………………………………….………..…..Х
Приложение Г
Образец оформления рисунков

Рисунок 1.1 - Изменение во времени объема добычи ресурсов (Q) стоимости основных производственных фондов (Ф), численности занятых (Т) и себестоимости единицы продукции (С)
Приложение Д
Образец оформления таблиц
Таблица 1.1- Численность рабочих фирмы по месяцам
| Месяцы
|
Численность рабочих, чел.
|
| Январь
Февраль
Март
Апрель
Май
Июнь
Июль
Август
Сентябрь
Октябрь
Ноябрь
Декабрь
|
620
640
710
730
880
920
990
980
970
870
740
630
|
| Итого
|
9680
|
Приложение Е
Пример оформления формул
……………………………………………………………………………………
В интервальном ряду Ме
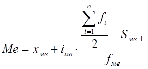
рассчитывается по медианному интервалу, ближайшая накопленная частота которого больше, либо равна полусумме всех частот ряда:
, (4.8)
где Хме
– нижняя граница медианного интервала;
iме
– величина медианного интервала;
Sме – 1
– накопленная частота интервала, предшествующего медианному;
f ме
- частота медианного интервала.
Приложение Ж
Образец оформления библиографического списка
7. Елисеева, И.И. Общая теория статистики: учебник /И.И.Елисеева, М.М.Юзбашев/- М.: Финансы и статистика, 1995.
8. Ефимова, М.Р. Общая теория статистики: Учебник / М.Р Ефимова, Е.В. Петрова, В.H. Румянцев/ - М.: ИHФРА-М, 1996.
Приложение И
F
- распределение
Значения 5% верхних пределов F в зависимости от степеней свободы К1
, К2
и уровня значимости q (5% пределы – верхняя строчка, 1% - нижняя)
| К2
|
К1
-степени свободы для большей дисперсии
|
| 1
|
2
|
3
|
4
|
5
|
6
|
7
|
8
|
9
|
10
|
| К2
- степени свободы для меньшей дисперсии
|
1
2
3
4
5
6
7
8
9
10
11
12
13
14
15
16
17
|
161
4052
18.51
98.49
10.13
34.12
7.71
21.20
6.61
16.26
5.99
13.74
5.59
12.25
5.32
11.26
5.12
10.56
4.96
10.04
4.84
9.85
4.75
9.33
4.67
9.07
4.60
8.86
4.54
8.68
4.49
8.53
4.45
8.40
|
200
4999
19.00
99.01
9.55
30.81
6.94
18.00
5.79
13.27
5.14
10.92
4.74
9.55
4.46
8.65
4.26
8.02
4.10
7.56
3.98
7.20
3.88
6.93
3.80
6.70
3.74
6.51
3.68
6.36
3.63
6.23
3.59
6.11
|
216
5403
19,16
99.17
9.28
29.46
6.59
16.69
5.41
12.06
4.76
9.78
4.35
8.45
4.07
7.59
3.86
6.99
3.71
6.55
3.59
6.22
3.49
5.95
3.41
5.74
3.34
5.56
3.29
5.42
3.24
5.29
3.20
5.18
|
225
5625
19.25
99.25
9.12
28.71
6.39
15.98
5.19
11.39
4.53
9.15
4.12
7.85
3.84
7.01
3.63
6.42
3.48
5.99
3.36
5.67
3.26
5.41
3.18
5.20
3.11
5.03
3.06 4.89
3.01 4.77
2.96
4.67
|
230
5764
19.30
99.30
9.01
28.24
6.26
15.52
5.05
10.97
4.39
8.75
3.97
7.46
3.69
6.63
3.48
6.06
3.33
5.64
3.20
5.32
3.II
5.06
3.02
4.86
2.96
4.69
2.90
4.56
2.85
4.44
2.Ы
4.34
|
234
5889
19.33
99.33
8.94
27.91
6.16
15.21
4.95
10.67
4.28
8.47
3.87
7.19
3.58
6.37
3.37
5.80
3.22
5.39
3.09
5.07
3.00
4.82
2.92
4.62
2.85
4.46
2.79
4.32
2.74
4.20
2.70
4.10
|
237
5928
19.36
99.34
8.38
27.67
6.09
14.98
4.88
10.45
4.21
8.26
3.79
7.00
3.50
6.19
3.29
5.62
3.14
5.21
3.01
4.88
2.92
4.65
2.84
4.44
2.77
4.28
2.70
4.14
2.66
4.03
2.62
3.93
|
239
5981
19.37
99.36
8.84
27.49
6.04
14.80
4.82
10.27
4.15
8.10
3.73
6.84
3.44
6.03
3.23
5.47
3.07
5.06
2.95
4.74
2.85
4.50
2.77
4.30
2.70
4.14
2.64
4.002.59
3.89
2.55
3.79
|
241
6022
19.38
99.38
8.81
27.34
6.00
14.66
4.78
10.15
4.10
7.98
3.68
6.71
3.39
5.91
3.18
5.35
3.02
4.95
2.90
4.63
2.80
4.39
2.27
4.19
2.65
4.03
2.59
3.89
2.54
3.78
2.50
3.68
|
242
6056
19.39
99.40
8.78
27.23
5.96
14.54
4.74
10.05
4.06
7.87
3.63
6.62
3.34
5.82
3.13
5.26
2.97
4.85
2.86
4.54
2.76
4.30
2.67
4.10
2.60
3.94
2.55
3.80
2.49
3.96
2.45
3.59
|
Приложение К
Сокращенная таблица случайных чисел
| 5583
|
3156
|
0835
|
1988
|
3912
|
0938
|
7460
|
0869
|
| 0935
|
7877
|
5665
|
7020
|
9255
|
7379
|
7124
|
7878
|
| 7559
|
2550
|
2487
|
9477
|
0864
|
2349
|
1012
|
8250
|
| 3554
|
5080
|
9074
|
7001
|
6249
|
3224
|
6368
|
9102
|
| 6895
|
3371
|
3196
|
7231
|
2918
|
7380
|
0438
|
7547
|
| 5634
|
5323
|
2623
|
7803
|
8374
|
2191
|
0464
|
0696
|
| 7803
|
8832
|
5119
|
6350
|
0120
|
5026
|
3684
|
5657
|
| 1428
|
1796
|
8447
|
0503
|
5654
|
3254
|
7336
|
9536
|
| 4534
|
2105
|
0368
|
7890
|
2473
|
4240
|
8652
|
9435
|
| 5141
|
7649
|
8638
|
6137
|
8070
|
5345
|
4865
|
2456
|
| 1277
|
6316
|
1013
|
2867
|
9938
|
3930
|
3203
|
5696
|
| 0951
|
5991
|
5245
|
3700
|
5564
|
7352
|
0891
|
6249
|
| 2179
|
4554
|
9083
|
2235
|
2965
|
51 54
|
1209
|
7069
|
| 2972
|
2885
|
0275
|
0144
|
8034
|
8122
|
3213
|
7666
|
| 1341
|
9860
|
6565
|
6981
|
9842
|
0171
|
2284
|
2707
|
| 5291
|
2354
|
5694
|
0377
|
5336
|
6460
|
9585
|
3415
|
| 2826
|
5238
|
5402
|
7937
|
1993
|
4332
|
2327
|
6875
|
| 1947
|
6380
|
3425
|
7267
|
7285
|
1130
|
7722
|
0164
|
| 0653
|
3645
|
7497
|
5969
|
8682
|
4191
|
2976
|
036I
|
| 6938
|
4899
|
5348
|
1641
|
3652
|
0852
|
5296
|
4538
|
| 8797
|
8000
|
7407
|
1880
|
9660
|
8446
|
1883
|
9768
|
| 4219
|
0807
|
3301
|
4279
|
4168
|
4305
|
9937
|
3120
|
| 1192
|
1175
|
8851
|
6432
|
4635
|
57 37
|
6656
|
1660
|
| 7702
|
6958
|
9080
|
5925
|
8519
|
0127
|
9233
|
2452
|
| 1730
|
6005
|
1704
|
0345
|
3275
|
4738
|
4862
|
2556
|
| 1257
|
6163
|
4439
|
7276
|
6353
|
6912
|
0731
|
9033
|
| 4260
|
5277
|
4998
|
4298
|
5204
|
3965
|
4028
|
8936
|
| 8713
|
1189
|
1090
|
8989
|
7273
|
3213
|
1935
|
9321
|
| 2589
|
1740
|
0424
|
8924
|
0005
|
1969
|
1636
|
7237
|
| 3855
|
4765
|
0703
|
1678
|
0841
|
7543
|
0308
|
9732
|
| 0480
|
8098
|
9629
|
4819
|
7219
|
7241
|
5128
|
3853
|
| 0426
|
9573
|
4903
|
5916
|
6376
|
8368
|
3270
|
6641
|
| 1656
|
7016
|
4220
|
2533
|
6435
|
8227
|
1904
|
5138
|
Приложение Л
Нормальное распределение
| z
|
0
|
1
|
2
|
3
|
4
|
5
|
6
|
7
|
8
|
9
|
| 0.0
|
0.0000
|
0 .0040
|
0.0080
|
0.0120
|
0.0160
|
0.0199
|
0.0239
|
0.0279
|
0.0319
|
0.0359
|
| 0.1
|
0.0398
|
0 .0438
|
0.0478
|
0.0517
|
0.0557
|
0.0596
|
0.0636
|
0.0675
|
0.0714
|
0.0753
|
| 0.2
|
0.0793
|
0 .0832
|
0.0871
|
0.0910
|
0.0948
|
0.0987
|
0.1026
|
0.1064
|
0.1103
|
1.1141
|
| 0.3
|
0.1179
|
0 .1217
|
0.1255
|
0.1293
|
0.1331
|
0.1368
|
0.1406
|
0.1443
|
0.1480
|
0.1517
|
| 0.4
|
0.1554
|
0 .1591
|
0.1628
|
0.1664
|
0.1700
|
0.1736
|
0.1772
|
0.1808
|
0.1844
|
0.1879
|
| 0.5
|
0.1915
|
0 .1950
|
0.1985
|
0.2019
|
0.2054
|
0.2088
|
0.2123
|
0.2157
|
0.2190
|
0.2224
|
| 0.6
|
0.2257
|
0.2291
|
0.2324
|
0.2357
|
0.2389
|
0.2422
|
0.2454
|
0.2486
|
0.2517
|
0.2549
|
| 0.7
|
0.2580
|
0 .2611
|
0.2642
|
0.2673
|
0.2703
|
0.2734
|
0.2764
|
0.2793
|
0.2823
|
0.2852
|
| 0.8
|
0.2881
|
0 .2910
|
0.2939
|
0.2967
|
0.2995
|
0.3023
|
0.3051
|
0.3078
|
0.3106
|
0.3133
|
| 0.9
|
0.3159
|
0 .3186
|
0.3212
|
0.3238
|
0.3264
|
0.3289
|
0.3315
|
0.3340
|
0.3365
|
0.3389
|
| 1.0
|
0.3413
|
0 .3438
|
0.3461
|
0.3485
|
0.3508
|
0.3531
|
0.3554
|
0.3577
|
0.3599
|
0.3621
|
| 1
.
1
|
0.3643
|
0 .3665
|
0.3686
|
0.3708
|
0.3729
|
0.3749
|
0.3770
|
0.3790
|
0.3810
|
0.3830
|
| 1.2
|
0.3849
|
0 .3869
|
0.3888
|
0.3907
|
0.3925
|
0.3943
|
0.3962
|
0.3980
|
0.3997
|
0.4015
|
| 1.3
|
0.4032
|
0 .4049
|
0.4066
|
0.4082
|
0.4099
|
0.4115
|
0.4131
|
0.4147
|
0.4162
|
0.4177
|
| 1.4
|
0.4192
|
0 .4207
|
0.4222
|
0.4236
|
0.4251
|
0.4265
|
0.4279
|
0.4292
|
0.4306
|
0.4319
|
| 1.5
|
0.4332
|
0 .4345
|
0.4357
|
0.4370
|
0.4382
|
0.4394
|
0.4406
|
0.4418
|
0.4429
|
0.4441
|
| 1.6
|
0.4452
|
0 .4463
|
0.4474
|
0.4484
|
0.4495
|
0.4505
|
0.4515
|
0.4525
|
0.4535
|
0.4545
|
| 1.7
|
0.4554
|
0 .4564
|
0.4573
|
0.4582
|
0.4591
|
0.4599
|
0.4608
|
0.4616
|
0.4625
|
0.4633
|
| 1.8
|
0.4641
|
0 .4649
|
0.4656
|
0.4664
|
0.4671
|
0.4678
|
0.4686
|
0.4693
|
0.4699
|
0.4706
|
| 1.9
|
0,4713
|
0 .4719
|
0.4726
|
0.4732
|
0.4738
|
0.4744
|
0.4750
|
0.4756
|
0.4761
|
0.4767
|
| 2,0
|
0.4772
|
0 .4778
|
0.4783
|
0.4788
|
0.4793
|
0.4798
|
0.4803
|
0.4808
|
0.4812
|
0.4817
|
| 2.1
|
0.4821
|
0 .4826
|
0.4830
|
0.4834
|
0.4838
|
0.4842
|
0.4846
|
0.4850
|
0.4854
|
0.4857
|
| 2.2
|
0.4861
|
0 .4864
|
0.4868
|
0.4871
|
0.4875
|
0.4878
|
0.4881
|
0.4884
|
0.4887
|
0.4890
|
| 2.3
|
0.4893
|
0 .4896
|
0.4898
|
0.4901
|
0.4904
|
0.4906
|
0.4909
|
0.4911
|
0.4933
|
0.4916
|
| 2.4
|
0.4918
|
0 .4920
|
0.4922
|
0.4924
|
0.4927
|
0.4929
|
0.4931
|
0.4932
|
0.4934
|
0.4936
|
| 2.5
|
0.4938
|
0 .4940
|
0.4941
|
0.4943
|
0.4945
|
0.4946
|
0.4948
|
0.4949
|
0.4951
|
0.4952
|
| 2.6
|
0.4953
|
0 .4955
|
0.4956
|
0.4957
|
0.4959
|
0.4960
|
0.4961
|
0.4962
|
0.4963
|
0.4964
|
| Окончание приложения Л
|
| 2.7
|
0.4965
|
0 .4966
|
0.4967
|
0.4968
|
0.4969
|
0.4970
|
0.4971
|
0.4972
|
0.4973
|
0.4974
|
| 2.8
|
0.4974
|
0 .4975
|
0.4976
|
0.4977
|
0.4977
|
0.4978
|
0.4979
|
0.4979
|
0.4980
|
0.4981
|
| 2.9
|
0.4981
|
0 .4982
|
0.4982
|
0.4983
|
0.4984
|
0.4984
|
0.4985
|
0.4985
|
0.4986
|
0.4986
|
| 3.0
|
0.4986
|
| 3.5
|
0.4997
|
| 4.0
|
0.4999
|
Приложение М
t
– распределение
| L
R
|
0.10
|
0.05
|
0.025
|
0.01
|
0.005
|
| 1
2
3
4
5
6
7
8
9
10
11
12
13
14
15
16
17
18
19
20
21
22
23
24
25
26
27
28
29
30
|
3.078
1.886
1.638
1.533
1.476
1.440
1.415
1.397
1.383
1.372
1.363
1.356
1.350
1.345
1.341
1.337
1.333
1.330
1.328
1.325
1.323
1.321
1.319
1.318
1.316
1.315
1.314
1.313
1.311
1.310
|
6.314
2.920
2.353
2.132
2.015
1.943
1.895
1.860
1.833
1.812
1.796
1.782
1.771
1.761
1.753
1.746
1.740
1.734
1.729
1.725
1.721
1.717
1.714
1.711
1.708
1.706
1.703
1.701
1.699
1.697
|
12.706
4.303
3.182
2.776
2.571
2.447
2.365
2.306
2.262
2.228
2.201
2.179
2.160
2.145
2.131
2.120
2.110
2.101
2.093
2.086
2.080
2.074
2.069
2.064
2.060
2.056
2.052
2.048
2.045
2.042
|
31.821
6.965
4.541
3.747
3.365
3.143
2.998
2.896
2.821
2.764
2.718
2.681
2.650
2.624
2.602
2.583
2.567
2.552
2.539
2.528
2.518
2.508
2.500
2.492
2.485
2.479
2.473
2.467
2.462
2.457
|
63.657
9.925
5.841
4.604
4.032
3.707
3.499
3.355
3.250
3.169
3.106
3.055
3.012
2.997
2.947
2.921
2.898
2.878
2.861
2.845
2.831
2.819
2.807
2.397
2.787
2.779
2.771
2.763
2.756
2.750
|
L – уровень значимости;
R – число степеней свободы.
Приложение Н
Динамика отдельных показателей развития
Год
|
У
|
X1
|
Х2
|
Х3
|
Х4
|
Х5
|
Х6
|
Х7
|
Х8
|
Х9
|
| 1
|
3,14
|
1,05
|
7.975
|
0,727
|
51.5
|
1.084
|
78.5
|
63.3
|
52.2
|
1.05
|
| 2
|
3,18
|
1,05
|
8.280
|
0,732
|
55.0
|
1.070
|
78.0
|
63.0
|
54.2
|
1.036
|
| 3
|
3,37
|
1,07
|
8.588
|
0,745
|
59.6
|
1.084
|
78.7
|
64.0
|
56.4
|
1.032
|
| 4
|
3,26
|
1,05
|
8.900
|
0,749
|
61.6
|
1.079
|
78.4
|
64.7
|
59.0
|
1.034
|
| 5
|
3,18
|
1,05
|
9.257
|
0,752
|
66.6
|
1.033
|
78.1
|
65.0
|
63.0
|
1.033
|
| 6
|
3,20
|
1,07
|
9.770
|
0,767
|
76.5
|
1.115
|
77.2
|
63.6
|
65.3
|
1.026
|
| 7
|
3,13
|
1,028
|
10.255
|
0,785
|
81.3
|
1.073
|
76.5
|
63.4
|
67.5
|
1.029
|
| 8
|
3,02
|
1,075
|
10.760
|
0,811
|
84.0
|
1.070
|
76.1
|
63.9
|
69.7
|
1.026
|
| 9
|
3,05
|
1,043
|
11.327
|
0,820
|
92.8
|
1.047
|
75.9
|
63.6
|
71.8
|
1.023
|
| 10
|
3,00
|
1,033
|
11.93
|
0,846
|
97.2
|
I.07I
|
75.2
|
64.4
|
73.9
|
1.024
|
| 11
|
2,90
|
1,040
|
12.59
|
0,864
|
105.6
|
1.086
|
74.6
|
64.7
|
75.1
|
1.024
|
| 12
|
2,86
|
1,047
|
12.90
|
0,868
|
107.1
|
1.045
|
75.5
|
64.0
|
76.7
|
1.020
|
| 13
|
2,80
|
1,033
|
13.50
|
0,891
|
110. 5
|
1.037
|
75.3
|
63.7
|
78.0
|
1.021
|
| 14
|
2,74
|
1,038
|
14.15
|
0,908
|
120.1
|
1.060
|
74.8
|
63.6
|
79.2
|
1.021
|
| 15
|
2,70
|
1,014
|
14.80
|
0,925
|
120.1
|
1.007
|
74.6
|
63.7
|
80.5
|
1.018
|
| 16
|
2,63
|
1,026
|
15.48
|
0,951
|
130.2
|
1.022
|
73.8
|
63.5
|
81.8
|
1.017
|
| 17
|
2,55
|
1,026
|
16.30
|
1,024
|
149.4
|
1.037
|
74.5
|
63.2
|
83.3
|
1.010
|
| 18
|
2,50
|
1,032
|
17.15
|
1,066
|
157.2
|
1.035
|
74.6
|
65.0
|
84.6
|
1.010
|
| 19
|
2,44
|
1,037
|
18.05
|
1,110
|
166.5
|
1.056
|
74.2
|
61.8
|
85.8
|
1.010
|
| 20
|
2,38
|
1,030
|
19.00
|
1,134
|
170. 1
|
1.020
|
74.0
|
61.6
|
86.8
|
1.007
|
Y – фондоотдача (выходной показатель);
Набор факторов, предположительно воздействующих на выходной показатель:
Х1
- темпы роста производительности труда (в процентах по отношению к
предыдущему году),
Х2
- фондовооруженность (в тыс. руб./чел.),
Х3
- материалоёмкость (в руб./руб. национального дохода),
Х4
- ввод в действие основных фондов (в млрд. руб.),
Окончание приложения Н
Х5
- темпы роста капитальных вложений (в процентах к предыдущему году),
Х6
- удельный вес в оборотных средствах запасов товарно-материальных ценностей (в процентах),
Х7
- доля промышленности в валовом общественном продукте (в процентах),
X8
- уровень образования населения, занятого в народном хозяйстве (удельный вес людей с высшим и средним образованием, в процентах),
Х9
- темпы роста рабочих и служащих (в процентах по отношению к предыдущему году).
|