| Украина. Министерство образования и науки
Автономной Республики Крым.
Крымское республиканское высшее учебное заведение
«Феодосийский политехнический техникум»
УТВЕРЖДАЮ
Зам директора по УР
___________ О. Г. Сердюкова
«_____»_____________ 2008 г.
Методические указания
к самостоятельной работе студентов
по дисциплине «Физика»
для студентов специальности
5090609 «Монтаж и эксплуатация электрооборудования промышленных предприятий и гражданских сооружений»
курс 2
Разработал преподаватель З. М. Ефремова
Рассмотрено на заседании цикловой комиссии
естественно – математических дисциплин.
Протокол № _______ от ____________ 2008 г.
Председатель цикловой комиссии
_________________________ С. И. Лесных
2008 г.
Общие положения
Для полного усвоения материала по дисциплине «Физика» необходимым эле –
ментом является его самостоятельное изучение студентами. При этом появляется возможность изучения вопросов по темам, не вошедшим в курс аудиторных занятий.
Кроме того самостоятельность в приобретении знаний формируется у студентов только в ходе собственной деятельности, с появлением внутренней потребности в знаниях, возникновением познавательных интересов.
Учебное время, отведенное для самостоятельной работы по дисциплине «Физика» для студентов второго курса специальности 5. 090609 «Монтаж и эксплуатация электрооборудования промышленных предприятий и гражданских сооружений» определяется рабочей программой дисциплины и составляет 72 часов.
1. Цели организации и выполнения
самостоятельной работы студентов
1.1. Формирование у студентов навыков самостоятельного приобретения знаний по вопросам физики и техническим вопросам, связанным с физикой.
1.2. Активизация познавательной и мыслительной деятельности студентов; раз –витие их творческих способностей.
1.3. Изучение тем по дисциплине «Физика», необходимых для дальнейшего ос –
воения общетехнических и специальных дисциплин и не рассматриваемых при про- ведении аудиторных занятий.
2. Задачи самостоятельной работы студентов
2.1. Самостоятельное обучение предусматривает овладение студентом умениями и навыками определять цель и содержание работы, умением организовывать соб –
ственное обучение.
2.2. В ходе выполнения самостоятельной работы студент должен обучиться при –
Забиваем Сайты В ТОП КУВАЛДОЙ - Уникальные возможности от SeoHammer
Каждая ссылка анализируется по трем пакетам оценки: SEO, Трафик и SMM.
SeoHammer делает продвижение сайта прозрачным и простым занятием.
Ссылки, вечные ссылки, статьи, упоминания, пресс-релизы - используйте по максимуму потенциал SeoHammer для продвижения вашего сайта.
Что умеет делать SeoHammer
— Продвижение в один клик, интеллектуальный подбор запросов, покупка самых лучших ссылок с высокой степенью качества у лучших бирж ссылок.
— Регулярная проверка качества ссылок по более чем 100 показателям и ежедневный пересчет показателей качества проекта.
— Все известные форматы ссылок: арендные ссылки, вечные ссылки, публикации (упоминания, мнения, отзывы, статьи, пресс-релизы).
— SeoHammer покажет, где рост или падение, а также запросы, на которые нужно обратить внимание.
SeoHammer еще предоставляет технологию Буст, она ускоряет продвижение в десятки раз,
а первые результаты появляются уже в течение первых 7 дней.
Зарегистрироваться и Начать продвижение
емам поиска и использования необходимой информации в соответствующей лите –
ратуре и других источниках информации.
2.3. Студент должен приобрести навыки самостоятельного использования полу –
ченных знаний для нахождения и обоснования ответов на вопросы и решения задач
по заданной теме.
3. Требования к знаниям и умениям студентов
3.1. При выполнении самостоятельной работы студент должен знать:
3.1.1. Физическую сущность изучаемого явления, соответствующие физические законы и закономерности.
3.1.2. Соответствующие физические понятия, физические величины и характе –
ристики, взаимосвязи физических величин.
3.1.3. Единицы измерения физических величин в системе СИ.
3.1.4. Иметь представление о практическом использовании изучаемых явлений и законов.
3.2. Студент должен уметь:
3.2.1. Пояснять физический смысл изучаемых явлений и понятий; формулировать соответствующие законы.
3.2.2. Записать формулы законов и взаимосвязей физических величин, используя соответствующие обозначения величин.
3.2.3. Использовать приобретенные знания для пояснения наблюдаемых явлений и возможностей их практического использования; для решения задач по заданной теме.
3.2.4. Составить реферат или сообщение по конкретному вопросу изучаемой темы.
4. Содержание отчета
После самостоятельного изучения заданной темы студент должен предоставить отчет о проделанной работе следующего содержания.
4.1. Титульный лист к отчету.
На титульном листе отчета должны быть указаны:
- наименование учебного заведения;
- предметная комиссия;
- наименование отчета;
- дисциплина;
- тема;
- исполнитель;
- преподаватель;
- год выполнения.
4.2. Отчет должен состоять из следующих разделов:
4.2.1. Цель изучения темы.
4.2.2. Конспект по изученному материалу, состоящий из разделов, соответствую –
щих перечню вопросов, предложенных для изучения.
4.2.3. Ответы на контрольные вопросы из перечня вопросов для самоконтроля.
4.2.4. Письменная работа по решению задач по изучаемой теме по индивидуаль –
ным заданиям.
4.3. В соответствии с уровнем подготовки студент может выполнить реферат, доклад или презентацию по выбранной теме. Такая работа оценивается по критериям
оценки творческой деятельности студентов.
Перечень тем для самостоятельного изучения
по дисциплине «Физика»
для студентов специальности
5090609 «Монтаж и эксплуатация электрооборудования промышленных предприятий и гражданских сооружений»
| № темы
|
Наименование темы
Сервис онлайн-записи на собственном Telegram-боте
Попробуйте сервис онлайн-записи VisitTime на основе вашего собственного Telegram-бота:
— Разгрузит мастера, специалиста или компанию;
— Позволит гибко управлять расписанием и загрузкой;
— Разошлет оповещения о новых услугах или акциях;
— Позволит принять оплату на карту/кошелек/счет;
— Позволит записываться на групповые и персональные посещения;
— Поможет получить от клиента отзывы о визите к вам;
— Включает в себя сервис чаевых.
Для новых пользователей первый месяц бесплатно.
Зарегистрироваться в сервисе
|
Количество часов
|
| Модуль 1
|
| 1
|
Электрический заряд. Электростатическое поле. Напряженность электрического поля. Потенциал, напряжение. Электроемкость.
|
10
|
| 2
|
Закон Ома. Характеристики тока проводимости в конкретных примерах. Работа и мощность тока. решение задач.
|
12
|
| 3
|
Магнитное поле. Напряженность магнитного поля. Действие магнитного поля на проводник с током и на заряженную частицу, движущуюся в магнитном поле.
|
8
|
| 4
|
Парамагнитные, диамагнитные, ферромагнитные вещества. Кривая начального намагничивания ферромагнетиков.
|
8
|
| Модуль 2
|
| 5
|
Закон Фарадея. Закон Ленца. Явление самоиндукции. Вихревые токи.
|
10
|
| 6
|
Переменный ток. Вращающееся магнитное поле. Асинхронный двигатель.
|
14
|
| 7
|
Преобразование переменного тока и напряжения. Принцип действия трансформаторов и их использование в технике.
|
10
|
Тема для самостоятельного изучения № 1
«Электрический заряд. Электростатическое поле.
Напряженность электрического поля. Потенциал, напряжение. Электроемкость.»
1. Цель
1.1. Уяснить физический смысл понятий об электрическом заряде как об особом свойстве тел и частиц вступать в электрическое взаимодействие; смысл физический смысл закона Кулона.
1.2. Раскрыть материальный характер электростатического поля, углубить понятие о силовой характеристике электрического поля – напряженности.
1.3. Уяснить физический смысл понятия «потенциальный характер электростати –
ческого поля»; расширить понятие об энергетических характеристиках электрического поля, раскрыть физический смысл понятий потенциал и разность потенциалов.
1.4. Углубить понятие электроемкости проводника, вывести формулу емкости пло- ского конденсатора.
1.5. Приобрести навыки использования изученных понятий и формул для решения задач по теме.
2. Вопросы для изучения
2.1. Изучение понятия «электрический заряд».
2.1.1. Описать явления, обусловленные электризацией тел.
2.1.2. Уяснить физический смысл понятия об электрическом заряде. Выяснить, что называют электрическим зарядом , из чего складывается электрический заряд тела, какими свойствами обладают электрические заряды, суть закона сохранения заряда.
2.1.3. Уяснить физический смысл закона Кулона, границы его применения.
2.1.4. Как зависит сила электростатического взаимодействия двух точечных зарядов от свойств среды? Уяснить физический смысл абсолютной и диэлектрической проницаемости среды.
2.2. Электрическое поле.
2.2.1. Раскрыть материальный характер электрического поля, описать его свойства.
2.2.2. Количественная характеристика силового действия электрического поля – напряженность электрического поля.
2.2.3. Уяснить физический смысл понятия «потенциальный характер электростати- ческого поля». Раскрыть физический смысл понятий потенциал и разность потенциа –
лов электрического поля.
2.2.4. Связь между напряженностью и разностью потенциалов.
2.2.5. Раскрыть суть принципа суперпозиции электрических полей.
2.3. Расширить понятие электрической емкости проводника.
2.3.1. Электроемкость уединенного проводника.
2.3.2. Взаимная электроемкость. Конденсаторы. Емкость плоского конденсатора. Емкость цилиндрического конденсатора. Соединения конденсаторов.
2.4. Решение задач по расчету напряженности и потенциала точки поля; емкости
конденсаторов по индивидуальному заданию.
3. Требования к знаниям и умениям студентов
3.1. Изучив тему, студент должен знать:
3.1.1. Физический смысл понятия «электрический заряд тела». Закон сохранения заряда. Закон Кулона, границы его применения. Физический смысл абсолютной и относительной диэлектрической проницаемости среды.
3.1.2. Понятие об электрическом поле как особом виде материи, свойства электри –
ческого поля. Физический смысл и формулы для определения напряженности, потен –
циала точки в электрическом поле, разности потенциалов двух точек в электрическом поле.
3.1.3. Принцип суперпозиции полей.
3.1.4. Суть явления поляризации диэлектрика.
3.1.5. Физический смысл понятия «электроемкость». Формулы для определения емкости конденсаторов, емкости соединений конденсаторов, определения энергии конденсаторов.
3.2. Студент должен уметь:
3.2.1. Решать задачи с использованием закона сохранения заряда и закона Кулона.
3.2.2. Рассчитывать напряженности различных электрических полей, роботу элек –
трического поля по перемещению заряда, потенциалы точек электрических полей, напряжение.
3.2.3. Рассчитывать электрические емкости конденсаторов различной формы и соединений конденсаторов.
3.2.4. Обосновывать ответы на вопросы по теме, составить сообщение или выполнить реферат по конкретному вопросу.
4. Вопросы для самоконтроля
4.1. Что называется электрическим зарядом? Чем определяется электрический заряд тела?
4.2. В чем состоит закон сохранения заряда?
4.3. Как проверить, что при соприкосновении электризуются оба тела?
4.4. В чем сходство и различие закона всемирного тяготения и закона Кулона?
4.5. Как влияет диэлектрическая среда на взаимодействие помещенных в нее двух
точечных зарядов?
4.6. Что такое электрическая постоянная и чему она равна в СИ?
4.7. Какие поля называются электростатическими?
4.8. Что такое напряженность электрического поля?
4.9. В чем состоит принцип суперпозиции электрических полей?
4.10.Чему равна напряженность поля точечного заряда, диполя?
4.11. Дайте определение потенциала электростатического поля.
4.12. Как связана работа перемещения заряда в электростатическом поле с напря –
женностью и потенциалом поля?
4.13. Какова связь между потенциалом и напряженностью электростатического по-
ля?
4.14. Что называется электроемкостью уединенного проводника и от чего она зави- сит?
4.15. Что называется взаимной электроемкостью двух проводников и от чего она
зависит?
4.16. В каких случаях следует применять те или иные способы соединения конден –
саторов?
5. Примеры решения задач
Задача 1.
Два маленьких шарика массой по 0,005 г каждый висят на шелковых нитях длиной 6 см, закрепленных в одной точке. Когда шарикам сообщили одинаковые по величине и знаку заряды q, нити разошлись на угол 60°. Определить величину заряда.

Рис.1
Дано:
m = 5 • 10-6
кг;
l = 6 • 10-2
м;
e = 1 (для воздуха);
a = 600
_____________________
q = ?
Решение. Шарик А находится в равновесии, если равнодействующая F его силы
тяжести Р = mg и электрической силы Fe
, действующей на него со стороны заряда шарика В, уравновешивается силой реакции Т нити (рис. 1). Следовательно, сила F должна быть направлена вдоль нити, а для этого необходимо, как видно из рис. 1, чтобы tg(a/2)=Fe
/mg. (а)
Заряды шариков можно считать точечными. По закону Кулона для взаимодействия точечных зарядов имеем Fe = q2
/4πεε0
r2
, где г = 2l sin (a/2). (б)
Решая совместно (а) и (б), получим:
q2
tg(a/2)= —————————
4πεε0
4l2
sin2
(a/2)mg
______________
q =4l sin (a/2) √ πεε0
mg tg (a/2)
Проверим размерность полученной величины:
1Кл2
1м1/2
[q] = [l]•[ε0
]•[m]1
/
2
•[g]1/2
= 1м•———— •1 кг1/2
•——— = 1 Кл
1(Н•м2
) 1с
Производим вычисления в СИ:
______________
q =4l sin (a/2) √ πεε0
mg tg (a/2) =
_________________________________
= 4•6• 10-2
• 0,5 √3,14 • 8,85 • 10-12
• 5 • 10-6
• 9,8 • 0,577 Кл =
= 3,4 • l0-9
Кл = 3,4 нКл.
Задача 2.
Два одинаковых положительных точечных заряда q1
= q2
= q находятся на рассто –
янии 2l = 10,0 см друг от друга. Найти на прямой MN (рис.2), являющейся осью сим –
метрии этих зарядов, точку, в которой напряженность электрического поля макси –
мальна.
Рис.2
Дано:
2l = 10 см = 0,1 м;
q1
= q2
= q;
ЕА
= max.
——————————
АО = x = ?
Решение. Выясним, почему такая точка должна существовать.
Напряженность Е
электрического поля в любой точке прямой MN складывается из нанряженностей Е1
и Е2
, созданных в этой точке зарядами q1
и q2
:
Е = Е1
+ Е2
.
При этом в точке О, лежащей между зарядами, сумма векторов Е1
и Е2
, одинаковых по модулю и противоположных по направлению, равна нулю. В точках прямой MN, весьма удаленных от зарядов, векторы Е1
и Е2
окажутся приблизительно одинаково направленными. Но и в этом случае их равнодействующая близка к нулю, поскольку оба слагаемых быстро убывают при удалении от зарядов, так как их величины обратно пропорциональны квадратам расстояний до зарядов. Следовательно, на прямой MN по обе стороны от зарядов должны быть точки, в которых напряженность поля достигает максимума.
Строго говоря, для этого необходимо также, чтобы напряженность поля в любой точке прямой МN была непрерывной функцией координаты этой точки. Можно показать, что это условие в задаче выполняется.
Чтобы решить задачу, найдем напряженность поля Е в произвольной точке А пря –
мой МN. Как видно из рисунка 2,
Е = 2 Е1
cosφ,
где φ – угол между вектором Е1
и прямой MN;
q
Е1
= ———— - величина точки в поле точечного заряд
4πε0
r2
2q cosφ
Е = ————— (1)
4πε0
r2
Обозначив отрезок О А через х и учитывая соотношения в Δ АОq1
:
______
r2
= l2
+ x2
; cos φ = x /√ l2
+ x2
,
вместо равенства (1) получим:
2q x
Е = ———————
4πε0
(l2
+ x2
)3/2
Эта формула выражает модуль вектора Е
в произвольной точке прямой МN как функ- цию координаты х этой точки, если начало отсчета вдоль оси x поместить в точке О. Чтобы найти максимум функции, продифференцируем ее по x и приравняем к нулю
производную:
dE 2q [(l2
+ x2
)-3/2
– 3x2
(l2
+ x2
)-5/2
]
—— = ————————————— = 0,
dx 4πε0
Отсюда находим : l 0,05
x1
= — = —— = 0,035 м
√2 √2
l 0,05
x2
= – — = – —— = – 0,035 м
√2 √2
Два значения х соответствуют двум точкам, расположенным по обе стороны от точки О на расстоянии 3,5 см от нее.
Задача 3.
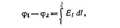
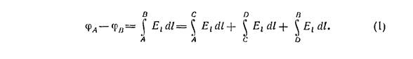
Определить работу, которую совершат силы поля при перемещении заряда q = 0,52 мкКл из точки А в точку В (рис. 3). Плоский конденсатор заряжен до разности потенциалов U = 100 В.
Рис. 3
Решение. Поскольку электрическое иоле плоского конденсатора заключено между его пластинами, точки А и В находятся вне поля. Поэтому можно было бы сделать вывод, что разность потенциалов между ними отсутствует. Однако в действительно –
сти это не так.
Разность потенциалов и напряженность электрического поля связаны формулой

Поскольку при этом интегрировать можно по любой линии, соединяющей точки А и В, выберем прямую АВ. Тогда получим

Так как во всех точках интервалов АС и DB поле отсутствует, видим, что из трех интегралов в правой части формулы (1) первый и третий равны нулю. Следовательно,

Таким образом, между точками А и В существует та же разность потенциалов, что и между пластинами конденсатора. Отсюда искомая работа по перемещению заряда согласно формуле

равна
Замечание. В действительности заряд q перемещается из точки А в точку В не по прямой АВ, а по некоторой кривой АnВ (см. рис. 3), обходя пластины конденсатора. Возникает вопрос: какие же силы совершают вычисленную нами работу, если поле кон денсатора заключено между его пластинами? Чтобы ответить на поставленный вопрос, следует учесть рассеивание силовых линий электрического поля у краев пла- стин. Чем дальше от краев, тем меньше напряженность, но зато тем больший путь
пройдет заряд q, двигаясь под действием сил электрического поля, чтобы попасть из точки А в точку В. В результате силы поля, перемещая заряд по любому пути из А в В, совершают одинаковую, отличную от нуля работу.
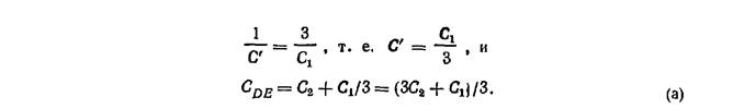
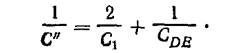
Задача 4.
Вычислить общую емкость системы, включенной между клеммами А и В в схеме, изображенной на рис. 5, а. Электрические емкости C1
= 2 мкФ и С2
= 1 мкФ.
Дано:
С1
= 2мкФ;
С2
= 1мкФ
––––––––––––
САВ
=?
Рис. 5
Решение. Участок цепи DE состоит из двух, соединенных параллельно ветвей, в одной из которых включены последовательно три одинаковые емкости С1
, а в другой емкость С2
. n
По формуле: С = ∑ Сi
.
i
= 1
Емкость CDE
этого участка цепи равна сумме емкостей обеих ветвей: CDE
= С’+ C2
,
где С’ — емкость первой ветви, которую находим по формуле :
. 1 n
1
— = ∑ — .
C i
= 1
Ci

Заменим участок цепи DE одной эквивалентной ему емкостью CDE
(рис. 5,б). Тогда искомая емкость CAB
будет равна сумме емкостей двух параллельных ветвей, одна из которых содержит емкости C1
, СDE
и С1
, соединенные последовательно, а другая - емкость С2
.
Обозначим общую емкость первой ветви через С", тогда по формуле для парал –
лельного соединения конденсаторов:
. n
С = ∑ Сi
i
= 1
САВ
= С" + С2
,
причем

Заменив емкость CDE
ее выражением (а), получим:

6. Темы рефератов
6.1. Методы и техника электростатических измерений потенциала.
6.2. Конденсаторы и их применение в технике.
6.3. Сегнетоэлектрики в современной электротехнике.
7. Форма отчета
7.
1. Конспект изученного материала по вопросам для изучения.
7.2. Письменная работа по решению задач по индивидуальным заданиям.
8. Формы контроля
8.1. Проверка конспекта.
8.2. Проверка письменной работы по решению задач.
8.3. Экспресс-опрос.
9. Литература
9.1. Жданов Л. С., Жданов Г. Л. Учебник для средних специальных учебных заведений. К. Вища школа, 1983.
9.2. Сборник задач по физике (для средних специальных учебных заведений). Под редакцией Гладковой. М., Наука, 1984.
9.3. Яворский Б. М., Детлаф А. А. Курс физики. Том 2. Учебник для студентов высших учебных заведений. М., «Высшая школа», 1977.
9.4. Савельев И.В. Курс общей физики. Том 2. М., «Наука», Главная редакция Физико-математической литературы, 1987.
9.5. Попов В. С. Теоретическая электротехника. Учебник для студентов средних специальных учебных заведений. М., Энергия. 1978.
9.6. Попов В. С. Электрические измерения. Учебник для средних специальных учебных заведений. М. Энергия. 1985.
9.7. Иродов И. Е. Задачи по общей физике.Учебное пособие для студентов высших учебных заведений. М., «Наука». 1988.
Тема для самостоятельного изучения № 2
«Закон Ома. Характеристики тока проводимости в конкретных примерах. Работа и мощность тока. решение задач»
1. Цель
1.1. Углубить знания об электрическом токе. Расширить содержание понятия силы тока на основе электронных представлений.
1.2. Углубить знания о функциональной зависимости I = f(U, R). Изучить закон Ома для неоднородного участка цепи; закон Ома в дифференциальной форме.
1.3. Приобрести навыки использования законов постоянного тока и характеристик тока проводимости при расчете конкретных разветвленных цепей постоянного тока.
1.4. Выяснить характер зависимости между энергией, выделяемой на участке цепи, электрическим током и сопротивлением этого участка. Научиться составлять баланс мощностей, затрачиваемых и выделяемых в электрических цепях.
2. Вопросы для изучения
2.1. Выяснить условия возникновения и протекания электрического тока в провод –
никах. Изучить величины, характеризующие протекание тока в проводниках произ –
вольной формы в произвольные моменты времени (силу тока и плотность тока). Ознакомится с основами классической электронной теории электропроводности металлов.
2.2. Изучить зависимость плотности тока в произвольном сечении проводника от напряженности электрического поля в проводнике и проводимости проводника (закон Ома в дифференциальной форме).
2.3. Рассмотреть закономерности выделения тепла в произвольном месте проводни- ка при прохождении по нему тока (закон Джоуля–Ленца в дифференциальной форме).
2.4. Обобщить закон Ома для участка цепи, содержащего ЭДС (неоднородного участка цепи), исходя из закона сохранения энергии.
2.5. Выяснить, от чего зависит и как определяется мощность, развиваемая источни- ком тока; полная мощность, выделяемая в цепи и мощность, выделяемая на внешнем участке цепи.
2.6. Научиться определять коэффициент полезного действия источника тока.
2.7. Научиться составлять баланс мощностей в простых электрических цепях при прохождении по ним тока.
2.8. Решить задачи по расчету разветвленных электрических цепей, используя законы Ома, Джоуля - Ленца и правила для различных соединений потребителей в электрических цепях, по индивидуальному заданию.
3. Требования к знаниям и умениям студентов
3.1. Изучив тему, студент должен знать:
3.1.1. Величины, характеризующие протекание тока через произвольное сечение проводника в произвольный момент времени в электронной теории электропровод –
ности проводников.
3.1.2. Условия протекания тока в проводниках.
3.1.3. Закон Ома в дифференциальной форме.
3.1.4. Закон Ома для неоднородного участка цепи.
3.1.5. Закон Джоуля – Ленца в дифференциальной форме.
3.1.6. Определение мощности, развиваемой источником тока, и мощности, выделя-
емой в цепи.
3.1.7. Понятие КПД источника.
3.2. Студент должен уметь:
3.2.1. Рассчитывать значения силы тока, напряжения, сопротивлений проводников и участков цепи по заданной схеме с применением законов Ома и правил для различ –
ных соединений потребителей.
3.2.2. Рассчитывать энергию и мощность, выделяемую в цепи и на участке цепи, ис-
пользуя закон Джоуля – Ленца.
3.2.3. Рассчитывать мощность, развиваемую источником тока и КПД источника.
3.2.4. Составлять баланс мощностей при протекании тока в электрической цепи.
4. Вопросы для самоконтроля
4.1. Как можно судить о существовании тока в проводнике?
4.2. Каковы условия существования тока в проводнике?
4.3. Какие силы называются сторонними?
4.4. Поясните физический смысл электродвижущей силы, напряжения и разности потенциалов.
4.5. Поясните физический смысл понятий сила тока и плотность тока с точки зре –
ния классической электронной теории проводимости.
4.6. В чем состоит закон Ома для участка цепи, для замкнутой цепи?
4.7. Каков физический смысл закона Ома, представленного в дифференциальной форме?
4.8. Сформулируйте закон Джоуля – Ленца .
4.9. Как определить мощность, развиваемую источником тока?
4.10.Какими приборами и как можно определить мощность электрического тока на каком-либо участке цепи?
4.11.При каких условиях в потребителе и источнике тока выделяется одинаковая мощность?
4.12.В чем причина короткого замыкания? К чему оно приводит в электрической цепи?
5. Примеры решения задач
Задача 1.
Определить плотность тока в медной проволоке длиной l = 10м, если разность потенциалов на ее концах (φ1
– φ2
) равна 12 В.
j = ?
–––––––––
l = 10м;
(φ1
– φ2
) = 12 В.
рмеди
= 1,7 • 10~8 Ом • м
Решение. Плотность тока, определяемую формулой:
d I
j = ––– ,
d S
найдем, выразив силу тока I по закону Ома для участка однородной цепи. Тогда с учетом формулы для сопротивления проводника длиной l с площадью поперечного сечения S
R = ρ •l/S,
где ρ — удельное сопротивление материала проводника, получим:
I = (φ1
— φ2
) S/ρ•l.
Отсюда плотность тока:
d I
j = ––– = (φ1
— φ2
) /ρ•l (1)
d S
К этому же результату можно прийти, применив закон Ома в дифференциальной фор- ме:
j = σ Е, (2)
предварительно выразив напряженность электрического поля внутри однородного проводника через разность потенциалов на концах проводника и его длину:
Е = (φ—φ)/l.
Подставив это значение Е в формулу (2) и учитывая, чтоσ = 1/ρ, снова по-
получим ответ (1).
Взяв из справочных таблиц значение удельного сопротивления меди
рмеди
= 1,7 • 10~8 Ом • м
и выполнив вычисление по формуле (1), найдем:
j = 7 • 107
А/м2
.
Задача 2.
Определить сопротивление резистора по заданным условиям. Если вольтметр со –
единить последовательно с резистором сопротивлением R = 10,0 кОм, то при напря –
жении U0
= 120 В он покажет U1
= 50,0 В (рис. 1). Если соединить его последователь- но с резистором неизвестного сопротивления Rх
, то при том же напряжении вольтметр покажет U2
= 10,0 В.
Rx
= ?
––––––––––––
R = 10,0 кОм = 103
Ом;
U0
= 120 В;
U1
= 50,0 В;
U2
= 10,0 В.
Рис. 1
Решение. Данная цепь представляет собой последовательное соединение двух эле- ментов: вольтметра и резистора. При последовательном соединении сила тока одина- кова на всех участках цепи. Рассматриваемая цепь является однородной. Напряжения на отдельных участках такой цепи, совпадающие с разностями потенциалов на их
концах и дающие в сумме напряжение на всей цепи, распределяются всегда пропор –
ционально сопротивлениям участков, что следует из закона Ома:
I = (φ1
– φ2
)/R
Заметим, что вольтметр измеряет разность потенциалов между теми точками, к которым он подключен (точки а и b на рис. 1). Другими словами, вольтметр измеряет напряжение на концах того участка цепи, которым он сам является. Поэтому для двух элементов цепи — вольтметра и резистора — можно составить пропорцию:
U1
/RV
= (U0
– U1
) / R, (1)
где U1
— напряжение на вольтметре, Rv
- его сопротивление; (U0
– U1
) - напряжение на резисторе сопротивлением R. Для случая, когда включен резистор с неизвестным сопротивлением, можем также записать:
U2
/RV
= (U0
– U2
) / Rх
, (2)
где U2
– напряжение на вольтметре во втором случае; (U0
– U2
) - напряжение на резисторе сопротивлением Rх
; Rх
– неизвестное сопротивление второго резистора.
Исключив из уравнений (1) и (2) величину Rv, получим:

Задача 3.
Определить показания вольтметра Uab
, включенного в цепь по схеме на рисунке 2, если его сопротивление Rv = 2,0кОм. Элементы цепи, схема которой изображена на рис. 2, имеют следующие значения: E1
= 1,50 В, E2
= 1,6 В, R1
= 1,0 кОм, R2
= 2,0 кОм. Сопротивлением источников напряжения и соединительных проводов пренебречь.

Uab
= ?
––––––––––––
Rv = 2,0кОм = 2,0•103
Ом,
E1
= 1,50 В, E2
= 1,60 В,
R1
= 1,0 кОм = 1,0•103
Ом,
R2
= 2,0 кОм = 2,0•103
Ом.
Рис. 2
Решение. Здесь требуется найти разность потенциалов между точками а и b, кото –
рую измеряет вольтметр, подключенный к этим точкам. В данном случае сопротив –
ление Rv одного
порядка с R1
и R2
, поэтому пренебречь током I в цепи вольтметра нельзя. Таким обра- зом, здесь имеется разветвленная цепь, по трем участкам которой текут разные токи: I1
, I2
и I, (рис.2). Задачу можно решить двумя способами: используя правила Кирхгофа для разветвленных цепей или применив первое правило Кирхгофа и закон Ома для участка неоднородной цепи. Рассмотрим оба способа.
1. Искомая разность потенциалов по закону Ома для участка однородной цепи равна Uab
= φа
– φb
= I RV
. (1)
Чтобы определить силу тока I в цепи вольтметра, применим правила Кирхгофа. Обозначив на рис.2 направления всех токов (для тока I делаем это лишь предположи –
тельно), согласно первому правилу Кирхгофа запишем для узла а:
I2
– I1
– I = 0 (2)
Для составления остальных двух независимых уравнений воспользуемся вторым пра –
вилом Кирхгофа. Предварительно выбрав направление обхода замкнутых контуров, например по часовой стрелке, и учитывая правило знаков, получим соответственно для контуров аR1
bа и abR2
a:

6. Темы рефератов
6.1. Опытные доказательства электронной проводимости металлов.
6.2. Методы программирования в расчетах разветвленных электрических цепей.
6.3. Возможности использования компьютерных технологий в учете потребления электроэнергии.
7. Форма отчета
7.
1. Конспект изученного материала по вопросам для изучения.
7.2. Письменная работа по решению задач по индивидуальным заданиям.
8. Формы контроля
8.1. Проверка конспекта.
8.2. Проверка письменной работы по решению задач.
8.3. Экспресс-опрос.
9. Литература
9.1. Жданов Л. С., Жданов Г. Л. Учебник для средних специальных учебных заведений. К. Вища школа, 1983.
9.2. Сборник задач по физике (для средних специальных учебных заведений). Под редакцией Гладковой. М., Наука, 1984.
9.3. Яворский Б. М., Детлаф А. А. Курс физики. Том 2. Учебник для студентов высших учебных заведений. М., «Высшая школа», 1977.
9.4. Савельев И.В. Курс общей физики. Том 2. М., «Наука», Главная редакция Физико-математической литературы, 1987.
9.5. Попов В. С. Теоретическая электротехника. Учебник для студентов средних специальных учебных заведений. М., Энергия. 1978.
9.6. Попов В. С. Электрические измерения. Учебник для средних специальных учебных заведений. М. Энергия. 1985.
9.7. Иродов И. Е. Задачи по общей физике.Учебное пособие для студентов высших учебных заведений. М., «Наука». 1988.
Тема для самостоятельного изучения № 3
«
Магнитное поле. Напряженность магнитного поля.
Действие магнитного поля на проводник с током и
на
заряженную частицу, движущуюся в магнитном поле
»
1. Цель
1.1. Раскрыть материальный характер магнитного поля. Углубить представление о силовой характеристике магнитного поля.
1.2. Изучить действие магнитного поля на проводник с током.
1.3. Освоить методы решения задач по определению характеристик различных магнитных полей и оценке действия магнитных полей на различные проводники с током и движущиеся заряженные частицы.
2. Вопросы для изучения
2.1. Основные свойства магнитного поля и способы его создания. Описать опыты Г. Эрстеда; А. Ф. Иоффе; А. А. Эйхенвальда и обобщить результаты опытов.
2.2. Изучить действие магнитного поля на проводник с током , закон Ампера.
2.3. Изучить действие магнитного поля на движущуюся заряженную частицу, рас-
смотреть понятие силы Лоренца.
2.4. Изучить понятие силовой характеристики магнитного поля – магнитной ин –
дукции.
2.5. Изучить понятие векторной характеристики магнитного поля – напряженно –
сти магнитного поля, связь между напряженностью магнитного поля и магнитной ин –
дукцией.
2.6. Решение задач по определению характеристик различных магнитных полей и оценке действия магнитных полей на различные проводники с током и движущиеся заряженные частицы по индивидуальным заданиям.
3. Требования к знаниям и умениям студентов
3.1. Изучив тему, студент должен знать:
3.1.1. Понятие о магнитном поле как особом виде материи, свойства магнитного
поля. Физический смысл и формулы для определения силовой характеристики магнит-
ного поля – магнитной индукции, способ графического изображения магнитных полей.
3.1.2. Действие магнитного поля на проводник с током. Закон Ампера. Определе –
ние направления силы Ампера, действующей на проводник с током в магнитном поле.
Зависимость силы Ампера от силы тока и характеристик магнитного поля. Действие магнитного поля на рамку с током.
3.1.3. Действие магнитного поля на движущиеся заряженные частицы. Определе –
ние величины и направления силы Лоренца.
3.2. Студент должен уметь:
3.2.1. Пояснять физический смысл понятий «магнитная индукция» и напряжен –
ность магнитного поля.
3.2.2. Использовать правило правого винта и правило левой руки для определения направления вектора магнитной индукции в точках различных магнитных полей.
3.2.3. Формулировать закон Ампера.
3.2.4. Решать задачи по определению величины магнитной индукции поля, силы Ампера, действующей на проводник с током в магнитном поле, напряженность маг –
нитного поля.
3.2.4. Пояснять действие магнитного поля на движущиеся в нем заряженные части- цы и уметь рассчитывать их скорости, силу Лоренца, описывать траектории их движе- ния.
4. Вопросы для самоконтроля
4.1. Какие взаимодействия называют магнитными?
4.2. Опишите опыты Эрстеда, Иоффе и Эйхенвальда, позволившие обнаружить магнитное действие токов.
4.3. В чем состоит закон Ампера? Какова особенность сил электромагнитного
взаимодействия?
4.4. Какая величина является силовой характеристикой магнитного поля?
Дайте ее определение.
4.5. Что называется линиями магнитной индукции? Как устанавливается их
направление? Нарисуйте линии магнитной индукции для простейших магнит-
магнитных полей.
4.6. В чем состоит гипотеза Ампера о природе магнетизма?
4.7. Охарактеризуйте магнитное поле движущегося заряда.
4.8. От чего зависит сила, действующая на прямолинейный проводник с током во внешнем магнитном поле?
4.9. Почему магнитное поле не действует на проводник без тока? Ведь свободные электроны в проводнике находятся в постоянном тепловом движении.
4.10. Как действуют иа плоский замкнутый коитур тока однородное и неоднород –
ное магнитные поля?
4.11. Какая сила действует на электрический заряд, движущийся в магнитном поле? Чему оиа равна и как направлена?
4.12. Объясните взаимодействие параллельных проводников с токами на основе взаимодействия между движущимися зарядами.
5. Примеры решения задач
Задача 1.
С какой силой действует постоянный ток силой 10 А, проходящий по прямолиней- ному бесконечно длинному проводнику, на контур из провода, изогнутого в форме квадрата? Проводник расположен в плоскости контура параллельно двум его сторо –
нам. Длина стороны контура 40 см, сила тока в нем 2,5 А. Направления токов указаны на рис. 1. Расстояние от прямолинейного тока до ближайшей стороны контура равно 2 см.
F — ?
——————
Дано:
I=10 А ;
I1
= 2,5 А ;
l = 0,4м;
a = 0,02 м;
μ = 1 (для воздуха).
Рис.1
Решение. Во всех точках контура ACDE векторы В индукции магнитного поля
прямолинейного тока I направлены перпендикулярно плоскости контура (за чертеж при выбранных на рис. 1 направлениях тока I и взаимном расположении прямолиней- ного проводника и контура). Стороны контура AC a DE одинаково расположены по отношению к прямолинейному проводнику с током I, однако направления тока I1
в них прямо противоположны. Поэтому силы F2
и F4
, действующие со стороны магнитного поля тока I на участки АС и DE контура стоком I1
, численно равны и противоположны
по направлению: F2
= — F4
, так что F2
+F4
= 0.
Задача 2.
Определить магнитную индукцию в центре днска Тонкий диск, радиус которого 25 см, сделан из диэлектрика и равномерно заряжен по поверхности. Заряд диска 5 Кл. Диск вращается в воздухе вокруг оси, проходящей через его центр и перпендикуляр –
ной его плоскости, с постоянной угловой скоростью, делая 5 оборотов за секунду..

Задача 3.
Определить момент импульса электрона. Электрон, прошедший в ускоряющем электрическом поле разность потенциалов 10 кВ, движется в однородном магнитном поле с индукцией 0,5 Т, перпендикулярной его скорости.

6. Темы рефератов
6.1. Магнитоєлектрические и єлектродинамические измерительные приборы.
6.2. Экспериментальное определение удельного заряда частиц.
(Массс – спектрография).
7. Форма отчета
7.
1. Конспект изученного материала по вопросам для изучения.
7.2. Письменная работа по решению задач по индивидуальным заданиям.
8. Формы контроля
8.1. Проверка конспекта.
8.2. Проверка письменной работы по решению задач.
9. Литература
9.1. Жданов Л. С., Жданов Г. Л. Учебник для средних специальных учебных заведений. К. Вища школа, 1983.
9.2. Сборник задач по физике (для средних специальных учебных заведений). Под редакцией Гладковой. М., Наука, 1984.
9.3. Яворский Б. М., Детлаф А. А. Курс физики. Том 2. Учебник для студентов высших учебных заведений. М., «Высшая школа», 1977.
9.4. Савельев И.В. Курс общей физики. Том 2. М., «Наука», Главная редакция Физико-математической литературы, 1987.
9.5. Попов В. С. Теоретическая электротехника. Учебник для студентов средних специальных учебных заведений. М., Энергия. 1978.
9.6. Попов В. С. Электрические измерения. Учебник для средних специальных учебных заведений. М. Энергия. 1985.
9.7. Иродов И. Е. Задачи по общей физике.Учебное пособие для студентов высших учебных заведений. М., «Наука». 1988.
Тема для самостоятельного изучения №
4
«
Парамагнитные, диамагнитные, ферромагнитные вещества.
Кривая начального намагничивания ферромагнетиков»
1. Цель
1.1. Углубить представления о магнитных свойствах вещества. Ознакомиться с основными отличиями ферромагнетиков от других веществ.
1.2. Освоить решение задач по определению магнитной проницаемости среды.
2. Вопросы для изучения
2.1. Ознакомиться с понятием магнитной проницаемости вещества.
2.2. Изучить свойства диамагнетиков и парамагнетиков, сравнить их. Уяснить по- нятие «интенсивность намагничивания вещества».
2.3. Ферромагнетизм.
2.3.1. Изучить свойства ферромагнетиков.
2.3.2. Экспериментальное изучение ферромагнетиков, зависимость интенсивности
намагничивания железа от напряженности магнитного поля.
2.3.3. Выяснить сущность явления магнитного насыщения.
2.3.3. Выяснить сущность явления остаточной намагниченности в ферромагнети –
ках.
2.3.4. Явление гистерезиса в ферромагнетиках. Пояснить график зависимости ин –
тенсивности намагничивания железа от напряженности магнитного поля.
2.3.5. Понятие о природе ферромагнетизма.
2.4. Решение решения задач по определению магнитной проницаемости среды.
3. Требования к знаниям и умениям студентов
3.1. Изучив тему, студент должен знать:
3.1.1. Физический смысл понятия «магнитная проницаемость вещества».
3.1.2. Иметь представление о различиях в магнитных свойствах сред, о влиянии магнитного поля на движении электронов в атомах и зависимости магнитных свойств веществ от орбитальных магнитных моментов атомов. Знать понятие «интенсивность намагничивания вещества».
3.1.3. Магнитные свойства диамагнетиков и парамагнетиков.
3.1.4. Свойства ферромагнетиков и причины их существования. Зависимость интен-
сивности намагничивания от напряженности намагничивающего поля.
3.1.5. Иметь представление о природе ферромагнетизма.
3.2 Студент должен уметь:
3.2.1. Пояснять физическую природу парамагнетиков, диамагнетиков и ферромаг –
нетиков.
3.2.2. Определять магнитную проницаемость веществ.
3.2.3. Использовать график зависимости магнитной индукции от напряженности магнитного для определения магнитной проницаемости ферромагнетиков.
4. Вопросы для самоконтроля
4.1. Как действует внешнее магнитное поле на орбитальный магнитный момент электрона в атоме?
4.2. Какие вещества называются диамагнетиками? Что происходит с диамагнети –
ком при его внесении в магнитное поле?
4.3. Какие вещества называются парамагнетиками? Что происходит с парамагне –
тиком при его внесении в магнитное поле?
4.4. Что называется вектором намагниченности и как он связан с индукцией маг –
нитного поля?
4.5. Чем различаются магнитные свойства диа- и парамагнетиков?
4.6. Как связаны между собой векторы магнитной индукции, напряженности маг –
нитного поля, намагниченности?
4.7. Каково соотношение между относительной магнитной проницаемостью и магнитной восприимчивостью диа- и парамагнетиков?
4.8. Чему равна циркуляция вдоль замкнутого контура: а) вектора напряженности магнитного поля; б) вектора намагниченности; в) вектора магнитной индукции?
4.9. Изложите метод исследования ферромагнетиков, предложенный А. Г. Столе –
товым. Каковы результаты его опытов?
4.10. Каковы особенности магнитных свойств ферромагнетиков?
5. Примеры решения задач
Задача 1.
Определить силу тока в обмотке тороида. Тороид с железным ненамагниченным сердечником, длина которого по средней линии l1
= 1,00 м, имеет воздушный зазор l2
= 3,0 мм (рис. 1). По обмотке тороида, содержащей N = 1300 витков, пустили ток, в результате чего индукция в зазоре стала В2
= 1,00 Т.
Рис.1
I =?
—————
l1
= 1,00 м; l2
= 3,0 мм = 3,0 • 10-3
м;
N = 1300 витков;
В2
= 1,00 Т.
Решение. Поскольку в задаче идет речь о магнитной цепи, применим теорему о циркуляции вектора Н, выбрав в качестве контура интегрирования среднюю линию тороида L. Так как воздушный зазор в тороиде узкий, то рассеянием линий индукции можно пренебречь. Следовательно, линии индукции будут проходить так же, как и в сплошном торе. Поэтому через любое поперечное сечение нашего тороида, в том чис- ле и через сечение, взятое в воздушном зазоре, проходит один и тот же магнитный по-
ток Ф. А так как и площадь любого сечения S одна и та же, то одинаковы и магнитные индукции в любой точке контура L:

Задача 2.
После выключения тока в обмотке тороида из предыдущей задачи остаточная индукция в зазоре стала В = 4,2 мТ. Определить остаточную намагниченность J сердечника, а также напряженность Н1
поля в железе.
J = ? Н1
= ?
———————————————
l1
= 1,00 м; l2
= 3,0 мм = 3,0 • 10-3
м;
N = 1300 витков;
В2
= 1,00 Т;
В = 4,2 мТ = 4,2 • 10-3
Т.

6. Темы рефератов
6.1. Опытное подтверждение доменной структуры ферромагнетиков.
6.2. Использование ферромагнетиков в технике.
7. Форма отчета
7.
1. Конспект изученного материала по вопросам для изучения.
8. Формы контроля
8.1. Проверка конспекта.
8.3. Экспресс-опрос.
9. Литература
9.1. Жданов Л. С., Жданов Г. Л. Учебник для средних специальных учебных заве –
дений. К. Вища школа, 1983.
9.2. Сборник задач по физике (для средних специальных учебных заведений). Под редакцией Гладковой. М., Наука, 1984.
9.3. Яворский Б. М., Детлаф А. А. Курс физики. Том 2. Учебник для студентов высших учебных заведений. М., «Высшая школа», 1977.
9.4. Савельев И.В. Курс общей физики. Том 2. М., «Наука», Главная редакция Физико-математической литературы, 1987.
9.5. Попов В. С. Теоретическая электротехника. Учебник для студентов средних специальных учебных заведений. М., Энергия. 1978.
9.6. Попов В. С. Электрические измерения. Учебник для средних специальных учебных заведений. М. Энергия. 1985.
9.7. Иродов И. Е. Задачи по общей физике.Учебное пособие для студентов высших учебных заведений. М., «Наука». 1988.
Тема для самостоятельного изучения № 5
«Закон Фарадея. Закон Ленца.
Явление самоиндукции. Вихревые токи»
1. Цель
1.1. Углубить представление о явлении электромагнитной индукцию Уяснить фи -зическую сущность закона Фарадея и закона Ленца как следствий из закона сохране- ния энергии.
1.2. Изучить природу вихревых токов – индукционных токов в массивных провод- никах, условия их возникновения, их свойства.
1.3. Изучить явление самоиндукции. .вывести закон изменения тока в цепи при ее замыкании и размыкании.
1.4. Научится определять ЭДС индукции, используя законы электромагнитной ин- дукции, токи в цепи при размыкании и замыкании.
2. Вопросы для изучения
2.1. Изучить опыты М. Фарадея по наблюдению явления электромагнитной индук- ции. Пояснить результаты опытов: в замкнутом контуре, находящемся в переменном магнитном поле, появляется так называемое индуктированное электрическое поле.
2.2. Рассмотреть понятие «электродвижущая сила электромагнитной индукции».
Сформулировать закон Фарадея для электромагнитной индукции.
2.3. Связь между направлением индукционного тока и характером вызвавшего его изменения магнитного потока. Закон Ленца.
2.4. Покажите, что основной закон электромагнитной индукции является следстви- ем закона сохранения энергии.
2.5. Объясните с помощью силы Лоренца возникновение индукционного тока в проводниках, движущихся в магнитном поле.
2.6. Объясните возникновение электромагнитной индукции в неподвижных провод- никах. Рассмотрите понятие «вихревое электрическое поле.
2.7. Рассмотрите условия возникновения индукционных токов в массивных провод- никах – вихревых токов. Изучите их свойства, способы ослабления их вредного влия- ния на работу электрических устройств.
2.8. Изучить понятие индуктивности контура и уяснить физический смысл этого понятия.
2.9. Изучить явление самоиндукции и зависимость ЭДС самоиндукции от силы то- ка в контуре, находящемся в среде с малой магнитной проницаемостью.
2.10. Изучить зависимость ЭДС самоиндукции от силы тока в контуре, находящем- ся в ферромагнитной среде.
2.11. Закон изменения тока в цепи при ее замыкании и размыкании.
3. Требования к знаниям и умениям студентов
3.1. Изучив тему, студент должен знать:
3.1.1. Содержание опытов М. Фарадея по наблюдению явления электромагнитной индукции.
3.1.2. Физический смысл понятий: электродвижущая сила индукции, индукцион –
ный ток.
3.1.3. Закон М. Фарадея для электромагнитной индукции.
3.1.4. Закон Э. Х. Ленца для электромагнитной индукции.
3.1.5. Формулировку основного закона электромагнитной индукции.
3.1.6. Понятие о вихревом электрическом поле.
3.1.7. Понятие об индукционном токе в массивном проводнике – вихревом токе.
3.1.8. Явление самоиндукции.
3.1.9. Понятие индуктивности контура.
3.1.10. Иметь представлении о магнитном потоке самоиндукции, создаваемом собственным током в контуре.
3.1.11. Закон изменения тока в цепи при ее замыкании и размыкании.
3.2. Студент должен уметь:
3.2.1. Формулировать законы электромагнитной индукции.
3.2.2. Показать, что основной закон электромагнитной индукции является след –
ствием закона сохранения энергии.
3.2.3. Показать, что в плоском витке, равномерно вращающемся в однородном магнитном поле, возбуждается э. д. с. индукции, изменяющаяся во времени по гармоническому закону.
3.2.4. Определять поток магнитной индукции, пронизывающий контур или катуш- ку. Рассчитывать ЭДС индукции, возникающую в контуре при изменении магнитного потока. Определять магнитную индукцию и параметры контура, используя законы электромагнитной индукции.
3.2.5. Определять направление ЭДС индукции и индукционного тока с помощью закона Ленца.
3.2.6. Определять индуктивность контура, соленоида.
3.2.7. Определять ЭДС самоиндукции, силу тока в простых цепях, содержащих индуктивность, при их размыкании и замыкании.
4. Вопросы для самоконтроля
4.1. В чем состоит явление электромагнитной индукции? Опишите опыты Фарадея.
4.2. Сформулируйте законы Фарадея и Ленца для электромагнитной индукции. Проиллюстрируйте нх примерами.
4.3. Покажите, что основной закон электромагнитной индукции является следсиви-
ем закона сохранения энергии.
4.4. Как доказать, что электрическое поле, возбуждаемое переменным магнитным полем, является вихревым?
4.5. Найдите выражения для э.д.с. индукции и индукционного тока в плоском вит –
ке, равномерно вращающемся в однородном магнитном поле.
4.6. Что представляют собой вихревые токи? Какие практические применения
они находят? Каковы способы борьбы с ними?
4.7. В чем состоят явления самоиндукции и взаимной индукции? Напишите выра –
жения для э.д.с. индукции в обоих случаях.
4.8. Что называется индуктивностью проводящего контура и взаимной индуктив –
ностью двух контуров? От чего они зависят и каков их физический смысл?
5. Примеры решения задач
Задача 1.
В однородном магнитном поле с индукцией 10,0- 10-2
Тл расположена прямоуголь-
ная рамка abсd, подвижная сторона которой ad длиной l = 0,100 м перемещается со скоростью v = 25 м/с перпендикулярно линиям индукции поля (рис. 1). Определить э. д. с. индукции, возникающую в контуре
+ b+ + +a + + +
+ + + + + v + +
+ + + l + + + +
c d
+ + x + + + + +
Рис. 1
Eинд.
= ?
———————
В = 10,0- 10-2
Тл;
l = 0,100 м;
v = 25 м/с.
Решение. Задачу можно решить двумя способами: применив закон Фарадея для электромагнитной индукции или рассматривая силы, действующие на свободные электроны в движущейся проволоке (силы Лоренца).
1. При движении проводника ad площадь рамки увеличивается, магнитный поток Ф сквозь рамку возрастает, а значит, согласно закону Фарадея, в рамке должна при этом действовать э. д. с. индукции. Чтобы ее найти, сначала выразим магнитный поток Ф через индукцию поля В и стороны рамки l, х. Согласно формуле
имеем
Ф = BS = Blx.
Подставив это значение Ф в формулу
dФ
Eинд.
= – ––––
dt
и учитывая, что В, l — величины постоянные, запишем:
dФ dx
Eинд
.
= – –––– = – Bl –––
dt dt
где (dx/dt) = v — скорость перемещения проводника ad. Поэтому
Eинд
= – Bl v (1)
Сделав подстановку числовых значений величин В, l, v (все
даны в единицах СИ), получим ответ:
Eинд
= – 2,5 • 10-3
В = – 25 мВ.
Знак « — » в формуле показывает, что э. д. с. индукции действует в контуре abed и таком направлении, при котором связанная с ним правилом правого винта нормаль к контуру противоположна вектору В (т. е. направлена к наблюдателю на рис. 1). Отсюда заключаем, что э. д. с. индукции, а значит, и индукционный ток направлены в контуре abсd против часовой стрелки. К такому же результату придем, применив пра- вило правой руки для проводника ad. Заметим, что если бы проводник ad двигался влево, то положительному приращению времени соответствовало бы отрицательное
приращение (убыль) величины х. Следовательно, знак dx/dt, а значит, и знак
Eинд
, изменились бы. В этом случае индукционный ток направлен по часовой стрелке.
2. Согласно определению, э. д. с. равна
E = А/q = (1/q)ò
(
Fст.
• dl), (2)
L
где q — величина заряда.
При движении в магнитном поле проводника ad вместе с ним движутся со ско –
ростью v его свободные заряды (электроны). Поэтому на каждый из них действует сила Лоренца, выполняющая роль сторонней силы Fст.
, входящей в формулу (2).
Поскольку v
^ B
, то сила Лоренца равна
F = qvB.
Так как она действует только вдоль участка ad длиной l, интеграл, стоящий в (2), ра-
вен
ò
(
Fст.
• dl) = F l = qvBl
L
Подставив это значение интеграла в формулу (2), получим
E = Blv, (3)
что совпадает (по абсолютному значению) с формулой (1). Чтобы найти направление тока, учтем, что оно всегда определяется направлением движения положительных за- рядов в цепи. Сила Лоренца, действующая на положительный заряд в проводнике ad,
направлена от d к а. Таким образом, снова получаем: ток в рамке abсd направлен про- тив часовой стрелки (конечно, на самом деле электроны в контуре движутся по часо-
вой стрелке).
Замечание. При решении задачи в обоих случаях допущена неточность: не прини -малось в расчет магнитное поле, созданное индукционным током. Эго поле образует некоторый поток Ф' сквозь рамку. При движении проводника ad поток Ф' изменяется, что приводит к появлению дополнительной э. д. с. Очевидно, этот эффект тем слабее,
чем меньше сила тока. Поскольку она обратно пропорциональна сопротивлению цепи, можно сказать, что оба рассмотренных метода дают правильный ответ при условии достаточно большого сопротивления цепи.
Задача 2.
По длинному соленоиду с немагнитным сердечником сечением S = 5,0 см2
, содер –
жащему N=1200 витков, течет ток силой I=2,00 А. Индукция магнитного поля в цент – тре соленоида В = 10,0 мТл. Определить его индуктивность L.
L = ?
S = 5,0 см2
;
I=2,00 А;
N=1200 витков;
В = 10,0 мТл.
Решение. Задача решается двумя способами.
1. Индуктивность длинного соленоида выражается формулой

Неизвестную величину l найдем, воспользовавшись формулой для магнитной индукции внутри длинного соленоида

откуда

Задача 3.
Определить силу тока в резисторе R2
(схема на рисунке 2) в трех случаях: 1) до раз- мыкания цепи, 2) в первый момент после размыкания, 3) через 0,01 с после размыка –
ния. В цепи, схема которой изображена на рис. 2, R1
= 5,0 Ом, R2
= 95 Ом, L = 0,34 Гн, E=38 В. Внутреннее сопротивление батареи пренебрежимо мало.
I2
= ? I2
’
= ? I2
’’
= ?
———————————
R1
= 5,0 Ом;
R2
= 95 Ом;
L = 0,34 Гн; Рис. 2
E=38 В.
Решение. 1. Силу постоянного тока I2
до размыкания цепи находим по второму правилу Кирхгофа:
6. Темы рефератов
6.1. Открытие и экспериментальное изучение явления электромагнитной индук –
ции. Значение явления в науке и технике.
6.2. Явления самоиндукции и взаимоиндукции в преобразовании электроэнергии.
7. Форма отчета
7.
1. Конспект изученного материала по вопросам для изучения.
7.2. Письменная работа по решению задач по индивидуальным заданиям.
8. Формы контроля
8.1. Проверка конспекта.
8.2. Проверка письменной работы по решению задач.
9. Литература
9.1. Жданов Л. С., Жданов Г. Л. Учебник для средних специальных учебных заведений. К. Вища школа, 1983.
9.2. Сборник задач по физике (для средних специальных учебных заведений). Под редакцией Гладковой. М., Наука, 1984.
9.3. Яворский Б. М., Детлаф А. А. Курс физики. Том 2. Учебник для студентов высших учебных заведений. М., «Высшая школа», 1977.
9.4. Савельев И.В. Курс общей физики. Том 2. М., «Наука», Главная редакция Физико-математической литературы, 1987.
9.5. Попов В. С. Теоретическая электротехника. Учебник для студентов средних специальных учебных заведений. М., Энергия. 1978.
9.6. Попов В. С. Электрические измерения. Учебник для средних специальных учебных заведений. М. Энергия. 1985.
9.7. Иродов И. Е. Задачи по общей физике.Учебное пособие для студентов высших учебных заведений. М., «Наука». 1988.
Тема для самостоятельного изучения № 6
«Переменный ток. Вращающееся магнитное поле. Асинхронный двигатель»
1. Цель
1.1. Ознакомиться с принципом образования вращающегося магнитного поля.
1.2. Ознакомиться с практическим использованием вращающегося магнитного поля в устройстве трехфазных электродвигателей.
2. Вопросы для изучения
2.1. Рассмотреть принцип образования вращающегося магнитного поля.
2.2. Пояснить возникновение вращающегося магнитного поля с помощью вектор- ных диаграмм токов в обмотках статора.
2.3. Уравнение вращающегося магнитного поля.
2.4. Устройство синхронного двигателя.
2.5. Принцип действия асинхронного двигателя.
2.6. Преимущества трехфазных двигателей. Их использование в технике.
3. Требования к знаниям и умениям студентов
3.1. Изучив тему, студент должен знать:
3.1.1. Принцип образования вращающегося магнитного поля.
3.1.2. Уравнение для магнитной индукции вращающегося магнитного поля трехфазной обмотки.
3.1.3. Устройство и действие синхронного двигателя.
3.1.4. Устройство и действие асинхронного двигателя.
3.2. Студент должен уметь:
3.2.1. Пояснять принцип действия синхронного и асинхронного двигателей.
3.2.2. Пояснить физический смысл выражения для магнитной индукции результи –
рующего поля трехфазной обмотки.
3.2.3. Определять угловую скорость вращения вектора магнитной индукции.
4. Вопросы для самоконтроля
4.1. Какие существуют системы обмоток для получения вращающегося магнитного поля?
4.2. Как объяснить вращение магнитного поля в статоре трехфазного двигателя с помощью векторных диаграмм токов и графиков магнитной индукции?
4.3. Как устроен ротор синхронного трехфазного двигателя? В чем его недостаток?
4.4. Опишите конструкцию ротора асинхронного двигателя.
4.5. Почему вращается ротор асинхронного двигателя?
4.6. Каков физический смысл выражения для магнитной индукции результирующе- го поля трехфазной обмотки двигателя?
5. Примеры решения задач
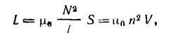
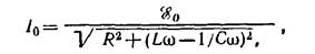
Задача 1.
Определить частоту ω вынуждающей ЭДС, при которой в цепи, представленной на рисунке 1, наступит резонанс. Найти также действующие значения силы тока I и напряжений UR
; UL
; UC
на всех элементах цепи при резонансе, если при этом дейст –
вующее значение э. д. с. E = 30 В. В цепи, состоящей из последовательно соединен –ных резистора сопротивлением R = 20 Ом, катушки индуктивностью L = 1,0 мГн и конденсатора емкостью С = 0,10мкФ мкФ, действует синусоидальная э. д. с. E.
ω = ? I = ?
UR
= ? UL
= ? UC
= ?
——————————
E = 30 В;
R = 20 Ом;
L = 1,0 мГн = 10-3
Гн;
С = 0,10мкФ = 10-7
Ф. Рис. 1
Решение. Под действием переменной э. д. с. в данной цепи, представляющей со –
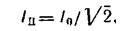
бой колебательный контур, установятся вынужденные электромагнитные колебания. При этом амплитудные значения тока I0
и э. д. с. E0
связаны соотношением

Из формулы

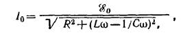
Задача 2.
Определить действующие значения силы тока на всех участках цепи, изо –
бражен ной на рис. 2, если R = 1,0 Ом, L = 1,00 мГн, С - 0,110 мкФ, E = 30 В, ω = 1,00 • 105
рад/с.
I = ? IC
= ? IRL
= ?
—————————
R = 1,0 Ом;
L = 1,00 мГн;
С - 0,110 мкФ;
E = 30 В;
ω = 1,00 • 105
рад/с.
Рис.2
Решение. Эта задача отличается от предыдущей (рис. 1) способом включения ис –
точника переменной э. д с. (внутренним сопротивлением которого пренебрегаем). Если раньше все элементы цепи были включены последовательно, то в данном слу –
чае имеем разветвленную цепь, переменного тока, участок 1-2 является параллель –
ным соединением двух ветвей, одна из которых содержит конденсатор С, а другая - элементы R, L, соединенные последовательно между собой. Каждая из ветвей вместе с источником ЭДС образует колебательный (неполный) контур Поэтому силу тока в каждой ветви снова найдем по формуле
,
заменив амплитудные величины I0
, E0
их действующими значениями I, E.
Тогда для силы тока в ветви 1С2, где R = 0 и L = 0, получим:


6. Темы рефератов
5.1. Применение трехфазных двигателей в технике.
5.2. Устройства для определения последовательности фаз.
7. Форма отчета
7.
1. Конспект изученного материала по вопросам для изучения.
7.2. Письменная работа по решению задач по индивидуальным заданиям.
8. Формы контроля
8.1. Проверка конспекта.
8.2. Проверка письменной работы по решению задач.
9. Литература
8.1. Жданов Л. С., Жданов Г. Л. Учебник для средних специальных учебных заведений. К. Вища школа, 1983.
8.2. Сборник задач по физике (для средних специальных учебных заведений). Под редакцией Гладковой. М., Наука, 1984.
8.3. Попов В. С. Теоретическая электротехника. Учебник для студентов средних специальных учебных заведений. М., Энергия. 1978.
8.4. Попов В. С. Электрические измерения. Учебник для средних специальных учебных заведений. М. Энергия. 1985.
8.5. Евдокимов Ф. Е. Теоретические основы электротехники. Учебник для техни –
кумов. М. «Высшая школа». 1981.
Тема для самостоятельного изучения № 7
«Преобразование переменного тока и напряжения.
Принцип действия трансформаторов и их использование в технике»
1. Цель
|