| ФЕДЕРАЛЬНОЕ АГЕНТСТВО ПО ОБРАЗОВАНИЮ
Государственное образовательное учреждение
высшего профессионального образования
Тихоокеанский государственный университет
Институт экономики и управления
Кафедра Экономическая кибернетика
Методические указания по лабораторным работам
По дисциплине Экономико-математическое моделирование
Для специальности
080116.65 «Математические методы в экономике»
Методические указания разработаны в соответствии с составом УМКД
Методические указания разработала Салаватова Ю..А. _____________
Методические указания утверждены на заседании кафедры,
протокол № ______ от «___» _______________ 200__ г.
Зав. кафедрой _________ «___» ______________ 200__ г. Пазюк К.Т.
Методические указания по лабораторным работам по дисциплине «Экономико-математическое моделирование» включают тематику лабораторных заданий, выполняемых во время аудиторных занятий.
Методические указания рассмотрены и утверждены на заседании УМКС и рекомендованы к изданию
протокол № ______ от «___» _______________ 200__ г.
Председатель УМКС _______ «___» __________ 200__ г.
Директор института _________ «___» ____________ 200__ г. Зубарев А.Е.
Введение
По мере развития общества большое внимание уделяется совершенствованию экономических отношений под углом зрения оптимального использования производительных сил, всех материальных и трудовых ресурсов, исследованию теоретических основ оптимальности экономических процессов и условий их осуществления. Поэтому не случайно, что экономисты и математики, занимающиеся вопросами применения математики в экономике, большое внимание уделяют разработке математических методов построения оптимальных планов, обеспечивающих выпуск необходимой продукции при минимальных затратах труда, изучению закономерностей наиболее рационального распределения и использования ресурсов производства. Изучение закономерностей наиболее рационального распределения и использования ресурсов производства, выяснение условий и свойств оптимальности различных производственно-экономических процессов потребовало точного количественного выражения затрат и результатов производства, поставило вопрос конкретизации представлений о закономерностях общественного производства, о более точном выражении его важнейших экономических категорий. В связи с этим следует выделить класс оптимизационных моделей, связанных с выбором наилучшего варианта из множества возможных вариантов производства, распределения, потребления и т.д. Определение оптимального варианта текущего и перспективного развития связано с решением задач оптимизации, имеющих большую размерность и множество разнообразных условий и ограничений.
Забиваем Сайты В ТОП КУВАЛДОЙ - Уникальные возможности от SeoHammer
Каждая ссылка анализируется по трем пакетам оценки: SEO, Трафик и SMM.
SeoHammer делает продвижение сайта прозрачным и простым занятием.
Ссылки, вечные ссылки, статьи, упоминания, пресс-релизы - используйте по максимуму потенциал SeoHammer для продвижения вашего сайта.
Что умеет делать SeoHammer
— Продвижение в один клик, интеллектуальный подбор запросов, покупка самых лучших ссылок с высокой степенью качества у лучших бирж ссылок.
— Регулярная проверка качества ссылок по более чем 100 показателям и ежедневный пересчет показателей качества проекта.
— Все известные форматы ссылок: арендные ссылки, вечные ссылки, публикации (упоминания, мнения, отзывы, статьи, пресс-релизы).
— SeoHammer покажет, где рост или падение, а также запросы, на которые нужно обратить внимание.
SeoHammer еще предоставляет технологию Буст, она ускоряет продвижение в десятки раз,
а первые результаты появляются уже в течение первых 7 дней.
Зарегистрироваться и Начать продвижение
Целью преподавания дисциплины является формирование знаний, умений и практических навыков моделирования управленческих решений.
Предметом изучения названной дисциплины являются количественные характеристики экономических процессов на основе экономико-математических методов и моделей. В курсе рассматриваются конкретные задачи и их экономико-математические модели. Это модели балансовые, имитационные, эконометрические.
Немалое место отводится моделям оптимального отраслевого и регионального регулирования – экономико-математическим моделям проекта развития отдельных отраслей промышленности. Это такие важные модели как вариантная, транспортно-производственная, модель расчёта топливного баланса региона.
Основная цель лабораторных занятий - углубленное изучение проблем, затронутых в лекционном курсе, и отработка навыков в применении изучаемых методов и процедур моделирования с использованием современного программного обеспечения персональных компьютеров.
В качестве базового информационно-программного инструментария на лабораторных работах предлагается воспользоваться ППП Excel.
Изучение дисциплины заканчивается защитой лабораторных работ (7 и 8 семестр), курсовой работы (8 семестр) и сдачей экзамена.
Краткие характеристики лабораторных работ (7 семестр)
Тема 1. Модель определения направления специализации деревообрабатывающих предприятий в перспективе (безвариантная модель прогнозирования развития и размещения предприятий отрасли)
Задание.
Построение моделей. Решение на ЭВМ. Предложить мероприятия по использованию отходов
Исполнение
. Выполнение индивидуального задания с использованием Excel. Интерпретация результатов решения. Обоснование устойчивости решения и полученных двойственных оценок.
Оценка
. Формируют необходимые представления о применимости математического инструментария к заданному классу.
Время выполнения заданий
: 11 часов.
Методические указания
На трех комплексах лесоперерабатывающей промышленности может производиться 5 видов продукции. Прогнозируемая годовая потребность в ближайшей перспективе в этой продукции составит:
Сервис онлайн-записи на собственном Telegram-боте
Попробуйте сервис онлайн-записи VisitTime на основе вашего собственного Telegram-бота:
— Разгрузит мастера, специалиста или компанию;
— Позволит гибко управлять расписанием и загрузкой;
— Разошлет оповещения о новых услугах или акциях;
— Позволит принять оплату на карту/кошелек/счет;
— Позволит записываться на групповые и персональные посещения;
— Поможет получить от клиента отзывы о визите к вам;
— Включает в себя сервис чаевых.
Для новых пользователей первый месяц бесплатно.
Зарегистрироваться в сервисе
· пиломатериалы - 5 600 тыс. м3
;
· фанера - 105 тыс. м3
;
· картон - 58 0 тыс. т;
· ДСП - 500 тыс. м3
;
· гидролизный спирт - 6410 тыс. л.
Пиломатериалы, ДСП и древесный спирт могут производиться всеми предприятиями отрасли, фанера первым и вторым, а картон - вторым и третьим предприятиями.
Возможный годовой объем заготовки деловой древесины на месте расположения
· первого комплекса - 4400,
· второго - 6000,
· третьего - 1200 тыс. м3.
Нормативы расхода сырья и выхода отходов в расчете на единицу измерения производимой продукции, а также удельные приведенные затраты отражены в таблице 1.
Необходимо:
1. Определить направление специализации деревообрабатывающих предприятий в перспективе.
2. Предложить комплекс мероприятий по использованию твердых и мягких отходов
Таблица 1 – Исходные данные
| Предприятия
|
Производимая продукция
|
| Пиломатериалы, мЗ
|
Фанера, мЗ
|
Картон, т
|
ДСП, мЗ
|
Спирт, л
|
| Выход твердых отходов, мЗ
|
Расход твердых отходов
|
| 1
|
0,62
|
1,52
|
-
|
1,5
|
0,07
|
| 2
|
0,69
|
1,72
|
4,44
|
1,5
|
0,07
|
| 3
|
0,8
|
-
|
4,44
|
1,5
|
0,07
|
| Выход мягких отходов, мЗ
|
Расход мягких отходов
|
| 1
|
0,2
|
0,13
|
-
|
-
|
0,11
|
| 2
|
0,19
|
0,12
|
-
|
-
|
0,11
|
| 3
|
0,19
|
-
|
-
|
-
|
0,11
|
| Расход деловой древесины на 1 мЗ
|
| 1
|
1,85
|
2,67
|
-
|
-
|
-
|
| 2
|
1,96
|
2,89
|
-
|
-
|
-
|
| 3
|
2
|
-
|
-
|
-
|
-
|
| Удельные приведенные затраты, ден. ед.
|
| 1
|
8,7
|
84,1
|
-
|
48,9
|
2,4
|
| 2
|
9,8
|
85,3
|
76,7
|
50,1
|
2,2
|
| 3
|
13,1 .
|
-
|
105,8
|
52,4
|
2,35
|
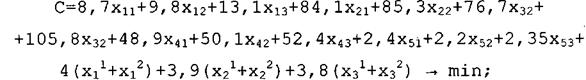
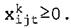
Целевая функция:

- объем выпуска продукции;
- удельные приведенные затраты. Виды ограничений:
1. Баланс использования твердых отходов:

- объем выпуска -той продукции на -том предприятии;
- выход (расход) твердых отходов;
- величина потерь -го предприятия при недоиспользовании им 1 м3
твердых отходов ( =4, =3,9, =3,8);
2. Баланс использования мягких отходов:

- выход (расход) мягких отходов;
- величина потерь -го предприятия при недоиспользовании им 1 м3
мягких отходов ( =4, =3,9, =3,8);
3. Производство продукции:

- прогнозируемая годовая потребность в -той продукции;
4. Ограничения сырья:

- возможный годовой объем заготовки деловой древесины на месте расположения -го комплекса.
Получаем:

Ограничения:
1. Баланс использования твердых отходов:

2. Баланс использования мягких отходов:

3. Производство продукции:

4. Ограничения сырья:

В результате решения получаем:
Таблица 2 – Оптимальный план производства
| Целесообразный объем производства
|
| Вид продукции
|
Предприятия
|
| 1
|
2
|
3
|
| пиломатериалов, мЗ
|
2378378,38
|
2790603,30
|
600000,00
|
| фанеры, мЗ
|
0,00
|
183535,48
|
-
|
| картона, т
|
-
|
488230,96
|
91769,04
|
| ДСП, мЗ
|
500000,00
|
0,00
|
0,00
|
| Гидролизного спирта, л
|
4324324,32
|
1049312,04
|
1036363,64
|
| Переменные
|
Объем и тип ограничений
|
| левая часть
|
знак
|
правая часть
|
| ограничения
|
| баланс использования твердых отходов
|
| на 1 предпр.
|
0,00
|
=
|
0
|
| на 2 предпр.
|
0,00
|
=
|
0
|
| на 3 предпр.
|
0,00
|
=
|
0
|
| баланс использования мягких отходов
|
| на 1 предпр.
|
0,00
|
=
|
0
|
| на 2 предпр.
|
0,00
|
=
|
0
|
| на 3 предпр.
|
0,00
|
=
|
0
|
| производство продуктов
|
| пиломатриалы
|
5768981,683
|
>=
|
5600000
|
| фанера
|
183535,4751
|
>=
|
105000
|
| картон
|
580000
|
>=
|
580000
|
| ДСП
|
500000
|
>=
|
500000
|
| гидр, спирт
|
6410000
|
>=
|
6410000
|
| ограничения сырья
|
| на 1 предпр.
|
4400000
|
<=
|
4400000
|
| на 2 предпр.
|
6000000
|
<=
|
6000000
|
| на 3 предпр.
|
1200000
|
<=
|
1200000
|
| Удельные приведенные затраты (целевая функция)
|
| Затраты
|
161675323,18
|
-
|
min
|
| Величина недоиспользования отходов по предприятиям
|
| твердых отходов
|
мягких отходов
|
| 421891,89
|
0,00
|
0,00
|
0,00
|
436814,56
|
0,00
|
Тема 2. Транспортно-производственная модель с целочисленными переменными (вариантная модель прогнозирования развития и размещения предприятий отрасли)
Задание.
Построение моделей. Обоснование дополнительных показателей.
Исполнение
. Выполнение индивидуального задания с использованием Excel. Интерпретация результатов решения. Обоснование устойчивости решения и полученных двойственных оценок.
Оценка
. Формируют необходимые представления о применимости математического инструментария к заданному классу.
Время выполнения заданий
: 11 часов.
Методические указания
В отраслях промышленности, где транспортный фактор оказывает существенное влияние на развитие и размещение производства используют транспортно-производственную модель.
Преимуществом модели является то, что одновременно учитываются влияние производственного фактора (себестоимость продукции на предприятии при том или другом варианте его развития, удельные капитальные вложения и т.д.) и транспортных расходов на доставку продукции потребителям.
Однако, даже при небольшом расширении номенклатуры продукции матрица задачи резко увеличивается, делается более громоздкой. Поэтому данная модель применяется в основном для расширения отраслей с однородной продукцией или узкой номенклатурой, например, молочной, цементной, топливной промышленности, предприятий по производству сахара и т.д.
Для начала рассмотрим содержание и структуру однопродуктовой модели.
Введем некоторые обозначения:
- номер предприятия ( = ) ;
- номер варианта развития -го предприятия ( = )
- объем производства продукции на -м предприятии при -том варианте развития;
- величина расхода -тых ресурсов на -м предприятии при -том варианте развития ( = );
- общее количество дефицитного -того ресурса, имеющегося на -м предприятии;
- общее количество дефицитного -того ресурса, который может быть выделен для предприятий отрасли;
- предполагаемая потребность -го потребителя в продукции предприятий отрасли ( = )
- затраты на производство единицы продукции на -м предприятии при -м варианте развития (содержание этого показателя может изменяться в соответствие с условием задачи, например, он может означать удельные капитальные вложения)
- затраты на транспортировку единицы продукции от -го предприятия до потребителя ;
- искомые величины (булевы переменные), означающие интенсивность развития -го предприятия по -му варианту;
- искомый объем поставки готовой продукции от -го предприятия при -м варианте его развития потребителю
С учетом принятых обозначений записывается экономико-математическая модель транспортно-производственной задачи с целочисленными переменными.
Цель данной задачи - определить набор неотрицательных и , минимизирующие суммарные затраты на производство и транспортировку продукции

при ограничениях:
1. Объем производства на -м предприятии при -м варианте его развития должен быть не меньше поставки готовой продукции всем прикрепленным к нему потребителям:

2... Удовлетворяется прогнозируемая потребность всех потребителей в продукции предприятий отрасли:

3. Ограничение на использование предприятиями дефицитных ресурсов:

4. Ограничение дефицитных ресурсов, которые могут распределяться по предприятиям отрасли:

5. Условие целочисленности апробируемых вариантов производства:

6. Условие неотрицательности переменных:

Когда на предприятии отрасли производится не один, а два и более видов продукции, то экономико-математическая модель выглядит следующим образом:

где - индекс вида продукции предприятий отрасли.
Ограничения тогда будут выглядеть так:
1. Объем производства на -м предприятии при -м варианте его развития должен быть не меньше поставки готовой продукции всем прикрепленным к нему потребителям:
2. Удовлетворяется прогнозируемая потребность всех потребителей в продукции предприятий отрасли:

3. Ограничение на использование предприятиями дефицитных ресурсов:

4. Ограничение дефицитных ресурсов, которые могут распределяться по предприятиям отрасли:

5. Условие целочисленности апробируемых вариантов производства:

6. Условие неотрицательности переменных:

Решение задачи.
Необходимо
произвести прогноз размещения производства однородного продукта и определить объем его перевозок потребителям с учетом минимизации общей суммы производственных и транспортных расходов.
Рассматриваются два предприятия , по каждому из которых разработаны два альтернативных варианта их развития , и три потребителя . Объемы производства по вариантам, потребность в продукции, а также удельные производственные и транспортные расходы представлены в таблице 1.
Таблица 1 – Исходные данные

Целевая функция в данной задаче следующая:

Ограничения тогда перепишутся в следующем виде:
1. Объем производства на -м предприятии при -м варианте его развития должен быть не меньше поставки готовой продукции всем прикрепленным к нему потребителям:

2. Удовлетворяется прогнозируемая потребность всех потребителей в продукции предприятий отрасли:

3. Условие целочисленности апробируемых вариантов производства:

4. Условие неотрицательности переменных:

Полученные результаты отобразим в таблице 2.
Таблица 2 – Результаты решения

Тема 3. Транспортно-производственная модель с непрерывными переменными.
Задание.
Построение моделей. Обоснование дополнительных показателей.
Исполнение
. Выполнение индивидуального задания с использованием Excel. Интерпретация результатов решения. Обоснование устойчивости решения и полученных двойственных оценок.
Оценка
. Формируют необходимые представления о применимости математического инструментария к заданному классу.
Время выполнения заданий
: 12 часов.
Методические указания
Содержание транспортно-производственной модели с непрерывными переменными рассматривается на примере трехэтапной задачи прогноза развития, размещения и специализации в производстве продукции отрасли с одновременной оптимизацией перевозок сырья и готовой продукции.
Введем некоторые обозначения:
- номер предприятия-поставщика сырьевых ресурсов
-
номер завода, перерабатывающего сырье -тых поставщиков ;
- номер потребителя продукции -тых заводов 
- номер вида продукции, поставляемой -ми заводами р-м потребителям ;
- максимально возможный объем производства сырья -м предприятием;
- минимальное, максимально возможное или фиксируемая мощность -го завода;
- выход -той продукции из одной единицы сырья, поставляемого -м поставщиком -му заводу;
- прогнозируемая потребность р-го потребителя в -том продукте;
- затраты на производство одной единицы продукции -го поставщика;
- транспортные расходы на поставку одной единицы сырья от -го поставщика до -го завода;
- себестоимость переработки одной единицы сырья, поставляемого -м предприятием -му заводу;
- транспортные расходы на доставку одной единицы -го продукта -м заводом р-му потребителю;
- искомый объем производства (добычи) сырьевых ресурсов -м предприятием;
- искомый объем переработки сырья -м заводом, поставляемого -м предприятием;
- искомый объем поставки -го продукта -м заводом р-му потребителю.
В принятых обозначениях при постановке задачи на минимум затрат она сводится к следующему: определить такие значения переменных , , , при которых минимизируется величина целевой функции

Ограничения будут налагаться на:
1. Объемы производства сырья на -тых предприятиях:
≤ ;
2. Мощности -тых заводов:

3. Увязку объемов производства (добыче) и переработке сырья:

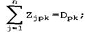
4.. Увязку объемов производства продукции и ее поставки потребителям:

5. Удовлетворение потребностей потребителей в продукции -тых заводов:

6. Неотрицательность переменных величин:

Эта модель может быть использована для решения задач по прогнозированию размещения заводов железобетонных конструкций, нефте- и лесоперерабатывающих предприятий, сахарных и других заводов, где необходимо учитывать как затраты на производство (добычу) и доставку сырья, так и на перевозку готовой продукции потребителям.
Решение задачи
.
По двум сахарным заводам может поставлять сырье три сельскохозяйственных предприятия
Первый - действующий завод. Его мощность (6200 т. перерабатываемой сахарной свеклы) необходимо сохранить. Предусматривается возможность расширения данного завода.
Второй завод можно построить, если окажется невыгодным расширять мощность первого завода.
Производимая заводами продукция (песок сахарный и патока) поставляются двум потребителям (р), потребности которых строго ограничены. Потребность в песке сахарном первого потребителя - 649 т., второго - 519 т. Потребность в патоке первого потребителя - 27 9 т., второго - 200 т.
Необходимо определить:
1. Оптимальные мощности сахарных заводов - поставщиков сырья.
2. Рациональные маршруты перевозок сырья и готовой продукции.
Исходные данные представлены в таблицах 1,2.
Табл.1- Объем производства сырья, затраты на его производство, переработку и доставку потребителям.

Табл. 2 - Выход -той продукции из 1 т. сырья -тых поставщиков и удельные транспортные расходы на ее доставку потребителям.

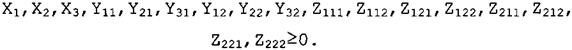
Целевая функция в данной задаче будет выглядеть следующим образом: F=23,13*X1
+18,4*Х2
+26,1*Х3
+(4,85+32,1)*Y11
+(5,6+24,1)*Y21
+(5,1+32,4)* *Y31
+(5,3+29,9)*Y12
+(4,9+22,4)*Y22
+(6,1+30,1)*Y32
+7,82*Z111
+8,3*Z112
+8,l*Z121
++8,9*Z122
+8, 4*Z211
+9, 3*Z212
+ + 9,1* Z121
+10*Z122
→min
Ограничения будут налагаться на:
1. Объемы производства сырья на -тых предприятиях:

2. Мощности -тых заводов:

3. Увязку объемов производства (добыче) и переработке сырья:

4. Увязку объемов производства продукции и ее поставках потребителям:

в числовом виде:

5. Удовлетворение потребностей потребителей в продукции -тых заводов:

в числовом виде:

6. Неотрицательность переменных величин:

Краткие характеристики лабораторных работ (8 семестр)
Тема 1. Моделирование природоохранной деятельности
Задание.
Составление модели на основе индивидуальных данных. Планированию оптимального объема валовой продукции с учетом сохранения заданного качества вод континентального шельфа.
Исполнение
: Выполнение индивидуального задания с использованием Excel. Интерпретация результатов решения. Выбор схемы очистки на основе полученных результатов.
Оценка
. Практическая реализация теоретических методов планирования
Время выполнения заданий
: 34 часа.
Методические указания
Постановка задачи
При i-й технологии снижения токсичности сточных вод производства в j-й отрасли промышленности на каждую единицу производимой валовой продукции в водоем сбрасывается aj
приведенных по токсичности загрязненных сточных вод, м3
/т.; снижение токсичности сточных вод достигается путем использования оборотного водоснабжения, очисткой сточных вод на предприятиях и на городских очистных сооружениях и комбинированием указанных технологий; объем сбрасываемых сточных вод, скорректированных по токсичности, при -й технологии снижения токсичности сточных вод не должен превышать bi
, м3
/год. Требуется определить максимальный объем производства валовой продукции каждой отрасли xj
(т.), при котором выполняются требования по качеству вод континентального шельфа.
Пример
Параметры задачи
| Отрасль производства
|
Объем производства,.т./год
|
Цена,
руб./т.
|
Норматив расхода воды на 1 т. в год, м3
/т
|
| ∂j
|
Pj
|
aj
|
| Сульфитно-целлюлозная
|
200
|
8000
|
125
|
| Производство бумаги
|
800
|
5000
|
45
|
| Деревообработка (ДВП, ДСП)
|
100
|
3000
|
20
|
| Схема очистки
|
Производительность очистных сооружений,
тыс. м3
/сут.
|
Удельные капитальные затраты,
руб./м3
в год
|
Удельные эксплуатационные затраты,
руб./м3
|
| bi
|
| от
|
до
|
Ki
|
ci
|
| 101
|
130
|
150
|
0,164
|
0,02883
|
| 201
|
25
|
32
|
0,425
|
0,0546
|
| 301
|
160
|
220
|
0,255
|
0,0575
|
Решение:
Найдем коэффициент токсичности нормативной (КТН) для всех загрязняющих веществ, содержащихся в производственных сточных водах производств 1, 2 и 3 по формуле

Производство 1
Вредные выбросы по сульфитно-целлюлозной отрасли
| Производство
|
Показатели состава производственных СВ
|
Размерность
|
Величина
|
| Сγ
|
| до очистки
|
после очистки
|
| Товарной сульфитной небеленой целлюлозы на натриевом
основании (из хвойной древесины)
|
БПК5
ХПК
взвеш. вещ-ва
РН
|
МГО2
/л
МГО2
/л
мг/л
|
350
2400
105
4,5
|
20
1950
30
7
|
| Товарной беленой сульфитной целлюлозы из хвойных пород древесины для бумаг
|
БПК5
ХПК
взвеш. вещ-ва
РН
|
МГО2
/л
МГО2
/л
мг/л
|
250
1750
95
6,6
|
12
1520
30
6,6
|
ПДК для соответствующих производственных СВ составляет (согласно таблице 3 приложения методички): БПК5
– 3 мг/л; ХПК – 5мг/л; взвеш. вещ-ва – 0,25 мг/л; РН – 7.
Таким образом, получаем следующие значения КТН для отрасли 1:
; ;

Производство 2
Вредные выбросы по отрасли производства бумаги
| Производство
|
Показатели состава производственных СВ
|
Размерность
|
Величина
|
| Сγ
|
| до очистки
|
после очистки
|
| Писчей бумаги №1
|
БПК5
ХПК
взвеш. вещ-ва
РН
|
МГО2
/л
МГО2
/л
мг/л
|
90
120
1500
6
|
10
40
20
6
|
ПДК для соответствующих производственных СВ составляет (согласно таблице 3 приложения методички): БПК5
– 3 мг/л; ХПК – 5мг/л; взвеш. вещ-ва – 0,25 мг/л; РН – 7.
Таким образом, получаем следующие значения КТН для отрасли 2:
; ;

Производство 3
Вредные выбросы по деревообрабатывающей отрасли
| Производство
|
Показатели состава производственных СВ
|
Размерность
|
Величина
|
| Сγ
|
| до очистки
|
после очистки
|
| ДВП
|
БПК20
взвеш. вещ-ва
РН
|
МГО2
/л
мг/л
|
2500
850
5
|
12,5
15
7,5
|
| ДСП
|
БПК20
формальдегид
РН
|
МГО2
/л
мг/л
|
300
1250
7,5
|
20
-
7,5
|
ПДК для соответствующих производственных СВ составляет (согласно таблице 3 приложения методички): БПК20
– 3 мг/л;. формальдегид – 0,1 мг/л; взвеш. вещ-ва – 0,25 мг/л; РН – 7.
Таким образом, получаем следующие значения КТН для отрасли 3:
; ;

Полученный КТН позволяет определить относительную токсичность единицы объема сточных вод, содержащих в своем составе вредные вещества, величина которых ограничивается ПДК. Если фактическое содержание вредных веществ в единице объема сточных вод умножить на КТН этих веществ, т.е. «взвесить» вредные вещества с учетом их токсичности и отнести полученную сумму произведений к суммарному содержанию этих веществ в единице объема сточных вод, то получим величину, характеризующую относительную токсичность единицы объема сточных вод (в дальнейшем именуемую коэффициентом токсичности выброса – КТВ):
,
где Сγ
до очистки
- фактическая концентрация γ – го вредного вещества в единице объема сточных вод, мг/л;
р – количество вредных веществ в сточных водах.
Таким образом, получаем следующие коэффициенты токсичности выброса суммарной каждой отрасли производства.
Производство 1:

Производство 2:

Производство 3:

Для сточных вод, прошедших очистку на очистных сооружениях, КТВ определяется аналогично, но с учетом снижения в результате очистки концентрации вредных веществ в единице объема сточных вод. Другими словами, сумму произведений КТН на фактическую концентрацию вредных веществ в единице объема сточных вод после очистки необходимо отнести к сумме концентрации этих веществ в единице объема сточных вод до очистки:

Производство 1:

Производство 2:

Производство 3:

Имея величину КТВ после очистки
, можно пересчитать общий сброс сточных вод из какого-либо источника с учетом их относительной токсичности для водоема, умножив общий сброс сточных вод aj
на КТВ после очистки
. Полученное произведение называется приведенным по токсичности сбросом сточных вод j-ой отрасли.
a ‘
j
= aj
* КТВ после очистки
Данный расчетный показатель позволяет моделировать эколого-экономическую ситуацию, сложившуюся в каком-либо регионе. Для этого удобно использовать аппарат математического программирования.
Производство 1:
a ‘
1
= 125 * 0,2025 = 25,313 м3
/т
Производство 2:
a ‘
2
= 45 * 0,7245 = 32,601 м3
/т
Производство 3:
a ‘
3
= 20 * 0,5128 = 10,256 м3
/т
Составим математическую модель задачи в общем виде:
- целевая функция

- ограничения
;


где Pj
-
цена единицы продукции j-й отрасли;
ci
-
удельные эксплуатационные затраты на очистку 1 м3
воды в i-й
схеме, р./м3
;
Ki
-
удельные капитальные затраты на очистку 1 м3
воды, р./м3
;
a'
j
-
приведенный по токсичности сброс загрязненных вод j-й отрасли
на единицу произведенной продукции, м3
/т;
∂j
-
запланированный объем производства валовой продукции j-й отрасли, т;
bi
-
годовая производительность i-й схемы очистки, м3
/год;
-
расчетный объем j-й отрасли, 
где xij
- объем производства j-ой отрасли, сброс воды с которого очищается в i-й схеме очистки (в натуральном выражении), т.
При решении составленной задачи будет определен оптимальный объем валовой продукции с учетом сохранения заданного качества вод континентального шельфа.
Запишем математическую модель в развернутом виде:
- целевая функция
F= 7995,12*x11
+4993,71*x12
+2998,02*x13
+7987,86*x21
+4984,36*x22
+
+2995,08*x23
+7992,09*x31
+4989,81*x32
+2996,8*x33
→max
- ограничения
16692 ≤ 25,313*х11
+32,601*х12
+10,256*х13
≤ 19260
378 ≤ 25,313*х21
+32,601*х22
+10,256*х23
≤ 483
720 ≤ 25,313*х31
+32,601*х32
+10,256*х33
≤ 990
х11
+х21
+х31
≥200
х12
+х22
+х32
≥800
х13
+х23
+х33
≥100
Решение выполнялось с помощью ППП Excel:
| ограничения
|
| схема
очистки
|
отрасль производства
|
| 1
|
2
|
3
|
| 1
|
16692
|
<=
|
19260
|
142
|
449
|
100
|
<=
|
19260
|
| 2
|
378
|
<=
|
483
|
19
|
0
|
0
|
<=
|
483
|
| 3
|
720
|
<=
|
990
|
39
|
0
|
0
|
<=
|
990
|
| 200
|
449
|
100
|
| >=
|
>=
|
>=
|
| 200
|
800
|
100
|
| Норматив расхода воды
|
| 25,313
|
32,601
|
10,256
|
| 25,313
|
32,601
|
10,256
|
| 25,313
|
32,601
|
10,256
|
| Коэффициенты целевой функции
|
| 7995,11889
|
4993,71355
|
2998,0223
|
| 7987,85989
|
4984,36456
|
2995,0812
|
| 7992,08969
|
4989,81219
|
2996,795
|
| Значение целевой функции
|
4141811,1
|
Таким образом, расчетный объем производства 1-ой отрасли соответствует запланированному в размере 200 т., при этом используется три схемы очистки. При производстве 142 т. продукции сброс воды очищается по 1-ой схеме очистки, при 19 т. – используется 2-я схема, при 39 – 3-я схема.
Расчетный объем производства 2-й отрасли меньше запланированного объема и составляет 449 т., при этом используется только 1-я схема очистки.
Расчетный объем производства продукции 3-ей отрасли соответствует запланированному и составляет 100 т., при этом используется только 1-я схема очистки.
Годовая производительность каждой схемы очистки, с учетом всех отраслей производства, используется на полную мощность.
При таком плане производства каждой отрасли целевая функция будет принимать свое максимальное значение (максимальную прибыль), которое равно 4141811 руб.
3. УЧЕБНО-МЕТОДИЧЕСКОЕ ОБЕСПЕЧЕНИЕ ДИСЦИПЛИНЫ
Основная литература
:
1. Абчук В.А. Экономико-математические методы. Санкт-Петербург: «СОЮЗ». 1999.
2. Акулич И.Л. Математическое программирование в примерах и задачах. Учебное пособие. М.: Высшая школа, 1986.
3. Багриновский К.А. Имитационные модели в народохозяйственном планировании / Багриновский Кирилл Андреевич, H. Е. Егорова, В. В. Радченко. - М.: Экономика, 1980. - 199с.
4. Базилевич Л.А. Моделирование организационных структур / Базилевич Леонид Анатольевич; Под ред. В.Р. Окорокова. - Л.: Изд-во ЛГУ, 1978. - 159с.
5. Вильямс Н.Н. Параметрическое программирование в экономике. М.: Статистика, 1976.
6. Гиляров А.М. Популяционная экология: Учебное пособие. – М.:МГУ, 1990.
7. Данциг Дж. Линейное программирование, его обобщения и приложения. М.: Прогресс, 1966.
8. Замков О.О. Математические методы в экономике: Учеб. / О. О. Замков, А. В. Толстопятенко, Ю. H. Черемных. - М.: Изд-во МГУ:ДИС, 1999. - 368с.
9. Заславский Б.Г., Полуэктов Р.А. Управление экологическими системами. – М.: Наука, Гл. ред. физ.-мат. Лит., 1988.
10. Зиядуллаев H.С. Моделирование региональных экономических систем / Зиядуллаев Hаби Саидкаримович. - М.: Hаука, 1983. - 240с.
11. Иванилов Ю.П. Математические модели в экономике: Учеб. пособие для вузов / Ю. П. Иванилов, А. В. Лотов; Под ред. Н.Н. Моисеева. - М.: Наука, 1979. - 303с.
12. Карр Ч., Хоув Ч. Количественные методы принятия решений в управлении и экономике. М.: Мир, 1966.
13. Конюховский П.В. Математические методы исследования операций в экономике. Санкт-Петербург: ПИТЕР. 2000.
14. Кундышева Е.С. Экономико-математическое моделирование: Учебник / под научн. Ред. Проф. Б.А. Суслакова. – М.: Дашков и Ко
, 2007. – 424 с.
15. Лагоша Б.А. Оптимальное управление в экономике: Учеб.пособие для вузов / Лагоша Борис Александрович. - М.: Финансы и статистика, 2003. - 192с.:
16. Лейбкинд А.Р. Моделирование организационных структур:(Классиф. подход) / Лейбкинд Александр Рафаилович, Б. Л. Рудник. - М.: Hаука, 1981. - 143с.
17. Мазуров Ю.Л., Пакина А.А. Экономика и управление природопользованием. – М.: Издательство Московского университета, 2003
18. Математические методы в макро- и микроэкономике. Минск, БГЭУ, 1997.
19. Моделирование межотраслевых взаимодействий / Отв. ред. Ю.В.Яременко. - М.: Наука, 1984. - 278с.:
20. Моделирование народнохозяйственных процессов: Учеб. пособие / Под ред. И.В.Котова. - 2-е изд.; испр. и доп. - Л.: Изд-во ЛГУ, 1990. - 288с.
21. Моделирование народнохозяйственных процессов: Учеб.пособие для экон.вузов и фак. / Под ред.В.С.Дадаяна. - М.: Экономика, 1973. - 479с.
22. Монахов А.В. Математические методы анализа экономики: Учеб.пособие / Монахов Андрей Васильевич. - СПб.: Питер, 2002. - 176с.:
23. Оценка и регулирование качества окружающей природной среды : Учебное пособие для инженера-эколога: п/р Порядина А.Ф., Хованского А.Д.: М НУМЦ Минприроды России, 1996. – 350с.
24. Петросян Л.А., Зенкевич Н.А., Семина Е.А. Теория игр: Учеб. пособие для ун-тов. М.: Высшая школа, Книжный дом "Университет", 1998.
25. Пэнтл Р. Методы системного анализа окружающей среды: Пер. с англ./Под ред. Н.Н. Моисеева. – М.: Мир, 1979.
26. Райцин, В.Я. Моделирование социальных процессов : Учебник: [пособие для студентов факультета «Математические методы в экономике»] / В.Я. Райцин. — М.: Экзамен, 2005. — 190 с.
27. Самарский А.А., Михайлов А.П. Математическое моделирование. М.: Наука. Физматлит. 1997.
28. Симкина Л.Г. Микроэкономика: Учеб. / Симкина Любовь Георгиевна, Б. В. Корнейчук; Л.Г.Симкина,Б.В.Корнейчук. - СПб.: Питер, 2002. - 464с.
29. Солодовников А.С., Браилов А.В. Линейное программирование. Учебное пособ. по курсу «Математика в экономике». М.: Финансовая академия при Правительстве РФ. 1996.
30. Таха Х.А. Введение в исследование операций. Т. 2. М.: Мир, 1985.
31. Трояновский В.М. Элементы математического моделирования в макро-экономике / В.М.Трояновский. - М.: РДЛ, 2002. - 151 с.
32. Федосеев В.В. Экономико-математические методы и модели в маркетинге: Учеб.пособие / Федосеев Владлен Валентинович. - М.: Финстатинформ, 1996. - 112с.
33. Федосеев В.В. и др. Экономико-математические методы и прикладные модели. М.: «ЮНИТИ», 1999.
34. Фомин Г.П. Системы и модели массового обслуживания в коммерческой деятельности. Учебное пособие. М.: Финансы и статистика. 2000.
35. Холод Н.И. и др. Экономико-математические методы и модели. Под редакцией А.В. Кузнецова. М.: БГЭУ, 1999.
36. Шелобаев С.И. Математические методы и модели в экономике, финансах, бизнесе. М.: «ЮНИТИ», 2000.
37. Шикин Е.В. Математические методы и модели в управлении: Учеб.пособие / Шикин Евгений Викторович, А. Г. Чхартишвили. - М.: Дело, 2002. - 440с.
Дополнительная литература:
1. Бабайцев В.А. и др. Математика в экономике. Линейная алгебра. (Руководство к решению задач) М.: Финансовая академия при Правительстве РФ. 1996. Часть 1.
2. Багриновский К.А. Имитационные модели в народохозяйственном планировании / Багриновский Кирилл Андреевич, H. Е. Егорова, В. В. Радченко. - М.: Экономика, 1980. - 199с.
3. Базилевич Л.А. Моделирование организационных структур / Базилевич Леонид Анатольевич; Под ред. В.Р. Окорокова. - Л.: Изд-во ЛГУ, 1978. - 159с.
4. Белоусов Е.Г. и др. Математическое моделирование экономических процессов. М.: Изд-во МГУ, 1990.
5. Варфоломеев В.И. Алгоритмическое моделирование элементов экономических систем. Практикум: Учеб.пособие для вузов / Варфоломеев Валентин Иванович. - М.: Финансы и статистика, 2000. - 208с.:
6. Дубров А.М. Моделирование рисковых ситуаций в экономике и бизнесе: Учеб.пособие / Дубров Абрам Моисеевич, Б. А. Лагоша, Е. Ю. Хрусталев; Под ред.Б.А.Лагоши. - М.: Финансы и статистика, 2000. - 176с.
7. Иозайтис В.С., Львов Ю.А. Экономико-математическое моделирование производственных систем. М.: Высш. Шк., 1991.
8. Клейнен Дж. Статистические методы в имитационном моделировании: Пер. с англ. Вып.1 / Клейнен Дж.; Под ред.Ю.П.Адлера,В.Н.Варыгина. - М.: Статистика, 1978. - 221с.
9. Колемаев В.А. Математическая экономика. М.: «ЮНИТИ», 1998.
10. Коршунова Н., Плясунов В. Математика в экономике. М.: «ВИТА-Пресс», 1996.
11. Кремер Н.Ш. и др. Исследование операций в экономике. М.: «Банки и биржи» Изд. об. «ЮНИТИ». 1997.
12. Рабинович М.Г. Многокритериальные задачи оптимизации и их применение в планировании производства. Л.: ЛИЗИ, 1986.
13. Симкина Любовь Георгиевна. Микроэкономика: Учеб. / Симкина Любовь Георгиевна, Б. В. Корнейчук; Л.Г.Симкина,Б.В.Корнейчук. - СПб.: Питер, 2002. - 464с.
14. Сио К.К. Управленческая экономика. Текст, задачи и краткие примеры: Учеб.;Пер.с англ. / К. К. Сио. - М.: ИНФРА-М, 2000. - 671с.
15. Содовников А.С., Бабайцев В.А., Браилов А.В. Математика в экономике. Часть 1. М.: Финансы и статистика. 1998.
16. Справочник по математике для экономистов. /под ред. проф. В.И. Ермакова. М.: Высшая школа. 1997.
17. Черемных Ю.Н. Анализ поведения траекторий динамики народно-хозяйственных моделей / Ю. Н. Черемных. - М.: Наука, 1982. - 177с.
18. Чураков Евгений Петрович. Математические методы обработки экспериментальных данных в экономике: Учеб.пособие для вузов / Чураков Евгений Петрович. - М.: Финансы и статистика, 2004. - 240с.
|