| МИНИСТЕРСТВО ВЫСШЕГО И СРЕДНЕГО СПЕЦИАЛЬНОГО ОБРАЗОВАНИЯ СССР
Утверждено Учебно-методическим управлением по высшему образованию
ВЫСШАЯ МАТЕМАТИКА
МЕТОДИЧЕСКИЕ УКАЗАНИЯ
И КОНТРОЛЬНЫЕ ЗАДАНИЯ
(С ПРОГРАММОЙ)
для студентов-заочников
инженерно-технических специальностей,
высших учебных заведений
ПОД РЕДАКЦИЕЙ Ю. С. АРУТЮНОВА
ИЗДАНИЕ ТРЕТЬЕ

МОСКВА «ВЫСШАЯ ШКОЛА» 1985
ББК 22. II
В 93
УДК 511
Авторы:
Ю. С. Арутюнов, А. П. Полозков, Д. П. Полозков
Высшая математика: Методические указания и контрольные задания (с программой) для студентов-заочников инженерно-технических специальностей высших учебных заведений/Арутюнов Ю. С., Полозков А. П., Полозков Д. П.; Под ред. Ю. С. Арутюнова. — М.: Высш. школа, 1985.— 144 с., ил.
25 к.
ББК 22.11
517
© Министерство высшего и среднего специального
образования СССР, 1985
ПРЕДИСЛОВИЕ
В современной науке и технике математические методы исследования, моделирования и проектирования играют все большую роль. Это обусловлено прежде всего быстрым ростом вычислительной техники, благодаря которой все время существенно расширяются возможности успешного применения математики при решении конкретных задач.
Математика является фундаментальной дисциплиной. Ее преподавание предусматривает:
развитие логического и алгоритмического мышления;
овладение основными методами исследования и решения математических задач;
овладение основными численными методами математики и их простейшими реализациями на ЭВМ;
выработку умения самостоятельно расширять математические знания и проводить математический анализ прикладных (инженерных) задач.
Обучение математике предполагает систематическое отражение общих положений диалектико-материалистической философии, что служит решению важной задачи формирования марксистско-ленинского мировоззрения у студентов.
Общий курс математики является фундаментом математического образования инженера, имеющим важное значение для успешного изучения общетеоретических и специальных дисциплин, которые предусмотрены учебными планами различных специальностей.
В настоящее время в системе высшего образования существуют три формы обучения: дневная (или стационарная), вечерняя и заочная. Объем и содержание дисциплин учебного плана той или иной специальности не зависят от формы обучения, но методика их изучения при различных формах обучения различна. В условиях дневной формы обучения содержание курса высшей математики излагается на лекциях; на практических занятиях студенты овладевают основными методами и приемами решения математических задач. Число часов, отводимых на лекции и практические занятия, и составляет объем курса высшей математики для данной специальности.
Забиваем Сайты В ТОП КУВАЛДОЙ - Уникальные возможности от SeoHammer
Каждая ссылка анализируется по трем пакетам оценки: SEO, Трафик и SMM.
SeoHammer делает продвижение сайта прозрачным и простым занятием.
Ссылки, вечные ссылки, статьи, упоминания, пресс-релизы - используйте по максимуму потенциал SeoHammer для продвижения вашего сайта.
Что умеет делать SeoHammer
— Продвижение в один клик, интеллектуальный подбор запросов, покупка самых лучших ссылок с высокой степенью качества у лучших бирж ссылок.
— Регулярная проверка качества ссылок по более чем 100 показателям и ежедневный пересчет показателей качества проекта.
— Все известные форматы ссылок: арендные ссылки, вечные ссылки, публикации (упоминания, мнения, отзывы, статьи, пресс-релизы).
— SeoHammer покажет, где рост или падение, а также запросы, на которые нужно обратить внимание.
SeoHammer еще предоставляет технологию Буст, она ускоряет продвижение в десятки раз,
а первые результаты появляются уже в течение первых 7 дней.
Зарегистрироваться и Начать продвижение
Для группы инженерно-технических специальностей Учебно-методическим управлением по высшему образованию в 1983 г. были утверждены два варианта программы курса высшей математики: на 510 и 450 учебных часов. Они являются обязательными не только для дневной, но и для вечерней и заочной форм обучения, хотя студент-заочник изучает материал курса в основном в порядке самостоятельной работы над учебниками и другими учебными пособиями.
Настоящее пособие является методическим руководством для изучения общего курса высшей математики студентами-заочниками инженерно-технических специальностей. Оно содержит общие рекомендации студенту-заочнику по работе над курсом высшей математики, упомянутые выше два варианта программы курса высшей математики для указанных специальностей, методические указания по темам курса с вопросами для самопроверки и контрольные задания (десять вариантов).
Его можно использовать при любом из двух вариантов программы, выбор которого определяется учебным планом данной специальности. Кафедры высшей математики сообщают студентам-заочникам, каким вариантом программы они должны руководствоваться. Кафедры высшей математики, принимая за основу утвержденные варианты программы, могут также в зависимости от профиля вуза и конкретной специальности студентов-заочников расширять или сокращать отдельные разделы или пункты. Все эти изменения доводятся до сведения студентов.
Здесь не затронуты вопросы, относящиеся к организации и проведению лабораторного практикума по численным методам курса высшей математики. Такой практикум связан с применением вычислительной техники, и его организация зависит от условий и возможностей каждого конкретного вуза, особенно при заочной форме обучения. Это относится и к изучению п. 94 программы (обоих вариантов), связанных со знакомством студентов с ЭВМ. Кафедра высшей математики должна разработать формы и методику проведения этой работы в своем вузе и дать студентам-заочникам необходимые указания дополнительно к настоящему пособию. Также дополнительно кафедры сообщают студентам все необходимые коррективы к настоящему пособию, вытекающие из специфики учебных планов конкретных специальностей и методики изложения тех или иных вопросов курса, принятой в данном вузе (порядок изучения материала, распределение его по семестрам, количество и содержание контрольных работ в каждом семестре и сроки их выполнения и т. п.).
Сервис онлайн-записи на собственном Telegram-боте
Попробуйте сервис онлайн-записи VisitTime на основе вашего собственного Telegram-бота:
— Разгрузит мастера, специалиста или компанию;
— Позволит гибко управлять расписанием и загрузкой;
— Разошлет оповещения о новых услугах или акциях;
— Позволит принять оплату на карту/кошелек/счет;
— Позволит записываться на групповые и персональные посещения;
— Поможет получить от клиента отзывы о визите к вам;
— Включает в себя сервис чаевых.
Для новых пользователей первый месяц бесплатно.
Зарегистрироваться в сервисе
ОБЩИЕ РЕКОМЕНДАЦИИ СТУДЕНТУ-ЗАОЧНИКУ ПО РАБОТЕ НАД КУРСОМ ВЫСШЕЙ МАТЕМАТИКИ
Основной формой обучения студента-заочника является самостоятельная работа над учебным материалом, которая состоит из следующих элементов: изучение материала по учебникам, решение задач, самопроверка, выполнение контрольных работ. В помощь заочникам институты организуют чтение лекций, практические занятия и лабораторные работы. Кроме того, студент может обращаться к преподавателю с вопросами для получения письменной или устной консультации. Указания студенту по текущей работе даются также в процессе рецензирования контрольных работ. Однако студент должен помнить, что только при систематической и упорной самостоятельной работе помощь института окажется достаточно эффективной. Завершающим этапом изучения отдельных частей курса высшей математики является сдача зачетов и экзаменов в соответствии с учебным планом.
Чтение учебника
1. Изучая материал по учебнику, следует переходить к следующему вопросу только после правильного понимания предыдущего, производя на бумаге все вычисления (в том числе и те, которые ради краткости опущены в учебнике) и выполняя имеющиеся в учебнике чертежи.
2. Особое внимание следует обращать на определение основных понятий. Студент должен подробно разбирать примеры, которые поясняют такие определения, и уметь строить аналогичные примеры самостоятельно.
3. Необходимо помнить, что каждая теорема состоит из предположений и утверждения. Все предположения должны обязательно использоваться в доказательстве. Нужно добиваться точного представления о том, в каком месте доказательства использовано каждое предположение теоремы. Полезно составлять схемы доказательств сложных теорем. Правильному пониманию многих теорем помогает разбор примеров математических объектов, обладающих и не обладающих свойствами, указанными в предположениях и утверждениях теорем.
4. При изучении материала по учебнику полезно вести конспект, в который рекомендуется вписывать определения, формулировки теорем, формулы, уравнения и т. д. На полях конспекта следует отмечать вопросы, выделенные студентом для получения письменной или устной консультации преподавателя.
5. Письменное оформление работы студента имеет исключительно важное значение. Записи в конспекте должны быть сделаны чисто, аккуратно и расположены в определенном порядке. Хорошее внешнее оформление конспекта по изученному материалу не только приучит студента к необходимому в работе порядку, но и позволит ему избежать многочисленных ошибок, которые происходят из-за небрежных, беспорядочных записей.
6. Выводы, полученные в виде формул, рекомендуется в конспекте подчеркивать или обводить рамкой, чтобы при перечитывании конспекта они выделялись и лучше запоминались. Опыт показывает, что многим студентам помогает в работе составление листа, содержащего важнейшие и наиболее часто употребляемые формулы курса. Такой лист не только помогает запомнить формулы, но и может служить постоянным справочником для студента.
Решение задач
1. Чтение учебника должно сопровождаться решением задач, для чего рекомендуется завести специальную тетрадь.
2. При решении задач нужно обосновать каждый этап решения исходя из теоретических положений курса. Если студент видит несколько путей решения, то он должен сравнить их и выбрать из них самый лучший. Полезно до начала вычислений составить краткий план решения.
3. Решения задач и примеров следует излагать подробно, вычисления располагать в строгом порядке, отделяя вспомогательные вычисления от основных. Чертежи можно выполнять от руки, но аккуратно и в соответствии с данными условиями. Если чертеж требует особо тщательного выполнения (например, при графической проверке решения, полученного путем вычислений), то следует пользоваться линейкой, транспортиром, лекалом и указывать масштаб.
4. Решение каждой задачи должно доводиться до ответа, требуемого условием, и по возможности в общем виде с выводом формулы. Затем в полученную формулу подставляют числовые значения (если они даны). В промежуточных вычислениях не следует вводить приближенные значения корней, числа я и т. п.
5. Полученный ответ следует проверять способами, вытекающими из существа данной задачи. Если, например, решалась задача с конкретным физическим или геометрическим содержанием, то полезно прежде всего проверить размерность полученного ответа. Полезно также, если возможно, решить задачу несколькими способами и сравнить полученные результаты.
6. Решение задач определенного типа нужно продолжать до приобретения твердых навыков в их решении.
Самопроверка
1. После изучения определенной темы по учебнику и решения достаточного количества соответствующих задач студенту рекомендуется воспроизвести по памяти определения, выводы формул, формулировки и доказательства теорем. Вопросы для самопроверки, приведенные в настоящем пособии, даны с целью помочь студенту в повторении, закреплении и проверке прочности усвоения изученного материала. В случае необходимости надо еще раз внимательно разобраться в материале учебника, решить ряд задач.
2. Иногда недостаточность усвоения того или иного вопроса выясняется только при изучении дальнейшего материала. В этом случае надо вернуться назад и повторить плохо усвоенный раздел.
3. Важным критерием усвоения теории является умение решать задачи на пройденный материал. Однако здесь следует предостеречь студента от весьма распространенной ошибки, заключающейся в том, что благополучное решение задач воспринимается им как признак усвоения теории. Часто правильное решение задачи получается в результате применения механически заученных формул, без понимания существа дела. Можно сказать, что умение решать задачи является необходимым, но недостаточным условием хорошего знания теории.
Консультации
1. Если в процессе работы над изучением теоретического материала или при решении задач у студента возникают вопросы, разрешить которые самостоятельно не удается (неясность терминов, формулировок теорем, отдельных задач и др.), то он может обратиться к преподавателю для получения от него письменной или устной консультации.
2. В своих запросах студент должен точно указать, в чем он испытывает затруднение. Если он не разобрался в теоретических объяснениях, или в доказательстве теоремы, или в выводе формулы по учебнику, то нужно указать, какой это учебник, год его издания и страницу, где рассмотрен затрудняющий его вопрос, и что именно его затрудняет. Если студент испытывает затруднение при решении задачи, то следует указать характер этого затруднения, привести предполагаемый план решения.
3. За консультацией следует обращаться и при сомнении в правильности ответов на вопросы для самопроверки.
Контрольные работы
1. В процессе изучения курса математики студент должен выполнить ряд контрольных работ, главная цель которых — оказать студенту помощь в его работе. Рецензии на эти работы позволяют студенту судить о степени усвоения им соответствующего раздела курса; указывают на имеющиеся у него пробелы, на желательное направление дальнейшей работы; помогают сформулировать вопросы для постановки их перед преподавателем.
2. Не следует приступать к выполнению контрольного задания, не решив достаточного количества задач по материалу, соответствующему этому заданию. Опыт показывает, что чаще всего неумение решить ту или иную задачу контрольного задания вызывается тем, что студент не выполнил это требование.
3. Контрольные работы должны выполняться самостоятельно. Несамостоятельно выполненная работа не дает возможности преподавателю-рецензенту указать студенту на недостатки в его работе, в усвоении им учебного материала, в результате чего студент не приобретает необходимых знаний и может оказаться неподготовленным к устному зачету и экзамену.
4. Не рекомендуется присылать в институт одновременно работы по нескольким заданиям: это не дает возможности рецензенту своевременно указать студенту на допущенные им ошибки и удлиняет срок рецензирования работ.
5. Прорецензированные контрольные работы вместе со всеми исправлениями и дополнениями, сделанными по требованию рецензента, следует сохранять. Без предъявления прорецензированных контрольных работ студент не допускается к сдаче зачета и экзамена.
6. Распределение контрольных работ по семестрам устанавливается каждым институтом для своих студентов в соответствии с распределением по семестрам материала и сообщается студентам дополнительно.
Лекции, практические занятия и лабораторные работы
Во время экзаменационно-лабораторных сессий для студентов-заочников организуются лекции и практические занятия. Они носят по преимуществу обзорный характер. Их цель — обратить внимание на общую схему построения соответствующего раздела курса, подчеркнуть важнейшие места, указать главные практические приложения теоретического материала, привести факты из истории науки. Кроме того, на этих занятиях могут быть более подробно рассмотрены отдельные вопросы программы, отсутствующие или недостаточно полно освещенные в рекомендуемых пособиях.
Во время экзамснационно-лабораторных сессий проводятся также лабораторные работы для приобретения навыков в работе с вычислительными средствами и изучения различных методов приближенных вычислений.
Для студентов, имеющих возможность заниматься в группах на учебно-консультационных пунктах, лекции, практические занятия и лабораторные работы проводятся в течение всего учебного года и носят более систематический характер, однако и они призваны оказать только помощь студенту в его самостоятельной работе.
В настоящее время созданы кинокурсы по высшей математике. В ряде институтов проводится организованный просмотр этих кинокурсов.
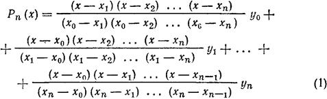
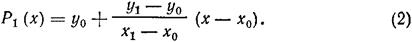
Зачеты и экзамены
На экзаменах и зачетах выясняется прежде всего отчетливое усвоение всех теоретических и практических вопросов программы и умение применять полученные знания к решению практических задач. Определения, теоремы, правила должны формулироваться точно и с пониманием существа дела; решение задач в простейших случаях должно выполняться без ошибок и уверенно; всякая письменная и графическая работа должна быть сделана аккуратно и четко. Только при выполнении этих условий знания могут быть признаны удовлетворяющими требованиям, предъявляемым программой
При подготовке к экзамену учебный материал рекомендуется повторить по учебнику и конспекту.
ПРОГРАММА КУРСА «ВЫСШАЯ МАТЕМАТИКА» ДЛЯ
ИНЖЕНЕРНО-ТЕХНИЧЕСКИХ СПЕЦИАЛЬНОСТЕЙ
ВЫСШИХ УЧЕБНЫХ ЗАВЕДЕНИИ
Первый вариант (510 учебных часов)
I. Элементы линейной алгебры и аналитической геометрии
1. Трехмерное пространство Векторы. Линейные операции над векторами. Линейные пространства. Линейно-независимые системы векторов. Базис.
2. Скалярное произведение в R3
и его свойства Аксиоматическое определение скалярного произведения в линейном пространстве. Длина вектора. Расстояние. Неравенство Коши—Буняковского. Угол между векторами. Пространство Rn
. Ортогональный базис. Разложение векторов.
3. Уравнение плоскости в R3
(векторная и координатная формы). Уравнение гиперплоскости в Rn (векторная и координатная формы). Прямая в Rn
(векторная и координатная формы).
4. Линейные операторы и матрицы. Линейные операторы и матрицы в заданном базисе в пространстве R2
. Сложение, умножение на число, произведение линейных операторов и соответствующих матриц. Линейные операторы и матрицы в Rn
. Сложение, умножение на число, произведение линейных операторов и соответствующих матриц. Сопряженный оператор. Сопряженная матрица. Самосопряженные операторы и симметричные матрицы. Ортогональные матрицы.
5. Определители второго, третьего порядков. Основные свойства. Определители n-го порядка, их свойства. Ранг матрицы. Теорема о базисном миноре.
6. Векторное произведение. Основные свойства. Смешанное произведение и его свойства.
7. Системы линейных уравнений. Метод Гаусса. Правило Крамера. Обратная матрица. Решение матричных уравнений. Теорема Кронекера—Капелли.
8. Ядро и область значений линейного оператора. Альтернатива Фредгольма для линейного оператора в Rn
.
9. Собственные векторы и собственные значения линейных операторов. Собственные векторы и собственные значения самосопряженных операторов. Теорема о полноте собственных векторов.
10. Преобразование матрицы линейного оператора при переходе к новому базису. Канонический вид самосопряженного оператора.
11. Квадратичные формы. Приведение к каноническому виду. Геометрические приложения в пространствах R2
и R3
.
II. Введение в математический анализ
12. Элементы математической логики. Взаимно обратные и взаимно противоположные теоремы. Необходимость и достаточность. Символика математической логики и ее использование.
13. Множества вещественных чисел, Числовые последовательности. Предел. Верхние и нижние грани множеств. Теорема Больцано—Вейерштрасса. Существование предела монотонной ограниченной последовательности. Число е. Натуральные логарифмы. Предел функции в точке. Предел функции в бесконечности. Свойства функций, имеющих предел.
14. Непрерывность функции. Непрерывность основных элементарных функций.
15. Бесконечно малые функции и их свойства.
16. Бесконечно большие функции и их свойства. Связь между бесконечно большими и бесконечно малыми функциями.
17. Сравнение бесконечно малых. Эквивалентные бесконечно малые. Их использование при вычислении пределов.
18. Свойства непрерывных в точке функций. Непрерывность суммы, произведения и частного. Предел и непрерывность сложной функции.
19. Односторонние пределы. Односторонняя непрерывность. Точки разрыва функции и их классификация.
20. Свойства функций, непрерывных на отрезке: ограниченность, существование наибольшего и наименьшего значений, существование промежуточных значений.
III. Дифференциальное исчисление функций одной переменной
21. Производная функции, ее геометрический и механический смысл. Производная суммы, произведения и частного (обзор теорем школьного курса).
22. Производная сложной функции. Производная обратной функции. Производные обратных тригонометрических функций.
23. Гиперболические функции, их свойства и графики. Производные гиперболических функций.
24. Дифференцируемость функции. Дифференциал функции Связь дифференциала с производной. Геометрический смысл дифференциала. Линеаризация функции. Дифференциал суммы, произведения и частного. Инвариантность формы дифференциала.
25. Производные и дифференциалы высших порядков. Формула Лейбница. Неинвариантность формы дифференциалов порядка выше первого.
26. Теоремы Ролля, Лагранжа, Коши, их применения. Правило Лопиталя.
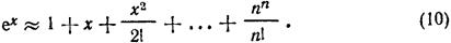
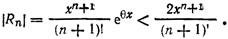
27. Формула Тейлора с остаточным членом в форме Лагранжа. Представление функций еx
, cosx
, sinx
, In(1+x), (l-x)x
по формуле Тейлора. Понятие главной части функции, выделение главной части функции. Приложения формулы Тейлора. Применение дифференциала в приближенных вычислениях.
IV. Исследование функций с помощью производных
28. Условия возрастания и убывания функций. Точки экстремума. Необходимые условия экстремума. Достаточные признаки существования экстремума. Отыскание наибольшего и наименьшего значений непрерывной на отрезке функции.
29. Исследование функций на экстремум с помощью производных высшего порядка. Исследование функций на выпуклость и вогнутость. Точки перегиба. Асимптоты кривых. Общая схема построения графиков функций.
V. Векторные и комплексные функции действительного переменного
30. Векторная функция скалярного аргумента. Производная, ее геометрический и механический смысл.
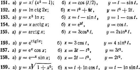
31. Параметрические уравнения кривой на плоскости и в пространстве. Винтовая линия. Функции, заданные параметрически, их дифференцирование.
32. Комплексные числа. Их изображение на плоскости. Модуль и аргумент комплексного числа. Алгебраическая, тригонометрическая и показательная формы комплексного числа. Операции над комплексными числами. Формула Муавра.
33. Комплексные функции действительного переменного, их дифференцирование.
34. Многочлен в комплексной области. Теорема Безу. Условие тождественности двух многочленов.
35. Корни многочлена. Основная теорема алгебры. Разложение многочлена с действительными коэффициентами на линейные и квадратные множители.
VI. Неопределенный интеграл
36. Первообразная. Неопределенный интеграл, его свойства. Таблица основных формул интегрирования. Непосредственное интегрирование. Интегрирование по частям и подстановкой.
37. Интегрирование рациональных функций путем разложения на простейшие дроби. Интегрирование выражений, содержащих тригонометрические функции. Интегрирование некоторых иррациональных выражений. Использование таблиц интегралов.
VII. Определенный интеграл
38. Определенный интеграл как предел интегральных сумм. Основные свойства определенного интеграла.
39. Производная интеграла по верхнему пределу. Формула Ньютона—Лейбница.
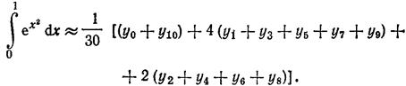
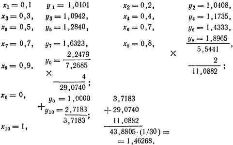
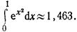
40. Вычисление определенного интеграла: интегрирование по частям и подстановкой. Приближенное вычисление определенного интеграла: формулы прямоугольников, трапеций и Симпсона.
41. Приложение интегралов к вычислению площадей плоских фигур, длин дуг кривых, объемов тел и площадей поверхностей вращения.
42. Кривизна плоской кривой. Центр и круг кривизны. Эволюта и эвольвента. Кривизна пространственной кривой. Формулы Френе.
VIII. Функции нескольких переменных
43. Функции нескольких переменных. Область определения. Предел функции. Непрерывность.
44. Частные производные. Полный дифференциал и его связь с частными производными. Инвариантность формы полного дифференциала. Касательная плоскость и нормаль к поверхности. Геометрический смысл полного дифференциала.
45. Частные производные и полные дифференциалы высших порядков. Формула Тейлора.
46. Неявные функции. Теоремы существования. Дифференцирование неявных функций.
47. Экстремумы функции нескольких переменных. Необходимое условие. Достаточные условия.
48. Условный экстремум. Метод множителей Лагранжа. Глобальные экстремумы.
IX. Обыкновенные дифференциальные уравнения
49. Дифференциальные уравнения первого порядка. Задача Коши. Теорема существования и единственности решения задачи Коши. Понятие об особых решениях дифференциальных уравнений. Основные классы уравнений, интегрируемых в квадратурах.
50. Дифференциальные уравнения высших порядков. Задача Коши. Понятие о краевых задачах для дифференциальных уравнений. Теорема существования и единственности решения задачи Коши. Уравнения, допускающие понижение порядка.
51. Линейные дифференциальные уравнения, однородные и неоднородные. Понятие общего решения. Метод Лагранжа вариации произвольных постоянных.
52. Линейные дифференциальные уравнения с постоянными коэффициентами. Уравнения с правой частью специального вида.
X. Системы обыкновенных дифференциальных уравнений
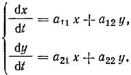
53. Задача Коши для нормальной системы дифференциальных уравнений. Теорема существования и единственности решения задачи Коши. Метод исключения. Векторно-матричная запись нормальной системы. Структура общего решения.
54. Нормальные системы линейных дифференциальных уравнений с постоянными коэффициентами. Решение в случае простых корней характеристического уравнения.
XI. Элементы теории устойчивости
55. Понятие устойчивости и асимптотической устойчивости по Ляпунову. Устойчивость решения системы линейных дифференциальных уравнений с постоянными коэффициентами. Типы точек покоя для системы двух уравнений.
56. Нелинейные автономные системы. Понятие о функции Ляпунова. Формулировка теоремы Ляпунова об устойчивости.
XII. Несобственные интегралы
57. Несобственные интегралы с бесконечными пределами. Несобственные интегралы от неограниченной подынтегральной функции. Основные свойства. Абсолютная и условная сходимости. Признаки сходимости.
XIII. Числовые ряды
58. Числовые ряды. Сходимость и сумма ряда. Необходимое условие сходимости. Действия с рядами.
59. Ряды с положительными членами. Признаки сходимости.
60. Знакопеременные ряды. Абсолютная и условная сходимости. Знакочередующиеся ряды. Признак Лейбница.
61. Ряды с комплексными членами. Методы исследования на сходимость.
XIV. Функциональные ряды
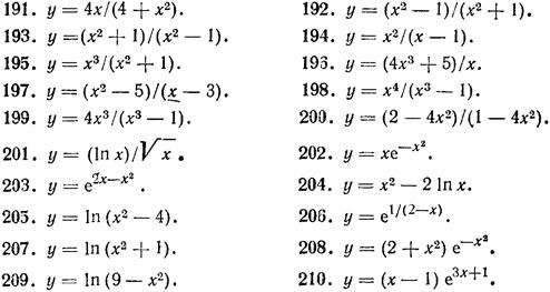
62. Область сходимости. Понятие равномерной сходимости. Признак Вейерштрасса. Свойства равномерно сходящихся рядов.
XV. Степенные ряды
63. Теорема Абеля. Круг сходимости. Свойства степенных рядов.
64. Разложение функций в степенные ряды. Ряд Тейлора. Применение степенных рядов к приближенным вычислениям.
65. Уравнение Бесселя. Решение уравнения Бесселя с помощью степенных рядов. Функции Бесселя.
XV. Ряды Фурье
66. Понятие гильбертова (предгильбертова) пространства. Сходимость в среднем. Понятие ортонормированной системы. Полнота и замкнутость. Равенство Парсеваля—Стеклова. Разложение по полной ортонормированной системе. Приближение в среднем. Минимальное свойство коэффициентов Фурье.
67. Тригонометрическая система функций. Ряд Фурье. Разложение функции в ряд Фурье. Формулировка условий разложимости в случае равномерной сходимости. Разложение в ряд Фурье—Бесселя.
XVII. Интегралы, зависящие от параметров. Интеграл Фурье
68. Интегралы, зависящие от параметра. Непрерывность. Дифференцирование и интегрирование по параметру.
69. Несобственные интегралы, зависящие от параметра. Гамма- и бета-функции.
70. Асимптотическое интегрирование. Вычисление интегралов вида при (интегрирование по частям).
71. Интеграл Фурье. Преобразование Фурье, его свойства и применения.
XVIII. Кратные интегралы
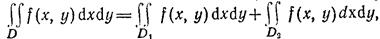
72. Двойные и тройные интегралы, их основные свойства. Представление об интегралах любой кратности.
73. Вычисление двойных и тройных интегралов в декартовых координатах.
74. Замена переменных в кратных интегралах. Переход от декартовых координат к полярным, цилиндрическим и сферическим координатам.
75. Применение кратных интегралов для вычисления объемов и площадей, для решения задач механики и физики.
XIX. Криволинейные и поверхностные интегралы
76. Задачи, приводящие к криволинейным интегралам. Определение криволинейных интегралов первого и второго рода, их основные свойства и вычисление. Геометрические и механические приложения. Связь между криволинейными интегралами первого и второго рода. Формула Грина.
77. Площадь поверхности. Определение поверхностных интегралов. Их свойства и вычисление.
XX. Векторный анализ
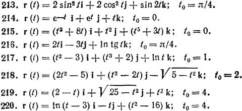
78. Скалярное поле. Поверхности и линии уровня скалярного поля. Производная по направлению. Градиент скалярного поля, его координатное и инвариантное определения.
79. Векторное поле. Векторные линии и их дифференциальные уравнения.
80. Односторонние и двусторонние поверхности. Поток векторного поля через поверхность. Физический смысл потока в поле скоростей жидкости. Вычисление потока. Теорема Остроградского.
81. Дивергенция векторного поля, ее инвариантное определение и физический смысл. Вычисление дивергенции. Соленоидальные (трубчатые) поля.
82. Линейный интеграл в векторном поле. Работа силового поля. Циркуляция векторного поля. Теорема Стокса. Ротор поля, его координатное и инвариантное определения. Физический смысл ротора в поле скоростей. Условия независимости линейного интеграла от формы пути интегрирования.
83. Потенциальное поле. Условие потенциальности поля. Вычисление линейного интеграла в потенциальном поле.
84. Оператор Гамильтона. Операции второго порядка в векторном анализе. Оператор Лапласа, его выражение в цилиндрических и сферических координатах.
XXI. Элементы теории уравнений математической физики
85. Уравнение колебаний струны. Решение задачи Коши методом Даламбера.
86. Уравнение теплопроводности. Решение задачи Коши методом преобразования Фурье.
87. Уравнение Лапласа. Решение задачи Дирихле в круге методом Фурье.
XXII. Элементы теории функций комплексного переменного и операционное исчисление
88.Элементарные функции комплексного переменного.
89.Производная функции комплексного переменного. Условия Коши—Римана. Дифференцируемость элементарных функций.
90. Интегрирование по комплексному аргументу. Теорема Коши. Интегральная формула Коши.
(91. Ряды Тейлора и Лорана. Изолированные особые точки функций, их классификация.
92. Вычеты. Основная теорема о вычетах. Применение вычетов к вычислению интегралов.
93. Преобразование Лапласа. Основные теоремы об оригиналах и изображениях. Формулы обращения интеграла Лапласа. Свертка функций. Интеграл Дюамеля. Решение дифференциальных уравнений и систем операционным методом.
XXIII. Основные численные методы
94. Элементы программирования на алгоритмическом языке.
95. Приближение функции методом наименьших квадратов.
96. Интерполяция. Интерполяционный многочлен Лагранжа. Линейная интерполяция.
97. Решение линейных систем методом Гаусса. Схема с выбором главного элемента.
98. Итерационные методы решения уравнений. Понятие об итерационных методах решения систем уравнений.
99. Численные методы решения задачи Коши для обыкновенного дифференциального уравнения первого порядка. Метод Эйлера и его модификации. Метод Рунге—Кутта.
100 Понятие о методе сеток решения простейших задач математической физики.
XXIV. Теория вероятностей и элементы математической статистики
101. Аксиоматика теории вероятностей. Серии опытов со случайными исходами. Частота. Свойства частот.
Математическая схематизация случайных явлений. Пространство элементарных событий. Случайные события, операции над событиями и отношения между ними.
Алгебра событий. Вероятность — аддитивная функция события. Аксиомы теории вероятностей. Вероятностные пространства. Классическое определение вероятности. Геометрические вероятности.
102. Определение условной вероятности. Независимость событий Вероятность произведения событий. Теорема о полной вероятности, формулы Байеса. Последовательность независимых испытаний, схема Бернулли. Предельные теоремы Муавра—Лапласа и Пуассона.
103. Определение случайной величины. Функция распределения: случайной величины и ее свойства. Непрерывные и дискретные распределения. Примеры распределений: нормальное, пуассоновское, биномиальное, равномерное, показательное. Совместное распределение нескольких случайных величин. Функции от случайных величин. Независимость случайных величин. Распределение суммы независимых случайных величин.
104. Математическое ожидание, дисперсия и другие моменты случайных величин; их свойства (доказательства только для дискретных величин). Ковариация, коэффициент корреляции.
105. Закон больших чисел. Неравенство Чебышева. Закон больших чисел для последовательности независимых случайных величин. Теорема Чебышева.
106. Предельные теоремы. Характеристические функции и их свойства (теоремы о взаимно однозначном и непрерывном соответствии характеристических функций и функций распределения). Центральная предельная теорема для одинаково распределенных слагаемых. Теорема Ляпунова. Теорема Хинчина.
107. Цепи Маркова. Определение. Вероятности перехода. Теорема о предельных вероятностях (без доказательства). Вычисление предельных вероятностей. Стационарное распределение.
108. Элементы математической статистики. Выборки. Точечные оценки неизвестных параметров распределения по выборке, понятие состоятельности и несмещенности оценок. Понятие о доверительных интервалах и статистической проверке гипотез.
109. Понятие о задании случайного процесса. Процессы с независимыми приращениями. Пуассоновский процесс.
Второй вариант (450 учебных часов)
Разделы, помеченные звездочкой, обязательны для изучения только в случае прямого указания кафедры высшей математики.
I. Элементы линейной алгебры и аналитической геометрии
1. Трехмерное пространство R3
. Векторы. Линейные операции над векторами. Линейно независимые системы векторов. Базис.
2. Скалярное произведение в R3
и его свойства. Длина вектора. Угол между двумя векторами. Ортогональный базис. Разложение вектора по базису.
3. Определители второго и третьего порядков, их свойства. Алгебраические дополнения и миноры. Определители n-го порядка.
Векторное произведение и его свойства. Смешанное произведение.
4. Уравнение плоскости в R3
(векторная и координатная формы). Уравнения прямой в R2
и R3
(векторная и координатная формы).
5. Системы двух и трех линейных уравнений с двумя и тремя неизвестными. Правило Крамера. Системы т линейных уравнений с n неизвестными. Метод Гаусса—Жордана.
6. Матрицы. Действие над матрицами, обратная матрица. Матричная запись системы линейных уравнений и ее решения.
Пространство Rn
. Линейная зависимость и независимость векторов в Rn. Ранг матрицы, его вычисление. Исследование системы линейных уравнений. Теорема Кронекера—Капелли.
7. Понятие о линейном операторе как о линейном преобразовании пространства. Линейные операторы и их матрицы в R2
и R3
. Собственные векторы и собственные значения линейных операторов.
8. Квадратичные формы. Приведение к каноническому виду. Геометрические приложения квадратичных форм в пространствах R2
и R3
.
9. Общее уравнение кривых второго порядка. Канонические формы уравнений эллипса, гиперболы и параболы. Геометрические свойства эллипса, гиперболы и параболы.
10. Поверхности второго порядка. Канонические формы уравнений. Исследование поверхностей второго порядка методом сечений.
II. Введение в математический анализ.
11. Элементы математической логики. Необходимость и достаточность. Символика математической логики и ее использование.
12. Множество вещественных чисел. Числовые последовательности. Предел. Верхние и нижние грани множеств. Существование предела монотонной ограниченной последовательности. Число е. Натуральные логарифмы. Предел функции в точке. Предел функции в бесконечности. Свойства функций, имеющих предел.
13. Непрерывность функции. Непрерывность основных элементарных функций.
14. Бесконечно малые функции и их свойства.
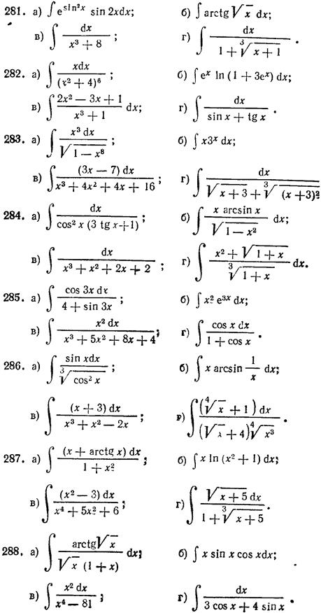
15. Бесконечно большие функции и их свойства. Связь между бесконечно большими функциями и бесконечно малыми.
16. Сравнение бесконечно малых. Эквивалентные бесконечно малые. Их использование при вычислении пределов.
17. Свойства непрерывных в точке функций. Непрерывность суммы, произведения и частного. Предел и непрерывность сложной функции.
18. Односторонние пределы. Односторонняя непрерывность. Точки разрыва функции и их классификация.
19. Свойства функций, непрерывных на отрезке: ограниченность, существование наибольшего и наименьшего значений, существование промежуточных значений.
III. Дифференциальное исчисление функций одной переменной
20. Производная функция, ее геометрический и механический смысл. Производная суммы, произведения и частного (обзор теорем школьного курса).
21. Производная сложной функции. Производная обратной функции. Производные обратных тригонометрических функций. Функции, заданные параметрически, и их дифференцирование.
22. Гиперболические функции, их свойства и графики. Производные гиперболических функций.
23. Дифференцируемость функции. Дифференциал функции. Связь дифференциала с производной. Геометрический смысл дифференциала. Линеаризация функции. Дифференциал суммы, произведения и частного. Инвариантность формы дифференциала.
24. Производные и дифференциалы высших порядков. Формула Лейбница.
25. Теоремы Ролля, Лагранжа, Коши, их применение. Правило Лопиталя.
26. Формула Тейлора с остаточным членом в форме Лагранжа. Представление функций еx
, cosx, sin x, ln(l+x), (l+x)α
по формуле Тейлора. Понятие главной части функции, выделение главной части функции. Приложения формулы Тейлора. Применение дифференциала в приближенных вычислениях.
IV. Исследование функций с помощью производных
27. Условия возрастания и убывания функции. Точки экстремума. Необходимые условия экстремума. Достаточные признаки существования экстремума. Отыскание наибольшего и наименьшего значений непрерывной на отрезке функции.
28. Исследование функций на экстремум с помощью производных высшего порядка. Исследование функций на выпуклость и вогнутость. Точки перегиба. Асимптоты кривых. Общая схема построения графиков функций.
V. Векторные и комплексные функции действительного переменного
29. Векторная функция скалярного аргумента. Производная, ее геометрический и механический смысл.
30. Параметрические уравнения кривой на плоскости и в пространстве. Винтовая линия. Кривизна плоской и пространственной кривой. Эволюта и эвольвента.
31. Комплексные числа. Их изображение на плоскости. Модуль и аргумент комплексного числа. Алгебраическая, тригонометрическая и показательная формы комплексного числа. Операции над комплексными числами. Формула Муавра,
32. Многочлен в комплексной области. Теорема Безу.
33. Корни многочлена. Основная теорема алгебры. Разложение многочлена с действительными коэффициентами на линейные и квадратичные множители.
34. Комплексные функции действительного переменного, их дифференцирование. Формула Эйлера.
VI. Неопределенный интеграл
35. Первообразная. Неопределенный интеграл, его свойства. Таблица основных формул интегрирования. Непосредственное интегрирование. Интегрирование по частям и подстановкой.
36. Интегрирование рациональных функций путем разложения на простейшие дроби. Интегрирование выражений, содержащих тригонометрические функции. Интегрирование некоторых иррациональных выражений. Использование таблиц интегралов.
VII. Определенный интеграл
37. Задачи, приводящие к понятию определенных интегралов. Определенный интеграл как предел интегральных сумм. Основные свойства определенного интеграла.
38. Производная интеграла по верхнему пределу. Формула Ньютона—Лейбница.
39. Вычисление определенного интеграла: интегрирование по частям и подстановкой. Приближенное вычисление определенного интеграла: формулы прямоугольников, трапеций и Симпсона.
40. Приложение интегралов к вычислению площадей плоских фигур, длин дуг кривых, объемов тел и площадей поверхностей вращения. Физические приложения определенного интеграла.
41. Несобственные интегралы с бэсконечными пределами. Несобственные интегралы от неограниченных функций, основные свойства. Абсолютная и условная сходимости. Признаки сходимости.
VIII. Функции нескольких переменных
42. Функции нескольких переменных. Область определения. Предел функции. Непрерывность.
43. Частные производные. Полный дифференциал и его связь с частными производными. Инвариантность формы полного дифференциала. Касательная плоскость и нормаль к поверхности. Геометрический смысл полного дифференциала.
44. Частные производные и полные дифференциалы высших порядков. Формула Тейлора.
45. Неявные функции. Теоремы существования. Дифференцирование неявных функций.
46. Экстремумы функции нескольких переменных. Необходимое условие. Достаточные условия.
47. Условный экстремум. Метод множителей Лагранжа.
IX. Обыкновенные дифференциальные уравнения
48. Физические задачи, приводящие к дифференциальным уравнениям. Дифференциальные уравнения первого порядка. Задача Коши. Теорема существования и единственности решения задачи Коши. Понятие об особых решениях дифференциальных уравнений. Основные классы уравнений, интегрируемых в квадратурах.
49. Дифференциальные уравнения высших порядков. Задача Коши. Понятие о краевых задачах для дифференциальных уравнений. Уравнения, допускающие понижение порядка.
50. Линейные дифференциальные уравнения, однородные и неоднородные. Понятие общего решения. Метод Лагранжа вариации произвольных постоянных.
51. Линейные дифференциальные уравнения с постоянными коэффициентами. Уравнения с правой частью специального вида.
X*. Системы обыкновенных дифференциальных уравнений
52. Задача Коши для нормальной системы дифференциальных уравнений. Теорема существования и единственности решения задачи Коши. Метод исключения. Векторно-матричная запись нормальной системы. Структура общего решения.
53. Нормальные системы линейных дифференциальных уравнений с постоянными коэффициентами. Решение в случае простых корней характеристического уравнения.
54. Понятие устойчивости решения системы дифференциальных уравнений (по Ляпунову). Устойчивость решения системы линейных уравнений с постоянными коэффициентами. Типы точек покоя для системы двух уравнений.
55. Нелинейные автономные системы. Понятие о функции Ляпунова. Формулировка теоремы Ляпунова об устойчивости.
XI. Числовые ряды
56. Числовые ряды. Сходимость и сумма ряда. Необходимое условие сходимости. Действия с рядами.
57. Ряды с положительными членами. Признаки сходимости.
58. Знакопеременные ряды. Абсолютная и условная сходимости. Знакочередующиеся ряды. Признак Лейбница.
59. Ряды с комплексными членами, методы исследования на сходимость.
XII. Функциональные ряды
60. Область сходимости. Понятие равномерной сходимости. Признак Вейерштрасса. Свойства равномерно сходящихся рядов.
61. Степенные ряды. Теорема Абеля. Радиус сходимости. Свойства степенных рядов.
62. Разложение функций в степенные ряды. Ряд Тейлора. Применение степенных рядов к приближенным вычислениям.
XIII. Ряды Фурье и преобразование Фурье
63. Тригонометрическая система функций. Ряд Фурье. Разложение функции в ряд Фурье. Формулировка условий разложимости в случае равномерной сходимости.
64*. Интеграл Фурье. Преобразование Фурье, его свойства и применение.
XIV. Кратные интегралы
65. Задачи, приводящие к понятию кратного интеграла. Двойные и тройные интегралы, их основные свойства. Представление об интегралах любой кратности.
66. Вычисление двойных и тройных интегралов в декартовых координатах.
67. Замена переменных в кратных интегралах. Переход от декартовых координат к полярным, цилиндрическим и сферическим координатам.
68. Применение кратных интегралов для вычисления объемов и площадей, для решения задач механики и физики.
XV. Криволинейные и поверхностные интегралы
69. Задачи, приводящие к криволинейным интегралам. Определения криволинейных интегралов первого и второго рода, их основные свойства и вычисление. Геометрические и механические приложения. Связь между криволинейными интегралами первого и второго рода. Формула Грина.
70. Площадь поверхности. Определение поверхностных интегралов. Их свойства и вычисление.
XVI. Векторный анализ
71. Скалярное поле. Поверхности и линии уровня скалярного поля. Производная по направлению. Градиент скалярного поля, его координатное и инвариантное определения.
72. Векторное поле. Векторные линии и их дифференциальные уравнения.
73. Односторонние и двусторонние поверхности. Поток векторного поля через поверхность. Физический смысл потока в поле скоростей жидкости. Вычисление потока. Теорема Остроградского.
74. Дивергенция векторного поля, ее инвариантное определение и физический смысл. Вычисление дивергенции. Соленоидальные (трубчатые) поля.
75. Линейные интеграл в векторном поле. Работа силового поля. Циркуляция векторного поля. Теорема Стокса. Ротор поля, его координатное и инвариантное определения. Физический смысл ротора в поле скоростей. Условия независимости линейного интеграла от формы пути интегрирования.
76. Потенциальное поле. Условие потенциальности поля. Вычисление линейного интеграла в потенциальном поле.
77. Оператор Гамильтона. Операции второго порядка в векторном анализе. Оператор Лапласа, его выражение в цилиндрических и сферических координатах.
XVII. Основные уравнения математической физики
78. Уравнение колебаний струны. Решение задачи Коши методом Даламбера, методом разделения переменных.
79. Уравнение теплопроводности. Решение задачи Коши методом преобразования Фурье.
80. Уравнение Лапласа. Решение задачи Дирихле в круге методом Фурье.
XVIII*. Операционное исчисление
81. Преобразование Лапласа. Оригинал и изображение. Свойства изображений. Изображения простейших функций.
82. Связь преобразования Лапласа с преобразованием Фурье. Теорема о свертке, теорема запаздывания, теорема о сдвиге. Интеграл Дюамеля.
83. Операционный метод решения линейных обыкновенных дифференциальных уравнений.
84. Применение операционного метода к решению уравнений с частными производными.
XIX. Теория вероятностей и математическая статистика
85. Аксиоматика теории вероятностей. Серии опытов со случайными исходами. Частота. Свойства частот.
Математическая схематизация случайных явлений. Пространство элементарных событий. Случайные события, операции над событиями и отношения между ними.
Алгебра событий. Вероятность — аддитивная функция события. Аксиомы теории вероятностей. Вероятностные пространства. Классическое определение вероятности. Геометрические вероятности.
86. Определение условной вероятности. Независимость событий. Теорема о полной вероятности. Формулы Байеса. Последовательность независимых испытаний, схема Бернулли. Предельные теоремы Муавра—Лапласа и Пуассона.
87. Определение случайной величины. Функция распределения случайной величины и ее свойства. Непрерывные и дискретные распределения. Примеры распределений: нормальное, пуассоновское, биномиальное, равномерное, показательное. Совместное распределение нескольких случайных величин. Функции от случайных величин. Независимость случайных величин. Распределение суммы независимых случайных величин.
88. Математическое ожидание, дисперсия и другие моменты случайных величин; их свойства (доказательство только для дискретных величин). Ковариация, коэффициент корреляции.
89. Закон больших чисел. Неравенство Чебышева. Закон больших чисел для последовательности независимых случайных величин. Уеорема Чебышева.
90. Предельные теоремы. Характеристические функции и их свойства (теоремы о взаимно однозначном и непрерывном соответствии характеристических функций и функций распределения). Центральная предельная теорема для суммы одинаково распределенных слагаемых. Теорема Ляпунова. Теорема Хинчина.
91. Цепи Маркова. Определение. Вероятности перехода. Теорема о предельных вероятностях (без доказательства). Вычисление предельных вероятностей. Стационарное распределение.
92. Математическая статистика. Выборки. Точечные оценки неизвестных параметров распределения по выборке, понятия состоятельности и несмещенности оценок. Понятие о доверительных интервалах и статической проверке гипотез.
93. Элементы корреляционного анализа. Основные свойства регрессии. Уравнения линейной регрессии. Теснота связи и ее оценка по коэффициенту корреляции. Понятие о нелинейной регрессии. Корреляционное отношение.
XX. Основные численные методы
94. Алгоритмы и их свойства. Блок-схема алгоритмов. Основные типы вычислительных процессов.
95. Приближение функции многочленом по методу наименьших квадратов.
96. Интерполяция. Интерполяционный многочлен Лагранжа. Линейная и квадратичная интерполяция. Конечные разности и их свойства.
97. Решение линейных систем методом Гаусса—Жордана. Обращение матриц и вычисление определителей по методу Гаусса—Жордана.
98. Итерационные методы решения уравнений. Понятие об итерационных методах решения систем уравнений.
99. Численные методы решения задачи Коши для обыкновенного дифференциального уравнения первого порядка. Метод Эйлера и его модификации. Метод Рунге—Кутта.
100. Понятие о методе сеток решения краевых задач математическом физики.
ЛИТЕРАТУРА
1. Беклемишев Д. В. Курс аналитической геометрии и линейной алгебры. — М.: Наука, 1980, 1984.
2. Ефимов Н. В. Квадратичные формы и матрицы. — М.: Физматгиз, 1962—1963; М.: Наука, 1964—1975.
3. Клетеник Д. В. Сборник задач по аналитической геометрии.—М.: Гостехиздат, 1954—1956; М.: Физматгиз, 1958—1963; М.: Наука, 1965—1980.
4. Пискунов Н. С. Дифференциальное и интегральное исчисления для втузов. — М.: Наука, 1970—1985, т. 1, 2.
5. Задачи и упражнения по математическому анализу для втузов/Под ред. Б. П. Демидовича.—М.- Физматгиз, 1959 — 1963; М: Наука, 1964—1978.
6. Свешников А. Г., Тихонов А. Н. Теория функций комплексной переменной —М.: Наука, 1967—1979.
7. Краснов М. Л., Киселев А. И., Макаренко Г. И. Функции комплексного переменного. Операционное исчисление. Теория устойчивости (задачи и упражнения). — М.- Наука, 1971.
8. Чистяков В. П. Курс теории вероятностей. — М.: Наука 1982.
9. Данко П. Е., Попов А. Г., Кожевникова Т. Я. Высшая математика в упражнениях и задачах. — М.: Высшая школа 1980,4. I, II.
10. Бугров Я. С, Никольский СМ. Высшая математика. Элементы линейной алгебры и аналитической геометрии. — М. Наука, 1980, 1984.
11. Бугров Я. С, Никольский СМ. Высшая математика Дифференциальное и интегральное исчисление. — М.: Наука, 1980, 1984.
12. Бугров Я. С, Никольский С. М. Высшая математика. Дифференциальные уравнения. Кратные интегралы. Ряды Функции комплексного переменного. — М.: Наука, 1981, 1985.
13. Бугров Я. С, Никольский С. М. Высшая математика. Задачник. — М.: Наука, 1982.
МЕТОДИЧЕСКИЕ УКАЗАНИЯ ПО ИЗУЧЕНИЮ КУРСА «ВЫСШАЯ МАТЕМАТИКА»
Курс высшей математики разбит на темы и пункты, в которых даны подробные указания литературы, рекомендуемой для изучения, и задач для самостоятельного решения. Номера в квадратных скобках [ ] означают пособия из приведенного выше списка литературы; например [1] обозначает учебник Д. В. Беклемишева и т. д.
В случае необходимости по некоторым вопросам даны пояснения, дополняющие материал рекомендуемых пособий.
В каждой теме приведены вопросы для самопроверки. Указано также, после изучения каких тем студент должен выполнить очередную контрольную работу.
Приступая к изучению курса высшей математики, студент должен прочитать из пособия [11], § 1.1—1.3. Там он найдет общую характеристику предмета математики, начальные сведения из теории множеств и некоторые начальные понятия о символике математической логики, используемые в дальнейшем на протяжении всего курса.
В пособии [9] имеется довольно большое число решенных задач, с которыми студенту рекомендуется познакомиться при изучении соответствующего материала.
ТЕМА I. ВЕКТОРНАЯ АЛГЕБРА
1. Векторы
Литература. [1], гл. 1, § 1; [3], задачи 761, 764—777, 785, 786, 790, 792
При решении задач из [3] следует учесть особенности применяемой там терминологии. Пояснение всех терминов, используемых в задачах, можно найти во вступительной части каждого параграфа, к которому относится данная задача. Особое внимание следует уделить вступлениям к § 1, 2, 27, 29, 30.
2. Системы координат
Литература. [1], гл. 1, § 2, п. 1—3; [3], задачи 750—752, 778, 779, 1—25; 44—49, 86—115, 719—725, 735—742, 745, 746.
3. Скалярное произведение векторов
Литература. [1], гл. 1, §3, п. 1; [3], задачи 795—838, 748, 749, 753—760, 780—784, 53—58, 63—85.
4. Векторное и смешанное произведения векторов
Литература. [1], гл. 1, § 3, п. 2, 3, 12; [3], задачи 839— 849; [1], гл. 1, § 3, п. 4; [3], задачи 865—871.
5. Определители второго и третьего порядков
Литература. [1], гл. 1; § 3, п. 5—9; [3], задачи 1204— 1209, 1211—1251, 850—864, 116—126, 873—878.
6. Замена базиса и системы координат
Литература. [1], гл. 1, § 4, п. 1; [3], задачи 787—789, 793, 794; [1], гл. 1, § 4, п. 2, 3; [3], задачи 127—141.
7. Полярные, цилиндрические и сферические координаты
Литература. [1], гл. 1, § 2, п. 4, 5; [3], задачи 26—28, 42, 43.
Вопросы для самопроверки
1. Что называется вектором и модулем вектора?
2. Какие векторы называются коллинеарными, компланарными, равными?
3. Могут ли два вектора, имеющих равные модули, быть не равными? Если да, то чем они могут различаться?
4. Все векторы, имеющие один и тот же модуль, отложены из одной точки А пространства. Где находятся концы этих векторов?
5. Какие операции над векторами называются линейными и каковы свойства этих операций?
6. Что называется базисом на прямой, на плоскости и в пространстве?
7. В каком случае векторы называются линейно зависимыми и в каком — линейно независимыми?
8. Докажите, что линейным операциям над векторами соответствуют такие же операции над их компонентами (координатами) в некотором базисе.
9. Какой базис называется ортонормированным?
10. Как определяется декартова система координат?
11. Как выражаются координаты вектора через координаты его начальной и конечной точек?
12. Выведите формулы деления отрезка в данном отношении
13. Центром тяжести треугольника является точка пересечения его медиан. Выведите формулы, выражающие координаты центра тяжести треугольника через координаты его вершин.
14. Что называется скалярным произведением двух векторов, каковы его свойства и как оно выражается через координаты векторов-сомножителей в ортонормированном базисе?
15. Выведите формулы для длины вектора, угла между двумя векторами и расстояния между двумя точками в декартовой прямоугольной системе координат.
16. Что называется векторным произведением двух векторов, каковы его свойства и как оно выражается через координаты векторов-сомножителей в ортонормированном базисе?
17. Что называется смешанным произведением трех векторов, каковы его свойства и как оно выражается через координаты векторов-сомножителей в ортонормированном базисе?
18. Что называется определителем (детерминантом) второго и третьего порядков, каковы их свойства и способы вычисления?
19. Как преобразуются координаты вектора при замене базиса пространства (плоскости)?
20. Какому условию должны удовлетворять координаты трех векторов, чтобы их можно было принять за базис пространства?
21. Каковы формулы преобразования декартовых прямоугольных координат на плоскости?
22. Опишите полярную, цилиндрическую и сферическую системы координат.
ТЕМА II. ПОВЕРХНОСТИ И ЛИНИИ
1. Уравнения в декартовых координатах
Литература. [1], гл. II, § 1, п. 1; [3], задачи 157—162, 174— 197, 885-887, 891—909; [1], гл. II, § 1, п. 5; [3], задача 910.
Рекомендуется разобрать пример 1 в § 10 и решение задачи 888 в [3], а также решения задач 37—39 и 41 в [9], ч. I.
2. Параметрические уравнения линий и поверхностей
Литература. [1], гл. II, § 1, п. 3; [3], задачи 204—207, 209; [1], гл. II, § 1, п. 4.
Рекомендуется разобрать решения задач 52—56 в [9], ч. I.
3. Алгебраические линии и поверхности
Литература. [1], гл. II, § 1, п. 2.
Исправьте опечатку в гл. II, §1, п. 2 пособия [1] (4-е изд., 1980; с. 42, строка 14-я снизу). Во втором определении написано: алгебраической поверхностью на плоскости... Следует читать: алгебраической линией на плоскости...
4. Плоскости и прямые
Литература. [1], гл. II, § 2, 3; [3], § 12—15, 38-43, 45.
5. Линии второго порядка
Литература. [1], гл. III, § 1, 2, п. 1; [3], задачи 385, 397, 398, 444, 460, 472, 509, 512. [1], гл. III, § 2, п. 2; [3], задачи 515, 516, 522, 526, 530, 532, 541, 542. [1], гл. III, § 2, п. 3; [3], задачи 585, 588, 591, 599, 600, 607.
6. Поверхности второго порядка
Литература. [1], гл. III, § 4; [3], задачи 1084, 1096, 1153, 1154, 1155, 1179.
7. Уравнение линии в полярных координатах
Литература. [4], гл. I, § 10, упр. 41—45; [3], задачи 163, 166, 208, 632.
Вопросы для самопроверки
1. Как определяются в аналитической геометрии линии, поверхности и другие множества точек? Приведите примеры.
2. Как можно найти точку пересечения двух линий на плоскости, трех поверхностей, линии и поверхности? Приведите примеры.
3. Какова характерная особенность уравнения цилиндрической поверхности с образующими, параллельными одной из координатных осей? Приведите примеры.
4. Опишите параметрический способ задания линий и поверхностей. Приведите примеры.
5. Какие поверхности и линии называются алгебраическими? Приведите примеры.
6. Что называется порядком алгебраической линии и алгебраической поверхности? Приведите примеры.
7. Докажите, что плоскость является поверхностью первого порядка, а прямая на плоскости линией первого порядка.
8. Что называется направляющим вектором прямой и направляющими векторами плоскости?
9. Покажите, что вектор 1(—В, А) является направляющим вектором прямой Ах
+ Вх
+ С=0.
10. Как записываются параметрические уравнения прямой и плоскости?
11. Что называется угловым коэффициентом прямой на плоскости и каков его геометрический смысл в декартовой прямоугольной системе координат?
12. Как записываются уравнения прямой, проходящей через две точки, в пространстве и на плоскости?
13. Как записывается уравнение плоскости, проходящей через три заданные точки?
14. Как вычисляются углы между двумя прямыми (на плоскости и в пространстве), между двумя плоскостями, между плоскостью и прямой?
15. Каковы условия параллельности и перпендикулярности двух прямых (на плоскости и в пространстве), двух плоскостей, прямой и плоскости?
16. Каков геометрический смысл неравенства первой степени с двумя и тремя переменными?
17. Каковы канонические уравнения эллипса, гиперболы и параболы?
18. Что называется фокусами, директрисами и эксцентриситетом эллипса, гиперболы и параболы?
19. Каковы геометрические свойства эллипса, гиперболы и параболы?
20. Что называется асимптотами гиперболы?
21. Назовите поверхности второго порядка и напишите их канонические уравнения.
22. Приведите примеры уравнений линий в полярных координатах.
После изучения тем I, II выполните контрольную работу 1
.
ТЕМА III. ЭЛЕМЕНТЫ ЛИНЕЙНОЙ АЛГЕБРЫ
1. Матрицы и линейные операции над ними
Литература. [1], гл. V, §1; [9], ч. I, задачи 394, 395.
Операции сложения матриц и умножения матрицы на число называются линейными. Линейные операции над матрицами обладают теми же свойствами, что и линейные операции над векторами (см. [1], § 1, п. 4, предложение 1).
Понятия матрицы и линейных операций над матрицами рассматриваются и в ряде других пособий, например в [10], § 3. В [2] (п. 71 и 74), [4] (гл. XXI, § 2, 4), а также в [9] (ч. I, гл. 4, § 2) матрицы вводятся в связи с линейными преобразованиями, которые будут изучаться позже.
2. Определители
Литература. [1], гл. V, § 2; [3], задачи 1252—1256; [9], ч. I, задачи 387—390.
Определители называют также детерминантами. Студент уже знаком с определителями 2-го и 3-го порядков (тема I, п. 5, с. 27). Теперь он знакомится с общим понятием определителя (n-го порядка).
Рекомендуется разобрать в [9], ч. I, решения задач 383, 384, 386.
Понятие определителя рассматривается также в [10], § 1, 2.
Очень важно хорошо усвоить свойства определителей, так как без их применения практически невозможно вычислять определители высших порядков (выше третьего).
3. Системы линейных уравнений. Правило Крамера
Литература. [1], гл. V, § 3; [9], ч. I, задачи 391—393. Правило Крамера рассматривается также в [10], § 4.
4. Ранг матрицы. Теорема Кронекера—Капелли. Метод Гаусса
Литература. [1], гл. V, § 4, 5; [9], ч. I, задачи 435—437, 441—443, 446, 447, 449.
Материал этого пункта имеется также в [10], § 3, 4. Рекомендуется разобрать в [9], ч. I, решения задач 428—433, 438—440, 444, 445.
Эффективным методом решения и исследования систем линейных уравнений является метод исключения неизвестных, называемый также методом Гаусса
. Он состоит в том, что данная система линейных уравнений преобразуется в равносильную ей систему специального вида, которая легко исследуется и решается. Применение метода Гаусса не зависит ни от числа уравнений, ни от числа неизвестных в системе.
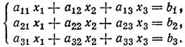
Систему т линейных уравнений с п неизвестными х\, х2,..., хя в общем виде можно записать так:

где aij
— коэффициенты
, bi
— свободные члены
.
В дальнейшем могут встретиться и такие особые уравнения, все коэффициенты которых равны нулю, т. е. уравнения вида

Если в уравнении (2) свободный член отличен от нуля, то ему не удовлетворяют никакие значения неизвестных. Система уравнений, содержащая хотя бы одно такое уравнение, несовместна. Если же в уравнении (2) свободный член равен нулю, то ему удовлетворяют любые значения неизвестных — уравнение является тождеством. Уравнение-тождество можно удалить из системы: оставшиеся уравнения образуют систему, равносильную исходной. В дальнейшем уравнения-тождества будем кратко обозначать символом 0=0
Чтобы преобразовать данную систему линейных уравнений общего вида к необходимому виду, используют следующие элементарные преобразования
:
α — прибавление к обеим частям одного уравнения системы соответствующих частей другого уравнения той же системы, умноженных на некоторое число
λ;
β — перестановка местами уравнений в системе
;
γ — удаление из системы уравнений вида
0 = 0.
В результате каждого из элементарных преобразований, а значит, и в результате их последовательного повторения данная система линейных уравнений преобразуется в систему линейных же уравнений, равносильную исходной.
С помощью элементарного преобразования а любую систему линейных уравнений можно преобразовать так, чтобы некоторое фиксированное неизвестное х
1
, сохранившись в одном уравнении, исключилось из любого другого уравнения системы. Для этого достаточно подобрать соответствующее значение множителя λ для каждого уравнения, из которого исключается выбранное неизвестное х
1
, Действительно, пусть в системе (1) неизвестное содержится в i
-м уравнении. Это значит, что коэффициент aij
=0. Назовем х
1
, ведущим неизвестным, i
-е уравнение — ведущим уравнением
, а коэффициент aij
— ведущим элементом
.
Преобразуем теперь κ-е уравнение (κ≠j
), прибавив к нему ведущее уравнение, умноженное на некоторое число λ. Коэффициенты κ-го уравнения преобразуются по формуле

(штрихом отмечены новые значения соответствующих коэффициентов). Подберем множитель λ так, чтобы коэффициент при хj
в k
-м уравнении (получающийся из (3), если положить l
=j
) стал равным нулю:
откуда λ=-akj
/
aij
.
(4)
Используя одно и то же уравнение в качестве ведущего, можно исключить ведущее неизвестное из нескольких уравнений, для каждого из которых надо взять свое значение множителя λ, определяемое по формуле (4) при различных значениях k
. Такое преобразование системы линейных уравнений будем называть исключением неизвестного
x
j
. При исключении одного неизвестного может оказаться, что из некоторых уравнений системы исключились, и некоторые другие неизвестные и даже появились уравнения вида (2).
Преобразование системы по методу Гаусса состоит из нескольких шагов, на каждом из которых исключается одно неизвестное. Для каждого такого шага необходимо указать ведущее неизвестное и ведущее уравнение или, что равносильно, ведущий элемент, а также определить, из каких уравнений исключается ведущее неизвестное.
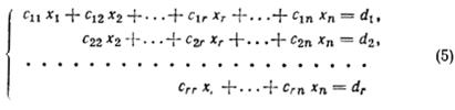
В качестве первого ведущего элемента (ведущего элемента первого шага) можно выбрать любой отличный от нуля коэффициент данной системы линейных уравнений. Сделав такой выбор, исключим первое ведущее неизвестное из всех уравнений системы, кроме первого ведущего уравнения. Если получится хотя бы одно уравнение вида (2) с отличным от нуля свободным членом, то исследование закончено — система несовместна. Если же все полученные уравнения вида (2) окажутся уравнениями-тождествами, то их из системы удаляют. Первый шаг закончен.
Совокупность уравнений системы, кроме первого ведущего, назовем первой подсистемой
. Первое ведущее уравнение дальнейшим преобразованиям подвергать не будем. Преобразуем только первую подсистему.
В качестве второго ведущего элемента (ведущего элемента второго шага) можно выбрать любой отличный от нуля коэффициент в первой подсистеме. Произведя такой выбор, исключим второе ведущее неизвестное из всех уравнений первой подсистемы, кроме второго ведущего уравнения. Если получится хотя бы одно уравнение вида (2) с отличным от нуля свободным членом, то исследование закончено — система несовместна. Если же все полученные уравнения вида (2) окажутся уравнениями-тождествами, то их из системы удаляют. Второй шаг закончен.
Совокупность уравнений системы, кроме первого и второго ведущих, назовем второй подсистемой
. Второе ведущее уравнение, как и первое, дальнейшим преобразованиям подвергать не будем. Преобразуем только вторую подсистему.
В качестве третьего ведущего элемента (ведущего элемента третьего шага) можно выбрать любой отличный от нуля коэффициент во второй подсистеме и т. д.
Если в процессе таких преобразований не получатся уравнения вида (2) с отличным от нуля свободным членом, то данная система совместна. Процесс ее преобразования заканчивают тогда, когда на очередном шаге получена подсистема, состоящая только из одного уравнения, или подсистемы вообще не будет.
На каждом шаге преобразования системы линейных уравнений методом Гаусса имеется большая свобода в выборе ведущего элемента (он только не может быть равен нулю). Но как бы эти элементы ни выбирались, число уравнений в окончательно полученной системе будет одно и то же: оно равно максимальному числу независимых уравнений в исходной системе. Это число, являющееся очень важной характеристикой системы, называется рангом системы линейных уравнений
. Если m
— число уравнений в данной системе, r
— ее ранг, а n
— число неизвестных, то, очевидно, r
≤m
и r
≥n
.
Если ведущие элементы выбирать так, чтобы ведущими неизвестными стали последовательно первые по порядку номеров неизвестные х1
, х2
..., то в результате система принимает вид

или, в частности, при r
=n

В случае r
=n
система имеет единственное решение, которое легко найти; из последнего уравнения системы (6) находим значение неизвестного х
n
; подставив это значение в предпоследнее уравнение, найдем значение x
n-1
и т. д. до получения из первого уравнения значения x
1
.
Если же r
<n
, то аналогично из системы (5) можно найти выражения неизвестных x
1
, x
2
,..., х
r
через неизвестные xr
+1
, xr
+1
,..., х
n
:

Придавая неизвестным xr+1
,...,xn
произвольные значения и вычисляя затем по формулам (7) значения неизвестных x1
, х2
,.,., хr
, каждый раз будем получать решение системы (5), а значит, и решение исходной системы. Наоборот, любое решение системы может быть получено по формулам (7) при соответствующих значениях неизвестных xr+1
,...,xn
. Поэтому выражение (7) называют общим решением системы
. Любое решение с конкретными числовыми значениями неизвестных называют частным решением системы
. В этом случае система имеет бесчисленное множество решений. Неизвестные xr+1
,...,xn
называют свободными
, а неизвестные x1
, х2
,.,., хr
— базисными
. Число базисных неизвестных равно рангу системы r, а число свободных неизвестных s=n—r.
Приведение данной системы линейных уравнений к виду (5) или (6) называют прямым ходом
, а отыскание решения системы (5) или (6) (общего или единственного) — обратным ходом
метода Гаусса. Для обратного хода можно снова применить описанную выше схему исключения неизвестных.
Рассмотрим применение метода Гаусса на конкретных примерах.
Пример 1. Решить систему линейных уравнений

Решение. За первое ведущее уравнение примем первое уравнение системы, а за первое ведущее неизвестное x1
первый ведущий элемент есть а11
= 2. Исключим x1
из второго и третьего уравнений, прибавив ко второму уравнению ведущее, умноженное на — 3/2, а к третьему — ведущее, умноженное на — 5/2. Имеем

Первый шаг закончен. Второе и третье уравнения образуют первую подсистему. За второе ведущее уравнение примем второе уравнение системы, а за второе ведущее неизвестное x2
; второй ведущий элемент есть 7/2. Исключив x2
из третьего уравнения, получаем

Второй шаг закончен. Вторая подсистема состоит из одного третьего уравнения. Прямой ход метода Гаусса закончен — система приведена к виду (6). В результате обратного хода получаем

Итак, решение данной системы таково: x1
=-4, x2
=3, x3
=-1 данном случае r=n=3, решение единственное.
Пример 2. Решить систему линейных уравнений

Решение. Преобразуем систему методом Гаусса

Уравнение 0=-26 не имеет решений, следовательно, данная система несовместна.
Замечание. Несовместность данной системы очевидна уже после первого шага: в полученной системе левые части второго и третьего уравнений отличаются только знаком, тогда как правые части одинаковы по знаку и различны по модулю.
Пример 3. Решить систему линейных уравнений

Решение. Преобразуем систему методом Гаусса:

После второго шага из трех уравнений осталось два, так как третье уравнение приняло вид 0=0 и удалено из системы. В данном случае ранг системы r = 2, а число неизвестных n = 3, т. е. r<n. Из трех уравнений первоначально данной системы только два независимы (m = 3, r<m). В первой подсистеме два уравнения, вторая подсистема отсутствует. Система приведена к виду (5). Прямой ход метода Гаусса закончен. Исключая теперь с помощью второго уравнения х2
из первого уравнения, приведем систему к виду

откуда легко находим общее решение: x1
= 19/3+x3
, х2
=-14/15+(2/5)x3
Неизвестные х1
, x2
- базисные, х3
— свободное. Придавая неизвестному x3
произвольные числовые значения, можно получить множество частных решений: x1
= 19/3, x2
=-14/15, x3
=0; x1
=22/3, x2
=-8/15, x3
=1 и т. д.
К элементарным преобразованиям системы линейных уравнений часто присоединяют еще одно преобразование: δ - умножение обеих частей уравнения системы на некоторое число
μ≠0.
Очевидно, система, полученная в результате преобразования δ из данной системы, равносильна последней. Требование (μ≠0) существенно, так как после умножения обеих частей уравнения на нуль получим уравнение-тождество 0=0, что может привести к системе, неравносильной исходной.
Преобразованием δ можно добиться, чтобы коэффициенты при базисных переменных в системе (5) или (6) стали равными единице. Действительно, в (5) и (6) коэффициенты при базисных переменных x1
, x2
,..., xr
, очевидно, отличны от нуля (cij
≠0). Умножая уравнения в этих системах соответственно на μ1
= 1/сij
(с,, ij
≠0; i=1, 2, ..., r), получаем в качестве коэффициентов при x1
, x2
,..., xr
, единицы.
Преобразование δ можно применять и в промежуточных преобразованиях системы, добиваясь упрощения хода решения задачи. Так, например, в примере 1 можно было последовательно преобразовывать данную систему в следующие системы:

Кроме описанной схемы метода Гаусса существуют разновидности этого метода. Одной из них является метод полного исключения
(или метод Жордана-Гаусса
): исключение ведущего неизвестного производится не только из уравнений очередной подсистемы, но и из ведущих уравнений предыдущих шагов.
Рассмотрим преобразование, основанное на методе полного исключения системы линейных уравнений, приведенной в примере 1 (попутно будем применять и преобразование δ):

После третьего шага получена система, равносильная данной, которую вместе с тем можно рассматривать и как запись ее решения.
Еще одной разновидностью метода Гаусса является метод главных элементов Гаусса. При этом на каждом шаге в качестве ведущего выбирают наибольший по модулю коэффициент в подсистеме; его называют главным элементом. Указанный метод применяют в том случае, когда систему решают приближенно. Выбор главного элемента, в качестве ведущего, обеспечивает уменьшение вычислительной погрешности.
При преобразованиях системы линейных уравнений методом Гаусса преобразуются коэффициенты системы, поэтому этот метод можно применить не к самой системе уравнений, а к ее расширенной матрице. Элементарным преобразованиям системы линейных уравнений соответствуют аналогичные элементарные преобразования матрицы (применительно к строкам) [см. [1], гл V, § 4, п. 1, предложение 2]. Уравнению-тождеству 0 = 0 соответствует строка матрицы, состоящая из одних нулей, а противоречивому уравнению 0=b - строка матрицы, последний элемент которой не равен нулю (b≠0), а все остальные элементы — нули.
Выше рангом системы линейных уравнений было названо максимальное число независимых уравнений в системе. Теперь, по аналогии, можно сказать, что рангом матрицы
является максимальное число ее линейно независимых строк.
Часто рангом матрицы называют наивысший порядок ее минора, отличного от нуля (см. [1], гл V, §4), а рангом системы линейных уравнений - ранг ее матрицы. Все эти определения понятия ранга (системы линейных уравнений, матрицы) эквивалентны. При элементарных преобразованиях матрицы ее ранг не меняется, поэтому для отыскания ранга матрицы можно привести ее с помощью элементарных преобразований к упрощенному виду, позволяющему сразу установить ее ранг (см. [1], гл. V, § 4, п. 2). Это преобразование матрицы также производят по схеме метода Гаусса. Таким образом, схема метода Гаусса применяется не только для решения и исследования систем линейных уравнений. Здесь мы отметили применение ее к решению задачи о ранге матрицы, позже познакомимся и с другими ее применениями (например, для отыскания обратной матрицы — см. [1], гл. V, § 6).
5. Произведение матриц
Литература. [1], гл. V, § 6; [4], т. 2, гл. XXI, § 4, 6—9, упр. 3—10; [9], ч. I, гл. IV, § 2, задачи 39G, 402, 406, 407:
Вопросы для самопроверки
1. Что называется матрицей? Как определяются линейные операции над матрицами и каковы их свойства? Приведите примеры.
2. Что называется определителем? Каковы основные свойства определителей?
3. Что называется минором и алгебраическим дополнением? Приведите примеры.
4. Каковы способы вычисления определителей? Приведите примеры.
5. Что называется матрицей и расширенной матрицей системы линейных уравнений? Приведите примеры.
6. Что называется решением системы линейных уравнений? Какие системы называются совместными, а какие — несовместными?
7. Сформулируйте теорему Кронекера—Капелли.
8. Напишите формулы Крамера. В каком случае они применимы?
9. При каком условии система линейных уравнений имеет единственное решение?
10. Что можно сказать о системе линейных уравнений, если ее определитель равен нулю?
11. При каком условии однородная система п линейных уравнений с п неизвестными имеет ненулевое решение?
12. Опишите метод Гаусса решения и исследования систем линейных уравнений.
13. Какие разновидности метода Гаусса вы знаете?
14. Что называется рангом системы линейных уравнений? Как, используя метод Гаусса, можно найти ранг системы линейных уравнений?
15. Какие неизвестные в системе линейных уравнений и в каком случае называют свободными, а какие базисными? Что называется общим решением системы линейных уравнений?
16. Что называется рангом матрицы? Как его можно найти?
17. Что называется произведением двух матриц? Каковы свойства произведения матриц?
18. Какая матрица называется единичной?
19. Какая матрица называется обратной для данной матрицы? Всегда ли существует обратная матрица? Как можно найти обратную матрицу?
20. В чем состоит матричный способ решения систем линейных уравнений?
6. Арифметическое пространство
Понятие числа является основным понятием математики. Множество действительных[*]
чисел R начинают изучать еще в средней школе. Там же рассматривают различные числовые множества (подмножества R): множество натуральных чисел (N), целых чисел (Z), рациональных чисел (Q) и т. п. В современной математике изучают и такие числовые множества, каждый элемент которых, в свою очередь, — совокупность нескольких действительных чисел. Так, благодаря методу координат в аналитической геометрии вместо точек или векторов геометрического пространства рассматривают тройки чисел (аналогично на плоскости — пары чисел)—координат точек (векторов) ; линейное уравнение с п переменными x1
, х2
, ..., хn
а1
х1
+ а2
х2
+ …+аn
хn
=b
полностью определяется совокупностью его коэффициентов и правой частью (a1
; а2
,...; аn
; b); каждое решение такого уравнения (α1
, α2
;...; αn
) - также совокупность чисел; план и результат работы любого предприятия характеризуются определенными числовыми показателями, т. е. опять-таки совокупностью чисел, и т. п. При этом для задания такой совокупности надо знать не только образующие ее числа, но и какое место занимает в ней каждое число; например совокупности (2; 3) и (3; 2) надо считать различными. В этом смысле говорят, что совокупности чисел, которые мы будем рассматривать, упорядочены
.
Как уже отмечалось, в аналитической геометрии упорядоченные тройки чисел имеют двоякий смысл: либо это координаты точки, либо координаты вектора. Здесь упорядоченные тройки чисел — самостоятельный объект изучения. При этом сохраняется прежняя терминология — будем применять для них два термина: точка (х1
; x2
; x3
) и вектор (х1
; x2
; x3
). Обобщая, будем называть упорядоченную совокупность и чисел (х1
; x2
;...; хn
) точкой или вектором (иногда n-мерной точкой или n-мерным вектором). Множество всех n-мерных точек (n-мерных векторов) будем называть n-мерным арифметическим пространством
, а число п — размерностью этого пространства
.
Арифметическое n-мерное пространство обозначают Rn
. Очевидно, R1
— множество действительных чисел; в этом случае индекс опускают и пишут просто R. Одномерное пространство R называют также числовой прямой
, двумерное пространство R2
— числовой плоскостью
, а n-мерное пространство Rn
(n≥3) — числовым пространством
. Перенос геометрической терминологии из теории наглядного геометрического пространства на R, R2
, R3
естествен в силу метода координат. При n>3 такая геометрическая наглядность уже теряет смысл, однако сохранение геометрической терминологии и для R" нельзя считать только условностью. Многие факты, относящиеся к Rn
, носят общий характер, не зависящий от n. Так, свойства решений системы линейных уравнений и методы их исследования не зависят от числа переменных. Можно сказать, что арифметическое пространство Rn
любой размерности обладает свойствами, в некотором смысле подобными «геометрическим» свойствам R, R2
, R3
.
Выше отмечалась равноправность терминов «точка» и «вектор» применительно к элементам Rn
. Уточним теперь эту терминологию. Существенным при построении векторной алгебры в наглядном геометрическом пространстве, где векторами являются направленные отрезки, было определение линейных операций над векторами (сложение векторов и умножение вектора на число). Естественно перенести эти операции и на элементы R3
, что фактически и было сделано в векторной алгебре (выражение линейных операций над векторами, заданными своими координатами). Теперь, рассматривая R3
как самостоятельный объект изучения, естественно принять правила сложения векторов и умножения вектора на число, выраженные в координатах, за определение соответствующих линейных операций уже над элементами R3
. Эти определения обобщаются и на Rn
при любом и.
Далее (см. п. 7) рассмотрено более широкое понятие вектора в современной математике и показано, что это понятие связано с линейными операциями и их свойствами. Поэтому естественно в тех задачах, в которых встречаются элементы Rn
в связи с линейными операциями над ними, называть их «векторами», а Rn
рассматривать как «векторное пространство». Но во многих задачах, относящихся к Rn
, линейные операции над его элементами либо вообще не принимаются во внимание, либо отступают на задний план, а в центре внимания оказываются факты геометрического характера, относящиеся к свойствам и взаимному расположению подмножеств («фигур») Rn
. В этих случаях более естественно называть элементы пространства Rn
«точками» и рассматривать его как «точечное пространство». С векторной точки зрения пространство Rn
будет рассмотрено позже: до конца этого пункта Rn
рассматривается как точечное пространство.
Точки Rn
будем обозначать заглавными буквами латинского алфавита: М(х1
; х2
;...;хn
), Х(х1
; х2
; ...;.xn
), A(a1
; а2
;...; аn
) и т.д. Сами числа, образующие в совокупности точку, будем называть координатами этой точки. Точку, все координаты которой равны нулю, т. е. О(0; 0; ... 0), будем называть началом координат
.
Множества точек в Rn
(«фигуры») будем задавать с помощью уравнений, неравенств с n переменными и их систем как области их решений.
Область решений совместной системы линейных уравнений с п переменными ранга г называется k-мерной плоскостью
в Rn
где k
= n—r (k — число свободных, а г — базисных переменных).
Отметим два особых случая.
1. r=n, k=0. Система имеет единственное решение, которое представляет собой точку в Rn
, т. е. точку можно считать 0-мерной плоскостью.
2. r=0, k=n. Все уравнения системы являются тождествами (0 = 0), все переменные — свободные, область решений системы совпадает со всем пространством Rn
, т. е. само пространство можно считать n-мерной плоскостью.
Если эти два особых случая исключить из рассмотрения, то, очевидно, k
может изменяться в пределах 1≤k
≤n—1. Плоскость наибольшей возможной в Rn
размерности, но не совпадающую со всем пространством, т. е. (n—1)-мерную плоскость, называют гиперплоскостью
, а плоскость наименьшей возможной размерности, но не являющуюся точкой, т. е. одномерную плоскость, — прямой.
Пространство R одномерно, и в нем не может быть плоскостей меньших размерностей; в пространстве R2
(числовая плоскость) гиперплоскость совпадает с прямой — это одномерная плоскость; в пространстве R3
гиперплоскостью является двумерная плоскость, а прямой — одномерная плоскость, других плоскостей нет; при n>3 кроме гиперплоскости и прямой существуют плоскости промежуточных размерностей [(n—2)-мерные,..., трехмерные, двумерные].
Гиперплоскость обычно задают одним линейным уравнением
a1
xl
- а2
х2
+.. .+ аn
хn
= b, (8)
в котором не все коэффициенты a1
, а2
,..., аn
равны нулю (a1
2
+a2
2
+...+a2
n
≠0); последнее условие равносильно тому, что ранг система, состоящей из одного уравнения (8), равен единице.
Рассмотрим теперь систему двух линейных уравнений

Если ее матрица А
имеет ранг, равный 1, то
a21
/a11
=a22
/a12
=…=a2
n
/a1
n
. (10)
В этом случае гиперплоскости, определяемые уравнениями системы (9), называются параллельными
. Если при этом ранг расширенной матрицы В
системы (9) равен 2, т. е.
a21
/a11
=a22
/a12
=…=a2n
/a1n
≠b2
/b1
. (11)
то система несовместна — гиперплоскости, определяемые уравнениями системы (9), не имеют общих точек (не пересекаются); если же ранг расширенной матрицы также равен 1, т. е.
a21
/a11
=a22
/a12
=…=a2n
/a1n
≠b2
/b1
. (12)
то ранг системы (9) равен 1, система сводится к одному уравнению — две гиперплоскости совпадают.
Наконец, если ранг матрицы А
системы (9) равен 2, то система уравнений (9) определяет (n—2)-мерную плоскость.
Прямую можно задать совместной системой линейных уравнений с n переменными ранга r=n—1. Если известны две точки U
(u1
;u2
;…;un
) и V(v
1
; v
2
;…; v
n
) прямой, то эту систему можно записать в виде

где X
(x1
; х2
;…;х2
) - текущая (переменная) точка прямой. Систему уравнений (13) называют уравнениями прямой
, проходящей через две точки
U
и V
(ср. [1], гл. II, § 3, п. 1).
Полагая (x
i
—u
i
)/(v
i
—u
i
)=t (i=l, 2,..., n), систему (13) можно записать в виде

Уравнения (14) являются параметрическими уравнениями прямой
; параметром является переменная величина t
(о параметрических уравнениях линий на плоскости и в пространстве см [1], гл. II, § 1, п. 3). При изменении t
от -∞ до +∞ уравнения (14) определяют различные точки X
прямой UV
. При t = 0 точка X
совпадает с точкой U
, а при t=1-с точкой V
. Если же 0<t<1, то значения x, заключены между соответствующими значениями u
1
и v
1
; в этом случае говорят, что точка X заключена между точками U и V. Множество точек, включающее точки U, V и все точки, лежащие на прямой между ними, называется отрезком
прямой, точки U а V— концами
, а точки, заключенные между ними, — внутренними точками
отрезка. Отрезок с концами U и V обозначают UV.
Отрезок UV определяется уравнениями (14) при дополнительном условии

множество внутренних точек отрезка UV определяется уравнениями (14) при дополнительном условии

Если t<0 или t>1, то точка X, определяемая уравнениями (14), лежит на прямой UV вне отрезка UV, причем если t<0, то точка U лежит между точками X и V, а если t>l, то точка V лежит между U и X.
Замечание. При изучении аналитической геометрии для координат внутренней точки М отрезка АВ были получены формулы

где A(x1
; y1
; z1
), B(x2
; y2
; z2
); λ∕μ=|AM|/|MB| (см. [1], гл. I, § 2, п. 2).
Полагая λ∕(λ+μ)=t, получим х=(1—t)x1
+tx2
, у=(1-t)y1
+ty2
, z=(1— t)z1
+tz2
— частный случай формул (14) при n=3 и соответствующих обозначениях (М≡Х, A≡U, B≡V); при этом t=|AM|/|MB| и для внутренних точек отрезка АВ выполняется условие (16).
Рассмотрим множества точек, определяемых неравенствами

Гиперплоскость
принадлежит, очевидно, обоим этим множествам. Возьмем в одном из них точку U, а в другом V, не принадлежащие гиперплоскости (8). Можно показать, что среди внутренних точек отрезка UV найдется точка, принадлежащая гиперплоскости (8), т. е. отрезок UV пересекает гиперплоскость (8). В этом смысле будем говорить, что множества, определяемые неравенствами (17) и (18), лежат по разные стороны от гиперплоскости (8). Они называются полупространствами
. Гиперплоскость (8), принадлежащая обоим полупространствам, является их общей границей
.
Вопросы для самопроверки
1. Что называется n-мерным арифметическим пространством?
2. Что называется r-мерной плоскостью в n-мерном арифметическом пространстве?
3. Что называется гиперплоскостью и прямой в n-мерном арифметическом пространстве?
4. Как записываются уравнения гиперплоскости и прямой в n-мерном арифметическом пространстве?
5. В каком случае две гиперплоскости называются параллельными? Каковы условия параллельности и совпадения гиперплоскостей?
6. Как определяется отрезок в n-мерном арифметическом пространстве?
7. Как определяются полупространства n-мерного арифметического пространства?
7. Линейные пространства
Литература. [1], гл. VI, § 1; [9], гл. V, § 1—3.
Как уже отмечалось в предыдущем пункте, понятие вектора в современной математике является довольно широким понятием, связанным с понятием линейных операций (сложением и умножением на число).
Такие операции уже встречались в арифметике, алгебре, векторной алгебре, теории матриц и т. п. В каждом конкретном случае они определялись по-своему, в соответствии со спецификой тех множеств, для которых они рассматриваются (числа, многочлены, направленные отрезки, матрицы и т. п.); например, определения сложения матриц и сложения направленных отрезков очень далеки одно от другого. Но свойства этих операций одинаковы. Именно эта общность свойств и сближает их, позволяет изучать с единой общей точки зрения и говорить, например, о сложении как о единой операции независимо от того, что складывают — числа, векторы, многочлены и т. п.
Пусть имеется некоторое множество L
, элементы которого будем обозначать малыми буквами латинского алфавита: х, у, z, a, b, с, ... (в книгах эти буквы обычно набирают полужирным шрифтом, а в рукописи над ними ставят черточку). Малыми буквами греческого и латинского алфавитов (светлыми и без черточки) будем обозначать числа (действительные). Пусть для элементов L
определены понятие равенства (х = у) и две операции: сложение (результат называется суммой
: z = x + y) и умножение на действительное число (результат называется произведением: y=<zx=xa), которые обладают следующими свойствами:
1°. x + у = у + х.
2°. (x + y)+z = x + (y + z).
3°. В множестве L
имеется элемент 0, такой, что х+0=х для любого х из L
; элемент 0
называют нулевым элементом
(или нулем).
4°. Для любого элемента х из L в множестве L имеется элемент (-х), такой, что х+(-х)=0; элемент (-х) называют противоположным
элементу х.
5°. 1х=х.
6°. β(αк)=(βα)х.
7°. (α+β)х=αх+βх.
8°. α(х+у)=αх+αу.
Операции сложения и умножения на число, удовлетворяющие свойствам 1°—8°, называют линейными операциями
, множество L
с линейными операциями — линейным
(или векторным
) пространством, а его элементы — векторами
; свойства 1°—8° называют аксиомами линейного пространства
. В отличие от векторов числа называют скалярами
.
Аксиому 1° называют коммутативным
(переместительным
) законом
, 2° и 6° — ассоциативным
(сочетательным
) законом
(2° — для векторов-слагаемых, 6° — для скалярных множителей), 7° и 8° — дистрибутивным
(распределительным
) законом
(7° — для суммы скалярных множителей, 8° — для суммы умножаемых векторов) [ср. предложение 1 в [1], гл. I, § 1, п. 4].
Нулевой элемент линейного пространства называют нуль-вектором. Необходимо строго различать число нуль и нуль-вектор. Можно показать, что в каждом линейном пространстве нуль-вектор только один и для любого вектора х существует только один противоположный ему вектор. Из аксиом 1°—8° следует также, что 0х=0, α∙0=0, (-1)х=(-х); в силу аксиомы 2° сумму трех (и более) векторов можно записать без скобок: (х+у)+z=x+y+z.
Вектор z=x+(-у) называют разностью векторов х и у, определяя таким образом операцию вычитания; ее обозначают знаком «-»; z = x+(-у) =х-у.
Из аксиом 1°—8° следует, что выражения относительно векторов линейного пространства L можно преобразовывать по всем правилам обычной (скалярной) алгебры (раскрывать скобки, приводить подобные члены и т. п.).
Отметим одно важное обстоятельство. Говоря о линейном (векторном) пространстве, имеют дело одновременно с двумя множествами: самим множеством L и множеством действительных чисел R. Элементы множества L являются векторами, а элементы множества R используют в качестве множителей в операции умножения вектора на скаляр (действительное число). Чтобы подчеркнуть это обстоятельство, построенное таким образом линейное (векторное) пространство называют действительным
. Далее мы познакомимся с комплексными числами — обобщением понятия действительного числа. С их помощью аналогично определяется понятие комплексного линейного
(векторного
) пространства
, имеющее много свойств общих со свойствами действительного линейного пространства, но во многом и отличающееся от него. Здесь пока будем рассматривать только действительные линейные пространства и для краткости слово «действительное» в их названии опускать.
Приведем некоторые примеры линейных пространств. В первых трех примерах будем рассматривать множества векторов — направленных отрезков с операциями сложения и умножения на число, определенными так, как они определялись в векторной алгебре. Линейными пространствами являются:
1. Множество всех вектором пространства; его обозначают V3
.
2. Множество всех векторов, принадлежащих некоторой плоскости или параллельных ей; его обозначают V2
.
3. Множество всех векторов, принадлежащих некоторой прямой или параллельных ей; его обозначают V1
.
В следующих двух примерах будем рассматривать множества многочленов относительно переменной t, т. е.
x=PR
(t)=a
0
+a
1
+t+…+aR
tR
,
с операциями сложения и умножения на число, определенными так, как они определялись в элементарной алгебре. Линейными пространствами являются:
4. Множество всех многочленов (любых степеней).
5. Множество всех многочленов степени не выше некоторого фиксированного числа m(k≤m).
6. Линейным пространством является множество всех матриц размера m n операциями сложения и умножения на число, определенными так, как они определялись в алгебре матриц.
7. Введем теперь линейные операции в арифметическом пространстве Rn
, превратив его таким образом в арифметическое линейное (векторное) пространство. Элементы его будем называть теперь векторами, а числа, образующие вектор, — компонентами вектора
. Два вектора х (x1
; x2
; ...; хn
) и у (y1
; у2
, ...;yn
) называются равными (х=у),если
хi
=уi
(i=l, 2,…,n); (19)
вектор z (z1
, z2
;...; zn
) называется суммой векторов
х и у (z=x+y), если
zi
=xi
+yi
(i = 1,2…, n); (20)
вектор p (p1
; р2
,…, рn
) называется произведением вектора
х на число α(р
=αх=хα), если
pi=αxi (i = l, 2,…, n). (21)
Нуль-вектором
(нулем
) является вектор 0(0; 0;...;0); вектором, противоположным вектору
х (х1
; х2
; ...;xn
), является вектором (-х)=(-x1
, -x2
,…,xn
).
Интересно заметить, что арифметическое линейное пространство можно рассматривать и как частный случай линейного пространства матриц (пример 6). Действительно, вектор (х1
; х2
; ...; хn
) является однострочной матрицей , а равенства (19)—(21) являются частным случаем общего определения равенства матриц и линейных операций над ними (для случая однострочных матриц).
Компоненты вектора можно записывать не в строку, а в столбец (заметим, что матрица-столбец получается из матрицы-строки транспонированием). Тогда Rn
является пространством одностолбцовых матриц.
8. Само множество действительных чисел R, поскольку в нем определены операции сложения и умножения действительного числа на другое действительное же число, также является линейным (векторным) пространством. Его можно рассматривать как частный случай примера 7 при n=1. Здесь два множества L и R совпадают (L≡R)—каждое действительное число является и вектором, принадлежащим L, и скаляром, принадлежащим R.
Выполнение аксиом 1°—8° во всех примерах рекомендуется проверить самостоятельно.
Выражение
x1
a1
+x2
a2
+…+xk
ak
называется линейной комбинацией
векторов а1, а2,…, аk
с коэффициентами x1
, х2
,..., хn
. Любая линейная комбинация векторов линейного пространства представляет собой, очевидно, вектор того же пространства. Если некоторый вектор b линейного пространства представлен в виде линейной комбинации векторов а1, а2,…, аk
того же пространства, т. е.
b=x1
a1
+ x2
a2
+…+xk
ak
, (22)
то говорят, что вектор b разложен по векторам а1
, а2
,…, аk
.
Если в линейном пространстве задана система векторов a1
, а2
…, ak
, то может оказаться, что либо всякий вектор пространства можно разложить по этим векторам, либо в пространстве существуют векторы, которые не могут быть разложены по ним. Например, в пространстве V3
(пример 1) по двум неколлинеарным векторам можно разложить любой вектор, лежащий с ними в одной плоскости, но нельзя разложить вектор, не лежащий в той же плоскости.
Важную роль в теории линейных пространств играет понятие линейной зависимости и независимости векторов. Система векторов a1
, а2
…, ak
некоторого линейного пространства L называется линейно независимой
, если равенство
x1
a1
+ x2
a2
+…+xk
ak
=0 (23)
имеет место только при нулевых значениях коэффициентов; если же равенство (23) имеет место и при условии, что хотя бы один из коэффициентов отличен от нуля, то система векторов a1
, а2
…, ak
называется линейно зависимой
(ср. [1], гл. I, § 1, п. 5).
Равенство (23) является частным случаем (22) при b=0, т. е. представляет разложение нуль-вектора по векторам a1
, а2
…, ak
. Такое разложение всегда возможно — достаточно положить все коэффициенты равными нулю. Следовательно, линейная независимость системы векторов означает, что разложение нуль-вектора по векторам системы возможно единственным образом, а линейная зависимость – что такое разложение не является единственным.
Если система содержит более одного вектора (k
>1), то линейная зависимость системы означает, что, по крайней мере, один из векторов системы может быть представлен в виде линейной комбинации других векторов системы. Действительно, пусть векторы a1
, а2
…, ak
линейно зависимы и пусть в (23), например, xk
≠0. Тогда из (23) получаем

т.е. вектор аk
разложен по векторам а1
, а2
, …, аk
-1
. Обратно, если
ak
=λ1
a1
+ λ2
a2
+…+ λk
-1
ak
-1
,
то
λ1
a1
+ λ2
a2
+…+ λk
-1
ak
-1
-ak
=0,
т. е. имеет место равенство (23) при хk
=-1≠0 – векторы линейно зависимы.
В линейных пространствах V2
и V3
(примеры 1 и 2) линейная зависимость двух векторов означает их коллинеарность, а трех векторов— их компланарность (см. [1], гл. I, § 1, п. 5).
Для системы, состоящей из одного вектора, линейная зависимость означает, что этот вектор является нуль-вектором, а линейная независимость – что он не равен нулю. Действительно, обозначим этот единственный вектор a1
(k
=l). Равенство (23) принимает в этом случае вид x1
a1
=0. Если a1
=0, то последнее равенство имеет место как при x1
=0, так и при х1
≠1; если же а 1
≠0. то равенство имеет место только при x1
=0.
В пространстве V1
(на прямой) линейно независимая система не может содержать более одного вектора — система из двух (и более) векторов всегда линейно зависима; в пространстве V2
(на плоскости) линейно независимая система не может содержать более двух векторов — любая система из трех (и более) векторов линейно зависима; в пространстве V3
линейно независимая система не может содержать более трех векторов — любая система из четырех и более векторов линейно зависима (см. [1], гл. I, § 1, п. 5). Обобщая, сформулируем определение: если в линейном пространстве имеются n линейно независимых векторов, а любые n+1 векторов линейно зависимы, то пространство называется конечномерным
; если же линейное пространство таково, что в нем существуют системы из сколь угодно большого числа линейно независимых векторов, то пространство называется бесконечномерным
. Максимально возможное число линейно независимых векторов в конечномерном пространстве называют размерностью
этого пространства; если размерность конечномерного пространства равна я, то его называют n
-мерным
.
В соответствии с этими определениями прямая является одномерным, плоскость — двумерным, наглядное геометрическое пространство — трехмерным линейным пространством, что согласуется с интуитивными представлениями.
В пространстве многочленов относительно переменной t
(примеры 4 и 5) многочлен Pn
(t)=a0
+a1
t+…+ak
tk
(аi
— действительные числа) представляет собой линейную комбинацию одночленов 1, t, t2
,…, tk
с коэффициентами a0
, а1
…, ak
. Сами эти одночлены, в свою очередь, являются многочленами при соответствующих значениях коэффициентов. Они линейно независимы, так как тождество a0
+a1
t+…+ak
tk
≡0 имеет место только при нулевых значениях коэффициентов a0
, а1
…, ak
. В линейном пространстве всех многочленов (пример 4) показатель степени k
может принимать сколь угодно большое значение, следовательно, это линейное пространство — бесконечномерное. Линейное же пространство всех многочленов степени не выше некоторого фиксированного числа m (пример 5) является (m+1)-мерным, так как одночлены 1, t, t2
,…,tm
линейно независимы, а одночлены более высоких степеней отсутствуют (k≤m), а любой многочлен степени не выше m является линейной комбинацией указанных одночленов, т. е. образует с ними линейно зависимую систему
Система n линейно независимых векторов в n-мерном пространстве называется базисом
этого пространства. По векторам базиса можно разложить любой вектор пространства, причем единственным образом. Действительно, пусть векторы a1
, а2
,…, an
,
образуют базис некоторого n-мерного линейного пространства, а b — произвольный вектор того же пространства. Система a1
, а2
,…, an
, b содержит n+1 вектор и, следовательно, линейно зависима, т. е. имеет место равенство
λ1
a1
+λ2
a2
+…+λn
an+1
λn+1
b=0, (25)
в котором некоторые из коэффициентов могут принять значения, не равные нулю. В их число обязательно войдет коэффициент λn+1
, так как в противном случае получаем равенство
λ1
a1
+λ2
a2
+…+λn
an
=0,
среди коэффициентов, которого есть отличные от нуля, что противоречит линейной независимости векторов a1
, а2
,…, an
. Следовательно, из (25) можно получить

или
b=xi
ai
+x2
a2
+…+xn
an
, (26)
т. е. вектор b разложен по векторам a1
, а2
,…, an
. Докажем единственность этого разложения. Пусть кроме (26) имеем еще разложение
b=у1
а1
+у2
а2
+…+ уn
аn
. (27)
Из (26) и (27) получаем
b-b=0=(х1
-у1
)а1
+(x2
-y2
)a1
+(x2
+y2
)a2
+…+(xn
-yn
)an
. В силу линейной независимости векторов a1
, а2
,…, an
имеем
x1
-y1
=0, х2
-у2
=0,…, хn
-уn
=0,
или x1
=y1
, х2
=у2
,…, хn
=уn
,
т. е. любое разложение вектора b по векторам a1
, а2
,…, an
совпадает с (26). Таким образом, единственность разложения доказана (ср. приведенное доказательство с доказательством теоремы 1 в [1], гл. I, § 1, п. 4).
Коэффициенты разложения вектора конечномерного линейного пространства по векторам базиса этого пространства называются координатами вектора в данном базисе
.
В приведенных выше примерах линейных пространств базисами являются; в примере 1 – любая тройка некомпланарных векторов; в примере 2 – любая пара неколлинеарных векторов плоскости; в примере 3 – любой отличный от нуля вектор прямой; в примере 5 – одночлены 1, t, t2
,...,tm
; координатами вектора (многочлена Pm
(t)=a0
+a1
t+ a2
t2
+…+am
tm
) является совокупность коэффициентов (a0
, а1
, a2
…, am
).
Пространство всех многочленов (пример 4) бесконечномерное и поэтому базиса в нем не существует.
Вектор и-мерного линейного пространства имеет n координат. Если вектор х имеет координаты (х1
, х2
;…; хn
), то пишут х(х1
, х2
;…; хn
). Совокупность координат вектора является элементом арифметического пространства Rn
. Более того, линейные операции над векторами данного линейного пространства, в котором введена система координат (а для этого достаточно задать базис), можно производить в координатах по формулам (19) — (21), благодаря которым пространство Rn
можно считать векторным пространством. Поэтому арифметическое линейное пространство называют также координатным пространством. Любое линейное n-мерное пространство L
можно изучать с помощью координатного пространства Rn
. В этом состоит особая роль векторного пространства Rn
. Так, в векторной алгебре (тема 1) мы изучали пространство V3
с помощью координатного пространства R3
.
Рассмотрим теперь подробнее вопрос о самом векторном пространстве Rn
, найдем его размерность и базис. Пусть в пространстве Rn
даны k
векторов (система векторов) aj
(a1
j
; a2
j
;…; аnj
) (j=1, 2,…, k
); их компоненты аij
– имеют по два индекса: (первый (i) – номер компоненты данного вектора, второй (j) – номер вектора в системе. Кроме того, пусть задан еще вектор b(b1
; b2
;…; bn
). В силу определений равенства векторов и операций сложения и умножения вектора на число в Rn
, т. е. на основании (19)—(21), векторное равенство (22) теперь можно записать в виде системы n линейных уравнений с k
переменными:

Компоненты вектора аj
образуют столбец коэффициентов при переменной хj
, в этой системе, а компоненты вектора b – столбец свободных членов. Обратно, если в произвольно заданной системе линейных уравнений (28) совокупность коэффициентов при одной я той же переменной и свободные члены интерпретировать как соответствующие n-мерные векторы, то получаем векторное уравнение (22).
Уравнение (22) называют векторной формой записи системы линейных уравнений
(28).
Если система (28) несовместна, то разложение данного вектора b по векторам а1
, a2
…, ak
невозможно; если система (28) совместна, то разложение возможно, а каждое решение системы (28) является совокупностью коэффициентов этого разложения.
В частности, уравнение (23) является векторной формой записи однородной системы линейных уравнений

Система (29) всегда совместна, так как имеет нулевое решение; если это решение единственное, то равенство (23) имеет место только при нулевых значениях коэффициентов, т. е. система векторов а1
, a2
…, ak
линейно независима. С другой стороны, нулевое решение системы (29) является единственным тогда и только тогда, когда ее ранг r равен числу переменных (r=k
), или, иначе говоря, система векторов а1
, a2
…, ak
линейно независима тогда и только тогда, когда ранг матрицы

столбцы которой образованы компонентами этих векторов, равен числу ее столбцов. Но r≤n, следовательно, если система векторов линейно независима, то k
=r≤n, т. е. в пространстве Rn
система линейно независимых векторов не может содержать более n векторов; любые же n векторов, для которых определитель со столбцами, образованными компонентами векторов

отличен от нуля, являются линейно независимыми (k
=n, ∆≠0, система (29) имеет единственное нулевое решение; матрица (30) квадратная, ∆ является ее определителем, ранг матрицы r=n).
Отсюда следует, что размерность линейного пространства Rn
равна n.
Замечание. Выше размерность пространства Rn
была определена как число компонент его векторов. Теперь показано, что размерность Rn
как линейного пространства равна тому же числу n,
Векторы, для которых ∆≠0, образуют базис пространства; решение системы (28) является совокупностью координат вектора b в этом базисе (в системе (28) в этом случае также k
=n, системы (28) и (29) имеют один и тот же определитель ∆).
Пример 4. Даны векторы a1
(2; 4; 3; 2), а2
(4; 2; 2: 8), а3
(4; 5; 8; 7), a4
(6; 7; 5; 3) и b(18; 24; 13; 6). Показать, что векторы а1
, а2
, а3
, а4
образуют базис четырехмерного линейного пространства R4
и найти координаты вектора b в этом базисе.
Решение. Составим определитель (31) из компонент векторов а1
, а2
, а3
, а4
и вычислим его:

Так как ∆≠0, то векторы а1
, а2
, а3
, а4
образуют базис четырехмерного пространства R4
. Для вычисления координат вектора b в этом базисе составим систему линейных уравнений

Ее решение x1
=2, х2
=0, x3
=-1, x4
=3 образует совокупность координат вектора b в базисе а1
, а2
, а3
, а4
, т. е. в этом базисе b(2; 0; -1; 3) или
b=2а1
— а3
+ 3а4
.
Базис в Rn
, как и в любом другом линейном пространстве, может быть выбран не единственным образом. В частности, базис образуют векторы еj
(j=1, 2,..., n), у каждого из которых одна (j-я) компонента равна единице, а все остальные — нули, т. е. ej
(l; 0; 0;…; 0), е2
(0; 1; 0;...; 0),..., еn
(0; 0; 0;...; 1). Рекомендуется проверить это самостоятельно. Очевидно, для любого вектора b (b1
; b2
;…; bn
) имеем
b=b1
e1
+b2
e2
+…+bn
еn
,
т. е. компоненты вектора являются одновременно и координатами его в базисе е1
, е2
,…, еn
, поэтому вместо «компоненты вектора» говорят также «координаты вектора».
Пусть имеется некоторое линейное пространство L. Выделим в нем некоторое подмножество L' его элементов. Так как элементы L' являются одновременно элементами и L, то для них определены те же линейные операции, которые рассматриваются в L. Если при этом сумма элементов из L' и произведение элемента из U на число также принадлежит L', то L' само образует линейное пространство. В этом случае линейное пространство L' называют подпространством пространства L.
Так, например, пространства V2
и V1
являются подпространствами пространства V3
; пространство V1
, в свою очередь, является также и подпространством пространства V2
; пространство многочленов степени не выше некоторого фиксированного числа m является подпространством пространства всех многочленов (любых степеней).
Приведем еще один пример. Пусть система однородных линейных уравнений

имеет бесчисленное множество решений, каждое из которых является вектором из Rn
. Это множество образует линейное пространство относительно линейных операций, определенных в Rn
(рекомендуется проверить это самостоятельно); оно является подпространством пространства Rn
.
Если ранг системы (32) равен r, то ее общее решение при базисных переменных x1
, x2
, …, xn
можно записать в виде

где k
=n-r (cp. (1) и (7) на с. 31 и 33, где следует положить b1
=...=bm
=0, α1
=…= αr
=0). Систему (32) можно записать в векторной форме (23) (при n=k
векторы аj
- являются m-мерными), а ее решение (33) — в виде
х=xr+1
q1
+хr
+2
q2
+…+хr
+
k
qk
,
где x(x1
; х2
;...; xr
; xr
+1
;...; хr
+
k
), а каждый из векторов qj
(j=1, 2,…, k
) таков, что его первые r компонент образуют столбец коэффициентов при xr+j
в общем решении (33), компонента с номером i+j
равна 1, а все остальные компоненты — нули. Векторы q1
, q2
, … qr
линейно независимы и образуют базис пространства решений системы (32), размерность которого равна k
=n-r.
Пример 5. Пусть имеется однородная система линейных уравнений

Применяя метод Гаусса, найдем ее общее решение:
х1
=13x3
-17x4
, x2
=-4x3
+7x4
,
или в векторной форме
x (x1
; x2
; х3
; x4
) = х (13x3
-17x4
; -4x3
+ 7x4
; х3
; x4
) = (13x3
; -4x3
; x3
; 0) + (-17х4
; 7x4
; 0; x4
) = x3
(13; -4; 1; 0) + x4
(-17; 7; 0; 1).
Кратко можно записать так:
x = x3
u+x4
v,
где u=(13; -4; 1; 0), v=(-17; 7; 0; 1).
Здесь x3
, x4
— свободные, x1
, x2
— базисные переменные; ранг системы r=2. Векторы u и v являются частными решениями системы: решение и получается из общего решения при x3
=1, x4
=0, а решение v — при x3
=0, x4
=1. Они линейно независимы. Действительно, нулевое решение 0(0; 0; 0; 0) получается из общего только при x3
=0, х4
=0; иначе говоря, равенство x3
u+x4
v=0 имеет место только при x3
=0, x4
=0.
Итак, любое решение x системы представлено в виде линейной комбинации двух линейно независимых решений u и v. Следовательно, эти два решения образуют базис пространства решений системы, размерность которого равна 2. Оно является подпространством пространства R4
.
8. Евклидовы пространства
Литература. [1], гл. VII, § 1 (пример 3 опустить); [10], §6, 17; [9],ч. I, гл. V, §5.
Вопросы для самопроверки
- Как определяется линейное (векторное) пространство? Приведите примеры
- Сформулируйте определения линейной зависимости и независимости векторов.
- Что называется размерностью линейного пространства? Приведите примеры.
- Что называется базисом линейного пространства? Приведите примеры.
- Что называется векторной формой записи системы линейных уравнений?
- Что называется подпространством линейного пространства? Приведите примеры.
- Что называется евклидовым пространством?
- Как определяется скалярное произведение векторов в линейном пространстве и, в частности, в пространстве Rn
?
- Как определяются модуль вектора и угол между векторами в линейном пространстве?
- Напишите неравенство Коши—Буняковского в общем виде и, в частности, для пространства Rn
.
9. Линейные преобразования (операторы)
Литература. [2], гл. III, § 12—22; [1], гл. VI, § 3, 4; [10], § 15—21; [9], ч. I, гл. IV, § 2; гл. V, § 4.
Если задано правило, по которому каждому вектору x линейного пространства поставлен в соответствие вектор у того же пространства, то говорят, что задано преобразование
этого пространства. Преобразования называют также операторами
.
Линейное преобразование полностью характеризуется его матрицей. Поэтому действия над такими преобразованиями сводятся к действиям над их матрицами. Например, если вектор x переводится в вектор у линейным преобразованием с матрицей А
, а вектор у переводится в вектор z линейным преобразованием с матрицей В
, то последовательное применение этих преобразований равносильно линейному же преобразованию, переводящему вектор х в вектор z (оно называется произведением составляющих преобразований). Матрица этого линейного преобразования С=ВА.
Пример 6. Даны два линейных преобразования:

Средствами матричного исчисления найти преобразование, выражающее z1
, z2
, z3
через x1
, х2
, х3
.
Решение. Первое преобразование определяется матрицей А
, а второе — матрицей В
, где

Искомое преобразование является произведением данных преобразований с матрицей

Перемножив матрицы В и A, получим матрицу

Следовательно, искомое преобразование таково:

При отыскании собственных векторов линейного преобразования следует иметь в виду, что они определяются с точностью до произвольного множителя, т. е. если некоторый вектор u - собственный, то и вектор αu (α≠0) - собственный. Таким образом, фактически определяется собственное направление или собственная прямая, остающаяся неизменной при данном линейном преобразовании.
Пример 7. Найти собственные значения и собственные векторы линейного преобразования с матрицей .
Решение. Составляем характеристическое уравнение матрицы А:

Корни этого уравнения λ1
=5 и λ2
=20 и являются собственными значениями линейного преобразования.
Для отыскания собственных векторов используем систему уравнений

Полагая λ=λ1
=5, получаем систему уравнений для первого собственного вектора u(u1
; u2
):

Применяя метод Гаусса, найдем ее общее решение: u2
=-2u1
(ранг системы r=1, u1
— свободная, u2
—базисная переменная). Следовательно, первым собственным вектором, определяющим первое собственное направление, является u (u1
; u2
) = (ul
; —2u1
)=u1
(l; -2).
Меняя u1
, будем получать различные векторы, лежащие на одной прямой (коллинеарные). Все они - собственные.
Полагая λ=λ2
=20, получаем систему уравнения для отыскания координат второго собственного вектора v(v1
; v2
);

Снова ранг системы r=l, а общее решение v1
=2v2
(v2
— свободная, v1
— базисная переменная). Второй собственный вектор v(v1
; v2
) = (2v2
; v2
)=v2
(2; 1) определяет второе собственное направление.
Вид матрицы линейного преобразования зависит от выбора базиса. Если за базис принять совокупность собственных векторов, то матрица линейного преобразования принимает диагональный вид, где на главной ее диагонали стоят собственные значения. Например, в двумерном пространстве это матрица . Линейное преобразование в таком базисе имеет вид y1
=λ1
x1
, y2
=λ2
x2
.
10. Квадратичные формы
Литература. [2], гл. III, § 23—25; [1], гл. IX, § 2; [10], §22—26; [9], ч. I, гл. V, § 7.
Однородный многочлен второй степени относительно переменных x1
х2
Ф(x1
; х2
) = а11
х2
1
+ 2а12
х1
х2
+ а22
x2
2
(34)
называется квадратичной формой
от этих переменных.
Если положить a21
= a12
, то квадратичную форму (34) можно записать в виде
Ф = x1
(a11
xl
+a12
x2
) + x2
(a21
x1
+a22
x2
).
или
Ф = х1
у1
+х2
у2
, (35)
где

Выражения (36), а значит, и квадратичная форма (34) полностью определяются матрицей

называемой матрицей квадратичной
формы. (34).
В дальнейшем всюду будем предполагать, что базис ортонормированный.
Произведем замену базиса. Это приведет к тому, что от переменных x1
, x2
мы перейдем к переменным x’1
, x’2
которые выражаются через x1
, x2
линейно. Квадратичная форма (34) также преобразуется, но остается квадратичной (конечно относительно новых переменных x’1
, x’2
); преобразуются лишь ее коэффициенты. Выражение (35) принимает вид

где

Матрица А теперь имеет вид
Если в качестве базиса взять совокупность собственных векторов линейного преобразования, то в этом базисе матрица линейного преобразования является диагональной с собственными значениями на главной диагонали:

где λ1, λ2 — собственные числа; система (36') принимает вид у'1
=-λ1
х'1
, у'2
=λ2
х'2
, а квадратичная форма (35') —вид

Выражение (38) называется каноническим видом квадратичной формы
. Аналогично приводится к каноническому виду и квадратичная форма с большим числом переменных. Приведение квадратичной формы к каноническому виду можно использовать для приведения к каноническому виду уравнений линий и поверхностей второго порядка.
Пример 8. Привести к каноническому виду уравнение линии
17х2
+ 12ху + 8x2
– 20 = 0.
Решение. Группа старших членов данного уравнения образует квадратичную форму
17х2
+ 12ху + 8x2
.
Ее матрица

Собственными значениями соответствующего линейного преобразования являются числа λ1
= 5, λ2
=20 (п. 9, пример 7). Следовательно, квадратичная форма 17х2
+ 12ху + 8x2
преобразуется к каноническому виду

а данное уравнение— к виду

Данная линия — эллипс.
Можно указать и базис, в котором уравнение эллипса принимает канонический вид. Его легко получить исходя из собственных векторов линейного преобразования с матрицей А:

(п. 9, пример 7).
Предполагая, что исходный базис — ортонормированный, находим длину вектора и, равную . Нормируя вектор и, получаем вектор . Аналогично, . Базис e’1
, е’2
и является искомым ортонормированным базисом, в котором данное уравнение принимает канонический вид.
Можно записать и формулы преобразования координат. Если обозначить векторы исходного базиса через  . Сравнивая с формулой (см. [1], гл. 1, § 4, п. 3) е’1=cos φ∙e1
+sin φ∙е2
, заключаем, что следовательно,

Подставив эти выражения в данное уравнение и преобразовав его, убедитесь, что получится то же каноническое уравнение. Сделайте чертеж.
Вопросы для самопроверки
1. Что называется преобразованием пространства? Какие преобразования называются линейными?
2. Как найти матрицу линейного преобразования, являющегося произведением двух линейных преобразований, матрицы которых известны?
3. Что называется собственными значениями и собственными векторами линейного преобразования? Как их найти?
4. Что называется квадратичной формой и ее матрицей? В каком случае говорят, что квадратичная форма имеет канонический вид?
5. Как применяется теория квадратичных форм для приведения уравнения линии второго порядка к каноническому виду?
11. Комплексные числа
Литература. [4], т. I, гл. VII, § 1—3, упр. 1—10; [1], гл. V, § 7, п. 1—4.
В пособии [4] комплексное число z определено как выражение
z=a+bi (39)
где а и b — действительные числа, а символ i (мнимая единица
) определяется равенством
(40)
Комплексные числа можно интерпретировать с помощью векторов: комплексное число z=a+bi изображается вектором r (а; b). Линейные операции над комплексными числами соответствуют тем же операциям над векторами, причем безразлично, производятся ли они непосредственно над направленными отрезками r плоскости или над элементами ее координатного пространства R2
— парами чисел (а; b) (см. п. 7, с. 45). Но пару чисел (а; 0) можно отождествить с действительным числом а:
(а; 0) = а, (41)
а пару (0; b) можно записать в виде (0; b) =b(0; 1). Если обозначить
(0; l) = i, (42)
то в силу (41) и (42) получим

Следовательно, выражение (39) можно рассматривать как специфическую форму представления вектора (а; b) линейного (векторного) пространства R2
в виде суммы двух векторов пар чисел — (а; 0)=a и (0; b)=bi.
Равенство (40) также может быть интерпретировано с точки зрения некоторой операции над элементами R2
, но уже не линейной операции, а дополнительно определенной операции умножения. Дело в том, что в множестве комплексных чисел кроме линейных операций должна быть определена еще одна операция — умножение. Ее определяют так, чтобы сохраняли силу все правила обычной алгебры (алгебры действительных чисел). Если z1
=a1
+b1
i и z2
=a2
+b2
i — два комплексных числа, то их произведение также комплексное число:

Для того чтобы последнее выражение имело смысл, надо определить смысл символа i2
(т. е. произведения ii). Его-то и определяет условие (40), в силу которого получаем

или

Правило (43) или, что то же самое (43') умножения комплексных чисел является следствием (40). Обратно, если (43) или (43') принять за исходное определение операции умножения комплексных чисел, то их него, как следствие, вытекает (40). Действительно, в силу (42) и (43)

Обратимся снова к интерпретации комплексных чисел как векторов — направленных отрезков на плоскости: комплексное число z=a+bi изображается вектором с координатами (а; b). Тогда, очевидно,

или
(44)
где —модуль
комплексного числа z (обозначается также r=|z| φ — угол вектора z с осью Ох — аргумент
комплексного числа z. Аргумент комплексного числа определяется неоднозначно:

Поэтому вместо (44) можно записать

или

Выражения (39) и (44) являются различными формами записи комплексного числа г. (39) называется алгебраической формой
, а (44) — тригонометрической формой
записи. Для операции сложения комплексных чисел удобна алгебраическая форма их записи: при сложении комплексных чисел складывают отдельно их действительные и мнимые части. Для операции умножения комплексных чисел удобнее тригонометрическая форма' при умножении комплексных чисел их модули перемножают, а аргументы складывают. Тригонометрическая форма удобна также при делении комплексных чисел, возведении их в степень и извлечении корня.
Множество комплексных чисел принято обозначать С. Интерпретация С как линейного векторного пространства R2
с дополнительно определенной операцией умножения его элементов по формуле (43) принята в пособии [1].
В силу (41) множество действительных чисел R можно отождествить с множеством пар чисел вида (х; 0), которое является подмножеством С. К этому подмножеству не принадлежит пара (0; 1) = i, но в силу (39) любое комплексное число z=a+bi может быть представлено как сумма действительного числа а = (а; 0) и мнимого числа bi. В этом смысле говорят, что множество комплексных чисел С может быть получено расширением множества действительных чисел R. Для такого расширения достаточно каждое действительное число х рассматривать как пару (х; 0) и к множеству этих пар присоединить число (0; 1) = i.
Выше было рассмотрено понятие действительного линейного пространства; для элементов таких пространств определяется операция умножения на действительное число. Аналогично можно определить понятие комплексного линейного (векторного) пространства. Для этого нужно определить операцию умножения элементов данного множества L на комплексные числа. Действительные и комплексные линейные пространства имеют много общих свойств. В пособиях [1] и [10] такие пространства рассматриваются одновременно. Программа курса высшей математики предусматривает изучение только действительных линейных пространств.
Вопросы для самопроверки
- Что называется комплексным числом?
- Какие интерпретации комплексных чисел вы знаете? Опишите их.
- Что называется действительной и мнимой частями комплексного числа?
- Что называется модулем и аргументом комплексного числа?
- Что называется алгебраической и тригонометрической формами записи комплексного числа?
- В каком случае два комплексных числа называются сопряженными?
- 7. По каким правилам производятся арифметические действия над комплексными числами'
- Запишите формулу Муавра.
После изучения темы III выполните контрольную работу 2.
ТЕМА IV. ВВЕДЕНИЕ В МАТЕМАТИЧЕСКИЙ АНАЛИЗ
1. Число. Переменная. Функция
Литература. [4], гл. I, § 1—5; [5], гл. I, § 1, (п. 1°), задачи 1—3; гл. X, § 1, задачи 3108—3127; [4], гл. I, § 6, упр. 1—6, § 7, упр. 8—10, 12, 14, 16, 18, 28, 29, 34, 39, 40; § 8, упр. 7; § 9; [5], задачи 7, 8, 161—163, 12, 14, 17, 20, 21, 41, 42, 26.
Рекомендуется также прочитать из [11] § 1.4—1.11 и § 3.1, где содержится более полное и более строгое изложение понятий действительного числа и функции.
Если известен график функции y=f(x), то график функции вида y=kf(mx+b)+a
можно построить последовательным преобразованием графика функции y—f(x).
Покажем, например, как с помощью таких преобразований можно построить график функции у=-2sin(2*+2) исходя из известного графика функции y=sinx. От функции y=sinx к функции у =-2sin(2x+2) можно перейти с помощью следующей цепочки преобразований:

Геометрически это приводит к следующим построениям (рис. 1):
1. Строим волну синусоиды y = sinx; 0≤х≤2π.
2. Отмечаем на синусоиде несколько точек и уменьшаем в два раза их абсциссы, не изменяя ординат; таким образом, мы отображаем точку (х; у) в точку (x1
; y1
), где x1
=x/2, y1
=y. Соединив полученные точки плавной линией, получим график функции y1
=sin2x1
, являющийся результатом «сжатия» графика функции y=sinx коси Оу
в два раза.
3. Увеличиваем ординаты точек, построенных в предыдущем пункте, в два раза, а затем меняем их знаки на противоположные, не изменяя абсцисс; таким образом, мы отображаем точку (х1
; у1
) в точку (х2
; у2
), где у2
=-2у1
, x2
=x1
. Соединив полученные точки плавной линией, получим график функции у2
=-2sin2x2
, являющийся результатом «растяжения» графика функции y1
=sin2x1
, от оси Ох
в два раза с последующим зеркальным отражением графика от оси Ох
.
4. Переносим точки, построенные в предыдущем пункте, на —1 в направлении оси Ох
(т. е. на единицу влево); таким образом, мы отображаем точку (х2
, у2
) в точку (X, Y), где Х=х2
—1, Y=y2
. Соединив полученные точки плавной линией, получим график функции Y=-2sin2(X+1)=-2sin(2X+2), являющийся результатом «сдвига» графика функции у2
=-2sin2x2
на -1 в направлении оси Ох
. Искомый график функции y=-2sin(2x-2) построен.
Вопросы для самопроверки
1. Что называется числовой осью? Как изображаются на числовой оси области изменения переменной величины?
2. Что называется погрешностью, предельной абсолютной погрешностью и предельной относительной погрешностью?
3. Как записываются приближенные числа?
4. Каковы правила арифметических действий с приближенными числами'
5. Дайте определение функции. Что называется областью определения функции?
6. Каковы основные способы задания функции? Приведите примеры.
7. Какая функция называется периодической? Приведите примеры.
8. Какая функция называется сложной' Приведите примеры.
9. Какие функции называются элементарными? Приведите примеры.
10. Как, зная график функции y=f(x), можно построить графики функций y=f(mx), y=f(mx+b), y=kf(mx+b)+a?
2. Предел и непрерывность функций
Литература. [4], гл. II, § 1—5, упр. 1, 4, 6, 8—14, 18, 19; § 6, упр. 31—33, 35, 37—40; § 7, 8, упр. 41—44, 46, 48, 49; § 9, упр. 2, 3, 21—23, 25—30, 45, 47, 57, 59; § 10, 11, упр. 60—62; [5], гл. I, § 3.
Можно использовать также пособия [5], гл. I, § 3—5 и [9], ч. I, гл. VI, § 1—6.
Рекомендуется также прочитать из [11] гл. 2 и 3, где дано углубленное изложение материала.
Вопросы для самопроверки
- Сформулируйте определения предела последовательности, предела функции при стремлении аргумента к некоторому конечному пределу и предела функции при стремлении аргумента к бесконечности.
- Как связано понятие предела функции с понятиями ее пределов слева и справа?
- Сформулируйте определение ограниченной функции. Докажите теорему об ограниченности функции, имеющей предел.
- Какая функция называется бесконечно малой и каковы ее основные свойства?
- Какая функция называется бесконечно большой и какова ее связь с бесконечно малой?
- Докажите основные теоремы о пределах функций.
- Докажите, что
(«первый замечательный предел»).
- Сформулируйте определение числа е («второй замечательный предел»).
- Сформулируйте определения непрерывности функции в точке и на отрезке. Какие точки называются точками разрыва функции?
- Сформулируйте теорему об области непрерывности элементарных функций.
- Сформулируйте основные свойства функций, непрерывных на отрезке, и дайте геометрическое истолкование этим свойствам.
- Сформулируйте определение порядка одной бесконечно малой относительно другой бесконечно малой.
- Покажите, что при x→0 бесконечно малые sinx, arcsinx, tgx, arctgx попарно эквивалентны.
- Пусть х→0. При каком значении а
бесконечно малые asin2
x и 1—cosх эквивалентны?
После изучения темы IV выполните контрольную работу 3.
ТЕМА V. ПРОИЗВОДНАЯ И ДИФФЕРЕНЦИАЛ
1. Производная
Литература. [4], гл. III, § 1, 2, упр. 1, 3, 4; § 3, упр. 7, 8; § 4—8, упр. 10, 12, 15, 16, 20—22, 24, 27, 29, 42, 45, 71; § 9, упр. 33— 40, 43, 46—48, 50, 52, 54, 56, 58, 59. 61, 64—68, 72, 74, 75, 78, 80; § 10, упр. 51, 53, 60, 62, 63, 79, 81; § И, упр. 142, 143, 147, 149—151; § 12, упр. 83, 85, 90, 100, 101, 108, ПО, 113; § 13, 14, упр. 116, 118, 120, 134, 137; § 15, упр. 222—227; § 16—18, упр. 152—157, 159—161; § 19; § 26, упр. 207, 210—213, 216—219; § 27.
Можно использовать также [5], гл. II, § 1—4; [9], ч. I, гл. VII, § 1.
Вопросы для самопроверки
1. Сформулируйте определение производной. Каков ее механический и геометрический смысл?
2. Какой класс функции шире: непрерывных в точке или дифференцируемых в той же точке? Приведите примеры.
3. Выведите формулы производных суммы, произведения, частного двух функций. Приведите примеры.
4. Выведите формулу дифференцирования сложной функции. Приведите примеры.
5. Выведите формулы производных постоянной и произведения постоянной на функцию.
6. Выведите формулы дифференцирования тригонометрических и логарифмической функций.
7. Сформулируйте правило логарифмического дифференцирования. Приведите примеры.
8. Выведите формулы дифференцирования степенной функции с любым действительным показателем, показательной функции, сложной показательной функции.
9. Докажите теорему о производной обратной функции. Выведите формулы дифференцирования обратных тригонометрических функций.
2. Дифференциал
Литература. [4], гл. III, § 20, 21, упр. 162—164, 166, 169-171, 230, 231.
Вопросы для самопроверки
1. Сформулируйте определение дифференциала функции.
2. Для каких точек графика функции ее дифференциал больше приращения? Для каких точек он меньше приращения?
3. Для каких функций дифференциал тождественно равен приращению?
4. В чем заключается свойство инвариантности формы дифференциала функции?
5. На чем основано применение дифференциала в приближенных вычислениях?
3. Производные и дифференциалы высших порядков
Литература. [4], гл. III, § 22, 25, упр. !72, 176, 183, 184, 188, 190, 194, 206, 233, 234; § 24, упр. 196, 201—205, 236; § 23.
Вопросы для самопроверки
1. Сформулируйте определения производной и дифференциала высших порядков.
2. Каков механический смысл второй производной?
3. Как находятся первая и вторая производные функций, заданных параметрические?
4. Выведите формулу для производных n-го порядка от функций: y=хk
, y=еkx
, y=sinx, y=lnx
4. Свойства дифференцируемых функций
Литература. [4], гл. IV, § 1, упр. 1, 5, 7, 8; §2, упр. 9, 10, 12; § 3, упр. 17; § 4, упр. 19, 20, 23, 28; § 5, упр. 30, 33, 35, 38, 42, 45, 50, 52.
Можно использовать также [5j, гл. II, § 7, 9; [9], ч. I гл VII § 2, п. 1, 2.
Вопросы для самопроверки
1. Сформулируйте и докажите теорему Ролля. Каков ее геометрический смысл?
2. Сформулируйте и докажите теорему Лагранжа. Каков ее геометрический смысл?
3. Покажите, что точка с
, фигурирующая в теореме Лагранжа, для функции y=px2
+qx+r совпадает с серединой отрезка, для которого эта теорема формулируется,
4. Выведите правило Лопиталя для раскрытия неопределенностей вида 0/0. Перечислите различные типы неопределенностей, для рас-крытия которых может быть использовано правило Лопиталя. При< ведите примеры.
5. Формула Тейлора
Литература. [4], гл. IV, § 6, 7, упр. 54, 56, 57, 59, 62, 65, 67.
Можно использовать также [5], гл. II, § 8; [9], ч. I, гл. VII, § 2, п. 1.
Формула Тейлора

очень важна как в теории, так и в практических приложениях. В частности, с ее помощью можно вычислить приближенные значения функции f(x), если известны значения этой функции и ее производных до n-го порядка в «начальной» точке х=а и если, кроме того, удается оценить остаточный член Rn
. Если

то

с погрешностью α0
.
Для оценки погрешности формулы (3) важна форма записи остаточного члена Rn
. Распространенной является запись остаточного члена в форме Лагранжа
:

В этом случае оценка остаточного члена зависит от оценки (n+1)-й производной функции f(x). Так, например, если известно, что на отрезке, которому принадлежит рассматриваемое значение х1

то

и, следовательно, в качестве (Хо можно взять любую величину, удовлетворяющую условию

Условие (2) можно использовать и для определения числа n, если погрешность α0
задана заранее. Однако надо иметь в виду, что условие (2) определяет погрешность формулы (3). Если же приближенное значение f(x) вычислять по формуле (3) при конкретном числовом значении х, то может оказаться, что слагаемые в этой формуле (по крайней мере, некоторые из них) сами вычисляются приближенно. Тогда погрешность результата вычислений представляет собой сумму погрешностей слагаемых и погрешности формулы. Если вычислять все слагаемые с одинаковой погрешностью α0
, которая является и погрешностью формулы, то общая погрешность значения, вычисленного по формуле (3), очевидно, равна β=(n+2)α0
. Если заранее задана точность результата α, то следует подобрать α0
так, чтобы обеспечить выполнение неравенства β≤α или (n+2) α0
< α, откуда

При достаточно малом числе членов (по крайней мере, при n≤8) условие (7) заведомо выполняется, если положить

Обычно точность вычислений задается в виде α=10-
m
. Условие (8) показывает, что α0
=10-(
m
+1)
. Это значит, что вычисления надо производить с одним запасным знаком. Условие (2), которое можно использовать для определения числа n, в этом случае принимает вид

Замечание. Мы установили, что один запасной знак обеспечивает требуемую точность, по крайней мере, при n≤8. Легко заметить, что два запасных знака обеспечивают требуемую точность, по крайней мере, при n≤98. Но практически это верно и при значительно большем числе членов, так как значения функции и ее производных в точках х=а обычно бывают известны с абсолютной точностью. Поэтому два первых члена в формуле (3) абсолютно точны, следовательно, при одном запасном знаке требуемая точность обеспечивается более чем при десяти членах, при двух запасных знаках — более чем при ста членах и т. д.
Пример 1. Применяя формулу Тейлора с остаточным членом в форме Лагранжа, вычислить е0,1
и е0,2
с точностью до 0,001.
Решение. Формула Тейлора с остаточным членом в форме Лагранжа для функции f(x)=еx
имеет вид

где 0 <θ< 1 (см. [4], гл. IV, § 7, п. 1). Отсюда получаем

Значения x1
=0,1 и х2
=0,2 принадлежат отрезку [0; 0,5], следовательно, 0<θx<0,5 и еθ
x
<е0,5
<2;

При заданной погрешности а условие (9) заведомо выполняется, если положим, что откуда

Запись условия, определяющего п, в виде (11) удобна, так как, вычисляя последовательно слагаемые в (10) по формулам

мы имеем возможность одновременно видеть, достигнута ли требуемая точность, т. е. выполнено ли условие (9).
Полагая а = 0,001, из (11) получаем условие

и при л:=0,1 имеем

Итак, е0,1
≈1,105. Здесь условие (13) оказалось выполненным при k=n+1=4, т. е. при n=3. Всего сохранено четыре слагаемых. Следовательно, одного запасного знака было достаточно. Аналогично можно найти е0,2
≈1,221 (здесь требуемая точность достигается при n=4).
Приближение функции многочленом по формуле Тейлора с геометрической точки зрения означает замену графика функции графиком соответствующего многочлена (см. [4], гл. IV, § 7, п. 2).
Вопросы для самопроверки
1. Запишите формулу Тейлора с остаточным членом в форме Лагранжа. Когда эту формулу называют формулой Маклорена и какой вид принимает она в этом случае?
2. Напишите формулы Маклорена для функций еx, sinx, cosx, ln(1+x).
3. Как используется формула Тейлора для вычисления приближенных значений функции с заданной точностью? Приведите примеры.
ТЕМА VI. ВОЗРАСТАНИЕ И УБЫВАНИЕ ФУНКЦИИ. ЭКСТРЕМУМЫ
1. Возрастание и убывание функций
Литература. [4], гл. V, § 1, 2; [5], гл. Ill, § 1, задачи 811, 819, 820, 823.
Можно использовать также [9], ч. I, гл. VII, § 2, п. 3.
2. Экстремумы
Литература. [4], гл. V, § 3—5, упр. 3, 12, 14, 22, 25, 27, 30; § 6, упр. 32, 34; § 7, упр. 40, 44, 52, 54; §8.
Можно использовать также [9], ч. I, гл. VII, § 2, п. 3.
Вопросы для самопроверки
1. Сформулируйте определения возрастающей и убывающей на отрезке функции. Выведите достаточный признак возрастающей функции. Покажите, что функции y=еx
и y=x+cosx возрастают в любом промежутке.
2. Сформулируйте определение точки экстремума функции. Покажите, что если выполняется условие 3ac>b2
, то функция у=ах3
+bx2
+cx+d не имеет экстремума при любом d.
3. Сформулируйте два правила для отыскания экстремумов функции.
4. Приведите пример, показывающий, что обращение в некоторой точке производной в нуль не является достаточным условием наличия в этой точке экстремума функции.
5. Как найти наибольшее и наименьшее значения функции, дифференцируемой на отрезке? Всегда ли они существуют?
После изучения тем V и VI выполните контрольную работу 4.
ТЕМА VII. ПОСТРОЕНИЕ ГРАФИКОВ ФУНКЦИИ
1. Выпуклость и вогнутость графика функции Точки перегиба
Литература. [4], гл. V, § 9, упр. 62, 63, 67—71,
2. Асимптоты
Литература. [4], гл. V, § 10, упр. 73, 75, 76, 78, 108, ПО.
3. Общая схема построения графиков функций
Литература. [4], гл. V, § 11, упр. 84, 92, 95, 96, 99, 103, 134.
Вопросы для самопроверки
1. Сформулируйте определения выпуклости и вогнутости линии, точки перегиба. Как находятся интервалы выпуклости и вогнутости и точки перегиба линии, заданной уравнением y=f(x)? Приведите примеры,
2. Сформулируйте определение асимптоты линии. Как находятся вертикальные и невертикальные асимптоты линии, заданной уравнением y=f(x)? Приведите примеры.
3. Изложите схему общего исследования функции и построения ее графика.
ТЕМА VIII. ВЕКТОРНЫЕ И КОМПЛЕКСНЫЕ ФУНКЦИИ
1. Векторная функция скалярного аргумента
Литература. [4], гл. IX, § 1, 2 (до примера 2 включительно), 3, упр. 1, 3, 4, 6.
Можно использовать также [5], гл. III, § 18; [9], ч. I, гл. VII, § 5.
2. Кривизна кривой. Формулы Френе
Литература. [4], гл. VI, § 1—4, упр. 1—5; § б, 7, упр. 6—12, 19, 20, 23, 26, 40, 41, 43; гл. IX, § 4, 5, упр. 8—16.
Можно использовать также [5], гл. III, § 5; гл. VI, § 19, 20; [9], ч. I, гл. VII, § 6.
3. Комплексные функции. Многочлен в комплексной области
Литература. [4], гл. VII, § 4—8, упр. 11—14.
Вопросы для самопроверки
1. Как определяется векторная функция скалярного аргумента?
2. Как определяется предел и производная векторной функции скалярного аргумента?
3. Каков геометрический и механический смысл производной векторной функции скалярного аргумента?
4. Каковы свойства производной векторной функции скалярного аргумента и правила дифференцирования векторных функций?
5. Что называется кривизной плоской линии? По какой формуле она вычисляется? Приведите примеры.
6. Что называется кругом и центром кривизны, эволютой и 'эвольвентой плоской линии? Приведите примеры.
7. Что называется касательной, главной нормалью, бинормалью, нормальной плоскостью и соприкасающейся плоскостью пространственной линии? Как записываются их уравнения для линии, являющейся годографом заданной векторной функции? Приведите примеры.
8. Что называется кривизной и кручением пространственной линии? По каким формулам они вычисляются? Приведите примеры.
9. Напишите формулы Френе; дайте их вывод. Приведите примеры.
10. Как определяется комплексная функция действительного переменного и ее производная?
11. Как определяется показательная функция ег комплексного переменного г?
12. Какая формула называется формулой Эйлера? Что называется показательной формой комплексного числа?
13. Сформулируйте теорему Безу и докажите ее.
14. Сформулируйте основную теорему алгебры.
ТЕМА IX. ПРИБЛИЖЕННОЕ РЕШЕНИЕ УРАВНЕНИИ. ИНТЕРПОЛЯЦИЯ
1. Приближенное решение уравнений
Литература. [9], ч. II, гл. IX, §1 (прочитать вводную часть к параграфу до п. 1 и п. 5), задачи 1097—1099, 1107, 1108; [51, ■ л. X, § 3, п. 1°; [9], ч. II, гл. IX, § 1, п. 1—3, задачи 1093—1095, 1101—1103; [4], гл. VI, § 8, упр. 30, 34; [5], гл. X, § 3, п. 2°, 3», задачи 3138, 3140, 3141; [9]; ч. II, гл. IX, § 1, п. 4, задачи 1096, 1106; [5], гл. X, § 3, п. 4°, задачи 3145, 3146, 3148.
2. Интерполяция
Литература. [4], гл. VII, § 9, упр. 17, 18; [5], гл. X, § 2, п. 2°, задачи 3131, 3135—3137; [9], ч. II, гл. IX, § 2, п. 1, задачи 1121—1125.
В первой части интерполяционной формулы Лагранжа

записан многочлен степени я относительной переменной х, график которого проходит, очевидно, через точки (x0
; y0
), (x1
, y1
),…,(хn
; уn
) (число этих точек равно n+1). Если в (1) положить n=1, то получим (после преобразований)

Это — многочлен первой степени (линейная функция) относительно х; графиком его является прямая, проходящая через точки (x0
; y0
) и (x1
; y1
). Если y=f(x) —данная функция, график которой проходит через те же точки, то приближенное равенство

выражает линейную интерполяцию функции y=f(x) на отрезке [х0
, x1
]. Геометрически она означает замену дуги графика функции y=f(x), заключенной между точками (х0
, y0
) и (x1
; y1
), хордой, соединяющей ее концы.
Формулу (3) используют при отыскании значения функции f(x) с помощью таблиц, когда нужное значение аргумента в таблице отсутствует и соответствующее значение f(х) приходится находить по двум «соседним» значениям.
Вопросы для самопроверки
1. Что значит отделение корня уравнения f(x)=0 на данном отрезке. Какие способы отделения корней уравнения вы знаете? Опишите их, приведите примеры.
2. В чем состоят методы хорд, касательных и комбинированный метод вычисления приближенного значения действительного корня уравнения f(x)=0?
3. В чем состоит метод итераций вычисления приближенного значения действительного корня уравнения x = cp(x)?
4. Каково условие сходимости процесса итераций для уравнений x=φ(x)?
5. Запишите интерполяционный полином Лагранжа. В чем состоит смысл процесса интерполяции данной функции?
6. Что называется линейной интерполяцией функции, каков ее геометрический смысл?
После изучения тем VII—IX выполните контрольную работу 5.
ТЕМА X. ФУНКЦИИ НЕСКОЛЬКИХ ПЕРЕМЕННЫХ
1. Основные понятия
Литература. [4], гл. VIII, § 1, 2; [5], гл. VI, § I, задачи 1784, 1785, 1792 (г, д, е, ж, к, м), 1793 (а, г); [4], гл. VIII, § 3, 4; [5], гл. VI, § 2, п. 2°, задачи 1797 (а, б, в, г), 1799 (а, б, в).
2. Частные производные
Литература. [4], гл. VIII, § 5, 6, упр. 1—10.
3. Полный дифференциал. Касательная плоскость и нормаль к поверхности
Литература. [4], гл. VIII, § 7, упр. 11 — 17; § 8, упр. 18; [5], гл. VI, § 4, задачи 1849, 1851; [4], гл. IX, § 6, упр. 17, 18, 20.
4. Производные сложной функции и функции, заданной неявно. Частные производные и полные дифференциалы высших порядков
Литература. [4], гл. VIII, § 10, упр. 22, 24; § 11, упр. 26, 28, 30, 32; § 12, упр. 34, 38; [5], гл. VI, § 7, п. 2°, задачи 1916, 1917, 1920, 1924.
5. Поверхности уровня и линии уровня в скалярном поле. Производная по направлению и градиент
Литература. [4], гл. VIII, § 13; [5], гл. VI, § 1, задачи 1794 (а, б, в, г, ж), 1796; [4], гл. VIII, § 14, 15, упр. 40—43; [5], гл. VI, § 6, задачи 1884, 1886—1888.
6. Формула Тейлора для функции двух переменных. Экстремумы функции нескольких переменных
Литература. [4], гл. VIII, § 16, 17, упр. 47—49; § 18; [5], гл. VI, § 13, п. 5°, задачи 2021—2023.
При исследовании функции нескольких переменных на экстремум следует иметь в виду, что точки экстремума могут находиться как среди точек, в которых частные производные равны нулю, так и среди точек, в которых частные производные не существуют. Например, функция имеет минимум в точке (0; 0), тогда как в этой точке ее частные производные не существуют. При отыскании наибольшего и наименьшего значений функции в некоторой замкнутой области следует найти все внутренние точки области, в которых функция может иметь экстремум. Затем надо исследовать функцию на границе области и найти там точки, где функция может принимать наибольшие (наименьшие) значения. При этом часто приходится разбивать границу области на части, заданные различными уравнениями. Вычислив значе ния функции во всех найденных точках, следует сравнить их между собой: наибольшее
(наименьшее) из этих значений и является наибольшим (наименьшим) значением функции во всей замкнутой области.
Пример 1. Найти наибольшее и наименьшее значения функции z=2x3
—6ху+3у2
в замкнутой области, ограниченной осью Оу
, прямой у=2 и параболой у=х2
/2 при х>0 (рис. 2).
Решение. Точки, в которых функция принимает наибольшее и наименьшее значения, могут находиться как внутри области, так и на ее границе. Если функция принимает наибольшее (наименьшее) значение во внутренней точке области, то в этой точке частные равны нулю. Решив систему уравнений

найдем две точки О
(0; 0) и M(l; 1), в которых обе частные производные равны нулю. Первая из них принадлежит границе области. Следовательно, если функция г принимает наибольшее (наименьшее) значение во внутренней точке области, то это может быть только в точке М(1; 1). Исследуем функцию на границе области.
На отрезке ОА имеем х=0, поэтому на этом отрезке z=3у2
(0≤y≤2)—возрастающая функция одной переменной у; наибольшее и наименьшее значения она принимает на концах отрезка ОА.
На отрезке АВ имеем у=2, следовательно, на этом отрезке функция z=2х3
—6x∙2+3∙22
=2x3
-12x+12 (0≤x≤2) представляет собой функцию одной переменной х, ее наибольшее и наименьшее значения находятся среди ее значений в критических точках и на концах отрезка. Находим производную z'=6x2
—12. Решая уравнение z=0 или 6х2
—12=0, находим x1,2
=±√2. Внутри отрезка 0≤x≤2 имеется лишь одна критическая точка х=√2; соответствующей точкой отрезка АВ
является точка Q(√2; 2). Итак, наибольшее и наименьшее значения функции z на отрезке АВ находятся среди ее значений в точках A, Q и В.
На дуге ОВ параболы y=x2
/2 имеем

Решаем уравнение z'=3х3
—Зх2
=0 или х2
(х—1)=0 и находим его корни. x1,3
=0 и x2
=1. Таким образом, наибольшее и наименьшее значения функции г на дуге ОВ находятся среди ее значений в точках О, Р и В.
Следовательно, наибольшее и наименьшее значения функции z=2х3
—6ху+3у2
в данной замкнутой области находятся среди ее значений в точках О, A, Q, В, Р, М, т.е. среди значений: z(0)=z(0; 0)=0; z(A)=z(0; 2)=12; z(Q)=z(√2; 2)=12—8√2; z(B)=z(2; 2)=4; z(P)=z(l; 1/2)=-1/4; z(M)=z(l; 1)=-1, Наибольшее и наименьшее из них равны соответственно 12 и —1. Они и являются наибольшим и наименьшим значениями данной функции в данной замкнутой области: zнаиб
=12, zнаим
=-1.
7. Метод наименьших квадратов. Понятие об итерационных методах решения систем уравнений
Литература. [4], гл. VIII, § 19; [5], гл. X, § 3, п. 5°, задачи 3156, 3157.
Вопросы для самопроверки
1. Что называется функцией двух переменных, ее областью определения? Дайте геометрическое истолкование этих понятий.
2. Что называется функцией трех переменных, ее областью определений? Как можно геометрически истолковать область определения функции трех переменных.
3. Что называется поверхностью уровня и линией уровня? Какие поверхности являются поверхностями уровня функции u=х2
+у2
+z2
? Постройте линии уровня функции z=х2
y.
4. Что называется пределом функции двух переменных в точке? В каком случае эта функция называется непрерывной в точке, в области?
5. Что называется точкой разрыва функции двух переменных? Приведите пример функции двух переменных, непрерывной всюду, кроме каждой точки окружности х2
+у2
=1.
6. Как определяются частные производные? Сформулируйте правила нахождения частных производных функций нескольких переменных. В чем состоит геометрический смысл частных производных функции двух переменных?
7. Когда функция z=f(x, у) называется дифференцируемой в данной точке? Что называется полным дифференциалом этой функции в данной точке? В чем состоит правило применения полного дифференциала для вычисления приближенного значения функции, близкого к известному?
8. Выведите уравнения касательной плоскости и нормали к поверхности в точке М0
. В чем состоит геометрический смысл полного дифференциала функции двух переменных?
9. Выведите формулы нахождения сложной функции .
10. Напишите формулу вычисления полной производной dz/dx сложной функции z=f(u, v), где u=u(х), v=v(x). Как записать эту формулу в случае u=х?
11. Выведите формулу дифференцирования неявной функции у=у(х), заданной уравнением F(х, у)=0.
12. Дайте определение частных производных высших порядков. Сформулируйте теорему о равенстве смешанных частных производных функций двух переменных.
13. Что называется производной функции u=u(х, у, z) в данной точке М0
по направлению вектора s? Выведите формулу ее вычисления
14. Что называется градиентом скалярного поля u=u(х, у, z) в данной точке? Как выражается производная по направлению через градиент и единичный вектор? Сформулируйте известные вам свойства градиента.
15. Что называется максимумом (минимумом) функции двух переменных? Выведите необходимые условия и сформулируйте достаточные условия экстремума функции двух переменных.
16. Сформулируйте правила нахождения экстремумов функция двух переменных.
17. Выведите правило нахождения наибольшего и наименьшего значений функции двух переменных в замкнутой области.
18. Что называется условным экстремумом функции z=f(x, у)? Изложите метод нахождения условных экстремумов функции двух переменных, если эти переменные связаны одним условием.
19. В чем состоит метод наименьших квадратов при нахождении функции на основании экспериментальных данных?
20. В чем состоит метод итераций решения системы уравнений? После изучения темы X выполните контрольную работу 6
.
ТЕМА XI. НЕОПРЕДЕЛЕННЫЙ ИНТЕГРАЛ
1. Определение и свойства неопределенного интеграла
Литература. [4], гл. X, § 1—3, упр. 2, 5, 7, 9, 11, 14, 16, 17, 25, 41, 46, 49, 58, 60, 66.
2. Основные методы интегрирования
Литература [4], гл. X, § 4, упр. 27, 28, 33, 37, 47, 51, 65, 72, 83, 89, 91, 94, 100, 101; § 6, упр. 127—131, 134, 135, 138, 140, 143, 145.
Можно использовать также [5], гл. IV, § 1—3.
3. Стандартные методы интегрирования некоторых классов функций
Литература. [4], гл. X, § 5, упр. 102, 105, 107, ПО, 112, ИЗ, 115, 116, 123, 125; § 7—9, упр. 156, 163, 164, 167, 169; § 10, упр. 170, 176, 177; § 12, упр. 196, 198, 203, 204, 209, 212, 214, 216; § 13, упр. 178, 180
Можно использовать также [5], гл. IV, § 4—10.
4. Использование таблиц интегралов
Литература. [4], гл. X, § 14.
Имеются элементарные функции, интегралы от которых хотя, конечно, и существуют, но не выражаются через элементарные функции Приведем несколько интегралов, «не берущихся в конечном виде».

Эти и подобные интегралы определяют новые виды функций, отличных от элементарных. Многие из этих функций имеют специальные названия: функция, определяемая первым из указанных интегралов, называется интегральным синусом, вторым — интегральным косинусом, третьим — интегральным логарифмом, четвертым и пятым — интегралами Френеля, последним — эллиптической функцией.
Заметим, что функции, определяемые с помощью интегралов, имеют обширные и важные применения в технике и естествознании. Для таких функций составлены таблицы их приближенных значений.
Вопросы для самопроверки
1. Дайте определение первообразной функции.
2. Укажите геометрический смысл совокупности первообразных функций. Что называется неопределенным интегралом?
3. Напишите таблицу основных интегралов.
4. Докажите простейшие свойства неопределенного интеграла.
5. Найдите ∫(2х—l)2
dx двумя способами: а) непосредственно как интеграл от степенной функции со сложным аргументом; б) раскрыв скобки и проинтегрировав полученную сумму. Покажите, что полученные результаты не противоречат друг другу.
6. Выведите формулу замены переменной в неопределенном интеграле.
7. Выведите формулу интегрирования по частям для неопределенного интеграла. Укажите типы интегралов, вычисление которых целесообразно производить с помощью метода интегрирования по частям.
8. Изложите методы интегрирования простейших рациональных дробей I, II, III и IV типов.
9. Сформулируйте теорему о разложении многочлена на простершие множители. Изложите правило разложения правильной рациональной дроби на простейшие дроби в случае простых действительных корней знаменателя. Приведите примеры.
10. Изложите правило разложения правильной рациональной дроби на простейшие дроби в случае действительных кратных корней знаменателя. Приведите примеры.
11. Изложите правило разложения правильной рациональной дроби на простейшие дроби для случая, когда среди корней знаменателя имеются пары простых комплексно-сопряженных корней. Приведите пример.
12. Изложите правило разложения правильной рациональной дроби для случая, когда среди корней знаменателя имеется пара кратных комплексно-сопряженных корней. Приведите пример.
13. Изложите методы нахождения интегралов вида

где p, q,..., r — рациональные числа; R— рациональная функция. Приведите пример.
14. Изложите метод нахождения интегралов вида ∫R(sinx, cosх)dх, где R — рациональная функция. Приведите примеры.
15. В чем состоит общая идея метода рационализации при интегрировании иррациональных и трансцендентных функций?
ТЕМА XII. ОПРЕДЕЛЕННЫЙ ИНТЕГРАЛ
1. Определение, свойства и вычисление определенного интеграла
Литература. [4], гл. XI, § 1—5, § 6 (пример можно опустить), упр 8, 10, 11, 13, 16—21, 23, 24.
2. Приближенное вычисление определенного интеграла
Литература [4], гл. XI, § 8, упр. 44, 46, 47, 50.
Приближенные методы интегрирования имеют очень большое значение. В технических приложениях часто приходится иметь дело с определенными интегралами, вычислить которые с помощью формулы Ньютона—Лейбница или искусственными приемами практически
невозможно. В этом случае значение интеграла находят приближенно. Вычислим, например, с точностью до 0,001 интеграл . Применим для этого формулу Симпсона

где n — четное число; h = (b—a)/n.
Можно показать, что погрешность этой формулы

где М4
— наибольшее значение модуля четвертой производной интегрируемой функции на отрезке [а, b]. Последовательно дифференцируя четыре раза функцию f(x)=y=ex2
, найдем

Легко видеть, что y(4)
>0 и |y<(4)
|=y(4)
. Далее очевидно, что производная y(4)
возрастает при 0≤х≤1 и, следовательно, принимает наибольшее значение при х=1. Итак,

При n=10 получим

Таким образом, погрешность, получающаяся при использовании формулы Симпсона (n=10) для вычисления данного интеграла, не превосходит 0,00012.
Вычислим интеграл по формуле Симпсона (при n=10):

Используя таблицу значений показательной функции (см., например: Бронштейн
И. Н., Семендяев
К. А. Справочник по математике— М: Наука, 1980), находим:

Окончательно получаем 
Как было установлено, в результате применения приближенной формулы Симпсона погрешность не превышает 0,00012. Однако еще нельзя утверждать, что найденное значение интеграла удовлетворяет условию задачи, т. е. отличается от истинного менее чем на 0,001. Дело в том, что использованные значения у1
, у2
,..., y10
не точные, а приближенные значения соответствующих величин (значение уо является точным). Каждое из этих значений взято с четырьмя десятичными знаками, т. е. отличается от соответствующего истинного значения y1
, не более чем на 0,00005. Поэтому погрешность суммы, заключенной в квадратных скобках, не превышает 0,00005+4∙5 0,00005+2∙4∙0,00005 = 29∙0,00005. Перед этой суммой стоит множитель 1/30, поэтому погрешность, получающаяся в результате округления чисел, включая и погрешность из-за округления результата деления числа 43,8805 на 30 (эта погрешность не превышает 0,00033), не превосходит величины
δ=(1/30) ∙29∙0,00005+0,00033<0,00038.
Таким образом, найденное значение интеграла отличается от истинного его значения не более чем на величину
δ+|Rn
|<0,00038+0,00012=0,0005<0,001.
Полученный результат удовлетворяет условию задачи.
Вопросы для самопроверки
1. Дайте определение определенного интеграла и укажите его геометрический смысл.
2. Пусть . Как это истолковать геометрически?
3. Докажите, что 
4. Докажите основные свойства определенного интеграла: а) постоянный множитель можно выносить за знак определенного интеграла, б) определенный интеграл от суммы нескольких функций равен сумме определенных интегралов от слагаемых; в) 
5. Докажите теорему о среднем для определенного интеграла и выясните ее геометрический смысл.
6. Докажите, что является первообразной функцией для функции f(x). Выведите формулу Ньютона—Лейбница для вычисления определенного интеграла.
7. Выведите формулу замены переменной в определенном интеграле. Приведите пример.
8. Выведите формулу интегрирования по частям для определенного интеграла. Приведите пример.
9. Выведите формулу трапеций для приближенного вычисления определенного интеграла. Приведите пример.
10. Выведите формулу парабол (правило Симпсона) для приближенного вычисления определенного интеграла. Приведите пример.
3. Несобственные интегралы
Литература. [4], гл. XI, § 7, упр. 29—31, 34, 35, 37—40.
4. Интегралы, зависящие от параметра.
Гамма- и бэта-функции
Литература. [4], гл. XI, § 10, упр. 53; [5], гл. V, § 3, за. дачи 1574, 1575.
5. Геометрические приложения определенного интеграла
Литература. [4], гл. XII, § 1, упр. 1, 3, 5—11; § 2, упр. 13, 14, 17, 18; § 3, упр. 38-41, 43, 47; § 4, 5, упр. 20-23, 25, 32; § 6, упр 49, 51, 53, 56.
Вопросы для самопроверки
1. Дайте определение несобственного интеграла первого рода (интеграла, у которого один или оба предела интегрирования бесконечны); укажите его геометрический смысл в случае, когда подынтегральная функция неотрицательна; приведите примеры сходящегося и расходящегося интегралов первого рода.
2. Дайте определение несобственного интеграла второго рода (интеграла от неограниченной функции). Укажите его геометрический смысл в случае, когда подынтегральная функция неотрицательна; приведите примеры сходящегося и расходящегося интегралов второго рода.
3. Сформулируйте правило дифференцирования интеграла, зависящего от параметра.
4. Что называется гамма-функцией? Выведите формулу Г(n)=(n—1)! Что называется бэта-функцией?
5. Выведите формулу для вычисления площади криволинейного сектора, ограниченного кривой, заданной в полярной системе координат.
6. Выведите формулу для вычисления длины дуги кривой, заданной уравнением в декоративной системе координат. Приведите примеры.
7. Выведите формулу для вычисления объема тела по известным площадям поперечных сечений. Вычислите с ее помощью объем эллипсоида. Выведите формулу для вычисления объема тела вращения Приведите примеры.
8. Выведите формулу для вычисления площади поверхности тела вращения.
После изучения тем XI и XII выполните контрольную работу 7.
ТЕМА XIII. ОБЫКНОВЕННЫЕ ДИФФЕРЕНЦИАЛЬНЫЕ УРАВНЕНИЯ
1. Дифференциальные уравнения первого порядка
Литература. [4], гл. XIII, § 1—3, упр. 1, 2, 4; [5], задачи 2711, 2715, 2730, 2733, 2736; [4], гл. XIII, § 4, упр. 9, 11, 20—26, 35—37; § 5, упр. 40—47, 55, 56; § 6, упр. 48—50; § 7, упр. 58—63; §8, упр. 66-69; § 9, упр. 72—76, 80; § II, 12, 32, 33, упр. 194, 195; [5], гл. X, § 5, п. 2°, задачи 3179, 3180.
Вопросы для самопроверки
1. Дайте определения дифференциального уравнения первого порядка и его общего и частного решения (интеграла), Сформулируйте задачу Коши для дифференциального уравнения первого порядка и укажите ее геометрический смысл.
2. Дайте геометрическое истолкование дифференциального уравнения первого порядка, выясните геометрический смысл общего и частного решений.
3. Сформулируйте теорему о существовании и единственности решения дифференциального уравнения первого порядка. Найдите общее решение уравнения dy/dx=2y/x и укажите, где условия этой теоремы не выполняются.
4. Дайте определение дифференциального уравнения с разделяющимися переменными. Изложите метод нахождения его общего решения. Приведите примеры.
5. Данте определение однородного дифференциального уравнения первого порядка. Изложите метод нахождения его общего решения. Приведите пример.
6. Дайте определение линейного дифференциального уравнения первого порядка. Изложите метод нахождения его общего решения. Приведите пример.
7. Дайте определение уравнения Бернулли. Изложите метод нахождения его общего решения. Приведите пример.
8. Дайте определение дифференциального уравнения в полных дифференциалах. Изложите метод нахождения его общего решения. Приведите пример.
9. Что называется особым решением дифференциального уравнения первого порядка?
10. Изложите метод Эйлера численного интегрирования дифференциального уравнения первого порядка.
11. Изложите метод Рунге—Кутта численного интегрирования дифференциального уравнения первого порядка.
2. Дифференциальные уравнения высших порядков
Литература. [4], гл. XIII, § 16, упр. 117; § 17, упр. 118, 119; § 18, упр. 120—124; [5], задачи 2915, 2925, 2957, 2967.
3. Линейные дифференциальные уравнения
Литература. [4], гл. XIII, § 20, 21, упр. 129—137; [5], задачи 2987, 2990; [4], гл. XIII, § 22, упр. 140—146; § 23—25, упр. 149—158, 167—169.
Понятие о краевых задачах для дифференциальных уравнений можно найти в пособии: Краснов
М. Л., Киселев
А. И., Макаренко
Г. И. Сборник задач по обыкновенным дифференциальным уравнениям.— М.: Высшая школа, 1978, (гл. II, § 17).
Вопросы для самопроверки
1. Сформулируйте теорему о существовании и единственности решения дифференциального уравнения второго порядка.
2. Изложите метод решения дифференциального уравнения вида уn
=f(х). Приведите пример.
3. Изложите метод решения дифференциального уравнения вида y"=f(х, y'). Приведите пример.
4. Изложите метод решения дифференциального уравнения вида y"=f(y, y'). Приведите пример.
5. Дайте определение линейного дифференциального уравнения n-го порядка (однородного и неоднородного). Докажите основные свойства частных решений линейного однородного дифференциального уравнения.
6. Дайте определение линейно зависимых и линейно независимых функций и приведите примеры. Докажите, что для линейно зависимых функций определитель Вронского равен нулю. Сформулируйте обратную теорему для линейно независимых решений (интегралов) однородного линейного дифференциального уравнения.
7. Докажите теорему об общем решении линейного однородного дифференциального уравнения второго порядка.
8. Изложите метод нахождения общего решения линейного однородного дифференциального уравнения второго порядка, если известно одно его частное решение. Приведите пример.
9. Выведите формулу для общего решения линейного однородного дифференциального уравнения второго порядка с постоянными коэффициентами в случае действительных различных корней характеристического уравнения. Приведите пример.
10. Выведите формулу общего решения линейного однородного дифференциального уравнения второго порядка с постоянными коэффициентами в случае равных корней характеристического уравнения. Приведите пример.
11. Выведите формулу общего решения линейного однородного дифференциального уравнения второго порядка с постоянными коэффициентами в случае комплексных корней характеристического уравнения Приведите пример.
12. Докажите теорему об общем решении линейного неоднородного дифференциального уравнения второго порядка.
13. Докажите, что сумма частных решений уравнений у"+ру'+qy=f1
(x) и у"+ру'+qy=f2
(x) является решением уравнения у"+ру'+qy=f1
(x)+ f2
(x)
14. Изложите правило нахождения частного решения линейного дифференциального уравнения второго порядка с постоянными коэффициентами и правой частью вида eαx
Рn
(х), где Рn
(х) — многочлен степени n≥0.
15. Изложите правило для нахождения частного решения линейного дифференциального уравнения второго порядка с постоянными коэффициентами и правой частью вида еαx
(Аcosβх+Вsinβx).
16. В чем состоит краевая задача для дифференциального уравнения?
ТЕМА XIV. СИСТЕМЫ ОБЫКНОВЕННЫХ ДИФФЕРЕНЦИАЛЬНЫХ УРАВНЕНИИ. ЭЛЕМЕНТЫ ТЕОРИИ УСТОЙЧИВОСТИ
1. Системы обыкновенных дифференциальных уравнений
Литература. [4], гл. XIII, § 29, упр. 180; [5], гл. IX, § 15, задачи 3078, 3080, 3087.
2. Системы линейных дифференциальных уравнений с постоянными коэффициентами
Литература. [4], гл. XIII, § 30, упр. 185, 186, 188; гл. XXI, § 17, упр. 14.
Вопросы для самопроверки
1. Что называется нормальной системой дифференциальных уравнений первого порядка? Сформулируйте задачу Коши для этой системы.
2. Изложите метод нахождения общего решения нормальной системы дифференциальных уравнений первого порядка сведением системы к одному дифференциальному уравнению (метод исключения). Приведите пример.
3. Изложите метод нахождения общего решения нормальной системы двух линейных однородных дифференциальных уравнений с постоянными коэффициентами в случае простых корней характеристического уравнения. Приведите пример.
4. Запишите в матричной форме нормальную систему и решение нормальной системы двух линейных однородных дифференциальных уравнений с постоянными коэффициентами. Приведите пример решения матричным способом такой системы.
3. Элементы теории устойчивости
Литература. [4], гл. XIII, § 31, упр. 191—193; [7], гл. III, § 19, 20.
Вопросы для самопроверки
1. Какое решение нормальной системы двух дифференциальных уравнений первого порядка называется устойчивым по Ляпунову?
2. Рассмотрите случаи устойчивости и неустойчивости решения (0; 0) нормальной системы двух линейных однородных дифференциальных уравнений с постоянными коэффициентами в зависимости от характера корней характеристического уравнения.
На основании рассмотренных случаев сформулируйте общее условие устойчивости решения системы.
3. Используя понятие функции Ляпунова, сформулируйте теорему об устойчивости решения хi
=0, i=1,…, n нелинейной автономной системы dxt
/dt=fi
(x1
,…, xn
), (i=1,…, n).
После изучения тем XIII и XIV выполните контрольную работу 8.
ТЕМА XV. КРАТНЫЕ ИНТЕГРАЛЫ
1. Двойной интеграл
Литература. [4], гл. XIV, § 1,2, упр. 1,4—6; § 3, упр. 8—10, 14, 15, 17; § 4, упр. 24, 25, 32; § 5, 6, упр. 18—20, 28; § 7, упр. 43, 46, 48; § 8, упр. 51; § 9, упр. 59, 60; § 10, упр. 53, 54; [5], задачи 2122, 2123, 2142, 2197—2199.
Можно использовать также [9], ч. II, гл. I, § 1—6.
Вопросы для самопроверки
1. Что называется двойным интегралом от функции }{х, у) по области D} Укажите его геометрический смысл.
2. Сформулируйте теоремы о двойном интеграле от суммы и вынесении постоянного множителя за знак двойного интеграла. Докажите, что , где D=D1
+D2
.
3. Что называется двукратным интегралом от функции f(x, у) по области D? Как он вычисляется?
4. Докажите теорему о среднем для двойного интеграла, укажите ее геометрический смысл.
5. Выведите формулу для вычисления двойного интеграла с помощью двукратного. Дайте геометрическое толкование формулы в случае неотрицательной подынтегральной функции.
6. Обоснуйте формулы, служащие для вычисления объема цилиндрического тела и площади плоской фигуры с помощью двойных интегралов.
7. Выведите формулу для вычисления двойного интеграла в полярных координатах.
8. Каков геометрический смысл интеграла

где z=z(x, у) —функция, обладающая непрерывными частными производными в области D?
- Каков механический смысл интеграла

где γ(х, y)≥0— непрерывная функция в области D?
10. Выведите формулы для вычисления координат центра тяжести плоской фигуры D, поверхностная плотность которой γ=γ(х, у).
2. Тройной интеграл
Литература. [4], гл. XIV, § 11, 12, упр. 65, 66; § 13, упр. 67; § 14, упр. 68, 69; [5], задача 2268.
Можно использовать также [9], ч. II, гл. I, § 7, 8.
Вопросы для самопроверки
1. Что называется тройным интегралом от функции f(x, у, z) по пространственной области V? Укажите его механический смысл.
2. Что называется трехкратным интегралом от функции f(x,y,z) По области V? Как он вычисляется?
3. Сформулируйте теорему о среднем для тройного интеграла.
4. Выведите формулу для вычисления тройного интеграла с помощью трехкратного. Напишите формулу для вычисления тройного интеграла в цилиндрических координатах.
5. Обоснуйте формулу, служащую для вычисления объема тела с помощью тройного интеграла.
6. Каков механический смысл интеграла

где у(х, у, z)V — непрерывная функция в области V? Напишите формулы для вычисления координат центра тяжести тела V, объемная плотность которого γ=γ(x, y, z).
ТЕМА XVI. КРИВОЛИНЕЙНЫЕ И ПОВЕРХНОСТНЫЕ ИНТЕГРАЛЫ
1. Криволинейные интегралы; их определение, свойства и приложения
Литература. [4], гл. XV, § 1, 2, упр. 1, 3, 6, 7; § 4 «Замечание»; [5], гл. VII, § 9, задачи 2295, 2312, 2323, 2336, 2338, 2343; [9], ч. II, гл. II, § 1, 4.
В [4] рассмотрены два типа криволинейных интегралов — криволинейный интеграл по координатам и криволинейный интеграл по длине дуги. Определение криволинейного интеграла по координатам (интеграла от векторной функции) дано в § 1. Определение криволинейного интеграла по длине дуги приведено в конце § 4 (см. замечание в конце § 4).
2. Формула Грина.
Условные независимости криволинейного
интеграла от пути интегрирования
Литература. [4], гл. XV, § 3, 4; [5], гл. VII, § 9, задачи 2318 (а, б, г), 2322 (а, б), 2328, 2329; [9], ч. II, гл. II, § 2, 3. Криволинейный интеграл

зависит, вообще говоря, не только от подынтегрального выражения, начальной и конечной точек пути интегрирования, но и от самого пути интегрирования. Однако для большого и важного класса подынтегральных выражений криволинейный интеграл (1) оказывается независящим от пути интегрирования или, что равносильно, интеграл (1), взятый по любому замкнутому контуру L, лежащему в рассматриваемой области D, оказывается равным нулю.
Пусть функции Х(х, у), Y(x, у) вместе со своими частными производными и непрерывны в и. Тогда для того чтобы криволинейный интеграл (1) по любому замкнутому контуру L, лежащему в D, был равен нулю, необходимо и достаточно выполнения равенства = во всех точках области D. В этом случае выражение Xdx+Ydy является в области D полным дифференциалом некоторой функции U(x, у), т. е. Xdx+Ydy=dU. Здесь существенно, что рассматриваемая область D является односвязной (односвязной называется такая область, для которой любой расположенный в ней замкнутый контур можно путем непрерывной деформации стянуть в точку, не выходя за пределы области). Если область D не является односвязной, то выполнение в ней всех остальных указанных выше условий не влечет за собой равенство нулю криволинейного интеграла (1) по любому замкнутому контуру L в D.
Пример. Пусть область D представляет собой кольцо, заключенное между окружностями с радиусами R и r и центром в начале координат О, a L — окружность с тем же центром и радиусом a(r<a<R) (рис. 3). Окружность L, очевидно, принадлежит области D; ее можно задать в параметрической форме уравнениями x=acost, y=asint, причем если обходить эту окружность в положительном направлении (против часовой стрелки), то параметр возрастает от 0 до 2π. Тогда

Криволинейный интеграл по замкнутому контуру L оказался не равным нулю, хотя функции и их частные производные и непрерывны и = во всей области D (проверьте!). Здесь дело в том, что область D неодносвязна (окружность L не может быть непрерывной деформацией стянута в точку, если не выходить за пределы кольца).
Если вместо кольца рассматривать круг радиуса R, то эта область окажется односвязной; в этом случае функции X, Y и их частные производные не являются непрерывными в этой области (непрерывность нарушается в точке О).
3. Поверхностные интегралы
Литература. [4], гл. XV, § 5, 6, упр. 24, 26; [5], гл. VII, § 10, задачи 2347-2351; [9], ч. II, гл. II, § 5.
Вопросы для самопроверки
1. Что называется криволинейным интегралом по координатам? Сформулируйте известные вам свойства криволинейного интеграла.
2. Что называется криволинейным интегралом по длине дуги плоской кривой?
3. Выведите формулу для вычисления криволинейного интеграла по кривой, заданной параметрическими уравнениями.
4. Как вычисляется криволинейный интеграл по кривой, заданной уравнением y=f(x) или x=φ(y)?
5. Выведите формулу для вычисления площади плоской фигуры с помощью криволинейного интеграла.
6. Выведите формулу Грина.
7. Выведите условия независимости криволинейного интеграла от пути интегрирования.
8. Что называется поверхностным интегралом? Напишите формулу для его вычисления.
ТЕМА XVII. ВЕКТОРНЫЙ АНАЛИЗ
1. Скалярное и векторное поле. Градиент скалярного поля. Циркуляция, поток, дивергенция и ротор векторного поля
Литература. [5], гл. VII, §12; [4], гл. VIII, §15; гл. XV, §1 от «Замечания», № 2 (п. 2), §5 (определение потока векторного поля), §7 (определение вихря или ротора векторного поля), §8 (определение дивергенции векторного поля), упр. 9—19; [5], §12, задачи 2371—2374, 2388, 2391, 2394; [9], ч. II, гл. II, § 6.
Пример 1. Найти поток векторного поля F=x2
i
+xj
+xzk через верхнюю сторону поверхности а, являющейся частью параболоида вращения у=z2
+x2
, расположенной в первом октанте между плоскостями у=0 и у =1 (рис. 4).
Решение. Выбор стороны на поверхности σ равносилен выбору направления нормального вектора n в любой ее точке; для верхней стороны σ угол (n, z) между n и осью Оz удовлетворяет условию 0≤(n, z)≤π/2, т.е. cos(n, z)≥0. Согласно условиям,

Переходя в правой части равенства (1) от поверхностных интегралов к двойным, получаем

где Dyz
, Dzx
, Dxy
— проекции поверхности о соответственно на плоскости уОz, хОz, хОу.
В первом интеграле мы положили х2
=у—z2
, а в третьем (из уравнения параболоида). Знаки же перед двойными интегралами определены из того, что cos (n, х)≥0, cos (n, у)≤0, cos(n, z)≥0.
Вычислим двойные интегралы:

Подставляя найденные значения интегралов в формулу (2), полу« чаем
П = 4/15— 1/3 + 2/15= 1/15.
Замечание. Знак cos(n, z) в данной задаче определяется тем, что берется верхняя сторона поверхности σ, а при определении знаков cos (n, x) и cos(n, y) мы исходим из наглядных соображений (рис. 4). Правильность выбора знаков можно проверить с помощью формулы

определяющей единичный нормальный вектор n к поверхности φ(х, у, z)=0. В данном случае φ=x2
-y2
+z2
=0, следовательно,
,
откуда

По условию задачи, z≥0 и cos(n, z)≥0, поэтому в последней формуле, а значит, и в формуле, определяющей n, следует взять знак « + ». Но тогда

так как, по условию задачи, x≥0, и

Вопросы для самопроверки
1. Что называется скалярным полем, поверхностями и линиями уровня скалярного поля?
2. Что называется векторным полем? Дайте определение векторных линий и напишите их дифференциальные уравнения.
3. Что называется линейным интегралом векторного поля? Что такое циркуляция векторного поля? Приведите пример ее вычисления.
4. Что называется потоком векторного поля? Напишите формулу для его вычисления. Приведите пример на применение этой формулы.
5. Что называется ротором векторного поля? Приведите пример его вычисления.
6. Что называется дивергенцией векторного поля? Приведите пример на ее вычисление.
2. Формула Стокса
Литература. [4], гл. XV, § 7, упр. 31—33; [5], гл. VII, § 10 (п. 3°), § 12 (п. 5°), задачи 2357—2359; [9], ч. II, гл. II, § 6.
Пример 2. Найти циркуляцию векторного поля F=(х-2z)i+(x+3y+z)j+(5х+у)k по контуру треугольника ABC; где A(1; 0; 0), В(0; 1; 0), С(0; 0; 1) (рис. 5).
Решение. Используем формулу Стокса

где направление обхода контура λ должно быть положительным. Находим:

В качестве о возьмем треугольник ABC, который расположен на плоскости х+у+z=1; берем верхнюю сторону этого треугольника (нормальный вектор n выходит из выбранной стороны поверхности; см. рис. 5).
По формуле (3) последовательно находим (к — контур треугольника ABC; направление обхода по К указано на рис. 5):

здесь (rot F)x
, (rot F)y
, (rot F)z
— координаты вектора rot F, т. е, его проекции на оси координат.
3. Формула Остроградского
Литература. [4], гл. XV, § 8, упр. 34—41; [5], гл. VII, § 11, 12 (п. 4), задачи 2363—2367; [9], ч. II, гл. II, § 6.
Пример 3. Найти поток векторного поля P=х2
i
+xj
+xzk
через внешнюю сторону замкнутой поверхности σ, расположенной в первом октанте и образованной частями параболоида вращения у=z2
+x2
и следующих плоскостей: у=1, х=0, z=0 (см. рис. 4).
Решение. Используем формулу Остроградского

где n — внешняя нормаль поверхности σ. Находим

По формуле (4) получаем

4. Потенциальные и соленоидальные векторные поля
Литература. [4], гл. XV, § 9, п. 4, о; [5], гл. VII, § 12 '(п. 6°), задачи 2397—2400.
Векторное поле F=Xi+Yj+Zk называется потенциальным
, если F = grad u, где u=u(х, у, z)—скалярная функция (потенциал поля). Потенциал поля обычно находят по формуле

где M0
(x0
; y0
; z0
) - фиксирования точка рассматриваемой области.
Формула (5) получается в результате вычисления интеграла

по ломаной M0
M1
M2
M (рис. 6), звенья которой параллельны осям координат (предполагается, что эта ломаная принадлежит рассматриваемой односвязной области).

является потенциальным. Найти его потенциал.
Решение. Находим

Отсюда следует, что данное поле — потенциальное.
Потенциал поля и(x, у, г) находим по формуле (5):

где 
Векторное поле F называется соленоидальным, если в каждой точке поля divF=0. Так, например, векторное поле

является соленоидальным, так как для него

5. Операторы Гамильтона и Лапласа
Литература. [4], гл. XV, § 9, упр. 20, 43; [5], гл. VII, § 12, п 2°, 6°.
Дополнительные сведения по векторному анализу можно найти в пособии: Смирнов В. И. Курс высшей математики. — М.: Наука, 1974, т. II, гл. IV, § 11.
Вопросы для самопроверки
1. Выведите формулу Стокса и напишите ее в векторной форме.
2. Выведите формулу Остроградского и напишите ее в векторной форме.
3. Какое поле называется потенциальным? Что такое потенциал этого поля? В чем состоит необходимое и достаточное условие потенциальности поля?
4. Напишите формулу для нахождения потенциала U(x, у, z) потенциального поля F=Xdx+Ydy+Zdz. Приведите пример применения этой формулы.
5. Какое поле называется соленоидальным? Приведите пример.
6. Какая функция называется гармонической? Приведите пример.
7. Что такое оператор Гамильтона? Обоснуйте записи: .
8. Докажите, что rot(grad u)=0. Запишите это равенство с помощью оператора Гамильтона.
9. Что называется оператором Лапласа? Выведите формулу

10. Что называется уравнением Лапласа? Как называется функция, удовлетворяющая этому уравнению?
11. Запишите оператор Лапласа в цилиндрических и сферических координатах.
После изучения тем XV, XVI и XVII выполните контрольную работу 9.
ТЕМА XVIII. РЯДЫ
1. Числовые ряды
Литература. [4], гл. XVI, § 1—6, упр. 8—18; § 7, 8, упр. 21— 29; § 18, 24; [11], гл. 9, § 9.1—9.7; [5], задачи 2485—2490.
Среди достаточных признаков сходимости рядов с положительными членами наиболее эффективным является интегральный признак Коши. Поэтому если другие признаки не позволяют решить вопрос о сходимости или расходимости числового ряда с положительными членами, то следует прибегнуть к интегральному признаку Коши.
Пример. Исследовать на сходимость ряд : а) с помощью признака Даламбера; б) используя интегральный признак.
Решение, а) По условию , следовательно,

т. е. признак Даламбера не позволяет сделать заключения о сходимости или расходимости ряда.
б) Члены данного ряда положительны и убывают; в качестве функции f(x), о которой идет речь в интегральном признаке (см. § 6), возьмем функцию при x≥2; эта функция непрерывна и убывает, причем . Так как

то данный ряд расходится.
Вопросы для самопроверки.
1. Дайте определения сходящегося и расходящегося рядов. Исследуйте сходимость ряда, составленного из членов геометрической прогрессии.
2. Докажите необходимый признак сходимости ряда.
3. Докажите, что отбрасывание конечного числа членов ряда не изменяет его сходимости (расходимости). Покажите, что сумма ряда равна сумме первых его n членов, сложенной с суммой ряда, полученного из данного отбрасыванием этих n членов.
4. Докажите теорему о сравнении рядов с положительными членами. Приведите пример применения этого признака.
5. Докажите признак Даламбера сходимости знакопеременных рядов. Приведите пример применения этого признака.
6. Докажите признак Коши сходимости рядов с положительными членами. Приведите пример применения этого признака.
7. Докажите интегральный признак сходимости ряда Коши. Приведите примеры применения этого признака.
8. Дайте определение абсолютно сходящегося ряда. Докажите, что из абсолютной сходимости ряда следует его сходимость. Сформулируйте свойства абсолютно сходящихся рядов. Приведите прн. меры абсолютно и условно сходящихся рядов.
9. Докажите признак Лейбница сходимости знакочередующихся рядов. Приведите пример на применение этого признака. Покажите, что при замене суммы ряда типа Лейбница суммой первых его членов допускаемая абсолютная погрешность не превосходит модуля первого отброшенного члена.
2. Функциональные ряды
Литература. [4], гл. XVI, § 9—12; [11], гл. 9, § 9.8—9.10; [5], задачи 2510—2520.
3. Степенные ряды
Литература. [4], гл. XVI, § 13—15, 25, упр. 30—33, 35—38; [11], гл. 9, § 9.11—9.13; [5], задачи 2530, 2534, 2535, 2539, 2564— 2567, 2576, 2579, 2580, 2582; [4], гл. XVI, § 16, 17, 19, 20, упр. 44—46, 50, 55, 64, 66, 70, 71, 74, 76, 78, 80; [4], гл. XVI, § 23.
4. Приложения степенных рядов к приближенным вычислениям
Литература. [4], гл. XVI, § 17, 20—22, 26, 27 (замечание 2), упр. 85, 87, 89, 90, 97, 102, 103, 106, 113, 116, 117, 119, 123, 125, 127, 129—132; [11] гл.9, § 9.14.
Ряды часто используют для приближенного вычисления значений функции, интегралов и решения дифференциальных уравнений. Следует обратить внимание на замечание 3 § 7 гл. XVI пособия [4], в котором показано, как оценить погрешность, получающуюся при замене суммы знакочередующегося ряда его частичной суммой (при этом предполагается, что знакочередующийся ряд удовлетворяет условиям теоремы Лейбница); это замечание используется в § 17 и 21. В § 22 гл. XVI следует отметить два метода отыскания частного решения дифференциального уравнения по заданным начальным условиям в виде ряда Тейлора: последовательного дифференцирования и неопределенных коэффициентов. Сумму конечного числа членов этого ряда можно принять за приближенное решение дифференциального уравнения. Такой метод приближенного решения дифференциального уравнения может оказаться малоудобным, если трудно оценить точность вычислений или если требуется отыскивать слишком большое число членов ряда. В этом случае, а также в часто встречающихся на практике случаях, когда требуется найти числовые значения неизвестной функции, определяемой дифференциальным уравнением, только для нескольких определенных значений независимой переменной, применяют численные методы интегрирования дифференциальных уравнений, некоторые из которых были рассмотрены ранее (методы Эйлера и Рунге—Кутта, тема XIII).
Вопросы для самопроверки
1. Дайте определение области сходимости функционального ряда. Приведите примеры рядов с различными областями сходимости.
2. Дайте определение понятия равномерной сходимости последовательности функций. Какой ряд называется равномерно сходящимся?
3. Сформулируйте признак Вейерштрасса абсолютной и равномерной сходимости ряда.
4. Сформулируйте основные свойства равномерно сходящихся рядов.
5. Докажите теорему Абеля о сходимости степенных рядов.
6. Выведите формулу для вычисления радиуса круга сходимости степенного ряда
7. Выведите условия разложимости функции в ряд Тейлора.
8. Разложите функцию y=sinx в степенной ряд и докажите с помощью остаточного члена сходимость полученного ряда к данной функции.
9. Разложите функцию у=еx
в степенной ряд и докажите с помощью остаточного члена сходимость полученного ряда к данной функции.
10. Разложите функцию у=(1+х) в степенной ряд и найдите промежуток сходимости полученного ряда.
11. Сформулируйте теорему об интегрировании степенных рядов и с ее помощью получите разложение в ряд функции y=arctgx.
12. Сформулируйте теорему об интегрировании степенных рядов и с ее помощью получите разложение в ряд функции у=ln(1+х).
13. Сформулируйте теорему о дифференцировании степенных рядов и с ее помощью получите разложение в ряд функции y=cosx.
14. Выведите формулу Эйлера eiy
=cos y+i sin у, исходя из разложения в степенной ряд функции eiy
.
15. Приведите пример оценки точности вычисления суммы знакочередующегося ряда.
16. Приведите пример применения остаточного члена формулы Тейлора (в форме Лагранжа) к оценке точности вычисления с помощью степенного ряда.
17. Изложите метод приближенного вычисления определенных интегралов с помощью рядов. Приведите примеры.
18. Изложите метод приближенного интегрирования дифференциальных уравнений с помощью степенных рядов. Приведите пример.
ТЕМА XIX. РЯДЫ ФУРЬЕ. ИНТЕГРАЛ ФУРЬЕ
Литература. [4], гл. XVII, § I—7, 10 (доказательство можно опустить), 11—16, упр. 1, 4—14.
Тригонометрические ряды играют важную роль в математике как аппарат изучения функций. Это объясняется тем, что для разложения в тригонометрический ряд функция не должна удовлетворять столь жестким требованиям, которые предъявляются к ней при разложении, например, в степенной ряд (в степенные ряды разлагаются даже не все бесконечно дифференцируемые функции). Велико значение тригонометрических рядов в приложениях, где их применяют при решении ряда задач математической физики (например, колебание струны, распространение теплоты), в электротехнике, метрологии и т. д. Чаще всего тригонометрические ряды используют при изучении периодических процессов, поэтому основное внимание в учебнике [4] уделено разложению в ряд Фурье периодических функций (с периодом 2я в § 1—4, с периодом 2/ в § 5); § 6 посвящен разложению в ряд Фурье непериодической функции.
При чтении § 10 полезно сопоставить требования, предъявляемые здесь к разлагаемой функции, с требованиями, которые предъявлялись к ней ранее (см. теорему в конце § 1).
В § 11 (чтение этого параграфа не является обязательным) студент получит представление о приближенном вычислении коэффициентов Фурье и найдет литературу, в которой эти вопросы изложены подробно.
Вопросы для самопроверки
1. Выведите формулы для коэффициентов ряда Фурье.
2. Сформулируйте достаточные условия разложимости функции в ряд Фурье. Приведите примеры функций, удовлетворяющих и не удовлетворяющих этим условиям.
3. Выведите формулы для коэффициентов ряда Фурье для четных и нечетных функций.
4. Представьте ряд Фурье в комплексной форме.
5. Что называется интегралом Фурье?
6. Дайте определение преобразования Фурье и сформулируйте его основные свойства.
После изучения тем XVIII и XIX выполните контрольную работу 10
.
ТЕМА XX. ЭЛЕМЕНТЫ ТЕОРИИ УРАВНЕНИЙ МАТЕМАТИЧЕСКОЙ ФИЗИКИ
Литература. [4], гл. XVIII, § 1—3, упр. 1—3, 5; [9], ч. II, гл. VI, § 3 (п. 1), задачи 931—933; [4], гл. XVIII, § 4—7, упр. 7, 8, 10; [9], ч. II, гл. VI, § 4 (п. 1), задачи 943, 944; [4], гл. XVIII, § 8—11, упр. 12—16; [9], ч. II, гл. VI, § 4, (п. 2), § 5, задачи 948, 949; [12], гл. 5, § 5, 8.
Вопросы для самопроверки
1. Дайте классификацию уравнений с частными производными второго порядка. Приведите примеры.
2. Выведите уравнение колебаний струны. Сформулируйте краевую задачу о колебаниях струны, закрепленной на концах.
3. Изложите метод Даламбера нахождения решения задачи Коши о колебаниях бесконечной струны.
4. Изложите метод Фурье нахождения решения краевой задачи о колебаниях струны, закрепленной на концах.
5. Выведите уравнение распространения теплоты в стержне. Сформулируйте краевую задачу.
6. Изложите метод Фурье для нахождения решения уравнения теплопроводности.
7. Сформулируйте краевые задачи для уравнений Лапласа. Приведите примеры решения уравнения Лапласа методом Фурье
8. Изложите метод сеток для нахождения решения краевых задач. Приведите примеры.
ТЕМА XXI. ЭЛЕМЕНТЫ ТЕОРИИ ФУНКЦИИ КОМПЛЕКСНОГО ПЕРЕМЕННОГО
Литература. [6], гл. I, § 3, 4; [7], гл. I, § 2, задачи 48, 52—56; § 3, задачи 69, 73, 75—77, 8!; [9], ч. II, гл. VII, § 1, задачи 937, 959, 963, 965; § 2, задачи 972, 976—978; [6], гл. I, § 5; [7], гл. I, § 4, задачи 89, 90, 92, 94, 99, 102, 108, 111; § 5, задачи 116—123, 126, 129, 132; [9], ч. II, гл. VII, § 4, задачи 996—1000; [6], гл. 4, § 1, 2; [7], гл. 1, § 6, задачи 158, 163, 166, 198, 201, 203, 205, 208, 209, 212, 216; § 7, задача 221, 223, 228, 236, 237—241, 242, 249; [9], ч. II, гл. VII, § 5, задачи 1010-1017; [6], гл. 5, § 1, 2, п. 1, 2; [7], гл. I, § 8, задачи 270, 27G, 277, 282, 283, 285, 289, 292, 293, 297, 303, 305, 310; [9], ч. II, гл. VII, § 6, задачи 1027—1034.
Вопросы для самопроверки
1. Дайте определения производной н дифференциала функции комплексного переменного.
2. Какая функция называется аналитической? Выведите необходимые и достаточные условия для аналитичности функции.
3. Дайте определение гармонической функции. Какие функции являются сопряженными гармотиескими функциями? Приведите пример.
4. Каков геометрический смысл модуля и аргумента производной функции комплексного переменного?
5. Дайте определение интеграла от функции комплексного переменного и сформулируйте основные его свойства.
6. Сформулируйте основную теорему Коши и приведите примеры ее приложения.
7. Дайте определение ряда Лорана. Что является областью сходимости ряда Лорана? Каковы условия разложимости функции в ряд Лорана?
8. Дайте классификацию изолированных особых точек аналитической функции. Приведите примеры.
9. Дайте определение вычета функции относительно изолированной особой точки. Приведите примеры вычисления вычетов функции.
10. Сформулируйте теорему Коши о вычетах. Приведите примеры приложения теории вычетов.
ТЕМА XXII. ОПЕРАЦИОННОЕ ИСЧИСЛЕНИЕ
Литература. [4], гл. XIX, § 1-9, 11, 13, 19; [9], ч. II, гл. VIII, § 1—3, задачи 1041—1047, 1054—1057, 1061—1065; [4], гл. XIX, § 10, 12, упр. 1—10; [9], г. II, гл. VIII, § 4, задачи 1072— 1078.
Операционным методом удобно решать линейные дифференциальные уравнения с постоянными коэффициентами и системы таких уравнений. Этот метод заключается в преобразовании данного уравнения (или системы), содержащего оригиналы, в уравнение относительно соответствующих изображений, после чего оказывается, что для нахождения изображений достаточно решить простое линейное алгебраическое уравнение (или систему таких уравнений). Затем остается восстановить оригиналы по найденным изображениям. Для успешного применения методов операционного исчисления студенту нужно уметь свободно применять теоремы соответствия операций над оригиналами и изображениями и хорошо знать изображения основных функций. Для этого рекомендуем составить таблицу соответствия операций и таблицу преобразования Лапласа и выучить их наизусть.
Вопросы для самопроверки
I. Дайте определение преобразования Лапласа. Что называется изображением и оригиналом?
2 Могут ли две различные непрерывные функции иметь одно и то же изображение?
3. Если и , то какое изображение имеет af1
(t)+bf2
(t) (а, b-постоянные)? Докажите свойство линейности изображения.
4. Если , то какое изображение имеет e-
αt
f(t)? Докажите теорему смещения.
5. Если (f(t)=0 при t≤0), то какое изображение имеет f(t—1\), ti>Ql Докажите теорему запаздывания.
6. Если , то какое изображение имеет f(at)? Докажите теорему подобия и найдите изображения функций sin at и cos at, считая известными изображения функций sint и cos t (a>0).
7. Докажите теорему о дифференцировании оригинала. Если , то какие изображения имеют f '(t), f''(t), f'''(t) [f '(t), f''(t), f'''(t) существуют при всех t>0]?
8. Если , то какое изображение имеет ? Докажите теорему об интегрировании оригинала. Найдите с помощью этой теоремы изображение функции sin at.
9. Если , то какие оригиналы соответствуют F'(p), F"(p), F'"(p)? Докажите теорему о дифференцировании изображения. Найдите с помощью этой теоремы изображение функции tn
еα
t
, считая известным изображение функции еα
t
.
10. Если и , то какое изображение имеет ? Докажите теорему свертывания, о
I1. Изложите операционный метод решения дифференциальных уравнений с постоянными коэффициентами и их систем. Приведите примеры.
После изучения тем XX—XXII выполните контрольную работу 11
.
ТЕМА XXIII. ТЕОРИЯ ВЕРОЯТНОСТЕЙ
1. Случайные события
Литература. [8], гл. I, § 1—3, задача 6; гл. 2, § 4—5, задачи 1—8, 12, 14—16, 21; гл. 3, § 1—3, задачи 1, 2, 4, 13—16; гл. 4, § 1—3, задачи 1—21; [4J, гл. XX, § 1-6, 8, упр. 1—3, 8, 9, 12, 13; [9], ч. И, гл. V, § 1—4, задачи 776, 777, 792, 794, 809, 815.
Формулу Бернулли ([8], гл. 4, § 2; [4], гл. XX, § 8) практически используют при небольших значениях числа независимых испытаний n. При больших значениях n применяют локальную теорему Муавра—Лапласа
([8], гл. 4, § 3): если вероятность р появления события в каждом испытании постоянна и отлична от нуля и единицы (0<р<1), то вероятность Рn
(m) того, что событие наступит в n независимых испытаниях ровно m раз, приближенно равна (тем точнее, чем больше n)

Здесь функция , причем значение аргумента находят по формуле . Эта функция табулирована, ее таблицы приведены в приложении (табл. 2) учебника [4]. В таблицах помещены только положительные значения аргумента x. Для отрицательных значений x используют те же таблицы, так как рассматриваемая функция — четная.
Пример 1. Вероятность появления события в каждом из независимых испытаний равна 0,7. Найти вероятность того, что событие наступит 1500 раз в 2100 испытаниях.
Решение. По условию, n=2100, m= 1500, р=0,7, q=l—0,7=0,3. Так как n = 2100 достаточно большое число, то воспользуемся локальной теоремой Муавра—Лапласа.
Найдем значение аргумента х:

По таблице функции f(x) находим f(1,43)=0,1435. Искомая вероятность

Если число независимых испытаний n велико (я>100), а вероятность появления события в каждом испытании р мала (р≤0,3), то. для отыскания вероятности того, что в этих испытаниях событие появится m раз, используют приближенную формулу Пуассона
:

где λn
=np
(среднее число появлений события). Эту формулу можно получить из формулы Бернулли, перейдя к пределу при ([8], гл. 4, §3).
Пример 2. Устройство состоит из 1000 элементов, работающих независимо. Вероятность отказа любого элемента в течение времени Т равна 0,002. Найти вероятность того, что за время Т откажут ровно три элемента.
Решение. По условию, n=1000, р=0,002, m=3. Поскольку число n велико, а вероятность p мала и элементы работают независимо, воспользуемся формулой Пуассона. Найдем λn
; λn
=np=1000∙0,002=2. Искомая вероятность

Вопросы для самопроверки
1. Сформулируйте аксиомы теории вероятностей и следствия из них.
2. Дайте классическое определение вероятности В чем состоит различие между вероятностью и относительной частотой?
3. Дайте определение условной вероятности. Какие события называются независимыми'
4. Дайте определение произведения событий. Докажите теоремы умножения.
5. Докажите формулу полной вероятности.
6. Докажите формулу Байеса.
7. Дайте определение последовательности независимых испытаний, изложите схему Бернулли и докажите формулу Бернулли.
8. Сформулируйте локальную теорему Муавра—Лапласа, докажите теорему Пуассона. Когда применяются эти теоремы?
2. Случайные величины
Литература. [8], гл. 5, § 1—6, задачи 2, 4, 6, 7, 9, 11, 16, 17, 20; гл. 6, § 1—5, задачи 8, 10—12, 16—18, 22; [4], гл. XX, § 7, 9—17, упр. 14—26, 30—33; [9], ч. II, гл. V, § 5, 6, 8—10, 14, задачи 826, 827, 830, 838, 852, 878; [8], гл. 7, § 1—6, задачи 1, 5—8, 11, 13, 14—16; [9], ч. II, гл. V, § 12, 13, задачи 864-866, 869, 870.
Особое внимание обратите на теоремы, которые позволяют найти вероятность попадания случайной величины в заданный интервал '([8], гл. 5, § 2, 3; [4], гл. XX, § 12, 13).
Пример 3. Случайная величина X задана функцией распределения.

Найти вероятность того, что в результате испытания случайная величина X примет значение, принадлежащее интервалу (1/4, 1).
Решение. Искомая вероятность равна приращению функции распределения на заданном интервале:
P(l/4<X< l) = F(l)-F(l/4).
Так как на интервале (1/4, 1), по условию, F(x)=x/2, то F(l)—F(l/4) = 1/2—1/8 = 3/8. Итак, Р(1/4<X<1)=3/8.
Пример 4. Случайная величина X задана функцией распределения, приведенной в задаче 3. Требуется: а) найти плотность распределения вероятностей; б) используя плотность распределения вероятностей, найти вероятность того, что в результате испытания случайная величина X примет значение, принадлежащее интервалу (1/4, 1).
Решение. а) Найдем плотность распределения вероятностей Рх
(х), для чего продифференцируем по х интегральную функцию F(x);

б) Искомая вероятность того, что в результате испытания случайная величина X примет значение, принадлежащее интервалу (1/4, 1), равна определенному интегралу в пределах от 1/4 до 1 от плотности распределения вероятностей:

Рекомендуется самостоятельно построить графики функции распределения и плотности распределения вероятностей. Заметим, что в [4] плотность распределения вероятностей Рх
(х) обозначается через f(x).
Понятия математического ожидания, дисперсии и среднего квадратического отклонения принадлежит к числу наиболее важных, поэтому решению задач на усвоение этих понятий необходимо уделить особое внимание.
Пример 5. Найти математическое ожидание, дисперсию и среднее квадратическое отклонение дискретной случайной величины X, заданной следующим законом распределения:
Решение. Найдем искомое математическое ожидание:
M(X)=x1
p1
+x2
p2
=1∙0,2+2∙0,8=1,8
Запишем закон распределения X2
i
Найдем математическое ожидание Х2
:
M(X2
)=x2
1
p1
+x2
2
p2
=1∙0,2+4∙0,8=3,4.
Найдем искомую дисперсию: D(X) = М (X2
) — [М(X)]2
= 3,4 — (1,8)2
= 3,4 — 3,24 = 0,16.
Найдем искомое среднее квадратическое отклонение:

Пример 6. Дискретная случайная величина X имеет только два возможных значения: х1
и х2
причем x1
<x2
. Найти закон распределения величины X, если известно, что М(Х)=1,4, D(X)=0,24 и вероятность p1
того, что X примет значение x1
, равна 0,6.
Решение. Сумма вероятностей всех возможных значений X равна единице, поэтому вероятность р2
того, что X примет значение x2
, равна 1—0,6=0,4.
Запишем закон распределения X:
Для отыскания x1 и x2 составим два уравнения. Учитывая, что, по условию, М(Х)=1,4 запишем первое из уравнений:
0,6x1
+0,4x2
=1,4.
Принимая во внимание, что, по условию, D(X)=0,24, и используя формулу
D(X)=M(X2
)-[M(X)]2
,
напишем второе уравнение:
0,24 = 0,6x2
1
+ 0,4x2
2
— (1,4)2
, или 0,6x2
1
+0,4x2
2
=2,2.
Решив систему уравнений, найдем два решения: x1
=1, x2
=2 и x1
=1,8, x2
=0,8. По условию, x1
<х2
, поэтому задаче удовлетворяет только первое решение. Таким образом, искомый закон распределения имеет вид
При решении задач на отыскание дисперсии непрерывной случайной величины часто вместо формулы

выгодно использовать равносильную формулу

(Аналогичное замечание относится и к случаю, когда пределы интегрирования бесконечны.) Рекомендуем вывести эту формулу самостоятельно (в порядке упражнения). Для того чтобы из первой формулы получить вторую, надо возвести в квадрат разность, стоящую под знаком интеграла, и разбить полученный интеграл на три интеграла; затем следует вынести за знак интеграла постоянные величины (математическое ожидание есть постоянная величина) и принять во внимание, что по определению математического ожидания непрерывной случайной величины; ([8], гл. 5, §3; [4], гл. XX, § 12).
При решении задач полезно иметь в виду, что если кривая распределения (график функции Рх
(х) симметрична относительно прямой x=с, то математическое ожидание равно с.
Пример 7. Непрерывная случайная величина X задана плотностью вероятности Рх
(х)=(1/2)sinx в интервале (0, π); вне этого интервала Рх
(х)=0. Найти математическое ожидание и дисперсию X.
Решение. Заданная кривая распределения симметрична относительно прямой х=π/2, поэтому М(Х)— π/2. Дисперсию найдем по формуле

Подставив в нее М(Х)= π/2, а=0, b=π, Рх
(х)=(1/2)sinx, получим

Дважды интегрируя по частям, найдем

Учитывая этот результат, получаем искомую дисперсию D(X)=(π2
-8)/4.
Весь материал, относящийся к нормальному распределению ([8], гл. 5, § 2, 3, гл. 6, § 2, 3; [4], гл. XX, § 15—17), должен быть изучен основательно, так как на практике нормально распределенные случайные величины встречаются очень часто.
Вопросы для самопроверки
1. Дайте определение случайной величины. Приведите примеры.
2. Дайте определение функции распределения случайной величины и докажите ее свойства.
3. Дайте определение плотности распределения вероятностей и докажите ее свойства.
4. Дайте описания дискретных и непрерывных распределений: биномиального, пуассоновского, геометрического, гипергеометрического, нормального, показательного, равномерного.
5. Как найти вероятность попадания случайной величины в заданный интервал, если она распределена по нормальному или показательному закону?
6. Дайте определение многомерной функции распределения случайного вектора и рассмотрите совместные распределения двух случайных величин.
7. Как найти вероятность попадания пары случайных величин в заданный прямоугольник?
8. Сформулируйте теоремы о независимых случайных величинах. Что представляет собой распределение суммы независимых случайных величин?
9. Дайте определение математического ожидания случайной величины и докажите его свойства.
10. Дайте определение дисперсии случайной величины и докажите ее свойства.
11. Дайте определение среднего квадратического отклонения случайной величины и укажите его преимущества по сравнению с дисперсией.
12. Что такое ковариация двух случайных величин? Что называется коэффициентом корреляции и каковы его свойства?
13. Докажите неравенство Чебышева. Сформулируйте теорему Чебышева.
14. Что называется характеристическими функциями случайной величины? Сформулируйте их свойства.
15. Сформулируйте центральную предельную теорему и теорему Ляпунова.
3. Цепи Маркова
Литература. [8], гл. 8, § 1—3, задачи 1—6, 8, 9.
Цепью Маркова
называют последовательность испытаний, в каждом из которых система принимает одно из k
состояний, образующих полную группу, причем условная вероятность Pij
(s) того, что в s-м испытании система будет находиться в состоянии j, при условии, что в (s—1)-м испытании она находилась в состоянии i, не зависит от результатов остальных, ранее произведенных испытаний.
Однородной
называют цепь Маркова, если условная вероятность pij
(s) появления событий А, в s-м испытании при условии, что в предшествующем (s—1)-м испытании наступило событие At
, не зависит от номера испытания (или, что то же, от времени). Поэтому вместо pij
(s) пишут просто рij
.
Вероятностью перехода
(или переходной вероятностью
) pij
называют условную вероятность того, что из состояния i (в котором система оказалась в результате некоторого испытания, безразлично с каким номером) в итоге следующего испытания система перейдет в состояние j. Таким образом, в обозначении рij
; первый индекс указывает номер предшествующего, а второй — номер последующего состояния. Например, р11
— вероятность «перехода» из первого состояния в первое; p23
— вероятность перехода из второго состояния в третье.
Пусть число всех возможных состояний конечно и равно k
.
Матрицей перехода системы
называют матрицу, которая содержит все переходные вероятности этой системы:

В каждой строке матрицы помещены вероятности событий (перехода системы из состояния i в состояние j), которые образуют полную группу, поэтому сумма вероятностей этих событий равна единице:

Обозначим через pi
j
(n) вероятность того, что в результате n шагов (испытаний) система перейдет из состояния i в состояние j. Например, р25
(10)—вероятность перехода за 10 шагов из второго состояния в пятое. Отметим, что при n=1 получаем переходные вероятности pij
(1)=pij
.
Поставим задачу: зная переходные вероятности рij
, найти вероятности pij
(n) перехода системы из состояния i в состояние j за n шагов. Для этого введем промежуточное (между i и j) состояние r. Другими словами, будем считать, что из первоначального состояния i за m шагов система перейдет в промежуточное состояние r с вероятностью pi
j
(m), после чего за оставшиеся n—м шагов из промежуточного состояния r она перейдет в конечное состояние j с вероятностью рij
(n—m). По формуле полной вероятности получаем

Эту формулу называют равенством Маркова
.
Покажем, что, зная все переходные вероятности pij
=pij
(1), т. е. зная матрицу Р1
перехода из состояния в состояние за один шаг, можно найти вероятности рij
(2) перехода из состояния в состояние за два шага, а следовательно, и саму матрицу перехода Р2
; по известной матрице Р2
можно найти матрицу Р3
перехода из одного состояния в другое состояние за три шага и т. д. Действительно, полагая n=2, m=1 в равенстве Маркова, получим

или

С помощью этой формулы можно найти все вероятности pij
(2), а следовательно, и саму матрицу Р2
. Так как матричное исчисление ведет к цели быстрее, запишем вытекающее из полученной формулы соотношение в матричной форме:

Полагая n=3, m=2, аналогично получим

В общем случае Рn
= Рπ
1
Пример 8. Задана матрица перехода

Найти матрицу перехода

Решение. Воспользуемся формулой :

Перемножив матрицы, окончательно получим

Вопросы для самопроверки
1. Дайте определение цепи Маркова и сформулируйте ее основные свойства.
2. Что называется переходной вероятностью (вероятностью перехода)?
3. Что называется стационарным распределением?
4. Сформулируйте теорему о предельных вероятностях.
ТЕМА XXIV. ЭЛЕМЕНТЫ МАТЕМАТИЧЕСКОЙ СТАТИСТИКИ
Литература. [8], гл. 9, § 1—8, задачи 1, 7—10 18, 20; [4], гл. XX, § 27—30, упр. 34-38; [9], ч. II, гл. V, § 16, задача 891; [8], гл. 10, § 1—5, задачи 1—3, 8.
Оценки, которые определяются одним числом, называют точечными
. Например, выборочная (статистическая) средняя и выборочная (статистическая) дисперсия — точечные оценки. При малом числе наблюдений эти оценки могут приводить к грубым ошибкам. Чтобы избежать этих ошибок, используют интервальные
оценки, которые определяются двумя числами — концами интервала (в котором заключена оцениваемая величина с заданной вероятностью). Таким образом, задача сводится к отысканию такого интервала (его называют доверительным
), который с заданной вероятностью (ее называют надежностью
) покрывает оцениваемый параметр. Наиболее часто надежность принимают равной 0,155 или 0,99, или 0,999.
В частности, при надежности γ=0,95 доверительный интервал для оценки математического ожидания а нормального распределения (по выборочной средней выборки объема n, при известном σ) находят по формуле

В обозначениях [4] (гл. XX, § 29) формула принимает вид

Если доверительный интервал найден, то с надежностью 0,95 Можно считать, что оцениваемый параметр заключен в этом интервале.
Пример 1. Найти доверительный интервал для оценки математического ожидания а нормального распределения с надежность» 0,95, зная выборочную среднюю =10,43 (статистическую среднюю m*
x
), объем выборки (число наблюдений) n=100 и среднее квадратическое отклонение σ=5.
Решение. Воспользуемся формулой

Подставляя данные, получаем
10,43 — 1,96- (5/10) < а < 10,43 + 1,96- (5/10),
или окончательно 9,45<а< 11,41.
Вопросы для самопроверки
1. Что называется выборкой? Напишите формулу для вычисления выборочной средней.
2. Какие оценки называются точечными? Дайте определения несмещенной и состоятельной оценок.
3. Какие оценки являются интервальными? В каких случаях следует использовать интервальную оценку?
4. Для чего служит метод наибольшего правдоподобия? Как им пользоваться для дискретных и непрерывных случайных величин?
5. Как найти доверительные интервалы для оценки, математического ожидания нормального распределения?
6. Дайте определение статистической гипотезы, приведите примеры статистической проверки гипотез.
7. Дайте определение случайного процесса. Что называется реализацией (или траекторией) случайного процесса? Какой процесс называется процессом с независимыми приращениями? Изложите сущность пуассоновского процесса.
После изучения тем XXIII и XXIV выполните контрольную работу 12
.
ЗАДАЧИ ДЛЯ КОНТРОЛЬНЫХ ЗАДАНИЙ
1. Элементы векторной алгебры и аналитической геометрии
1 — 10. Даны векторы а(a1; а2; а3), b(b1; b2; b3), c(c1; с2; с3) и d(d1; d2; d3) в некотором базисе. Показать, что векторы а, Ь, с образуют базис и найти координаты вектора d в этом базисе.

11—20. Даны координаты вершин пирамиды A1
A2
A3
A4
. Найти 1) длину ребра А1
А2
; 2) угол между ребрами A1
A2
и A1
A4
; 3) угол между ребром A1
A4
и гранью A1
A2
A3
; 4) площадь грани А1
А2
А3
5) объем пирамиды; 6) уравнения прямой A1
A2
7) уравнение плоскости A1
A2
A3
; 8) уравнения высоты, опущенной из вершины A4
на грань A1
A2
A3
. Сделать чертеж

21. Уравнение одной из сторон квадрата х+3у—5=0. Составить уравнения трех остальных сторон квадрата, если Р(—1; 0)—точка пересечения его диагоналей. Сделать чертеж.
22. Даны уравнения одной из сторон ромба х—3y+10= и одной из его диагоналей х+4у—4=0, диагонали ромба пересекаются в точке Р(0; 1). Найти уравнения остальных сторон ромба. Сделать чертеж.
23. Уравнения двух сторон параллелограмма x+2y+2=0 и x+y—4=0, а уравнение одной из его диагоналей х—2=0. Найти координаты вершин параллелограмма. Сделать чертеж.
24. Даны две вершины A(-3; 3) и B(5; —1) и точка C(4; 3) пересечения высот треугольника. Составить уравнения его сторон. Сделать чертеж.
25. Даны вершины А(—3; —2), В(4; —1), С(1; 3) трапеции ABCD (AD||BC). Известно, что диагонали трапеции взаимно перпендикулярны. Найти координаты вершины D этой трапеция. Сделать чертеж.
26. Даны уравнения двух сторон треугольника 5х—4у+5=0 и 4х+у—9=0. Его медианы пересекаются в точке Р(0, 2). Составить уравнение третьей стороны треугольника. Сделать чертеж.
27. Даны две вершины А (2; —2) и 5(3; —1) и точка Р(1; 0) пересечения медиан треугольника ABC. Составить уравнение высоты треугольника, проведенной через третью вершину С. Сделать чертеж.
28. Даны уравнения двух высот треугольника х+у=4 и y=2x и одна из его вершин А(0; 2). Составить уравнения сторон треугольника. Сделать чертеж.
29. Даны уравнения двух медиан треугольника х—2у+1=0 и у—1=0 и одна из его вершин A(1; 3). Составить уравнения его сторон. Сделать чертеж.
30. Две стороны треугольника заданы уравнениями 5х—2у—8=0 и 3х—2у—8=0, а середина третьей стороны совпадает с началом координат. Составить уравнение этой стороны. Сделать чертеж.
31. Составить уравнение и построить линию, расстояния каждой точки которой от начала координат и от точки А(5; 0) относятся как 2:1.
32. Составить уравнение и построить линию, расстояние каждой точки которой от точки А(—1; 0) вдвое меньше расстояния ее от прямой х=-4.
33. Составить уравнение и построить линию, расстояния каждой точки которой от точки A(2; 0) и от прямой 5x+8=0 относятся, как 5:4.
34. Составить уравнение и построить линию, каждая точка которой находится вдвое дальше от точки А(4; 0), чем от точки В(1; 0),
35. Составить уравнение и построить линию, расстояния каждой точки которой от точки A(2; 0) и от прямой 2x+5=0 относятся, как 4:5.
36. Составить уравнение и построить линию, расстояние каждой точки которой от точки А(3; 0) вдвое меньше расстояния от точки B(26; 0).
37. Составить уравнение и построить линию, каждая точка которой одинаково удалена от точки A(0; 2) и от прямой y—4=0.
38. Составить уравнение и построить линию, каждая точка которой равноотстоит от оси ординат и от окружности х2+у2=Ьк.
Замечание. Напомним, что за расстояние от точки А до фигуры Ф принимается наименьшее из расстояний между точкой A и точками фигуры Ф.
39. Составить уравнение и построить линию, каждая точка которой равноудалена от точки Л (2; 6) и от прямой y+2 = 0.
40. Составить уравнение и построить линию, каждая точка которой отстоит от точки A(—4; 0) втрое дальше, чем от начала координат.
41—50. Линия задана уравнением r=r(φ) в полярной системе координат. Требуется: 1) построить линию по точкам начиная от φ=0 до φ=2π и придавая φ значения через промежуток π/8; 2) найти уравнение данной линии в декартовой прямоугольной системе координат, у которой начало совпадает с полюсом, а положительная полуось абсцисс — с полярной осью; 3) по уравнению в декартовой прямоугольной системе координат определить, какая это линия.

2. Элементы линейной алгебры
51—60. Дана система линейных уравнений

Доказать ее совместность и решить двумя способами: 1) методом Гаусса; 2) средствами матричного исчисления.


61—70. Даны два линейных преобразования:

Средствами матричного исчисления найти преобразование, выражающее х1
", х2
", х3
" через х1
, х2
, х3
.


71—80. Найти собственные значения и собственные векторы линейного преобразования, заданного в некотором базисе матрицей А,


81—90. Используя теорию квадратичных форм, привести к каноническому виду уравнение линии второго порядка.

91—100. Дано комплексное число r. Требуется: 1) записать число z в алгебраической и тригонометрической формах; 2) найти все корни уравнения ω3
+r=0.

3. Введение в математический анализ
101—105. Построить график функции у=Аsin(ax+b) преобразованием графика функции y=sinx.

106—110. Построить график функции y=Acos(ax+b) преобразованием графика функции y=cosx,

111—120. Найти пределы функций, не пользуясь правилом Лопиталя.


121—130. Задана функция y=f(x) и два значения аргумента x1
и x2
. Требуется: 1) установить, является ли данная функция непрерывной или разрывной для каждого из данных значений аргумента; 2) в случае разрыва функции найти ее пределы в точке разрыва слева и справа; 3) сделать схематический чертеж.

131—140. Задана функция y=f(x). Найти точки разрыва функции, если они существуют. Сделать чертеж.


4. Производная и её приложения
141-150. Найти производные dy/dx данных функций.


151-160. Найти для заданных функций a) y=f(x); б) x=φ(t) y=ψ(t)


161—170. Применяя формулу Тейлора с остаточным членом в форме Лагранжа к функции , вычислить значение с точностью до 0,001.
161. 162. 163.
164. 165. 166.
167. 168. 169.
170.
171—180. Найти наибольшее и наименьшее значения функции y=f(x) на отрезке [а; b].

181. Требуется изготовить из жести ведро цилиндрической формы без крышки данного объема V. Каковы должны быть высота ведра и радиус его дна, чтобы на его изготовление ушло наименьшее количество жести?
182. Равнобедренный треугольник, вписанный в окружность радиуса R, вращается вокруг прямой, которая проходит через его вершину параллельно основанию. Какова должна быть высота этого треугольника, чтобы тело, полученное в результате его вращения, имело наибольший объем?
183. Прямоугольник вписан в эллипс с осями 2а и 2b. Каковы должны быть стороны прямоугольника, чтобы его площадь была наибольшей?
184. Найти радиус основания и высоту цилиндра наибольшего объема, который можно вписать в шар радиуса R.
185. Найти радиус основания и высоту конуса наименьшего объема, описанного около шара радиуса R.
188. При каких линейных размерах закрытая цилиндрическая банка данной вместимости V будет иметь наименьшую полную поверхность?
187. Окно имеет форму прямоугольника, завершенного полукругом. Периметр окна равен а. При каких размерах сторон прямоугольника окно будет пропускать наибольшее количество света?
188. В точках А и В, расстояние между которыми равно а, находятся источники света соответственно с силами F1
и F2
. На отрезке АВ найти наименее освещенную точку М0
.
Замечание. Освещенность точки источником света силой F обратно пропорциональна квадрату расстояния r ее от источника света E=k
F/r2
, k
=const.
189. Из круглого бревна, диаметр которого равен d, требуется вырезать балку прямоугольного поперечного сечения. Каковы должны быть ширина и высота этого сечения, чтобы балка оказывала наибольшее сопротивление на изгиб.
Замечание. Сопротивление балки на изгиб пропорционально произведению ширины x ее поперечного сечения на квадрат его высоты y Q=kxy2
, k
=const.
190. Требуется изготовить открытый цилиндрический бак данного объема V. Стоимость квадратного метра материала, идущего на изготовление дна бака, равно р1
руб, а стенок — р2
руб. Каковы должны быть радиус дна и высота бака, чтобы затраты на материал для его изготовленья были наименьшими.
5. Приложения дифференциального исчисления
191—210. Исследовать методами дифференциального исчисления функцию y=f(x) и, используя результаты исследования, построить ее график.

211—220. Найти уравнения касательной, уравнение нормальной плоскости и вычислить кривизну линии r=r(t) в точке t0
.


221—230. Определить количество действительных корней уравнения x3
+ax+b=0, отделить эти корни и, применяя метод хорд и Касательных, найти их приближенное значение с точностью 0,01.

6. Дифференциальное исчисление функций нескольких переменных
231-240. Дана функция . Показать, что 
231.
232.
233.
234.
235.
236.
237. 
238. 
239. 
240. 
241—250. Дана функция и две точки и . Требуется: 1) вычислить значение в точке ; 2) вычислить приближённое значение функции в точке , исходя из значения функции в точке и заменив приращение функции при переходе от точки к точке дифференциалом; 3) оценить в процентах относительную погрешность, получающуюся при замене приращения функции её дифференциалом; 4) составить уравнение касательной плоскости в точке
241.
242.
243.
244.
245.
246. 
247. 
248. 
249. 
250. 
251-260. Найти наименьшее и наибольшее значения функции в замкнутой области , заданной системой неравенств. Сделать чертёж.
251. 
252. 
253. 
254. 
255. 
256. 
257. 
258. 
259. 
260. 
261-270. Даны функция , точка и вектор . Найти: 1) grad z
в точке ; 2) производную в точке по направлению вектора a.
261. 
262. 
263. 
264. 
265. 
266. 
267. 
268. 
269. 
270. 
271-280. Экспериментально получены пять значений функции при пяти значениях аргумента, которые записаны в таблице:
| x
|
1
|
2
|
3
|
4
|
5
|
| y
|
y
1
|
y
2
|
y
3
|
y
4
|
y
5
|
Методом наименьших квадратов найти функцию вида , выражающую приближенно (аппроксимирующую) функцию . Сделать чертёж, на котором в декартовой прямоугольной системе координат построить экспериментальные точки и график аппроксимирующей функции .
271. 
272. 
273. 
274. 
275. 
276. 
277. 
278. 
279. 
280. 
7. Неопределенный и определенный интегралы
281—290. Найти неопределенные интегралы. В п. а) и б) результаты проверить дифференцированием.


291—300. Вычислить приближенное значение определенного интеграла c помощью формулы Симпсона, разбив отрезок интегрирования на 10 частей. Все вычисления производить с округлением до третьего десятичного знака.

301—310. Вычислить несобственный интеграл или доказать его расходимость.


311. Вычислить площадь фигуры, ограниченной параболой у=3х2
+1 и прямой у=3х+7.
312. Вычислить площадь фигуры, ограниченной одной аркой циклоиды x=a(t—sin t), y—a(l—cos t) (0≤t≤2π) и осью Ох
.
313. Вычислить площадь фигуры, ограниченной кардиоидой r=3(l+cosφ).
314. Вычислить площадь фигуры, ограниченной четырехлепестковой розой r=4sin2φ.
315. Вычислить объем тела, образованного вращением вокруг оси Ох
фигуры, ограниченной параболами y=x2
и y=√x.
316. Вычислить объем тела, образованного вращением вокруг оси Ох
фигуры, ограниченной полуэллипсом , параболой и осью Oy
.
317. Вычислить объем тела, образованного вращением вокруг оси Оу
фигуры, ограниченной кривыми у=2/(1+х2
) и у=х2
.
318. Вычислить длину дуги полукубической параболы от точки А (2; 0) до точки В (6; 8).
319. Вычислить длину кардиоиды r=3(l—cosφ).
320. Вычислить длину одной арки циклоиды x=3(t—sint), y=3(1—cost) (0≤t≤2π).
8. Дифференциальные уравнения
321—340. Найти общее решение дифференциального уравнения.

341—350. Найти частное решение дифференциального уравнения у"+py'+qy=f(x), удовлетворяющее начальным условиям y(0)=у0
, у'(0)=y'0
.

351—360. Дана система линейных дифференциальных уравнений с постоянными коэффициентами

Требуется: 1) найти общее решение системы с помощью характеристического уравнения; 2) записать данную систему и ее решение в матричной форме.


361. Материальная точка массой m=2 г погружается в жидкость, сила сопротивления которой пропорциональна скорости погружения с коэффициентом пропорциональности k=0,002 кг/с. Найти скорость точки через 1 с после начала погружения, если в начальный момент она была равна нулю.
362. Моторная лодка двигалась в спокойной воде со скоростью v
0
=12 км/ч. На полном ходу ее мотор был выключен и через 10 c скорость лодки уменьшилась до v
1
=6 км/ч. Сила сопротивление воды пропорциональна скорости движения лодки. Найти скорость лодки через 1 мин после остановки мотора.
363. Пуля, двигаясь со скоростью v
0
=400 м/с, ударяется о достаточно толстую стену и начинает углубляться в нее, испытывая силу сопротивления стены; эта сила сообщает пуле отрицательное ускорение, пропорциональное квадрату ее скорости с коэффициентом пропорциональности k=7 м-1
. Найти скорость пули через 0,001 с после вхождения пули в стену.
364. Материальная точка массой m=1 г движется прямолинейно. На нее действует сила в направлении движения, пропорциональная времени с коэффициентом пропорциональности k1
=2∙10-5
кг∙м/с3
, и сила сопротивления среды, пропорциональная скорости с коэффициентом пропорциональности k2
=0,003 кг/с. Найти скорость точки через 3 с после начала движения, если начальная скорость точки была равна нулю.
365. В сосуде 100 л водного раствора соли В сосуд втекает чистая вода со скоростью q=5 л/мин, а смесь вытекает с той же скоростью, причем перемешивание обеспечивает равномерную концентрацию раствора. В начальный момент в растворе содержалось m0
=10 кг соли. Сколько соли будет содержаться в сосуде через 20 мин после начала процесса?
366. Кривая проходит через точку А (2; —1) и обладает тем свойством, что угловой коэффициент касательной в любой ее точке пропорционален квадрату ординаты точки касания с коэффициентом пропорциональности k
=3. Найти уравнение кривой.
367. Кривая проходит через точку А(1; 2) и обладает тем свойством, что произведение углового коэффициента касательной в любой ее точке на сумму координат точки касания равно удвоенной ординате этой точки. Найти уравнение кривой.
368. Кривая проходит через течку А(1; 2) и обладает тем свойством, что отношение ординаты любой ее точки к абсциссе пропорционально угловому коэффициенту касательной к этой кривой, проведенной в той же точке, с коэффициентом пропорциональности k
=3 Найти уравнение кривой.
369. Кривая проходит через точку А(1; 5) и обладает тем свойством, что отрезок, отсекаемый на оси ординат любой касательной, равен утроенной абсциссе точки касания. Найти уравнение кривой.
370. Кривая проходит через точку А (2; 4) и обладает тем свойством, что отрезок, отсекаемый на оси абсцисс касательной, проведенной в любой точке кривой, равен кубу абсциссы точки касания. Найти уравнение кривой.
9. Кратные, криволинейные и поверхностные интегралы.
Векторный анализ.
371-380. Вычислить с помощью двойного интеграла в полярных координатах площадь фигуры, ограниченной кривой, заданной уравнением в декартовых координатах (a>0).
371. 
372. 
373. 
374. 
375. 
376. 
377. 
378. 
379. 
380. 
381-390. Вычислить с помощью тройного интеграла объём тела, ограниченной указанными поверхностями. Сделать чертежи данного тела и его проекции на плоскость xOy
.
381. 
382. 
383. 
384. 
385. 
386. 
387. 
388. 
389. 
390. 
391. Вычислить криволинейный интеграл.

вдоль дуги L
окружности x
=5cost
, y
=5sint
, обходя её против хода часовой стрелки от точки A
(5; 0) до точки B
(0; 5). Сделать чертёж.
392. Вычислить криволинейный интеграл.

вдоль ломаной L
=OAB
, где O
(0; 0), A
(2; 0), B
(4; 5). Сделать чертёж.
393. Вычислить криволинейный интеграл.

вдоль границы L
треугольника ABC
, обходя её против хода часовой стрелки, если A
(1; 0), B
(1; 1), C
(0; 1). Сделать чертёж.
394. Вычислить криволинейный интеграл.

вдоль дуги L
параболы y
=x
2
от точки A
(-1; 1), до точки B
(1; 1). Сделать чертёж.
395. Вычислить криволинейный интеграл.

вдоль верхней половины L
эллипса x
=3cost
, y
=2cost
(0≤ t
≤π). Сделать чертёж.
396. Вычислить криволинейный интеграл.

вдоль ломаной L
=
ABC
, где A
(1; 2),B
(1; 5),C
(3; 5). Сделать чертёж.
397. Вычислить криволинейный интеграл.

вдоль дуги L
кривой y
=
e-
x
от точки A
(0; 1) до точки B
(-1; e). Сделать чертёж.
398. Вычислить криволинейный интеграл.

вдоль дуги L
=AB
прямой от точки A
(1; 2) до точки B
(2; 4). Сделать чертёж.
399. Вычислить криволинейный интеграл.

вдоль дуги L
параболы y
=2x
2
от точки O
(0; 0) до точки A
(1; 2). Сделать чертёж.
400. Вычислить криволинейный интеграл.

вдоль дуги L
кривой y
=ln x
от точки A
(1; 0) до точки B
(e; 1). Сделать чертёж.
401-410. Даны векторное поле F=X
i+Y
j+Z
k и плоскость Ax
+By
+Cz
+D
=0(p
), которая совместно с координатными плоскостями образует пирамиду V
. Пусть σ - основание пирамиды, принадлежащее плоскости (p
); λ - контур, ограничивающий σ; n - нормаль к σ, направленная вне пирамиды V
. Требуется вычислить,
1) поток векторного поля F через поверхность σ в направлении нормали n;
2) циркуляцию векторного поля F по замкнутому контуру λ непосредственно и применив теорему Скота к контуру λ и ограниченной им поверхности σ с нормалью n;
3) поток векторного F через полную поверхность пирамиды V
в направлении внешней нормали к её поверхности непосредственно и применив теорему Остроградского. Сделать чертёж.
401. 
402. 
403. 
404. 
405. 
406. 
407. 
408. 
409. 
410. 
411-420. Проверить, является ли векторное поле F= X
i+Y
j+Z
k потенциальным и соленоидальным. В случае потенциальности поля F найти его потенциал.
411. 
412. 
413. 
414. 
415. 
416. 
417. 
418. 
419. 
420. 
10. Ряды
421-430. Исследовать сходимость числового ряда .
421. 422. 
423. 424. 
425. 426. 
427. 428. 
429. 430. 
431-440. Найти интервал сходимости степенного ряда .
431. . 432. .
433. . 434. .
435. . 436. .
437. . 438. .
439. . 440. .
441-450. Вычислить определённый интеграл с точностью до 0,001, разложив подынтегральную функцию в степенной ряд и затем проинтегрировать её почленно.
441. 442. 
443. 444. 
445. 446. 
447. 448. 
449. 450. 
451-460. Найти три первых, отличных от нуля члена разложения в степенной ряд решения y
=y
(x
) дифференциального уравнения y
′
=(x
; y
), удовлетворяющего начальному условию y
(0)=y
0
,
451. 452. 
453. 454. 
455. 456. 
457. 458. 
459. 460. 
461-470. Разложить данную функцию f
(x
) в ряд Фурье в интервале (a
; b
).
461. в интервале (-π; π).
462. в интервале (-2; 2).
463. в интервале (-π; π).
464. в интервале (-1; 1).
465. в интервале (-π; π).
466. в интервале (-2; 2).
467. в интервале (-π; π).
468. в интервале (-1; 1).
469. в интервале (-0; 2π).
470. в интервале (-π; π).
11. Уравнения математической физики.
Функции комплексного переменного. Операционное исчисление.
471-480. Методом Даламбера найти уравнение u
=u
(x
; t
) формы однородной бесконечной струны, определяемой волновым уравнением , если в начальный момент t
0
=0 форма струны и скорость точки струны с абсциссой x
определяются соответственно заданными функциями и .
471. 472. 
473. 474. 
475. 476. 
477. 478. 
479. 480. 
481-490. Представить заданную функцию w
=f
(x
), где z
=x
+iy
, в виде w
=u
(x
; y
)+i
υ
(x
; y
); проверить, является ли она аналитической. Если да, то найти значение её производной в заданной точке z
0
.
481. 482. 
483. 484. 
485. 486. 
487. 488. 
489. 490. 
491-500. Разложить функцию f(z) в ряд Лорана в окрестности точки z0 и определить область сходимости этого ряда.
491. 492. 
493. 494. 
495. 496. 
497. 498. 
499. 500. 
501-510. Методом операционного исчисления найти частное решение дифференциального уравнения, удовлетворяющее заданным начальным условиям.
501. 
502. 
503. 
504. 
505. 
506. 
507. 
508. 
509. 
510. 
511-520. Методом операционного исчисления найти частное решение системы дифференциальных уравнений, удовлетворяющее заданным начальным условиям.
511. 
512. 
513. 
514. 
515. 
516. 
517. 
518. 
519. 
520. 
12. Теория вероятности и математическая статистика.
521. Студент знает 45 из 60 вопросов программы. Каждый экзаменационный билет содержит три вопроса. Найти вероятность того, что студент знает: a) все три вопроса; б) только два вопроса; в) только один вопрос экзаменационного билета.
522. В каждой из двух урн находится 5 белых и 10 черных шаров. Из первой урны переложили во вторую наудачу один шар, а затем из второй урны вынули наугад один шар. Найти вероятность того, что вынутый шар окажется чёрным.
523. Три стрелка в одинаковых и независимых условиях произвели по одному выстрелы по одной и той же цели. Вероятность поражения цели первым стрелком равна 0,9, вторым – 0,8, третьим – 0,7. Найти вероятность того, что а) только один из стрелков попал в цель; б) только два стрелка попали в цель; в) все три стрелка попали в цель.
524. Вероятность наступления события в каждом из одинаковых и независимых испытаний равна 0,8. Найти вероятность того, что в 1600 испытаниях событие наступит 1200 раз.
525. Для сигнализации об аварии установлены три независимо работающих устройства. Вероятность того, что при аварии сработает первое устройство, равна 0,9, второе – 0,95, третье – 0,85. Найти вероятность того, что при аварии сработает: а) только одно устройство; б) только два устройства; в) все три устройства.
526. Вероятность наступления события в каждом из одинаковых и независимых испытаний равна 0,02. Найти вероятность того, что в 150 испытаниях событие наступит 5 раз.
527. В партии из 1000 изделий имеются 10 дефектных. Найти вероятность того, что среди 50 изделий, взятых наудачу из этой партии, ровно три окажутся дефектными.
528. Вероятность наступления события в каждом из одинаковых и независимых испытаний равна 0,8. Найти вероятность того, что в 125 испытаниях событие наступит не менее 75 и не более 90 раз.
529. На трёх станках при одинаковых и независимых условиях изготавливаются детали одного наименования. На первом станке изготовляют 10%, на втором – 30%, на третьем – 60% всех детали. Вероятность каждой детали быть дефектной равна 0,7, если она изготовлена на первом станке, 0,8 – если на втором станке, и 0,9 – если на третьем станке. Найти вероятность того, что наугад взятая деталь окажется бездефектной.
530. Два брата входят в состав двух спортивных команд, состоящих из 12 человек каждая. В двух урнах имеются по 12 билетов с номерами от 1 до 12. Члены каждой команды вынимают наудачу по одному билеты из определённой урны (без возвращения). Найти вероятность того, что оба брата вытащат билет номер 6.
531-540. Дискретная случайная величина X
может принимать только два значения: x
1
и x
2
причём x
1
<x
2
. Известны вероятность p
1
возможного значения x
1
, математическое ожидание M
(X
) и дисперсия D
(X
). Найти закон распределения этой специальной величины.
531. 
532. 
533. 
534. 
535. 
536. 
537. 
538. 
539. 
540. 
541-550. Случайная величина X
задана функцией распределения F
(x
). Найти плотность распределения вероятностей, математическое ожидание и дисперсию случайной величины.
541. 542. 
543. 544. 
545. 546. 
547. 548. 
549. 550. 
551-560. Известны математическое ожидание a
и среднее квадратическое отклонение σ нормально распределённой случайной величины X
. Найти вероятность попадания этой величины в заданный интервал (α; β).
551. 552. 
553. 554. 
555. 556. 
557. 558. 
559. 560. 
561-570. Задана матрица P1
вероятностей перехода цепи Маркова из состояния i(i=1, 2) в состояние j(j=1, 2) за один шаг. Найти матрицу P2
перехода из состояния i в состояние j за два шага.
561. 562. 
563. 564. 
565. 566. 
567. 568. 
569. 570. 
571-580. Найти доверительный интервал для оценки математического ожидания a
нормального распределения с надёжностью 0,95, зная выборочную среднюю , объём выборки n
и среднее квадратическое отклонение σ.
571. 572. 
573. 574. 
575. 576. 
577. 578. 
579. 580. 
КОНТРОЛЬНЫЕ ЗАДАНИЯ
Ниже приведена таблица номеров задач, входящих в задания на контрольные работы, при двенадцати контрольных работах по учебному плану. Студент должен выполнять контрольные задания по варианту, номер которого совпадает с последней цифрой его учебного номера (шифра).
Если по учебному плану предусмотрено другое число контроль» ных работ или кафедрой математики данного вуза установлено другое распределение материала, то кафедра сообщает студентам об этих изменениях и дает соответствующие указания о порядке выполнения работ.
| Вариант
|
Номера задач контрольных заданий
|
| 1
|
2
|
3
|
| 1
2
3
4
5
6
7
8
9
0
|
1
2
3
4
5
6
7
8
9
10
|
11
12
13
14
15
16
17
18
19
20
|
21
22
23
24
25
26
27
28
29
30
|
31
32
33
34
35
36
37
38
39
40
|
41
42
43
44
45
46
47
48
49
50
|
51
52
53
54
55
56
57
58
59
60
|
61
62
63
64
65
66
67
68
69
70
|
71
72
73
74
75
76
77
78
79
80
|
81
82
83
84
85
86
87
88
89
90
|
91
92
93
94
95
96
97
98
99
100
|
101
102
103
104
105
106
107
108
109
110
|
111
112
113
114
115
116
117
118
119
120
|
121
122
123
124
125
126
127
128
129
130
|
131
132
133
134
135
136
137
138
139
140
|
| Вариант
|
Номера задач контрольных заданий
|
| 4
|
5
|
| 1
2
3
4
5
6
7
8
9
0
|
141
142
143
144
145
146
147
148
149
150
|
151
152
153
154
155
156
157
158
159
160
|
161
162
163
164
165
166
167
168
169
170
|
171
172
173
174
175
176
177
178
179
180
|
181
182
183
184
185
186
187
188
189
190
|
191
192
193
194
195
196
197
198
199
200
|
201
202
203
204
205
206
207
208
209
210
|
211
212
213
214
215
216
217
218
219
220
|
221
222
223
224
225
226
227
228
229
230
|
ПРАВИЛА ВЫПОЛНЕНИЯ И ОФОРМЛЕНИЯ КОНТРОЛЬНЫХ РАБОТ
При выполнении контрольных работ необходимо строго придерживаться указанных ниже правил. Работы, выполненные без соблюдения этих правил, не зачитываются и возвращаются студенту для переработки.
1. Каждая контрольная работа должна быть выполнена в отдельной тетради в клетку чернилами любого цвета, кроме красного. Необходимо оставлять поля шириной 4—5 см для замечаний рецензента.
2. В заголовке работы на обложке тетради должны быть ясно написаны фамилия студента, его инициалы, учебный номер (шифр), название дисциплины, номер контрольной работы; здесь же следует указать название учебного заведения, дату отсылки работы в институт и адрес студента. В конце работы следует поставить дату ее выполнения и подпись студента.
3. В работу должны быть включены все задачи, указанные в задании, строго по положенному варианту Контрольные работы, содержащие не все задачи задания, а также задачи не своего варианта, не зачитываются.
4. Решения задач надо располагать в порядке возрастания их номеров, указанных в заданиях, сохраняя номера задач.
5. Перед решением каждой задачи надо полностью выписать ее условие. В том случае, если несколько задач, из которых студент выбирает задачи своего варианта, имеют общую формулировку, следует, переписывая условие задачи, заменить общие данные конкретными, взятыми из соответствующего номера. Например, условие задачи 1 должно быть переписано так:
1. Даны векторы
а(1; 2; 3), b(—1; 3; 2), с(7; —3; 5), d(6; 10, 17) в некотором базисе. Показать
... и т. д.
6. Решения задач следует излагать подробно и аккуратно, объясняя и мотивируя все действия по ходу решения и делая необходимые чертежи.
7. После получения прорецензированной работы, как не зачтенной, так и зачтенной, студент должен исправить все отмеченные рецензентом ошибки и недочеты и выполнить все рекомендации рецензента.
Если рецензент предлагает внести в решения задач те или иные исправления или дополнения и прислать их для повторной проверки, то это следует сделать в короткий срок.
В случае незачета работы и отсутствия прямого указания рецензента о том, что студент может ограничиться представлением исправленных решений отдельных задач, вся работа должна быть выполнена заново.
При высылаемых исправлениях должна обязательно находиться прорецензированная работа и рецензия на нее. Поэтому рекомендуется при выполнении контрольной работы оставлять в конце тетради несколько чистых листов для всех дополнений и исправлений в соответствии с указаниями рецензента. Вносить исправления в сам текст работы после ее рецензирования запрещается.
| Вариант
|
Номера задач контрольных заданий
|
| 6
|
7
|
| 1
2
3
4
5
6
7
8
9
0
|
231
232
233
234
235
236
237
238
239
240
|
241
242
243
244
245
246
247
248
249
250
|
251
252
253
254
255
256
257
258
259
260
|
261
262
263
264
265
266
267
268
269
270
|
271
272
273
274
275
276
277
278
279
280
|
281
282
283
284
285
286
287
288
289
290
|
291
292
293
294
295
296
297
298
299
300
|
301
302
303
304
305
306
307
308
309
310
|
311
312
313
314
315
316
317
318
319
320
|
| Вариант
|
Номера задач контрольных заданий
|
| 8
|
9
|
| 1
2
3
4
5
6
7
8
9
0
|
321
322
323
324
325
326
327
328
329
330
|
331
332
333
334
335
336
337
338
339
340
|
341
342
343
344
345
346
347
348
349
350
|
351
352
353
354
355
356
357
358
359
360
|
361
362
363
364
365
366
367
368
369
370
|
371
372
373
374
375
376
377
378
379
380
|
381
382
383
384
385
386
387
388
389
390
|
391
392
393
394
395
396
397
398
399
400
|
401
402
403
404
405
406
407
408
409
410
|
411
412
413
414
415
416
417
418
419
420
|
| Вариант
|
Номера задач контрольных заданий
|
| 10
|
11
|
| 1
2
3
4
5
6
7
8
9
0
|
421
422
423
424
425
426
427
428
429
430
|
431
432
433
434
435
436
437
438
439
440
|
441
442
443
444
445
446
447
448
449
450
|
451
452
453
454
455
456
457
458
459
460
|
461
462
463
464
465
466
467
468
469
470
|
471
472
473
474
475
476
477
478
479
480
|
481
482
483
484
485
486
487
488
489
490
|
491
492
493
494
495
496
497
498
499
500
|
501
502
503
504
505
506
507
508
509
510
|
511
512
513
514
515
516
517
518
519
520
|
| Вариант
|
Номера задач контрольных заданий
|
| 12
|
| 1
2
3
4
5
6
7
8
9
0
|
521
522
523
524
525
526
527
528
529
530
|
531
532
533
534
535
536
537
538
539
540
|
541
542
543
544
545
546
547
548
549
550
|
551
552
553
554
555
556
557
558
559
560
|
561
562
563
564
565
566
567
568
569
570
|
571
572
573
574
575
576
577
578
579
580
|
СОДЕРЖАНИЕ
Предисловие
Общие рекомендации студенту-заочнику по работе над курсом высшей математики
Программа курса «Высшая математика» для инженерно-технических специальностей высших учебных заведений . . ,
Первый вариант (510 учебных часов)
Второй вариант (450 учебных часов)
Литература
Методические указания по изучению курса «Высшая математика»
Задачи для контрольных заданий
Контрольные задания
Правила выполнения и оформления контрольных работ
ЮРИИ СТЕПАНОВИЧ АРУТЮНОВ,
АЛЕКСАНДР ПЕТРОВИЧ ПОЛОЗКОВ,
ДМИТРИИ ПЕТРОВИЧ ПОЛОЗКОВ
ВЫСШАЯ МАТЕМАТИКА
Методические указания
и контрольные задания
(с программой)
Зав. редакцией Е. С. Гридасова
Редактор А. М. Суходский
Мл. редактор С. А. Доровских
Художественный редактор В.И. Пономаренко
Технический редактор Е. В, Красницкая
Корректор Г. А. Чечеткина
н/к
Изд. № ФМ—844. Сдано в набор 22.01.85. Подп. в печать 26.08.85. Форма 84Х108'/з2. Бум. тип. № 2. Гарнитура литературная. Печать высокая. Объем 7,56 усл. печ. л 7,67 усл. кр.-отт. 8,42 уч.-изд. л. Тираж 253 000 экз: Зак. № 105. Цена 25 коп.
Издательство «Высшая школа», 101430, Москва, ГСП-4, Неглинная ул., д. 29/Н Владимирская типография Союзполиграфпрома при Государственном комитете СССР по делам издательств, полиграфии и книжной торговли 600000, г. Владимир, Октябрьский проспект, д. 7
[*]
Действительные числа называют также вещественными.
|