| Министерство образования Российской Федерации
Часть
I
Методические указания по английскому языку для студентов 1 курса математического факультета.
2004
От составителя
Данные методические указания предназначены для студентов 1 курса математического факультета. Целью работы является развитие умений чтения литературы по специальности, а также оформления монологического высказывания по проблемам прочитанного. Учебные материалы данных методических указаний объединены в 3 блока:
- треугольники;
- простые числа;
- теория игр.
Тематика разработки охватывает не основные, базовые понятия математической науки, так как достаточная обеспеченность математического факультета учебными материалами снимает необходимость обращаться к ним. В методических указаниях затрагиваются мало освещенные в научной литературе на английском языке, доступной студентам, но довольно-таки актуальные проблемы современной высшей, а также прикладной математики.
Перед текстами и после них даются упражнения, которые различны по содержанию, целевой направленности и форме выполнения. В том числе упражнения на отработку вокабуляра, включающего специальную и общенаучную лексику, упражнения на проверку понимания содержания текста, упражнения по некоторым аспектам грамматики.
Блоки содержат творческие задания (кроссворды, головоломки), задачи, требующие логического осмысления, а также математические шутки. Тексты некоторых блоков сопровождаются иллюстративным материалом. Диаграммы, таблицы, схемы и чертежи призваны облегчить понимание тех или иных текстов, а также разнообразить комплекс послетекстовых упражнений.
В приложение включены правила чтения и названия некоторых чисел и цифр на английском языке; словарь математических символов и ответы к задачам, встречающимся в блоках.
Настоящая работа предназначена как для аудиторной работы под руководством преподавателя, так и для самостоятельной работы студентов.
Unit I.
Triangles
Text 1
Before you read:
Can you give a definition of a triangle? What features of a humble triangle can you remind yourself of from your geometry classes? Read the following text and find out whether you are right or not.
What is a triangle?
Everyone is familiar with the simplest mathematical objects, such as straight lines and circles and squares, and the counting numbers. To be a mathematician all you have to do is to learn to look at these objects with some insight and imagination, maybe do a few experiments too, and be able to draw reasonable conclusions.
Забиваем Сайты В ТОП КУВАЛДОЙ - Уникальные возможности от SeoHammer
Каждая ссылка анализируется по трем пакетам оценки: SEO, Трафик и SMM.
SeoHammer делает продвижение сайта прозрачным и простым занятием.
Ссылки, вечные ссылки, статьи, упоминания, пресс-релизы - используйте по максимуму потенциал SeoHammer для продвижения вашего сайта.
Что умеет делать SeoHammer
— Продвижение в один клик, интеллектуальный подбор запросов, покупка самых лучших ссылок с высокой степенью качества у лучших бирж ссылок.
— Регулярная проверка качества ссылок по более чем 100 показателям и ежедневный пересчет показателей качества проекта.
— Все известные форматы ссылок: арендные ссылки, вечные ссылки, публикации (упоминания, мнения, отзывы, статьи, пресс-релизы).
— SeoHammer покажет, где рост или падение, а также запросы, на которые нужно обратить внимание.
SeoHammer еще предоставляет технологию Буст, она ускоряет продвижение в десятки раз,
а первые результаты появляются уже в течение первых 7 дней.
Зарегистрироваться и Начать продвижение
The result of these activities – which are also quite familiar to you from everyday life – is that you soon see the square as more than something with four equal sides and four right angles; a circle as more than just a plain circle; and the number 8 as much more than merely the next number after 7. We are going to start this mathematical adventure by looking at another very simple and common mathematical object, the humble triangle.
What features does it have? The three sides could be any length at all – except that the two shorter sides together must be longer than the longest side, or the triangle would not close. You cannot make a triangle out of three strips of wood of length 3, 5 and 12 meters.
The three angles cannot be chosen as freely as the three sides. In fact, when we know the size of two of them, the other one can be calculated, because their sum is constant and is equal to 180°.
What other properties does the original triangle have? None, until we use our imagination and start asking some searching questions. As soon as we start to pose problems, and to solve them, we inevitably find ourselves discovering more of its many features. One natural question is: how big is this triangle? What is its area? The simplest and traditional way to find the area is to divide the triangle into two right-angled triangles, by drawing an altitude, as in Fig. 1.1, and then drawing a horizontal line which bisects the altitude at right angles. This dissects each right-angled triangle into a rectangle. The original triangle has been transformed into a rectangle of the same height, and half the width. This trick can be performed in three different ways, if all three angles of the triangle are less than a right angle, by starting with each of the three sides. This at once tells us something about the lengths of the altitudes and the sides:
BC × AD = CA × BE = AB × CF.
Fig. 1.1

Assignments:
1. Answer the following questions:
1. What is a humble triangle?
2. What main features of a humble triangle can you name?
3. What is the sum of all angles in a triangle equal to?
Сервис онлайн-записи на собственном Telegram-боте
Попробуйте сервис онлайн-записи VisitTime на основе вашего собственного Telegram-бота:
— Разгрузит мастера, специалиста или компанию;
— Позволит гибко управлять расписанием и загрузкой;
— Разошлет оповещения о новых услугах или акциях;
— Позволит принять оплату на карту/кошелек/счет;
— Позволит записываться на групповые и персональные посещения;
— Поможет получить от клиента отзывы о визите к вам;
— Включает в себя сервис чаевых.
Для новых пользователей первый месяц бесплатно.
Зарегистрироваться в сервисе
4. How can the area of a humble triangle be found?
2. Find Russian equivalents to English words and expressions:
Insight, to draw reasonable conclusions, to pose problems, to bisect, to dissect, to be performed.
3. Give definitions of the following geometrical figures:
A square, a circle, a triangle, a rectangle.
4. Comment on the following (use 2-3 sentences):
a) properties of a humble triangle
b) ways of finding the area of a triangle.
5. Make up a plan of the text “What is a triangle?” and retell the text, according to your plan, and using the following words and expressions:
It is well known, hence, consequently, therefore, so, it is obvious, it is evident, apparently, manifestly.
Text 2
Before you read:
What types of triangles do you know? Try to give a definition of each type. Read and translate the definitions of different types of triangles:
Types of Triangles
Equilateral triangle – a triangle with all three sides of the same length.
Isosceles triangle – a triangle with two of the three sides of the same length.
Right-angled triangle – a triangle with one angle equal to 90º.
Acute-angled triangle – a triangle with all the angles less than 90º.
Obtuse-angled triangle – a triangle with one of the angles greater than 90º.
Assignments:
1. Insert the missing letters:
Equ.lateral, isos.eles, acute-ang.ed, eq.al, rig.t-an.led, tri.ngle.
2. Match the words and their definitions:
| Right angle
|
a triangle with all three sides of the same length
|
| Obtuse-angled triangle
|
a triangle with two of the three sides of the same length
|
| Isosceles triangle
|
angle equal to 90º
|
| Equilateral triangle
|
a triangle with one of the angles greater than 90º
|
3. Name the type of each of the following triangles:
  1. 2. 3.
4. 5.
Text 3
Similarity criteria of triangles.
Two triangles are similar, if:
1) all their sides are proportional;
2) all their corresponding angles are equal;
3) two sides of one triangle are proportional to two sides of another and the angles concluded between these sides are equal.
Two right-angled triangles are similar, if
1) their legs are proportional;
2) a leg and a hypotenuse of one triangle are proportional to a leg and a hypotenuse of another;
3) two angles of one triangle are equal to two angles of another.
Assignments:
1. Agree or disagree:
1. Two triangles are similar if only two of their sides are proportional.
2. Two triangles are not similar if only two their corresponding angles are equal.
3. Two right-angled triangles are similar if a leg and a hypotenuse of one triangle are proportional to a leg and a hypotenuse of another.
4. There exist only three similarity criteria of right-angled triangles.
5. If all corresponding angles of two triangles are equal they (triangles) are not similar.
2. Formulate similarity criteria of triangles, using the following expressions:
It is known that…, we are quite familiar with…, every mathematician is sure of…, it should be pointed out…, in fact, thus.
Text 4
Before you read:
Consider Fig. 1.2 and try to prove Pythagorean Theorem, well familiar to you from your school years yourself.
Pythagorean Theorem

Fig. 1.2
In a right-angled triangle a square of the hypotenuse
length is equal to a sum of squares of legs lengths.
A proof of Pythagorean Theorem is clear from Fig.1.2. Consider a right-angled triangle ABC with legs a, b
and a hypotenuse c.
Build the square AKMB, using hypotenuse AB as its side. Then continue sides of the right-angled triangle ABC so, to receive the square CDEF, the side length of which is equal to a + b.
Now it is clear, that an area of the square CDEF is equal to (a + b
) ². On the other hand, this area is equal to a sum of areas of four right-angled triangles and a square AKMB, that is
c
² + 4 (ab / 2) = c
² + 2 ab,
hence,
c
² + 2 ab
= (a + b
) ²,
and finally, we have:
c
² = a² + b
².
Assignments:
1. Give the proof of Pythagorean Theorem, using the following expressions:
It is clear that…, considering, using hypotenuse as a side, to receive the square, is equal to, on the one hand, on the other hand, hence, it is evident that…
Text 5
Medians of a triangle
David Wells in one of his books wrote: if the triangle were a real physical sheet, made of some uniform material, it would not only have an area, but also a centre of gravity; see Fig. 1.3. This is the point on which the triangular sheet would balance on a pinpoint. We understand that, if the triangle is suspended from a vertex, a vertical line through that vertex will also pass through the centre of gravity. If the triangular sheet were resting on the edge of a table, it would start to tip and fall over the edge, if its centre of gravity were over the edge.
Fig. 1.3

You’ll find it natural to ask where the centre of gravity is. Actually, if the triangle is divided into numerous narrow parallel strips, each strip will balance about its midpoint, and all these midpoints appear to lie on the straight line joining the vertex to the midpoint of the opposite side (Fig. 1.4), called the median from that vertex.
Fig. 1.4

The centre of gravity of all the strips together will lie somewhere on the same straight line. Bearing in mind that we found area of the triangle in three different ways by starting with each side as base in turn, it is natural to do the same for the centre of gravity of the triangle. Three constructions can be made, each with a line of midpoints. If the centre of gravity lies on each of these lines, then there must be one point where all three lines meet. To find it, we’ll join each vertex to the midpoint of the opposite side, and the three lines concur, at the centre of gravity (Fig. 1.5). We have a bonus in this case, also. Because we are confident that the three medians do indeed concur. We do not even need to draw a diagram to check this fact, whereas we only discovered that the altitudes concurred with the aid of a drawing.
Fig. 1.5

Assignments:
1. Active vocabulary (memorize the following expressions and use them in sentences of your own):
a centre of gravity, to be suspended from, to bear in mind, to concur, to have a bonus, to be confident, with the aid of.
2. Answer the questions:
1. Where is the centre of gravity of a triangle?
2. What is a median of a triangle?
3. Do the three medians of a triangle necessarily concur?
4. What is the point where the medians concur called?
3. Agree or disagree:
1. If the triangle were a real physical sheet, made of some uniform material, it would not only have an area, but also a centre of gravity.
2. The median from a vertex is a straight line joining this vertex to the midpoint of the opposite side.
3. We can find area of the triangle in three different ways by starting with each side as base in turn.
4. Three medians of a triangle never concur.
4. Recall everything you know of Subjunctive Mood and insert suitable auxiliary verbs:
1. If the triangle were a real physical sheet, made of some uniform material, it … not only have an area, but also a centre of gravity.
2. If the triangular sheet were resting on the edge of a table, it … start to tip and fall over the edge.
3. If the triangle is suspended from a vertex, a vertical line through that vertex … also pass through the centre of gravity.
4. If the triangle … divided into numerous narrow parallel strips, each strip will balance about its midpoint.
5. If the centre of gravity lies on each of these lines, then there … one point where all three lines meet.
5. Complete the sentences, according to the text:
1. If the triangle were a real physical sheet …
2. If the triangle is suspended from a vertex …
3. If the triangular sheet were resting on the edge of a table …
4. If the triangle is divided into numerous narrow parallel strips …
5. If the centre of gravity lies on each of these lines …
6. If we were able to find area of the triangle in three different ways by starting with each side as base in turn …
7. If we were confident that the three medians did indeed concur …
6. Speak about medians of triangles and their properties, using expressions:
It is proved, obviously, evidently, apparently, there is no doubt, beyond question, indisputably, unquestionably.
Assignments for unit I:
1. Collect all the information about triangles, based on text “What is a triangle?”, according to your own plan.
2. Arrange the sentences, you have written out logically.
3. Unite all the sentences, using the following words and expressions: It is proved, obviously, evidently, apparently, there is no doubt, beyond question, indisputably, unquestionably, it is clear that…, considering, using hypotenuse as a side, to receive the square, is equal to, on the one hand, on the other hand, hence, it is evident that… It is known that…, we are quite familiar with…, every mathematician is sure of…, it should be pointed out…, in fact, thus, It is well known, consequently, therefore, so, it is obvious, it is evident, apparently, manifestly.
4. Do the same work (points 1, 2, 3) for each text: “Types of Triangles”, “Similarity criteria of triangles”, “Pythagorean Theorem”, “Medians of a triangle”.
5. Read the text, you have composed and make sure all the points of it are arranged logically.
6. Make changes if necessary.
7. Read the text one more time and think of the title.
Try to solve
Problem 1
Across the river
Jake Hardy was standing on the river bank, looking across to the far side. ‘How wide do you recon it is?’ asked Harold. Jake adjusted the rim of his hat, and turned to look downstream. He paused and then walked with deliberate paces along the river bank, then turned and called out, ‘About thirty meters, give or take a few.’
How did he estimate the width of the river?
Fig. 1.6

Smile
-
About application of mathematics in linguistics
A teacher of English was ill and a teacher of mathematics replaced him.
He began to compose a table of irregular verbs:

Then he said:
- Okay, I mark this form as x
. Then it’s possible to compose the proportion:
Unit II.
Prime numbers
Text 1
Prime numbers
Prime numbers and their properties were first studied extensively by the ancient Greek mathematicians.
The mathematicians of Pythagoras's school (500 BC to 300 BC) were interested in numbers for their mystical and numerological properties. They understood the idea of primality and were interested in perfect
and amicable
numbers. A perfect number
is one whose proper divisors sum to the number itself. e.g. The number 6 has proper divisors 1, 2 and 3 and 1 + 2 + 3 = 6, 28 has divisors 1, 2, 4, 7 and 14 and 1 + 2 + 4 + 7 + 14 = 28. A pair of amicable numbers
is a pair like 220 and 284 such that the proper divisors of one number sum to the other.
In Book of the Elements
, Euclid proves that there are infinitely many prime numbers. This is one of the first proofs known which uses the method of contradiction to establish a result. Euclid also gives a proof of the Fundamental Theorem of Arithmetic: Every integer can be written as a product of primes in an essentially unique way.
Euclid also showed that if the number 2n
- 1 is prime then the number 2n
-1
(2n
- 1) is a perfect number. The mathematician Euler (much later in 1747) was able to show that all
even perfect numbers are of this form. It is not known to this day whether there are any odd
perfect numbers.
There is then a long gap in the history of prime numbers during what is usually called the Dark Ages.
The next important developments were made by Fermat at the beginning of the 17th
Century. He proved a speculation of Albert Girard that every prime number of the form 4 n
+ 1 can be written in a unique way as the sum of two squares and was able to show how any number could be written as a sum of four squares. He devised a new method of factorizing large numbers which he demonstrated by factorizing the number 2027651281 = 44021 46061. He proved what has come to be known as Fermat's Little Theorem
(to distinguish it from his so-called Last Theorem
). This states that if p
is a prime then for any integer a we have ap
= a
modulo p
. This proves one half of what has been called the Chinese hypothesis
which dates from about 2000 years earlier, that an integer n
is prime if and only if the number 2n
- 2 is divisible by n
. The other half of this is false, since, for example, 2341
- 2 is divisible by 341 even though 341 = 31 11 is composite. Fermat's Little Theorem is the basis for many other results in Number Theory and is the basis for methods of checking whether numbers are prime which are still in use on today's electronic computers.
Number of the form 2n
- 1 attracted attention because it is easy to show that if unless n is prime these number must be composite. These are often called Mersenne numbers
Mn
because Mersenne studied them. Not all numbers of the form 2n
- 1 with n
prime are prime. For example 211
- 1 = 2047 = 23 89 is composite, though this was first noted as late as 1536.
For many years numbers of this form provided the largest known primes. In 1952 the Mersenne numbers M
521
, M
607
, M
1279
, M
2203
and M
2281
were proved to be prime by Robinson using an early computer and the electronic age had begun. By 2003 a total of 40 Mersenne primes have been found. The largest is M
20996011
which has 6320430 decimal digits.
There are still many open questions (some of them dating back hundreds of years) relating to prime numbers.
Assignments:
1. Active vocabulary:
Perfect number, amicable number, composite number, infinite, contradiction, integer, speculation, to devise.
2. Give the definition of the following notions in English:
Perfect number, amicable number, composite number
3. Think of at least two examples of each type of numbers.
4. Give Russian equivalents to the following words and expressions:
Primality, proper divisor, to establish a result, Dark Ages, to prove a speculation, to demonstrate by factorizing a number, to be divisible by, decimal digits.
5. Answer the questions:
1. Who was the first to study prime numbers?
2. What were the mathematicians of Pythagoras's school mainly interested in?
3. What proof of the Fundamental Theorem of Arithmetic did Euclid give?
4. What period is called the Dark Ages?
5. What does Fermat’s Little Theorem state? Why is it so important?
6. What kind of numbers are called Mersenne numbers and why?
6. Scientific contribution of what mathematician to the prime numbers theory is described in the following passages? Arrange the passages in the chronological order.
1) He studied numbers of the form 2n
– 1, which nowadays are known as numbers called after him. The largest known prime number is the number of exactly the same form.
2) This mathematician managed to show that all even perfect numbers are of such a form: 2n
-1
(2n
- 1).
3) The proof of the Fundamental Theorem of Arithmetic together with the proof that there are infinitely many prime numbers was given by him
4) Being interested in numbers for their mystical and numerological properties, they understood the idea of primality and were occupied with the study of perfect
and amicable
numbers.
5) This mathematician devised a new method of factorizing large numbers.
7. Enrich each passage using the information from the text and speak on the following topics:
1) The mathematicians of Pythagoras's school and their scientific work.
2) Euclid’s speculations about prime numbers in his “Book of the Elements”.
3) Fermat’s proof of the Fundamental Theorem of Arithmetic, his Little Theorem and other works.
4) Mersenne numbers.
8. Retell the text “Prime numbers” using the statements from the previous assignment as the plan.
Text 2
Before you read:
Consider the following unsolved problems in the theory of prime numbers and give accurate translation.
Some unsolved problems
1. The Twin Primes Conjecture
that there are infinitely many pairs of primes only 2 apart.
2. Goldbach's Conjecture
(made in a letter by C Goldbach to Euler in 1742) that every even integer greater than 2 can be written as the sum of two primes.
3. Are there infinitely many primes of the form n
2
+ 1?
(Dirichlet proved that every arithmetic progression: {a
+ bn
| n
N
} with a
, b
coprime contains infinitely many primes.)
4. Is there always a prime between n
2
and (n
+ 1)2
?
(The fact that there is always a prime between n
and 2n
was called Bertrand's conjecture and was proved by Chebyshev.)
5. Is there an arithmetic progression of consecutive primes for any given (finite) length? e.g. 251, 257, 263, 269 has length 4. The largest example known has length 10.
6. Are there infinitely many sets of 3 consecutive primes in arithmetic progression?
7. n
2
- n
+ 41 is prime for 0 n
40. Are there infinitely many primes of this form? The same question applies to n
2
- 79 n
+ 1601 which is prime for 0 n
79.
8. Are there infinitely many primes of the form n
# + 1? (where n
# is the product of all primes n
.)
9. Are there infinitely many primes of the form n
# - 1?
10. Are there infinitely many primes of the form n
! + 1?
11. Are there infinitely many primes of the form n
! - 1?
12. If p
is a prime, is 2p
- 1 always square free? i.e. not divisible by the square of a prime.
Text 3
Before you read:
Read the following records; try to memorize the numbers and the scientists, who have announced them.
The Latest Prime Records
The largest known prime (found by GIMPS [Great Internet Mersenne Prime Search] in November 2003) is the 40th
Mersenne prime: M
20996011
which has 6320430 decimal digits.
The largest known twin primes are 242206083 238880
1. They have 11713 digits and were announced by Indlekofer and Ja'rai in November, 1995.
The largest known factorial prime (prime of the form n! 1) is 3610! - 1. It is a number of 11277 digits and was announced by Caldwell in 1993.
The largest known primorial prime (prime of the form n
# 1 where n
# is the product of all primes n
) is 24029# + 1. It is a number of 10387 digits and was announced by Caldwell in 1993.
Assignments:
1. Speak on the latest prime records trying to avoid peeping into the text.
Assignments for unit II:
1. Give English equivalents of the following words and expressions:
совершенное число, десятичный знак, дружественные числа, простое число, факторизация, бесконечно много, арифметическая прогрессия, целое число, метод «от противного».
2. Using the above mentioned words and expressions (English translation) make up sentences of your own.
3. Remind yourself of what you were reading in this unit and answer the questions:
a) Who is the founder of the study of prime numbers?
b) Why was the certain period in the development of the study of prime numbers called the Dark Ages?
c) What numbers do we call Mersenne numbers and why?
d) It is possible to solve the following problem: are there infinitely many primes of the form n
! + 1?
e) What is the largest known prime? The largest known factorial prime?
4. Name:
a) The scientists considering the study of prime numbers;
b) the scientists who managed to pose unsolved problems in the theory of prime numbers;
c) the scientists who announced the records of prime numbers.
5. Tell the group everything you know about these mathematicians, i.e. everything found out in this unit.
Smile
-
Einstein and telephone
One woman asked Einstein to remember her telephone number: 361-343.
Einstein answered:
- It’s very easy. 19 squared and 7 cubed.
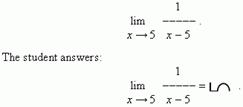
New about limits
At a mathematics exam a professor asks a student to calculate the limit:
The professor is surprised:
- What is it? Why ?
The student answers:
- You explained at your lecture that
and I have used this example.
Unit III.
Game Theory
Text 1
Some Basics
Game theory is a branch of applied mathematics fashioned to analyze certain situations in which there is an interplay between parties that may have similar, opposed, or mixed interests. In a typical game
, decision-making “players,” who each have their own goals; try to outsmart one another by anticipating each other's decisions. (Encyclopedia Britannica
)
Game theory is a distinct and interdisciplinary approach to the study of human behavior. The disciplines most involved in game theory are mathematics, economics and the other social and behavioral sciences. Game theory (like computational theory and so many other contributions) was founded by the great mathematician John von Neumann. The first important book was The Theory of Games and Economic Behavior
, which von Neumann wrote in collaboration with the great mathematical economist, Oscar Morgenstern. Certainly Morgenstern brought ideas from neoclassical economics into the partnership, but von Neumann, too, was well aware of them and had made other contributions to neoclassical economics.
Assignments:
1. Answer the questions:
1) What is game theory?
2) What disciplines most involved in game theory and why?
3) Who can be called a founder of game theory?
2. Give a brief summary of the article using the following words and expressions:
a branch of applied mathematics, an interplay between parties, the study of human behavior, to be founded by, in collaboration with, to make contribution.
Text 2
What is a game?
Game: A competitive activity involving skill, chance, or endurance on the part of two or more persons who play according to a set of rules, usually for their own amusement or for that of spectators (The Random House Dictionary of the English Language,
1967).
A game is the set of rules that describe it. An instance of the game from beginning to end is known as a play of the game. And a pure strategy is an overall plan specifying moves to be taken in all eventualities that can arise in a play of the game. A game is said to have perfect information if, throughout its play, all the rules, possible choices, and past history of play by any player are known to all participants. Games like tick-tack-toe, backgammon and chess are games with perfect information and such games are solved by pure strategies. But whereas one may be able to describe all such pure strategies for tick-tack-toe, it is not possible to do so for chess, hence the latter's age-old intrigue.
Games without perfect information, such as matching pennies, stone-paper-scissors or poker offer the players a challenge because there is no pure strategy that ensures a win. Games such as heads-tails and stone-paper-scissors are also called two-person zero-sum games. Zero-sum means that any money Player 1 wins (or loses) is exactly the same amount of money that Player 2 loses (or wins). That is, no money is created or lost by playing the game. Most parlor games are many-person zero-sum games. Not all zero-sum games are fair, although most two-person zero-sum parlor games are fair games. So why do people then play them? They are fun, everyone likes the competition, and, since the games are usually played for a short period of time, the average winnings could be different than 0.
Assignments:
1. Active vocabulary:
A competitive activity, a set of rules, an instance of the game, a play of the game, a pure strategy, eventuality, a game with (without) perfect information, a zero-sum game, tick-tack-toe, backgammon, chess, stone-paper-scissors, matching pennies.
2. Give the definitions of the following notions in English:
A game, a play of the game, a pure strategy, a game with perfect information, a game without perfect information, a zero-sum game, a fair game.
3. Fill in the gaps with the words and expressions from the text.
1. Game is a competitive activity involving skill, chance, or endurance on the part of two or more persons who play according to ________.
2. An instance of the game from beginning to end is known as ______.
3. A pure strategy is an overall plan specifying moves to be taken in all ______ that can arise in a play of the game.
4. A game is said to have ______if, throughout its play, all the rules, possible choices, and past history of play by any player are known to all participants.
5. Games like _______, _______ and _____ are games with perfect information and such games are solved by pure strategies.
6. Games such as ______ and _____ are called two-person zero-sum games.
7. Zero-sum means that any money Player 1 wins (or loses) is exactly the same amount of money that Player 2 ___(___).
4. Match the notions with the definitions.
| A game
|
No money is created or lost by playing this kind of a game.
|
| A pure strategy
|
A game that has got no pure strategy that ensures a win.
|
| A zero-sum game
|
A game, all the rules, possible choices, and past history of its play are known to all participants.
|
| A play of the game
|
A game played by two persons only.
|
| A two-person game
|
A competitive activity involving skill, chance, or endurance on the part of two or more persons.
|
| A game with perfect information
|
An instance of the game from beginning to end.
|
| A game without perfect information
|
An overall plan specifying moves to be taken in all eventualities that can arise in a play of the game.
|
5. Match the names of the suits with the pictures.
Hearts, spades, diamonds, clubs.
1) ♠ 2) ♣ 3) ♥ 4) ♦
6. Answer the questions:
1) What is a game?
2) What do we call a play of the game?
3) What is a pure strategy?
4) What games with perfect information can you name? Why?
5) Have games without perfect information got pure strategy?
6) What are zero-sum games?
7. Characterize each game (chess, tick-tack-toe, backgammon, stone-paper-scissors, matching pennies) according to the following criteria:
A game with (without) perfect information, a zero-sum game, a two-person (many person) game
Finish the sentences suggesting your own ideas. Remember, that after ‘because of’ we use either a noun/pronoun or an –ing form.
1. Chess is a two-person game, because of…
2. Stone-paper-scissors is a game without perfect information, because…
3. Matching pennies is not a game with perfect information, because …
4. Stone-paper-scissors is a zero-sum game, because of …
5. Tick-tack-toe is a game with perfect information, because …
Text 3
Read the rules of two games and translate them into Russian.
How to play some games
A Game of Coin Tossing:
Two players take any coin at hand. Big-size coins are more fun. One of them starts tossing the coin and continues for a long time. It will be convenient to assume that the tosses occur at equal intervals of time. If heads, Player 1 wins, say, one kopeck, if tails, Player 2 wins and his opponent pays.
Rock (Stone), Scissors, Paper:
Two players show with their hands one of three figures: rock (that’s a fist), scissors (two fingers are shown), or paper (a player shows a palm); actually they are to choose randomly among these three options, with equal weights. Rock is stronger than scissors, scissors are stronger than paper and paper in stronger than rock. The one, who shows the stronger figure, wins. The fun of playing this game comes from trying to guess and exploit the other player's choices.
Assignments:
Pair work: think of some game you know very well, describe its rules to your neighbour, by analogy with the above mentioned games. Let your neighbour guess which game you were speaking about.
Text 4
The Prisoner's Dilemma
To be able to understand the strategies some games are played according to it is necessary first to get the idea of the prisoner’s dilemma.
Two burglars, Bob and Al, are captured near the scene of a burglary and are given the "third degree" separately by the police. Each has to choose whether or not to confess and implicate the other. If neither man confesses, then both will serve one year on a charge of carrying a concealed weapon. If each confesses and implicates the other, both will go to prison for 10 years. However, if one burglar confesses and implicates the other, and the other burglar does not confess, the one who has collaborated with the police will go free, while the other burglar will go to prison for 20 years on the maximum charge.
The strategies in this case are: confess or don't confess. The payoffs (penalties, actually) are the sentences served. We can express all this compactly in a "payoff table" of a kind that has become pretty standard in game theory. Here is the payoff table for the Prisoners' Dilemma game:
| |
|
Al
|
| |
|
confess
|
don't
|
| Bob
|
confess
|
10,10
|
0,20
|
| don't
|
20,0
|
1,1
|
The table is read like this: Each prisoner chooses one of the two strategies. In effect, Al chooses a column and Bob chooses a row. The two numbers in each cell tell the outcomes for the two prisoners when the corresponding pair of strategies is chosen. The number to the left of the comma tells the payoff to the person who chooses the rows (Bob) while the number to the right of the column tells the payoff to the person who chooses the columns (Al). Thus (reading down the first column) if they both confess, each gets 10 years, but if Al confesses and Bob does not, Bob gets 20 and Al goes free.
So: how to solve this game? What strategies are "rational" if both men want to minimize the time they spend in jail? Al might reason as follows: "Two things can happen: Bob can confess or Bob can keep quiet. Suppose Bob confesses. Then I get 20 years if I don't confess, 10 years if I do, so in that case it is best to confess. On the other hand, if Bob doesn't confess, and I don't either, I get a year; but in that case, if I confess I can go free. Either way, it is best if I confess. Therefore, I'll confess."
But Bob can and presumably will reason in the same way – so that they both confess and go to prison for 10 years each. Yet, if they had acted "irrationally," and kept quiet, they each could have gotten off with one year each.
What has happened here is that the two prisoners have fallen into something called a "dominant strategy equilibrium."
- The Prisoners' Dilemma is a two-person game, but many of the applications of the idea are really many-person interactions.
- We have assumed that there is no communication between the two prisoners. If they could communicate and commit themselves to coordinated strategies, we would expect a quite different outcome.
- In the Prisoners' Dilemma, the two prisoners interact only once. Repetition of the interactions might lead to quite different results.
- Compelling as the reasoning that leads to the dominant strategy equilibrium may be, it is not the only way this problem might be reasoned out. Perhaps it is not really the most rational answer after all.
Assignments:
1. Active vocabulary:
To confess, to implicate, to collaborate, payoff, penalty, interaction, to assume.
2. Find synonyms among the following words:
To cooperate, the most influential, penalty, to commit, to guide, to assume, prison, to lead, dominant, to accomplish, jail, to suppose, punishment, to interact
3. Read the dictionary definitions and find the defined words in the text.
1. Situation in which one has to choose between two things.
2. A person who breaks into a house at night in order to steal.
3. Punishment for wrong-doing, for failure to obey rules or keep an agreement.
4. Something the most important or influential.
5. Department of government, body of men, concerned with the keeping of public order.
4. Turn the sentences into the Active Voice.
1. Bob and Al are captured near the scene of a burglary and are given the "third degree" separately by the police.
2. Some games are played according to certain rules.
3. The two numbers in each cell tell the outcomes for the two prisoners when the corresponding pair of strategies is chosen.
4. If each confesses and implicates the other, both will be sentences for 10 years.
5. The table is read like this…
5. Fill in the gaps with the words and expressions from the text.
1. Two burglars, Bob and Al _____ near the scene of a burglary and are given the "third degree" separately by the police.
2. If neither man _____, then both will serve one year on a charge of carrying a concealed weapon.
3. The one who has _____ with the police will go free.
4. The Prisoners' Dilemma is a two-person game, but many of the applications of the idea are really many-person _____.
5. The two prisoners have fallen into something called a “_____ strategy equilibrium.”
Text 5
Strategies
For the game of coin tossing: there are two pure strategies: play heads or tails. For stone-paper-scissors there are three pure strategies: play stone or paper or scissors. In both instances one cannot just continually play a pure strategy like heads or stone because the opponent will soon catch on and play the associated winning strategy. What to do? There are some ways to control how to randomize. For example, for stone-paper-scissors one can toss a six-sided die and decide to select stone half the time (the numbers 1, 2 or 3 are tossed), select paper one third of the time (the numbers 4 or 5 are tossed) or select scissors one sixth of the time (the number 6 is tossed). Doing so would tend to hide one’s choice from the opponent.
For two-person zero-sum games, the 20th century’s most famous mathematician, John von Neumann, proved that all such games have optimal strategies for both players, with an associated expected value of the game. Here the optimal strategy, given that the game is being played many times, is a specialized random mix of the individual pure strategies. The value of the game, denoted by v,
is the value that a player, say Player 1, is guaranteed to at least win if he sticks to the designated optimal mix of strategies no matter what mix of strategies Player 2 uses. Similarly, Player 2 is guaranteed not to lose more than v
if he sticks to the designated optimal mix of strategies no matter what mix of strategies Player 1 uses. If v
is a positive amount, then Player 1 can expect to win that amount, averaged out over many plays, and Player 2 can expect to lose that amount. The opposite is the case if v
is a negative amount. Such a game is said to be fair if v
= 0. That is, both players can expect to win 0 over a long run of plays. The mathematical description of a zero-sum two-person game is not difficult to construct, and determining the optimal strategies and the value of the game is computationally straightforward. It can be shown that heads-tails is a fair game and that both players have the same optimal mix of strategies that randomizes the selection of heads or tails 50 percent of the time for each. Stone-paper-scissors is also a fair game and both players have optimal strategies that employ each choice one third of the time.
Assignments:
1. Active vocabulary:
Associated winning strategy, to randomize, to toss, designated optimal mix of strategies, computationally.
2. Arrange the following words according to the parts of speech they belong to:
Instance, individual, guarantee, strategy, expect, amount, determine, selection, optimal, randomize, description, value, specialized, averaged, computationally.
3. Give the English equivalents of:
Чистая стратегия, игра с ненулевой суммой, безразлично (неважно), подбрасывать игральную кость, честная игра, «камень-ножницы-бумага».
4. Insert one of the following prepositions that will best suit the context: because, because of, in spite of, despite.
1. In both instances one cannot just continually play a pure strategy like heads or stone ____ the opponent will soon catch on and play the associated winning strategy.
2. For two-person zero-sum games, the 20th century’s most famous mathematician, John von Neumann, proved that just ____ all such games have optimal strategies for both players they can be called fair games.
3. For example, for stone-paper-scissors one can toss a six-sided die and ____ the numbers tossed select either stone, paper or scissors.
4. It can be shown that heads-tails is a fair game ____ the same optimal mix of strategies that both players have.
5. Practise questions and answers. Ask your neighbour:
1. How many pure strategies there are for the game of coin tossing; for the game stone-paper-scissors?
2. What ways there are to control how to randomize?
3. What the optimal strategy is, given that the game is being played many times?
4. What fair games he/ she knows.
6. Give the main ideas of text “Strategies”. Retell the abovementioned text briefly using the main ideas as a plan of rendering.
Text 6
Before you read:
Have you ever had a chance to play any mathematical game? What king of game was it?
Read the text and outline puzzles and games mentioned in it. Try to solve some problems if possible.
Mathematical games and recreations
Mathematical puzzles vary from the simple to deep problems which are still unsolved. The whole history of mathematics is interwoven with mathematical games which have led to the study of many areas of mathematics. Number games, geometrical puzzles, network problems and combinatorial problems are among the best known types of puzzles.
The Rhind papyrus shows that early Egyptian mathematics was largely based on puzzle type problems. For example the papyrus, written in around 1850 BC, contains a rather familiar type of puzzle:
Seven houses contain seven cats. Each cat kills seven mice. Each mouse had eaten seven ears of grain. Each ear of grain would have produced seven hectares of wheat. What is the total of all of these?
Fibonacci is famed for his invention of the sequence 1, 1, 2, 3, 5, 8, 13, ... where each number is the sum of the previous two. In fact a wealth of mathematics has arisen from this sequence and today there are lots of problems related to the sequence. Here is the famous Rabbit Problem.
A certain man put a pair of rabbits in a place surrounded on all sides by a wall. How many pairs of rabbits can be produced from that pair in a year if it is supposed that every month each pair begins a new pair which from the second month on becomes productive?
Cardan (1501 – 1576) invented a game consisting of a number of rings on a bar.
Fig. 3.1
It appears in the 1550 edition of his book De Subtililate .
The rings were arranged so that only the ring A
at one end could be taken on and off without problems. To take any other off the ring next to it towards A had to be on the bar and all others towards A
had to be off the bar. To take all the rings off requires (2n
+1
- 1)/3 moves if n is odd and (2n
+1
- 2)/3 moves if n
is even.
The Thirty Six Officers Problem,
posed by Euler in 1779, asks if it is possible to arrange 6 regiments consisting of 6 officers each of different ranks in a 6 6 square so that no rank or regiment will be repeated in any row or column. The problem is insoluble but it has led to important work in combinatorics.
Another famous problem was Kirkman's School Girl Problem.
The problem, posed in 1850, asks how 15 school girls can walk in 5 rows of 3 each for 7 days so that no girl walks with any other girl in the same triplet more than once. In fact, provided n is divisible by 3, we can ask the more general question about n school girls walking for (n
- 1)/2 days so that no girl walks with any other girl in the same triplet more than once. Solutions for n
= 9, 15, 27 were given in 1850 and much work was done on the problem thereafter. It is important in the modern theory of combinatorics. Around this time Sam Loyd's most famous game was the 15 puzzle. Fig.3.2
It illustrates important properties of permutations.
The most famous of recent puzzles is the of Rubik's cube invented by the Hungarian Ernö Rubik. It's fame is incredible. Invented in 1974, patented in 1975 it was put on the market in Hungary in 1977. However it did not really begin as a craze until 1981. By 1982 10 million cubes had been sold in Hungary, more than the population of the country. It is estimated that 100 million were sold world-wide. It is really a group theory puzzle, although not many people realize this.
The cube consists of 3 3 3 smaller cubes which, in the initial configuration, are coloured so that the 6 faces of the large cube are coloured in 6 distinct colours. The 9 cubes forming one face can be rotated through 45 . There are 43,252,003,274,489,856,000 different arrangements of the small cubes, only one of these arrangements being the initial position. Solving the cube shows the importance of conjugates and commutators in a group.
Assignments:
1. Active vocabulary (turn the words into the active voice and memorize them):
To be interwoven, to be famed, to be related, to be based on, to be arranged, to be posed, to be patented, to be estimated, to be rotated.
2. Suggest synonyms to the following words.
Simple, unsolved, familiar, to suppose, to arrange, to be divisible, a craze, world-wide, to realize.
3. Suggest antonyms to the following words and expressions.
Unsolved, deep problems, best known, to be famed for, insoluble, initial position.
4. Answer the questions:
1. What types of puzzles are the best-known types?
2. What was early Egyptian mathematics largely based on?
3. What is Fibonacci famed for?
4. What famous game did Cardan invent?
5. What problem was posed by Euler in 1779?
6. What was the most famous puzzle of Sam Loyd?
7. What does solving the Ernö Rubik’s cube show?
5. Contradict the following statements. Begin your answer with: “You are mistaken…, that’s not true…, I can’t agree with it…, I doubt the statement…, It’s just the other way round. Quite the reverse…”
1. Mathematical puzzles are the simplest problems which are mathematicians solve every day.
2. The best-known types of puzzles are such games as matching pennies and stone-paper-scissors.
3. Fibonacci is famed for his invention of the sequence 1, 2, 3, 4, 5…
4. Cardan’s problem deals with seven cats and seven mice.
5. The Thirty Six Officers Problem, posed by Riemann, asks if it is possible to arrange 6 regiments consisting of six officers in a 6x6 square.
6. The most famous of recent puzzles is the one of Rubik’s square.
6. Translate the sentences with the modal verbs, paying attention to their meaning in each specific context.
1. The Rhind papyrus shows that early Egyptian mathematics was to be largely based on puzzle type problems.
2. To take any other off the ring next to it towards A had to be on the bar and all others towards A
had to be off the bar.
3. The problem asks how 15 school girls can walk in 5 rows of 3 each for 7 days so that no girl is to walk with any other girl in the same triplet more than once.
4. We can’t but ask the more general question about n school girls.
5. The 9 cubes forming one face can be rotated through 45 .
7. Match the problems with the descriptions.
| Egyptian problem
|
This problem is about the rings, which are to be taken off the bar under certain conditions.
|
| Fibonacci’s problem
|
The problem deals with 15 school girls, walking in rows for 7 days.
|
| Cardan’s problem
|
This problem asks if it if possible to arrange six regiments consisting of six officers each of different ranks in a 6x6 square so that no rank or regiment will be repeated in any row or column.
|
| Euler’s problem
|
This problem is about a pair of rabbits in a place surrounded on all sides by a wall.
|
| Kirkman’s problem
|
We are to deal with cats, mice and grain while solving this problem.
|
8. Retell the text trying to point out as many mathematical games as possible.
Assignments for unit III:
1. Sum up everything you now know about games and game theory and answer the following questions:
a) What is game theory? Who has found it?
b) What is a game? What types of games do you know? Give examples. Describe the rules of a game you know perfectly well.
c) What is the essence of the Prisoner’s Dilemma?
d) What is a pure strategy? Describe a pure strategy for the game of coin tossing.
e) What are the most famous mathematical games and puzzles?
2) Speak on the topic “Game Theory” according to the plan:
a) The definition of game theory, its connection with other sciences.
b) A game (Its definition, types, rules of some games).
c) The Prisoner’s Dilemma as a strategy.
d) Mathematical games and puzzles (give examples).
Try to solve
Problem 2
Three men in the hotel
Three men go to a hotel. They ask the clerk, «How much is a room?" and the clerk tells them it is $30. They each pay the clerk $10 and go to the room. The clerk knew that the room rate was really only $25 and started to feel guilty about overcharging the men so he gave the bellboy a $5 bill and told him to return the money to the men. The bellboy knew that $5 didn't divide evenly among the three men, so he kept the $5 bill and returned one dollar to each of the men, keeping the extra $2 for himself. So each of the three men paid $9 for the room ($27 total) and the bellboy kept $2. Where is the other dollar?
Supplement
Saying numbers
1. Saying
0
in English:
We say oh
after a decimal point 5.03 five point oh three
in telephone numbers 67 01 38 six seven oh one three eight
in bus numbers No. 701 get the seven oh one
in hotel room numbers Room I’m in room two oh six
in years 1905 nineteen oh five
We say nought
before the decimal point 0.02 nought point oh two
We say zero
for the number 0 the number zero
for temperature -5˚C five degrees below zero
We say nil
in football scores 5 - 0 Argentina won five nil
We say love
in tennis 15 – 0 The score is fifteen love
Say the following:
1) The exact figure is 0.002. 2) Can you get back to me on 01244 24907? I’ll be there all morning. 3) Can you put that on my bill? I’m in room 804. 4) Do we have to hold the conference in Reykjavik? It’s 30 degrees below 0! 5) What’s the score? 2 – 0 to Juventus.
2. Per cent
The stress is on the cent
of per cent: ten perCENT
We say:
0.5% a half of one per cent
Say the following:
1) What’s 30% of 260? 2) 0.75% won’t make any difference.
3.
The number 1,999 is said one thousand nine hundred and ninety nine
The year 1999 is said nineteen ninety nine
The year 2000 is said the year two thousand
The year 2001 is said two thousand and one
The year 2015 is said two thousand and fifteen or twenty fifteen
1,000,000 is said a million or ten to the power six
1,000,000,000 is said a billion or ten to the power nine
Say the following: 1) It’s got 1001 different uses. 2) Profits will have doubled by the year 2000. 3) You are one in 1,000,000! 4) No, that’s 2,000,000,000 not 2,000,000!
4. Squares, cubes and roots
102
is ten squared
103
is ten cubed
√10 is the square root of ten.
5.
We usually give telephone and fax numbers
as individual digits:
01273 736344 oh one two seven three, seven three six three four four
344 can also be said as three double four
44 26 77 double four two six double seven
777 can be said as seven double seven or seven seven seven
6.
Notice the way of speaking about exchange rates
:
How many francs are there to the dollar? How many francs per dollar did you get? The current rate is 205 pesetas to the pound.
7. Fractions
Fractions are mostly like ordinal numbers (fifth, sixth, twenty third etc.)
1/3 - a third 1/5 - a fifth 1/6 - a sixth
Notice, however, the following:
1/2 - a half 1/4 - a quarter 3/4 - three quarters 3½ - three and a half
8. Calculating
10 + 4 = 14 ten plus
four is fourteen
ten and
four equals fourteen
10 – 4 = 6 ten minus
four is six
ten take away
four equals six
10 Х 4 = 40 ten times
four is (equals) forty
ten multiplied by
four is forty
10 ÷ 4 = 2½ ten divided by
four is two and a half
9.
When a number is used before a noun – like am adjective – it is always singular. We say:
a fifty-minute lesson not a fifty-minutes
lesson
a sixteen-week semester, a fifteen-minute walk, a twenty-pound reduction, a one and a half litre bottle.
Check yourself
How many of the following can you say aloud in under 1 minute?
1) 234, 567 2) 1,234, 567, 890 3) 1.234 4) 0.00234% 5) 19,999 6) In 1999 7) I think the phone number is 01227-764000. 8) He was born in 1905 and died in 1987. 9) 30 Х 25 = 750 10) 30 ÷ 25 = 1.20 11) Let’s meet in 2023. 12) I can give you 367,086,566 apples. 13) The score is 6-0 to Zenit. 14) I’ll rent room 407. 15) My salary is $ 200 a month. 16) If he was born in 1964 and decided to start working at this problem in 1998, then 34 years had passed before he began doing it. 17) Did you say 0.225 or 0.229? 18) It’s white Lamborghini Diabolo, registration number MI 234662, and it looks as if it’s doing 225 kilometers an hour! 19) Have you got a pen? Their fax number is 00 33 567 32 49. 20) 2/5 21) 2¾
Mathematical symbols dictionary
– identically equal,
– approximately equal,
~ – approximately,
0.(12345) – the repeating decimal with the period 12345,
N
– the set of natural numbers,
Z
– the set of whole numbers (integers),
R
– the set of real numbers,
Ø – an empty set,
– an infinity sign,
– an element x
belongs to a set X
,
– a union of sets X
and Y
,
– an intersection of sets X
and Y
,
{ un
} – a sequence with a general term un
,
[ a
, b
] – a numerical segment,
– numerical semi-segments (semi-intervals),
( a
, b
) – a numerical interval,
– a scalar product of vectors
,
– a vector product of vectors
,
==> – it follows,
<=> – equivalent,
– perpendicular,
– parallel,
– a triangle ABC,
– a function and its derivative
Solutions to problems:
Problem 1: Across the river
In Fig. 4.1, the man has adjusted the brim of his hat so that his eyes just see past the brim of the hat to the distant point X on the other bank of the river. With the ground, this forms a triangle whose shape is fixed by angle at which the brim of his hat is tipped. By turning his head, and looking past the brim of his hat to a point on the ground which is on his side of the river, he will be identifying a point he can reach on foot, which is the required distance away – and all he has to do is pace out the distance.
Fig. 4.1
Problem 2: Three men in the hotel
The three men paid only $25 for the room, not $27; the bellboy returned $3 to them and kept the other $2 for himself. Therefore: $25 + $3 + $2 = $30
Problem 3: Practice questions
1) 12/13 2) 0.15 3) a) 1/16 b) 1/169 c) 100/169 4) a) 1/2 b) 1/2 c) 1/4
Content
Стр.
От составителя 3
Unit I. Triangles 4
Unit II. Prime Numbers 12
Unit III. Game Theory 17
Supplement 29
Bibliography 34
|