| Реферативный журнал
2008

Исследовательская группа
СИДО
Специальный выпуск: Лидерам о Лидерах!
В компаниях нового поколения все чаще стало звучать такое понятие, как "гармоничное лидерство", которое сочетает в себе как традиционные компетенции, которыми должен обладать руководитель, так и набор дополнительных. Недавно в процессе исследования мы и сами пересмотрели наш подход к оценке личностной компетентности менеджеров. Пришлось попотеть над изучением нестандартных тестовых методик!
Наверное, поэтому именно эта тенденция вдохновила нас на создание очередного выпуска реферативного журнала. В частности мы собрали статьи, посвященные важному качеству лидера — эмоциональному интеллекту.
Своеобразным бонусом этого экземпляра стала справочная информация о лидерах рынка маркетинговых исследований, в разделе "Исследовательские компании". Слишком часто в статьях апеллируют к названиям мировых исследовательских групп. При этом никто (кроме узких профессионалов) даже не подозревает о чём или о ком идёт речь. С помощью интернет-сайтов мы выяснили для вас эту информацию.
Читайте, используйте, открывайте новое!
С уважением,
консультанты исследовательской группы СИДО
Богомолова Ирина
Сущенко Юлия
Терегулова Мария
Оглавление:
Анализ доли рынка. 3
Все там будем: кому нужны пожилые покупатели. 4
Изучение эффективности рекламных кампаний. 5
Лапша di Pasta: зачем российские компании создают легенду о западном происхождении своего товара. 7
Методы оценки эффективности рекламной кампании. 8
Оценка эффективности рекламы: очевидное, но невероятное. 13
Оценка эффективности рекламной кампании: миф или реальность. 15
Основные методики исследования эффективности рекламы.. 16
Теория и практика выявления доли рынка, занимаемого товаром и услугой. 18
Эффективность рекламы.. 21
Работа и стресс: уровень стресса в России. 23
Гармоничное лидерство. 24
Мистика лидерства: развитие эмоционального интеллекта. Манфрэд Ку де Ври. 26
Что такое эмоциональный интеллект и как узнать свой уровень EQ?. 28
EQ — секрет успеха?. 29
Капля эмоций против тонны фактов. 31
Настенная проповедь. Как убедить сотрудников разделить корпоративные ценности 33
Забиваем Сайты В ТОП КУВАЛДОЙ - Уникальные возможности от SeoHammer
Каждая ссылка анализируется по трем пакетам оценки: SEO, Трафик и SMM.
SeoHammer делает продвижение сайта прозрачным и простым занятием.
Ссылки, вечные ссылки, статьи, упоминания, пресс-релизы - используйте по максимуму потенциал SeoHammer для продвижения вашего сайта.
Что умеет делать SeoHammer
— Продвижение в один клик, интеллектуальный подбор запросов, покупка самых лучших ссылок с высокой степенью качества у лучших бирж ссылок.
— Регулярная проверка качества ссылок по более чем 100 показателям и ежедневный пересчет показателей качества проекта.
— Все известные форматы ссылок: арендные ссылки, вечные ссылки, публикации (упоминания, мнения, отзывы, статьи, пресс-релизы).
— SeoHammer покажет, где рост или падение, а также запросы, на которые нужно обратить внимание.
SeoHammer еще предоставляет технологию Буст, она ускоряет продвижение в десятки раз,
а первые результаты появляются уже в течение первых 7 дней.
Зарегистрироваться и Начать продвижение
Всесторонняя мотивация сотрудников, или как продлить жизнь на восемь часов. 35
Лояльность персонала: от брака по расчету — к союзу по любви. 37
Глоссарий. 39
Исследовательские компании. 43
Анализ доли рынка
http://www.my-market.ru/market__123.html
Ключевые слова:
Доля рынка.
Расчёт долей рынка
предполагает, что фирма точно определила свой базовый рынок. Доля рынка может быть рассчитана следующими способами.
- Доля рынка по объёму — количество проданных изделий, отнесённое к суммарному объёму продаж на базовом рынке.
- Доля рынка в стоимостном выражении рассчитывается на основе выручки, а не объёма продаж в натуральном значении.
- Доля обслуживаемого рынка рассчитывается не относительно всего базового рынка, а относительно продаж в сегментах, где работает фирма.
- Относительная доля рынка сопоставляет продажи фирмы с продажами конкурентов. Если фирма удерживает 30% рынка, три её главных конкурента 20, 15 и 10%, а остальные 25%, то относительная доля рынка будет равна 43% (30/70).
- Доля рынка относительно лидера определяется сравнением с самым крупным конкурентом. Доля рынка предприятия определяется путём деления его абсолютной доли на долю его ближайшего соперника.
Смысл измерения доли рынка состоит в том, чтобы исключить влияние внешних факторов, которые оказывают одинаковое влияние на все конкурирующие товары, и благодаря этому дать возможность более точно и правильно оценить конкурентную силу каждого из них.
Для проведения анализа, данные представляются в виде таблицы (см. Таблица 1.
).
Данная таблица составляется для каждого товара (услуги) отдельно.
При проведении анализа доли рынка необходимо учитывать следующие моменты:
- Несмотря на рост продаж доля рынка может уменьшиться. Это может быть обусловлено общим улучшением рыночной ситуации и не иметь никакой связи с эффективностью марки товара.
- При вводе на рынок новой марки товара доля каждого конкурента должна упасть даже при отсутствии снижения их эффективности.
- Доли рынка могут колебаться вследствие действия случайных факторов, таких как отдельный крупный заказ.
Таблица 1.
Доля рынка товара услуги на базовом рынке
| |
Сегмент А
|
Сегмент В
|
Сегмент С
|
Объём продаж на базовом рынке
|
| Объём продаж (шт., руб)
|
%
|
Объём продаж (шт., руб)
|
%
|
Объём продаж (шт., руб)
|
%
|
Объём продаж (шт., руб)
|
%
|
| Наше предприятие
|
|
|
|
|
|
|
|
|
| Конкурент 1
|
|
|
|
|
|
|
|
|
| Конкурент 2
|
|
|
|
|
|
|
|
|
| Конкурент 3
|
|
|
|
|
|
|
|
|
| …
|
|
|
|
|
|
|
|
|
| Всего:
|
|
100
|
|
100
|
|
100
|
|
100
|
См. также:
Теория и практика выявления доли рынка.
Все там будем: кому нужны пожилые покупатели
Индустрия рекламы, №5, 2008. — с. 74-77
Дмитрий Фролов
Ключевые слова:
Стиль жизни. Сегментация. Социально-демографические критерии сегментации. Психографические черты. Компания КОМКОН. Компания Nielsen
.
Большинство массовых брендов традиционно стремится понравиться молодой аудитории. Но у тех, кто постарше, уже появились деньги, их потребительская активность растёт. Однако «приручить» их удастся только тем, кто, кроме возраста, будет учитывать и стиль жизни
своих клиентов.
Для того чтобы сегментировать
клиентов маркетологи обычно используют только социально-демографические характеристики
: связка «возраст – доход – покупательская активность» считается устойчивой.
Поэтому чаще всего в качестве ядра своей целевой аудитории компании рассматривают людей в возрасте 25-40 лет. Логика рекламодателей понятна: как правило, это активные потребители, на долю которых приходится наибольшее количество совершаемых покупок. В то же время возрастная группа 45+ воспринимается ими как более консервативная и ригидная. Её привечают разве что продавцы парафармацевтики (особенно БАДов), использующие агрессивные методы продвижения в расчёте на неискушённость пожилых людей в коммерции.
Сервис онлайн-записи на собственном Telegram-боте
Попробуйте сервис онлайн-записи VisitTime на основе вашего собственного Telegram-бота:
— Разгрузит мастера, специалиста или компанию;
— Позволит гибко управлять расписанием и загрузкой;
— Разошлет оповещения о новых услугах или акциях;
— Позволит принять оплату на карту/кошелек/счет;
— Позволит записываться на групповые и персональные посещения;
— Поможет получить от клиента отзывы о визите к вам;
— Включает в себя сервис чаевых.
Для новых пользователей первый месяц бесплатно.
Зарегистрироваться в сервисе
Тем не менее, приходится констатировать, что представления маркетологов, ещё недавно казавшиеся незыблемой истиной, сегодня далеко не так очевидны. Сегодняшние сорокалетние уже не застали социалистической экономики, во всяком случае, в её «полной версии», а потому проблема адаптации к новым экономическим отношениям не стоит перед ними.
Начиная с 2002 года по данным компании КОМКОН
, устойчиво растёт доля «состоятельных» потребителей в возрасте 45+ (с 1% до 16%), а так же доля людей «со средним достатком» (с 3% до 15%).
При этом в 2007 г. люди старше 35 лет составляют 53,5% городского населения России. Более того, это наиболее влиятельные люди. По данным компании Nielsen
, доля этой же возрастной группы среди принимающих решение о покупке в сетевом розничном магазине составила 65,1%.
Внешне «пожилых» покупателей становится всё труднее отличить от молодых. Паспортный возраст перестаёт быть ключевым критерием. Поведение людей, стиль их жизни всё меньше зависят от возраста.
В последние 3-4 года в старших возрастных группах устойчиво растёт доля потребителей, чьи психографические черты
характерны более для молодёжи — «новаторов», «благополучных», «достигших успеха». Доля таких групп, как «традиционалисты» и «выживающие», в которые обычно входят те, кому за 40, наоборот, падает.
Трендом последних лет является старение аудитории Интернета, доля пользователей старше 45 лет в 2005 г. составлял 17%, а в 2007 — 19%.
Изменение ментальности старшего поколения проявляется во многих областях. Например, в ходе выполненного по заказу сети «Формула кино» исследования зрительской аудитории выяснилось, что она ощутимо повзрослела за последние несколько лет.
Так, если в 2002 году доля людей 35-50 лет, ходящих в кино хотя бы раз в год, составляла 17%, то в 2007-м те же люди (17%) проводят свободное время в кинотеатре гораздо чаще — в среднем раз в месяц.
См. также:
Лапша di Pasta: зачем российские компании создают легенду о западном происхождении своего товара.
Изучение эффективности рекламных кампаний
http://psyfactor.org/recl14.htm
Игорь Молчанов
Ключевые слова:
Методика облегчения вспоминания. Методика узнавания. Физиологическое измерение. Метод электромиографии. Методика тестирования продаж.
Самое простое — спросить людей, как они реагируют на рекламу.
Облегчение вспоминания. Наиболее популярный способ выявления эффективности рекламы
— методика облегчения вспоминания
, используемая для того, чтобы определить, в какой мере человек способен вспомнить ее содержание.
Обычно на следующий день после того, как реклама появляется в каком-либо журнале или проходит по радио или по телевидению, группу потребителей спрашивают о том, читали ли они журнал, слушали ли радио или видели телевизионную программу, в которой прошла данная реклама. Если следует положительный ответ, их просят рассказать о ней все, что они могут вспомнить. Чтобы облегчить респондентам процесс вспоминания, интервьюер задает им наводящие вопросы. Но даже если человек и хорошо запомнил содержание рекламы, это вовсе не означает, что он готов купить то, что рекламируют.
Узнавание. Второй способ выявления эффективности рекламы — методика узнавания
. Людям, которые прочитали журнал или видели телевизионную программу, предъявляют копии рекламы и задают вопросы о ней.
Сравнение двух методов (облегчения вспоминания и узнавания) позволяет говорить о том, что узнавание — более чувствительный инструмент измерения степени запоминания телевизионных реклам.
Физиологические измерения
.
Поскольку телевизионные рекламы создаются в расчете на эмоциональную реакцию людей, физиологические измерения зрительских эмоций — эффективный способ оценки их полезности.
В то время, когда испытуемые смотрели рекламы, их физиологические реакции измерялись методом электромиографии
(ЭMГ), предназначенным для оценки изменений электрической активности мышц. Реакцию человека на эмоциональный стимул можно оценить, измерив потенциал некоторых лицевых мышц. Оказалось, что данные лицевой электромиографии тесно и положительно коррелируют с оценкой вспоминаемого содержания рекламы. Иными словами, чем сильнее эмоциональная реакция, тем лучше запоминается реклама и тем эффективнее, по мнению авторов этого исследования, телевизионная реклама.
Методы изучения продаж. Методика тестирования продаж
, разработанная для минимизации этих недостатков, позволяет экспериментаторам контролировать переменные, способные исказить результаты. Тестирование продаж оказалось в высшей степени точным способом оценки влияние рекламы на продажи.
Этот способ заключается в том, что рекламная кампания проводится на каком-то определенном потребительском рынке, в границах какого-либо географического региона, например в одном городе или в ряде сопредельных населенных пунктов. Одновременно в качестве контрольного выбирается потребительский рынок, максимально похожий на тестируемый, и новая реклама на нем не предъявляется. Если тестируемый и контрольный потребительские рынки сравнимы, любое изменение продаж в тестируемом регионе можно рассматривать как результат рекламной компании. Возможность контролировать переменные, потенциально способные исказить результаты исследования, — основное преимущество метода тестирования продаж.
Возврат купонов. Эффективность реклам, помещенных в газетах и в журналах, можно оценить на основании возврата купонов — специальных талонов, прилагаемых к рекламному объявлению и дающих право на льготную покупку или на бесплатное получение товара.
Возврат купонов может свидетельствовать о том, что реклама способна привлечь к себе внимание, но он не будет мерилом влияния рекламы на продажи. Дисконтные купоны эффективны как средство, способное побудить людей сменить торговую марку хотя бы временно.
См. также:
1. Теория и практика и выявления доли рынка.
2. Эффективность рекламы.
3. Оценка эффективности рекламы: очевидное, но невероятное.
4. Оценка эффективности рекламной кампании: миф или реальность.
5. Основные методики исследования эффективности рекламы.
Лапша di Pasta: зачем российские компании создают легенду о западном происхождении своего товара
http://www.salespro.ru/2768; "Sales business/Продажи", № 4, 2008.
Мария Дранишникова, Маргарита Горожанкина
Ключевые слова:
FMCG-сектор. Сегмент. Бренд
.
Эксперты считают: миф о западном происхождении товара может как сыграть на руку производителям, так и вывести их «в минус».
В начале 90-х годов в большом количестве стали появляться псевдоиностранные товары. Дело в том, что импортный продукт у россиян долгое время ассоциировался с высоким качеством. Сегодня играть на подобных стереотипах потребителей пробуют многие игроки F
MCG
-сектора
. Однако, по мнению экспертов, скоро привлечь потребителя таким образом будет довольно сложно.
«Национальность» бренда зависит от существующих у покупателей представлений. В конце 2007 года лаборатория «Управление рынком» Высшей школы маркетинга и развития бизнеса ГУ-ВШЭ провела исследование оценки россиянами типичных черт сорока национальных характеров. Результаты данного исследования показывают, как образ той или иной страны может быть использован при разработке бренда, нацеленного на отечественного потребителя.
Образ страны и национальных характеров добавляет краски в общий имидж бренда и направляет ассоциации в определённое русло. Кроме того, существуют массовые представления о мировой специализации страны: например, английский чай, немецкая техника, французский коньяк и т.п. У российских потребителей премиальность бренда зачастую связана с иностранным происхождением товара. Современные псевдоиностранные бренды принадлежат, как правило, к сегменту
middle up, реже — middle или premium. Как отмечают эксперты, в премиуме легенда о западном происхождении работать не будет: для люксовых товаров массовые представления и массовые каналы малопригодны.
Специалисты утверждают, что скоро географический фактор в позиционировании товара уйдет на второй план. Страна происхождения уже не так важна, поскольку мировые бренды строят свои заводы повсюду. Кроме того, будут меняться представления потребителей о странах-производителях.
См. также:
Все там будем: кому нужны пожилые покупатели.
Методы оценки эффективности рекламной кампании
http://www.simsgroup.ru/articles/effect.php
Ключевые слова:
Экономическая
эффективность рекламы. Коммуникативная эффективность рекламы. Сегментация. Целевая аудитория. Метод измерения запоминаемости рекламы. Торговые марки
.
Можно выделить несколько основных причин низкой эффективности рекламы:
1. Отсутствие конкретных целей и задач рекламной кампании.
2. Несопоставимость целей и задач рекламной кампании с целями маркетинговой деятельности, а также корпоративной стратегии.
3. Отсутствие информации о целевом потребителе и источниках получения им информации (каналы доступа к потребителю).
4. Отсутствие обратной связи с потребителем.
5. Ошибки сегментации
.
6. Низкая квалификация сотрудников, отвечающих за рекламу, а также сотрудников рекламных агентств.
7. Отсутствие систематизации и последовательности при проведении рекламных акций.
Оценка эффективности рекламы начинается на этапе ее разработки. Во-первых, необходимо выделить целевую аудиторию
, а, во-вторых, определить каналы доступа к ней с точки зрения получения информации именно о вашем товаре.
Вообще определение эффективности рекламы связано с изучением целого комплекса взаимосвязанных факторов, влияющих на изменение товарооборота:
· влияние предыдущей рекламной кампании;
· инерция покупательского поведения;
· повторные закупки на основании предыдущих ощущений ценности товара;
· сезонные колебания;
· инфляционные ожидания потребителей;
· другие методы продвижения и т.д.
Существует деление на экономическую и коммуникативную эффективность рекламы.
Экономическая
эффективность рекламной кампании
определяется соотношением между результатом, полученным от рекламы, и вложенными средствами на ее реализацию за определенный промежуток времени.
Здесь можно посоветовать провести анализ влияния вышеозначенных факторов на изменение товарооборота.
Другим способом определения экономической эффективности (правда, менее реалистичным для предприятий, работающих только на одном рынке) может служить метод, когда берутся несколько сопоставимых рынков и, при прочих равных, на них оказывается различное рекламное воздействие. Потом сравниваются финансовые результаты, разницу в которых сравнивают с разницей в рекламных бюджетах и делают вывод о вкладе рекламы в товарооборот фирмы.
Так же существует способ оценки вклада рекламы на основе сравнения собственных расходов с расходами конкурентов и соответственных объемов продаж:

Коэфф. расходов на рекламу =
где Q1
и Q2
— объемы продаж 1 и 2 фирмы соответственно за период времени; V1
и V2
— объем затрат на рекламу этих фирм за тот же период.
Оценка коммуникативного эффекта начинается на стадии разработки рекламы.
Информационная (коммуникативная) эффективность
рекламы
показывает, насколько эффективно конкретное рекламное сообщение передает целевой аудитории необходимые сведения и/или формирует желательную точку зрения.
Существует метод измерения запоминаемости рекламы
(М. Пикулевой), который базируется на трех составляющих: “спонтанное воспоминание” — реклама вспоминается при упоминании категории товара (например, категория “стиральные порошки”, товар — “Тайд”); “воспоминание при предъявлении товара”
— реклама вспоминается после произнесения названия конкретного товара или его демонстрации; “воспоминания после пересказа рекламы”. Сумма этих трех показателей составляет долю целевой аудитории, которая вспомнила рекламное сообщение. Причем смотрят, как показатели соотносятся между собой.
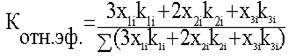
Другие разработчики пошли дальше и предложили коэффициент, показывающий относительный рейтинг рекламы:

где Х 1i
— количество потребителей, вспомнивших о рекламе спонтанно, %; Х 2i
— количество потребителей, вспомнивших о рекламе после предъявлении рекламируемой марки, %; Х 3i
— количество потребителей, вспомнивших рекламу после пересказа ее содержания, %. К 1i
, К 2i
, К 3i
, — используются в случае, когда потребитель называет несколько конкурентных марок одновременно и необходимо определить их вес с точки зрения потребительских предпочтений.
Данный коэффициент позволяет довольно точно определить эффект от рекламной кампании и его можно использовать как для оценки рекламы собственной фирмы, так и для оценки рекламы конкурентов.
Правильный выбор канала распространения информации является одним из этапов разработки эффективной рекламной кампании. Более того, необходимо определить и источник, в котором непосредственно будет размещена реклама (например, канал — телевидение, источник — канал “ОРТ”, программа “В мире животных”).
Методы оценки эффективности теле- и радиорекламы
.
Здесь необходимо отметить, что методы расчета эффективности затрат на рекламу одни и те же как для теле-, так и для радиорекламы, т.е. и в том, и в другом случае используются одни показатели.
Основной характеристикой носителя рекламы в данной группе является “рейтинг
” (Rating) — количество зрителей (слушателей), составляющих целевую аудиторию вашего рекламного сообщения, смотрящих данный канал в конкретное время, отнесенных к числу потенциальных зрителей. Показатель характеризует потенциальную
аудиторию передачи.
 “Общая численность потенциальных зрителей” — люди, имеющие возможность смотреть телевизор.
Другой показатель, используемый в практике медиа-планирования — “доля аудитории передачи” (Share). Этот показатель характеризует долю аудитории, смотрящей конкретную передачу в конкретный момент времени в общей численности всех зрителей, смотрящих телевизор в этот же момент, т.е. степень предпочтения зрителями той или иной программы.
 Третьим показателем, используемым при медиа-планировании, является показатель “доли телезрителей в данный момент
” (HUT — Home Using Television). Он рассчитывается как соотношение общей численности всех зрителей, смотрящих телевизор в данный момент, к общей численности потенциальных зрителей:
HUT = Общая численность всех зрителей, смотрящих телевизор в данный момент / Общая численность потенциальных зрителей * 100%
Исходя из всего вышесказанного, можно выявить определенную зависимость между этими тремя показателями, выраженную в виде формулы.
Рейтинг = Доля аудитории передачи * Доля телезрителей в данный момент
Представляется целесообразным ввод нового показателя — “Количество контактов” (OTS - Opportunity To See), характеризующего количество раз, которое данное рекламное сообщение потенциально могли увидеть потенциальные зрители, безотносительно целевой аудитории.
Кол-во контактов = Сумма рейтингов * Общая численность потенциальных зрителей
Сумма рейтингов и количество контактов являются характеристикой мощности рекламной кампании, т.е. чем выше эти показатели, тем больше шансов, что вашу рекламу увидят хотя бы один раз и тем больше людей увидят рекламу более одного раза.
При использовании суммы рейтингов, полученных из разных источников, существует методика их совмещения:
1. Для каждого источника определяется собственный показатель количества контактов.
2. Все частные показатели количества контактов суммируются (определяется суммарное количество потенциальных контактов).
3. Суммируя все источники, определяется суммарную потенциальную аудиторию кампании — подводят общую базу.
Общую (среднюю) сумму рейтингов рассчитывают как отношение суммы количества контактов (п. 2) к суммарной потенциальной аудитории (п. 3).
В результате воздействия рекламы на целевую аудиторию возникают “экспонированные аудитории”, т.е. группы людей, до которых дошло рекламное сообщение.
 Величина, характеризующая аудиторию, видевшую рекламу в ходе кампании, называется “охват аудитории” (Reach). Охват характеризуется двумя показателями: аудитория, видевшая рекламу n раз — Охват (n) и аудитория, видевшая рекламу не менее n раз — Охват (n+).
При выборе между источниками размещения информации важное значение приобретают стоимостные характеристики (при прочих равных):
 Цена за тысячу обращений к аудитории — “цена за тысячу” (CPT — Cost Per Thousand). Данный показатель используется при выборе различных источников размещения информации или времени размещения в одном.
 Другой стоимостной показатель — “Стоимость за тысячу контактов” (CPT OTS) — цена, которую необходимо заплатить, чтобы рекламу увидели тысячу раз, независимо от реального количества людей, видевших рекламу.
Третий стоимостной показатель, используемый при медиа-планировании — “Стоимость за тысячу представителей целевой аудитории” (CPT Reach).
Если считать основным критерием эффективности рекламной кампании получение максимального значения показателя “Сумма рейтингов”, то является целесообразным ввести коэффициент “Стоимость за единицу суммы рейтингов” (CCP — Cost Per Point), характеризующий эффективность расхода средств.
 Чем меньше этот показатель, тем эффективнее рекламная кампания (с точки зрения рекламодателя).
Методы оценки эффективности печатной рекламы. Оценка эффективности печатной рекламы прежде всего связана с размерами рекламного объявления, количеством цветов блока и месторасположением рекламы (и каналом распространения).
Поэтому для того, чтобы потенциальный клиент постоянно помнил о вас, используют пульсирующую рекламную кампанию, при которой рекламное воздействие повторяется с определенной периодичностью.
Печатные источники имеют “дополнительную аудиторию”, т.к. газеты читают не только те, кто их выписывает, но и друзья, родственники, коллеги. Поэтому необходимо оценить величину дополнительной аудитории — “коэффициент хождения одного номера” (ARI).
Важным показателем, используемым при медиа-планировании и оптимизации бюджета, является показатель GAN, характеризующий аудиторию 12 номеров. Данный показатель является заменителем Reach (1+) для печатных изданий и определяется как процент людей, которые читали хотя бы один из двенадцати вышедших подряд номеров. При еженедельном и ежедневном выходе издания выделяется среднемесячный показатель.
Эти же специалисты предлагают воспользоваться другим методом для повышения эффективности рекламы. В основе этого метода лежит концепция “recency” (от англ. “recent” — последний). Данная концепция базируется на том постулате, что последний перед покупкой контакт оказывает наибольшее влияние на решение о покупке. Т.е. непрерывная рекламная кампания будет более эффективна, чем пульсирующая. В качестве преимуществ данного подхода приводят следующие доводы:
· охват необходим для “перехвата” потребителей в момент осознания потребности и перехода ее в спрос;
· для потребителей не требуется большого количества рекламных контактов;
· метод способствует нейтрализации затухания рекламного эффекта;
· покупки брендов совершаются ежедневно.
Главная цель концепции recency — обеспечение максимального охвата целевых потребителей непосредственно перед моментом совершения закупки.
Приходит “эпоха брендов”, когда множество торговых марок
будут биться между собой за потребителя и главное поле боя — рекламное пространство. От качества рекламы и правильности применения этого метода продвижения будет зависеть процветание фирмы.
См. также:
1. Теория и практика и выявления доли рынка.
2. Эффективность рекламы.
3. Оценка эффективности рекламы: очевидное, но невероятное.
4. Оценка эффективности рекламной кампании: миф или реальность.
5. Основные методики исследования эффективности рекламы
Оценка эффективности рекламы: очевидное, но невероятное
http://www.marketologi.ru/lib/mokrov/ad_effect.html
Мокров А.В., генеральный директор Market Capital Solutions, к.э.н.
Ключевые слова:
Эффективность рекламы. Напоминающая реклама. Стимулирующая реклама. Провокационная реклама. Метод измерения количества обращений. Директ-маркетинг. Целевая аудитория. Бренд. Маркетинговые исследования
.
Проблема оценки эффективности рекламы
стара, как сама реклама.
Технологии оценки эффективности рекламы существуют, но очень сильно зависят от специфики конкретной ситуации. Можно выделить основные принципы и правила построения технологий оценки эффективности рекламы.
1. Динамический характер рекламных измерений
Прежде всего, необходимо отметить, что все измерения в рекламе принципиально носят динамический характер (т.е. подразумевают периодические замеры с дальнейшим сравнением значений показателей друг относительно друга).
Но лучше (корректнее) всего сравнивать результаты двух похожих (имевших одинаковые цели) рекламных кампаний и оценивать их эффективность друг относительно друга. Рекламные измерения характерны тем, что у них, как правило, отсутствует "база для сравнения" (начало координат, абсолютный ноль и пр.). Поэтому сравнивать приходится либо со своими предшествовавшими результатами (принимая во внимание сезонность и динамику развития рынка), либо с результатами рекламных кампаний конкурентов (например, сравнивая число посетителей в магазинах и оценивая величину рекламного бюджета конкурента исходя из объемов размещаемых материалов).
Динамический характер рекламных измерений определяется психологической сущностью рекламы. Реклама, по своей сути, — это гипноз. Эффективность напоминающей рекламы
вообще померить сложно, поскольку "напоминание" — категория достаточно виртуальная.
Наиболее часто в природе встречается стимулирующая реклама
. Самым тривиальным показателем, позволяющим грубо оценить эффективность стимулирующей рекламы, является количество обращений.
Реклама любит повторяемость. Следовательно, первое правило рекламных измерений можно сформулировать так: регулярная реклама — регулярные замеры эффективности.
2. Показатели эффективности стимулирующей рекламы
Очевидно, что прежде чем начинать заниматься измерением, надо определиться с тем, какие параметры будем мерить. Другими словами, надо задать систему координат. Понятно, что одной из координат будет размер рекламного бюджета (с возможной разбивкой по СМИ). В свою очередь, показатели, используемые для оценки эффективности, будут очень сильно зависеть от целей рекламной кампании.
Цели рекламы могут быть совершенно разными. Реклама может информировать, напоминать, стимулировать, создавать ожидания, повышать капитализацию бренда и пр.
Количество обращений меряется простыми счетчиками (журнал учета звонков, электронный счетчик на двери магазина и т.д.). Именно вследствие своей простоты этот метод представляется очень заманчивым.
Используя метод измерения количества обращений
надо иметь ввиду следующее. Данная технология является достаточно грубой, поскольку позволяет померить только размер "горячего" рынка (тех, кто "дошли"). Особенно хорошо это наблюдается на примере продвижения услуг методами директ-маркетинга
с дальнейшим прозвоном.
Второе ограничение метода заключается в следующем: число обратившихся "в головах" не дает возможность понять, какие ассоциации формирует у потенциальных покупателей стимулирующая реклама. Особенно это актуально для провокационной рекламы
, когда первый импульс обратиться бывает очень силен, а по прошествии некоторого времени в подсознании оседает негатив, препятствующий покупке.
Наконец, эффективность стимулирующей рекламы следует оценивать не просто "в обращениях", а в "обращениях от целевой аудитории
".
3. Показатели эффективности информирующей и имиджевой рекламы
Кроме краткосрочного стимулирующего эффекта реклама может иметь долгосрочные цели. Например, формирование ожиданий или укрепление бренда
. Очевидно, что достижимость этих целей обращениями не измерить. Необходимы специализированные исследования, ориентированные на изучение восприятия потребителей.
Управление брендом (включая все необходимые измерения и оценки воздействия коммуникаций на потребителей) удобно осуществлять в четырехкоординатной модели, предложенной Дэвидом А. Аакером (David A. Aaker) в работе "Управление капиталом бренда" (Managing brand equity: Capitalizing on the value of a brand name. — New York: The Free Press, 1991). Данная модель оценивает капитал бренда на основе следующих активов: информированность (идентификация), лояльность, воспринимаемое качество и ассоциации с брендом. Все эти показатели поддаются измерению и оценке в ходе специализированного маркетингового исследования
.
Регулярное (раз в 6 ‑ 12 месяцев) проведение исследования по оценке основных характеристик бренда позволит получить данные по динамике изменений данных показателей. Для удобства работы с данной информацией целесообразно анализировать изменения состояния бренда в 3х координатном пространстве: уровень идентификации (%), лояльность (%), воспринимаемое качество (%).
4. Оценка эффективности рекламы на сложных рынках
Самое важное и сложное на таких рынках определить граничные значения каждого из показателей для каждого участника процесса принятия решения о покупке, т.е. сформировать матрицу показателей эффективности.
Несмотря на наличие большого количества способов расчета эффективности рекламных компаний, каждому менеджеру, занимающемуся этим вопросом, предстоит изобрести "свой велосипед" — уникальную комбинацию всех существующих методов и ее адаптацию непосредственно к специфике своего бизнеса.
См. также:
1. Изучение эффективности рекламных кампаний.
2. Методы оценки эффективности рекламной компании.
3. Эффективность рекламы.
4. Оценка эффективности рекламной кампании: миф или реальность.
- Основные методики исследования эффективности рекламы.
Оценка эффективности рекламной кампании: миф или реальность
http://www.marketing.spb.ru/lib-comm/advert/effective_advertising.htm
Фурсов Михаил, генеральный директор директ-маркетингового агентства «Экспресс-Реклама»
Ключевые слова:
Маркетинговые исследования. Модель «возврата инвестиций» (
return
on
investment
,
ROI
). Эффективность рекламы.
Среди экспертов мировых компаний, занимающихся маркетинговыми исследованиями
, достаточно широко распространен метод оценки коммуникативной эффективности. Основная идея данного метода состоит в том, что затраты на рекламу рассматриваются как инвестиции. Очевиден главный плюс этого метода: все показатели, участвующие в расчетах количественные, большинство из которых эндогенные переменные (заданные изначально), такие как целевой охват аудитории, стоимость отклика на рекламу и др.
Наиболее "простой" и в то же время достаточно "правдивой" в оценке эффективности инвестиций является модель "возврата инвестиций" (return on investment, ROI)
или, другими словами, рентабельность инвестиций. В данной статье представлен один из способов практического применения данной модели в оценке эффективности рекламной кампании.
Рассчитываем коэффициент ROI:
ROI = ((Доход от кампании - (Затраты на семинар) / Затраты на семинар)*100
Следует отметить, что ROI считается хорошим, если больше 300 %, а 500 % и более — отличным.
Если же ROI был бы отрицательным, то рекламная кампания провалилась, и компания потеряла деньги.
0 % — компания осталась "при своих". Рекламная кампания оказалась не эффективной.
Не менее интересный аспект связан с планированием ожидаемой эффективности маркетингового мероприятия, своего рода, служащий обоснованием целесообразности проведения той или иной рекламной кампании.
Для нахождения "максимальной" эффективности (ROI) рекламной кампании при "минимальных" затратах на ее организацию, достаточно провести графический анализ функции зависимости ROI от инвестиций.
Изучение эффективности рекламы
для компании имеет большое значение. Необходимо всегда знать, является ли рекламная кампания результативной, оказывает ли она должное воздействие на потенциальных заказчиков. Следует ли пересмотреть этот вопрос и принять решение о замене одной рекламной кампании на другую, более эффективную.
Используя современные модели оценки эффективности рекламных кампаний, такие как, например, ROI — можно всегда ответить на эти и многие другие вопросы.
См. также:
1. Изучение эффективности рекламных кампаний.
2. Методы оценки эффективности рекламной компании.
3. Эффективность рекламы.
4. Оценка эффективности рекламы: очевидное, но невероятное.
5. Основные методики исследования эффективности рекламы.
Основные методики исследования эффективности рекламы
http://business.rin.ru/cgi-bin/search.pl?action=view&num=341288&razdel=16&w=0&p_n=1
Ключевые слова:
Эффективность рекламы. Экспериментальные методы современной психологии.
Исследования эффективности рекламы
— одно из важных и перспективных направлений современных маркетинговых исследований. В целом исследования эффективности рекламы подразделяются на несколько этапов:
1. Предварительный прогноз эффективности воздействия созданного рекламного объявления (претест);
2. Контроль эффективности рекламного сообщения (пост-тест), предназначенный для исследования того, достигла ли реклама поставленной цели, и какие выводы можно извлечь из проведенной рекламной кампании.
Наиболее эффективным оказывается тестирование рекламной продукции как на этапе "Запуска" кампании, так и после ее завершения. Если речь идет о полномасштабной рекламной кампании, то необходимо предварительное тестирование сначала самой концепции планируемой кампании, а потом — отдельных ее элементов (видеороликов, полиграфической продукции).
Изучение восприятия рекламной информации осуществляется на основе экспериментальных методов современной психологии
, позволяющих выявлять сознательные и подсознательные элементы восприятия текстовой и графической информации. При изучении воздействия рекламного материала проводятся следующие исследования:
· процесса восприятия информации;
· активизации;
· способности информации вызывать доверие;
· понятности текстов.
В качестве инструментария на данном этапе используются методы наблюдения, интервью, психофизиологические методы, метод ассоциативного эксперимента, контент-анализа и др. Очень часто для эффективного изучения восприятия используются механические средства: специальные камеры, тахистоскопы для выявления спонтанных впечатлений от рекламного материала. В результате исследования определяются индексы привлечения непроизвольного внимания, привлекательности и запоминаемости рекламного объявления.
В процессе наблюдения изучается поведение лиц, входящих в исследуемую группу во время процесса восприятия рекламы. Для анализа журнальной рекламы часто используется так называемый Compagon-метод. Он заключается в том, что группу людей, приглашенную для опроса, на некоторое время оставляют в комнате, где имеются журналы с соответствующими рекламными вставками. Поведение людей снимается на пленку, а потом с их разрешения анализируется специалистами. В завершение методом глубинного интервью выясняется степень запоминаемости рекламного объявления: респонденту предлагается завершить неоконченные предложения, придумать словарные ассоциации.
Другой метод анализа восприятия заключается в слежении за взглядом человека при рассматривании рекламы. При этом специальные камеры фиксируют движение глаз, чтобы понять, в каких точках взгляд останавливается в первую очередь, где задерживается, куда возвращается. Данные о зафиксированных элементах рекламы и их последовательности очень важны, так как во время фиксации воспринимается информация, а от числа точек фиксации зависит запоминание.
Иллюстрации рассматриваются раньше, чем текстовые элементы, при условии, что они занимают не менее четверти площади рекламного объявления.
Элементы, которые фиксируются раньше, длительнее или чаще, чем другие, запоминаются лучше.
На этапе контроля эффективности рекламы существует большое разнообразие методик и критериев. Наиболее распространенным критерием эффективности рекламы на практике является запоминание рекламы продукта или марки. Тот критерий является показателем успеха коммуникационной модели. Для его определения используют методы, основанные на узнавании и вспоминании. В научных исследованиях основным методом является измерение впечатлений и представлений. Используя эти методики, можно проводить следующие исследования:
· Сравнительный анализ доли читателей рекламных объявлений последнего номера и читателей предыдущих номеров. Определяется тенденция повышения (спада) интереса к тому или иному рекламному объявлению.
· Сравнение читательской аудитории определенного продукта (марки) с конкурирующим продуктом (маркой).
· Сравнительный анализ рекламных публикаций с целью выяснения наиболее эффективных характеристик объявлений для привлечения читательской аудитории.
· Активное/ пассивное знание марок.
· Ассоциативная эффективность рекламы.
Изучение эффективности психологического воздействия рекламы является одной из ключевых задач планирования и реализации рекламной кампании. Поэтому ее конечный успех во многом зависит от того, насколько качественно были проведены соответствующие исследования.
См. также:
1. Изучение эффективности рекламных кампаний.
2. Методы оценки эффективности рекламной компании.
3. Эффективность рекламы.
4. Оценка эффективности рекламы: очевидное, но невероятное.
- Оценка эффективности рекламной кампании: миф или реальность.
Теория и практика выявления доли рынка, занимаемого товаром и услугой
http://www.management.com.ua/marketing/mark086.html#resp
Ольга Егина
Ключевые слова:
Доля рынка. Эффективность рекламы. Имидж фирмы. Товарный знак. Коэффициент эластичности. Выборка. Панель.
Самарские организации по-разному походят к определению своей доли рынка
. Часть фирм считают долю своими силами, основываясь на опросах покупателей и анализируя рекламу и действия конкурентов, некоторые даже пытаются разрабатывать собственный, "авторский" инструментарий для расчетов или заказывают специальные исследования в агентствах.
Общеизвестно, доля рынка выпускаемой продукции является важным индикатором коммерческой эффективности работы фирмы.
Однако, надо сказать, что не везде в мире именно доля рынка является ключевым показателем успешности компании. В мировой экономике существуют более-менее четкие различия в установлении целевых ориентиров фирм. Например, в США и Европе компании ориентируются на целевую прибыль, как правило, прибыль на акции.
В России и СНГ более распространен курс на целевой объем сбыта (для крупных старых предприятий часто в натуральном выражении). Такой подход опирается на наследие плановой экономики и постепенно уступает место западному, то есть целевой прибыли.
А вот в Японии основная цель — занятие доли рынка. Причем, принято считать, что "культ" доли рынка в японских корпорациях произошел от феодальных традиций: корпорация, как и самурайский клан, борется с другими корпорациями — кланами за долю рынка (земельные владения), причем все сотрудники рассматриваются как подданные корпорации (члены клана).
Доля рынка
— соотношение между объемом продаж продукта или услуги данной компании и объемом продаж продуктов, производящихся в данной товарной категории всеми фирмами, действующими на данном рынке.
Доля рынка в стоимостном выражении = стоимость проданных фирмой товаров / общую стоимость проданных на данном рынке товаров.
Доля рынка по размеру маркетингового давления = стоимость маркетинговых усилий фирмы / совокупность размеров расходов на маркетинг на данном товарном рынке.
На показатель доли рынка оказывают непосредственное влияние цены на товары или услуги, реклама, ее эффективность
и качество, затраты фирмы на рекламные мероприятия, имидж
фирмы, наличие или отсутствие товарного знака
и его узнаваемость, качество продукции или оказания услуг.
Анализ доли рынка начинает реально помогать в развитии фирмы, только если он проводится периодически и за достаточно длительные промежутки времени. При этом необходимо учитывать, что на объективность расчетов сильно влияют сложность получения полной и достоверной информации по рынку.
Для определения доли рынка мировые маркетинговые агентства предлагают 10 основных методов:
1. Розничный аудит
— измерение относительной доли продаж различных товаров, используя данные продаж репрезентативной выборки розничных магазинов. При этом сопоставляются продажи собственного товара с собственной представленностью среди конкурентов, затем, используя коэффициент эластичности
, рассчитываются остальные участники рынка. Проводится обычно ежемесячно или 1 раз в 2 месяца. Использование этого метода требует сильного математико-статистического аппарата и глубокого знания рынка. Недостаток этого метода в том, что он не позволяет учитывать объемы запасов товара у конечного потребителя.
2. Дневниковая потребительская панель
— используя постоянную выборку
респондентов (панель
), с помощью дневника (записи + чеки и квитанции) фиксируются все покупки, сделанные участниками панели. Полученные данные переводятся в относительные доли продаж товаров — доли рынка. Дневниковые записи используются многими фирмами в США. Как правило, такие панели сбалансированы по показателям размера семьи, возраста главы семьи, семейного дохода и географии. Участники панели подбираются ежеквартально и добавляются к активному списку после получения от них отчета, отвечающего стандартам компании, проводящей исследования. Участники панели награждаются за участие в ней призами, семья может быть исключена из панели по заявлению, или просто не прислав подряд трех отчетов. В России этот метод начинают осваивать некоторые крупные маркетинговые компании в Москве, но в регионах он встречается еще очень редко.
3. Сканнер-панель
аналогична предыдущему методу, за исключением способа фиксации покупок. В данном случае респондентам выдается идентификационная карточка (или используется кредитная карточка респондента). Человек предъявляет (использует) карточку при оплате покупок в магазине, использующем сканнер штрих-кода. К данным, считанным сканером, прикрепляется код респондента. В отличие от первого метода, сканнер-панель позволяет оценить продажи внутри различных сегментов потребительского рынка. Но этот метод применим только в странах с очень высокой степенью автоматизации торговли — необходимо, чтобы практически все покупки делались в магазинах, оборудованных сканерами, так что использование данного метода в России в ближайшем будущем объективно не предвидится.
4. Опрос предпочтений
— респондентов напрямую спрашивают, какие товары и как часто они покупают — частота покупок умножается на среднюю покупку. Часто опрос также включает измерение узнавания определенных марок и отношения к ним. Это наиболее дешевый и наименее надежный метод
. Из-за своей простоты и доступности, именно он получил наибольшее распространение и в настоящий момент именно он взят за основу при вычислении долей рынка самарскими компаниями.
5. Парный опрос предпочтений
— сопоставляются пары товарных марок, из которых респондент должен выбрать одну. Полученные баллы — количество "побед" марки в сравнениях, используется в соответствующей формуле. Сопоставив 2 или 3 раза полученные оценки долей и оценки, полученные другими методами (например, 1-м — более дорогим и точным), выводится коэффициент поправки. При последующих волнах исследований метод парных предпочтений с учетом коэффициента поправки дает достаточно точные результаты при небольших расходах.
6. Шпионаж за персоналом конкурентов
— зная приблизительно продуктивность труда в отрасли и количество рабочих, занятых на производстве у основных конкурентов, можно оценить объемы производства конкурентов, умножив продуктивность труда на количество рабочих.
7. Шпионаж за сырьем
— зная затраты сырья на единицу продукции и объемы закупок сырья конкурентами, можно оценить объемы производства конкурентов, разделив объем закупок сырья на затраты сырья на 1 единицу продукции. Этот метод удобно использовать при централизованных поставках сырья на рынке.
8. Шпионаж за сбросом отработанного материала
— зная выход отработанного материала за единицу товара в среднем и объемы производственных отходов конкурентов, можно рассчитать объем производства конкурентов, разделив объем производственных отходов на отходы на единицу продукции.
9. Прямой шпионаж
— выяснение объема производства конкурентов. На Западе иногда такие данные можно взять из открытых публикаций.
10. Налоговый шпионаж
— получение закрытых данных налоговых органов. На нашей почте также мало применим, так как не всегда и налоговая знает всю правду.
Помимо важности определения доли рынка самой по себе, этот показатель важен для определения бюджета рекламной кампании. Считается, что доля рекламных расходов фирмы в общих рекламных расходах данной товарной группы в процентах не должна быть меньше доли рынка. На практике же, как правило, наоборот, вычисляют рыночные доли конкурентов, основываясь на интенсивности рекламной деятельности, что дает очень приблизительный результат.
Практическое измерение доли рынка — задача достаточно непростая. Особенно, если принять во внимание динамизм сегодняшних рынков. Представьте себе такие отрасли, как, например, модную одежду или же высокие технологии. Выходом в этом случае может быть расчет доли для относительно четко ограниченного периода времени и конкретного положения конкурентов на рынке.
См. также:
1. Анализ доли рынка.
- Изучение эффективности рекламы.
Эффективность рекламы
http://www.preview.ru/effektivnost_reklamy/
Ключевые слова:
Эффективность рекламы. Маркетинговые исследования. Торговая марка. Метод измерения запоминаемости рекламы.
Принято выделять два вида эффективности рекламы
: коммуникационную и конечную (по результатам продаж). Маркетинговые исследования
в существенной своей части направлены на определение коммуникационной эффективности рекламы, определить которую существенно легче по сравнению с конечной эффективностью. В данной статье речь идет о том, какие исследования можно проводить, когда стоит задача оценить эффективность рекламной кампании.
Можно выделить несколько уровней влияния рекламы:
| Когнитивный уровень
|
На изменение знаний о фирме её товарах и услугах
|
| Аффективный уровень
|
На формирование позитивного отношения к производителю
|
| Побуждающий уровень
|
На формирование намерений вступить в контакт с фирмой, приобрести её товар
|
Как правило, исследования эффективности рекламных кампаний проводятся «до» и «после» проведения рекламной кампании. Если марка только выходит на рынок или мало известна на рынке, то исследования стоит проводить только «после», при этом основным показателям изначально присваиваются нулевые значения.
Исследование эффективности рекламной кампании позволяет оценить влияние рекламы на потенциального потребителя по ряду показателей:
· охват целевой аудитории
· активное, пассивное знание рекламируемой марки (товара)
· понимание и распознаваемость рекламного сообщения (рекламы)
· запоминаемость элементов рекламы, рекламного сообщения
· притягательную и агитационную силу рекламного сообщения
· намерение купить, пользоваться рекламируемым товаром
· общее отношение к рекламе
· сложившийся образ фирм
Какие вопросы задаются?
1. Уровень известности марки «до» и «после» проведения рекламной кампании
Какие
торговые марки вы знаете?
Первая названная марка (top-of-mind) — это косвенный показатель лидерства на рынке (конечно, если рассматривать массовые рынки).
Спонтанное знание (знание марки без подсказки) — определяет основных игроков рынка.
Какие торговые марки вы знаете из данного списка?
Знание с подсказкой (наведенное знание, пассивное знание) — определяет степень конкурентности рынка.
2. Знание рекламы данной категории товаров
Аналогично уровню знания марки фиксируется как спонтанное, так и наведенное знание.
Cуществует метод измерения запоминаемости рекламы
(М. Пикулевой), который базируется на трех составляющих: “спонтанное воспоминание” — реклама вспоминается при упоминании категории товара; “воспоминание при предъявлении товара определенной торговой марки”
— реклама вспоминается после произнесения названия конкретного товара или его демонстрации; “воспоминания после пересказа рекламы”. Сумма этих трех показателей составляет долю целевой аудитории, которая вспомнила рекламное сообщение. Причем смотрят, как показатели соотносятся между собой.
3. Отношение к рекламе в целом
Исследователями доказано, что лучше работает та реклама, которая нравится. Поэтому в исследованиях по эффективности рекламной кампании задаются вопросы: «Понравилась ли вам реклама товара N?», «Насколько Вам понравилась реклама товара N?», «Интересна ли вам реклама товара N?» и т. д.
4. Понимание основной идеи рекламы, пересказ содержания
Для будущих кампаний очень важно оценить, что запомнили в рекламе, поняли ли то, что рекламодатели хотели донести до потребителей, как именно пересказывают содержание рекламы, какой характер ей присваивают.
5. Какие чувства по отношению к товару возникают после просмотра рекламы
Обычно вопрос звучит так: «Что Вы можете сказать о данной торговой марке после того, как Вы увидели эту рекламу?». Как правило, исследователи предлагаю определенные характеристики, с которыми респонденты могут согласиться или нет.
6. Влияние рекламы на поведение потребителя
В конечном итоге эффективность рекламной кампании определяется совершенными покупками. Известно, что мнение респондента может расходиться с поведением. Поэтому необходимо задавать вопросы о поведении: «Какую марку категории N вы купили в последний раз?», «Какую марку предпочитаете?» и т.д.
См. также:
1. Изучение эффективности рекламных кампаний.
2. Методы оценки эффективности рекламной компании.
3. Оценка эффективности рекламной кампании: миф или реальность.
4. Оценка эффективности рекламы: очевидное, но невероятное.
- Основные методики исследования эффективности рекламы.
Работа и стресс: уровень стресса в России
http://www.eq-rating.ru/content/view/103/2/
Ключевые слова:
Стресс. Диагностика уровня стресса. Удовлетворённость работой.
Международное агентство по подбору персонала Kelly Services в 2005 году провело глобальное исследование по диагностике уровня
стресса
, испытываемого сотрудниками на работе. Исследование охватило большинство европейских стран, число опрошенных превысило 19 тыс. человек.
Респонденты отвечали на вопрос: "Насколько напряженная у Вас работа? Как часто Вы испытываете стресс в течение рабочего дня?". По результатам исследования, самый высокий уровень стресса наблюдается у менеджеров (34%) и сотрудников отделов продаж (32%).
В странах Европы зафиксирована очень интересная ситуация: чем благополучнее и спокойнее страна, тем сильнее стресс у работающего населения. Так, напряженнее всего работают жители Швеции и Швейцарии — 33% опрошенных в этих странах полагают, что уровень рабочего стресса очень высокий. В России этот показатель значительно ниже — всего 24%. В Испании же и в Нидерландах меньше всего людей, считающих, что их работа очень напряженная — 19% и 16% соответственно.
Также исследование установило интересную взаимосвязь между уровнем рабочего стресса и степенью удовлетворенности работой
. Из сотрудников, считающих, что их труд очень напряженный, 51% в целом счастливы на работе. Из тех же, кто ответил, что у них достаточно стрессовые будни, но в меру, уже 70% полностью удовлетворены и счастливы на работе.
"Для работодателя важно следить за тем, чтобы уровень стресса сотрудников не был слишком высоким или длительным, — считает Тамара Ачба, менеджер по маркетингу Kelly Services, - так как это напрямую влияет на эффективность работы, связанную, в первую очередь, с физическим и эмоциональным состоянием человека. Сотрудники, постоянно работающие очень напряженно, теряют в качестве, к тому же их усталость влияет и на настроение коллег, отражается на клиентах, партнерах и так далее. Необходимо найти оптимальный баланс между чрезмерным количеством стресса и его недостатком. Как показало исследование, именно такой баланс найден в России".
См. также:
1. Капля эмоций против тонны фактов.
2. Мистика лидерства: развитие эмоционального интеллекта.
3. Что такое эмоциональный интеллект и как узнать свой уровень EQ?
- EQ — секрет успеха?
Гармоничное лидерство
http://www.eq-rating.ru/content/view/138/2/
Ключевые слова:
Лидерство. Компетенции. Лояльность. Эффективность труда. Навыки. Руководители. Интеллект. Ценности. Команда.
Компаниям нового поколения необходимы лидеры
с новым набором компетенций, значительно отличающимся от традиционного. В 2000 году в своей речи перед выпускниками MIT Карли Фиорина (Carli Fiorina), занимавшая тогда пост генерального директора Hewlett Packard, определила новый подход к управлению так: "Используя один лишь интеллект, вы не сможете принимать правильные решения, и в результате будете двигаться в неверном направлении. Поэтому вам нужно не просто научиться слушать свои мысли. Вам придется овладеть искусством понимания языка своего сердца". Это и есть "гармоничное лидерство", то есть способность сочетать рациональность мышления и эмоции.
Гармоничные лидеры добиваются успеха, работая над главными его составляющими: компетенциями, лояльностью и эффективностью труда
персонала. Они умеют заинтересовать сотрудников не только вознаграждением и другими материальными поощрениями, но и вселить в них страсть к своей работе.
Представленные ниже четыре группы лидерских навыков
существовали в корпоративном мире всегда, но они очень редко применялись системно. В будущем эти навыки станут самыми обычными качествами лучших руководителей
, возглавляющих лучшие компании.
1. Гармоничное общение
Лидер нового типа не просто много общается с сотрудниками компании. Он старается активно прислушиваться ко всей полученной от других людей информации, соотнося с ней свою деятельность. А поскольку многие сотрудники крупного бизнеса сегодня представляют разные этносы и культуры, лидер должен уметь мыслить в двух измерениях, то есть "широко" и "глубоко". В каждой компании есть свои "оппоненты". Не нужно видеть в них врагов, ведь их талант можно использовать на благо бизнеса. Нужно дать им возможность раскрыться и найти уязвимые места в обсуждаемых решениях и, возможно, предложить свои варианты. Такие люди — ценный ресурс, способный сделать лидера мудрее.
2. Сочетание интеллекта и интуиции
Традиционно интеллект
в корпоративном мире ценился намного выше интуиции. Но сегодня, когда бизнес требует практически круглосуточной вовлеченности, необходимая информация может оказаться недоступной в нужный момент. Что же остается делать лидеру? Довериться интуиции. Предвидение должно быть использовано в сочетании с интеллектом. Соединяясь вместе, эти, по сути, не похожие друг на друга навыки, дают руководителям возможность проводить в жизнь самые рискованные, но победоносные инициативы.
3. Ценности компании дороже ее стоимости
В процессе роста компании от семейного предприятия до международной корпорации ее руководители так тщательно следят за стоимостью бизнеса (доходы, рыночная стоимость, капитализация), что периодически упускают из виду ценности
, то есть более глубокие и более важные с точки зрения долгосрочных перспектив понятия.
Томас Дж. Уотсон-младший (Thomas J. Watson Jr.), в прошлом генеральный директор IBM, писал об этих ценностях еще в 1963 году, называя их "убеждениями". В корпоративном буклете IBM того времени говорилось: "…Чтобы выжить и достичь успеха, любая организация должна иметь постоянный свод убеждений, на основе которых она строит всю свою политику. Я также уверен в том, что искренняя приверженность этим убеждениям является главнейшим фактором корпоративного успеха… Политика, практика и цели должны отвечать убеждениям, а в случае противоречий — меняться в соответствии с ними".
Корпоративные ценности не несут в себе никакого смысла, если они существуют лишь на бумаге (или, как вариант, на сайте компании). Их истинная сила — в создании чувства единства рядовых сотрудников, руководителей и акционеров. Но, для того чтобы получить способность вдохновлять и вести за собой, ценности должны стать главными принципами работы и существования реальных людей. И в первую очередь — лидеров. Билл Бернбах (Bill Bernbach), один из основателей рекламного агентства DDB Worldwide Communications, сказал однажды: "Принцип не может стать настоящим принципом, если он ничего вам не стоил". Гармоничные лидеры выбирают ценности, даже если может показаться, что стоимость компании находится под угрозой.
4. Аутентичность превыше всего
Для гармоничного лидера этот пункт имеет первостепенное значение. Чтобы доверять вашим решениям, людям нужно научиться доверять вам лично. Для этого вы обязаны понимать самого себя, то есть осознавать, что для вас имеет наибольшую ценность, учитывать свои сильные и слабые стороны. Чтобы быть собой, требуется мужество. Но это абсолютно необходимо, если вы стремитесь завоевать преданность последователей. Нужно быть способным открыться перед ними, дать им увидеть ваше истинное лицо. Не ваше "идеальное Я" и не "всегда правое Я", а ваше "подлинное Я". Истинные лидеры делятся своими знаниями, мыслями, убеждениями и чувствами.
Когда вы признаете свою слабость и просите помощь, вы даете право всем остальным делать то же самое. Вы создаете в команде
атмосферу взаимопомощи, что позволяет ее игрокам сконцентрироваться на стремлении к совершенству, а не на ожидании от вас безупречности в работе.
Все четыре типа навыков гармоничного лидера, как ни странно, имеют отношение к эмоциональной стороне личности. Именно эти качества способны дать западной корпоративной культуре новый толчок в развитии, ведь традиционно она базировалась на жесткой воле, рациональности и стереотипах.
См. также:
1. Мистика лидерства: развитие эмоционального интеллекта. Манфрэд Ку де Ври.
- Что такое эмоциональный интеллект и как узнать свой уровень EQ?
Мистика лидерства: развитие эмоционального интеллекта. Манфрэд Ку де Ври
http://www.eq-rating.ru/content/view/72/2/
Тихонова М.
Ключевые слова:
Эмоциональный интеллект. Стресс. Лидерство. Руководители. Исследования. Команда. Ценности.
"Хотя людей чаще нанимают вначале ради их специфических технических навыков, на более высоких уровнях организации именно эмоциональный потенциал отличает успешную карьеру от карьерного застоя", — пишет в своей книге "Мистика лидерства. Развитие эмоционального интеллекта
" заведующий кафедрой управления кадрами в бизнес-школе INSEAD (Франция) Манфред Ку де Ври.
Эффективный лидер
— это сочетание личностных характеристик и навыков влияния на людей, успешное исполнение двух ролей — харизматической и архитектурной. В харизматической роли лидер рисует лучшее будущее и воодушевляет своих подчиненных. В архитектурной роли он обращается к вопросам, связанным с организацией работы и системами контроля и поощрения. Насколько у руководителя хватает сил и потенциала для исполнения этих ролей? Ответ на этот вопрос зависит от того, как строится взаимодействие между личностью руководителя и его профессиональной ролью.
Манфред де Ври называет «синдромом устрицы» положение, в котором человек старательно игнорирует одну из важных сторон своей жизни. Парадокс в том, что это отнюдь не помогает ему быть максимально успешным в другом направлении. Обедняя свою эмоциональную жизнь, сознательно закрываясь цейтнотом и усталостью от себя самого, руководитель теряет способность к сочувствию, сопереживанию, пониманию других людей, блокирует развитие эмоционального интеллекта.
Следует периодически заниматься переоценкой того, что мы ждем от жизни, и того, что мы получаем от нее. Мы должны пощупать наш воображаемый пульс, чтобы определить состояние своего эмоционального здоровья, а потом искать лекарства, которые помогут нам чувствовать себя лучше. Мы должны искать признаки того, что мы:
· продолжаем стремиться к чувству личного роста через самопознание,
· удивляем себя и других,
· уравновешиваем работу и личную жизнь,
· развиваем заботливые и доверительные отношения с другими,
· остаемся физически активными,
· контролируем свою собственную жизнь.
Если мы будем бездействовать в семье или на работе, или не сможем уравновесить работу и дом, мы падем жертвами стресса
. Примерно 20% руководителей в США страдают теми или иными психиатрическими симптомами. Депрессия и злоупотребление алкоголем стоят у них на первом месте, в особенности среди руководителей-мужчин. А по данным Института Психологии РАН, среди российских руководителей
(исследования
проведены в центральных городах России) это 80%. Бездействие или неуравновешенность руководителя вредят компании. Как может подавленный или чрезмерно агрессивный (высокомерный, эгоистичный, мстительный, эмоционально холодный) создать творческую, плодотворную обстановку?
Личность руководителя во многом задает атмосферу в его коллективе. Автор выделяет 5 основных типов «отклоняющегося» поведения руководителей.
Например, для мнительного руководителя характерны недоверие к другим, чрезмерная настороженность, зависть и враждебность. Они склонны преувеличивать малейшее неуважение. Они ведут себя очень агрессивно, в особенности с теми подчиненными, которые высказывают свое мнение.
Драматические личности жаждут внимания настолько, что не склонны сдерживать свои эмоции. Они непоследовательны, склонны к действиям ради действия и единоличному принятию решений. Их команды
характеризуются пассивностью, недостаточной мотивацией, плохим внутренним общением и сопротивлением переменам.
Отчужденный руководитель устанавливает дистантные, холодные отношения в команде. Он фактически отказывается от обязанностей лидера. Тогда основными игроками становятся менеджеры «второго эшелона». Они реализуют свои амбиции и продвигают местнические интересы, не принимая на себя ответственности. Это заканчивается проблемами координации, конкуренции, отсутствию общих ценностей
в команде.
Манфред Ку де Ври дает конкретные рекомендации по гармонизации и развитию лидера и его команды. Он предлагает сосредоточиться на трех основных шагах по развитию эмоционального интеллекта.
Первый — это познание самого себя. По его мнению, подчинение корпоративным правилам часто стирает различие между собственными чувствами и тем, чего ожидают от человека коллеги по работе. Как результат - верх берет "ложное я", этакая карикатура на некоего "хорошего служащего".
Следующий шаг в развитии эмоционального интеллекта — это умение управлять своими эмоциями. Лидеры, неправильно управляющие своими эмоциями, создают каскадный эффект, достигающий самых низших уровней организации.
Третий шаг — сосредоточиться на потенциале и потребностях своей команды. По мнению Манфреда де Ври, чувствовать команду многим руководителям мешает излишняя сконцентрированность на себе самом.
"Если такие чувства возникают внезапно, директору следует, например, устроить перерыв или спросить мнение окружающих, чтобы выиграть время и взять себя в руки", — советует Манфред де Ври. Но это вовсе не означает тотальной сдержанности и замкнутости.
Чтобы развить свой эмоциональный потенциал, Манфред де Ври советует научиться следующему:
· активно слушать.
· слушать глазами (восприятие жестов)
· адаптироваться к эмоциям.
Конечно, перемены даются с трудом — идет ли речь о людях или о компаниях. Многие психологи, изучающие организации, считают, что изменения в компании заложены в процессе индивидуальных перемен. И руководитель, способный к работе над собой, дает шанс к изменению и своим сотрудникам. Как подготовить и провести процесс изменений, как преодолеть негативные эмоции, неизбежно сопровождающие его — этой важной теме также уделено внимание в книге «Мистика лидерства».
См. также:
1. Гармоничное лидерство.
- Работа и стресс: уровень стресса в России.
Что такое эмоциональный интеллект и как узнать свой уровень EQ?
http://www.eq-rating.ru/content/view/129/2/
Белкина Виктория
Ключевые слова:
Эмоциональный интеллект. Лидерство. Руководитель.
Понятие эмоционального интеллекта
существует в психологии довольно давно, но большую популярность в странах Западной Европы и США оно обрело в середине 90-х годов прошлого века.
Эмоциональный интеллект (EQ) — это показатель нашей способности к общению, умению осознавать свои эмоции и понимать чувства других людей. ЕQ считается эмоциональным эквивалентом познавательного интеллекта (IQ).
Если IQ отражает способности левого полушария нашего мозга, отвечающего за логику и рациональное мышление, то ЕQ измеряет правополушарное интуитивное мышление, эмоциональность.
Раньше считалось, что именно высокий IQ определяет успех в жизни. Однако сегодня на Западе существует поговорка: «IQ дает тебе работу, а ЕQ — карьеру».
Высокий уровень IQ, несомненно, помогает добиться определенных успехов — окончить школу с золотой медалью и институт с красным дипломом, устроиться на престижную высокооплачиваемую работу. Но для успешного продвижения по карьерной лестнице нужны иные качества.
IQ определяет лишь четверть нашего жизненного успеха, остальное зависит от нашего ЕQ, или, проще говоря, здравого смысла, умения общаться с людьми и принимать правильные решения.
Особенно активно знание об эмоциональном интеллекте используется в психологическом консультировании бизнеса, когда речь идет о лидерстве и управлении персоналом. Очевидно, что человек с низким ЕQ не способен стать ни лидером
, ни хорошим руководителем
.
Никто не знает вас лучше, чем вы сами, поэтому узнать примерный уровень своего ЕQ можно даже без использования тестов. Для этого попробуйте взглянуть на себя со стороны. Какие вам свойственны черты характера? Как ваше поведение зависит от тех или иных ситуаций? Ответив на эти вопросы, вы сможете оценить свой ЕQ и сделать для себя какие-то выводы. Возможно, это поможет вам решить проблемы, связанные с работой и карьерой.
Итак, человек с высоким ЕQ умело находит выход из сложных ситуаций, легко и конструктивно решает проблемы, доброжелателен и приятен в общении, старается избегать конфликтных ситуаций, самодостаточен и независим, реалистично оценивает свои способности, инициативен.
Человек с низким ЕQ часто агрессивен, конфликтен, неприятен в общении, плохо контролирует свои сиюминутные желания и мимолетные импульсы, не уверен в себе, не доволен жизнью, не стремиться к самосовершенствованию и не знает, чего хочет в жизни, не умеет говорить о чувствах и не желает понимать чувства других людей, часто испытывает беспокойство, сожаление, чувство вины, холоден, закрыт, с трудом идет на контакт.
Конечно, ЕQ во многом зависит от характера и темперамента, но не является статичной величиной, данной нам от рождения. С жизненным опытом ЕQ неизбежно растет и развивается.
См. также:
- EQ — секрет успеха?
- Гармоничное лидерство.
- Мистика лидерства: развитие эмоционального интеллекта.
EQ — секрет успеха?
http://www.eq-rating.ru/content/view/56/2/
Ключевые слова:
Эмоциональный интеллект. Команда. Руководитель.
Успешных людей отличает высокоразвитый эмоциональный интеллект
(EQ). Впервые об этом явлении заговорили на Западе лет 10 назад. А в 1996 г. в США вышла книга Дэниэла Големана "Эмоциональный интеллект", она заставила по-новому оценить роль эмоций в жизни человека, в том числе его способности к достижению успеха.
Эмоциональный интеллект — это очень многозначное и сложное понятие. Он складывается из разных качеств, часто трудно определяемых и проявляющихся в высоком уровне понимания себя, способности слышать и понимать других людей, предвидеть их поведение, контролировать свои и чужие эмоции, умении принимать правильное решение, способности влиять, формировать и мотивировать команду
на достижение цели и т. д.
Даже из этого неполного перечня видно, что обладатель высокого IQ не всегда отличается таким джентльменским набором. Но деятельность тех, кто руководит людьми, происходит в системе "человек — человек" и на 90% состоит из общения с партнерами, клиентами, сотрудниками. Способность убедить клиента зачастую важнее умения производить сложные расчеты в одиночку.
Ученые Гарвардского университета утверждают, что значимость IQ для достижения успеха составляет не более 20%. Конечно, отношение к таким подсчётам процентов скептическое в таких сложных сферах, как человеческое взаимодействие, но место формального интеллекта отражено здесь достаточно точно. И если руководитель
обладает высочайшим IQ, но его EQ минимальный, вряд ли он сможет реализовать свой потенциал.
Одно из проявлений эмоционального интеллекта — умение адекватно оценивать собственные возможности и ограничения, максимально эффективно использовать свои сильные качества и стараться нивелировать слабые стороны. Пример тому — руководитель со средним IQ, но обладающий очень высоким EQ, который окружил себя сотрудниками-интеллектуалами и вполне успешно работает. Если вы, к примеру, человек в большей степени интуитивный, стоит доверять своей интуиции. Если ваш природный дар — анализ, значит, именно аналитические способности надо использовать "на все сто", опираться на факты, оценивать их взаимосвязь и только тогда принимать решения.
IQ с возрастом снижается, а эмоциональный интеллект с годами только оттачивается. Руководитель, который работает над развитием своего EQ, добивается высочайших результатов.
Но эмоциональный интеллект невозможно развить на каком-то конкретном семинаре или тренинге по развитию эмоциональной компетентности — это, прежде всего, вопрос желания, времени и практики.
Важно оберегать свою эмоциональную сферу от всякого рода интервенций и, соответственно, быть осторожным при выборе обучающих программ и специалистов. Не менее осторожно нужно относиться к измерению такого качественно сложного явления "градуированной линейкой", и в этом вопросе лучше положиться на себя. Главным критерием здесь является личная практика.
Для начала стоит посчитать количество удачных и неудачных попыток добиться поставленной цели и проанализировать полученные результаты. Например, если, принимая людей на работу, мы приписываем им одни качества, а в процессе работы оказывается, что они обладают качествами прямо противоположными; или мы безрезультатно проводим совещание за совещанием, а воз и ныне там; или наши переговоры с партнерами в большинстве случаев заходят в тупик, и мы не можем добиться того, что запланировали, т. е. если счет не в нашу пользу — вполне вероятно, у нас проблемы с EQ.
Затем можно вспомнить ситуации, связанные с общением, которых мы стараемся избегать, всякий раз находя аргументированное оправдание своему поступку. К примеру, мы не хотим выступать перед коллективом, стараемся не принимать участия в пресс-конференциях, не присутствовать на переговорах, перепоручая это своим замам, убеждая себя, что все подобные мероприятия — пустая трата времени. Но часто это лишь своеобразная защита от возможной неудачи.
Чтобы точнее оценить свой EQ и целенаправленно его развивать, в нём стоит выделить пять составляющих: понимание себя; эффективное взаимодействие с самим собой; понимание других людей; эффективное взаимодействие с другими; умение принимать решения.
См. также:
1. Мистика лидерства: развитие эмоционального интеллекта.
2. Что такое эмоциональный интеллект и как узнать свой уровень EQ?
3. Капля эмоций против тоны фактов.
Капля эмоций против тонны фактов
http://www.eq-rating.ru/content/view/60/2/
Винникова Лариса
Ключевые слова:
Эмоциональный интеллект. Лидерство. Руководитель.
Из многих определений ума коэффициент интеллектуальности (коэффициент умственного развития) — IQ — больше всего известен и, как считается, именно эта часть ума зависит от генетических факторов. В соответствие с разными тестами — IQ определяется от 70 до 120 показателями умственных способностей. Однако жизненный опыт свидетельствует, что академическое образование, аналитические способности, т.е. все то, что мы относим к IQ — не имеют отношения к успешности в жизни.
Благодаря таким способностям как сообразительность, способность устанавливать долгосрочные отношения с партнерами, принимать решения помогают человеку стать успешным в жизни, влиятельным руководителем
, лидером
. Эти качества характера психологи называют эмоциональным
интеллектом
— EQ.
Человеческий мозг является сложной и крошечной конструкцией — самой совершенной в мире машиной осуществления связей. Современной нейронаукой подсчитано, что мозг каждого человека обладает приблизительно 100 миллиардами нейронов, из которых используется только 20%. По словам известного французского гештальт–психолога Сержа Гингера (основатель Парижской Школы Гештальта), зарубежными учеными было подсчитано, что если компьютер последнего поколения обладал бы точно таким же количеством связей что и мозг, он должен был бы занимать площадь Франции, Бельгии, и Швейцарии вместе взятых и был бы высотой с 10- этажный дом! Нейроны для того, чтобы не потерять информацию, не восстанавливаются, а многие просто погибают, одновременно и непрерывно вырастают новые в виде своеобразных веточек. Происходит это в процессе установления новых контактов: ассоциаций, идей, воспоминаний, что позволяет устанавливать бесконечное число новых связей.
Как пишет Серж Гингер (Гештальт: искусство контакта» М. 2002) «каждый день человек заново совмещает свое генетическое наследство с реальной жизнью с учетом интеграции своего опыта. При осознании своих целей в таком процессе человек фактически создает свое будущее». Осознание целей и желаний, видение реальной действительности и адекватное реагирование на нее, синтез и системное мышление — все это грани интеллекта, умственных способностей, не связанных с логикой, и анализом, линейным мышлением, за которое отвечает левой полушарие. Эти функции мозга относятся к эмоциональному интеллекту EQ и обеспечивают их правое полушарие. По мнению Ройвена Фойерштайна, израильского психолога, в любом возрасте и на любом уровне развития мы можем значительно улучшить функционирование мозга, иными словами, поумнеть. Отсюда становится ясно, что естественным отбором интеллектуальных способностей, в конечном счете, руководит сам человек.
Что такое интеллект? На этот вопрос нет единого ответа. Вот несколько высказываний известных психологов и социологов:
«Интеллект — это способность решать проблемы незапрограммированным (творческим) образом», – пишет Стивен Дж. Гулд. «Это способность действовать целесообразно, думать рационально и действовать эффективно в отношении окружающих», – считает Д.Векслер. «Интеллект — это общие врожденные познавательные способности», – утверждает Сирил Берт.
В российской системе образования интеллект больше связан с понятием IQ, который определяет умственное развитие и считается сформированным к 18 годам жизни. Однако на Западе неизменность IQ — предмет споров и дискуссий. Многие современные исследователи полагают, что высокий IQ определяет успех в жизни только на 20%. Не гарантирует успех IQ особенно в лидерстве. Зачастую уверенность в своих глубоких научных познаниях заводит людей в «интеллектуальную ловушку», когда акцент внимания смещается в сторону критики вместо конструктивного диалога и поиска нестандартных решений. Путь к креативному мышлению и взаимопониманию лежит через правое полушарие.
Открытие того, что интеллект — это не только знания, полученные в результате образования, принадлежит гарвардкому психологу Ховарду Гарднеру, который с командой исследователей дал понятие многостороннего интеллекта и описал его. Он представил интеллект в семи вариантах:
· лингвистический — способности, связанные с чтением, письмом и иностранными языками;
· логико-математический — умение разгадывать головоломки, цифровые задачи, обеспечивающий высокий показатель IQ;
· визуально-пространственный — образное мышление, которое определяет способности в живописи, скульптуре, архитектуре, компьютерном дизайне, ориентирование в пространстве;
· телесно-двигательный — определяет навыки в вождении автомобиля, плавании и т.д.;
· музыкально-ритмический — лежит в основе музыкального слуха;
· внутриличностный — способность к самопознанию, понимание того, что на самом деле мы хотим, самооценка, самоопределение;
· межличностный — способность к общению и сотрудничеству с другими людьми, слышание и чувствование других людей.
Последние два вида интеллекта и составляют эмоциональный интеллект — EQ, который не менее важен, чем, например, логико-математический.
EQ — это область интеллекта, которую называют «здравым смыслом» человека, эмоциональный эквивалент познавательного IQ. Это именно то, что является главным условием лидерства, успеха в карьере и бизнесе, счастья и уверенности в мире человеческих взаимоотношений.
Опубликованная в 1995 году книга «Эмоциональный потенциал» социолога Дениэла Голмана, стала бестселлером и привлекла внимание всего западного общества и в частности тех, кто участвует в бизнес — процессах. Как показали исследования, наиболее успешными оказались те компании, в которых в коллективе был высокий уровень эмоционального интеллекта. Как это ни парадоксально звучит, но в постиндустриальном обществе эмоции являются движущей силой человека как на работе, так и в личной жизни. Они являются основным критерием выбора брендированного товара покупателем, они являются незаменимым фактором в переговорах — капля эмоций в критическую минуту может оказаться эффективней, чем тонна цифр и фактов.
См. также:
1. Что такое эмоциональный интеллект и как узнать свой уровень EQ?
- EQ — секрет успеха?
Настенная проповедь. Как убедить сотрудников разделить корпоративные ценности
Журнал «Штат», №9, 2008 г.; http://www.hr-zone.net/index.php?mod=articles&go=show&id=1372
Шамин Иван
Ключевые слова:
Конкурентное преимущество. Ценности. «Управление на основе ценностей». «Управление по инструкциям». «Управление по целям». Корпоративная культура.
Елена Петрова,
директор по персоналу DHL, раскрывает конкурентное преимущество
своей компании. Дело в ценностях
, и всего их семь: обеспечивать превосходный сервис, способствовать успеху клиентов, поощрять открытость, принимать решения на основе четких приоритетов, действовать в духе предпринимательства, быть честными и последовательными как внутри компании, так и вне ее, принимать на себя социальную ответственность. Она убеждена, что ценности не только создают комфортную атмосферу DHL, но и помогают компании добиваться стратегических целей.
Управление на основе ценностей
(Management by Values, MBV) — свежая модель менеджмента, которая появилась вслед за «управлением по инструкциям»
(Managing by Instructions, MBI) и «управлением по целям»
(Managing by Objectives, MBO). На Западе она известна и используется с 90-х годов. В Россию система MBV попала вместе с иностранными компаниями после кризиса 98-го.
Саймон Л. Долан и Сальвадор Гарсия,
авторы книги «Управление на основе ценностей», называют такую систему «инструментом стратегического управления, который раскроет рыночный потенциал компании через связь с каждым сотрудником». В современном бизнесе инструкции работают плохо: всего на бумаге не пропишешь, а рынок меняется на глазах. В неоднозначных ситуациях сотруднику приходится принимать решения самостоятельно. Что предпочесть в данный момент, сроки или качество — типичная дилемма для менеджеров на местах. Принятые в компании ценности становятся спасительным ориентиром: в самых удаленных подразделениях действиями персонала руководит единая корпоративная культура
.
Однонаправленные усилия толкают компанию в заданном направлении. Если система приоритетов выстроена правильно, движение происходит в нужную сторону. При условии, что сотрудники, а тем более первые лица компании, действительно разделяют заявленные ценности.
Распространенная опасность, на которую редко обращают внимание: «Садятся за стол владельцы и топы, берут бумагу и ручки и задаются вопросом — как бы нам обозначить свои ценности для сотрудников, чтобы они приносили больше прибыли? — говорит Нефедов. — И в результате прописывают не свои настоящие ценности, а то, что, на их взгляд, будет полезно для работы компании». Когда первые лица компании не являются носителями озвученных ценностей, персонал это видит мгновенно. И тогда расцветает практика двойных стандартов.
Выявление ценностей — процесс тонкий. Если пустить его на самотек, последствия могут быть самыми непредсказуемыми. «Особенно опасны плохо модерированные групповые сеансы, — считает Александр Нефедов. — С легкой руки ведущего можно выяснить, что коллега, с которым вы работаете бок о бок, — человек с совершенно другим набором ценностей. Ваши отношения уже не будут прежними».
Собеседница журнала «Штат» признается, что внедрение ценностей — один из самых сложных проектов в ее карьере. Но впереди следующий этап — реализация ценностей и трансляция основ корпоративной культуры в умы сотрудников компании. В таких случаях корпорации пользуются инструментами внутренней коммуникации, многие из которых проверены на практике еще советскими PR-специалистами. В ход идут настенные газеты и плакаты.
Летом 2007 года плакаты, с которых сотрудники рассказывали о своих приоритетах, можно было встретить в любом уголке «Сведбанка» (ранее — Hansabank). Полгода люди ежедневно слышали и говорили о том, что значат для них корпоративные ценности, а еще были фотоконкурсы, апельсиновый сок по утрам и многое другое. Ценности материнского Swedbank всегда лежали в основе корпоративной культуры«Сведбанка». Однако быстрый рост численности (около 70% в год) и смена бренда вынудили его выделить обсуждение ценностей в отдельный проект «Все в твоих руках». Нужны были правила игры, простые и всем понятные.
Вместе с изменением названия в фирменном стиле банка появился апельсин, который сейчас можно увидеть на сайте компании. При наведении курсора он распадается на четыре части. В каждой доле — одна из корпоративных ценностей (ориентация на результат, открытость, инновации и преданность делу). Апельсин справился с возложенной на него задачей, считает Ольга Федорович,
директор по персоналу «Сведбанка»: «Мы растем и корпоративная культура, в которой комфортно достигать результата, становится нашим конкурентным преимуществом на рынке труда». В этом ее убеждают результаты опросов сотрудников. Среди ответов на вопрос, что держит их в компании, люди все чаще указывают ценности и корпоративную культуру.
Можно ли увидеть экономический эффект от внедрения MBV? Александр Нефедов предлагает рассматривать эффективность модели не в цифрах оборота, а в динамике доли рынка. Обороты — не самый объективный показатель при высоком уровне инфляции и общем росте рынка. Некоторые консультанты заявляют, что они умеют считать и в цифрах. Елена Улина из «PRопаганды» к таким сообщениям относится осторожно. «Нет формулы, по которой можно было бы точно подсчитать экономический эффект от внедрения в организации системы управления по ценностям. Если, например, я вложу определенную сумму в развитие внутренних коммуникаций в организации, то на какую прибыль можно рассчитывать, например, через пять лет?» — спрашивает Елена Улина.
Пока волшебная формула не найдена, остается еще достаточно простора для спекуляций. Между тем, на российском рынке наблюдается новая волна спроса на модную методику. Свои ценности сейчас определяют банки и добывающие компании. С каждым днем ставка на человеческие ресурсы как на стратегический инструмент бизнеса увеличивается. Компании понимают, что идеальной управляемости организации можно добиться, только овладев умами сотрудников.
См. также:
1. Всесторонняя мотивация сотрудников, или как продлить жизнь на восемь часов.
- Лояльность персонала: от брака по расчёту — к союзу по любви.
Всесторонняя мотивация сотрудников, или как продлить жизнь на восемь часов
http://www.hr-zone.net/index.php?mod=articles&go=show&id=727
Изотов Владимир
Ключевые слова:
Мотивация. Руководитель. Исследования. Потребности. Корпоративная культура. Стимулирование
.
Организация мотивации
к эффективному труду — наиболее сложная задача для большинства компаний. И опытный руководитель
знает, что самые лучшие сотрудники — те, которые реально представляют положительные цели и последствия своего труда. Стимулы и мотивы — ключевые условия эффективной работы практически в любой сфере бизнеса. Но создать их для каждого сотрудника — очень непросто. А любому из них важно четко понимать, для чего он ежедневно тратит восемь часов своего времени.
Ответ на данный вопрос достаточно индивидуален. Людям свойственны разные цели как в жизни вообще, так и в профессии в частности. Одним нравится само содержание работы, другим — общение с клиентами и коллегами, третьим — решение сложных профессиональных задач без чьего‑либо вмешательства. Именно поэтому практика управления демонстрирует простую истину: самые гениальные схемы и сценарии развития фирм бесполезны, если при этом игнорируют реальные интересы сотрудника.
Современные исследования
и опросы свидетельствуют: деньги — это далеко не все, чего ждут люди от своей работы. Несомненно, важность прямого материального вознаграждения нельзя недооценивать. Если компания развивается, обязательным условием является достойная зарплата персонала, сопоставимая (или даже чуть выше) с доходом в конкурирующих фирмах.
Сегодня перечень материальных стимулов очень широк и включает практически все, что возможно конвертировать в денежном выражении. Назовем лишь некоторые из них:
· премии и бонусы;
· проценты от прибыли компании;
· предоставление материальных займов;
· льготное приобретение акций компании;
· полная или частичная оплата обучения, льготный отдых (часто распространяющийся и на детей сотрудников);
· различные виды страхования;
· компенсация мобильной связи, эксплуатации личного автотранспорта и т. д.
Задача современного руководителя — выбрать из разнообразия материальных стимулов оптимальный компенсационный пакет, стандартизированный под своих сотрудников.
Также необходимо задуматься о других, нематериальных видах стимулирования. Идея может побуждать к действию лучше денег. Если оглянуться вокруг, то окажется, что деятельность значительной группы людей не мотивирована деньгами. И хотя в современном бизнесе нет места альтруизму, сила идеи все равно сохраняет свой потенциал. Важность некоммерческих мотивов находит подтверждение в результатах последних исследований. В частности, признано, что эффективные технологии нематериального стимулирования позволяют увеличить производительность труда в среднем на 20 %.
Среди основ системы нематериального стимулирования следует выделить:
· понимание работником важности результатов своего труда, как для компании, так и для общества в целом;
· карьерный рост;
· возможность профессионального развития;
· признание и одобрение профессиональных результатов коллегами и руководством;
· чувство ответственности и профессиональной компетенции.
На практике применение неденежной мотивации вызывает определенные сложности. В отличие от материальных схем поощрения стандартизация потребностей
здесь не подходит.
Поэтому надо учитывать индивидуальные потребности работников, применяя психологический подход. В разработке и введении схем нематериального стимулирования должен принимать участие не только кадровый менеджер, но и психолог компании.
В качестве одного из вспомогательных приемов рекомендована аттестация, направленная на диагностику индивидуальных потребностей сотрудников. Немалую роль тут играет и корпоративная культура
, которую специалисты часто определяют как «набор элементов, обеспечивающих нематериальную мотивацию персонала». Даже если такой подход и сужает границы корпоративной культуры, несомненно, что предлагаемые нематериальные поощрения не должны вступать в противоречие с внутрифирменными нормами и традициями.
Насколько бы персональным ни было нематериальное поощрение, общие закономерности есть и здесь. Так, по мнению большинства руководителей, наиболее эффективным фактором неденежного стимулирования является долгосрочное планирование карьеры. Вместе с сотрудником разрабатывают план его развития. Такая технология нематериальной мотивации имеет массу плюсов. Участвуя в планировании профессионального будущего, работник объективно осознает свои плюсы и минусы, сам предлагает пути для устранения последних.
Как правило, залог успеха в органичном сочетании обеих форм мотивации. Материальное и нематериальное стимулирование обычно дополняют друг друга, иногда даже пересекаясь между собой. Кроме того, надо понимать, что невозможно создать универсальную систему поощрений, подобно вечному двигателю, работающую бесконечно и в любых условиях. Схемы поощрения желательно пересматривать раз в 6–7 месяцев. Таковы требования современного рынка. Его повышенная динамика периодически делает актуальными или, наоборот, устаревшими отдельные виды побуждений к деятельности.
Естественно, можно в зависимости от состава и потребностей людей делать ставки на разные виды поощрений. Но необходимо соблюдать золотые правила мотивации, справедливые для всех ее разновидностей:
· мотивация должна быть реалистична;
· схема мотивации должна быть справедлива;
· принципы мотивации должны быть предельно понятны;
· мотивация должна отвечать ожиданиям сотрудников;
· система мотивации не должна быть застывшей.
Только соблюдая эти правила, удастся избежать ситуации, отраженной в известной шутке о том, что рабочий день сокращает жизнь сотрудника на восемь часов. Наоборот, грамотное применение удачных схем трудового стимулирования
способно ровно на столько же продлить жизнь работающим людям.
См. также:
1. Лояльность персонала: от брака по расчёту — к союзу по любви.
- Настенная проповедь. Как убедить сотрудников разделить корпоративные ценности.
Лояльность персонала: от брака по расчету — к союзу по любви
http://www.hr-zone.net/index.php?mod=articles&go=show&id=1304
Суворова Арина
Ключевые слова:
Лояльность персонала. Патернализм. Потребности. Стресс. Мотивация
.
Поиск формулы лояльности персонала
пора уже выделить в особую управленческую функцию современных руководителей. Ведь именно персонал — важнейший актив любой организации.
Довольно просто и ясно понятие лояльности и его эволюция раскрыты в книге "This Isn't a Company I Joined: How to Lead a Business Turned Upside Down (
Carol
Kinsey
Goman
).
Какое-то время назад существовала, можно сказать, своего рода конвенция о лояльности. Вполне традиционное представление о ролях работодателя и работника. Менеджмент обеспечивал персоналу чувство «семьи» — т.е. безопасности. Взамен работники брали на себя обязательства не ставить под сомнение авторитет начальства, не критиковать компанию и выполнять свою работу «как надо» — то есть так, как хотела того организация. Работники носили униформу и пользовались только продукцией или услугами компании, на которую работали. Такой тип отношений можно назвать патернализмом
.
Сегодня возник качественно новый вид взаимоотношений между работодателем и работниками, основанный на взаимном доверии и уважении. Этот новый договор формируется на базе реалистичных ожиданий обеих сторон. Теперь сотрудники ожидают более справедливого и уважительного отношения, возможностей профессионального развития, интересной, увлекательной работы и того, что англоязычные авторы называют словом challenge
. Взамен сотрудники зачастую готовы помочь работодателю в развитии бизнеса, выдвижении новых идей, активно принимать участие в трансформации организации. Теперь мы имеем дело с партнерскими отношениями.
Динамичная информационная среда требует непрерывного движения вперед, развития, приобретения новых навыков и знаний. И, разумеется, с ростом профессионализма растут запросы и потребности
реализовать свой потенциал. С этим можно соглашаться или спорить, но такова реальность сегодняшнего дня. Между прочим, по словам Гизеллы Хагеманн, стресс, вызванный неспособностью человека реализовать свой потенциал и застоем в профессиональном развитии, может быть более опасен для работника, чем стресс
от чрезмерно интенсивной работы (Г.Хагеманн «Руководство по мотивации» М..
Hippo
, 2003)
.
В западной литературе широкое использование применительно к вопросу лояльности персонала имеет термин commitment
(дословно — приверженность, преданность). При этом выделяется два различных типа приверженности, или преданности организации. Первый — так называемая преданность в силу долгосрочного сотрудничества (continuance commitment). Этот вид преданности организации базируется на приобретенных в результате долгосрочного пребывания в организации преимуществах в виде старшинства положения, а также полученных привилегий. В связи с этими условиями уход из организации становится дорогим и невыгодным для работника.
Существует также понятие аффективной преданности. В данном случае речь идет об эмоциональной привязанности работника к организации и идентификации с ее целями, иными словами — о позитивном отношении к организации. При наличии данного вида преданности, по данным исследователей, сотрудники более склонны к взаимопомощи, стремятся генерировать идеи и проявлять большую инновативность. При этом исследования показывают, что аффективная преданность сопровождается более высокой продуктивностью работы.
Упоминается также и так называемая нормативная преданность, определяемая как осознание сотрудником того, что он должен продолжать работать в данной организации. Оптимальным признается сочетание трех видов преданности, когда сотрудник испытывает желание работать в организации в сочетании с потребностью оставаться в ней, подкрепленной также чувством долга. Как же этого достичь?
Похоже, что универсального рецепта формирования преданности персонала не существует. Так, исследователи отмечают: «то, что одним сотрудником рассматривается как блестящая карьерная перспектива, может быть рассмотрено другим как вполне посредственная возможность...». Существуют, в частности, возрастные различия в восприятии преимуществ, которые дает человеку работа в компании.
Разумеется, непросто применить к каждому работнику индивидуальный подход. Хотя именно этим призван заниматься менеджмент среднего звена в организации. А то, что обеспечивает вашей компании удержание персонала и формирует его лояльность, носит название мотивации
.
Обратимся к классикам в области HR, которые в своих трудах очень ясно дают понять, насколько тесно переплетаются материальные и моральные аспекты мотивации, и разделить их порой очень трудно. Стивен Тейлор обращает внимание на то, что размер выплачиваемой зарплаты рассматривается сотрудником как свидетельство его ценности для компании. Гизела Хагеманн в своем «Руководстве по мотивации» отмечает, что размер заработной платы определяет статус работника в рамках внутренней иерархии организации. Она пишет: «Неудовлетворенность человека из-за дискриминации в вопросах зарплаты может стать причиной его ухода с работы, даже несмотря на то, что размер зарплаты сам по себе достаточно справедлив».
В то же время, важно иметь в виду, что по мере роста заработной платы, все большую роль в мотивировании профессионала начинают играть дополнительные факторы мотивации. Они могут быть тесно связаны с финансовыми затратами — например, возможность обучения и повышения квалификации.
Как утверждает все та же Гизела Хагеманн, квалифицированный персонал удерживает на работе прежде всего атмосфера психологического комфорта, как то: интересные задачи, «здоровый» коллектив и т.п. Когда же эти самые составляющие начинают вызывать неудовлетворенность, работник задумывается об уходе.
И если усилия нанятых вами хедхантеров, сулящих привлекательным для вашего бизнеса менеджерам колоссальные заработки в вашей организации, тщетны, и профессионалы не спешат менять место работы — возможно, их лояльность нынешнему своему работодателю основывается далеко не на одной только заработной плате. Ведь сменить брак по любви на брак по расчету — глупость, не правда ли?
См. также:
1. Настенная проповедь. Как убедить сотрудников разделить корпоративные ценности.
2. Всесторонняя мотивация сотрудников, или как продлить жизнь на восемь часов.
Глоссарий
Бренд
название, термин, знак, символ или дизайн, а также их комбинации, которые предназначены для идентификации товаров или услуг одного продавца или группы продавцов и для отличия их от товаров или услуг конкурентов.
Выборка (выборочная совокупность)
часть объектов генеральной совокупности, выступающих в качестве непосредственных объектов изучения.
Генеральная совокупность
полная совокупность объектов, имеющих отношение к изучаемой проблеме. В социологических исследованиях в качестве генеральной совокупности чаще всего выступают совокупности индивидов — население (города, страны и т.п.), социальная группа (молодежь, безработные, бизнесмены и т.п.), аудитория средств массовой коммуникации (СМК) и др.
Директ-маркетинг
интерактивное взаимодействие продавца/производителя с конечным потребителем в целях продажи товаров; одно из основных средств маркетинговых коммуникаций.
Доля рынка
удельный вес товара или компании в обороте рынка.
Имидж (с англ. image — образ)
целенаправленно сформированный облик, образ фирмы, товара, услуги. Имидж должен оказывать эмоционально-психологическое воздействие на целевую аудиторию в целях популяризации лица, фирмы, товара, услуги.
Интеллект
в психологии — совокупность познавательных способностей человека, определяющих уровень его мышления и способность решать сложные задачи. Развитие интеллекта оценивается по глубине знаний и способности человека не только хранить их в памяти, но и продуктивно и эффективно использовать.
Исследование
1) целостная система теоретических и эмпирических процедур, способствующих получению нового знания об исследуемом объекте для решения конкретных теоретических и практических социальных проблем. 2) один из видов познавательной деятельности, научно организованный процесс выработки новых знаний.
Команда
группа людей, имеющих общие цели, взаимодополняющие навыки и умения, высокий уровень взаимозависимости и разделяющих ответственность за достижение конечных результатов. Главным отличием команд от традиционных формальных рабочих групп является наличие синергетического эффекта.
Компетенция
способность, отражающая необходимые стандарты поведения. Характеристика (качество) не является компетенцией, если не сказывается на исполнении.
Конкурентное преимущество
это те характеристики, свойства товара или марки, которые создают для фирмы определенное превосходство над своими прямыми конкурентами. Эти характеристики могут быть самыми различными и относиться как к самому товару, так и к дополнительным услугам, сопровождающим базовую, к формам производства, сбыта или продаж, специфичным для фирмы или товара. Указанное превосходство является, таким образом, относительным, определяемым по сравнению с прямым конкурентом, занимающим наилучшую позицию на рынке товара или в сегменте рынка.
Корпоративная культура
1) свод наиболее важных положений деятельности организации, определяемых ее миссией и стратегией развития и находящих выражение в совокупности социальных норм и ценностей, разделяемых большинством работников. 2) «индивидуальность» или отличительная особенность организации, отражающая установки, ценности и устойчивые модели поведения — «способ, как здесь делаются дела». Культура не всегда имеет явное выражение, и может потребоваться время для её изучения.
Лидерство
один из механизмов дифференциации и интеграции социальной общности, группы, предполагающий особое положение определённой личности по отношению к остальным членам коллектива как центра коммуникации группы.
Лояльность персонала
характеристика персонала, определяющая его приверженность организации, одобрение ее целей, средств и способов их достижения, открытость своих трудовых мотивов для организации.
Маркетинговое исследование
это исследование, основываясь на результатах которого, принимаются решения в сфере маркетинга.
Метод измерения запоминаемости рекламы (М. Пикулевой)
базируется на трех составляющих: “спонтанное воспоминание” (реклама вспоминается при упоминании категории товара); “воспоминание при предъявлении товара” (реклама вспоминается после произнесения названия конкретного товара или его демонстрации); “воспоминания после пересказа рекламы”. Сумма этих трех показателей составляет долю целевой аудитории, которая вспомнила рекламное сообщение.
Методика облегчения вспоминания
методика выявления эффективности рекламы, используемая для того, чтобы определить, в какой мере человек способен вспомнить ее содержание.
Методика тестирования продаж
заключается в том, что рекламная кампания проводится на каком-то определенном потребительском рынке, в границах какого-либо географического региона.
Методика узнавания
способ выявления эффективности рекламы путем измерения степени ее запоминаемости.
Метод электромиографии (ЭMГ)
метод оценки полезности рекламы, путем фиксирования изменений электрической активности мышц. Чем сильнее эмоциональная реакция, тем лучше запоминается реклама и тем она эффективнее.
Модель "возврата инвестиций" (return on investment, ROI)
позволяет определять эффективность инвестиций в рамках оценки рекламной кампании.
Моральное стимулирование
стимулирование труда, регулирующего поведение работника на основе использования предметов и явлений, специально предназначенных для выражения общественного признания работника и способствующее повышению его престижа.
Мотивация
это система побуждений человека, основанная на его потребностях, ценностях, мотивах и т.п..
Навык
последовательность развертывания во времени и пространстве действий и операций: выработанная в процессе обучения и тренировки; доведенная до автоматизма; оптимальная для некоторого вида деятельности.
Напоминающая реклама
реклама, направленная на то, чтобы заставить потребителя вспомнить о товаре. Напоминающая реклама приобретает особую значимость на этапе зрелости товара.
Патернализм
покровительство старшего по отношению к младшим; забота о подопечных.
Потребности
одна из фундаментальных категорий теоретической и прикладной экономики. Это виды продукции, товаров, услуг, вещей, в которых нуждаются люди, которые они желают, стремятся иметь и потреблять.
Потребность
(в психологии) состояние индивида, создаваемое испытываемой им нуждой в объектах, необходимых для его существования и развития, и выступающее источником его активности.
Потребность
внутреннее состояние психологического или функционального ощущения недостаточности чего-либо.
Руководитель
лицо, на которое официально возложены функции управления коллективом и организации деятельности. Руководитель несет юридическую ответственность за функционирование группы (коллектива) перед назначившей (избравшей, утвердившей) его инстанцией и располагает строго определенными возможностями санкционирования — наказания и поощрения подчиненных в целях воздействия на их производственную (научную, творческую и пр.) активность. В отличие от лидера руководитель обладает формально регламентированными правами и обязанностями, а также представляет группу в других организациях.
Сегментация рынка
стратегия производителей и продавцов товаров, заключающаяся в разделении рынка на отдельные части (сегменты) по признаку вида продаваемого товара, территориального расположения, типа наиболее представленных на данной части рынка покупателей, по социальным признакам.
Социальная сегментация
процесс разделения общества, формальной организации или социальной группы на относительно изолированные подгруппы.
Стиль жизни
совокупность образцов поведения человека или группы людей, ориентированных преимущественно на повседневную жизнь. Стиль жизни вырабатывается людьми в соответствии с их биологическими, общественными и эмоциональными потребностями.
Стимулирование экономическое
экономическое побуждение, использование материальных стимулов (побудителей), способствующих тому, чтобы производители, потребители, покупатели вели себя желаемым образом к выгоде и в интересах лиц, применяющих стимулирование.
Стимулирующая реклама
направлена на стимулирование продаж, спроса, товарооборота.
Стресс (от англ. stress — напряжение)
состояние психического напряжения, возникающее у человека под влиянием сильных воздействий. Может оказывать как положительное, так и отрицательное влияние на жизнедеятельность, вплоть до ее полной дезорганизации.
Товарный знак
зарегистрированное в установленном порядке обозначение, символика, позволяющие отличить товар данной фирмы от товаров других фирм.
Торговая марка
оригинально оформленный специальный отличительный знак торгового предприятия, торговой фирмы, который они вправе размещать на продаваемых товарах, изготовленных по заказу данной фирмы. Чаще всего торговая марка представлена графическим изображением, оригинальным названием, особым сочетанием знаков, букв, слов.
Удовлетворенность трудом
эмоционально-оценочное отношение личности или группы к выполняемой работе и условиям ее протекания.
Управление по целям
метод управления, заключающийся в таком подходе к определению и анализу целей организации, который позволяет сделать их конкретными целями отдельных менеджеров.
Физиологические измерения
способ оценки полезности рекламы методом электромиографии.
Целевая аудитория
часть аудитории, объединенная общими демографическими характеристиками и культурными вкусами, на которую рассчитывают создатели товаров и услуг.
Ценность
отражение в сознании человека объектов, признаваемых им в качестве стратегических жизненных целей и общих мировоззренческих ориентиров.
Ценностные ориентации
интериоризированные личностью ценности социальных групп.
Экспериментальный методы современной психологии
методы наблюдения, интервью, психофизиологические методы, метод ассоциативного эксперимента, контент-анализа и др.
Эмоциональный интеллект
набор некогнитивных способностей, компетенций и навыков, которые влияют на способность человека справляться с вызовами и давлением внешней среды (Рувен Барон).
Эффективность труда
характеристика использования трудовых ресурсов; измеряется как отношение результата к затратам живого труда во всех сферах деятельности. Основными показателями эффективности труда служат показатели производительности труда.
FMCG (Fast Moving Consumer Goods)
товары повседневного спроса.
Исследовательские компании
COMCON (КОМКОН)
российская исследовательская компания.
Образована в 1991 г. Член ESOMAR (Европейского общества исследователей рынка и общественного мнения). КОМКОН является официальным представителем компании Research International в России, входящей в KANTAR GROUP — третью в мире по величине исследовательскую группу (ныне присоединённую к TNS).
GfK Group
немецкая исследовательская компания.
Сегодня годовой оборот GfK Group превышает миллиард eвро. В 140 компаниях, более чем в 90 странах мира трудятся более 8 200 специалистов, что позволяет организации проводить интегрированные исследования, как в Европе, так и во всем мире. На данный момент (2008 г.) объявила свои планы о слиянии с британской TNS. Результатом сделки станет исследовательская компания под названием Gfk-TNS Plc, которая займёт по величине второе место в мире. Институт маркетинговых исследований ГфК Русь — российское дочернее предприятие GfK Group. Компания ГфК Русь была основана в 1991 году в составе трех человек.
Ipsos
французская компания, учреждена в 1975 г.
Эксперты полагают, что компания Ipsos в России входит в тройку ведущих компаний, осуществляющих заказные качественные маркетинговые исследования (другие участники отрасли GfK и «КОМКОН»). На данный момент существует более 60 офисов компании в различных странах мира. В 2007 г. выручка Ipsos Group составила 927.2 миллиона евро.
Nielsen
американская исследовательская компания.
По оценкам журнала «Коммерческий директор» лидер на мировом рынке маркетинговых и рыночных исследований. Компания ACNielsen была основана в 1923 г., американцем Артуром Нильсоном. В 2007 г. компания была переименована в The Nielsen Company. Офисы компании представлены более чем в 100 странах мира. Помимо всяких прочих показателей лидерства, можно отметить, что в июне 2008 г. Coca-Cola и Nielsen продлили соглашение о сотрудничестве, действовавшее 70 лет.
TNS (Taylor Nelson Sofres)
британская исследовательская компания.
Группа компаний TNS является одним из лидеров в исследовательском бизнесе. Это публичная компания, ее акции котируются на Лондонской Фондовой Бирже. Кроме того, TNS — это независимая исследовательская структура, не связанная ни с одной медиа или рекламной группой. Генеральным директором группы TNS является Майк Киркхам (Mike Kirkham). Председателем Совета директоров компании — Тони Коулинг (Tony Cowling). Офисы группы компаний представлены в более чем 70 странах мира, в которых работает более 14 000 человек. Штаб-квартира TNS находится в Лондоне (Великобритания). TNS Gallup — российское подразделение TNS является монополистом на рынке медийных исследований.
|