| Содержание
Введение. 2
Понятие о зенитно-ракетных комплексах с самонаведением.. 3
Система управления полетом. Основные понятия. 10
Принципы построения систем управления полетом.. 11
Контур управления. Система автоматического управления. 11
Понятие передаточной функции. 14
Контур управления полетом зенитной управляемой ракеты.. 25
Показатели качества контура управления. 25
Направления оптимизации контура управления полетом ракеты.. 31
Контур управления системы самонаведения ракеты.. 34
Схема конкретного контура самонаведения бортовой части. 39
Выводы.. 43
Список сокращений. 44
Список использованной литературы.. 45
Введение
Задачей стрельбы по воздушной цели является её поражение (уничтожение). Для поражения цели, прежде всего, необходимо обеспечить сближение ракеты с целью с требуемой точностью. В работе описываются системы управления полётом ЗРК с самонаведением. Данный метод наведения характеризуется тем, что на ракете находится своя собственная радиолокационная станция, которая принимает сигналы от цели, интерпретирует их и принимает решение о направлении дальнейшего полета. Такое решение при конструировании ракет становится всё более актуальным, ведутся постоянные исследования и разработки по совершенствованию материально-технической и элементной базе. Проверенная временем правильность такого направления остаётся востребованной и в перспективе.
В первой главе приведены сведения относительно систем наведения, и проводится подробное ознакомление с понятием самонаведения. В последующих главах рассматривается сама система управления полётом.
Понятие о зенитно-ракетных комплексах с самонаведением
Самонаведением называется автоматическое наведение ракеты на цель, основанное на использовании энергии, идущей от цели к ракете.
Системы самонаведения
— системы, в которых управление полетом ракет осуществляется командами управления, формируемыми на борту ракет, при этом информация, необходимая для их формирования, выдается бортовым устройством (координатором). Эти системы используют самонаводящиеся ракеты, в управлении полетом которых пункт управления участия не принимает.
По виду энергии, используемой для получения информации о параметрах движения цели, различают активные, полуактивные и пассивные системы самонаведения.
Забиваем Сайты В ТОП КУВАЛДОЙ - Уникальные возможности от SeoHammer
Каждая ссылка анализируется по трем пакетам оценки: SEO, Трафик и SMM.
SeoHammer делает продвижение сайта прозрачным и простым занятием.
Ссылки, вечные ссылки, статьи, упоминания, пресс-релизы - используйте по максимуму потенциал SeoHammer для продвижения вашего сайта.
Что умеет делать SeoHammer
— Продвижение в один клик, интеллектуальный подбор запросов, покупка самых лучших ссылок с высокой степенью качества у лучших бирж ссылок.
— Регулярная проверка качества ссылок по более чем 100 показателям и ежедневный пересчет показателей качества проекта.
— Все известные форматы ссылок: арендные ссылки, вечные ссылки, публикации (упоминания, мнения, отзывы, статьи, пресс-релизы).
— SeoHammer покажет, где рост или падение, а также запросы, на которые нужно обратить внимание.
SeoHammer еще предоставляет технологию Буст, она ускоряет продвижение в десятки раз,
а первые результаты появляются уже в течение первых 7 дней.
Зарегистрироваться и Начать продвижение
Активными называют системы самонаведения, в которых источник облучения цели установлен на борту ракеты (рис. 1, а). Отраженные от цели сигналы принимаются бортовым координатором и служат для измерения параметров движения цели (параметра рассогласования). В полуактивных системах самонаведения источник облучения цели размещен на пункте управления (рис. 1, б). Отраженные от цели сигналы используются бортовым координатором для измерения параметра рассогласования.

Рис.1. Схемы систем самонаведения:
а —
активная; б
— полуактивная; в —
пассивная; 1 — бортовой координатор; 2 —
СРП; 3 —
автопилот; 4 —
станция подсвета (облучения) цели; 5 — пусковые устройства
Пассивными называют такие системы самонаведения, в которых для измерения параметров движения цели используется энергия, излучаемая целью. Это может быть тепловая (лучистая), световая, радиотепловая энергия (рис. 1, в).
В состав системы самонаведения входят устройства, измеряющие параметр рассогласования, счетно-решающий прибор (СРП), автопилот и рулевой тракт. Принцип работы системы самонаведения сводится к следующему.
При нахождении ракеты на пусковом устройстве координатор наводится на выбранную для уничтожения цель: осуществляется захват цели на автоматическое сопровождение, измеряются координаты цели или непосредственно параметр рассогласования, что зависит от принятого метода наведения. После старта координатор непрерывно измеряет величину и вырабатывает напряжение рассогласования , которое поступает в СРП для формирования команд управления полетом ракеты. Контроль за качеством наведения может быть визуальным и с помощью радиолокационных и телевизионно-оптических средств, установленных на пункте управления.
Радиолокационные системы самонаведения получили широкое распространение в ЗРК ввиду их практической независимости действия от метеорологических условий и возможности наведения ракеты на цель любого типа и на различные дальности. Они могут использоваться на всем или только на конечном участке траектории зенитной управляемой ракеты, т. е. в сочетании с другими системами управления (системой телеуправления, программного управления).
В радиолокационных системах применение пассивного способа самонаведения весьма ограничено. Такой способ возможен лишь в частных случаях, например при самонаведении ЗУР на самолет, имеющий на своем борту непрерывно работающий радиопередатчик помех, и др. Поэтому в радиолокационных системах самонаведения применяют специальное облучение («подсвечивание») цели. При самонаведений ракеты на всем участке ее траектории полета к цели по энергетическим и стоимостным соотношениям, как правило, применяются полуактивные системы самонаведения. Первичный источник энергии (радиолокатор подсвета цели) обычно располагается на пункте наведения. В комбинированных системах применяются как полуактивная, так и активная системы самонаведения. Ограничение по дальности активной системы самонаведения происходит происходит за счет максимальной мощности, которую можно получить на ракете с учетом возможных габаритов и массы бортовой аппаратуры, в том числе и антенны головки самонаведения.
Сервис онлайн-записи на собственном Telegram-боте
Попробуйте сервис онлайн-записи VisitTime на основе вашего собственного Telegram-бота:
— Разгрузит мастера, специалиста или компанию;
— Позволит гибко управлять расписанием и загрузкой;
— Разошлет оповещения о новых услугах или акциях;
— Позволит принять оплату на карту/кошелек/счет;
— Позволит записываться на групповые и персональные посещения;
— Поможет получить от клиента отзывы о визите к вам;
— Включает в себя сервис чаевых.
Для новых пользователей первый месяц бесплатно.
Зарегистрироваться в сервисе
Если радиолокационный передатчик расположен вблизи ракеты, находящейся на пусковой установке, то дальность действия полуактивной системы самонаведения
, где
—
излучаемая мощность радиолокатора облучения цели;
и — коэффициенты направленности передающей антенны радиолокатора и приемной антенны головки самонаведения с учетом КПД волноводно-фидерных линий;
— длина волны электромагнитной энергии;
— эффективная отражающая поверхность цели;
— коэффициент, учитывающий изменение поляризации вторичного поля по сравнению с первичным;
— чувствительность приемника головки самонаведения;
— коэффициент, учитывающий затухание волн в атмосфере на пути 2
D
.
Дальность действия активной системы самонаведения рассчитывается по той же формуле, однако вместо параметров радиолокатора облучения цели берутся излучаемая мощность и коэффициент направленности антенны передатчика, расположенного на ракете.
Если в полуактивной системе самонаведения расстояния от передатчика до цели и приемника головки самонаведения до цели в момент захвата цели головкой самонаведения не равны, то дальность действия системы определится выражением

Сравнение этих формул показывает, что если самонаведение начинается не с момента старта ракеты, то с увеличением дальности стрельбы ракетой энергетические преимущества активного самонаведения по сравнению с полуактивным возрастают.
Для вычисления параметра рассогласования и выработки команд управления следящие системы головки самонаведения должны непрерывно отслеживать цель. При этом формирование команды управления возможно при сопровождении цели только по угловым координатам. Однако такое сопровождение не обеспечивает селекцию цели по дальности и скорости, а также защиту приемника головки самонаведения от побочной информации и помех.
Для автоматического сопровождения цели по угловым координатам используются равносигнальные методы пеленгации. Угол прихода отраженной от цели волны определяется сравнением сигналов, принятых по двум или более несовпадающим диаграммам направленности. Сравнение может осуществляться одновременно или последовательно.
Наибольшее распространение получили пеленгаторы с мгновенным равносигнальным направлением, в которых используется суммарно-разностный способ определения угла отклонения цели. Появление таких пеленгационных устройств обусловлено в первую очередь необходимостью повышения точности систем автоматического сопровождения цели по направлению. Такие пеленгаторы теоретически не чувствительны к амплитудным флюктуациям отраженного от цели сигнала.
В пеленгаторах с равносигнальным направлением, создаваемым путем периодического изменения диаграммы направленности антенны, и, в частности со сканирующим лучом, случайное изменение амплитуд отраженного от цели сигнала воспринимается как случайное изменение углового положения цели.
Принцип селекции цели по дальности и скорости зависит от характера излучения, которое может быть импульсным или непрерывным.
При импульсном излучении селекция цели осуществляется, как правило, по дальности с помощью стробирующих импульсов, открывающих приемник головки самонаведения в момент прихода сигналов от цели.

Рис. 2. Радиолокационная полуактивная система самонаведения
При непрерывном излучении сравнительно просто осуществить селекцию цели по скорости. Для сопровождения цели по скорости используется эффект Доплера. Величина доплеровского смещения частоты сигнала, отраженного от цели, пропорциональна при активном самонаведении относительной скорости сближения ракеты с целью, а при полуактивном самонаведении — радиальной составляющей скорости цели относительно наземного радиолокатора облучения и относительной скорости сближения ракеты с целью. Для выделения доплеровского смещения при полуактивном самонаведении на ракете после захвата цели необходимо произвести сравнение сигналов, принятых радиолокатором облучения и головкой самонаведения. Настроенные фильтры приемника головки самонаведения пропускают в канал изменения угла только те сигналы, которые отразились от цели, движущейся с определенной скоростью относительно ракеты.
Схема полуактивной радиолокационной системы самонаведения показана на рисунке. Применительно к зенитному ракетному комплексу типа "Хок" она включает радиолокатор облучения (подсвета) цели, полуактивную головку самонаведения, зенитную управляемую ракету и др.
Задачей радиолокатора облучения (подсвета) цели является непрерывное облучение цели электромагнитной энергией. В радиолокационной станции используется направленное излучение электромагнитной энергии, что требует непрерывного сопровождения цели по угловым координатам. Для решения других задач обеспечивается также сопровождение цели по дальности и скорости. Таким образом, наземная часть системы полуактивного самонаведения представляет собой радиолокационную станцию с непрерывным автоматическим сопровождением цели.
Полуактивная головка самонаведения устанавливается на ракете и включает координатор и счетно-решающий прибор. Она обеспечивает захват и сопровождение цели по угловым координатам, дальности или скорости (или по всем четырем координатам), определение параметра рассогласования и выработку команд управления.
На борту зенитной управляемой ракеты устанавливается автопилот, решающий те же задачи, что и в командных системах телеуправления.
В состав зенитного ракетного комплекса, использующего систему самонаведения или комбинированную систему управления, входят также оборудование и аппаратура, обеспечивающие подготовку и пуск ракет, наведение радиолокатора облучения на цель и т. п.
Инфракрасные (тепловые) системы
самонаведения зенитных ракет используют диапазон волн, как правило, от 1 до 5 мкм. В этом диапазоне находится максимум теплового излучения большинства воздушных целей. Возможность применения пассивного способа самонаведения — основное преимущество инфракрасных систем. Система делается более простой, а ее действие скрытым от противника. До пуска ЗУР воздушному противнику труднее обнаружить такую систему, а после пуска ракеты создать ей активную помеху. Приемник инфракрасной системы конструктивно может быть выполнен значительно проще приемника радиолокационной ГСН.
Недостаток системы — зависимость дальности действия от метеорологических условий. Тепловые лучи сильно затухают при дожде, в тумане, в облаках. Дальность действия такой системы также зависит от ориентации цели относительно приемника энергии (от направления приема). Лучистый поток из сопла реактивного двигателя самолета значительно превышает лучистый поток его фюзеляжа.
Тепловые головки самонаведения получили широкое распространение в зенитных ракетах ближнего боя и малой дальности.
Световые системы
самонаведения основаны на том, что большинство воздушных целей отражает солнечный или лунный свет значительно сильнее, чем окружающий их фон. Это позволяет выделить цель на данном фоне и навести на нее зенитную ракету с помощью ГСН, осуществляющей прием сигнала в диапазоне видимой части спектра электромагнитных волн. Достоинства данной системы определяется возможностью применения пассивного способа самонаведения. Ее существенный недостаток — сильная зависимость дальности действия от метеорологических условий. При хороших метеорологических условиях световое самонаведение невозможно также в направлениях, с которых в поле зрения угломера системы попадает мешающая энергия Солнца или Луны.
Система управления полетом. Основные понятия.
Система управления полетом представляет собой совокупность наземных и бортовых устройств, обеспечивающих выработку команд управления и наведения ракеты на цель на основе взаимного положения цели и ракеты.
При выборе траектории одним из критериев оптимальности является крутизна траектории — чем меньше крутизна, тем лучше.
СУП в любой момент времени должна иметь информацию о координатах и параметрах движения цели и ракеты, задавать характер связи между этими параметрами, определять меру нарушения этих связей и на основе этого вырабатывать команды управления, обеспечивающие движение ракеты по требуемой траектории.
Основные требования к СУП:
- высокая точность наведения ракеты на цель
- выбор траектории полета в пределах допустимых перегрузок
- непрерывность управления полетом ракеты до ее встречи с целью
Функциональный состав СУП зависит от способа наведения. В случае самонаведения СУП должна включать следующие элементы:
- РЛС подсвета цели
а) в случае активного самонаведения — на ракете
б) в случае полуактивного — на земле
в) в случае пассивного — отсутствует
- ГСН — головка самонаведения — осуществляет прием сигнала от цели и вычисляет направление на цель
- Вычислительный прибор — для определения траектории дальнейшего движения, для стабилизации ракеты в пространстве
- Механизмы управления рулями ракеты
Принципы построения систем управления полетом
Контур управления. Система автоматического управления.
Система наведения ЗУР является замкнутой системой автоматического управления. Она решает две основные задачи: на основе информации о координатах и параметрах движения цели определяет траекторию движения центра масс ракеты и обеспечивает ее полет по этой траектории путем изменения величины нормальных управляющих сил. В контур этой системы (в контур управления) в качестве одного из звеньев входит система стабилизации, предназначенная для сохранения требуемого углового положения или установившегося углового движения ракеты. Объектом управления системы стабилизации и системы наведения в целом является ракета. Контур управления замыкается через так называемое кинематическое звено, устанавливающее связь между движением ракеты и движением цели.
Структурная схема кинематического звена определяется выбранным методом наведения и параметром рассогласования.
Структурная схема и параметры контура управления должны обеспечивать заданную точность наведения ракеты на цель при условии, когда входные сигналы кроме регулярных воздействий, обусловленных движением цели, а также продольным движением ракеты, имеют в своем составе относительно высокий уровень случайных возмущений.
Для получения требуемой точности наведения ракеты на цель необходимо обеспечить следующие условия:
1. Устойчивость движения ракеты
как объекта управления на всех этапах полета.
Под устойчивостью системы автоматического управления понимается ее свойство переходить к установившемуся состоянию после прекращения действия возмущения, которое вывело систему из этого состояния, т. е. система управления с затухающим, переходным процессом называется устойчивой, а с незатухающим (расходящимся) — неустойчивой.
Применительно к нашему случаю контур управления должен обеспечить движение ракеты по кинематической траектории и затухание колебаний ракеты около этой траектории при воздействии на ее вход как регулярных, так и случайных возмущений.
Об устойчивости замкнутой автоматической системы обычно судят по частотным характеристикам разомкнутого контура этой системы, которые определяют реакцию системы на гармоническое воздействие. На вход системы подается синусоидальное колебание
.
На выходе системы оно будет иметь другую амплитуду и отставание по фазе:

Подавая на вход колебания разных частот, можно для каждой из них определить на выходе величину усиления амплитуды и сдвига фазы , т. е. получить амплитудную и фазовую характеристики системы.
Система автоматического управления должна иметь определенные запасы устойчивости, которые обычно характеризуются двумя величинами: запасом устойчивости по амплитуде (модулю) и запасом устойчивости по фазе.
Запасом устойчивости по амплитуде называется наименьшее число, показывающее, во сколько раз необходимо увеличить или уменьшить усиление разомкнутого контура для того, чтобы система стала неустойчивой.
Запасом устойчивости по фазе называется величина фазового сдвига , который необходимо ввести на частоте среза (частота, при которой усиление равно единице) в разомкнутый контур системы управления для того, чтобы система стала неустойчивой.
При проектировании автоматических систем рекомендуется выбирать запас устойчивости по амплитуде не менее б дБ, а по фазе — не менее 30—45°.
Это в полной мере относится и к контуру управления зенитной управляемой ракеты. На последнем этапе наведения ракеты может быть участок неустойчивой работы контура управления. Этот участок допустим до тех пор, пока точность наведения не превосходит заданной величины.
2. Высокое качество переходного процесса
на всех этапах и режимах полета ракеты.
Качество переходного процесса характеризуется формой кривой переходного процесса (рис. 3), т. е. быстротой затухания переходного процесса, относительной величиной перерегулирования и т. п.
Качество переходного процесса определяет динамическую точность системы, т. е. ее способность следить за быстрыми изменениями входного сигнала. Динамическая точность системы обеспечивается такими ее свойствами как быстродействие и демпфирование (малая колебательность).
 
Рис. 3. Кривая переходного процесса
Резкие изменения входного сигнала, вызывающие переходный процесс, могут быть следствием маневра цели, помех, изменения способа сопровождения цели, перехода с одного метода наведения на другой и т. д.
В первых трех случаях качество переходного процесса рассматривается в основном с точки зрения величины переходных ошибок, так как встреча ракеты с целью может произойти в любой момент этого процесса. В последнем случае длительность переходного процесса определяет участок траектории, на котором встреча ракеты с целью не произойдет. Переход с одного метода наведения на другой допустим только при достаточном для окончания переходного процесса полетном времени ракеты до точки встречи.
Качество переходного процесса также определяет время отработки начального рассогласования (время вывода ракеты на кинематическую траекторию).
3. Достаточно стабильный и высокий коэффициент усиления разомкнутого контура управления
.
Коэффициент усиления контура управления Ко представляет собой отношение выходной величины к входной величине системы наведения в установившемся режиме ее работы.
Установившимся называют режим работы системы наведения после затухания переходных процессов.
Выбор коэффициента усиления контура управления связан с анализом противоречивых требований. С одной стороны, при увеличении коэффициента Ко повышаются быстродействие и динамическая точность системы, а величина установившихся ошибок системы снижается. С другой стороны, с увеличением, коэффициента Ко возрастает колебательность системы, контур начинает реагировать на очень слабые возмущения. При очень больших коэффициентах: Ко возможна потеря устойчивости системы. Растут значения флюктуационных составляющих ошибок наведения.
В конечном счете контур управления должен обеспечить требуемую точность наведения ракеты на цель в заданной зоне обстрела воздушных целей при условии, когда параметры ракеты (моменты инерции, собственная частота, располагаемые перегрузки) изменяются в широких пределах. Контур управления ракетой представляет собой систему автоматического регулирования с ограниченной мощностью из-за ограниченности располагаемых перегрузок ракеты. При переходных процессах может происходить его перенасыщение. Все это предъявляет повышенные требования к выбору характеристик звеньев системы управления.
Понятие передаточной функции
Насколько контур управления удовлетворяет требованиям устойчивости, качеству переходного процесса и точности, можно судить по передаточным функциям системы.
Коэффициент усиления является статической характеристикой системы и определяет зависимость между входной и выходной величинами в установившемся режиме.
Поведение системы во времени можно описать математически, используя теорию дифференциальных уравнений. Работа контура управления описывается в общем случае системой нелинейных дифференциальных уравнений, включающей:
- уравнения ракеты, характеризующие связь между перемещениями ее рулей (входные величины) и нормальным ускорением (выходная величина);
- уравнения автопилота, определяющие отклонения рулей ракеты в зависимости от управляющих сигналов курса и тангажа;
- уравнения счетно-решающего устройства и устройства передачи команд, устанавливающие зависимости между командами управления и измеренными значениями параметров рассогласования;
- уравнения координатора, связывающие движение цели и ракеты с параметром рассогласования;
- уравнения координатора, связывающие движение цели и ракеты с параметром рассогласования;
- кинематические уравнения движения ракеты. Наличие в ряде уравнений переменных коэффициентов вызывает необходимость исследования динамических свойств контура управления его моделированием с использованием электронных вычислительных машин.
Приближенная оценка точности наведения ракеты на цель может быть получена линеаризацией уравнений: путем «замораживания» меняющихся коэффициентов с последующим использованием теории передаточных функций.
Динамические свойства каждого звена системы управления описываются функцией времени. Эту функцию можно записать не только в обычной, но и в операторной форме. В преобразованных функциях вместо времени t
независимой переменной записывается оператор р,
который означает символ .
Если звено системы управления линейное, то связь между входной величиной x
(
t
)
и. выходной величиной y
(
t
)
можно полностью охарактеризовать передаточной функцией Ф(р).
Передаточной функцией называется отношение преобразованных величин y
(
t
)
и x
(
t
)
при нулевых начальных условиях, т. е.

Если известна передаточная функция , то реакцию звена на какой-либо входной сигнал можно найти следующим образом:
a) записать входную величину в операторной форме, например с помощью таблицы преобразованных функций, т. е. осуществить переход ;
b) найти операторное выражение выходной величины, алгебраически умножив передаточную функцию на преобразованную входную величину: ;
c) осуществить переход от выходной преобразованной величины к функции времени .
Типовыми звеньями систем автоматического регулирования принято считать: усилительное, инерционное (статическое звено первого порядка), колебательное (статическое звено второго порядка), интегрирующее и дифференцирующее. Их передаточные функции можно найти в специальных учебниках.
Передаточная функция системы, состоящей из п
звеньев, включенных последовательно:

Передаточная функция системы, состоящей из п
звеньев, включенных параллельно:

Во многих случаях отдельные звенья или их совокупность охватываются обратной связью (рис. 4). При наличии обратной связи часть выходного сигнала подводится обратно к входу звена и алгебраически суммируется с входной величиной. Полярность сигнал обратной связи может быть одинакова или противоположна полярности входного сигнала. Соответственно различают положительную и отрицательную обратные связи. Наибольшее применение находят отрицательные обратные связи.

Рис. 4. Звено с обратной связью
Формула для эквивалентной передаточной функции, определяющей характеристики системы с учетом отрицательной обратной связи, имеет вид
, где
— передаточная функция замкнутой системы;
—передаточная функция прямой цепи системы;
—
передаточная функция обратной связи.
Передаточная функция разомкнутой системы

Итак, зная передаточные функции отдельных звеньев системы управления и схему их соединения, можно найти передаточную функцию всей системы.
Передаточная функция разомкнутого контура определяет, какие преобразования входного сигнала осуществляет система в разомкнутом состоянии, т. е. при отсутствии обратной связи, а передаточная функция замкнутого контура — в замкнутом состоянии, т. е. при наличии обратной связи.
В общем случае

Для следящих систем (рис. 5), особенностью которых является передача выходной величины на вход системы с коэффициентом передачи, равным единице, передаточная функция

Реальная система кроме управляющего входного воздействия подвержена различным возмущающим воздействиям, которые могут поступать в систему в любом месте (рис. 6).

Рис. 5. Структурная схема следящей системы
Общая реакция (изменение выходной величины) линейной системы на внешние возмущающие воздействия
.

Рис. 6. Структурная схема системы автоматического управления
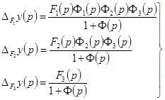
Результат каждого воздействия в отдельности можно определить, пользуясь следующим правилом: изменение выходной величины равно дроби, числитель которой есть произведение внешнего воздействия на передаточные функции звеньев, включенных последовательно между точкой приложения воздействия и выходом системы, а знаменатель — увеличенная на единицу передаточная функция разомкнутой системы, т.е.:

Тогда
,
где — передаточная функция разомкнутой системы.
Передаточные функции и позволяют оценить качество переходного процесса и точность системы автоматического управления.
Передаточная функция разомкнутой системы в общем случае имеет вид
,
где S
— степень астатизма системы.
В реальных системах всегда n>m. Различие передаточных функций выражается в значениях показателей s, m
,
n
и коэффициентов , ,
,
…, ,
,
, …,
.
В установившемся режиме (при ) все коэффициенты и обращаются в нуль и эта функция примет вид

В статических системах управления (системах, не содержащих интегрирующих звеньев) степень астатизма s=0. установившемся режиме передаточная функция запишется как безразмерный коэффициент усиления ,
а установившаяся ошибка системы

В астатических системах степень астатизма . Если s=l, то имеет размерность и называется коэффициентом усиления (добротностью) системы по скорости. Если s=2, то имеет размерность и называется коэффициентом усиления (добротностью) системы по ускорению. Оператор ошибки

Следовательно, установившаяся ошибка астатической системы s-го порядка пропорциональна s-й производной входного воздействия:

Приведенные соотношения будут использованы для анализа динамических ошибок наведения ракеты на цель.
Передаточная функция ракеты с учётом обратных связей.
Для вывода передаточной функции ракеты используем: уравнение перемещения ее центра масс:

уравнение углового движения ракеты:

где первое слагаемое – момент инерции ракеты относительно оси oz
1
; уравнение связи углов

Эти уравнения являются нелинейными ввиду нелинейной зависимости подъемной силы и моментов от углов и , а также наличия в уравнениях тригонометрических функций. Для линеаризации этой системы уравнений будем считать, что подъемную силу, управляющий и стабилизирующий моменты можно представить в виде произведения постоянных коэффициентов на угол атаки или отклонения руля:
; ; 
а демпфирующий момент — произведением .
Это допущение верно в пределах определенных углов атаки и отклонений руля.
Вес является систематической составляющей системы сил, действующих на ракету. Он может лишь сместить исходные положения рассматриваемых процессов, не оказывая влияния на характер их протекания во времени. Поэтому при выводе передаточной функции ракеты ее вес не учитывается.
Ввиду малости углов атаки , учитывая сделанные допущения и принимая во внимание знаки аэродинамических коэффициентов, данные уравнения можно записать в виде:

Введем коэффициенты:

По физическому смыслу коэффициент является величиной, характеризующей скорость разворота ракеты под действием аэродинамической и газодинамической нормальных сил, т.е. маневренность ракеты. Коэффициенты ,
и принято называть соответственно относительным коэффициентом аэродинамического демпфирования, статической устойчивости и эффективности руля.
С учетом введенных коэффициентов можно записать:

или в операторной форме ( ):

Угол отклонения руля при анализе свойств ракеты как объекта управления является входной величиной. Для решения уравнений, т. е. для определения зависимости , и от , воспользуемся теорией определителей.
Определитель системы имеет вид:

Определители , и получаются заменой в определителе системы соответственно первого, второго и третьего столбцов свободными членами уравнений. Результаты вычисления этих определителей таковы:

Так как
, , 
то передаточные функции ракеты, устанавливающие зависимости угла тангажа , угла атаки и угла наклона траектории от угла отклонения руля , имеют вид:

При рассмотрении процессов наведения ЗУР в качестве выходного параметра, как правило, принимается нормальное ускорение .
Передаточная функция, связывающая нормальное ускорение ракеты с углом отклонения руля, определяется по следующей формуле:

Функции можно привести к общепринятому виду, если в числителе и знаменателе вынести свободные члены за скобки. Проделаем это применительно к функции , предварительно приняв:



Тогда

Параметры передаточной функции ракеты полностью определяют ее динамические свойства.
Коэффициент усиления ракеты характеризует маневренные свойства ракеты и определяет в установившемся режиме скорость приращения угла наклона траектории при отклонении руля на единицу угла:

Величина этого коэффициента определяется только ракетой и вследствие ограниченности управляющих моментов и нормальных управляющих сил не может быть улучшена системой управления.
Располагаемая перегрузка ракеты связана с коэффициентом зависимостью

где — максимальное отклонение рулей высоты.
Произведение принято называть передаточным числом ракеты по нормальному ускорению ( ).
Коэффициент усиления ракеты , а следовательно, и коэффициент усиления контура управления зависят от скорости ракеты и плотности воздуха. С увеличением высоты полета ракеты значение коэффициента падает. Величина передаточного коэффициента ,
в состав которого в качестве одного из сомножителей входит коэффициент ,
значительно влияет на точность наведения ракеты на цель. Для уменьшения влияния положения точки встречи ракеты с целью (в пределах заданной зоны обстрела) на эффективность стрельбы значение коэффициента усиления ракеты необходимо стабилизировать. Наиболее действенный способ стабилизации — включение в состав ракеты устройств, корректирующих значение в зависимости от скорости ракеты и плотности воздуха. Работа этих устройств, как правило, связана с использованием датчиков скоростного напора.
Относительный коэффициент демпфирования

и собственная частота колебаний

являются важными динамическими характеристиками ракеты с точки зрения значений переходных и флюктуационных ошибок и расхода располагаемых перегрузок ракеты. Относительный коэффициент демпфирования определяет величину перерегулирования переходного процесса по нормальному ускорению и углу атаки. Его величина почти не зависит от скорости ракеты, но убывает с возрастанием высоты ее полета. На больших высотах значение коэффициента весьма мало.
Получение требуемого значения относительного коэффициента демпфирования и его стабилизация достигаются охватом, ракеты обратными связями по угловой скорости вращения ракеты и поперечному ускорению. Сигналы обратных связей формируются, как правило, совокупностью измерителей, включаемых в автопилот. Такими измерителями являются демпфирующие гироскопы (ДГ) и датчики линейных ускорений (ДЛУ).
Собственная частота колебаний также зависит от условий полета ракеты (скоростного напора, статической устойчивости) и в
реальных условиях стрельбы может изменяться а широких пределах. Она должна находиться в определенном соотношении с частотой среза контура управления, выбор которой обусловливается оптимумом систематических в случайных составляющих ошибок наведения.

Рис. 7. Структурная схема ракеты с учетом обратных связей
Структурная схема ракеты
с учетом обратных связей показана на рис. 7. На схеме кроме звеньев, формирующих сигналы, пропорциональные угловой скорости и поперечному ускорению ракеты, показано звено рулевого тракта, которое устанавливает связь между суммарным управляющим сигналом и углом отклонения руля.
Применительно к структурной схеме:
передаточная функция ракеты с рулевым трактом

коэффициент усиления ракеты с рулевым трактом

Передаточная функция должна обеспечить демпфирование колебаний ракеты, вызванных случайными возмущениями, и исключить влияние обратной связи при развороте ракеты под действием команд управления.
Датчики линейных ускорений ориентируются так, чтобы их оси чувствительности совпадали с поперечными осями связанной системы координат ракеты. Ускорения, измеряемые ДЛУ, в принципе не равны нормальным ускорениям ракеты. Рассогласование осей связанной и скоростной систем координат, т. е. действующих и измеряемых ускорений, учитывается поправочным коэффициентом .

Рис. 8. Нормальное Wn и поперечное WДЛУ ускорения ракеты
Контур управления полетом зенитной управляемой ракеты
Показатели качества контура управления
Для рассмотрения принципа работы систем управления и оценки их качества пользуются функциональными и структурными схемами.
Функциональной схемой системы управления называют такую, которая позволяет установить взаимосвязь (функциональную связь) между ее элементами, дает возможность качественно оценить взаимодействие элементов системы и в дальнейшем составить ее структурную схему.
В состав функциональной схемы входят аппаратурные звенья (устройства, обеспечивающие измерение параметра рассогласования, устройства формирования и передачи команд управления, автопилот, органы управления полетом ракеты). Составной частью системы управления является система стабилизации ракеты.
Структурная схема системы управления ЗУР характеризует динамические связи между различными звеньями, входящими в систему управления, причем все звенья, входящие в систему управления, представляются передаточными функциями, устанавливающими связь выходной величины с входной для каждого звена. При этом в структурную схему включаются и кинематические звенья (их передаточные функции), описывающие динамику перемещения центра масс цели и ракеты в пространстве.
Введение в состав структурной схемы кинематических звеньев позволяет получить замкнутую систему. Структурную схему замкнутой системы управления называют контуром управления
.
При изложении материала данного раздела будем пользоваться понятием функциональной схемы системы управления 3УР и контуром управления.
Учитывая, что контур управления характеризует состояние замкнутой системы управления, рассмотрим показатели его качества: устойчивость контура управления, качество переходных процессов на всех этапах управления полетом ракеты и точность, наведения ракеты на цель.
Устойчивость контура управления определяется его способностью возвращаться к состоянию устойчивого управления полетом ракеты после отработки входного возмущения (параметра рассогласования). Система управления с затухающим переходным процессом называется устойчивой.
Рассматривая понятие устойчивости применительно к контуру управления полетом ракеты, можно утверждать, что устойчивый контур управления должен обеспечивать движение ракеты по кинематической траектории при воздействии на его входе регулярных и случайных воздействий, т. е. система управления должна быть с затухающим переходным процессом.
Устойчивость контура управления можно, например, определить по частотным характеристикам разомкнутого контура рассматриваемой системы. Частотная характеристика определяет реакцию контура на гармоническое воздействие.
Если на входе контура действуют возмущения в виде синусоидальных колебаний вида ,
то и на выходе контура (системы) в общем случае будут синусоидальные колебания амплитудой В
и фазой , т. е. .
Отношение амплитуд характеризует коэффициент усиления контура управления к, а
— вносимый сдвиг фазы. Зависимость коэффициента усиления к
от частоты подаваемых на вход контура колебаний получила название амплитудно-частотной характеристики , а зависимость сдвига фазы выходных колебаний от частоты входных — фазочастотной характеристики .
Система автоматического управления должна иметь определенные запасы устойчивости по амплитуде (модулю) и по фазе. Запас устойчивости по амплитуде (модулю) определяется как взятое с обратным знаком значение ординаты логарифмической амплитудно-частотной характеристики при значении фазочастотной характеристики минус 180°. Запас устойчивости по амплитуде показывает, на сколько децибел можно максимально увеличить коэффициент усиления данной системы в логарифмическом масштабе , чтобы она не вышла за границы устойчивости. Запас устойчивости по фазе определяется как разность между 180° и абсолютным значением ординаты логарифмической фазочастотной характеристики на частоте среза w
ср. В автоматических системах рекомендуется выбирать запас устойчивости по амплитуде не менее 10—20 дБ, а по фазе — не менее 30—40°. Это условие должно выполняться на этапе наведения ракеты в область встречи с целью.
На последнем этапе наведения ракеты возможен участок неустойчивой работы контура управления. Следует отметить, что в этом случае ошибки наведения ракеты не должны быть выше допустимого значения. Однако, если контур имеет необходимые запасы устойчивости, это еще не означает, что он удовлетворяет поставленным требованиям, так как могут не выполняться условия по быстродействию и точности наведения.
Таким образом, устойчивость контура управления является необходимым, но недостаточным условием его функционирования, поэтому вместе с устойчивостью следует рассматривать качество переходного процесса и точность наведения ЗУР на всех этапах ее полета.
Характеристики переходного процесса определяют способность контура быстро отслеживать изменения входных воздействий, т. е. его динамические свойства.
От качества переходного процесса зависит время вывода ракеты на кинематическую траекторию. Показатель качества определяется временем отработки начального рассогласования, временем и точностью отработки контуром управления маневра цели, возмущений, вызванных изменением способа сопровождения цели и метода наведения ракеты на цель, и т. д.
О качестве контура управления в переходном режиме судят по его функционированию при единичном ступенчатом воздействии.
Контур управления отрабатывает это воздействие с некоторой ошибкой, которая, если предположить, что входное воздействие не имеет случайных помех и инструментальных ошибок, получила название динамической
.
При воздействии на контур медленно изменяющегося управляющего воздействия динамические ошибки в установившемся режиме определяются по формуле
, где
, , — коэффициенты динамической ошибки, определяемые по передаточной функции разомкнутого контура управления ;
,
— соответствующие производные управляющего воздействия.
Передаточная функция контура (звена) —
это отношение преобразованных в операторную форму выходной величины y
(
t
)
к входной при начальных условиях, т.е.

В преобразованных функциях вместо времени t независимой переменной подставляют оператор р,
который можно считать символом .
Чтобы найти величину у
(t) при известных входной величине и передаточной функции звена (контура), необходимо в операторной форме представить входную величину , пользуясь специальными таблицами, в которых отражается соответствие величин и , затем определить и перейти от y
(р)
к y
(
t
)
. Вместе с этим на контур действуют случайные возмущения, обусловливающие флюктуационные ошибки, которые характеризуют отклонение ракеты от динамической траектории.

Рис. 9. К определению дисперсии ошибки воспроизведения управляющего воздействия
Причинами возникновения случайных возмущений являются колебания амплитуды и эффективного центра отраженного от цели сигнала, внутренние шумы радиоэлектронной аппаратуры, естественные и искусственные помехи и т. д.
Контур управления полетом ракеты можно рассматривать как некоторый эквивалентный фильтр, на который поступают управляющие воздействия и помехи, точность работы которого определяется тем, насколько правильно воспроизводятся управляющие воздействия и насколько полно подавляется действие помех.
Количественно точность работы контура управления оценивается ошибкой воспроизведения, которая определяется как разница между требуемым положением ракеты, которое должна отработать ракета, и действительным ее положением. Если внешние воздействия носят случайный характер, ошибка воспроизведения также является случайной и имеет систематическую и флюктуационную составляющие.
Величина ошибок воспроизведения может быть найдена, если известны передаточная функция контура управления и характеристики управляющего воздействия и помех, действующих на контур управления.
Рассмотрим контур управления, на входе которого воздействуют случайный управляющий сигнал и случайная помеха (рис. 10). Необходимо, чтобы ракета наиболее точно отработала сигнал ,
т. е.

В действительности возникает ошибка в отработке входного управляющего сигнала

При воздействии на контур случайных процессов и ошибка системы z
(
t
)
все время меняется. Установившееся значение ошибки как таковое отсутствует, поэтому определяют не саму случайною ошибку, а величину средней квадратической погрешности и однозначно с ней связанную величину дисперсии ошибки воспроизведения .
Если поступающие на вход контура сигнал и помеха взаимно не коррелированы, то для определения величины дисперсии ошибки требуется знать спектральную плотность сигнала управления , помехи и частотную характеристику замкнутого контура управления полетом ракеты , т. е.

В свою очередь

где — амплитудно-частотная характеристика разомкнутого контура управления.
Чтобы иметь представление о том, насколько контур управления полетом ракеты удовлетворяет требованиям по устойчивости, качеству переходного процесса и точности наведения ракеты (при известных сигналах управления и помехи), необходимо знать передаточные функции контура управления и его амплитудно-частотные характеристики.
Для получения аналитического выражения передаточной функции контура управления необходимо располагать математическим описанием физических звеньев, входящих в контур управления, и связями между ними.
Для построения структурных схем необходимо иметь также математическое описание процесса управления ЗУР, выражаемое системой уравнений. Работа контура управления полетом ракеты в общем случае описывается системой нелинейных дифференциальных уравнений;
уравнения ракеты, характеризующие связи между ее выходными параметрами (углом наклона вектора линейной скорости ракеты , углом наклона продольной оси ракеты , нормальным ускорением и углами отклонения рулей ракеты ):

уравнения автопилота, устанавливающие связи между сигналами управления , по курсу и тангажу и величинами углов отклонения рулей ;
уравнения устройств формирования и передачи команд, описывающие характер связей между сигналами управления и сигналами рассогласования: 
уравнения устройств измерения координат (координатора), описывающие зависимость вектора от координат и параметров движения ракеты и цели:

кинематические уравнения, характеризующие закон движения ракеты и цели. Вид этих уравнений определяется типом системы управления.
Для систем самонаведения эти уравнения характеризуют относительную скорость перемещения центров масс ракеты и цели в направлении вектора дальности (ракета — цель) и по нормали к нему.
Для командной системы телеуправления и системы управления по лучу кинематические уравнения устанавливают связь относительных скоростей сближения ракеты и цели.
При анализе контура управления, как правило, рассматривают две независимые системы, управляющие движением ракеты в двух независимых взаимно перпендикулярных плоскостях.
Точность наведения ракеты на цель зависит от параметров движения цели, характеристик и инструментальной точности работы звеньев, входящих в состав контура управления, и возникающих внутри контура паразитных возмущений. Она может быть определена путем решения полной системы дифференциальных уравнений с переменными коэффициентами, описывающих поведение системы управления при входном воздействии, имеющем регулярную и случайную составляющие.
В инженерной практике находят применение приближенные методы анализа системы управления при следующих допущениях: неустановившееся возмущенное движение ракеты отличается от исходного установившегося лишь малым отклонением параметров движения, что позволяет свести нелинейные дифференциальные уравнения к линейным; «замораживаются» переменные коэффициенты дифференциальных уравнений системы управления.
Введение допущений позволяет для оценки качества функционирования контура управления полетом ракеты применять метод передаточных функций или частотный метод.
Направления оптимизации контура управления полетом ракеты
В зависимости от состава начальной информации, которая достаточно полно характеризует процесс наведения ракеты на цель, автоматические системы подразделяются на обыкновенные и адаптивные; соответственно и контур управления полётом ракеты может быть обыкновенным (неадаптивным) или адаптивным.
В неадаптивных контурах управления структура я параметры элементов остаются неизменными при изменении условий наведения ракеты на цель.
При управлении ракетой контур управления должен обеспечить ее наведение на цель в условиях широкого диапазона изменения характеристик ракеты. Данную задачу в определенной степени могут решать неадаптивные контуры, например, контур с бесконечным (практически достаточно большим) коэффициентом усиления, который при определенных начальных допущениях может оказаться оптимальным по точности наведения ракеты на цель. В таких контурах структура и параметры основного контура выбираются таким образом, чтобы обеспечить возможность получения достаточно большого коэффициента усиления, при котором динамика системы практически не зависит от свойств нестационарного объекта управления.
В связи с тем что структура и параметры элементов обыкновенного контура управления не адаптируются к изменяющимся условиям наведения ракеты на цель, то в определенных условиях может не обеспечиваться требуемое значение показателей качества наведения ракеты (например, точность наведения), т. е. контур будет не оптимальным по критерию качества, поэтому другим направлением, позволяющим оптимизировать работу контура управления, является его адаптация к изменяющимся условиям.
Как правило, управление ракетой характеризуется широким диапазоном изменения условий ее полета, наличием возмущающих воздействий, неполной априорной информацией об условиях работы контура управления. Для этих условий может оказаться плодотворной реализация идей теории адаптивного управления при организации функционирования контура управления.
Адаптивные системы и соответствующие им контуры управления подразделяются на самонастраивающиеся и самоорганизующиеся.
В самонастраивающемся контуре на основе информации о параметрах внешних воздействий, динамических характеристиках контура, получаемых в процессе его функционирования, производится активное изменение регулируемых параметров элементов контура управления в целях повышения качества управления. Самоорганизующиеся системы характеризуются не только изменением параметров, но и созданием необходимой структуры контура, позволяющим оптимизировать показатель качества управления.

Рис. 10. Схема самонастраивающегося контура управления полетом ракеты
На рис. 10 представлена общая схема самонастраивающегося контура. Основной контур образуют управляемый объект Р (ракета) с выходной величиной ,
характеризующей его состояние, и система управления полетом СУ. На ракету в общем случае действует как команда управления , так и случайная помеха П.
На вход СУ поступает управляющее воздействие (параметр рассогласования), значение которого обусловлено движением цели, ракеты и принятым методом наведения.
Совокупности элементов СУ могут управлять ракетой не лучшим образом, так как информация об управляемом объекте Р
неполна и в СУ не предусмотрены оптимальные приемы переработки этой информации.
В этой связи в адаптивных системах в состав контура включается устройство А (анализатор), осуществляющее обработку информации в процессе функционирования контура управления. Анализатор изменяет значения настраиваемых параметров элементов или команды управления .
Допустим, что качество функционирования контура характеризуется величиной ошибки наведения. В процессе функционирования контура мера качества (ошибка наведения) меняется в зависимости от изменения управляющего и возмущающего П воздействий, а также от изменения динамических свойств ракеты.
Самонастройка контура сводится к обеспечению минимума показателя качества — ошибки наведения. Отыскание минимальной (требуемой) ошибки наведения может производиться в результате поиска или без поиска.
В
поисковых
самонастраивающихся системах команде управления X или вектору параметров Y
задается пробное отклонение, далее оценивается приращение показателя качества (ошибки наведения) О. В
зависимости от результата производится изменение X или Y в направлении, обеспечивающем получение минимального значения ошибки наведения.
В беспоисковых
системах выполнение условия равенства ошибки наведения минимальному значению достигается без реализации процесса поиска, а в результате применения, принципа управления по отклонению или по возмущению. Используя априорную и текущую информацию о входных воздействиях и состоянии системы, вычисляется Озад, заданное значение показателя качества, которое сравнивается с его текущим значением, и подсчитывается приращение О. По информации о О вектор или вектор параметров Y
изменяется так, чтобы свести к нулю рассогласование О или к минимально возможной величине.
Определение и организация получения Озад в беспоисковых самонастраивающихся системах сводятся к процессу формирования модели — эталона контура, по которой производится настройка характеристик реального контура.
В беспоисковых системах можно получить темп процесса адаптации, соизмеримый с темпом переходных процессов в системе управления, тем самым обеспечить меньшее время адаптации по сравнению с поисковыми. При построении систем управления летательными аппаратами, где немаловажными являются требования к быстродействию, простоте и надежности, минимуму массы и габаритным размерам, более широкое распространение находят беспоисковые самонастраивающиеся системы.
В настоящее время находят применение системы управления, в контур которых включаются вычислительные машины (ЗРК «Пэтриот»), что значительно расширяет возможности применения более совершенных алгоритмов адаптации.
Контур управления системы самонаведения ракеты
В соответствии с принципом самонаведения в состав системы самонаведения ракеты входят бортовой координатор, счетно-решающий прибор, зенитная управляемая ракета — автопилот (рис. 11).

Рис. 11. Функциональная схема системы самонаведения
Особенностью контура системы самонаведения является отличие структуры кинематического звена, характеризующего относительное сближение ракеты и цели. Это обусловлено, во-первых, тем, что координатор (измерительный элемент) и счетно-решающий прибор установлены на борту ракеты, во-вторых, реализацией в системах самонаведения двухточечных методов наведения, в соответствии с которыми определяется взаимное положение двух точек — ракеты и цели.
Выбранный метод наведения будет определять вид передаточных функций кинематического звена, устанавливающего связь между параметром рассогласования и параметрами движения цели и ракеты, бортового координатора и счетно-решающего прибора. Передаточная функция ракеты с автопилотом не отличается от соответствующей передаточной функции телеуправляемой ракеты, поэтому ограничимся рассмотрением контура самонаведения при реализации методов наведения, требующих информации об угловой скорости линии ракета — цель (методы пропорционального и параллельного сближения).

Рис. 12. К выводу уравнения кинематического звена контура самонаведения
Кинематическое звено. Физическую сущность кинематической связи при самонаведении покажем на примере наведения ракеты на цель в вертикальной плоскости (рис. 12). При самонаведении ракеты в вертикальной плоскости относительное положение ракеты и цели характеризуется вектором дальности ракета — цель D
,
ориентацию в пространстве которого определяет угол , величина и скорость изменения которого зависят как от параметров движения цели, так и от параметров движения ракеты.
Уравнения кинематики самонаведения, характеризующие скорость изменения вектора дальности и его угловую скорость вращения, имеют вид:
,
, где
, — скорость изменения вектора дальности и угловая скорость его вращения соответственно;
, — модуль и угол наклона вектора скорости цели соответственно;
, — модуль и угол наклона вектора скорости ракеты соответственно.
Рассматривая условия наведения на встречных курсах, можно допустить, что
,
,
,

тогда получим:



Рис. 13. Кинематическое звено контура самонаведения
Полученные уравнения показывают, что скорость вращения линии ракета — цель обусловливается движением цели и движением ракеты перпендикулярно этой линии, т. е.

где , — составляющие скорости вращения линии визирования ракета — цель (вектора ),
обусловленные соответственно движением цели и ракеты. Учитывая, что
, а 
в операторной форме можно записать
,

Структурная схема кинематического звена при реализации методов пропорционального и параллельного сближения показана на рис. 13.
Бортовой координатор
. При самонаведении по методу параллельного или пропорционального сближения для измерения угловой скорости вращения линии ракета — цель могут применяться бортовые координаторы со следящим гироприводом, со следящей антенной и гироскопическими датчиками угловых скоростей.
Входным воздействием координатора является значение угла . На выходе координатора формируется сигнал

где , — коэффициенты передачи пеленгатора и гиропривода соответственно.

Рис. 14. Контур системы самонаведения при реализации метода параллельного (пропорционального) сближения
Координатор со следящим гироприводом обеспечивает измерение угловой скорости линии ракета — цель в стабилизированной системе координат, в то же время позволяет осуществить достаточно точное слежение за целью по угловым координатам.
Счетно-решающий прибор (СРП)
. В контуре системы самонаведения счетно-решающий прибор в значительной степени выполняет те же функции, что и устройство выработки команд в командных системах управления, но в более ограниченных пределах.
Связь между сигналом рассогласования и формируемой СРП командой управления может быть представлена в виде
, где
К
— коэффициент преобразования;
— измеренное значение угловой скорости антенны;
— компенсационная составляющая угловой скорости, обусловленная действием силы тяжести, продольным ускорением ЗУР и преломлением обтекателя;
— передаточная функция счетно-решающего прибора.
На рис. 14 показан контур системы самонаведения при реализации метода пропорционального или параллельного сближения. Видим, что параметр рассогласования является входным воздействием контура управления; при постоянных значениях , , , величина его будет изменяться тем быстрее, чем ближе ракетa к цели. Поскольку звено в контур включено последовательно, то коэффициент усиления контура с уменьшением D
будет возрастать, увеличивая чувствительность системы управления, что приводит к увеличению точности наведения по мере сближения ракеты с целью. Это положение является принципиальным отличием данной системы от системы командного управления, в которой, как ранее отмечалось, по мере удаления ракеты от пункта управления точность наведения уменьшается.
Однако начиная с некоторой дальности D
коэффициент усиления контура становится настолько большим, что контур возбуждается (нарушается условие запаса устойчивости контура управления по амплитуде) и управление становится невозможным, т. е. полет ракеты становится неуправляемым.
Для уменьшения размеров «мертвой» зоны необходимо уменьшать инерционность звена автопилот — ракета, что в свою очередь требует увеличения маневренных свойств ракеты. Другой причиной нарушения процесса управления может послужить выход за пределы угла зрения пеленгатора линейных размеров цели при малой дальности между ракетой и целью. Например, при максимальном линейном размере цели 15—30 м и полезном угле зрения пеленгатора в 10° «мертвая» зона может быть на дальности 75—150 м.
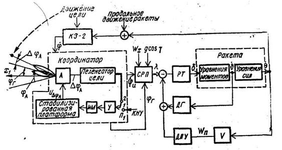
Схема конкретного контура самонаведения бортовой части
В состав контура самонаведения ЗУР входят головка самонаведения, зенитная управляемая ракета с системой стабилизации и кинематическое звено (КЗ-2). Система самонаведения помимо контура, замыкающегося через кинематическое звено, имеет ряд внутренних контуров автоматического управления.
Движение цели, а также продольное движение ракеты определяют внешние регулярные возмущения контура.
Для реализации методов самонаведения необходима информация об угловой скорости линии визирования цели (методы пропорционального и параллельного сближения) или текущем значении угла упреждения (методы погони). Формирование команд управления, как правило, осуществляется с учетом различного рода компенсационных поправок. В этом случае возникает необходимость в получении информации как об угловых скоростях линии ракета — цель, так и о величине углов упреждения (пеленга) цели.
Решение задачи автоматического слежения за целью головкой самонаведения, размещенной на борту ракеты, осуществляется координатором с помощью различных следящих приводов. В системах самонаведения ракет наибольшее применение нашли так называемые подвижные координаторы.
Они обеспечивают перемещение равносигнального направления относительно корпуса ракеты независимо от его движения. Поворот равносигнальной линии может производиться либо механически (поворотом антенны), либо электрически (при использовании ФАР и др.).
Ошибки сопровождения цели должны быть минимальными, даже при небольших дальностях ракета — цель, когда скорость сопровождения велика. Антенна и исполнительное устройство подвижного координатора развязываются относительно угловых движений корпуса ракеты. Эта развязка достигается использованием в координаторе гироплатформ и гироскопических исполнительных устройств.

Рис. 15. Контур системы самонаведения ракеты
На рис. 15 показана функциональная схема головки самонаведения со следящим гироприводом. Антенна жестко установлена на гиростабилизированной платформе. Ее разворот в направлении на цель достигается соответствующим разворотом гироплатформы. Перед началом самонаведения переключатель П1
находится в положении 1.
Команды начальной установки (КНУ) или поиска цели, усиленные усилителем У, поступают на моментные моторы ММ
и заставляют платформу прецессировать до тех пор, пока ось равносигнальной зоны не совпадет с направлением на цель. После этого переключатель П1
устанавливается в положение 2
и начинается процесс автоматического слежения за целью.
Система, состоящая из стабилизированной платформы, моментных моторов ММ
и усилителя У, называется гироприводом
.
Входной величиной пеленгатора является угол отклонения цели от равносигнального направления , являющийся сигналом ошибки следящей системы ГСН. Этот сигнал равен нулю, если . При напряжение ошибки, пропорциональное отклонению цели от равносигнального направления, обеспечивает разворот антенны ГСН на цель, т. е. слежение за целью.
Установившееся значение ошибки слежения ГСН за целью будет тем больше, чем больше измеряемая угловая скорость антенны и чем меньше произведение коэффициентов передачи пеленгационного устройства и гиропривода, Выбором передаточных функций этих устройств и обеспечивается малая величина динамических ошибок сопровождения, возможность надежного слежения за целью при допустимых углах зрения пеленгатора.
При использовании в координаторе гиростабилизированной платформы и гироскопических исполнительных устройств сравнительно просто измерить угловую скорость поворота антенны (линии ракета — цель), принимаемую при методах пропорционального или параллельного сближения за параметр рассогласования.
Так же как и в системах телеуправления, характер передаточной функции контура самонаведения в значительной мере обеспечивается выбором передаточной функции счетно-решающего прибора.
На регулярный сигнал, т. е. величину угловой скорости линии ракета — цель , оказывают влияние: движение цели, ускорение свободного падения и продольное ускорение ракеты .
Антенна головки самонаведения устанавливается под радиопрозрачным обтекателем. Обтекатель, как правило, вносит в полученную информацию о взаимном движении цели и ракеты не только случайную, но и систематическую составляющую ошибки, вызванную преломлением электромагнитной энергии в его стенках. Следовательно, команда управления при использовании в качестве параметра рассогласования угловой скорости поворота антенны в общем случае может быть представлена в виде
, где
К —
коэффициент;
— измеренное значение угловой скорости антенны;
— компенсационная составляющая угловой скорости, обусловленная действием силы тяжести, продольным ускорением ЗУР и преломлением обтекателя;
—
передаточная функция счетно-решающего прибора.
Кинематическое звено КЗ-2 определяет связь между движением цели, движением ракеты и угловой скоростью поворота антенны (положением линии визирования цели — углом ).
При больших расстояниях D как движение цели, так и движение ракеты мало влияют на угловую скорость вращения линии ракета — цель. При малых расстояниях уже небольшие изменения в положении цели и ракеты могут вызвать резкие изменения направления линии ракета — цель, привести к большим отклонениям рулей и даже срыву самонаведения.
Системы самонаведения являются существенно нестационарными и даже нелинейными системами, особенно при малых расстояниях между ракетой и целью. Метод «замораживания» коэффициентов может быть использован лишь для качественного анализа таких систем и для выявления влияния различных параметров на их точностные характеристики.
Выводы
В данной работе мы получили основные понятия о системах управления полётом. Был проведен сравнительный анализ и показана оптимальность использования системы управления полетом зенитно-ракетных комплексов с самонаведением. Следует отметить, что на базе описанных технологий построены многие зенитно-ракетные комплексы, в том числе и БУК-М1.
Говоря о тенденциях развития, нужно упомянуть, что в настоящее время перспективной является разработка адаптивных систем управления. Всё чаще находят применение системы управления, в контур которых включаются вычислительные машины (ЗРК «Пэтриот»), что значительно расширяет возможности применения более совершенных алгоритмов адаптации.
Преимущественным в развитии являются системы управления полетом с полуактивным самонаведением. Причиной этому служит то, что антенна в ракете работает лишь на прием, что позволяет сократить некоторую часть бортовых устройств. Как следствие – либо уменьшение габаритов ракеты, либо увеличение дальности полета или массы боевой части ракеты.
Список сокращений
СУП – система управления полётом
ЗРК – зенитно-ракетный комплекс
СРП – счетно-решающий прибор
ГСН – голова самонаведения
КПД – коэффициент полезного действия
ДГ – демпфирующий гироскоп
ДЛУ – датчик линейного ускорения
КЗ – кинематическое звено
КНУ – команды начальной установки
Список использованной литературы
1. Неупокоев Ф.С. «Стрельба зенитными ракетами» стр. 26–29, 33–38, 91–136.
2. под ред. Губренюк А.А. «Системы управления зенитных ракет»
стр. 33 – 39, 452 – 477.
3. Демидов, Кутыев. «Управление зенитными ракетами» стр. 80 – 84.
4. Востриков и др. Методическое пособие стр. 88 – 113.
5. СК-201. Конспект лекций.
|