| Министерство образования и науки Российской Федерации
Всероссийский заочный финансово-экономический институт
МЕТОДИЧЕСКИЕ УКАЗАНИЯ
ПО ПОДГОТОВКЕ
К ГОСУДАРСТВЕННОЙ ИТОГОВОЙ
АТТЕСТАЦИИ СТУДЕНТОВ
Кафедра менеджмента
Кафедра экономики предприятий и предпринимательства
Для студентов VI курса (первое высшее образование, специализации: «производственный менеджмент», «инновационный менеджмент», «предпринимательство») и V курса (второе высшее образование)
специальности 080507 «Менеджмент организации»
Москва
ВУЗОВСКИЙ УЧЕБНИК 2007
ББК 65.052
Методические указания по подготовке
к государственной итоговой аттестации разработали:
проректор по учебной работе, д.э.н., проф. С.В.Тарасова;
д.э.н., проф. М.М. Максимцов;
д.э.н., проф. Б.Н.Чернышев;
к.э.н., проф. А.В. Игнатьева;
к.э.н., проф. В.И. Фатеева;
к.э.н.,доц. Т.Г.Попадюк
Методические указания одобрены на заседании Научно-методического совета ВЗФЭИ
Проректор, председатель НМС, профессор Д.М. Дайитбегов
Методические указания по подготовке к государственной
итоговой аттестации студентов.
Для студентов VI курса (первое высшее образование, специализации: «производственный менеджмент», «инновационный менеджмент», «предпринимательство») и V курса (второе высшее образование)
специальности 080507 «Менеджмент организации». — М.: Вузовский учебник, 2007. —51с.
ББК 65.052
© Всероссийский заочный финансово-экономический институт (ВЗФЭИ), 2007
Введение
В соответствии с законами Российской Федерации «Об образовании» (1995), «О высшем и послевузовском профессиональном образовании» (1996) и Государственными образовательными стандартами (ГОС) высшего профессионального образования по направлениям и специальностям заключительным и обязательным этапом подготовки студентов является итоговая государственная аттестация, которая проводится в соответствии с Письмом Минобразования РФ «О методических рекомендациях по определению структуры и содержания государственных аттестационных испытаний». К итоговой аттестации допускаются студенты, завершившие полный курс теоретического обучения, успешно выполнившие все требования учебного плана и программ.
Итоговая государственная аттестация выпускников включает:
· проведение комплексного квалификационного экзамена по специальности;
Забиваем Сайты В ТОП КУВАЛДОЙ - Уникальные возможности от SeoHammer
Каждая ссылка анализируется по трем пакетам оценки: SEO, Трафик и SMM.
SeoHammer делает продвижение сайта прозрачным и простым занятием.
Ссылки, вечные ссылки, статьи, упоминания, пресс-релизы - используйте по максимуму потенциал SeoHammer для продвижения вашего сайта.
Что умеет делать SeoHammer
— Продвижение в один клик, интеллектуальный подбор запросов, покупка самых лучших ссылок с высокой степенью качества у лучших бирж ссылок.
— Регулярная проверка качества ссылок по более чем 100 показателям и ежедневный пересчет показателей качества проекта.
— Все известные форматы ссылок: арендные ссылки, вечные ссылки, публикации (упоминания, мнения, отзывы, статьи, пресс-релизы).
— SeoHammer покажет, где рост или падение, а также запросы, на которые нужно обратить внимание.
SeoHammer еще предоставляет технологию Буст, она ускоряет продвижение в десятки раз,
а первые результаты появляются уже в течение первых 7 дней.
Зарегистрироваться и Начать продвижение
· защиту выпускной квалификационной работы.
Комплексный квалификационный экзамен должен способствовать реальной оценке уровня подготовки специалиста-менеджера по циклу специальных дисциплин, предусмотренных ГОС по специальности «Менеджмент организации»».
Выпускная квалификационная работа является средством итогового контроля знаний, умений и навыков студентов, уровня их профессиональной квалификации в области менеджмента в соответствии со специализациями.
Цели выпускной квалификационной работы:
· систематизировать и закрепить теоретические и практические знания по специальности;
· применить полученные знания при решении конкретных задач в области управленческой деятельности;
· выявить подготовленность студентов для самостоятельной работы по специальности.
Студентам, аттестованным государственной аттестационной комиссией (ГАК), оформляется диплом о высшем профессиональном образовании государственного образца по специальности «Менеджмент организации» с присвоением квалификации менеджер.
Выпускающими кафедрами по специальности 080507 «Менеджмент организации» являются кафедры менеджмента и экономики предприятий и предпринимательства.
В данных методических указаниях основное внимание уделено особенностям и ключевым вопросам при подготовке выпускников высшей квалификации в области менеджмента[1]
. Общие вопросы оформления ВКР см.: Методические указания по подготовке к Государственной итоговой аттестации / Под ред. проф. Н.Е. Старцева.—М.: ВЗФЭИ, 2004.
РАЗДЕЛ 1
Содержание государственной итоговой аттестации
1.1. Виды деятельности выпускника и задачи профессиональной деятельности
Область профессиональной деятельности менеджера — обеспечение эффективного управления организацией, организация систем управления, совершенствование управления в соответствии с тенденциями социально-экономического развития.
Объектами профессиональной деятельности менеджера являются различные организации экономической, производственной и социальной сферы, управленческие структуры государственных предприятий, акционерных обществ и частных фирм, научно-производственные объединения.
Менеджер должен быть готов к следующим видам деятельности, которые выделяются в соответствии с его назначением и местом в системе управления: управленческая, организационная, экономическая, планово-финансовая, маркетинговая, информационно-аналитическая, диагностическая, инновационная, методическая, консультационная.
Сервис онлайн-записи на собственном Telegram-боте
Попробуйте сервис онлайн-записи VisitTime на основе вашего собственного Telegram-бота:
— Разгрузит мастера, специалиста или компанию;
— Позволит гибко управлять расписанием и загрузкой;
— Разошлет оповещения о новых услугах или акциях;
— Позволит принять оплату на карту/кошелек/счет;
— Позволит записываться на групповые и персональные посещения;
— Поможет получить от клиента отзывы о визите к вам;
— Включает в себя сервис чаевых.
Для новых пользователей первый месяц бесплатно.
Зарегистрироваться в сервисе
В каждом из видов профессиональной деятельности менеджер должен уметь решать следующие задачи:
· выявлять проблемы экономического характера при анализе конкретных ситуаций, формулировать цели, предлагать способы их достижения;
· оценивать ожидаемые результаты деятельности организации;
· оценивать с разных сторон (институциональной, производственной, мотивационной и др.) поведение экономических агентов, тенденции развития объектов в сфере профессиональной деятельности;
· решать вопросы организации и управления на предприятии;
· формировать рациональную систему обеспечения всеми видами ресурсов и их эффективное использование;
· обеспечивать высокое качество выпускаемой продукции и услуг;
· разрабатывать стратегию развития предприятия на длительную перспективу;
· проводить инновационную политику по совершенствованию выпускаемой продукции, по обеспечению продолжительности жизненного цикла товара и рентабельности производства, выводу на рынок новых конкурентоспособных продуктов;
· выявлять и использовать внутренние резервы организации, формировать рациональные механизмы управления, совершенствовать организационные структуры предприятия;
· анализировать финансово-хозяйственную деятельность и оценивать финансовую устойчивость предприятия;
· организовывать свою работу и работу подчиненных, использовать методы экономического анализа, разрабатывать и обосновывать варианты эффективных хозяйственных решений;
· систематизировать и обобщать информацию, уметь использовать математические методы и компьютерную технику в профессиональной деятельности.
1.2. Квалификационные требования, необходимые
для выполнения профессиональной деятельности
По окончании обучения и освоения образовательной программы менеджер должен отвечать следующим требованиям для выполнения каждой из задач профессиональной деятельности:
· понимать сущность бизнеса и стратегического управления в условиях рынка, миссию и главную стратегическую цель деятельности системы управления хозяйствующего субъекта, его позиции во внешней конкурентной среде, владеть методами диагностики состояния параметров внутренней и элементов внешней среды хозяйствующего субъекта;
· знать объективные тенденции экономического развития, закономерности функционирования экономических систем, взаимодействие экономических процессов и их социальное содержание, сущность фискальной и денежно-кредитной, социальной и инвестиционной политики;
· уметь определять стратегические цели деятельности и организовывать их реализацию, анализировать рациональность (эффективность) построения организационной структуры управления, усовершенствовать ее для решения перспективных стратегических целей и адаптации к внутренним и внешним условиям деятельности, осуществлять распределение функциональных полномочий и ответственности на основе применения теоретических принципов управления, анализировать и разрабатывать программы, планы конкретных мероприятий, создавать положения о структурных подразделениях системы управления, должностные инструкции и другие документы, регламентирующие функции структурных подразделений и управленческого персонала;
· уметь разрабатывать системы стратегического, текущего и оперативного контроля, формировать показатели мониторинга, владеть принципами и методами управления процессами в различных сферах деятельности, применять их на практике, использовать известные концепции управления, принципы и методы формирования систем всеобщего управления качеством;
· уметь анализировать рыночную среду на микроэкономическом уровне, владеть методами оценки производственно-экономического потенциала организации и достижения высокой эффективности производства;
· знать методологические и организационно-правовые аспекты менеджмента, технологию и экономический механизм управления организацией, уметь разрабатывать стратегию развития организации;
· быть способным к проектной деятельности в профессиональной сфере, знать принципы системного анализа, уметь строить и использовать модели для описания и прогнозирования различных явлений, осуществлять их качественный и количественный анализ;
· знать методы получения статистической информации и ее обобщения, методологию экономико-статистического анализа и исчисления обобщающих статистических показателей;
· владеть компьютерными методами сбора, хранения и обработки (редактирования) информации в сфере его профессиональной деятельности.
1.3. Соответствие профессиональных функций
и требований к профессиональной подготовке выпускника
Профессиональные функции и требования к профессиональной подготовке выпускника должны включать умение ставить и решать комплекс управленческих задач, связанных с деятельностью организации и стратегией ее развития.
Менеджер должен в своей профессиональной деятельности:
1. Проводить аналитическую, исследовательскую и рационализаторскую работу по оценке социально-экономической обстановки во внешней среде и конкретных форм управления организацией.
2. Знать современные методы социально-экономической диагностики, получения обобщенных характеристик, агрегирования информации и ее обработки с помощью ЭВМ.
3. Знать принципы, модели и методы управления организацией.
4. Профессионально вести управленческую, маркетинговую, коммерческую, рекламную и патентно-лицензионную работу в различных подразделениях предприятий (объединений), ассоциациях, совместных предприятиях.
5. Разрабатывать варианты управленческих решений и обосновывать выбор оптимального, исходя из критериев социально-экономической эффективности и экологической безопасности.
6. Разрабатывать программы нововведений (инноваций) и составлять план мероприятий по реализации этих программ в организации.
7. Уметь решать стратегические и тактические задачи производственного и инновационного менеджмента.
8. Разрабатывать и внедрять системы менеджмента качества.
9. Применять методы научной организации труда и оргпроектирования, практически использовать навыки рационализации управленческого труда.
10. Владеть навыками поиска, сбора, систематизации и использования экономической информации, практически использовать средства организационной и вычислительной техники.
11. Знать типологию форм и методов контроля в организациях и их подразделениях, организовывать контроль исполнения управленческих решений.
12. Владеть методами прогнозирования развития социально-экономических и организационных процессов в организациях и оценки их состояния по потенциальным возможностям экономического, социального и организационного развития.
13. Знать информационные технологии обеспечения управленческой деятельности, пакеты прикладных программ, используемые в системах управления.
14. Применять на практике навыки в области антикризисного управления и в прикладных направлениях менеджмента. Специалист должен иметь глубокие знания и владеть методами научных исследований в прикладных направлениях менеджмента.
На комплексном квалификационном экзамене проверяются остаточные знания по специальным дисциплинам ГОС ВПО специальности:
1) основы менеджмента;
2) стратегический менеджмент;
3) управленческие решения;
4) информационные технологии управления;
5) управление персоналом;
6) инновационный менеджмент;
7) антикризисное управление;
8) логистика;
9) исследование систем управления;
10) управление качеством.
Соответствие требований к профессиональной подготовке специалистов и дисциплин учебного плана приведено в табл. 1.
Таблица 1
Таблица соответствия требований к профессиональной
подготовке и дисциплин учебного плана
| Требования к профессиональной подготовке
|
Дисциплины учебного плана
|
| Основы менеджмента
|
Стратегический менеджмент
|
Управленческие решения
|
Информационные технологии управления
|
Управление персоналом
|
Инновационный менеджмент
|
Антикризисное управление
|
Логистика
|
Исследование систем управления
|
Управление качеством
|
| 1
|
2
|
3
|
4
|
5
|
6
|
7
|
8
|
9
|
10
|
| 1. Проводить работу по оценке обстановки и конкретных форм управления
|
+
|
+
|
+
|
+
|
+
|
| 2. Знать методы диагностики, агрегирования и обработки информации на ЭВМ
|
+
|
+
|
+
|
| 3. Знать принципы, модели и методы управления организацией
|
+
|
+
|
+
|
| 4. Профессионально вести управленческую и другую работу в подразделениях предприятия
|
+
|
+
|
+
|
+
|
+
|
| 5. Разрабатывать варианты управленческих решений и обосновывать их выбор
|
+
|
+
|
+
|
+
|
+
|
| 6. Разрабатывать программы нововведений и планы их реализации
|
+
|
+
|
+
|
| 7. Уметь решать стратегические и тактические задачи производственного менеджмента
|
+
|
+
|
+
|
| 8. Разрабатывать и внедрять системы менеджмента качества
|
+
|
+
|
+
|
| 9. Применять методы научной организации труда и оргпроек-тирования
|
+
|
+
|
+
|
+
|
| 10. Владеть навыками работы с информацией и компьютерными технологиями
|
+
|
+
|
| 11. Организовывать контроль управленческих решений
|
+
|
+
|
| 12. Владеть методами прогнозирования социально-экономических и организационных процессов в организациях
|
+
|
+
|
+
|
+
|
| 13. Применять на практике методы антикризисного управления и другие прикладные направления менеджмента
|
+
|
+
|
+
|
+
|
+
|
+
|
1.4. Требования к профессиональной подготовке специалистов. Характеристика специализаций
На выпускном квалификационном экзамене проверяются знания студента по теоретическим проблемам построения систем управления, методологическим основам менеджмента, функциям управления, организационным отношениям, планированию деятельности организации, управлению и мотивации персонала, механизмам принятия управленческих решений, методам инновационного развития организации и управления качеством, стратегии развития организации, механизмам антикризисного управления. Выпускник должен также знать методы исследования систем управления, организацию управленческой деятельности. Выпускник должен уметь решать задачи (ситуационные задания) по анализу систем управления организацией, принятию управленческих решений, определению параметров организационных и производственных процессов.
При защите ВКР выпускник должен проявить знания и умение анализировать положение предприятия в структуре рыночных отношений, определять проблемы деятельности организации, анализировать организационно-экономическую деятельность конкретной организации, определять финансовую устойчивость предприятия, формировать основные направления совершенствования управления организацией, стратегию ее развития.
При выполнении выпускной работы выпускник должен показать умение эффективно использовать информационные технологии управления, экономико-математические, статистические методы в решении конкретных задач.
Всероссийский заочный финансово-экономический институт готовит по специальности «Менеджмент организации» шифр 08.05.07. управленцев специализации «Производственный менеджмент», «Инновационный менеджмент» и «Предпринимательство».
Специализация
«Производственный менеджмент» - Производственная деятельность является ведущим видом предпринимательства и охватывает сферу производства товаров и оказание производственных услуг (выполнение строительных, ремонтных и сельскохозяйственных работ, транспортные перевозки и связь). Кафедра Менеджмента ВЗФЭИ разработала комплекс дисциплин специализации, позволяющих студентам освоить все этапы производственного бизнеса от маркетинговых исследований выявления потребности в товаре, расчетов денежных средств на ведение производственной деятельности до менеджмента продаж и расчетов результативности производственной деятельности.
Специализация
«Предпринимательство». Данная специализация предполагает будущую деятельность студентов в сфере собственного бизнеса. В рамках данной специализации на кафедре Экономики предприятия и предпринимательства разработаны дисциплины соответствующей специализации, что позволит студентам изучить порядок создания малого предприятия, управление персоналом фирмы, ее финансами, ценовую политику фирмы, налогообложение предпринимательской деятельности, организацию бухучета на малых предприятиях и другие вопросы, позволяющие получить знания по открытию и развитию собственного дела.
Специализация «
Инновационный менеджмент»
предполагает деятельность, связанную с широкой областью нововведений (создание и выпуск новых товаров и услуг, не известных ранее, прибыльное внедрение новых технологий, освоение новых организационных, финансовых, коммерческих проектов. Студентам, специализирующимся в области инновационного менеджмента, кафедрой Экономики предприятий и предпринимательства разработан комплекс дополнительных дисциплин специализации.
РАЗДЕЛ 2
Программа комплексного государственного экзамена
2.1. Концепция подготовки к комплексному квалификационному экзамену
Комплексный квалификационный экзамен позволяет выявить уровень теоретических знаний, полученных студентом в период обучения в институте.
Комплексный квалификационный экзамен проводится членами ГАК в форме собеседования по вопросам экзаменационного билета и решения задачи.
На комплексном экзамене проверяются остаточные фундаментальные знания по специальным дисциплинам ГОС ВПО специальности 080507 «Менеджмент организации»
В соответствии с Государственными требованиями к минимуму содержания и уровню подготовки специалиста по специальности 080507 «Менеджмент организации» в экзаменационные билеты включены вопросы по специальным дисциплинам: «Основы менеджмента», «Стратегический менеджмент», «Управленческие решения», «Информационные технологии управления», «Управление персоналом», «Инновационный менеджмент», «Антикризисное управление», «Логистика», «Исследование систем управления», «Управление качеством».
При ответе на вопросы студент должен знать:
· основы гуманитарных, социально-экономических, математических дисциплин для решения профессиональных задач;
· законы функционирования рынка;
· экономическое регулирование деятельности организации;
· методы выявления и разрешения организационно-экономических проблем предприятия;
· методы разработки управленческих решений, экономической и технической политики фирмы;
· методы инновационного менеджмента и стратегического управления.
Ответы на вопросы экзаменационного билета студент должен излагать в логической последовательности, привязывая к социально-экономической ситуации в стране.
Желательно ответы на экзаменационные вопросы сопровождать практическими примерами. При этом студенту необходимо высказать свою точку зрения по излагаемым вопросам.
2.2. Вопросы для подготовки к комплексному квалификационному экзамену
1. Цели, задачи, функции организации в условиях рыночной экономики.
2. Предприятие как хозяйственный субъект, принципы его деятельности. Классификация промышленных предприятий.
3. Предпринимательская деятельность организации. Виды предпринимательской деятельности.
4. Развития малого предпринимательства в Российской Федерации, проблемы и перспективы.
5. Понятие и классификация инноваций. Этапы жизненного цикла нововведения.
6. Франчайзинг как смешанная форма крупного и мелкого предпринимательства.
7. Основные фонды предприятия: состав, структура, роль в экономике, эффективность использования.
8. Инновационная активность организации и факторы ее определяющие
9. Роль лизинга в обеспечении воспроизводства основных фондов.
10. Оборотные фонды организации: состав, структура, показатели использования.
11. Оборотные средства организации. Показатели и пути ускорения оборачиваемости оборотных средств.
12. Значение роста производительности труда в организации. Факторы, его определяющие.
13. Развитие форм и систем оплаты труда в условиях рынка.
14. Содержание и особенности инновационной деятельности организации.
15. Разработка программ и проектов нововведений
16. Современные специализированные нововведенческие структуры, их развитие в Российской Федерации.
17. Источники финансирования инноваций. Особенности венчурного финансирования.
18. Понятия «качество продукции», «система менеджмента качества». Необходимость разработки современных систем менеджмента качества.
19. Основные методы управления качеством. Системы управления качеством.
20. Конкурентоспособность продукции — факторы обеспечения конкурентоспособности предприятия. Методы оценки конкурентоспособности.
21. Стандартизация продукции, ее цель, задачи, принципы. Система стандартизации Российской Федерации.
22. Сертификация продукции, ее назначение, виды, объекты сертификации.
23. Понятие и виды инвестиций. Инвестиционная политика организации в условиях рынка.
24. Вовлечение интеллектуальной собственности в хозяйственный оборот. Патентование и лицензирование
25. Инновационный проект. Методы оценки эффективности инновационного проекта.
26. Управление издержками производства. Классификации затрат в рыночных условиях, пути снижения затрат.
27. . Сущность прибыли и рентабельности организации. Методы определения прибыли и рентабельности.
28. Ценовая политика организации, ее особенности в условиях рынка.
29. Проблемы управления предприятием в условиях рыночной экономики.
30. Организационно-правовые формы построения предприятий. Их характеристики. Органы управления.
31. Производственная структура предприятия. Направления совершенствования.
32. Понятие организационной структуры управления. Типы организационных структур и их характеристика.
33. Типы производства и их технико-экономические характеристики. Влияние различных типов производства на эффективность работы предприятия.
34. Способы организации производственных процессов. Принципы организации производства.
35. Организация управления научно-технической подготовки производства. Стадии научно-технической подготовки производства.
36. Организация основного и вспомогательного производства.
37. Содержание и организация технического обслуживания на предприятии. Характеристика и разновидности работ по обслуживанию производства.
38. Организация НИР и ОКР на предприятии.
39. Внутрифирменное планирование. Виды планов. Роль бизнес-плана в управлении предприятием.
40. Планирование производства продукции. Производственно-экономический потенциал предприятия.
41. Ответственность изготовителей за несоответствие продукции требованиям технических регламентов
42. Понятие «квалиметрия» и ее роль в рыночной экономике.
43. Оперативно-производственное планирование и диспетчерирование.
44. Управленческие решения, процедуры принятия решений, методы их оптимизации.
45. Классификация управленческих решений.
46. Управление рисками на предприятии. Сущность и виды рисков, методы снижения рисков.
47. Организация и контроль принятия решений.
48. Роль маркетинга в деятельности предприятия. Процесс управления маркетингом.
49. Менеджмент как система рыночной ориентации предприятия. Системный подход в менеджменте.
50. Интеграционные процессы в менеджменте.
51. Роль и функции менеджера в организации. Стиль руководства.
52. Менеджмент человеческих ресурсов на предприятии. Кадровая политика.
53. Мотивация поведения в процессе трудовой деятельности.
54. Организационная структура служб управления персоналом.
55. Организационные структуры управления.
56. Управление конфликтами в организации.
57. Методы исследования систем управления.
58. Системный анализ в исследовании управления.
59. Методы исследования и проектирования целей и функций управления.
60. Исследование организационных структур и систем принятия решений в организации.
61. Задачи и функции логистики. Организация логистического управления.
62. Антикризисное управление предприятием.
63. Банкротство организаций: сущность, признаки, практическое значение.
64. Стратегия и тактика антикризисного управления. Механизмы его реализации.
65. Значение и сущность стратегического управления.
66. Стратегическое планирование.
67. Формирование стратегии организации. Стратегические изменения в организации.
68. Тенденции развития хозяйственного управления.
69. Оценка эффективности деятельности организации.
70. Организация и средства информационных технологий обеспечения управленческой деятельности.
2.3. Примеры ситуаций (задач) комплексного
квалификационного экзамена
1. Управленческая ситуация
Крупной фармацевтической компании необходимо принять решение о выборе дальнейшей стратегии развития. Возможно принятие трех принципиально разных альтернативных вариантов решения этой важной управленческой проблемы.
Первый альтернативный вариант решения.
Цель компании — получение максимально возможной прибыли в возможно более короткие сроки. Для этого на четверть урезается программа по созданию новых видов продукции и на 30% сокращаются расходы на маркетинговое обеспечение торговых операций.
Второй альтернативный вариант решения.
Компания ставит перед собой цель обеспечить устойчивое положение в будущем. Для этого основные усилия сосредоточиваются на проведении НИОКР по созданию новых конкурентоспособных видов продукции.
Третий альтернативный вариант решения.
Целью компании является сочетание обеспечения рентабельности производства в настоящее время со значительными расходами на НИОКР для создания продукции, конкурентоспособной на рынках сбыта.
Проблема.
Проанализируйте возможные стратегические направления развития фармацевтической компании. Какой из трех альтернативных вариантов возможного стратегического развития компании, подготовленных аналитиками, вы считаете наиболее приемлемым?
Развитие управленческой ситуации (решение).
Руководитель фармацевтической компании принял в качестве наиболее предпочтительного третий из альтернативных вариантов стратегического решения о выборе направления развития компании.
Он посчитал, что первый из альтернативных вариантов мог обеспечить получение компанией быстрой прибыли за счет сокращения издержек, которые в краткосрочном аспекте не влияют на ее деятельность. Однако при таком варианте развития достаточно вероятной становится угроза потери конкурентоспособности продукции, которую выпускает компания, уже в ближайшей перспективе. За такой стратегией нет будущего.
Второй из альтернативных вариантов решения делает ставку на обеспечение деятельности компании в будущем, несколько пренебрегая результатами сегодняшней экономической деятельности.
Третий вариант предполагает оптимизацию уровня рентабельности сегодняшнего производства при условии обеспечения необходимого уровня конкурентоспособности продукции, которую компания намечает выпускать в будущем. Такая политика требует значительных затрат на НИОКР, однако она гарантирует устойчивое развитие компании не только сегодня, но и в будущем.
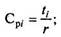
2. Задача
В I квартале предприятие реализовало продукцию на
250 тыс. руб., среднеквартальные остатки оборотных средств составили 25 тыс. руб. Во II квартале объем реализации продукции увеличится на 10%, а время одного оборота оборотных средств будет сокращено на один день.
Определите:
1) коэффициент оборачиваемости оборотных средств и время одного оборота в днях в I квартале;
2) коэффициент оборачиваемости оборотных средств и их абсолютную величину во II квартале;
3) высвобождение оборотных средств в результате сокращения продолжительности одного оборота оборотных средств.
Решение
1. Коэффициент оборачиваемости оборотных средств в I квартале:

Время одного оборота в I квартале:

2. Коэффициент оборачиваемости оборотных средств во II квартале:

Р" = 250 тыс. руб. х 1,1 = 275 тыс. руб.
Потребность в оборотных средствах во II квартале:

3. Высвобождение оборотных средств в результате сокращения продолжительности одного оборота:

= -3,056 тыс. руб.
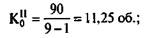
3. Задача
Определите такт поточной линии обработки блока цилиндров легкового автомобиля, необходимое число рабочих мест и степень загрузки поточной линии. Сменная программа выпуска 143 блока, технологические потери составляют 2%, регламентированные перерывы в работе линии 6% от продолжительности смены. Время по операциям технологического процесса:
t
1
= 5,48 мин;
t
2
= 6,10 мин;
t
3
= 18,34 мин;
t
4
= 3,2 мин;
t
5
= 2,9 мин;
t
6
= 3,0 мин;
t
7
= 5,9 мин;
t
8
= 5,4 мин;
t
9
= 3,2 мин.
Решение
1. Определим такт поточной линии:

где FCM
—
действительный фонд рабочего времени в смену; N
CM
— фактическая программа;

2. Определим необходимое число рабочих мест:

Количество рабочих мест на линии:
Сл
= 18 раб. мест.
3. Определим степень загрузки участка:

Ответ:
0,86%.
4. Задача
Необходимо определить коэффициенты весомости показателей качества конкретного вида обуви (g), запускаемой в производство. Эксперты определяют в баллах по пятибалльной шкале коэффициенты весомости трех показателей качества:
- показатель внешнего вида;
- показатель силуэта;
- показатель внутренней отделки.
К работе привлечена экспертная комиссия в составе семи человек. Результаты работы экспертов приведены в таблице.
Таблица
| Эксперт
|
Коэффициент весомости
|
| |
р1
|
р2
|
р3
|
| Первый
|
5
|
4
|
5
|
| Второй
|
4
|
3
|
4
|
| Третий
|
4
|
3
|
3
|
| Четвертый
|
3
|
4
|
3
|
| Пятый
|
5
|
5
|
4
|
| Шестой
|
4
|
4
|
5
|
| Седьмой
|
5
|
3
|
4
|
| Среднее значение
|
4,3
|
3,4
|
4,0
|
Решение

5. Задача
Сравнить интегральные показатели двух металлорежущих станков. Исходные данные для расчета приведены в таблице.
Таблица
| Наименование показателей
|
Значения показателей
|
| Нового образца
|
Принятых за базовые
|
| Годовая производительность при отсутствии отказов, тыс. деталей
|
20
|
20
|
| Время простоев из-за отказов, %
|
3
|
6
|
| Стоимость станка, тыс. руб.
|
200
|
50
|
| Годовые затраты на ремонт, тыс. руб.
Прочие годовые эксплуатационные затраты, тыс. руб.
|
2
|
4
|
| Срок службы, лет
|
12
|
3
|
Решение
Годовой эффект от эксплуатации станков с учетом простоев из-за отказов составит:
.
для нового станка: 
для станка, значения показателей которого приняты за базовые
Значения интегральных показателей в тыс. дет./руб.:

Полученные результаты свидетельствуют о том, что новый станок, хотя и обладает большей долговечностью, менее выгоден.
6. Задача
1. №
Предложены к внедрению три изобретения, какое из них наиболее рентабельное, сравнивая индексы доходности.
| №
|
Инвестиции (К) млн. руб.
|
Предполагаемый доход (Д) в млн. руб.
|
| 1
|
446,5
|
640,2
|
| 2
|
750,6
|
977,5
|
| 3
|
1250,0
|
1475,5
|
Решение: Определим индекс доходности: Индекс доходности – это отношение предполагаемого дохода к инвестициям.
По первому изобретению = 640,2:446,5=1,43, в процентах это 143%
По второму изобретению = 977,5:750,6= 1,30, в процентах это 130%
По третьему изобретению = 1475,5:1250,0 = 1,18, в процентах это 118%
Наиболее рентабельно первое изобретение.
7.Задача
Рассчитайте сумму вознаграждения за использование патента на изобретение нового прибора для определения параметров технологического процесса изготовления стекла. Прогнозная потребность в приборах составляет 500 штук за 5 лет. Стоимость одного прибора -50 тыс. руб. Величина роялти -15%. Доля вознаграждения от общей суммы отчислений составляет 35%.
Решение
Определим стоимость всего объема выпуска приборов за 5 лет:
Cт.Q
= Цед. • Q = 50 •500 = 25000 тыс. руб.
Стоимость лицензии:
Ст. лиц.
= 25000•0,15 = 3750 тыс. руб.
Объем вознаграждения равен:
П возн.
= 3750 •0,35 = 1312,5 тыс. руб.
РАЗДЕЛ 3
Требования к содержанию и структуре выпускных квалификационных работ
3.1. Основные направления тематики выпускных квалификационных работ
По специализации «Производственный менеджмент»
1. Информационные технологии обеспечения управленческой деятельности.
2. Мотивационное управление как фактор повышения конкурентоспособности предприятия.
3. Совершенствование управленческого контроля в организации.
4. Совершенствование коммуникационных процессов в организации.
5. Управление качеством продукции.
6. Стратегическое управление организацией.
7.Финансово-экономический механизм управления предприятием.
8. Организация внешнеэкономической деятельности организации.
9. Совершенствование системы менеджмента организации.
10. Совершенствование организационной структуры управления предприятием.
11. Система принятия решений в процессе управления организацией.
12. Формирование управленческих решений на основе экономико-математических методов.
13. Управление реструктуризацией организации.
14. Формирование мотивационного механизма в управлении организацией.
15. Менеджмент человеческих ресурсов на предприятии.
16. Формирование кадровой политики организации.
17. Управление конфликтами в организации.
18. Разработка стратегии антикризисного управления организацией.
19. Организация исследования систем управления предприятием (ИСУ в процессе развития организации).
20. Социальный менеджмент организации.
21. Социальная ответственность и эффективность деятельности организации.
22. Оперативно-производственное планирование и диспетчирование на предприятии.
23. Управление доходностью хозяйственной деятельности предприятия
24. Управление инвестиционной деятельностью предприятия.
25. Планирование деятельности предприятий.
26. Управление производственными процессами в организации (организация производства на предприятии).
27. Организация технического обслуживания производства (организация и управление производственной инфраструктурой предприятия).
28. Управление научно-технической подготовкой производства на предприятии.
29. Стратегия международной деятельности организации.
30. Повышение эффективности управления предприятием
По специализации «Инновационный менеджмент»
1. Научно-технический потенциал организации и эффективность его использования
2. Коммерциализация новшеств (на примере инновации в производство).
3. Экономическая эффективность внедрения новой техники
4. Инновационная деятельность малого предприятия
5. Малая инновационная фирма в технопарке.
6. Управление проектом технологического нововведения
7. Разработка бизнес-плана инновационного проекта
8. Управление проектом создания нового продукта (
оказания новой услуги)
9. Управление инновационным проектом в социальной сфере
10. Инновационный проект как форма организации инновационной деятельности.
11. Оценка эффективности инновационной деятельности организации
12. Обновление основных фондов в промышленности
13. Повышение конкурентоспособности организации за счет инноваций
13. Повышение инновационной активности промышленных предприятий
14. Управление персоналом в научных организациях
15. Выбор инновационной стратегии
16. Управление инновациями в социальной сфере
17. Создание благоприятных условий для нововведений в организации
18. Место маркетинга в инновационном процессе.
19. Инновационный цикл на промышленном предприятии
20. Анализ и финансирование инновационных проектов
21. Адаптация оргструктуры предприятия к инновационной деятельности.
22. Венчурное финансирование инновационной деятельности
23. Управление жизненным циклом нововведения
24. Управление интеллектуальным капиталом
25. Экономические аспекты интеллектуальной собственности.
По специализации «Предпринимательство»
1. Предприятие в структуре рыночных отношений.
2. Рыночная модель предприятия.
3. Анализ и совершенствование деятельности организаций различных организационно-правовых форм.
4. Предпринимательская деятельность малого предприятия.
5. Организация защиты коммерческой тайны предприятия.
6. Управление маркетинговой деятельностью на предприятии.
7. Управление издержками производства на предприятии
8. Управление рисками на предприятии.
9. Повышение конкурентоспособности организации в условиях рынка.
10. Основные фонды и пути улучшения их использования на предприятии.
11. Управление оборотными средствами организации.
12. Резервы и пути экономии материальных ресурсов.
13. Бизнес-планирование как основа развития организации.
14. Лизинг и его роль в инвестиционной деятельности организации.
15. Повышение эффективности функционирования предприятия.
16. Франчайзинг как форма взаимодействия малого и крупного бизнеса.
17. Повышение результативности предприятий малого бизнеса.
18. Конкурентные преимущества малого бизнеса.
19. Налогообложение предпринимательских структур.
20. Учет на предприятиях малого бизнеса.
21. Малое предприятие на рынке консультационных услуг.
22. Сущность и значение управления персоналом в предпринимательской деятельности.
23. Ценовая политика предпринимательской структуры.
24. Особенности инновационного предпринимательства.
25. Механизмы поиска инновационных решений в предпринимательской деятельности.
3.2. Содержание и этапы процесса выполнения выпускной квалификационной работы
Выпускная квалификационная работа — самостоятельная творческая работа студента, выполняемая на примере конкретной организации.
Студенту рекомендуется придерживаться следующей структуры выпускной квалификационной работы: введение, три главы (включающие теоретические и методические основы изучения проблемы, анализ изучаемой проблемы на предприятии, разработку рекомендаций и мероприятий по решению изучаемой проблемы на предприятии), заключение, перечень использованной литературы, приложения.
Целью исследования, проводимого в выпускной квалификационной работе, является раскрытие темы (факторов, механизмов) и обоснование направлений развития (конкретных мер) в условиях рынка.
В качестве объекта исследования могут быть любые хозяйствующие субъекты в соответствии с Гражданским кодексом РФ, а именно: коммерческие организации различной отраслевой принадлежности (промышленные, сельскохозяйственные, транспортные, торговые и др.); некоммерческие организации (потребительские общества и их союзы), государственные унитарные предприятия и т. д.
Предмет исследования определяется темой выпускной квалификационной работы, актуальность которой должна быть раскрыта.
При выборе темы выпускной квалификационной работы следует учитывать, что актуальными признаются темы, которые выполняются по заказу предприятий и организаций и плану научно-исследовательских работ ВЗФЭИ.
Задачи исследования - это теоретические и практические результаты, которые должны быть получены в выпускной квалификационной работе и итоги решения которых будут способствовать коммерческому успеху компании.
Структура работы - ее главы, параграфы, их последовательность с обоснованием - отражает логику исследования.
Проблемы исследования и пути их решения представляются с использованием экономико-математических и статистических моделей, а также квалиметрических методов.
Целесообразна следующая последовательность организации и выполнения выпускной квалификационной работы:
• подготовка плана и определение структуры (примерные планы отдельных тем ВКР приведены в приложении 1);
• подбор литературы и нормативной документации, законодательных актов;
• подбор конкретного фактического материала;
• обобщение, систематизация этого материала;
• анализ конкретного фактического материала;
• выводы и предложения по проблемам, рассматриваемым в работе;
• доработка отдельных разделов, рекомендаций при наличии замечаний научного руководителя и консультанта;
• оформление работы.
В процессе выполнения выпускной квалификационной работы студенту рекомендуется придерживаться следующих требований:
• целевая направленность сбора и обработки материала;
• четкость построения таблиц, схем, графиков, диаграмм;
• логическая последовательность изложения материала;
• необходимая глубина исследования;
• полнота освещения рассматриваемых вопросов работы;
• убедительность аргументации в обосновании важности исследуемого вопроса;
• краткость и точность формулировок и изложения результатов работы;
• доказательность выводов;
• обоснованность рекомендаций;
• грамотное изложение текста работы, ее аккуратное оформление.
Объем выпускной квалификационной работы не должен превышать 70 страниц (без списка использованной литературы и приложений), она должна быть напечатана через 1,5 интервала с использованием 14 шрифта с соблюдением полей: левое — 3,0 см; правое — 1,5 см; верхнее и нижнее — по 2,5 см. Объем приложений и другой сопроводительной информации не ограничивается.
Каждую главу следует начинать с новой страницы. Каждый следующий параграф начинают на той же странице, где закончен предыдущий параграф. Для выделения параграфов между ними оставляют некоторый промежуток.
Не рекомендуется в тексте использовать чрезмерно крупные или очень дробные абзацы.
Не допускается самовольное сокращение слов кроме общепринятых (НТП, РФ, КПД и т.д.).
Стиль выпускной квалификационной работы должен быть деловым, без излишней эмоциональной окраски. Не рекомендуется использовать местоимения и глаголы в первом лице. Так, например, вместо выражения «я считаю», «по моему мнению», следует писать «автор считает», «по мнению автора», «полагаем», «на наш взгляд» и т. д.
Страницы текста следует пронумеровать, а потом в соответствии с ними указать страницы глав и параграфов в содержании выпускной квалификационной работы.
Для организации ссылок по некоторым разделам текста необходимо указывать порядковый номер литературного источника и страницу, например [25, с. 8].
Рассмотрим примерный план
, содержание и этапы
выполнения выпускной квалификационной работы на примере темы
:
«Управление качеством продукции (на примере Московского радиотехнического завода)».
Введение.
Глава 1. Научные аспекты управления качеством.
1.1 Понятие качества продукции и управления им.
1.2 Показатели качества и методы их оценки.
1.3. Состав системы управления качеством.
1.4. Системы качества на базе международных стандартов ИСО серии 9000 - реализация современных концепций по управлению качеством продукции.
Глава 2. Управление качеством на Московском радиотехни
ческом заводе
.
2.1.Краткая характеристика предприятия.
2.2. Система менеджмента качества предприятия как средство управления качеством продукции на стадиях ее жизненного цикла.
2.3. Назначение, состав и функции СМК предприятия.
Глава 3. Направления совершенствования системы менеджмента качества на МРТЗ.
3.1. Модернизация системы управления качеством на заводе.
3.2. Оценка финансовых затрат на разработку и внедрение системы менеджмента качества и устранения брака.
3.3. Оценка экономической эффективности и окупаемости разработки и внедрения СМК.
Заключение.
Список литературы.
Приложения
Во введении
должны быть отражены следующие вопросы:
• актуальность исследования темы управления качеством продукции на предприятии;
• цель исследования заключается в раскрытии сущности современных подходов к управлению качеством и внедрение на предприятии системы менеджмента качества на базе международных стандартов ИСО серии 9000;
• объект исследования - производственная деятельность Московского радиотехнического завода;
• предмет исследования - формирование системы управления качеством на Московском радиотехническом заводе;
• задачи исследования - раскрыть сущность, значение функции управления качеством; исследовать показатели качества и методы их оценки, раскрыть состав системы управления качеством и сущность современных концепций управления качеством; выполнить анализ реализации проблем управления качеством на Московском радиотехническом заводе, раскрыть назначение, состав и функции системы менеджмента качества (СМК) как средства управления качеством продукции на стадиях ее жизненного цикла; обосновать комплекс практических мероприятий по внедрению системы менеджменты качества на заводе и дать оценку эффективного внедрения системы на предприятии.
В первой главе
выпускной квалификационной работы (объемом 15-20 страниц) необходимо с использованием литературных источников раскрыть понятие качества продукции на предприятии. Необходимо обратить внимание на трактовку понятия качества разными авторами.
В процессе изучения проблемы, литературных источников по исследуемой проблеме важно найти сходство и различие точек зрения разных авторов, дать их анализ и обосновать свою позицию по данному вопросу.
Важно показать различные подходы к пониманию качества в плановой и рыночной экономике. В условиях планового хозяйства качество трактуется с позиций производителя, а в рыночной - с позиций потребителя.
Необходимо проанализировать функции управления качеством, цикличный характер процесса управления качеством, где важное место отводится анализу конструкции изделия и предварительному контролю.
Рассмотреть показатели качества и методы их оценки. Оценка уровня качества продукции является основой для выработки необходимых управленческих воздействий в системе управления качеством продукции. Привести классификацию показателей качества.
Раскрыть значение жизненного цикла продукции («петли качества») и требования к его основным этапам. Управление качеством должно охватывать все стадии жизненного цикла продукции. Раскрыть понятие цикла Деминга и его роль в формировании системы управления качеством.
Дать состав системы управления качеством, структуру и функции органов, обеспечивающих управление качеством. Особое внимание обратить на основные элементы механизма управления качеством на предприятии: стандарты; планирование комплекса работ по обеспечению качества; оценку качества продукции методами контроля, испытаний, сертификации; методы и средства управления качеством.
Особое внимание надо уделить рассмотрению вопросов реализации современных концепций по управлению качеством продукции на базе международных стандартов ИСО серии 9000. Надо выделить реализацию концепции TQM (всеобщего управления качеством), рассмотреть принципы ее построения.
Отразить в работе направления решения имеющихся проблем качества, обосновать свои позиции по оценке проблем и их решению.
В заключительной части первой, главы необходимо осуществить логичный переход ко второй главе, сделать выводы.
Вторая глава
выпускной квалификационной работы (объемом 20—25 страниц) является аналитической. Эта глава целиком строится на материалах Московского радиотехнического завода.
Вначале необходимо провести характеристику организации: когда создана, какую выпускает продукцию, состояние техники, технологии, организации труда, управления, снабжения, сбыта, маркетинга, показатели работы в динамике 3—5 лет; развитие НТП и положение с инвестициями. Детально рассматривается существующая на заводе система менеджмента качества.
Материалами для анализа могут быть планы работы предприятия, годовые отчеты, статистическая отчетность и другая служебная документация. Материалы, служащие базой для анализа и обоснования предложений, должны быть достаточно полными и достоверными, чтобы, опираясь на них, можно было проанализировать положение дел, вскрыть резервы и наметить пути их использования.
Далее дается описание этапов формирования на предприятии системы менеджмента качества, которые включают:
1.Предварительный анализ деятельности предприятия в области качества, определение видов продукции и модели системы менеджмента качества;
2.Обследование и оценку деятельности предприятия по функционированию всех элементов действующей системы качества;
3. Разработку программы совершенствования системы качества;
4. Проведение работ по совершенствованию системы качества на предприятии;
5. Подготовку заявки и необходимых документов для проведения сертификации системы менеджмента качества.
Подробно исследовать назначение, состав и функции системы менеджмента качества на предприятии.
Система менеджмента качества на Московском радиотехническом заводе соответствует модели ГОСТ Р ИСО 9001—96 и стандартам РФ СРПП и включает 18 элементов.
Основным документом, описывающим систему менеджмента качества предприятия, является «Руководство по качеству МРТЗ».
В работе анализируются цели системы менеджмента качества и особенности функционирования элементов системы, выделяются трудности и проблемы качества, подлежащие решению на заводе.
Третья глава
посвящена авторским предложениям по решению поставленных проблем управления качеством (объем главы до 20 страниц). На фактическом материале следует показать, какие меры (предложения) необходимы для приведения системы качества предприятия к международному уровню (международным стандартам) и условия практического осуществления мер по всем направлениям поставленных задач.
Для приведения действующей системы менеджмента качества в соответствии с требованиями МС ИСО 9000 версии 2000 г. должна быть рассмотрена программа проведения работ по адаптации действующих стандартов предприятия к требованиям ГОСТ Р ИСО 9004—2001. Необходимо предусмотреть определенные организационные меры по реализации предложений.
Необходимо показать, какие изменения в связи с внедрением системы менеджмента качества необходимо внести в действующую систему управления заводом, в процедуры управленческих работ, в положения о структурных изменениях в подразделениях.
Работу украсят различные диаграммы причин и результатов (диаграмма Исикавы), диаграммы разброса параметров качества, схемы функционирования отдельных элементов системы качества («Управление проектированием», «Контроль и испытания» и др.), схемы структуры управления заводом с учетом СМК и др. Для обработки статистических данных, формирования таблиц, диаграмм, графиков необходимо использовать компьютерные технологии.
Московский радиотехнический завод в результате совершенствования (модернизации) системы менеджмента качества получил определенные преимущества:
• снизились расходы на рекламации;
• снизились расходы на ремонт бракованной продукции и возврат брака изготовителю;
• повысилась ответственность сотрудников и др.
Главная задача заключения
в выпускной квалификационной работе - раскрыть основные выводы теоретического и предложения практического характера, которые получены в результате исследования. Объем заключения составляет 3-5 страниц. Представляют интерес итоги самостоятельной работы студента, но не общеизвестные сведения. Выводы и предложения излагаются кратко, как правило, без обоснований.
Например, формулировку пунктов заключения можно записать так:
• раскрыто значение... в современных условиях, дана классификация... выявлены основные факторы (причины),которые являются основными для предприятия. К ним относятся ...;
• всесторонне рассмотрен вопрос о... проведен анализ. Анализ показал, что прежде всего следует...;
• предложены новые показатели оценки... отличающиеся от применяемых на предприятии тем, что позволяют...;
• в условиях недостатка... ресурсов большую значимость для предприятия имеет... и, прежде всего,... поэтому целесообразно...
В рассмотренном примере по сбытовой политике предприятия раскрыто применение теоретических и практических положений с целью анализа сбыта и показано его значения в современных условиях.
В работе рассмотрены вопросы функционирования и модернизации системы управления качеством на Московском радиотехническом заводе.
Анализ системы качества, проведенный на предприятии, показал, что эффект от финансовых затрат на разработку и внедрение системы менеджмента качества, сертификацию на основе международной системы ИСО 9000 является основополагающим фактором в конкурентной борьбе предприятия на рынке; вложения предприятия в систему контроля качества выпускаемой продукции снижают расходы на рекламации, ремонт бракованной продукции и возврат брака изготовителю.
В соответствии с целью в результате проведенной аналитической работы было исследовано внедрение на предприятии системы менеджмента качества международных стандартов ИСО серии 9000. Расчет эффективности от внедрения данной системы показал ее преимущество по сравнению с применявшимися до настоящего времени методами.
Наблюдения выявили, что основные сложности при внедрении системы связаны с недостаточным вниманием к психологической стороне проблемы. Работники, осуществляющие переход на данную систему качества, не доверяют ее эффективности и тем самым тормозят процесс модернизации.
Анализируя положения, можно рекомендовать мероприятия по работе с коллективом, целью которых явилось бы разъяснение преимуществ новой системы, а также по повышению квалификации сотрудников-исполнителей.
Как показал анализ, методика внедрения МС ИСО серии 9000 не громоздка, не требует специальных навыков в применении, обладает невысоким уровнем сложности.
Можно сделать вывод, что там, где придается значение качеству продукции, при введении системы менеджмента качества можно получить большие выгоды для предприятия.
РАЗДЕЛ 4
Рекомендации по подготовке к защите выпускной квалификационной работы
Выпускник защищает ВКР на открытом заседании государственной аттестационной комиссии (ГАК). Студент представляет в день защиты в ГАК:
• выпускную квалификационную работу;
• отзыв научного руководителя выпускной квалификационной работы;
• рецензию на выпускную квалификационную работу;
• другие материалы, характеризующие научную и практическую ценность выполненной студентом выпускной квалификационной работы (опубликованные статьи по теме ВКР, акты о внедрении результатов ВКР и др.).
В отзыве научного руководителя отражаются: подготовленность студента к профессиональной деятельности в соответствии с Государственным образовательным стандартом по специальности; умение работать с литературой (в полной ли мере студент ознакомлен с новейшей литературой по рассматриваемой теме: знает ли законы, постановления органов исполнительной власти и т.д.); владение методами анализа экономических ситуаций и явлений; умение отстаивать собственную точку зрения, делать обоснованные выводы и предложения. Кроме того, отмечается умение организовать работу, трудолюбие, ответственность и прочие качества выпускника. Руководитель должен дать оценку работы выпускника в период написания ВКР.
В рецензии дается анализ содержания, оформления ВКР. Особое внимание уделяется полноте и глубине рассмотрения проблемы, соответствующей теме ВКР: полноте использования отечественной и зарубежной литературы; позиции автора и ее обоснованности; методам анализа проблемы; обоснованности выводов и предложений. Также отмечается качество оформления ВКР (наличие графических материалов, правильность ссылок на литературу, оформление списка литературы и т. д.) В заключение дается оценка ВКР по 4-балльной шкале (от 2 до 5). Рецензия должна быть представлена в рукописном или печатном виде и занимать до двух страниц текста. Подпись рецензента заверяется печатью организации.
Названные документы в выпускную квалификационную работу не подшиваются.
Студент должен тщательно подготовиться к защите дипломной работы. Доклад, который студент делает перед государственной аттестационной комиссией, существенно влияет на окончательную оценку работы. Доклад должен быть кратким, ясным и включать основные положения дипломной работы.
Студентам рекомендуется строить доклад по следующему плану:
1. Наименование дипломной работы, актуальность темы.
2. Цели и задачи дипломной работы, обозначение объекта исследования.
3. Краткая организационно-экономическая характеристика объекта исследования.
4. Анализ состояния предмета исследования, выявление имеющихся недостатков.
5. Критерии, методы и модели, используемые в исследовании.
6. Результат решения поставленных задач (количественные и качественные оценки и сопоставления).
7. Выводы из проделанной работы. Полученный эффект(материальный, организационный и др.).
8. Рекомендации по совершенствованию деятельности предприятия, на базе и по материалам которого делалась выпускная квалификационная работа.
Студент должен подготовить письменные тезисы доклада, которые вместе с иллюстративным материалом (раздаточным материалом) должны быть одобрены и подписаны руководителем дипломной работы.
Для усиления доказательности выводов и предложений студента доклад целесообразно проиллюстрировать (плакатами, слайдами, раздаточным материалом и т. п.). Наиболее важными пособиями являются материалы, отражающие:
• цели и задачи дипломной работы;
• краткую характеристику объекта исследования;
• модели, методы и критерии принятия решений, используемых студентом;
• результаты исследования в виде графиков и диаграмм;
• рекомендации и предложения по совершенствованию деятельности предприятия и др.
Не рекомендуется в качестве наглядных пособий использовать большие, перегруженные цифрами таблицы, содержащие исходные данные; раздаточный материал, оформленный в виде сплошного текста; не относящиеся к делу рисунки. Раздаточный материал оформляется на листах формата А4 в нескольких экземплярах и предлагается в процессе защиты ВКР для обозрения каждому члену аттестационной комиссии. Назначение раздаточного материала - помочь студенту во время защиты более конкретно изложить содержательную часть доклада. Весь выносимый раздаточный материал обязательно должен присутствовать в соответствующих параграфах ВКР. Для иллюстрации результатов выполненной ВКР достаточно 6-8 плакатов. Образец раздаточного материала приведен в Приложении 2.
Для защиты выпускной квалификационной работы каждому студенту предоставляется время для доклада в объеме не более 10 минут. После выступления студента зачитывается рецензия на ВКР и студенту предоставляется слово для ответа на замечания рецензента. Студент может согласиться с замечаниями рецензента или обоснованно на них возразить.
Членами ГАК могут быть заданы студенту вопросы по содержанию выпускной квалификационной работы или по другим аспектам, касающимся специальности студента. Ответы студента на заданные вопросы должны быть краткими и обоснованными. В ответах по теме выпускной квалификационной работы следует оперировать данными, полученными в ходе выполнения работы.
По окончании публичной защиты проводится закрытое совещание членов ГАК, на котором обсуждаются результаты защиты, и выставляется окончательная оценка выпускной квалификационной работы по 4-балльной системе (отлично, хорошо, удовлетворительно), которая затем оглашается студентам. ГАК принимает также решение о выдаче диплома с отличием и рекомендации в аспирантуру.
ПРИЛОЖЕНИЕ 1
Примерные планы
выпускных квалификационных работ
Специализация «Производственный менеджмент»
Тема 1. Совершенствование системы менеджмента организации
Введение.
Глава
I
.
Организация управления как функция современного менеджмента фирмы.
1.1. Роль и значение организации управления в системе менеджмента.
1.2. Организационная структура управления. Типы организационных структур.
1.3. Организация взаимодействия персонала в процессе управления. Делегирование полномочий в организации.
Глава 2. Аналитическая основа управления организацией.
2.1. Организационно-экономическая характеристика предприятия.
2.2. Анализ использования персонала организации.
2.3. Обеспечивающая подсистема менеджмента организации.
Глава 3. Основные направления совершенствования органи
зации управления.
3.1. Совершенствование организационной структуры управления.
3.2. Совершенствование организации взаимодействия работников в процессе управления.
3.3. Формирование системы информационного обеспечения аппарата управления для повышения обоснованности принимаемых решений.
Заключение
Список литературы.
Приложения
Тема 2. Стратегическое управление организацией
Введение.
Глава 1. Сущность и функции стратегического управления
организацией.
1.1. Сущность и этапы стратегического управления.
1.2. Классификация стратегий в теории стратегического управления.
Глава 2. Аналитическая основа разработки стратегии орга
низации
.
2.1. Организационная характеристика предприятия.
2.2. Управленческое обследование сильных и слабых сторон хозяйственной деятельности.
2.3. Анализ опасностей и возможностей деятельности организации.
Глава 3. Исследование возможностей разработки и реализа
ции стратегии организации.
3.1. Создание системы стратегического управления.
3.2. Разработка и реализация маркетинговой стратегии.
3.3. Оценка управленческих способностей и возможностей для реализации стратегии.
Заключение
Список литературы
Приложения
Специализация «Предпринимательство»
Тема 3. Повышение конкурентоспособности организации в усло
виях рынка
Введение.
Глава 1. Управление качеством в системе управления про
изводством.
1.1. Цели и задачи управления производством.
1.2. Качество продукции как фактор повышения конкурентоспобности организации.
1.3. Система управления конкурентоспособностью продукции.
Глава 2. Анализ конкурентоспособности организации.
2.1. Организационно-экономическая характеристика предприятия.
2.2. Анализ конкурентоспособности продукции организации.
2.3. Оценка конкурентоспособности организации.
Глава 3. Пути повышения конкурентоспособности организации.
3.1. Совершенствование системы управления качеством продукции.
3.2. Использование зарубежного опыта по повышению конкурентоспособности организации.
Заключение
Список литературы
Приложения.
Тема 4. Резервы и пути экономии материальных ресурсов
Введение.
Глава 1. Материалоемкость продукции и значение ее сни
жения в современных условиях хозяйствования.
1.1. Определение и виды материалоемкости продукции.
1.2. Роль экономики материальных затрат в снижении издержек и повышении конкурентоспособности продукции.
Глава 2. Сложившаяся практика использования материаль
ных ресурсов на предприятии.
2.1. Организационно-экономическая характеристика предприятия.
2.2. Существующее положение с системой нормирования расхода материалов в производстве.
2.3. Использование заменителей на производстве.
2.4. Применение вторичных материальных и энергетических ресурсов.
Глава 3. Предложения по снижению материалоемкости
продукции и их эффективность.
3.1. Рекомендации по улучшению организации системы нормирования расхода материалов в производстве.
3.2. Предложения по экономии материальных и топливно-энергетических ресурсов в производстве и их эффективность.
3.3. Возможности улучшения использования вторичных ресурсов и их эффективность.
Заключение
Список литературы
Приложения.
Специализация «Инновационный менеджмент»
Тема 6. Управление проектом создания нового продукта / оказания новой услуги
Введение
Глава 1. Роль продуктовых инноваций в развитии общества и предприятия
1.1. Роль рынка в появлении новых товаров (услуг)
1.2. Место НИОКР в проектах создания новых продуктов
1.3. Объекты промышленной и интеллектуальной собственности и их значение при создании новых продуктов.
Глава 2. Инновационная активность конкретного предприятия
2.1. Технико-экономическая характеристика предприятия, его организационная структура.
2.2. Необходимость и возможность внедрения продуктовой инновации на предприятии
2.3. Анализ патентной чистоты и патентной защищенности нового продукта
Глава 3. Анализ системы управления проектом по созданию нового продукта
3.1 Результаты мониторинга проекта
3.2. Рекомендации по совершенствованию системы управления проектом создания нового продукта
Заключение
Список литературы
Приложения
Тема Управление проектом технологического нововведения
Введение
Глава 1. Роль технологических инноваций в развитии общества и предприятия
1.1. Место технологии в системе подготовки производства.
1.2. Значение научных исследований в проектах технологических нововведений.
1.3. Объекты промышленной и интеллектуальной собственности и их значение при создании новых технологий.
Глава 2. Характеристика инновационной деятельности конкретного предприятия
2.1. Технико-экономическая характеристика предприятия, его организационная структура.
2.2. Необходимость и возможность внедрения технологического новшества.
2.3. Анализ новой технологии в аспекте патентной чистоты и патентной защищенности.
Глава 3. Анализ системы управления проектом по технологическому нововведению
.
3.1 Этапы проекта и анализ достижения целей каждого этапа.
3.2. Рекомендации по совершенствованию системы управления на отдельных этапах проекта
Заключение
Список литературы
Приложения.
ПРИЛОЖЕНИЕ 2
Пример
раздаточного материала для выступления на ВКР
Лист 1
Выпускная квалификационная работа
на тему:
«Совершенствование организационной структуры предприятия (на примере опытно-конструкторского бюро)»
Цель ВКР:
исследование состояния процесса управления опытно-конструкторским бюро путем анализа организационной структуры управления предприятием, выявление проблем, связанных с несовершенством организационной структуры управления и разработка системы рекомендаций, направленных на совершенствование процесса управления путем приведения организационной структуры в соответствие стратегическим целям и задачам предприятия.
Объект исследования:
предприятие авиационной промышленности РФ (ОАО «Опытно-конструкторское бюро»).
Предмет исследования:
организационная структура управления ОАО «Опытно-конструкторское бюро»
Структура выпускной квалификационной работы
Введение.
Глава 1. Организация управления как функция современного менеджмента.
Глава 2. Анализ организации управления в КБ.
Глава 3. Совершенствование структуры управления в КБ.
Заключение.
Список литературы.
Лист 4
Предложения по организационной структуре службы
координации программ


Лист 6
Предложения по развитию структуры управления
службы информационных технологий

СОДЕРЖАНИЕ
Введение …………………………………………………………………….
РАЗДЕЛ
I
. Содержание государственной итоговой аттестации
1.1. Виды деятельности выпускника и задачи профессиональной деятельности ................................................................... …………………………..
1.2. Квалификационные требования, необходимые для выполнения профессиональной деятельности …………………………………………..
1.3. Соответствие профессиональных функций и требований к профессиональной подготовке выпускника ……………………………….
1.4. Требования к профессиональной подготовке специалистов.
Характеристика специализаций ………………………………………………….
РАЗДЕЛ 2. Программа комплексного госэкзамена
2.1. Концепция подготовки к комплексному квалификационному
экзамену ......................................................... …………………………….
2.2. Вопросы для подготовки к комплексному квалификационному
экзамену ......................................................... …………………………….
2.3. Примеры ситуаций (задач) комплексного квалификационного
экзамена.......................................................... …………………………….
РАЗДЕЛ 3. Требования к содержанию и структуре
выпускных квалификационных работ
3.1. Основные направления тематики выпускных квалификационных
работ ............................................................ …………………………….
3.2. Содержание и этапы процесса выполнения выпускной квалификационной работы ………………………………………………
РАЗДЕЛ 4. Рекомендации по подготовке к защите
выпускной квалификационной работы
Приложение 1 ………………………………………………………………
Приложение 2 ……………………………………………………………….
[1]
Под ред. проф. Н.Е. Старцева. — М.: ВЗФЭИ, 2004.
|