|
Содержание
1. Введение 2. Описание международного стандарта Profibus 2.1 Физический уровень 2.2 Протоколы доступа к шине 2.3 Протокольная архитектура 2.3.1 Profibus-DP 2.3.2 Profibus-FMS 2.3.3 Profibus-PA 2.4 Технология передачи данных 2.4.1 Интерфейс передачи RS 485 2.4.2 Технология передачи IEC 1158-2 2.4.3 Передача по оптоволокну 3. Программные средства конфигурирования Profibus
1. Введение
Сеть Profibus это не зависящий от производителя, открытый стандарт полевой шины, для широкого ранга приложений в производственной автоматизации. Сеть Profibus это комплексное понятие, она основывается на нескольких стандартах и протоколах. Сеть Profibus построена в соответствии с многоуровневой моделью ISO 7498 - OSI (Profibus находится на следующих уровнях: 1- физический уровень, 2- канальный уровень, 7 - уровень приложений). Открытость и не зависимость от производителя гарантирует стандарт EN 50 170, все остальное реализовано в соответствии со стандартом DIN 19245 (это техника передачи данных, методы доступа, протоколы передачи, сервисные интерфейсы для уровня приложений, спецификация протоколов, кодирование, коммуникационная модель и т.д.). С помощью Profibus, устройства разных производителей могут работать друг с другом без каких либо специальных интерфейсов. Семейство Profibus состоит из трех совместимых друг с другом версий - это Profibus-PA, Profibus-DP и Profibus-FMS.
Profibus-PA - спроектирована специально для автоматизации процессов. Она позволяет подключать датчики и приводы на одну линейную шину, причем даже во взрывоопасных средах. Основана на двухжильной технологии по стандарту IEC 1158-2.
Profibus-DP - оптимизирована для высокоскоростных и недорогих систем. Эта версия сети была спроектирована специально для связи между автоматизированными системами управления и распределенной периферией
Profibus-FMS это обще целевое решение, используется для широкого ранга приложений.
2. Описание международного стандарта Profibus
2.1 Физический уровень
Физически Profibus это электрическая сеть в основе своей использующая экранированную витую пару или оптическая сеть на основе оптоволоконного кабеля. Скорость передачи по ней может варьироваться от 9,6 кбит/сек до 12 мбит/сек.
Забиваем Сайты В ТОП КУВАЛДОЙ - Уникальные возможности от SeoHammer
Каждая ссылка анализируется по трем пакетам оценки: SEO, Трафик и SMM.
SeoHammer делает продвижение сайта прозрачным и простым занятием.
Ссылки, вечные ссылки, статьи, упоминания, пресс-релизы - используйте по максимуму потенциал SeoHammer для продвижения вашего сайта.
Что умеет делать SeoHammer
— Продвижение в один клик, интеллектуальный подбор запросов, покупка самых лучших ссылок с высокой степенью качества у лучших бирж ссылок.
— Регулярная проверка качества ссылок по более чем 100 показателям и ежедневный пересчет показателей качества проекта.
— Все известные форматы ссылок: арендные ссылки, вечные ссылки, публикации (упоминания, мнения, отзывы, статьи, пресс-релизы).
— SeoHammer покажет, где рост или падение, а также запросы, на которые нужно обратить внимание.
SeoHammer еще предоставляет технологию Буст, она ускоряет продвижение в десятки раз,
а первые результаты появляются уже в течение первых 7 дней.
Зарегистрироваться и Начать продвижение
2.2 Протокол доступа к шине
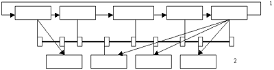
Для всех версий Profibus существует единый протокол доступа к шине. Этот протокол реализуется на 2 уровне модели ISO (который называется в Profibus - FDL). Данный протокол реализует процедуру доступа с помощью маркера (token). Сеть Profibus состоит из ведущих (master - мастера) и ведомых (slave) станций. Ведущая станция может контролировать шину, то есть может передавать сообщения (без удаленных запросов), когда она имеет право на это (то есть когда у нее есть маркер). Ведомая станция может лишь распознавать полученные сообщения или передавать данные после соответствующего запроса. Маркер вращается в логическом кольце состоящем из ведущих устройств (см рис.1):

1 - передача маркера между мастерами 2 - между ведомыми устройствами
Если сеть состоит только из одного, то маркер не передается (в данном случае в чистом виде будет система master - slave). Сеть с минимальной конфигурацией может состоять либо из двух мастеров, либо из одного мастера и одного ведомого устройства.
2.3 Протокольная архитектура
Profibus базируется на международных стандартах. Протокольная архитектура ориентирована на международную модель ISO 7498. Уровень 1 отвечает за характеристики физической передачи. Уровень 2 определяет протокол доступа к шине. Уровень 7 отвечает за прикладные функции.
2.3.1 Profibus-DP
Использует уровни 1, 2 и пользовательский интерфейс. Данная сеть была спроектирована для высокоскоростной передачи данных между устройствами. В данной сети центральные контроллеры (программируемые логические контроллеры и PC) связаны с их распределенными полевыми устройствами через высоко скоростную последовательную связь. Большинство передач данных осуществляется циклическим способом. Сеть на основе протокола DP будет выглядеть приблизительно таким образом:

В качестве ведущего устройства могут использоваться контроллеры фирмы Siemens серии S7-300, S7-400 такие, как 315-2DP или 414-2DP и т.д. Как ведомые устройства, могут использоваться различные приводы, клапаны, из оборудования фирмы Siemens это, например, устройства серии Simatic ET-200.
С помощью Profibus-DP могут быть реализованы Mono и MultiMaster системы (системы с одним или несколькими ведущими устройствами, в последнем случае на шине находятся несколько не зависящих друг от друга подсистем). Основной принцип работы заключается в следующем: центральный контроллер (ведущее устройство) циклически считывает входную информацию с ведомых устройств и циклически записывает на них выходную информацию. При этом время цикла шины должно быть короче, чем время цикла программы контроллера, которое для большинства приложений составляет приблизительно 10 мсек. В дополнение к циклической передаче пользовательских данных Profibus-DP предоставляет мощные функции по диагностике и конфигурированию. Коммуникационные данные отображаются специальными функциями как со стороны ведущего, так и со стороны ведомого устройства. Скорость передачи является важным параметром характеризующем работу сети, для Profibus-DP показатели приблизительно следующие:
Сервис онлайн-записи на собственном Telegram-боте
Попробуйте сервис онлайн-записи VisitTime на основе вашего собственного Telegram-бота:
— Разгрузит мастера, специалиста или компанию;
— Позволит гибко управлять расписанием и загрузкой;
— Разошлет оповещения о новых услугах или акциях;
— Позволит принять оплату на карту/кошелек/счет;
— Позволит записываться на групповые и персональные посещения;
— Поможет получить от клиента отзывы о визите к вам;
— Включает в себя сервис чаевых.
Для новых пользователей первый месяц бесплатно.
Зарегистрироваться в сервисе
Условия в которых проходил тест: одномастерная система, у каждого ведомого устройства было по 2 байта входных и выходных данных.
Диагностические функции
Profibus-DP позволяют быстро локализовать сбои в системе. Диагностические сообщения передаются по шине мастеру, сообщения делятся на три уровня:
- связанная со станцией диагностика
определяет состояние всего устройства (перенагрев, низкое напряжение и т.д.)
- с модулем
сообщения связанные с ошибками в том или ином вх./вых. модуле
- с каналом
определяют ошибку конкретного бита вх./вых.
Поведение системы при использовании протокола DP определяется состоянием мастера. Существует три основных состояния:
- стоп
в этом состоянии не происходит передачи данных между мастером и периферией
- очистка
мастер читает входную информацию с ведомых устройств и держит выходы в состоянии защиты от сбоев
- операция
мастер находится в состоянии передачи данных, входы ведомых устройств считываются и записывается информация на выходы
Мастер циклически посылает информацию о своем состоянии всем ведомым устройствам присоединенным к нему. Передача данных между мастером и ведомым устройством делится на три фазы:
- параметризация
- конфигурирование
- передача данных
На первой и второй стадиях ведомое устройство сравнивает свою текущую конфигурацию с конфигурацией ожидаемой мастером и только если они совпадают происходит передача данных. В дополнение к обычной передаче пользовательских данных, мастер может посылать управляющие команды одному, группе или всем своим ведомым устройствам. Существует две таких команды. Одна переводит ведомые устройства в режим sync
(все выходы блокируются в текущем состоянии), другая - переводит в режим freeze
(все входы блокируются в текущем состоянии). Вывод из этих режимов происходит с помощью команд unsync
и unfreeze
соответственно.
В дополнение к данной системе передачи, существуют расширенные DP функции, которые позволяют производить ациклическое чтение и запись параллельно циклической передаче данных.
2.3.2 Profibus-FMS
Данный протокол предназначен по большей части для связи программируемый контроллеров друг с другом. Он используется в тех областях, где высокая степень функциональности более важна нежели чем быстрое время реакции системы. Сеть на основе протокола FMS будет выглядеть, например, таким образом:

При связи через FMS используются отношения типа клиент-сервер. Клиент является процессом приложения, который в качестве заказчика услуги обращается к объектам. Сервер является исполнителем услуги. Объекты. В распоряжение клиенту предоставляются объекты связи. В качестве примера устройств, соединенных по FMS протоколу можно взять из оборудования фирмы Siemens - Simatic S7 c FMS-CP или, например, Simatic S5 c CP 5431FMS. Очень часто используется комбинированный режим работы устройств Profibus - FMS и Profibus - DP, в этом случае между мастерами и ведомыми устройствами используется протокол DP, а между самими мастерами протокол FMS:
Основная нагрузка в протоколе FMS приходится на уровень приложений. Им предоставляются коммуникационные службы, которые могут использоваться непосредственно пользователем, которые отвечают за выполнение запросов в системе клиент-сервер . Коммуникационная модель Profibus-FMS допускает объединение распределенных процессов приложений в общий процесс с использованием коммуникационных связей. Часть процесса приложения в полевом устройстве, которая может быть достигнута через коммуникацию называется виртуальным полевым устройством (VFD). В нем находится словарь так называемых коммуникационных объектов, через которые и происходит связь между устройствами с помощью служб. Словарь содержит описание, структуру и типы данных, а также связи между адресами внутреннего устройства коммуникационных объектов и их назначение на шине (индекс/имя). Более подробно, словарь состоит из следующих объектов:
- заголовок информация по структуре словаря
- список статических типов данных список поддерживаемых статических типов данных
- словарь статических объектов в нем все статические коммуникационные объекты
- динамический список списка переменных список всех списков переменных
- динамический список программ список всех программ
2.3.3 Profibus-PA
Служит для соединения систем автоматизации и систем управления процессами с полевыми устройствами (например датчиками давления, температуры и уровня). Может использоваться для аналоговой (от 4 до 20 mA) технологии. Profibus - PA использует основные Profibus - DP функции передачи измеренных величин и состояния контроллера, а также расширенные функции Profibus - DP для параметризации и операций с полевыми устройствами.
2.4 Технология передачи данных
Profibus предоставляет три возможных варианта передачи:
a. RS 485 передача для DP и FMS
b. IEC 1158-2 для PA
c .Оптоволокно
2.4.1 RS 485
Наиболее часто используемая в сетях Profibus технология передачи. Используется в областях, где нужна большая скорость и простая, не дорогая установка.
| Сетевая топология
|
Линейная шина, активные шинные терминаторы с обоих концов
|
| Физика
|
Кабель экранированной витой пары
|
| Количество станций
|
32 станции в каждом сегменте без репитеров, до 127 с репитерами
|
| Соединители
|
9 пиновый D sub коннектор
|
2.4.2 IEC 1158-2
Технология передачи ориентированная на нужды химической промышленности. Предоставляет взрывозащищенность и питание устройств через шину. Она базируется на следующих основных принципах:
- у каждого сегмента только один источник питания
- при передачи данных, питания не происходит
- пассивная терминация линии с обоих концов основной шины и т.д.
| Передача данных
|
Цифровая, бит синхронизации, манчестерский код
|
| Скорость передачи
|
31.25 кбит/сек
|
| Безопасность данных
|
Предусмотрен анализ ошибок
|
| Кабель
|
Двухжильная витая пара
|
| Удаленное питание
|
Через линии данных
|
| Взрывозащита
|
Может быть как с ней так и без
|
| Топология
|
Линия, дерево, комбинация
|
| Количество станций
|
До 32 на сегмент, макс. 126
|
| Повторителя
|
До 4
|
2.4.3 Передача по опто-волокну
Используется в средах с большими электромагнитными возмущениями. В приложениях где необходима передача данных с большой скоростью на большие расстояния.
3. Программные средства конфигурирования сети Profibus
Многие из программных средств конфигурирования сети Profibus ориентировано непосредственно на того или иного производителя и часто содержит помимо средств конфигурирования сети много другого, например, средства для программирования контроллеров и т.д. Среди таких программ это Step 7 (пакет программирования контроллеров S7-300 и S7-400 фирмы Siemens) . Но есть много программ, работающих с оборудованием разных фирм. Таких как ComProfibus - для конфигурирования сети Profibus, или Sinec Scope L2 - средство для пассивного (то есть без какого либо влияния на сеть ) наблюдения за обменом данными в сети Profibus.
|