| ББКЧ23+Х623.4
Крулькевич М.И., Сынкова Е.М. Информационная деятельность в организациях. - Донецк: ДонНУ Украины, 2001. - 176 с.
18ВЫ 966-02-1141-4
Рассматриваются проблемы формирования, сущность, понятия и элементы информационной деятельности в организациях, основные направления совершенствования этой деятельности и правовое регулирование информационных процессов.
Для научных работников, специалистов информационной деятельности, преподавателей, аспирантов, студентов.
ББК Ч 23 + X 623.4
Розглядаються проблеми формування, сутшсть, поняття та елементи інформаційної діяльності в оргашзаціях, основш напрямки удосконалення цієї лояльное™ та правове регулювання шформацшних процес!в.
Для наукових робітників, спешшпспв у галузі управління, викладачів, аспірантів, студентів.
Научный редактор канд. экон. наук Щедрин А.Н.
Рецензенты:
Финагин В.В., доктор экономических наук, профессор БерсуцТсий Я.Г., доктор экономических наук, профессор
Рекомендовано к печати Ученым советом Донецкого национального университета.
) М.И.Крулькевич Е.М.Сынкова
15ВК 966-02-1141-4
© ДонНУ Украины, 2000
СОДЕРЖАНИЕ
ВВЕДЕНИЕ
.......................................................... 6
Глава 1. ИНФОРМАЦИЯ В ПРОЦЕССАХ УПРАВЛЕНИЯ
8
1.1Основные характеристики информации....... 8
1.2Менеджерский информационный цикл....... 13
1.3Формирование первичной информации..... 17
1.4.Требования, предъявляемые к информационному обеспечению системы управления..................................... 20
1.5.Повышение уровня достоверности информации 21
1.6.Хранение информации................................ 25
Глава 2. ИНФОРМАЦИОННЫЕ ПОТОКИ
.. 28
2.1.Формирование информационных потоков 28
2.2.Информационное обслуживание................. 29
2.3.Сжатие информации в информационных потоках 32
2.4.Совершенствование информационный потоков 39
2.5.Рационализация режима обмена информацией 40
Глава 3. ТЕХНОЛОГИЧЕСКОЕ СОДЕРЖАНИЕ ИНФОРМАЦИОННОЙ
ДЕЯТЕЛЬНОСТИ
.................................... 45
3.1.Взаимодействие элементов системы в технологии управления 45
3.2.Организационные формы и функции управления 47
3.3.Технологическое содержание функции учета 49
3.4.Технологическое содержание функции контроля 51
Забиваем Сайты В ТОП КУВАЛДОЙ - Уникальные возможности от SeoHammer
Каждая ссылка анализируется по трем пакетам оценки: SEO, Трафик и SMM.
SeoHammer делает продвижение сайта прозрачным и простым занятием.
Ссылки, вечные ссылки, статьи, упоминания, пресс-релизы - используйте по максимуму потенциал SeoHammer для продвижения вашего сайта.
Что умеет делать SeoHammer
— Продвижение в один клик, интеллектуальный подбор запросов, покупка самых лучших ссылок с высокой степенью качества у лучших бирж ссылок.
— Регулярная проверка качества ссылок по более чем 100 показателям и ежедневный пересчет показателей качества проекта.
— Все известные форматы ссылок: арендные ссылки, вечные ссылки, публикации (упоминания, мнения, отзывы, статьи, пресс-релизы).
— SeoHammer покажет, где рост или падение, а также запросы, на которые нужно обратить внимание.
SeoHammer еще предоставляет технологию Буст, она ускоряет продвижение в десятки раз,
а первые результаты появляются уже в течение первых 7 дней.
Зарегистрироваться и Начать продвижение
3.5.Технологическое содержание функции анализа 56
3.6.Технологическое содержание функции планирования 63
3.7.Технологическое содержание функции выдвижения и принятия управленческих решений............ Г............... 67
3.8....................................................................... Технологическое содержание функции прогнозирования............................... 71
Глава 4. ТЕОРЕТИЧЕСКИЕ ОСНОВЫ ИНФОРМАЦИОННЫХ ПРОЦЕССОВ73
4.1.Структура информационного процесса..... 73
4.2.Основные формы и методы восприятия информации 76
4.3.Передача информации................................ 78
4.4.Обработка информации.............................. 80
4.5.Представление информации........................ 83
Глава 5. ОБЩЕНИЕ В ПРОЦЕССЕ ИНФОРМАЦИОННОЙ
ДЕЯТЕЛЬНОСТИ
................................... 87
5.1.Деловое общение......................................... 87
5.2.Процесс общения......................................... 90
5.3.Информационный процесс коллективных мероприятий 92
5.4 Представление новых идей......................... 95
5.5. Оценка идей, предложений и рекомендаций 96
5.6 Обучение навыкам информационной деятельности 98
Глава 6. МЕТОДЫ И ТЕХНИЧЕСКИЕ СРЕДСТВА
ИНФОРМАЦИОННОЙ ДЕЯТЕЛЬНОСТИ
101
6.1 Информационный кругооборот................ 101
6.2.Сбор информации...................................... 102
6.3.Обработка информации и документов..... 103
6.4.Предоставление информации потребителю 105
6.5.Документационные средства коммуникаций 107
Глава 7. ЭВОЛЮЦИЯ ИНФОРМАЦИОННОЙ ДЕЯТЕЛЬНОСТИ
В СОВРЕМЕННЫХ УСЛОВИЯХ ХОЗЯЙСТВОВАНИЯ
ПО
7.1.Основные направления совершенствования информационной деятельности................................................. 110
7.2.Методы делового взаимодействия менеджеров компании с клиентами..................................................... 113
7.3.Новые технологии в информационной деятельности 114
7.4.Характерные свойства современных информационных процессов ... 117
7.5.Роли, обязанности и ответственность сотрудников компании в технологии управления, основанной на процессах 119
7.6.Информационная культура....................... 120
7.7.Управление изменением уровней информационной культуры .... 124
7.8..................................................................... Корпоративная информационная система "Интранет".......................................... 126
Глава 8. ПРАВОВОЕ РЕГУЛИРОВАНИЕ ИНФОРМАЦИОННОЙ
ДЕЯТЕЛЬНОСТИ
................................... 128
Сервис онлайн-записи на собственном Telegram-боте
Попробуйте сервис онлайн-записи VisitTime на основе вашего собственного Telegram-бота:
— Разгрузит мастера, специалиста или компанию;
— Позволит гибко управлять расписанием и загрузкой;
— Разошлет оповещения о новых услугах или акциях;
— Позволит принять оплату на карту/кошелек/счет;
— Позволит записываться на групповые и персональные посещения;
— Поможет получить от клиента отзывы о визите к вам;
— Включает в себя сервис чаевых.
Для новых пользователей первый месяц бесплатно.
Зарегистрироваться в сервисе
8.1. Законодательство Украины в сфере информационной деятельности 128
82. Информационная деятельность как объект правового регулирования 130
8.3.Государственное регулирование информационной деятельности.... 131
8.4.Национальная Программа информатизации 135
8.5.Правовой режим государственных информационных ресурсов... 136
8.6.Защита информации в автоматизированных системах 139
8.7.Правовой режим государственных средств массовой информации 140
Глава 9. ДОГОВОРНО-ПРАВОВОЕ ОБЕСПЕЧЕНИЕ
ИНФОРМАЦИОННОЙ ДЕЯТЕЛЬНОСТИ
142
9.1.Понятие информационного продукта и информационной услуги .. 142
9.2.Информационные рынки........................... 144
9.3.Информационный риск и ответственность ]46
9.4.Права и обязанности участников информационных правоотношений 148
9.5. Право собственности на информационные продукты и услуги.... 150
9.6.Условия и порядок установления договорных отношений 151
9.7.Договор на создание информационной продукции 153
9.8.Договор на оказание информационных услуг 155
Глава 10. КОММУНИКАЦИИ В ОРГАНИЗАЦИЯХ
158
10.1.Проблемы, принципы и пути совершенствования коммуникаций 158
10.2.Роль управленческих ограничений в коммуникациях 162
10.3.Динамика коммуникаций в организации 163
10.4.Основные виды управленческой информации в коммуникациях. 164
10.5.Стандарт на поведение сотрудников в организации 165
10.6.Моделирование коммуникаций в иерархических организациях.... 166
10.7.Бюрократизм в менеджерской системе коммуникаций 169
10.8.Неформальные коммуникации в организациях 170
10.9.Воздействие на партнера в процессе неформальной коммуникации.... 173
10.10.................................................................. Рекомендации по коммуникациям при осуществлении руководства................................ 174
СПИСОК ЛИТЕРАТУРЫ
............................... 175
ВВЕДЕНИЕ
В среде, где постоянны перемены, существует необходимость в инструментах и методах, позволяющим помочь организациям стать более эффективными. В мире конкуренции существует потребность найти пути, чтобы стать первыми или догнать остальных, пока еще не слишком поздно. Поэтому новая система хозяйствования требует существенного улучшения системы информации и информационной деятельности в организациях. Изменение методов управления экономикой повлекло за собой необходимость ускоренного развития системы информации и информационной деятельности. Многие руководители организаций в настоящее время пришли к выводу, что без надлежащей информационной деятельности нет условий для плодотворной хозяйственной деятельности, невозможно принимать достаточно эффективные управленческие решения. Следовательно, перед руководством организацией стоит новая задача - поднять информационную деятельность на должный уровень.
В системе хозяйственного управления, которая предшествовала экономической реформе, также осуществлялась определенная информационная деятельность, существовали информационные органы как внутри организаций, так и за их пределами. Однако в условиях осуществления реформы эти информационные органы уже не могут удовлетворять возросшие потребности организаций в информации.
В целях успешного развития информационной деятельности недостаточно ограничиваться только правильным пониманием роли информации в управлении; необходимо также знать и умело использовать источники информации, эффективные методы и технику ее получения, обработки, храненная и использования.
Получение своевременной, и нужной информации об окружающей социально-экономической среде, об условиях реализации продукции и деятельности предприятий-смежников и конкурентов, о последних достижениях науки и техники, о методах организации информационной деятельности, направленной на достижение намеченных перед организацией целей, и предоставления исходящей информации о деятельности организации - все это обусловливает необходимость разработки хорошо продуманной политики в области информационной деятельности в соответствии с целями функционирования организаций и их структурных подразделений.
В этой связи перед руководством организацией возникают следующие новые задачи:
- своевременно и правильно оценить значение информационной деятельности;
- правильно понять задачи, стоящие перед системой информации организации;
- организовать информационную деятельность, удовлетворяющую поставленным задачам;
- наладить необходимые коммуникации с внешними органами ин формации;
- своевременно внедрять новые технические средства и методы ра боты с информацией;
- правильно отбирать кадры для информационной работы, посто янно повышать их квалификацию.
Сотрудники организации должны расширять знания по использованию внутренних и внешних источников информации, техники и технологии передачи, обработки и хранения информации.
Работники организации в настоящее время располагают определенным опытом, накопленным в различных областях информационной деятельности, в частности в области бухгалтерского учета, компьютерной обработки данных, документной информации и т.д. У этих работников, однако, зачастую отсутствует комплексный подход к методике и практике разработки эффективной системы информации.
Данная работа, посвящена созданию комплексной системы информации организации, вопросам теории, методологии и технологии информационной деятельности.
В книге, рассчитанной на административно-управленческий персонал организаций, предпринята попытка дать общий обзор, а также проанализировать специфические вопросы направлений информационной деятельности, ее технических средств и методов, которые до сих пор были малоизвестны, либо считались несущественными.
Глава 1. ИНФОРМАЦИЯ В ПРОЦЕССАХ УПРАВЛЕНИЯ
1.1 Основные характеристики информации
Информация в философской интерпретации определяется как разъяснение или изложение. В тоже время это одно из основных понятий кибернетики, в которой под информацией понимают некоторые сведения, подлежащие приему, хранению, обработке и передаче в процессе реализации функции управления. В понятии "информация" следует различать два аспекта. Во-первых, информация представляет собой меру организации системы. В связи с этим математическое выражение информации тождественно выражению для энтропии, взятой в обратным знаком, Как энтропии системы выражает степень ее неупорядоченности, так информация определяет меру ее организации. Во-вторых, информация всегда связана с отношением двух процессов или предметов, Если в одном из них происходят изменения, отражающие воздействия другого, то первый из них становится носителем информации о втором. В кибернетических системах изменения в предмете (процессе) В, вызванные воздействием предмета А, являются не только некоторыми характеристиками В, а становятся фактором функционирования кибернетической системы именно в качестве носителя информации о предмете А.
Таким образом, понятие "информация" может быть истолковано как некоторая совокупность сведений, определяющих меру знаний о тех или иных событиях, явлениях, фактах и их взаимосвязи, Такое определение подчеркивает огромное многообразие содержания информации, которая является абстрактной категорией и проявляется в самых разнообразных физических, экономических и социальных явлениях.
Источниками информации являются процессы производства, обслуживания и управления. Все процессы делят на 5 групп: технические, технологические, организационные, экономические и социальные.
Информацию об объекте можно получить только путем воздействия на него одним из трех следующих методов: с использованием пассивного эксперимента (сбор статистических данных), с использованием активного эксперимента на основе специализированного внесения искусственных изменений в состояние объекта, а также с помощью комбинированного активно-пассивного метода.
Информация об объекте может быть априорной, текущей и апостериорной, т. е. прошлой, сиюминутной и перспективной.
Любое сообщение приобретает смысл только тогда, когда состояние системы (объекта) заранее неизвестно. Неопределенность системы заключается в том, что до воздействия на нее мы не знаем в точности, какой из возможных исходов будет реализован. Информация, полученная в результате воздействия, уменьшает неопределенность системы. Отсюда, следует
8
признать, что количество информации есть мера уменьшения неопределенности ситуации.
В качестве меры неопределенности ситуации с п равновозможными исходами Р.Хартли предложил использовать величину Н * 1о§ п. Неопределенность сложной ситуации, состоящей из нескольких независимых опытов, равна сумме неопределенности каждого опыта.
Например, если производится два независимых опыта с щ и п2
равновозможными исходами соответственно, то неопределенности отдельных опытов Н| * 1о$ П| и Н}
»1ов пг
.
Сложный опыт, который имеет п - п, * щ
равновоэможных исходов, имеет Н » 1о& п = Н|+На. При этом основание логарифма означает выбор единиц, в которых измеряется информация.
Когда исходы равновероятны, неопределенность зависит от числа исходов и от их вероятностей. Чаще всего используют логарифм с основанием 2
и
получают информацию в двоичных единицах, называемых битами.
Клод Шеннон предложил в качестве меры неопределенности опыта с п возможными исходами х,,хг
,... а, энтропию Н определять по формуле
Н- Р(Х!)|08Р(Х,),
где Р(х(
), >=1 ,п - вероятность исхода Х|.
При равновероятных исходах формула Шеннона дает Н = 1о& п.
Приведенные формулы характеризуют количественно-статистическую меру информации. Эта оценка определяет универсальность меры, ибо она применима к информации любого вида и содержания. В то же время для случаев, когда необходимо принимать во внимание семантику и ценность информации эта мера не применима. Она может быть использована только для выбора характеристик технических средств.
Поэтому в теории передачи сообщений в человеко-машинных системах выделяют три проблемы: техническую, семантическую и проблему эффективности.
Семантика учитывает такие свойства информации, как ценность, целесообразность, содержательность.
Проблема эффективности решается путем сравнения ценности информации с затратами на ее получение.
Наиболее важными характеристиками информации в человеко-машинных системах является:
целевое назначение;
ценность;
надежность и достоверность;
избыточность;
быстродействие;
периодичность;
детерминированный или вероятностный характер;
затраты;
непрерывность и дискретность;
способ и форма представления.
9
Главным измерителем информации в процессах принятия управленческих решений является мера ее полезности, или эффект, который она оказывает на результаты управления.
Мера полезности может быть оценена следующим образом:
I пол = 1о§ Р - 1оё ро = Ь§ Р\Р0
,
где 1о§ Р - неопределенность ситуации после получения сведений об объекте управления, 1о§ Р0
- неопределенность ситуации до получения сведений о ней.
Если при этом рассматривать информационную цепь всего процесса принятия управленческих решений, то количество информации, которое получит принимающий решение, равно
1ПР
= Ноб + Нк
+ Нхр
+ Н„ +1„ где Но6
- неопределенность объекта управления, Нц - неопределенность каналов информации, Нхр
- неопределенность, обусловленная хранением информации, Н„ - неопределенность, обусловленная обработкой информации, 1„ - объем информации, переданной ее источником, 1пр
- объем информации, поступившей ее потребителю. В свою очередь потребитель сможет воспользоваться объемом информации, определяемой функционалом
*пот~ * [_К> 1 »*пр],
где К - коэффициент актуации потребителя, Т - тезаурус потребителя, 1пр
- объем поступившей потребителю информации.
Система информации состоит из различных сведений о деятельности предприятия и внешнего его окружения. Данная система призвана отражать ход выполнения стратегического плана, а также функциональных планов подразделений предприятия по производству и реализации продукции и услуг, а также производственную, экономическую и социальную деятельность предприятия.
В структурном разрезе система информации состоит из подсистем информации:
организация производства;
финансовый менеджмент;
деловое администрирование;
маркетинг.
Организация производства включает технологию, техническое развитие, организацию управления.
Финансовый менеджмент объединяет учет и анализ хозяйственной деятельности, взаимоотношения с банком и бухгалтерию.
Деловое администрирование - стратегическое и функциональное планирование, контроль деятельности, административное управление.
Маркетинг - рекламу, перемещение продукции потребителю, материально-техническое снабжение, изучение рынков и конкурентов, ценообразование и др.
Информация системы управления предприятия подразделяется на входную, нормативную, оперативно-производственную и выходную.
Входная информация - это договора, контракты, планы, распоряжения, задания, которые надлежит реализовать объектам и органам управления.
Нормативную информацию представляют различного рода сборники норм выработок, расценок, расхода материалов, затрат времени; параметры и показатели технологических режимов; регламентные' показатели производства; законодательные и другие акты.
Нормативная информация является базой для всех видов планирования, организации труда и управления, учета, контроля и анализа хозяйственной и экономической деятельности предприятия.
Оперативно-производственная информация циркулирует непосредственно в производстве и управлении, представляет собой данные учета, контроля, анализа, планирования и принятия решений.
Выходная (промежуточная) информация представляет собой результаты логико-математической обработки производственно-управленческой информации. Это задания, наряды, графики, указания, отчеты, статистические сведения, управляющие воздействия, автоматически подаваемые на объекты управления. В последнем случае информация выдается в виде цифровых кодов, преобразуется специальными устройствами в управляющие воздействия.
К числу таких устройств относятся: электро-пневматические и цифро-аналоговые преобразователи, регистраторы цифровой и алфавитной информации, а также устройства цифровой, световой и звуковой индикации.
Выходная информация может преобразовываться непосредственно в ПЭВМ и в периферийных устройствах, выдаваться по адресам приемников и исполнительных устройств с использованием индивидуального или группового преобразования. Для выдачи выходной информации работниками используются запросно-ответные системы на базе дисплеев.
Такие особенности вытекают из наличия иерархий аппарата управления по уровням обработки информации.
На первом уровне осуществляется сбор первичных данных, выявление и регистрация сведений, характеризующих объект или процесс.
На втором уровне производится группировка и обобщение первичных данных с целью получения укрупненных показателей. Результаты обработки предоставляются в виде сводок, отчетов, документов, в которых содержится информация, необходимая для выполнения функций контроля, анализа, планирования и управления. Третий уровень обеспечивает выделение информации, необходимой для решения стратегических и сложных тактических задач управления.
10
11
Особенность системы управления в том, что высший ее уровень -решает стратегические задачи, связанные с перераспределением ресурсов в крупных масштабах. Решение тактических задач этот уровень может только контролировать. На низшем уровне решаются задачи тактического характера при наличии детальной информации о состоянии объекта. Имеющиеся у него кадровые и информационные ресурсы не позволяют решать долгосрочные задачи.
Эта особенность системы управления не всегда отражается в информационной системе. Часто потрки информации, идущие от низших уровней к высшим, представляют одни и те же сведения, которые лишь суммируются и обобщаются по мере продвижения к верхним уровням. Поэтому увеличивается дублирование и снижается коэффициент использования информации. Вместе с тем информацию по мере ее движения к верхнему уровню необходимо агрегировать, интегрировать и сжимать.
При движении информации "вниз" элементы системы управления генерируют дополнительную информацию, причем иногда в значительно больших объемах.
Степень интеграции и наоборот степень генерации (размножения) характеризуется коэффициентом (3, который равен
Р *вых '
где
'вы* - объем информации, выходящей из элемента системы; 1ВХ
- объем информации, входящей в элемент системы.
Объемы могут быть измерены числом документов, показателей или трудоемкостью обработки.
При движении информации вверх обычно р < 1, а вниз - (3 > 1.
Агрегация информации может осуществляться с использованием трех направлений: функционально-логического, аналитического и статистического.
Первое основано на функциональных и логических связях параметров и показателей между собой, а также на их отношениях к состоянию объекта и целям функции.
Второе - на определении интегральных и экстремальных характеристик данных, связанных функциональными зависимостями.
Третье - на представлении параметров их статистическими распределениями и характеристиками.
Сжатие или свертывание информации предполагает преобразование информации на более короткое ее отображение с использованием меньшего числа символов.
При движении информации происходит изменение семантической ее ценности. Семантика обычно учитывает целесообразность, ценность, полезность или существенность информации. Полезность информации,
12
используемой в системе управления, оценивается по тому эффекту, который она оказывает на результат управления.
В связи с этим А.А.Харкевич предложил меру ценности информации, определяемой изменением вероятности достижения цели реализации какой-либо задачи при получении дополнительной информации. Если дополнительная информация не изменит вероятности достижения цели, то она называется дезинформацией и измеряется отрицательным количеством информации. При этом надо учитывать существенность самого события, существенность времени совершения события и получения информации о нем, а также существенность места, адреса и других характеристик реализации функции управления. Иногда надо учитывать и различные позиции, с которых решаются задача или выполняется управленческая функция.
Семантическая ценность информации изменяется во времени. Эти изменения особенно сильно сказываются в оперативном управлении. Информация о каком-либо событии, полученная слишком поздно, не обладает никакой ценностью, поскольку изменить уже ничего нельзя. Поэтому в оперативном управлении необходимо максимально сокращать длительность передачи и обработки информации.
Деятельность предприятия и его система управления динамичны, поэтому такой же должна быть и информационная система. Изменяя ценность информационных потоков, обусловленных внутренней и внешней средой, информационная система должна адаптироваться к этим изменениям, что повысит ее гибкость и увеличит значимость.
Относительная ценность информационных потоков и относительная важность решаемых задач может рассматриваться только в иерархии структуры системы управления. В качестве своеобразного фильтра информационных потоков может служить дерево целей и критериев, что даст возможность определить имеет ли данное сообщение отношение к решаемой задаче и установить уровень иерархии, к которому относится решаемая задача.
1.2 Менеджерский информационный цикл
В менеджерском информационном цикле выделяют следующие фазы: восприятие, передача, хранение, обработка, представление и воздействие.
Восприятие состоит и формировании такого образа объекта, который включает свойства управляемого объекта, существенные для принятия в отношении его тех или иных решений.
Передача представляет собой обычный перенос информации на расстояние различными способами.
Хранение - это перенос информации во времени.
Обработка информации заключается в преобразовании ее при решении управленческих задач.
13
Представление информации - это приведение ее к форме, удобной для пользования человеком.
Воздействие состоит в преобразовании информации в сигналы, которые способны вызвать изменение в объекте управления. Такие сигналы могут производить регулирующие, управляющие или защитные действия в объекте. Воздействие обычно осуществляется как непосредственно для управления, так и для отбора информации.
Данные, циркулирующие в информационном цикле, могут быть охарактеризованы циклом "жизни", в котором основное значение имеют три аспекта - зарождение, обработка, хранение и поиск. Воспроизведение и использование данных может осуществляться в различные моменты их цикла. Выработанные системой данные должны быть отражены на материальных носителях и храниться в течение определенного времени.
Информация появляется в результате наблюдения и регистрации явления. Причем поступает в случайном порядке. Для уменьшения времени поиска требуемых данных и их обработки необходима предварительная сортировка данных по заданным признакам. Иногда для получения полного сообщения требуется объединить, агрегировать ряд отдельных данных. Значение данных зависит от потребности в них, достоверности, надежности и своевременности.
Массивы данных должны систематически пересматриваться с целью устранения устаревших и бесполезных данных.
Уничтожение данных может осуществляться после их многократного использования либо при отнесении их к классу устаревших. Уничтожение данных является концом цикла их жизни.
Менеджерская информация должна обеспечивать наблюдение за ходом производства, за реализацией продукции, за услугами, маркетингом и финансовой деятельностью, прогнозирование, стратегическое и календарное планирование, принятие различного рода управленческих решений, а также контроль людских, материальных и денежных ресурсов для корректировки решений, своевременной подготовки использования резервов в случае необходимости.
Основным требованием к системе информации является то, чтобы она при минимальных данных достаточно полно характеризовала состояние контролируемых системой управления предприятия всех видов процессов.
Кроме этого к ней предъявляются следующие требования:
1.Обеспечивать устойчивость производственно-экономической сис темы при заданных стратегических и оперативных решениях.
2.Обеспечивать работу производственной системы в условиях неоп ределенности окружающей среды.
3.Создавать возможности для организационных изменений в системе управления при существенных изменениях ситуации в окружающей среде.
4.Обеспечить своевременную оценку окружающей среды для созда ния условий эффективного функционирования предприятия.
5.Сочетать подцели системы управления для наиболее эффективно го выполнения главной цели функционирования предприятия.
6.Обеспечивать прогнозы и подготовку к возможным изменениям производственной системы.
7.Обеспечивать адаптацию предприятия к окружающей среде.
8.Обеспечивать разумное поведение системы управления предпри ятием.
Система управления предприятием может быть отражена с позиций ее элементов, свойств объекта управления, входных и выходных данных.
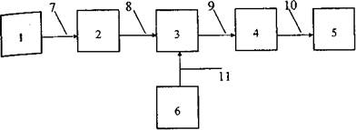
Структурно систему управления в целом характеризует кибернетический блок, показанный на рис. 1.1:
Объект управления
iv.
Орган управления
*вых
Рис. 1.1 Схема системы управления.
X - миссия, целевая функция объекта управления,
2, - неуправляемые воздействия на объект,
22
- компенсирующие управляемые воздействия на объект,
Я - результаты деятельности объекта
К» - информация управляющих воздействий органа управления,
!„; - информация обратной связи,
1К
- входная информация внешней среды,
1ВЬК
- выходная информация во внешнюю среду.
Система управления - это структура, функции элементов и информация, циркулирующая как внутри функциональных элементов, так и между элементами системы управления и внешней средой.
Система информации предназначена для точного информационного отражения деятельности объекта управления и взаимодействия его с внешней средой.
Содержание управленческой информации составляет логический смысл передаваемых сведений об объекте, а форма сообщений представ-
14
15
ляет структуру, отражающую взаимное расположение символов, используемого языка или вид представляемой информации.
Одной из главных задач анализа информационной системы является измерение информации, так как измерять ее, как рекомендует теория информации, в двоичных единицах бессмысленно. Обычно в практике количество информации определяется на содержательном уровне, т.е. на уровне структурных единиц информации, которые имеют логический смысл. В связи с этим, вместо количества информации используют объем информации, измеряемый в знаках, реквизитах, сообщениях, показателях, документах и т.д.
При анализе информационной системы приходится учитывать то, что между структурой, функцией и информацией не существует однозначного соответствия. Любая функция может выполняться целым классом структур при наличии различной информации.
В этой связи анализ может решать две задачи:
определение возможных потоков информации по данным функциям системы управления;
определение функций по заданной входной и выходной их информации.
При решении указанных задач следует учитывать также принцип внешнего дополнения, который предопределяется структурой и функциями.
Синтез информационной системы включает устранение дублирования в потоках информации, сведение к минимуму объемов первичной информации, а также рационализацию потоков информации, ориентированную на конкретные функции элементов структуры системы управления.
Процесс синтеза информационной схемы состоит из следующих этапов:
Изучение существующих потоков информации.
Построение функциональной схемы системы управления.
Анализ структуры и функций управления.
Построение предполагаемой схемы системы управления.
5. Построение структурной схемы для функциональной схемы создаваемой системы управления.
Определение рациональных потоков информации.
Синтез рациональных потоков информации.
Построение схемы потоков информации по структуре системы управления.
1.3 Формирование первичной информации.
Производственно-управленческая система является динамичной, изменения в которой неизбежны. Поэтому для осуществления управления необходимо периодически или непрерывно оценивать состояние объектов управления для внесения необходимых коррективов в соответствии с изменениями окружающей среды или самих объектов. Так, например, необходимо следить за тем, является ли выпускаемая продукция приемлемой для потребителя. При этом управление осуществляется на основе информации, формирующейся по принципу обратной связи, что является весьма существенным для построения управленческой информационной системы. Часто работники системы управления не имеют четкого представления о будущих ситуациях, в силу чего они полагаются на информацию о прошедших ситуациях, которые оцениваются ими с задержкой во времени. Обычно системы учета и отчетности ориентированы на выдачу информации о том, что происходило в прошлом, а не о том, что произойдет в будущем. Поэтому переоценка принципов построения информационных систем с ориентацией на оценку будущих состояний, на принятие решений может обеспечить прогресс в развитии и организационном изменении системы управления предприятием.
Первичную информацию могут формировать сотрудники или технические средства. При формировании информации может происходить первичное ее преобразование с использованием квантования, кодирования, декодирования, масштабирования, классификации, приведения к единой форме цифровых сигналов.
При съеме информации об объекте имеем две энтропии (неопределенности) - измеряемого параметра и устройства (сотрудника) съема информации.
Величина совместной их неопределенности определяется выражением: Н(х,у)=! Р(х;,у01о§Р(х„У|
)
|=Ч
В самом процессе съема приращение информации равно I = Н(у) - Н(у/х)
Слагаемое Н(у/х) не дает дополнительных сведений об объекте X, а отражает лишь свойства системы данных, т.е.
Н(у) - Н(у/х) = Н(х) - Н(у) - Н(х,у)
При корреляции между х и у, равной единице, неопределенность при съеме информации отсутствует, т.е. Н(х,у) = Н(х)=Н(у) Н(у/х) = 0, 1 = Н(у)
16
П
Другими словами, вся информация, которая имеется в распоряжении устройства (сотрудника), будет полезной.
В связи с этим Н(х/у) = 1(у/х) - представляет собой величину избыточной информации.
В большинстве случаев устойчивая работа систем управления обеспечивается путем систематического создания новых, более эффективных алгоритмов контроля и управления. Этими алгоритмами предусматривается использование и выдача новых информационных потоков, представляющих собой комбинации существовавших сведений или дополнительное введение новых. Новые потоки могут создаваться также при изменении целей и критериев функционирования системы управления, ее структуры, функций, элементов, внедрение новых технологических средств управления, а иногда даже при замене сотрудников в подразделении. Старые, ранее установившиеся информационные потоки часто продолжают функционировать, что порождает дублирование, неполное использование части информации и снижает экономическую эффективность работы системы управления. Раз введенные форматы документов в каналы передачи информации отмирают с трудом через продолжительное время после того, как в них исчезла необходимость. Информационные системы имеют свойство накапливать неиспользованные потоки данных. Наоборот, вновь созданный орган управления обычно долго не может наладить систему сбора необходимой информации. Свойство консервативности информационной системы должно учитываться при анализе и создании автоматизированных систем управления.
Понятие необходимой и достаточной информации возникает из-за необходимости удовлетворения определенных показателей в условиях изменения окружающей среды. В таких случаях при проектировании информационных потоков необходимо предусматривать доведение информации об изменении параметров до сведения лиц, принимающих управленческие решения. Указанные лица должны своевременно оценивать получают ли они необходимую и достаточную информацию для принимаемых ими решений. При определении необходимой информации статистического характера, а также параметров, значение которых оцениваются по выборке, используются известные методы расчетов среднего значения, вероятности, доверительного интервала, дисперсии и другие характеристики. С использованием указанных методов можно определить необходимую частоту контроля объекта, размеров выборок сообщений, правила анализа данных.
Получение необходимой информации связано с определенными затратами, поэтому надо сопоставлять эффект сведений и ожидаемые потери от возможных ошибок при недостаточной информации. Время получения сведений должно быть увязано с временем принятия решений. В том случае, когда интервал изменений значений параметра нельзя определить, для каждого параметра полезно строить графики статистического контроля.
Такие графики облегчают обнаружение тенденций и других неслучайных колебаний значений параметров.
В системах управления имеет место совокупность информационных потоков, большая часть которых соответствует совокупности имеющихся данных, а меньшая - потокам отфильтрованной и обобщенной информации, которая используется в принимаемых решениях. Увеличение потоков информации не способствует улучшению ее практического использования. В системе управления часто наблюдается перенесение на более высокие уровни управления задач, которые должны решаться низшими уровнями. Это приводит к перегрузке информацией верхних уровней управления. При нерациональном распределении управленческих функций происходит увеличение плотности информационных потоков и рост объема неиспользуемой и дублирующейся информации.
Неиспользуемая информация - это информация за прошедший период, которая уже известна и включается в формы и сводки из-за сложившихся традиций, из-за нечеткого понимания функций, а также из-за того, что сведения не меняют своего содержания в процессе функционирования объекта.
Информация эффективно используется, если она представлена в минимальном и достаточном объеме, более концентрирована, своевременна и соответствует решаемым задачам.
При проектировании информационных потоков надо учитывать, что они используются в подсистеме общей системы организационного управления и органически входят в нее как составная часть. Поэтому, формируя потоки, надо знать цели, критерии, задачи, алгоритмы их решения и взаимосвязи задач. Затем надо для каждой задачи определить необходимую информацию, установить источники, построить схему передачи, поиска и хранения, а также что с ней в дальнейшем происходит. Так, например, ее можно кодировать, сжимать, обобщать, включать в документы или использовать только для выработки управленческих решений.
К проектированию систем сбора, переработки и использования выходных результатов следует применять системный, комплексный подход, что обеспечит высокую эффективность информационной системы.
Система информации в конечном счете должна обеспечивать необходимой информацией в требуемые сроки и в удобной для использования форме все элементы организационной структуры, а также создавать требуемый механизм контроля и регулирования.
18
19
1.4 Требования, предъявляемые к информационному
обеспечению системы управления
Информационное обеспечение решает вопросы подготовки данных о производстве, сбыте, поставках, финансировании; формирования исходной информации в массивы; ввод массивов в ЭВМ, организацию машинных массивов; обеспечения управленческих задач алгоритмами и машинными программами, а также формирования выходной информации.
К информационному обеспечению предъявляют следующие требования:
однозначность представления исходных данных;
совместимость исходного массива с программами обработки его на ЭВМ;
возможность оперирования машинными носителями информации в пределах технических ограничений ЭВМ, средств оргтехники и связи;
непрерывное соблюдение соответствия между состоянием объектов управления и его отображением в машинных массивах;
идентификация объектов управления на формализованном обозна чении их, установленном едиными системами ведения производственной, технической и служебной документации;
разработка на типовых методиках и формах работы с информацией на всех участках ее циркуляции;
использование типовых методик и инструкций по разработке ал горитмов и машинных программ.
Организация подготовки информационной системы для управления предприятием с использованием ЭВМ включает:
разработку единой методики идентификации объектов и процессов;
установление набора объектов и их систематизацию;
определение состава информационной базы и ее внешних связей;
разработку типовой схемы обмена данными между ЭВМ и сотруд никами;
создание единой общесистемной схемы хранения информации и обеспечения ею решаемых задач;
представление на обычных носителях информации данных, при годных для ввода в ЭВМ;
динамический характер наращивания емкости информационной базы;
- обеспечение необходимыми данными всех задач, решаемых для управления предприятием.
Информационная система - это средство организации информационного обеспечения процессов управления, способствующее своевременному поступлению необходимой и достоверной информации во все звенья системы управления, нуждающиеся в ней.
Другими словами, информационная система - это совокупность средств и методов, обеспечивающих реализацию всего комплекса операций по осуществлению процесса управления необходимой информацией.
Информационная система включает следующие элементы:
- информационные ресурсы - массивы данных, архивы, методики, инструкции, машинные программы и документы;
материальные ресурсы - носители информации, технические средства сбора, передачи, обработки и представления информации;
каналы циркулирования информации - контингент работников, средства связи, средства хранения.
Информационная система характеризуется следующими параметрами:
объем массивов информации;
пропускная способность каналов передачи информации;
способность хранения единицы информации;
время реакции системы на информационные работы;
уровень безотказности технических средств;
быстродействие поиска, передачи и оперативности в информаци онной работе;
комплекс решаемых системой задач управления.
1.5 Повышение уровня достоверности информации
Под достоверностью информации понимают степень адекватности отражения ею реальных ситуаций или процессов. Достоверность информации зависит от наличия в ней ошибок, искажающих действительные параметры, факторы и показатели. Чем больше ошибок, тем менее достоверной считается информация.
В управляющих системах информация движется от источника к потребителю, претерпевая различного рода преобразования. При передаче, хранении или обработке дискретной последовательности появление искажения хотя бы в одном символе ведет к тому, что последовательность считается искаженной.
Так как появление искажений носит статистический характер, то качество передачи дискретной последовательности можно характеризовать вероятностью появления в ней искаженных символов. Эта вероятность выражается отношением числа искаженных символов в достаточно длительной последовательности к числу символов этой последовательности, т.е.
п Р = нт
--
°-кс
д
Тогда вероятность появления неискаженного сообщения или достоверность информации определяется соотношением
20
21
0=1 -Р
Если информация представляет непрерывную последовательность, то для характеристики ее искажения используется величина, являющаяся функцией отклонения неискаженной функции времени {(I) от искаженной. Обозначим ее Г„ (I).
Обычно в качестве величины отклонения выбирается наибольшая величина абсолютного значения разности этих двух функций на всем отрезке времени.
Е = [ОД-Ш1
Если величина не превосходит некоторого порогового значения, то информация представленная функцией Г„ (1), считается неискаженной. Если же превосходит Е, считается, что информация представленная С„ (I) искажена.
Искажение информации происходит из-за помех. Помехой называют постороннее возмущение, действующее в системе управления, препятствующее правильной передаче, хранению, преобразованию и представлению информации.
Помехи создаются различными источниками, как внутри, так и вне системы управления. Это могут быть ошибки сотрудников, электромагнитные процессы, радиоизлучения, тепловые процессы, специально создаваемые помехи.
Оценка достоверности информации способствует выявлению узких мест в информационной системе и конкретных виновников ошибок, что необходимо для повышения качества управленческой работы и для совершенствования коммуникаций контроля.
Выявление недостоверной информации может осуществляться на основе сбора статистических данных об ошибках в течение длительного периода времени и на основе выборочных обследований структурных подразделений.
Массовые статистические наблюдения дают возможность выявить количество и структуру ошибок, а также причины их возникновения.
Наблюдения могут осуществляться как непосредственно работающими сотрудниками, так и сторонним персоналом.
Выборочные обследования проводят обычно научные сотрудники. Результаты обследования используются для проверки правильности ведения учета ошибок и получения данных по широкому кругу вопросов.
При обследовании выполняются следующие операции:
- проверка комплектования документов;
- проверка качества заполнения документов;
- логический контроль документов;
- контроль данных, принимаемых по каналам связи;
- контроль результатов расчетных операций, производимых на ЭВМ и вручную;
контроль машинных носителей информации;
контроль размножаемой документации;
выявление недостоверной информации, получаемой из ЭВМ. Возможные ошибки в информационной системе:
отсутствие отдельных документов в комплектах;
лишние документы в комплектах;
ошибки в сопроводительных документах;
пропуски и лишние признаки в первичных документах;
перестановки признаков в документах;
смещение записей с отведенных мест;
нечеткое заполнение документов;
использование ошибочных шифров признаков;
- ошибки, связанные с пропуском цифр, их перестановкой, неверным отображением и др.;
- ошибки, связанные с приемом поступающих массивов бланков и машинных носителей информации;
- ошибки, обусловленные работой ЭВМ: нечеткая и неправильная печать, расхождения в таблицах и в одноименных показателях по разным таблицам.
Характерные причины ошибок:
- отсутствие инструктажа по составлению документов;
- сложность построения шифров;
- по вине исполнителей (небрежность, невнимательность и т.д.);
- неправильное комплектование документов;
- недостатки в организации рабочих мест;
- сложная форма построения документа;
- отсутствие балансового контроля цифровых данных;
- неисправности в работе ЭВМ, средств связи и оргтехники;
- низкое качество применяемых носителей информации.
Требование достоверности данных является существенным для любой системы управления, но для автоматизированной оно является жизненно необходимым. Это объясняется значительным объемом обрабатываемых данных и широким использованием технических средств. Если при ручной обработке данных можно проверить работу каждого сотрудника, то при использовании ЭВМ такая проверка практически исключена. Здесь необходима система методов, контроля и повышения достоверности. Такая система может состоять из трех групп мероприятий:
системные или организационные;
программные;
аппаратные.
22
23
Мероприятия первой группы применимы как при ручной, так и при автоматизированной обработке данных, остальных групп только для автоматизированной.
К системным мероприятиям относится выбор и применение рациональных методов обработки данных и контроля их достоверности, а также оптимизация структуры обработки. Рациональные методы обработки данных включают использование специальных приемов, ускоряющих обработку и уменьшающих возможность ошибок. Это заранее подготовленные расчетные таблицы, графики, номограммы, шаблоны-маски. Сюда относятся также мероприятия по поддержанию характеристик средств в заданных пределах и повышение культуры обработки данных. Главное средство борьбы с ошибками - их профилактика, что предполагает организацию повседневного и систематического учета ошибок, их обсуждение и материальное поощрение за снижение уровня ошибок. Одновременно должны быть выработаны меры ответственности, компенсирующие материальный ущерб из-за ошибок. Для работников аппарата управления должны создаваться благоприятные условия работы, повышения квалификации и деловых навыков.
Программные методы повышения достоверности обработки информации состоят в том, что при составлении процедур обработки на ЭВМ предусматривают дополнительные операции, имеющие математическую или логическую связь с алгоритмами расчетов. Примером могут быть счетные методы контроля, двойного счета или обратного счета, контрольных сумм, усеченных алгоритмов, использования избыточности информации, логические и экспертные методы.
Аппаратные методы, связаны с выявлением ошибок, обусловленных работой оборудования. Эти методы аналогичны программным, однако обеспечивают непрерывный контроль и указывают ошибку в момент ее появления.
Чтобы достичь заданной или максимально возможной достоверности, обычно используют комбинацию нескольких методов.
Из числа многих мероприятий, способствующих решению проблемы повышения достоверности информации следует
1.Определение и применение нормативов необходимой достоверно сти информации.
2.Выбор рационального технологического процесса обработки и пе ремещения информации.
3.Совершенствование технического оснащения рабочих мест сред ствами высокого уровня достоверности обработки и перемещения инфор мации.
1.6 Хранение информации
От момента формирования информации источником до момента ее использования всегда проходит некоторое время, иногда небольшое, а иногда довольно значительное. В зависимости от того, как меняется ценность информации во времени, надо обеспечить соответствующую длительность ее хранения. Любую информацию надо хранить до тех пор, пока она представляет собой ценность. Вместе с тем, не следует хранить информацию, потерявшую всякую ценность.
Информацию долговременного хранения надо записывать на долговечный носитель, а для краткосрочного использовать более дешевый носитель, либо допускающий многократное использование путем стирания старых записей и нанесения на это место новых, что также обеспечивает небольшую стоимость хранения информации.
При определении срока хранения информации, вида носителя и способа записи надо уметь прогнозировать изменение ценности записываемых сведений во времени.
Другой важной характеристикой информации, влияющей на способ ее хранения, кроме ценности, является частота использования. Чем чаще нужны сведения, тем быстрее их надо получать. Наоборот, для редко используемых сведений допустимо большее время поиска или обращения к ним.
Устройства для хранения информации в ЭВМ называют памятью. Наиболее распространенным является хранение информации на магнитных носителях. Память бывает ЭВМ внешняя и внутренняя или оперативная. Внешняя память дешевле оперативной и обладает большим объемом, но обращение к ней занимает гораздо большее время. Оперативная память является краткосрочной, после решения очередной задачи данные либо стираются, либо выводятся во внешнюю память. В качестве таковой в ЭВМ используются магнитные ленты. В качестве долговременной памяти используется запоминающее устройство - архивная память. Носителем информации в такой памяти является металлическое покрытие, нанесенное на тонкое пластиковое кольцо. Для записи и считывания используется луч лазера.
Современная тенденция заключается в стремлении к централизованному хранению информации и выдаче ее пользователю по каналам связи по мере необходимости. Такая память имеет иерархическую структуру в соответствии с уровнями решения задач управления.
Внутри каждого узла управления, оснащенного одной или несколькими ПЭВМ, память по функциональному признаку разбивается на три класса: рабочая, промежуточная и архивная память.
Память системы в целом можно представить в виде треугольника. Уровни памяти, расположенные у вершины треугольника, имеют небольшое время доступа, но ограничены по объему и дороги. Уровни памяти,
24
25
размещенные ближе к основанию треугольника, обладают противоположными характеристиками.
Оптимальное размещение информационных массивов сводится к решению следующих задач: распределения информационных массивов между ЭВМ, распределение информационных массивов по уровням и типам устройств памяти каждой ЭВМ, распределение записей массива в пределах объемов однотипной памяти одного уровня на одном носителе.
При решении указанных задач учитывается стоимость хранения информации в памяти, стоимость обмена информацией между уровнями, быстродействие, среднее время обмена информацией и среднее время обращения к массиву.
Для записи информации и извлечения ее из массивов необходимо проводить так называемые обращения к массивам и определенную их обработку. Обращения бывают справочные и корректирующие. Справочные обращения состоят в выборе записи или группы записей, обладающих определенным признаком, извлечении их из массива и при необходимости - совместной обработки этих записей. Под корректирующим обращением понимают внесение изменений в записи массива, исключение записей в введение новых.
Информационный массив, элементы или записи которого снабжены признаком, называют упорядоченным. Под организацией массива понимают упорядочение его элементов по какому-либо правилу в зависимости от поставленных условий.
Группа записей в массиве образует блок - единицу обмениваемой информации за одно обращение к ЭВМ. Каждый блок имеет идентификатор, т.е. название и признак - ключ. Обычно это максимальный номер записи в данном блоке.
В организации массивов имеются два уровня - записей внутри блоков и блоков внутри массивов. Распространение получили так называемые индексные массивы, под которыми понимаются массивы, состоящие из записей малого объема, каждой из которых соответствует запись большого объема в основном массиве.
Кроме указанных методов организации массивов применяют цепную организацию массива, ветвящуюся (иерархическую) и списочную.
При цепном способе в каждой записи содержится адрес следующей записи, которая может быть расположена в любом носителе.
Массивы с ветвящейся или иерархической организацией являются дальнейшим развитием цепного метода.
Списочная организация массива, при которой размещение записей не зависит от их логических связей в массиве, в наибольшей мере приспособлена к изменению структуры или содержания записей. Любой элемент списка легко развернуть в самостоятельный список.
Наиболее развитым способом организации памяти является страничная обработка и сегментация. При этом программа или блок данных делится на секции, называемые страницами.
Программа обычно состоит из основной части, нескольких подпрограмм и одного или более разделов данных. Каждая из этих единиц в отдельности называется сегментом. В каждом сегменте устанавливается своя собственная нумерация слов.
Автоматическая компоновка различных сегментов осуществляется программами, называемыми загрузчиками или ассемблерами. Эти программы выполняют функции распределения памяти и модификации адресов для сегментов.
При работе ЭВМ в многопрограммном режиме в оперативной памяти одновременно находится несколько программ. В результате не исключена возможность искажения тех зон памяти, в которых находятся другие рабочие программы или расчетные данные. Поэтому информационные массивы, хранящиеся в памяти ЭВМ, должны быть защищены от случайных или преднамеренных попыток их искажения или неправильного использования.
По степени доступности информационные массивы делят на три группы - общие, групповые, индивидуальные.
К общим относят стандартные программы, трансляторы и различные данные, к которым обеспечен свободный доступ для использования. Здесь может иметь место только ограниченное стирание и запись.
Групповые массивы создают тогда, когда одни и те же исходные данные нужны для решения ряда задач. Условия доступа к таким массивам более строгие чем к общим. Здесь решения принимаются пользователями коллективно. Индивидуальный массив предназначен для одного пользователя. Здесь может быть секретный и достаточно важный характер информации, поэтому защита будет от считывания другими пользователями и от разрушения или искажения массива.
Каждый массив имеет специальную контрольную зону, в которой содержится информация об особенностях доступа к нему. Одним из методов защиты памяти ЭВМ является защита "по ключу". Условный ключ может меняться по мере необходимости. Ключ представляет собой запись нескольких двоичных разрядов. Доступ к программе открыт, если при сравнении кодов есть совпадение.
26
27
Глава 2. ИНФОРМАЦИОННЫЕ ПОТОКИ
2.1 Формирование информационных потоков
Источник информации это элемент информационной системы, способный распознавать состояние управляемого объекта и внешней среды и вырабатывать сообщения, однозначно описывающие эти состояния. Источники информации о состоянии внешней среды не обязательно входят в состав информационной системы.
Источником информации может быть человек или технические средства. Основной характеристикой источника информации является так называемый поток информации, определяемый как количество информации, вырабатываемой источником в единицу времени. Например, количеством символов в единицу времени. Производительность источника не всегда определяется его скоростными способностями, чаще частотой изменений наблюдаемых им состояний. В некоторых случаях сообщение формируется в течение длительного промежутка времени, значительно большего, чем требуется для его передачи. При этом возникает задача накопления формируемого источником сообщения в некоторой промежуточной (буферной) памяти, а затем передача его с максимально возможной скоростью. Чтобы рассчитывать информационную систему с учетом различия источников информации используются такие их характеристики, как активность, определяемую отношением времени передачи сообщений к общему времени работы источника, и коэффициент одновременности, учитывающий совпадение моментов работы нескольких источников.
Так как сообщения для системы управления не имеют одинаковой ценности, то вводится приоритетность на передаваемые сообщения. Информацию передает источник потребителю, поэтому он должен знать, устанавливая приоритетность, что важнее для потребителя информации в каждый конкретный момент. Наконец, важной характеристикой источника является уровень достоверности информации, которую он передает в каналы связи. Достоверностью определяется степень доверия к данному источнику информации.
Первичная обработка информации является самостоятельным этапом, предшествующим непосредственному использованию данных для решения задач управления.
Одной из основных задач этого этапа является контроль достоверности данных. Вместе с этой задачей первичная обработка решает такие задачи, как преобразование данных к виду, удобному для дальнейшего использования; представление данных с одинаковым уровнем точности; группировка данных по различным признакам, в том числе и по временному.
В практике находит применение способ ввода информации со штрих-документов, т.е. специальных бланков, в которых информация на-
носится для чтения человеком и ЭВМ одновременно. Читающие устройства позволяют вводить информацию в ЭВМ с таких бланков со скоростью десятки тысяч бланков в час.
Промежуточными носителями информации являются перфокарты, перфоленты и магнитные ленты. Наметилась тенденция отмирания использования таких носителей, но пока они широко используются для ввода данных в ЭВМ, например в ИВЦ. Вместе с тем развивается тенденция ввода информации в ЭВМ голосом и сканированием.
2.2 Информационное обслуживание
В информационном обслуживании практически всех систем управления выделяют три уровня: философские принципы, политику и структуру.
Философские принципы информационного обслуживания базируются на общих целях коммуникаций, которые обязательны для остальных двух уровней. Эти принципы включают принципиальные установки участников коммуникаций, организацию информационного обслуживания и прочие основные требования к коммуникациям.
В свою очередь принципиальные установки охватывают отношения доверия и открытость к нововведениям.
Отношения доверия позволяют установить откровенный обмен мнениями, подкрепляемые чистым и открытым обменом информацией.
Этот принцип находит конкретное выражение в ряде правил в практике информационного обслуживания, включая такие, как отказ от предоставления ложной информации, гарантия ее точности, периодичность обмена, сопоставимость данных, разграничение между фактическими и оценочными данными, предоставление необходимых плановых, нормативных и оперативных данных.
Открытость к нововведениям обеспечивается хорошо налаженной службой информации нововведения, не только разрешенной, но и поощряемой. При разных видах общения и в ходе принятия и реализации управленческих решений должна создаваться атмосфера, способствующая признанию всего нового.
В организации информационного обслуживания должны реализовываться такие принципы, как ориентация потребителя, обеспечение уровня достаточности информации и степени ее регламентации, а также увязки с внешней информационной системой фирмы. Ориентация на потребителя предполагает представление информации, ориентированной на его реальные запросы и степень удовлетворения потребности в информации всеми членами коммуникаций с учетом их адресности и функциональной деятельности.
Обеспечить уровень достаточности информации по структуре и содержанию затруднительно, так как потребителю представляется обычно имеющаяся в наличии избыточная или недостаточная информация. Чтобы
28
29
сделать ее неизбыточной и достаточной для потребителя, надо отслеживать его изменяющиеся потребности и осуществлять корректировку передаваемых данных. Степень регламентации должна быть рациональной. Изменения регламентации снижает гибкость, т.е. возможности реакций на особые ситуации. При этом возникает опасность формализма и срыва сроков выполнения заданий. Недостаточная регламентация приводит к тому, что появляется несущественная, в том числе избыточная информация. Рациональная регламентация является важным условием качественного информационного обслуживания.
Увязка с внешней информационной системой необходима по той причине, что любая фирма является элементом региона, страны или какого-либо объединения. Поэтому информационный обмен должен организовываться как обмен в отдельной части более крупной информационной системы. К обслуживанию предъявляются требования равномерности распределения, обзорности и оптимизации времени потребителя.
Равномерность распределения данных вытекает из статусов сотрудников и положений о подразделениях и фактическим их участием в реализации конкретных управленческих функций. При этом предполагается не равная информированность, а предметная.
Обзорность информации предполагает наличие возможности общего охвата информации при наличии детализированной информации предметного характера.
Оптимизация времени потребителя состоит в предоставлении ему выбора относительно времени использования информации в соответствии с регламентом его работы.
Информационная политика включает право на получение и использование информации, обязанности по информированию, формальные и неформальные мероприятия, содержание информации, формы и сроки ее представления, релевантность и другие информационные показатели.
Сотрудники могут получать информацию не только от руководителей и подчиненных, но и от других ответственных работников. Могут иметь доступ к различным документам предприятия и организаций внешней среды.
При использовании информации на каждого сотрудника возлагаются определенные обязательства. Например, активность использования, контроль надежности сведений, сигнализацию о нехватке и неполноте сведений, требование дополнительности сведений и др.
В числе формальных и неформальных мероприятий информационной политики регулярные совещания по стратегическим проблемам фирмы, встречи руководителей верхнего уровня с сотрудниками фирмы, в процессе которых устраняются различные неясности и обсуждаются специальные вопросы. Информационный обмен может иметь форму неформальных мероприятий, не обусловленных сроками и конкретными вопросами.
По содержанию информация классифицируется по признаку интересов пользователя: хозяйственная деятельность, кадровая политика, развитие предприятия, стимулирование, организационная культура, социальные проблемы, внешние аспекты деятельности фирмы и др.
Форма представления информации различна, но чаще в письменном виде: тексты, таблицы, графики, докладные записки, отчеты, акты, протоколы, технико-экономические обоснования, обзорное представление, комментарии, обобщения, выводы. Информация должна излагаться на понятном языке без узкоспециальных терминов.
Что касается сроков представления информации, то они выбираются такими, чтобы обеспечить заблаговременную поставку необходимых данных до намеченного мероприятия. Своевременной информацией считается такая, которая оставляет потребителю достаточно времени для реакции на нее. Информация должна быть актуальной. Своевременности отдается предпочтение даже перед ее точностью.
В системе управления не должно быть банальной информации. Вся информация должна быть действительно релевантной, т.е. соответствующей по содержанию смыслу и значению решаемых задач. При этом потребитель считается полностью информированным, если он получил всю релевантную информацию. Вся информация, полученная потребителем, должна быть использованной.
Должно иметь место определенное равновесие между объемами представления информации и возможностями ее переработки.
Среди многих показателей информационного обслуживания необходимо выделить данные, позволяющие готовить и оценивать альтернативные решения. В этом плане в информации должны содержаться частичные суждения по наиболее значимым темам. Наконец, информация не должна быть перегружена рутинными отчетами, для этого надо пользоваться дополнительными специальными отчетами.
На структурном уровне технико-технологическая система информационного обслуживания строится с использованием следующих принципов:
1. Однонаправленный поток информации реализуется через каналы интерактивной двусторонней коммуникации между руководством фирмы и ее управляющими и специалистами.
2.Системы с принятыми носителями информации, документацией для внутрифирменных характеристик соединяются с системами с утвер жденными носителями информации, документацией для опережающей информации о внешней среде.
3. Компьютерные системы, обеспечивающие обширную оперативную информацию делают ее насыщенной, гибкой и доступной пользователям.
4. Акцент на периодически сопоставляемые производственно- экономические документы преобразуют в акцент на непрерывное планирова ние, охватывающее производство, проекты, развитие различных ресурсов.
30
31
Информационное обслуживание подвергается влиянию многочисленных факторов. Условно их можно объединить в пять групп: факторы уровня учредителей, уровня руководства фирмой, обусловленные концентрацией акционерного капитала, общефирменного характера и прочие.
В свою очередь на уровнях учредителей и руководства фирмы выделяются такие факторы, как особенности их членов (личные способности, знания, жизненная позиция и др.) совместимость, уравновешенность коалиций, размеры и структура системы управления, решаемые задачи, уровень активности, мотивация. Важнейшим из факторов являются концентрация акционерного капитала, так как держатели акций злоупотребляют полномочиями и нарушают права в области информационного обслуживания.
В группу факторов общефирменного характера входят: размеры предприятия, диверсификация производственной деятельности, степень интернационализации, внутрифирменная структура, доля на рынке, рыночная динамика, общее положение предприятия.
Среди прочих факторов следует указать совместимость членов Совета учредителей и главных руководителей фирмы, личные способности и позиции секретарей, референтов, аудиторов и др., а также правовое регулирование в информационном обслуживании.
2.3 Сжатие информации в информационных потоках
Под сжатием информации понимается сокращение ее объемов до некоторого допустимого предела, не ощущаемого потребителем в процессе управления. Сжатие сводится к фильтрации информации и выделению из нее существенных сведений, которые действительно необходимы потребителям информации. Смысл процесса сжатия информации состоит в изучении статистических и других ее свойств, оценке на основании этого обмена циркулирующей информации и проявлении ее материально таким образом, чтобы длина сообщений равнялась созданному объему информации.
Предпосылкой для сжатия информации является следующее.
Символы сообщений не равновероятны, что обычно наблюдается в действительности. В связи с этим сообщение определенной длины I
*
имеет энтропию (количество информации), приходящуюся на один символ Н| < 1-^ . Это означает, что при используемой энтропии Н] можно было бы получить такое же количество сведений при меньшей длине сообщений, чем в случае равновероятности всех этих сообщений. Величина, на которую удлиняется сообщение, представляет собой избыточность по сравнению с минимальной длиной сообщений, потребной для передачи данной информации.
Избыточность информации определяют коэффициентом избыточности
г. 1 **
I
и устраняют кодированием, т.е. однозначным преобразованием одной последовательности символов в другую последовательность. При этом часто встречающимся сообщениям ставят в соответствие более краткие кодовые комбинации, а редко встречающимся - более длинные.
Пусть некоторое сообщение состоит из п символов и имеет вероятность появления р. При перекодировке этого сообщения в новое сообщение, имеющее т символов, коэффициент сжатия будет равен т/п.
Среднестатистическая величина этого отношения для п-символьных сообщений равна
Тогда предел значения ц при п — » оо называется коэффициентом сжатия при данном способе кодирования сообщений.
Способы сжатия информации можно классифицировать следующим образом:
1 . По виду элемента, на котором осуществляется сжатие: побуквен-ное, пословное, по словосочетаниям и фразам, по текстам.
2.По характеру операций сжатия: неравномерное кодирование символов алфавита, укорочение символа, аббревиатуры, устранение символов, унифика ция сообщений по источнику и потребителю, более плотная упаковка, анноти рование, индексация, реферирование, библиографическое описание.
3.По характеру взаимосвязи элементов информации: статистическое кодирование, разностное кодирование, апертурное сжатие, сжатие с учетом вероятностных свойств сообщений, комбинаторное сжатие, рационализация форм документов, сокращение протяженности потоков информации.
Статистическое кодирование представляет собой сокращение среднего числа символов, передаваемых в кодах от источника до потребителя. При кодировании элементам сообщения с высокой вероятностью ставятся в соответствие более короткие кодовые комбинации.
Зная статистические свойства источника сообщений, можно минимизировать среднее число двоичных символов, необходимых для выражения одного элемента сообщения. В основу статистического кодирования положена теорема К.Шеннона, в соответствии с которой каждый символ сообщения должен принимать значения 0 и 1 с равными вероятностями, а каждый выбор должен не зависеть от значений предыдущих символов.
Способ статистического кодирования рассмотрим на конкретном примере.
Пусть необходимо сжать информацию об осуществлении учета складских материалов. Перечень материалов и вероятности запроса на них показаны в табл. 2.1.
32
33
Таблица 2.1
| Наименование материала
|
Вероятность запроса
|
Традиционное кодирование
|
Статистическое кодирование
|
| код
|
кол-во символов
|
код
|
кол-во символов
|
| 1 . Бензин
|
0,15
|
0
|
1
|
11
|
2
|
| 2. Керосин
|
0,10
|
1
|
1
|
100
|
3
|
| З.Лес
|
0,15
|
10
|
2
|
1
|
1
|
| 4. Стекло
|
0,30
|
И
|
2
|
0
|
1
|
| 5. Гвозди
|
0,18
|
100
|
3
|
10
|
2
|
| 6. Краска
|
0,22
|
101
|
3
|
101
|
3
|
На представление всех сообщений о материалах с учетом вероятностей запроса необходимо в среднем использовать объем информации, определяемый формулой
где р! - вероятность запроса на 1-й материал,
т - количество двоичных символов в коде 1-го материала. Подставив значение таблицы в указанную формулу, имеем:
при традиционном кодировании О_т
=0,15х1 + 0,10x1 + 0,05x2 + 0,30x2 + 0,18x2 + 0,22x3= 1,97 бит
при статистическом кодировании Ос=0,15х2 + 0,10x3 + 0,05x3 + 0,30x1 + 0,18x2 + 0,22x1= 1,63 бит
Сокращение информации составит:
дг^.^,^,0,2 От
1,97
или 20%.
Разностное кодирование представляет собой отражение информации о характере и величине изменения наблюдаемого процесса за определенный интервал времени. Изменение - это отклонение фактического параметра от нормативного, эталонного или планового его значения.
Данный способ позволяет значительно сократить количество передаваемых символов, обеспечивает лучшее восприятие информации ее потребителем, повышает оперативность и качество управления процессами. Способ не применим в системах, где управление осуществляется по абсолютной величине параметра или показателя.
Эффективность способа тем большая, чем меньшая величина отклонения. Она оценивается по формуле:
где Дс1 - отклонение фактической величины от нормативной в момент времени I);
А -
фактическая величина параметра в момент 1(. М = Л(1<
)-а„(11
)
где й„ - нормативная, плановая или эталонная величина в момент времени I;.
Моменты времени съема фактической информации определяется предварительно исходя из условий протекания процесса. Если процесс слишком нестабильный, то такие моменты могут корректироваться в процессе мониторинга.
Суть апертурного сжатия состоит в устранении передачи тех сообщений, которые могут быть восстановлены путем анализа предшествующих или сопоставлением их с нормативными или эталонными сообщениями.
Основным критерием выделения избыточности является полоса допустимого отклонения, или апертура. Базируется апертурное сжатие либо на предсказании по предыдущим выборкам сообщений, либо на апостериорной интерполяции последующих выборок. При апертурном сжатии имеет место частично допустимая потеря информации. Потери информации возникают в результате пороговой фильтрации сведений в процессе сокращения избыточности.
Характерные черты апертурного сжатия - возможность восстановления исходной информации с требуемой для ее потребителя точностью, высокие коэффициенты сжатия, относительная простота реализации способа и высокая эффективность.
На практике могут использоваться три разновидности этого способа - с квантованием, априорной функцией и предсказанием.
Апертурное сжатие с квантованием представляет собой дискретизацию исходной непрерывной функции конечным числом точек. Минимальный объем сообщения обеспечивается в том случае, когда шаг квантования берется настолько большим, насколько это допустимо при условии, что потребитель не заметит искажения исходной функции в результате ее дискретизации.
Квантование можно осуществлять как по уровню показателей (параметров), так и по времени.
Примером применения этой разновидности апертурного сжатия является контроль за процессами производства. Квантование осуществляется одновременно по уровню параметров и по времени. Данный пример является наиболее распространенным в практике.
Апертурное сжатие с априорной функцией во многом аналогично разностному кодированию. Отличие состоит лишь в том, что информация о приращениях передается только в те моменты, когда отклонение текущих значений функции от заданного эталона превышают размеры установленной предварительно апертуры или допустимой зоны отклонений.
34
35
Апертура может иметь одинаковые и разные размеры, а также быть симметричной и асимметричной. Сведения, находящиеся в апертуре, считаются несущественными, поэтому не передаются потребителю.
Эффективность данной и предыдущей разновидности апертурного сжатия равна
э=1--
где ф - уровень фактического значения параметра, Д(1Ф
- передаваемая величина отклонения параметра в момент 1;
.
Апертурное сжатие с предсказанием осуществляется следующим образом. По предыдущим значениям выборок вычисляют величину следующей выборки. Если разность значений эталонной и фактической выборок находится в допустимых пределах, то считают предсказание правильным и устраняют значения фактической выборки. Если значения фактической выборки выходят за допустимые пределы эталонной, то осуществляют корректировку эталонной выборки с учетом имеющихся отклонений.
Эффективность данной разновидности апертурного сжатия равна
где Я„ - объем эталонной выборки, К„- объем избыточной выборки,
п„ , пц
- соответственно количество передаваемых эталонных и избыточных выборок,
п^р т'ср - соответственно средний объем передаваемой эталонной выборки и избыточной выборки в информационных символах.
Суть сжатия с учетом вероятностных свойств сообщений состоит в исключении из передачи выборок сообщений с наибольшей вероятностью появления.
Алгоритм сжатия рассмотрим на конкретном примере статистики показателей выполнения плана по рабочим дням месяца. Статистику и результаты ее обработки проиллюстрируем таблицей 2.2.
Вероятности интервалов определены формулой
Р = —
т
где I - количество рабочих дней с выполнением задания на определенном уровне процентов,
Т - количество рабочих дней в месяце.
Таблица 2.2.
| Номер интервала
|
Проценты выполнения заданий в интервале
|
Вероятность интервала
|
Количество информации в сообщении, бит
|
| 1
|
до 90
|
0,02
|
5,62
|
| 2
|
90-94
|
0,02
|
5,62
|
| 3
|
95-99
|
0,10
|
3,32
|
| 4
|
100-104
|
0,75
|
0,41
|
| 5
|
105-109
|
0,08
|
3,64
|
| 6
|
110-119
|
0,02
|
5,62
|
| 7
|
120 и более
|
0,01
|
6,64
|
| Итого
|
1,00
|
30,87
|
Количество информации в сообщениях определено по формуле / = 1ое
,/>
где Р;
- вероятность 1-го исхода.
Из таблицы видно, что при меньшей вероятности исхода получаем большее количество информации, узнав о наступлении данного события. Известно также, что в практике управления незначительные отклонения от планового режима не требуют вмешательства руководства, И наоборот, малой вероятности значительные отклонения требуют оперативного вмешательства.
Учитывая это, исключим из передачи сообщений 4-й интервал, в результате на 75% сократим объем передаваемой информации. При этом снижение информированности руководителя снизится всего на 0,41 бит. В случае если таких интервалов окажется два и более, то можно устранить из передачи все, кроме одного любого.
Суть комбинаторного сжатия состоит в том, что неодинаковые элементы сообщения, имеющие различные позиции в выборке сообщения, заменяются новым информационным массивом с практически выгодным коэффициентом сжатия.
В основу способа, не ориентированного на статистические свойства сообщений, положен алгоритмический подход к понятию "количество информации" .
Задача сжатия в математической постановке описывается следующим образом.
Для исходного массива информации М= 1,2,..., т, где т - элементы массива, состоящие из одного, двух, трех и более чисел, найти такое преобразование Р, которое переводит этот массив в новый М" = Р(М) меньшей длины (т"< т) и с сохранением содержательности исходной информации, т.е. при существовании обратного преобразования М = Р(М").
Алгоритм решения задачи основан на использовании сочетаний, размещений и перестановок числовых совокупностей. Параметрами преобразованного массива являются номер и длина кортежа сообщений.
Например, исходный массив 547,935,438,648,237, 128,130 и т.д. преобразуется в N = 12489 и Ь = 127. Обратное преобразование осуществляется путем решения системы уравнений и неравенств. Оно позволяет получить все элементы исходного массива с учетом их позиций в выборке сообщений.
Область применения способа - учетные и отчетные данные, предназначенные для долговременного хранения и периодического использования. Учитывая сложность вычислительных операций и большее их количество, данный способ применим только на базе ЭВМ.
Формы массовых документов обычно соответствуют установленным ГОСТам, которые позволяют рассчитывать размеры документов по горизонтали и по вертикали.
Вместе с тем, при практическом использовании таких, например, документов, как бланк письма, требование, учетная карточка, накладная, размер бланков документов по вертикали диктует практическая статистика заполнения бланков. В этой связи их размер может быть рассчитан по вертикальному размеру строки, частоте заполняемости строк и по вертикальной величине призначной части документа.
Для установления рациональной формы таких документов необходимо изучить их выборку за определенный интервал времени, например, за месяц. По выборке определить частоты заполнения строк и построить диаграмму с координатами по горизонтали - количество заполняемых строк, а по вертикали - частота заполнения строк. Затем с правой стороны диаграммы исключить последовательно номер последней, предпоследней и т.д. строк и определить на какое количество документов при этом придется увеличить их общую численность из-за сокращения в них количества строк. Критерием выбора является состояние, когда общий размер всех документов после сокращения в них строк меньше размера используемых документов.
Сокращение протяженности потоков документированной информации осуществляется двумя путями: установлением и содержанием минимально необходимого, но достаточного количества документов для управленческой деятельности и повышением оперативности документооборота.
Для реализации указанных путей разработаны следующие рекомендации:
- использовать в управленческой деятельности рациональные графи ки движения информации;
- производить упорядочение документов в соответствии с номенкла турой дел;
- согласовывать формы и содержание документов, направляемых в два и более адреса использования;
четко использовать формирование и реализацию резолюций;
- определять порядок рассмотрения документов при отсутствии от дельных должностных лиц;
- своевременно тиражировать документы в соответствии с количест вом потребителей;
- рационально использовать время с учетом предварительной подго товки документа.
2.4 Совершенствование информационный потоков
Совершенствование информационных потоков в системе управления базируется на использовании следующего перечня рекомендаций, ориентированных на конечные результаты управленческой деятельности.
1.Терминология при формировании схем информационных потоков должна быть единой.
2.Информировать и получать информацию следует у того, кто свя зан с выполнением или подготовкой решения.
3. Чтобы не было незаменимых работников аппарата управления, следует унифицировать и описывать процедуру подготовки и прохожде ния документов.
4. Прежде чем готовить, принимать и исполнять решение, следует убедится в его необходимости.
5. Всякое управленческое решение должно готовится и реализовать ся с минимальными затратами средств.
6. Исполнитель должен быть заинтересован в качественном и свое временном исполнении решения.
7. Контроль исполнения должен быть двойным, работу контролеров также надо стимулировать и контролировать.
8.Однотипные, постоянно повторяющиеся решения должны кон тролироваться не в процессе исполнения, а по результатам с возложением максимальной ответственности на исполнителя.
9.Готовящий решение и его исполняющий должны быть достаточно о нем информированы.
10.Управленческое решение должны готовить и исполнять квали фицированные исполнители.
11.Исполнение решения следует поручать работникам, которые об ладают реальной возможностью выполнить его в установленное время.
12.При подготовке и исполнении решения сотрудникам в большей мере следует взаимодействовать по горизонтальным уровням управления, вышестоящих руководителей информировать только о результатах.
13.Следует не забывать что статистическая информация за длитель ный период важнее, чем сиюминутные сведения.
Вмешиваться в исполнение решения следует только в том случае, ко гда имеются отклонения, которые не могут быть устранимы исполнителями.
15.Источники первичной информации по одному и тому же реше нию должны быть едиными.
16.Первичные документы должны готовиться в минимальном коли честве экземпляров, передаваться в порядке подотчетности и храниться в архивах или в конечных контрольных подразделениях.
17.Документы следует конструировать таким образом, чтобы де тально не вчитываясь, можно было выносить оценочные суждения типа: хорошо, плохо, лучше, хуже и т.д.
18.Деятельность исполнителей не следует детально регламентиро вать, необходимо оставлять им возможность находить рациональные пути в организации своей работы.
19.При большом количестве документально оформляемых техноло гических процессов управления следует отдавать предпочтение стандарт ным решениям.
20.Каждое вновь принимаемое решение следует проверять на нали чие связи и непротиворечивости с ранее принятыми решениями.
21. Каждое управленческое решение следует проверять на надеж ность по исполнителям, техническим средствам и финансовым возможностям.
2.5 Рационализация режима обмена информацией
Производственно-экономическая информация отличается неравномерным возникновением во времени, поэтому процесс ее поступления в пределах определенного периода можно рассматривать как неравномерный. Это связано с наличием большого числа разнообразных факторов, оказывающих на него влияние. Для эффективного управления данным процессом представляется целесообразным математически описать его, используя известные в математической статистике законы распределения. Такое описание позволяет облегчить решение задачи прогнозирования поступления информации. Из совокупности известных законов распределения случайных величин в данном случае предпочтительными могут оказаться: нормальное распределение, биноминальное распределение и распределение Пуассона.
Как показывает практика, для описания процесса поступления информации чаще всего подходит закон нормального распределения. Чтобы установить, в какой мере подчиняется процесс поступления статистической информации закону нормального распределения, используется выборка фактических данных, характеризующих режим поступления информации за несколько периодов по наиболее представительным формам документов.
На основе указанных данных строятся ряд и гистограмма распределения величин. Используя традиционные методы анализа статистических
рядов, определяется их теоретическое распределение. Например, кривая теоретического нормального распределения определяется формулой
./ч Л* 1 ,4
где N - общее число поступивших данных;
К - величина интервала дробления эмпирического ряда распределения; к примеру, если данные берутся за каждый день, то К=1; I - стандартизированное отклонение; ст - среднее квадратичное отклонение ряда.
Чтобы воспользоваться приведенной формулой для определения теоретических кривых по некоторому эмпирическому ряду, следует вероятностные характеристики заменить данными эмпирического ряда. При этом величина стандартизированного отклонения
,-±11
1
~
1
а
где х - текущее значение;
х - среднее арифметическое значение.
Для определения близости эмпирического распределения теоретическому нормальному распределению используются, как известно, несколько оценок критериев согласия. В данном случае можно применить: 1. Критерий Пирсона, определяемый выражением
где п - эмпирические частоты; п' - теоретические частоты.
Близость фактического распределения нормальному устанавливается путем определения вероятности достижения X2
данного значения Р (А.2
). Значения Р (А.2
) вычислены для разных ^,2
и имеются в таблицах различных литературных источников по математической статистике. Кроме значения Р (А.2
) необходимо определить число степеней свободы варьирования эмпирического распределения 1с, которое равно числу групп в нем минус число исчисленных характеристик распределения (средняя арифметическая, дисперсия и т.д.), использованных при описании теоретического распределения.
По значениям X и к в таблицах находят Р (А.). В случае, если эта величина значительно отличается от нуля, считается, что эмпирический ряд близок к нормальному распределению.
2. Критерий В.И.Романовского, определяемый выражением Я,-
724
40
41
Если указанное отношение по абсолютной величине равно или меньше трех, то считают, что эмпирический ряд близок к нормальному распределению.
3. Критерий А.Н.Колмогорова, устанавливающий близость теоретических и эмпирических распределений путем сравнения их интегральных распределений. При этом А. исчисляется исходя из максимального верхнего предела абсолютного значения разности накопленных частот В, отнесенному к квадратному корню из числа наблюдений, то есть О
Я =
Считается, если Р (X), приводимые в таблицах, для данного случая значительно больше 0,05, то распределения хорошо соответствуют друг другу. За интервал ряда принимается месяц для годовых отчетов, день -для месячных, смена - для суточных, десятиминутку - для сменных.
Из указанных трех критериев наиболее удобен и простой в реализации критерий В.И.Романовского.
Получив теоретическую кривую нормального или любого другого закона, можно выявить "пиковые" нагрузки в пунктах потребления информации.
Сильно вытянутая кривая и большой размах вариации свидетельствуют о неритмичном характере обмена информацией. Что усложняет условия для ее переработки потребителем. Изучив характер поступления информации, можно разработать соответствующий режим ее обработки. Если рассредоточить по возможности сроки поступления данных, то для каждой формы документа будет своя "пиковая" нагрузка, а общая нагрузка на потребителя при этом равномерно распределится в течение анализируемого периода времени. При этом кривая нормального распределения не будет иметь резкого перепада, и размах поступления информации не будет значительным.
Все это позволит осуществить равномерную загрузку вычислительной и организационной техники, каналов связи и работников управленческой службы.
Другим направлением рационализации режима обмена информацией является изменение периодичности для некоторых показателей. Для реализации этого направления необходимо предварительно провести анализ обоснованности выбранной периодичности.
Вывод о правильности выбранной периодичности может быть сделан на основе использования принципиальных положений теории информации. В соответствии с положениями указанной теории данные за выбранный период несут определенную информацию и представляют информационную ценность лишь в том случае, если они характеризуют какие-либо изменения в управляемом объекте, которые могли бы служить сигналом для принятия управленческих решений. Если же данные таких изменений не отражают, то в них не содержится никакой дополнительной информации.
При этом степень различия данных за смежные учитываемые периоды позволяет оценить обоснованность выбранного интервала представления данных и наметить пути выбора наиболее рациональной периодичности. Для этой цели в ходе обследования должны быть использованы фактические показатели за достаточно длинное число смежных периодов. Причем объем выборки должен составлять до 20% от генеральной совокупности.
Сама выборка должна осуществляться по способу типического отбора. Для этого генеральную совокупность по некоторому признаку необходимо разделить на типические группы. Такими типическими группами являются данные за ряд смежных периодов, описываемые одной картой обследования. Под выборочной совокупностью также имеются в виду фактические данные за достаточно длительный период. Например, для месячного периода - несколько лет, для суточного - месяц и т.д.
Анализ фактических данных с позиций существенности различий между ними осуществляется методами оценки различия средних.
Алгоритм расчета следующий.
1. Определяются средние значения показателя по периодам (для сменной, суточной, декадной, месячной отчетности) по формуле
2. Вычисляются средние квадратичные отклонения по периодам:
а) при числе данных п < 30 по формуле
V н-1
б) при числе данных п > 30 по формуле
I П
3. Определяются средние ошибки выборочных средних
а
/* = -/=. vi
4. Находятся разности выборочных средних по периодам:
Х
1~—
X; — Х-,
хн
- х„-\.
5. Вычисляются средние ошибки разности соответствующих пар вы борочных средних
42 43
6. Определяется критерий оценки существенности расхождения со
ответствующих выборочных средних:
Х2-Х1
Если 1ф < 3, то существенного различия между показателями за
смежные периоды не будет. В этом случае можно сделать вывод, что установленный период обмена информацией не является целесообразным. При 1ф > 3 можно считать выбранную периодичность обоснованной, хотя нельзя утверждать, что она является оптимальной. Физический смысл приведенной оценки показателей состоит в том, что при значениях
I
> 3 разли
чия между ними нельзя уже считать случайными.
Использование приведенного алгоритма обоснованности режима
обмена информацией позволяет сократить объем циркулирующей в систе
ме управления излишней информации, которая не несет никаких сведений, за счет изменения периодичности представления данных в сторону удлинения интервала обмена.
Основными принципами, на которые должно опираться создание
рациональных информационных потоков, являются следующие:
- определение информационных потребностей, способов и путей их
удовлетворения;
- адекватность отображения управленческих процессов обращения,
расширения и потребления всех видов ресурсов;
- единство информации, циркулирующей в системе управления и
поступающей от различных источников;
- увязка момента времени представления информации с моментом
времени ее использования;
- сжатие оперативной информации и повышения уровня ее исполь
зования в процессах управления;
- кодирование информации с целью эффективного использования
каналов связи и преобразующих ее устройств;
- разработка и реализация программы использования и преобразова-
ния информации для целей планирования и управления;
- своевременное выведение из информационной системы информа-
ции, потребность в которой исчезла.
Возросшие объемы управленческой информации, предназначенной
для принятия решений, обусловили необходимость увеличения численно
сти информационных менеджеров и возникновения ряда проблем.
Источником синергизма является совмещение методов управления
по целям и управления по отклонениям в рамках интегрированной управленческой деятельности.
Глава 3. ТЕХНОЛОГИЧЕСКОЕ СОДЕРЖАНИЕ
ИНФОРМАЦИОННОЙ ДЕЯТЕЛЬНОСТИ
3.1. Взаимодействие элементов системы в технологии управления
Технология управления - это совокупность формализованных и нефор
мализованных последовательно и параллельно применяемых приемов управ
ленческой деятельности. Технология управления определяется составом
управленческие работ, необходимых для реализации тех или иных функций,
а также порядком их выполнения. Управленческие работы - это элементы
процесса управления. Они классифицируются по содержанию управленче
ской деятельности - как маркетинговая, экономическая, финансовая, снаб-
женческо-сбытовая, инженерная, административная, претензионно-
договорная, кадровая и т.п.; по принадлежности к стадиям управления - плановая, учетно-отчетная, контрольная, организационная, координационная,
стадии анализа и т.п.; по преобладанию операций - логическая, вычислитель
ная, множительная, комбинированная; а также по другим признакам - по отношению к служебным обязанностям, времени исполнения и т.д.
Технология управления характеризуется процессами движения и обработки документированной и другой информации в системе управления.
Основным назначением технологии управления является установление рациональных схем взаимодействия линейных и функциональных органов, структурных подразделений и других звеньев управления, относящихся как к одному, так и к разным иерархическим уровням в процессе управления. Взаимодействие возникает на основе разделения полномочий и функций между звеньями системы управления, взаимных обязательств в их совместной деятельности. Меры и формы взаимодействия органов и звеньев управления определяются характером решаемых проблем, объемом полномочий звена, его функциями, компетентностью работников, регламентом работы. В зависимости от положения звена в иерархии системы управления взаимодействия бывают вертикальные между уровнями иерархии, горизонтальные на одном уровне управления и смешанные. Различаются взаимодействия региональные и отраслевые, а также межотраслевые и межрегиональные, если в качестве объектов взаимодействия выступают различные отрасли или регионы в целом. Дифференцируют взаимодействия по их характеру. По данному признаку их делят на информационные, консультативно-методические, функциональные, организационные, экономические, социально-психологические. По форме взаимодействия бывают формальные и неформальные. Первые определяются нормативными и
юридическими актами, вторые осуществляются по договоренности и взаимным обязательствам. Взаимодействия могут быть межличностными, когда взаимодействуют должностные лица, и межсистемными, носителями которых выступают целые коллективы, отделы и организации в целом.
44
45
Наконец, взаимодействия бывают прямыми, косвенными, случайными и необходимыми, существенными и несущественными. Комбинация взаимодействий в процессе управления предопределяет его эффективность.
Совершенствование взаимодействий требует их анализа и организа
ционного упорядочения по видам, форме, времени и объему работ. В настоящее время рациональной организационной формой взаимодействия
органов управления в процессе решения сложных проблем признан про
граммно-целевой подход к управлению.
Построение схемы взаимодействия элементов базируется на изучении фактически сложившегося порядка реализации управляющих взаимодей
ствий, позволяющих проследить по разным контурам управления всю цепь взаимодействия звеньев управления. В контуре каждый элемент системы воздействует на следующий и получает в свою очередь взаимодействие от предыдущего. Воздействие осуществляется по информационным каналам.
Простейшая схема системы управления содержит два элемента, обра
зующих контур управления, а именно - управляющую часть и объект управления. Управляющая часть в свою очередь содержит функциональ
ные элементы, которые вместе с объектом образуют контур управления. Функциональный контур управления представляет собой совокупность
функциональных элементов системы управления. Например, контур пла
нирования - это совокупность отделов и лиц, осуществляющих планирование деятельности. Линейный контур управления в отличие от функционального включает в свой состав линейные элементы, т.е. лиц, обладающих правом выдачи команд по всем функциям.
Звеном контура считается структурообразующий элемент системы
управления или подсистемы. В качестве звена могут выступать органы управления, структурные подразделения, сотрудники или технические средства системы управления. Необходимым и достаточным условием выделения элементов системы в качестве управляющего звена является закрепление за ним хотя бы одной функции управления. Чтобы достичь достаточной эффективности процессов управления, важно не допускать случайного или произвольного формирования технологии управления. Обоснованная технология управления выгодно отличается от произвольной более точными решениями, отсутствием несоответствия между сравнительной простотой решаемых задач и громоздкостью организационного их оформления, которое состоит в разработке и утверждении организационных документов: уставов, положений, инструкций, правил, методик, норм, а также в их приложении к практически возникающим ситуациям. Для технологии управления большое значение имеет также использование методов процесса управления, его типизация и унификация, которые связаны с рациональным единообразием управленческой документации на процессы, операции управления, виды информации и информационных связей, элементы проектирования и оснащения рабочих мест в аппарате управления.
3.2 Организационные формы и функции управления
форма управления - это, одно из возможных проявлений содержания
управления, которое обуславливается составом функций управления, реализуемых по отношению к определенному объекту управления. Формы управ
ления присуши статике и динамике управления. В статике форма управления
соответствует понятию структуры управления. Форма управления определяет
границы, в пределах которых могут выбираться варианты построения систе
мы управления. Различие организационных форм объясняется отсутствием идентичности в построении нескольких адекватных по содержанию, т.е. по
составу реализуемых в управлении функций. Эти различия в строении срав
ниваемых форм управления могут заключается в:
-числе уровней управления;
-числе звеньев управления;
-сочетании и соотношении между централизацией и децентрализацией
управления;
-распределении конкретных функций по горизонтам (в концентрации управления);
-составе звеньев одного и того же уровня управления;
-виде звеньев (отдел, цех, участок, бюро и др.), реализующих те же самые функции;
-диапазоне контроля, осуществляемого со стороны одноименных
звеньев системы;
- подчиненности одноименных звеньев разноименным управляющим звеньям системы.
Таким образом, в статике форма управления представляет собой допустимый или принятый вариант построения системы управления, отличающийся от других возможных вариантов значениями ряда организа
ционных характеристик при определенных и общих для всех вариантах, целях, задачах и содержании управленческой деятельности.
Понятие форма управления в динамике отражает проявление раз
личия между характеристиками технологии управления, т.е. возможные
комбинации состава и последовательности составляющих процесса управления, его стадий, фаз, операций, подпроцессов и процедур, различия в правилах их выполнения и документации. Форма управления в динамике определяет порядок выполнения управленческих работ и функционирования системы управления в целом. Рационализация форм управления способствует повышению эффективности управленческого труда и активно влияет на эффективность производственной деятельности. Формы управления непосредственно определяют формы организации процессов принятия решений, взаимодействия органов управления, использования технических средств и методов управления.
46
47
Функции управления представляют собой относительно обособлен,
ные направления управленческой деятельности, позволяющие осуществ-
лять управляющие воздействия. Реализация функций управления осущест. вляется в некотором замкнутом контуре, в котором циклически повторя-ются процессы получения и переработки информации, принятия решений, превращения их в воздействия. Функция управляющего звена не всегда тождественна функции управления, так как ее реализация часто представляет собой определенную управленческую работу или часть работы, необходимую, но недостаточную для подготовки и реализации воздействия. Для проектирования и анализа применяются различные классификации функций управления по следующим признакам:
1.
По признаку содержания управленческого труда функции управления - подготовка производства, производство, снабжение, сбыт маркетинг и др;
2.
По признаку объекта управления - функции управления группой, бригадой, участком, цехом, отделом, предприятием и др.;
3.
По видам деятельности - хозяйственная, социальная,
организационная, административная, финансовая и др.;
4.
По однородности работ выделяют функции управления: линейные, специальные и обслуживания;
5.
По характеру использования функции управления бывают основ
ные и конкретные. К основным относятся: учет, контроль, анализ, планирование, принятие решений, регулирование, мотивация. Ос новные функции осуществляются в каждой организационной сис
теме и на каждом уровне управления. Под конкретной функцией
управления понимают результаты разделения управленческого тру да. Более того конкретную функцию управления можно определить как постоянно действующий оператор преобразования информации
управляющим звеном для изменения значения определенного вы
ходного параметра объекта управления с целью поддержания его в
данном состоянии или перевода из одного состояния в другое. В качестве операторов могут выступать методика, инструкция или
правила, на основе которых организуется работа управляющего
звена, а характер преобразования информации определяется зако
номерностями функционирования управляющего объекта.
Рассмотрение в качестве функции управления выходных параметров объекта управления, служащих показателями конечных результатов его функционирования, за достижение которых отвечает определенный субъ
ект управления или его управляющее звено, позволяет однозначно вы
явить состав и число функций, что необходимо для их количественного подсчета при анализе и проектировании.
Комплексная характеристика функции управления строится на одновре
менном использовании ряда ее классификационных признаков. При этом
весьма важными являются такие признаки, которые представляют полезную информацию для решения состоящих в каждой конкретной ситуации задачи совершенствования системы управления. Это определяется путем сопостав
ления состава практически выполняемых функций с функциями, возлагае
мыми согласно типовому положению о данном звене управления, так что несовпадение их обнаруживает несвойственные функции управления.
3-3 Технологическое содержание функции учета
Под учетом обычно понимают набор процедур получениям фиксации
в заданном виде первичной информации о состоянии управляемого объекта или процесса. Учет является функцией управления, связанной с наблюдением за фактами и явлениями производства и управления, их измерением, регистрацией на различных накопителях и группировкой для получения итоговых данных, характеризующих состояние управляемого объекта или процесса. В цикле управления учет является конечной стадией. По от
ношению к последующему циклу он выступает как начальная фаза. В практике управления различают учет оперативный, бухгалтерский и ста
тистический. Создание автоматизированных систем управления сущест
венно трансформировало функцию учета. Это касается прежде всего сбора первичной информации, ее фильтрации, переработки, накопления и поиска, т.е. тех операций, которые передаются управленческой технике, Аналитические операции учета по - прежнему остаются за человеком. Оперативный учет - это средство наблюдения за ходом управленческо-производственных процессов и хозяйственной деятельности непосредственно во время совершения и вслед за совершением различных операций и процессов, Ярким примером оперативного учета на предприятиях служит диспетчерский учет состояний процессов и их результатов.
Бухгалтерский учет - это сплошная, непрерывная, документально обоснованная запись всех хозяйственных операций по соответствующим бухгал
терским счетам. Предназначен бухгалтерский учет для контроля сохранности собственности, содействия внедрению и укреплению внутреннего хозрасчета,
выявлению и использованию различного рода ресурсов. Такой учет бывает
предварительным, текущим и окончательным как контроль правильности и целесообразности производственных и управленческих операций.
Статистический учет является средством отражения количественной стороны массовых явлений в неразрывной связи с из качественной сторо
ной. С помощью такого учета можно получать сведения о показателях
объема производства, изменения производительности труда, рентабельно
сти Доходности и другие показатели за различные периоды времени. Так, Функция учета не является изолированной, а входит в состав интегрированной управленческой информационной системы, поэтому возникают следующие вопросы: Кому необходима информация? Какая необходима
48
49
информация? Почему? Где получить информацию? Когда необходима ин
формация? Как должна собираться и обрабатываться информация? В какой форме необходимо представлять информацию?
1.
Информация требуется всем менеджерам, принимающим управ ленческие решения. Всем менеджерам, контролирующим и прогнозирую щим, которые должны информировать или инструктировать. Всем рабо чим - об условиях работы и других обстоятельствах. Внешним органам, которые по статусу имеют право на информацию о деятельности предпри ятия или учреждения. Держателям акций.
2.
Степень детализации и стиль представления информации различаются
в зависимости от получателя и от сущности выполняемой менеджером рабо
ты. Чем выше пост менеджера, тем более общая информация требуется.
3.
Информация необходима для оказания помощи в принятии реше
ний без особого вовлечения лица, принимающего решение в процесс сбора
информации.
4.
Место получения информации зависит от того, что требуется и ка
кая вторичная информация имеется.
5.
Информация необходима до момента принятия решения или ин
формирования.
6.
Способы сбора и обработки информации зависят от характера ин
формации, от того, почему она нужна, а также от того она, просто жела
тельна или весьма необходима.
7.
Информация может представляться в виде обычных (регулярных) от четов за определенный период времени, в виде специальных отчетов, допол
няющих регулярные о надзоре за отдельными факторами и ситуациями.
Менеджеры нуждаются не только в представлении учетной информа
ции как таковой. Обычно информация должна включать и некоторые
предложения. Руководство, как правило,, нуждается в избирательной ин
формации только по тем вопросам, которые поступают извне за опреде
ленный период или на какую-либо дату. Очень важно, информируя менеджеров, привлечь их внимание к благоприятным изменениям и постараться обосновать неблагоприятные.
Различие между данными и информацией заключается в том, что данные являются сырыми фактами и только тогда становятся информацией, когда они в обработанной форме пригодны для контроля, анализа и принятия решений. Данные обычно приемлемы, если из них можно извлечь тенденции сравнения. Форма представления учетных материалов зависит от способности менеджеров понять содержание информации.
Множественность использования данных и требования экономии при преобразовании данных в информацию выразились в создании концепции
комплексной управленческой информационной системы. В типовых ком
паниях имеются три главные информационные системы: финансовая, кад
ровая, материально-технического обеспечения. Существуют и другие ин-
формационные системы, связанные с маркетингом, стратегическим плани-оование, производством, администрированием и другие. Одним из принципиальных вопросов, связанным с созданием указанных систем, является разработка единой учетной информации, приемлемой для звеньев управления. При разработке входных документов следует учитывать накопленный опыт по методам учета, что позволяет их унифицировать и упростить процесс заполнения различных форм-документов.
К разработке учетных документов должны предъявляться следую
щие требования:
- простота и низкая трудоемкость занесения информации;
- максимально возможные исключения текстовой информации;
- возможность передачи информации без дополнительного ее шифрования;
- исключение документов, информационно дублирующих показатели унифицированных документов;
- обеспечение возможности наращивания информационной
емкости системы;
- содержательная часть учетных документов должна учитывать основную информацию, необходимую потребителям.
3.4
Технологическое содержание функции контроля
Под контролем понимается набор процедур выявления отклонений
выходных параметров системы (процесса) от заданных их значений (нор
мативный режим).
Контроль - это аналитическая функция, которая включает наблюдение за
течением процессов в объекте управления, сравнение величины контролируемого параметра с заданной программой, выявление отклонений от программы, их места, времени, причины и характера. Объектом контроля являются процессы, происходящие в управляемом объекте. Существуют две ос
новные формы контроля - активный и пассивный. Пассивный контроль осу
ществляется дискретно, по окончании какой либо фазы или всего процесса.
При активном контроле во время всего процесса на управляемый объект оказывается регулирующие воздействие, что позволяет устранять отклонения и компенсировать возмущающее воздействие с минимумом потерь и функцио
нирования объекта. По числу контролируемых величин различают одномер
ный и многомерный контроль. Одномерный контроль связан с одной величи
ной. А многомерный- со многими величинами одновременно. Кроме того
контроль может быть однофункциональиый и шгогофункщюншшшй, что определяется объемами операций, выполняемых при контроле. Различают
также контроль непрерывный и периодический.
Контроль исполнения документов является разновидностью проверки исполнения - одной и:? функций •звена административного управления.
50
Классификация действующих в различных отраслях и на предприяти
ях систем проверки исполнения строится по нескольким признакам:
- по объекту проверки - проверяются сроки исполнения приказов, распоряжений, заданий, поручений, документов, качества, исполнительность и др;
- по целям и задачам системы - различается системы слежения за ходом процесса производства и управления; системы и методы оперативного
вмешательства в производственные или управленческие процессы;
- по степени механовооруженности - применяются ручные системы (оргблокноты, карточки, журналы, картотеки, личные книжки ис полнителей) и автоматизированные системы контроля исполнения, а также комбинированные системы.
Операции контроля за документами делятся на творческие и техниче
ские. Творческими являются операции контроля исполнения документов
по существу вопроса. Этим должны заниматься специалисты по данному
вопросу. Технические операции - это контроль за сроками исполнения до
кументов. Они выполняются сотрудниками делопроизводственной служ
бы. По степени охвата контролируемого массива различают индивидуальный контроль и индивидуальный сплошной контроль.
Контроль исполнения документов представляется целесообразным увязывать с бездефектной организацией труда в аппарате управления.
Основными задачами контроля исполнения документов являются учет
сроков исполнения , ведение предупредительного контроля, информиро
вание менеджеров высшего уровня управления о состоянии исполнения
различных категорий документов, введение последующего контроля, от
метка об исполнении документов и передача карточки с исполненным документом в справочную картотеку.
Таким образом контроль - это сопоставление фактических результатов с
планами, стандартами, эталонами, нормативами или ожиданиями. В процессе
контроля определяются отклонения от указанных показателей. Отклонения
показывают, достигнуты ли цели, имеются ли ошибки, необходима ли какая-
либо корректировка запланированного. Контроль одна из важных функций
управления, которая предназначена для установления направлений и уровней
действий отдельных менеджеров и организации в целом.
Необходимость контроля обусловлена тем, что в подавляющем ко
личестве случаев задуманное реализуется в условиях неопределенности. А это такая среда, которая имеет факторы, препятствующие и усиливающие реализацию планов и намерений.
Контроль необходим для обнаружения и разрешения проблем раньше, чем они станут сложно разрешимыми.
Контроль необходим также для регулирования и координации раз
личных видов деятельности.
Основные виды контроля: предварительный, текущий и заключительный.
Предварительный контроль осуществляется до момента фактического начала работ. Используется по отношению к персоналу, материальным и финансовым ресурсам.
Текущий контроль осуществляется в ходе выполнения работ и базирует
ся на системе обратной связи. Этот вид контроля считается прогрессивным, если он использует принцип опережения событий, основанный на прогнозе.
Заключительный контроль также базируется на системе обратной связи. Предназначен он обеспечивать информацией о результатах деятельности для ее анализа, выработки решений, планирования, а также для мотивации персонала.
Контроль особо актуален, когда управление не единичный акт, а
своего рода бесконечный процесс.
Для осуществления контроля необходимо установление норматив
ных величин. Нормативные величины - это конкретные цели, вытекающие из
процесса управления. Такие величины выбираются в поле многочисленных целей и стратегий фирмы. Нормативные величины должны давать ответ на один или одновременно на несколько вопросов из следующей их совокупности: что надо делать, где надо делать, кому надо делать, когда надо делать, как надо делать, что надо получить? Отдельные нормативные величины желаемой результативности легко получить в количественном измерении. Например, длительность выполнения работы, прибыль, доход, объем продаж, затраты. Другие нормативные величины вообще количественно не могут быть выражены. Например, моральный уровень, этика поведения, духовный уровень и др. Такие величины получают обычно обследованием статистики, путем опроса или измерением косвенно через другие показатели. Например, удовлетворенность работой и материальным стимулированием косвенно выражает показатель - текучесть кадров.
Наиболее часто используемый в управленческой практике норма
тивный показатель длительности выполнения работы может быть получен двумя путями: с использованием хрономегражных наблюдений или экспертным методом.
В первом случае алгоритм расчета нормативной величины включает:
1.
Наблюдение за выполнением работы при разной численности ис
полнителей, разном оборудовании и при разных способах организации.
2.
Определение и устранение потерь времени по независящим от ис
полнителей причин.
3.
Выявление операций, которые могут выполнятся параллельно.
4.
Установление величины потерь времени из-за невозможности па
раллельного выполнения операций.
5.
Синтезирование времени, необходимого на выполнение всех опе-
раций при наиболее рациональной численности, способе организации и
комплексе оборудования.
Во втором случае - при использовании экспертного метода алгоритм оценки нормативной величины включает:
1. Экспертам сообщаются содержание работы, ее исполнители, ок-
РУЖающие условия, организация работы и используемое оборудование.
52
53
2.
Выясняется мнение экспертов относительно длительности выпол
нения работы. В результате получаем последовательность субъективных
мнений экспертов.
3.
Обрабатываются субъективные мнения по формулам:
Зл +
2Ь _ я + 4ш +
Ь
'•=
-г~'
'^—г~'
где а - наиболее короткий интервал времени, за которое может
быть выполнена работа,
Ь - наиболее длительное время выполнения работы,
т -математическое ожидание последовательности субъективных
мнений экспертов.
Опережающий контроль базируется на прогнозировании сроков
проверки работ. Основным требованием здесь выступает обязательное выполнение работы в установленный (нормативный) срок. При прогнозе предполагается, что работа может осуществляться с плановой и максимально возможной интенсивностью. Если в процессе выполнения работы имеет место отставание от планового режима, то оно может быть устранено в результате перехода на максимально возможную интенсивность. Алгоритм определения сроков контроля за ходом выполнения работы представим графически, (рис. 3.1).
Этапы алгоритма:
| Рис.3.1 -Графический алгоритм контроля.
|
1.
Из точки Ящ, графика, проводим прямую параллельную линии О
Чтах- При пересечении с линией о1 получим 1| - момент первого контроля хода выполнения работы.
2.
Замером или опросом устанавливаем объем работы, выполненной
на момент
1\. Он равен
<\\.
-ц - объем работы, цпл
- запланированный объем на время 1ОК
;
Чтах - максимально возможный объем работы за время
1„х
;
Цп, - двойная линия - график изменения планового объема работы,
определяется она по формуле
<\= \ • I,1 - интенсивность выполнения плана;
Чпих - график изменения максимального объема работы при макси
мальной интенсивности, т.е.
4^= \ • I.
3.Через точку
ц 1 проводим горизонтальную линию до пересечения с линией 11
<\Ш1- Получаем точку второго контроля 12
.
4.
Определяем величину объема работы в момент 12
. Эта величина
равна ч2
.
5.
Для определения 1з и т.д. поступаем аналогично.
Анализируя график выполнения работ, нетрудно заметить, что в режиме выполнения и перевыполнения текущего объема работы моментов контроля будет намного меньше, чем в режиме невыполнения текущего объема работы.
Оценка результатов основывается на действительных и очевидных
возможностях получения результатов, а не на том, что было в бюджете. При
оценке результатов обращают внимание не только на стоимостное выраже
ние результатов, но оценивают также ключевые результаты, достигнутые в управлении персоналом, в совместной деятельности и их развитии.
Объекты контроля по результатам представляются тремя блоками:
- контроль за реализацией планов деятельности;
- контроль за успешным осуществлением ситуационного управления;
- контроль количественных результатов.
Блок контроля за реализацией планов деятельности включает: мероприятия и ответственных за них, графики работ, издержки и ресурсы.
Блок контроля за успешным осуществлением ситуационного управления включает: уровень использования ситуационных факторов, стиль управления и взаимопонимания, объекты влияния, методы и технику управления, творческий подход и напористость.
Блок контроля конечных результатов включает результаты коммер
ческой деятельности и результаты ее поддерживающие как внутри фирмы,
так и во внешнем окружении. Информационная система контроля в усло
виях компьютеризации управления должна быть ориентирована на стратегическую направленность и конечные результаты деятельности, соответствовать контролируемым видам деятельности, обеспечивать своевременность реакций, гибкость, простоту эксплуатации и экономичность.
Поскольку функции контроля, планирования и принятия решений тесно переплетаются, информационная система должна быть единой. Ее
Цель - обеспечивать менеджеров всех уровней иерархии управления необходимой, существенной и достоверной информацией для принятия эффективных решений и успешного ведения дел организации.
54
55
Информационная система не только обрабатывает и выдает инфор
мацию, но и ориентирована на конкретные виды деятельности менеджеров
с учетом их уровня иерархии управления, профессионального уровня и характеристик внутренней и внешней среды организации.
Основными требованиями к информационной системе с учетом сис
темы коммуникаций информации и контроля в конкретной организации
являются: каждому менеджеру информацию предоставить тогда, когда на
до, того вида и качества, которые ему необходимы.
Наиболее удобным инструментом контроля на ЭВМ является сетевой график, преобразованный в процессе контроля в ленточно-сетевой график.
3.5 Технологическое содержание функции анализа
Под анализом понимается набор процедур определенного характера и количественной оценки влияния отдельных факторов на основные выход
ные параметры системы (процесса) и на величину их отклонений от за
данных значений, а также характера изменения параметров в будущем.
Обработка информации в процессе анализа зависит от объекта управления, цели, задач и методов анализа. Все это предопределило наличие разнообразных подходов к осуществлению информационных процедур анализа и различных его разновидностей.
К числу основных видов анализа относят: контентный, производст
венно-хозяйственной деятельности, экономический, организации и систем
управления.
Контентный анализ предназначен для исследования речевых и письменных сообщений. Он основывается на выделении в сообщении определенных его характеристик (смысловых единиц, количества, места, выде
ляемого под тот или иной материал и др.) в соответствии с целями иссле
дования и принятой концепцией. С помощью этого вида анализа можно изучать такие проблемы, как направленность источника информации, зависимость содержания сообщения от аудитории, выяснение причин, вы
звавших сообщение, оценка эффективности воздействия сообщения и др.
В практике работы с контент-анализом имеются общие принципы,
определяющие целесообразность его применения.
1.
Рекомендуется в тех случаях, когда требуется высокая степень точ
ности или объективного анализа.
2.
Полезен в тех случаях, когда категории, важные для целей иссле
дования, характеризуются определенной частотой появления
в изучаемых документах.
3.
Применяется обычно при наличии обширного по объему и несис
тематизированного материала, когда его непосредственное ис
пользование затруднено.
4 Дает хорошие результаты, когда большое значение для исследуемой работы имеет сам язык изучаемого источника информации, его специфические характеристики.
При использовании данного метода определяется проблема, цель, задачи, объект и предмет исследования, формулируется гипотеза и разрабатывается программа исследования.
Объем выборки документов зависит от целей и задач исследования, и от характера информации. При определении надежности и достоверности необ
ходимо четко определить, что это за документ, кто его автор, какова его
"официальность
"> "служебность". Считается , что первичные документы бо
лее надежны, чем вторичные, а официальные более надежны, чем личные.
Традиционно различают внешний и внутренний анализ документов.
Отдельные виды документов в силу своей специфики требуют еще юридического и психологического анализа.
Таким образом, формализованный метод контент-анализа призван преодолеть субъективизм. Сущность анализа заключается в нахождении таких свойств, признаков, черт документа, которые отражали бы сущест
венные стороны его содержания.
Анализ производственно-хозяйственной деятельности представляет собой комплексное изучение этой деятельности на предприятии с целью
контроля за его работой и повышения его эффективности путем выявления и мобилизации имеющихся резервов. Такой анализ содействует укреплению экономических связей подразделений предприятия, достижению высоких конечных результатов при минимизации затрат всех видов ресурсов, внедрению новых технологий, достижений науки, техники и передового опыта, а также прогрессивных норм расхода материальных ценностей, снижению себестоимости и повышению уровня рентабельности хозяйственной деятельности.
Экономический анализ - это совокупность методов формирования и об
работки данных о деятельности, обеспечивающих объективные оценки его деятельности, определение тенденций развития, стоящих перед ним задач,
выявление слабых и сильных сторон деятельности и путей их использования.
Экономический анализ проводится по следующим стадиям: определение системы показателей, характеризующих объект исследования, их качествен
ный и количественный анализ, формирование выводов и рекомендаций.
К экономическому анализу предъявляются следующие требования:
объективность, базирующаяся на точности, достоверности и сопоставимости данных; комплексность и системность; учет перспектив развития и передового опыта; оперативность и своевременность, конкретность и коли
чественная определенность. Анализ подразделяется на перспективный, те-КУЩИй и оперативный. С позиций объема он может быть тематическим, осуществляемым в связи с конкретной целью, локальным - при анализе Деятельности отдельных подразделений, комплексным, охватывающим все
56
57
стороны деятельности. Анализ может быть систематическим и эпизодическим. По методам проведения экономический анализ подразделяется на сравнительный, по отклонению показателей, факторный и с использование моделирования. При проведении экономического анализа используются такие методы, как сравнение, ранжирование, балансовый, средних величин, индексный, группировки и математической статистики.
Анализ организации заключается в подразделении ее на элементы, определении их характеристик и взаимного соответствия, выявлении недостатков и возможностей совершенствования. Для проведения такого анализа используется данные отчетности, организационной документации, положений о подразделениях, должностные инструкции, нормы и нормативы, инструкции, правила, методики, результаты наблюдения и опроса работников, интервьюирование, анкетирование . Анализ проводится в два этапа: предварительный и детальное обследование. Предварительное обследование представляет собой быструю ориентировочную диагностику недостатков в организации системы управления, позволяющих определить направления ее совершенствования и позволяющие сузить область дальнейшего исследования. Задачей детального обследования является подробное изучение недостатков, причин их вызывающих, и возможных методов устранения. Результаты анализа организации используются как исходные данные для осуществления организационного проектирования.
Анализ систем управления предназначен для исследования системы управления на основе разделения ее на основные элементы, ступени, звенья, изучения каждой такой части в отдельности, выявлении особенности частей как элементов сложного целого. Анализ систем управления служит инструментом установления причин возникновения данного состояния системы и процессов, происходящих в ней либо между системой и внешней средой. Он позволяет сложные элементы свести к простым, выделить наиболее важные элементы, моделировать и синтезировать систему управления.
При обработке информации в процессе ее анализа применяется четыре основных метода: функциональный, дисперсионный, корреляционный и укрупленный анализ.
Метод функционального анализа используется при изучении детерминированных, т.е. причинно-обусловленных процессов. Суть его сводится к тому, что по статистике или по результатам непосредственного наблюдения за изменением двух или более факторов строятся таблицы, на основании которых определяются теоретические зависимости между факторами. После этого в указанных зависимостях определяются экстремальные значения или тенденции, которые используют далее для управления процессом.
Дисперсионный и корреляционный анализы применяются для изучения стохастических процессов. В таких процессах одному и тому же значению одного из взаимосвязанных явлений соответствует ряд значений других явлений, возникающих с определенной вероятностью. Изучаемая
зависимость явлений проявляется в закономерном изменении средних величин
распределения явлений. Связь между факторами, при которой изменению одного из них соответствует изменение другого называется корреляционной связью.
Для оценки качественной стороны такой связи используется дисперсионный анализ, базирующийся на изучении переменных факторов по их дисперсиям. Связь оценивается средним квадратическим отклонением от заданного уровня, т.е.
где а -
заданный уровень, &\ -
отдельные значения выборки сообщения, р! - вероятность (частота) 1-го значения.
Задача корреляционного анализа формулируется следующим образом. По данной выборке (х,,у|), (х2
,у2
) ... (х„,уп
). Найти уравнение приближенной регрессии и оценить допускаемую при этом ошибку по коэффициенту корреляции. Для выбора уравнения регрессии используют чаще всего принцип наименьших квадратов. Коэффициент корреляции показывает, насколько связь между случайными величинами выборки близка к функциональной зависимости. При коэффициенте корреляции г = О корреляция, т.е. связь вообще отсутствует, при г = 1 имеет место функциональная связь.
Корреляция может быть парной, множественной, линейной и нелинейной.
Укрупненный вероятностный анализ применяется при анализе работы производственных объектов.
Для прогнозирования хода производственных процессов и принятия оптимальных решений по управлению ими необходима оперативная производственно-экономическая информация о длительностях состояний, в которых могут находиться технологические объекты. К числу таких состояний относятся, например:
а) непрерывная работа, нормальный режим;
б) непрерывная работа, форсированный режим;
в) непрерывная работа, замедленный режим;
г) остановка из-за необеспеченности процесса материалами, сырьем, энергией и т.д.;
д) авария;
е) перерыв.
Особенностью приведенных состояний является то, что длительность их в разные моменты времени различна и сменяют они друг друга не строго в известном порядке. Другими словами, длительности и изменение состояний носят случайный характер, определяемый недостаточной надеж-остью машин и агрегатов, воздействием помех и возмущений, обусловленных контактом с природой.
58
59
Правильность принятия решений в таких условиях в значительной мере зависит от того, насколько точно известно, какое время тот или иной агрегат или машина могут находиться в данном состоянии.
Удобным инструментом для получения информации о состояниях технологических объектов является укрупненный вероятностный анализ, сущность которого состоит в следующем.
На основании статистических данных о прошлых реализациях процессов с использованием известного в теории вероятностей метода оценки случайных величин по толерантным пределам, в соответствии с которым при случайном распределении признака х в генеральной совокупности можно найти такие пределы:
^ = А — ^> (I)
I
/ — У
х Л'С
СУ\
Уг
- л + к.л
{а)
что с вероятностью у гарантируется попадание в них доли совокупности, не меньшей определяемого практической работой предела V.
В выражениях (1) и (2) vi - нижний предел длительности состояния, а У2
- соответственно верхний предел длительности состояния. Значение X
-
эмпирическое среднее; равно
^=*1±^±^±^- (3)
/I
где Хь
Х2
,... Х„ - наблюдаемые значения длительностей состояния. Среднее квадратичное состояние 8 определяется по формуле
(4)
Значение К, являющееся функцией п, Р и у, приближенно выражается формулой
* = *.(Н-), (5)
где Ко,, - значение К, которое соответствует истинному значению центра распределения и среднему квадратичному отклонению. Определяется К» из соотношения
1
е-А1.
Входящее в формулу (5) значение Хг
определяется из уравнения
~А. (7)
Процесс вероятностного анализа удобно иллюстрировать числовым примером. Пусть из хрономегражных наблюдений получена выборка объема п = 50 различных длительностей какого-либо состояния технологического объекта. Посчитанные по данным выборки и с использованием фор-
мул (3) и (4) соответственно значениям х = 20 мин. и 8 = 0,3 мин. Принимая У = 0,99 и Р = 0,9, получим на основании уравнения (7) Ф„(ХГ
)=
0,99 -0,5 = 0,49
и из соотношения (6)
0,9 = 2Ф„(/О,
откуда Ф0
(К») = 0,45.
С помощью таблицы функции Лапласса, имеющейся почти во всех книгах по математической статистике, находим: Хг
= 2,33 и К^ = 1 ,645.
Из формулы (5) определяем значение К.
,
2,50 12-50
Доверительные интервалы соответственно равны: V, = 20 - 2,12-0,3 = 19,36 мин, У2
= 20 + 2,12-0,3 = 20,64 мин.
Можно с вероятностью у = 0,99 утверждать, что в этих пределах находится 90% совокупности длительностей пребывания объекта в данном состоянии.
Для практических целей оказывается недостаточно знать только долю длительностей всех реализаций состояния, находящуюся в допустимых пределах, необходимы также сведения о характере изменения этой доли в зависимости от изменения допустимых пределов. Действительно, в данном случае имеет место ситуация, когда с увеличением зоны между допустимыми пределами ухудшается качество информации для принятия решений, а с уменьшением зоны увеличивается вероятность появления таких реализаций состояния, которые не попадают в допустимые пределы.
Как решается этот вопрос, рассмотрим на данных трех состояний -регламентированный перерыв, технологический перерыв и производственная работа. В табл. 3.1,3.2 и 3.3 представлены выборки длительности состояний соответственно регламентированного и технологического перерывов и производительной работы. В начале по формулам (3) и (4) были определены эмпирические средние X
и средние квадратичные отклонения 8, которые соответственно равны: X
\ =
8 мин, 8| = 1,2 мин, Хг
-
9 мин, $2 = 2,8 мин, ЛГ3
= 15,0 мин, 83
= 4,2 мин.
Далее, зная величины X
,
8 были заданы некоторые допустимые пределы и, используя выражения (1), (2), (5), (6) и (7), определены значения процентов длительностей времени состояний выборок, находящихся в этих пределах.
Наличие у принимающего решения информации о длительностях состояний технологических объектов поможет ему принимать более точные и
обоснованные решения.
60
61
Таблица 3.1
| №
|
Продолжитель-
|
Частота
|
№
|
Продолжитель-
|
Частота
|
| интервала
|
ность регламен-
|
показателя
|
интервала
|
ность регламен-
|
показателя
|
| тированного
|
тированного
|
| перерыва, мин.
|
перерыва, мин.
|
| 1
|
4
|
2
|
7
|
10
|
14
|
| 2
|
5
|
11
|
8
|
11
|
1
|
| 3
|
6
|
7
|
9
|
12
|
2
|
| 4
|
7
|
9
|
10
|
14
|
1
|
| 5
|
8
|
8
|
11
|
15
|
1
|
| 6
|
9
|
6
|
12
|
16
|
1
|
| Итого
|
63
|
Таблица 3.2
| № интервала
|
Продолжительность технологического перерыва, мин.
|
Частота показателя
|
№ интервала
|
Продолжительность технологического перерыва, мин.
|
Частота показателя
|
| 1
|
4
|
4
|
9
|
12
|
16
|
| 2
|
5
|
17
|
10
|
13
|
16
|
| 3
|
6
|
34
|
11
|
14
|
9
|
| 4
|
7
|
41
|
12
|
15
|
6
|
| 5
|
8
|
50
|
13
|
16
|
3
|
| 6
|
9
|
48
|
14
|
17
|
1
|
| 7
|
10
|
25
|
15
|
18
|
1
|
| 8
|
11
|
20
|
16
|
19
|
2
|
| Итого
|
293
|
Таблица 3.3
| № интервала
|
Продолжительность производительного времени работы, мин.
|
Частота показателя
|
№ интервала
|
Продолжительность производительного времени работы, мин.
|
Частота показателя
|
| 1
|
7
|
3
|
1?
|
18
|
15
|
| 2
|
8
|
,
|
1.3
|
19
|
; \
|
| 3
|
У
|
К
|
?0
|
; ;
|
| .-!
|
0
|
*
|
15
|
••> )
|
5
|
| 5
|
1
|
16 __^
|
22
|
6
|
| 6
|
"V
|
л : ........
|
23
|
4
|
| 7 1
|
3
|
ч ....
|
18
|
24
|
5
|
| 8 !
•\
.......
г
|
••*
|
ч
|
<9
|
25
|
3
|
| V ]
|
*•,
|
'X
|
/Л'
|
.'6
|
з
|
| 10
|
6
|
^
|
2<
|
27
|
-
|
| 1 1 !
|
7
|
_»
|
>2
|
78
|
!
|
| Итого
|
2!
>3
|
3.6 Технологическое содержание функции планирования
Планирование - функция управления, посредством которой определяется и обеспечивается целенаправленное, динамическое и пропорциональ-
развитие предприятия. Под планированием следует понимать набор "ооцедур распределения и перераспределения целевых показателей и ог-паничений между внутренними элементами структуры предприятия с учетом внешней среды и внутренних его возможностей.
Планирование деятельности включает следующие этапы:
. оценка состояния дел в текущий момент, которые определяются с использованием ситуационного анализа;
- определение направлений развития бизнеса и постановка задач планирования;
- составление плана достижения поставленных целей с использованием стратегического планирования;
- организация мероприятий по выполнению плана;
- проверка достигнутых результатов и определение причин их отклонения от плановых заданий.
Для оценки состояния дел в текущий момент эффективным инструментом является так называемый СВОТ - анализ.
СВОТ - это сложносокращенное слово из начальных букв английских слов мощность, слабость, возможности и угрозы. Указанные слова фактически являются факторами, определяющими состояние дел на предприятии.
По данным анализа составляется план по наращиванию мощности и ликвидации слабостей, чтобы воспользоваться возможностями и предотвратить возникшие угрозы. В отношениях предприятия с микросредой, которая непосредственно его окружает, преобладают краткосрочные решения, в то время как в отношениях с макросредой больше долгосрочных решений. Ресурсы предприятия непрерывно меняются в зависимости от успешных или неудачных контрактов, числа работающих, от выпуска новой продукции и капиталовложений. Все типы внешней по отношению к предприятию среды можно сгруппировать в 7 видов:
-экономическая среда проявляет себя в инфляции, налогах и в уровне процентных ставок на капитал, что в конечном счете регулирует спрос;
- политическая обстановка влияет на изменение степени поддержки предпринимательства и на рискованность долгосрочных инвестиций;
- юридическая среда проявляется в изменениях в законодательстве, которые могут поощрять или, наоборот, угнетать те или направления предпринимательства;
- социально-культурная среда выступает в виде ограничений, обусловленных новыми идеями, фасонами и модой;
- природно-климатическая обстановка может содействовать или
62
63
противодействовать хозяйственной деятельности предприятия;
-технологическая среда изменяет уровень конкурентоспособности продукции;
-демографическая ситуация оказывает соответствующее воздействие на уровень спроса.
Планирование состоит в том, чтобы добиться соответствия деятельности предприятия внешней среде.
После того как вся необходимая информация о внутреннем состоянии, о рынках и экономической ситуации в целом собрана и проанализирована, следующим этапом является постановка задач предприятия. Главная идея этого этапа заключается в том, чтобы все работающие на предприятии были осведомлены о том, чего стремится достичь предприятие, какие ресурсы необходимы для этого, какие политика и планы будут претворены в жизнь. Другими словами, этап постановки задач должен служить сплочению коллектива сотрудников, принуждать каждого действовать в интересах предприятия.
В общих чертах поставленная задача указывает на непосредственные цели деятельности предприятия. В качестве таковых могут выступать: получение прибыли, накопление денежных ресурсов для развития деятельности, предоставление необходимых обществу услуг, достижение передовых позиций на рынке или в отрасли, удовлетворение спроса потребителей продукции.
Количественным и качественным определением того, что должно быть достигнуто для выполнения задачи, т.е. достижения цели, является задание.
Под заданием понимается "оперативное задание" для каждого подразделения предприятия с тем, чтобы оно смогло выполнять поставленные перед ним задачи. Под заданием также может иметься в виду достижение определенного уровня требуемого показателя.
Основными элементами задания являются:
- временной период выполнения;
- количественные показатели результатов выполнения задания (доля рынка, выручка от продаж, производительность труда, величина затрат, потерь и др.);
- соподчиненность задаче;
- наличие поручения одному лицу или коллективу.
Наиболее сложным из всех видов и планов является стратегический, представляющий собой набор решений и действий, обеспечивающих разработку функциональных планов структурных подразделений предприятия.
В зависимости от эволюции стратегического мышления менеджеров предприятия в стратегическом планировании выделяют четыре фазы:
1-я фаза - финансовое планирование, основанное на ежегодном составлении бюджетных отчетов и их анализе.
2-я фаза - долгосрочное планирование, базирующееся на анализе пошлых финансовых результатов и прогнозе картины деятельности предприятия на ближайшие годы.
3-я фаза - планирование с учетом внешних факторов, осуществляемое на основе анализа микро и макроэкономических факторов и разработке по результатам анализа альтернативных стратегий и выборе из них наиболее предпочтительной
4-я фаза - стратегический менеджмент, базирующийся на долгосрочном планировании и планировании с учетом внешних факторов, ориентированный на сохранение и повышение превосходства в конкуренции.
В рамках процессах стратегического планирования выделяют четыре вида информационно- управленческой деятельности: распределение ресурсов, адаптация к внешней среде предприятия, внутренняя координация и осуществление организационных изменений.
Процесс стратегического планирования осуществляется по схеме, приведенной на рисунке 3.2
| Миссия
|
Цели, задачи предприятия
|
— 1
|
^
|
Сканирование внешнего окружения
|
*
|
Анализ управленческих возможностей
|
| предприятия
|
| 1
|
| 1
|
| Оценка реализованной стратегии
|
•»
|
Реализация предпочтительной стратегии
|
•*
|
Выбор предпочтительной . стратегии
|
Формирование > вариантов стратегий
|
Рис.3.2 Схема процесса стратегического планирования
Миссия предприятия - заниматься какой-либо деятельностью, что отражается в его уставе.
Цели формируются на основе миссии. Чтобы предприятие эффективно функционировало цели должны быть конкретными и измеримыми, адаптированны во времени и достижимыми.
Ориентировочные области с конкретными целями следующие:
1.Прибыльность работы - объем прибыли дивиденды.
2.Рынки - доля рынка объем продаж величина сегмента.
3.Эффективность деятельности - издержки производства.
4.Продукция - номенклатура, объем продаж, прибыльность.
5.Финансовые ресурсы - структура капитала, движение денежной массы. °- Производственная мощность - постоянные затраты, единицы продукции.
7.Внедрение новшеств - доходы и технико-экономические показатели.
8.Организация - структура, число уровней, иерархия.
9.Человеческие ресурсы - текучесть, дисциплина, переподготовка.
64
65
10. Социальная ответственность - стаж работы, квалификация, зарплата.
Анализ внешней среды предприятия представляет собой процесс сканирования, посредством разработки стратегического плана с целью определения возможностей и угроз.
Анализ управленческих возможностей предполагает получение ответов на следующие вопросы:
1.Можно ли производить продукцию по более низкой цене, как этого добиться?
2.Можно ли использовать новые материалы и новых их поставщиков?
3.Современна ли технологическая база, хорошо ли она эксплуатиру ется и обслуживается?
4.Можно ли найти такие рынки, которые не могут использовать кон куренты?
5.Можно ли улучшить технологический и управленческий процессы?
6.В какой мере эффективна и результативна система контроля каче ства и количества продукции, материалов и полуфабрикатов?
7.В какой мере организационная культура предприятия соответствует корпоративной его идентичности ( внешнему восприятию)?
Реализация стратегического плана предусматривает интеграцию его в оргструктуру предприятия через бюджет и управление по целям. Основными компонентами планирования реализации стратегического плана являются тактика, политика, процедуры и правила.
Тактикой называют процесс разработки краткосрочной стратегии, согласованной со стратегическим планом и с конкретными действиями менеджеров предприятия.
Политика представляет собой общие ориентиры для принятия решений и действий. Предназначена она для сохранения постоянства целей и для того, чтобы избежать решений, основанных только на требованиях текущих ситуаций.
Процедуры предписывают действия которые должны быть предприняты в каждой конкретной ситуации.
Правила точно указывают, что необходимо делать в конкретной ситуации. Отличием правил от процедур является то , что они рассчитаны на конкретную и ограниченную задачу, а процедуры на ситуации, в которых имеет место последовательность взаимосвязанного комплекса действий.
Тактика, процедуры, правила и политика должны быть достаточно аргументированными и доведены до сведения всех сотрудников предприятия, иначе могут возникать конфликты из-за сужения свободы действий сотрудников.
Оценка реализованной стратегии проводится путем сравнения результатов деятельности предприятия с поставленными целями.
Контрольными вопросами при оценке стратегии являются: 1. Совместима ли стратегия с возможностями предприятия?
2 Предполагает ли стратегия допустимую степень риска?
3 Достаточно ли ресурсов для реализации стратегии?
4. Учитывает ли стратегия факторы внешнего окружения?
5 Сопоставима ли стратегия с эффективным использованием возможностей предприятия?
Для того, чтобы реализация стратегии была в достаточной мере Лфективной, надо согласовывать ее с оргструктурой и с процессом планирования деятельности предприятия.
3.7. Технологическое содержание функции выдвижения и принятия управленческих решений
Управленческие решения представляют собой важнейшую функцию процесса управления, состоящую в нахождении связи между существующим состоянием объекта и желательным определяемым целью управления.
Необходимость решений в процессе управления вызывается динамикой изменения объекта управления, появлением на входе и выходе этого объекта возмущений и отклонений, а также изменением целей, планов, программ и задач. Выработка управленческого решения это деятельность субъекта управления, направленная на достижение стоящих перед объектом и субъектом целей, разрешение проблем. Процесс выработки решений может быть представлен в виде блок-схемы, графика, схемы-потока данных. Он состоит из трех основных этапов: подготовки, принятия и реализации решения. В процессе подготовки решения осуществляется последовательная система действий, в результате которых формируется исходная информация для нахождения искомого результата. При этом формируется цель, выявляются, осмысливаются и обосновываются проблемы; уточняется цель и выбираются критерии решения, а также различного рода ограничения; поиск решения и разработка его возможных вариантов. В качестве инструментов при подготовке решения можно применять эвристические методы, основывающиеся на логике, эрудиции и интуиции менеджера, и экономико-математические методы.
Одна из особенностей управленческих решений, реализуемых, как правило в условиях сложных многоцелевых социально-экономических систем и воздействующих на экономические, организационные, психологические и другие отношения, складывающиеся между сотрудниками в процессе производства и управления - наличие вариантов. Каждый такой вариант обладает особенностями в средствах и сроках достижения цели, в степени эффективности, т.е. вариант имеет качественные и количественные характеристики. Поскольку всегда необходимо стремиться к вариантной проработке решения, важной проблемой является определение достаточного количества вариантов решения и их критериев для поиска эффективного управленческого решения.
66
67
Принятие решений, набор процедур действий, связанных с выбором лучшего варианта. При этом осуществляется перебор вариантов решений, процесс их сравнения и оценки по принятым критериям. Завершается про-цесс принятия удовлетворительного решения его утверждением менеджером или коллегиальным органом и соответствующим документальным оформлением. Принятое решение состоит обычно из двух частей: констатирующей и постановляющей. В констатирующей части содержится информация о настоящем состоянии объекта управления и окружающей среды, о необходимости и целесообразности изменения этого состояния. В постановляющей части указываются цели и решения, а также кто, что, где, когда и при каких условиях должен делать для исполнения решения.
Реализация решения - это набор процедур, связанных с осуществлением управляющего решения по определенному организационному плану. В этом плане определяется зона решения, область его действия и границы распространения; распределяются объемы работ по объектам и задачам, а также интервалы времени; определяются ответственные за исполнение; конкретизу-ются потребности в материальных и финансовых ресурсах. В ходе реализации решения важное значение имеет проверка исполнения составляющих решения. Цель такого контроля - выявление и своевременное предупреждение отклонений от принятой программы. После реализации решения подводятся итоги как по этапам, так и по всему их комплексу, выявляются недостатки и достижения, фиксируется внимание менеджеров для подготовки новых воздействий на объект. Иногда в процессе реализации решения возможен его пересмотр при появлении новых, не предвиденных ранее положительных возможностей или при неблагоприятной ситуации, возникшей в ходе выполнения управленческого решения, принятого в условиях риска или неопределенности. Результатом пересмотра решения может быть внесение изменений или его отмена и принятие нового решения.
Комплексной характеристикой качества управленческого решения считается его действенность, включающая оперативность, точность, актуальность и результативность.
Актуальность решения определяется потребностью в конкретном управляющем воздействии на объект в данный момент времени, обусловленная наличием определенной проблемы. Решение считается актуальным тогда, когда различие между существующим и необходимым (желаемым) состоянием объекта явно препятствует его нормальному функционированию или дальнейшему развитию или когда необходимо предотвратить тенденцию усиления этого различия.
Оперативность решения отражает своевременность разработки и реализации управляющих воздействий. Преждевременные и запоздалые решения нежелательны так как объект может быть не готовым к восприятию управляющих воздействий.
'- Точность решения - это степень предвосхищения результатов дости-—бння цели. Точность зависит от полноты учета требований законов раз-ития производства и управления, эффективного выбора метода воздейст-а также от условий, в которых принимается решение. ' Результативность управленческого решения определяет степень достижения намеченного фактического результата.
Типичные для функции управления решения разделяют на следующие
группы:
1. Плановые, позволяющие ответить на вопросы, какова миссия пред-прнятия, каковы его цели, какие изменения во внешней среде и каковы должны быть на них реакции, каковы должны быть стратегия и тактика предприятия.
• • 2. Организационные, связанные со структуризацией работы предприятия и координацией его деятельности и с оперативным управлением про-цессами.
3.Мотивизационные, отвечающие на вопрос, что следует предпри нят^, чтобы повысить удовлетворенность работой и производительность персонала.
4.Контрольные, связанные с оценкой отклонений фактических резуль- татов от запланированных и определением различного рода коррективов.
По своей природе решения бывают запрограммированными, незапро-граммированными, компромиссными, интуитивными, основанными на . суждениях и рациональными.
Принимая решения, надо учитывать состояния объекта управления, управляющего органа и внешнее окружение предприятия. Завершается процесс принятия решения выбором среди возможных действий такого, которое обеспечивает достижение поставленной цели с наилучшими результатами. В зависимости от характера общей ситуации решение приходится Принимать: в условиях определенности, в условиях риска, в условиях неопределенности и в конфликтной ситуации.
В условиях определенности каждому решению соответствует четко известное количество действий, которые легко оценить, сравнить и на этой основе выбрать наилучшее решение. В условиях риска каждому решению соответствует некоторое множество исходов с известными вероятностями их появления и экономическими или другими оценками.
Выбор решения осуществляется путем сравнения общих оценок действий, определяемых выражением: 01 = р^1 + р2^г + ... + р^,^п,
где р| - вероятность исходов, ц> - экономические показатели исходов. ••v: ,®,Условиях неопределенности каждому действию соответствует неиз-•уСТЯОе количество исходов с неизвестными вероятностями появления, а также
с неполностью известными экономическими оценками исходов.
68
69
Принятие решений в данном случае осуществляется либо после повышения уровня информированности для приведения ситуации к условиям риска, либо на основе использования метода экспертных оценок.
В конфликтной ситуации наиболее приемлемым является использование экспертов-консультантов, а в отдельных случаях, если возможно формализовать ситуацию, то использовать теорию игр.
Управленческая практика свидетельствует о том, что любым организационным действиям присущи определенные сложности как в объекте управления, так и в управляющем органе. Управленческие решения принимаются людьми и воздействуют на них, поэтому следует учитывать целый ряд факторов, влияющих на процесс принятия управленческих решений. К числу таких факторов относят личностные характеристики менеджеров, изменяющееся их окружение, информационные и поведенческие ограничения, последствия и взаимосвязь решений.
Менеджер может иметь властный, либеральный или какой-то промежуточный характер. Это обстоятельство влияет на процесс принятия решений. Влияют также и другие индивидуальные черты менеджера такие, как решительность, ответственность, принципиальность и др.
Управленческие ситуации с течением времени изменяются. Иногда они успевают так преобразоваться, что критерии становятся недействительными. Поэтому решения следует принять и реализовать пока информация и допущения, на которых они основаны, остаются релевантными и точными. Информационные ограничения иногда связанны с недостаточностью сведений или со слишком дорогой их ценой. В последнем случае надо сравнивать выгоды при определенном уровне информированности с расходами на информацию.
Поведенческие ограничения обычно связаны с разным восприятием важности и срочности проблемы, ограничений и альтернатив, перегруженностью текущей работой, с личным пристрастием или лояльностью по отношению к кому-то, сопротивлением переменам и с конфликтностью. Практически все решения связаны с компромиссом между выигрышем и ущербом. Поэтому приходится сопоставлять минусы с плюсами в целях получения наибольшего общего выигрыша. За каждым решением обычно следуют новые, на которые оно может повлиять. Кроме того решения каким-то образом могут влиять на цели структурных подразделений предприятия, поэтому необходимо предусматривать то, как встраивается и взаимодействует решение в системе управления, чтобы выбирать альтернативы, которые обеспечивают наибольший вклад в достижение общих целей предприятия.
Сложные управленческие решения базируются на использовании экономического анализа и методов линейного и динамического программирования, теории вероятностей и математической статистики.
В зарубежной практике наибольшее распространение получили такие методы, как платежная матрица и дерево решений. Платежная матрица использу-
-тся в случае, когда решение одношаговое, количество вариантов, их вероятности я оценки известны, а результаты решения зависят от альтернативы.
Дерево решений - это схематические представление проблемы принятия многошаговых решений и использование на каждом шаге алгоритма выбора решений на базе платежной матрицы.
3.8 Технологическое содержание функции прогнозирования
Прогноз - вероятный вариант будущего состояния объекта или его внешней среды на определенный период. Прогноз позволяет определить картину (образ) будущего состояния явления и обосновать пути перехода от существующего состояния явления к будущему его образу. Наиболее часто прогноз применяется при разработке различного рода планов.
Прогноз позволяет решать задачи научного анализа экономических, социальных и технических процессов и тенденций, оценить их действия в будущем, предвидеть появление новых возможностей и угроз, выявлять возможные варианты решения. Классификация прогнозов осуществляется по функциональному и временному признаку. Функциональный признак предполагает выделение исследовательских прогнозов, направленных на изучение закономерностей и целей развития объектов и процессов; программных или нормативных, а также прогнозов, базирующихся на научно-обоснованных и количественно определенных целях развития и направленных на определение наиболее вероятных путей их осуществления. В практике находят применение такие прогнозы, задачей которых является выявление возможностей распределения ресурсов по программах.
По временному признаку прогнозы подразделяются на краткосрочные, среднесрочные и долгосрочные. Временной горизонт прогнозов зависит от характера его задач. В народно-хозяйственном планировании используется система прогнозов, включающая демографические, социальные и экономические, а также прогнозы развития науки и техники и природных ресурсов. Использование совокупности указанных прогнозов позволяет определять хозяйственную концепцию развития народного хозяйства; отраслей и регионов страны, обоснованно намечать объемы производства по всему комплексу отраслей, выявлять направления структурных сдвигов в общественном производстве, устанавливать взаимосвязь в решении различных проблем, а также целесообразную очередность решения проблем с учетом их значимости.
Прогнозирование осуществляется с помощью следующих методов:
- экстраполяция, посредством которой характеристики и параметры прошлых явлений переносятся на перспективные явления;
- экспертных оценок;
70
71
- компонентной аналогии, при которой выявляются существенные компоненты прогнозируемого явления и явления, имеющего место в про шлом, а затем характеристики прошлого явления переносится на новое;
- патентного метода, который позволяет выявить закономерности на основе патентной информации и определять сроки наступления тех или иных событий;
- математического моделирования, позволяющего создать модели бу дущего явления, раскрыть его количественные характеристики в прогно зируемых событиях.
В менеджерской практике используется следующие разновидности прогнозов:
1.Экономические - для предсказания экономических показателей производства, сбыта, финансовой деятельности и др.
2.Развития технологии - для предсказания ожидаемых новых техно логий, сроков их появления и экономической полезности.
3.Развития конкуренции - для оценки стратегии и тактики конкурентов.
4.Предсказания на основе опросов и исследований макро и микро экономических ситуаций - для оценки внешней среды.
5.Социальные - для предсказания изменений в социальных установ ках людей и состояния общества.
В зависимости от способов получения информации методы прогнозирования делят на неформальные ( по вербальной информации, по письменной информации и на основе промышленной разведки), количественные ( на основе анализа временных рядов и причинно-следственного моделирования) и качественные ( мнение жюри мнение сбытовиков, модель ожидания потребителей и метод экспертных оценок).
Для успешного осуществления управленческой деятельности каждый менеджер должен быть знаком с сутью всех проведенных методов и областью их эффективного применения.
Глава 4. ТЕОРЕТИЧЕСКИЕ ОСНОВЫ
ИНФОРМАЦИОННЫХ ПРОЦЕССОВ
4.1 Структура информационного процесса
Деятельность людей связана с обработкой материалов, энергии и информации. Соответственно развивались научные дисциплины, отражающие вопросы технологии, энергетики и информатики. Несмотря на то, что информатика является самой молодой и неустановившейся наукой, она уже теперь находит применение в следующих областях теории и практики: кибернетика, системотехника, исследование операций, бионика, автоматика, телемеханика, связь, измерительная техника, вычислительная техника, математика, экономика, социология, менеджмент, физика, химия, биология, психология, медицина, педагогика, лингвистика, библиография и др.
В кибернетике информационная наука занимает подчиненное положение, так как, кроме чисто информационных процессов, в ней рассматриваются объекты, цели, общие технологические процессы, оптимизация управления, обратные связи и т.д.
В ряду таких дисциплин, как исследование операций, системотехника, административное управление, информационная наука и техника занимает одно из базовых положений, т.е. во всех указанных дисциплинах теория и практика информации используются или могут быть использованы как одна из их существенных частей, относящимся к информационным явлениям, наряду с рабочими операциями, вещественными и энергетическими явлениями и системами, вопросами организации, стратегии, надежности и т.п.
Информационные системы отличаются от других естественных или искусственных систем тем, что в них присутствуют элементы и связи наблюдения или управления, процессы обращения информации, формы отображения различных явлений.
Информационные системы всегда накладываются на рабочие системы, но они могут быть представлены либо техническими средствами, либо людьми. Таким образом, под информацией следует понимать не сами объекты и процессы, а их существенные и представительные характеристики, выделенную сущность явлений материального мира. При этом объекты и процессы отражаются или отображаются в виде текстов, чисел, формул, описаний, чертежей, символов, образцов и других абстрактных характеристик.
Любая информация проявляется всегда в материально- энергетической форме в виде сигналов. Методологическая схема их образования по-камнана рис. 4.1.
С передачей и обработкой информации связаны действия автома-че
бкого устройства, поведение живого существа, творческая деятель-ост
ь человека, экономические и социальные преобразования.
72
73
| Физический сигнал
|
^
|
Математические модели
|
-»•
|
Физическая модель
|
| -»• *•
|
| Материя явлений
|
Аппарат -• Аппарат восприятия квантования
|
Аппарат кодирования
|
Материя сигналов
|
| 1
|
1
|
| 1
|
| Наблюдаемые явления
|
*
|
Начальная Квантован-информация -»• ная инфор-
|
Кодированная информация
|
— ^
|
Используемые сигналы
|
Рис. 4.1 Методологическая схема образования сигнала.
В информационных процессах обмен информацией может быть: между людьми, между техническими средствами, между человеком и техническим средством, между техническим средством и человеком.
Структурно информационный процесс включает следующие составляющие: сбор (восприятие), передачу, переработку, хранение и представление информации. Результатом реализации составляющих является воздействие. Исключением является представление информации, так как эта составляющая имеет место только тогда, когда информация используется людьми.
В информационном процессе наблюдается также то, что не всегда воздействие направлено на источник информации. Оно может быть направлено на отдельные элементы системы управления или на нее в целом.
Поскольку материальным носителем информации является сигнал, то информационный процесс можно рассматривать одновременно как цикл обращения и преобразования сигналов, несущих информацию.
Восприятие информации состоит в том, что формируется образ объекта или материального процесса, производится его опознание и оценка. При восприятии осуществляется фильтрация информации, т.е. отделение полезной информации. В результате восприятия получается сигнал в форме, удобной для передачи или обработки информации, ее систематизации, кодирования, построения форм сообщения.
Передача информации состоит в переносе ее на расстояние посредством различных сигналов по акустическим, механическим, пневматическим, электромагнитными и другим каналам связи. Прием информации на
v- -пикше канала имеет характер вторичного восприятия с характер-^мидяя него операциями борьбы с помехами. НЫ
Хоанение информации - это перенос ее во времени. От момента фор-
кания информации источником до момента ее использования прохо-*"||екоторое время. В зависимости от того, как меняется ценность ин-гЬопмации во времени, надо обеспечить соответствующую длительность ее мнения. Другой важной характеристикой информации, влияющей на поооб ее хранения, кроме ценности, является частота использования. Чем чаше нужны сведения, тем быстрее их надо извлекать из хранилищ. Извлечение информации имеет характер восприятия.
Обработка информации заключается в решении задач управления, связанных с преобразованием информации, независимо от их функционального назначения. Процесс обработки может быть ручным или машинным с использованием различного рода методов логики и математики.
Представление информации заключается в демонстрации перед сотрудником условных изображений, содержащих качественные и количественные характеристики входной информации. Для представления информации используются оптические, акустические и двигательные сигнализаторы, цифровые и графические регистрирующие приборы с видимой записью, электроннолучевые трубки с экранами, мнемонические плоские и объемные щиты, табло и макеты с встроенными сигнальными и индикаторными элементами.
Воздействие состоит в том, что сигналы, несущие информацию, производят регулирующие, управляющие или защитные действия, вызывающие изменения в объекте управления.
Структура информационного процесса реализуется информационной системой, целью функционирования которой является преобразование информации о составляющих процесса управления. В зависимости от характера и роли конкретных операций преобразования информации в системе различают следующие информационные системы:
• управляющие, обеспечивающие формирование и реализацию функций управления;
•советующие, представляющие вариант справочной системы;
•поисковые, предназначенные для выдачи документальной ин формации.
В зависимости от характера последних различают системы справоч-но-информационного обслуживания потребителей по их разовым запросам, справочно-библиографического назначения, рассчитанные на одновременное обслуживание широкого круга потребителей и системы избира-ьного распространения информации. В практике нашли применение "*«; Информационные системы интегрированные, в которых заложен "•«рвльный принцип преобразования информации, когда новая инфор-
74
75
мация однократно вводится в систему и затем используется в самых раз-личных режимах информационного обслуживания.
Степень совершенства информационной системы и протекающих в ней информационных процессов оказывают существенное влияние на эф. фективность процессов управления организацией.
4.2. Основные формы и методы восприятия информации
Простейшим видом восприятия является различение двух противоположных состояний: "да" и "нет".
Более сложным видом восприятия является измерение, т.е. определение значений некоторых наблюдаемых характеристик в статике или в их изменении во времени или пространстве.
Наиболее сложным видом является комплекс, включающий процессы поиска, анализа, оценки обстановки, предсказание событий и состояний объекта, распознание объектов, факторов, ситуаций, состояний, образов и понятий.
Анализ видов восприятия информации позволяет расположить их в таком порядке:
• первичное восприятие и измерение информации;
• анализ;
• обнаружение и распознавание;
• прогнозирование ситуаций.
В первичном восприятии можно выделить задачи поиска, локализации, избирания информации. Анализ охватывает процессы, явления и ситуации, может иметь характер дисперсионного, корреляционного, регрессионного, анализа распределений и т.п. К обнаружению и распознаванию относятся различение элементарных событий, распознавание состояний объектов (диагностика), проверка объектов, распознавание образов. Прогнозирование ситуаций предназначено получать картину (образ) будущего состояния любого явления и обосновывать пути перехода от существующей ситуации к будущей.
Задача восприятия имеет две стороны. Первая состоит в нахождении параметров, содержащих информацию, и признаков состояния источника информации. Эта часть задачи решается на основании изучения свойств источника информации и установления связей информационных параметров с его состояниями. Вторая сторона задачи заключается в определении настоящего, прошлого и будущего состояния источника информации. Она решается рядом последовательных функциональных операций. Первой операцией в большинстве случаев служит измерительное преобразование, цель которого состоит в представлении величин параметров в унифицированной форме, более удобной для дальнейшей обработки и использования. Вторая операция зависит от цели восприятия. Простейшее определение состояния производится с использованием логического распознава-
,. колее глубокие свойства источника, например, статистические выяв-„«/ггся С использованием алгоритмов анализа и экстраполяции.
Источник информации характеризуется некоторым множеством явле-ий. подлежащих восприятию. Это множество интерпретируется как мно-ество состояний источников в пространстве состояний. Обмен информацией осуществляется в процессе восприятия посредством определенного набора информационных параметров, или признаков. Множество возможных значений признаков называют пространством признаков.
Заключение об информированности может быть сделано на основании теоремы о несущественности данных , согласно которой параметр не содержит информации о состоянии источников и им можно пренебречь в том и только в том случае, если вероятность того, что этот параметр примет некоторое значение (или находится в некоторой области) при условии, что множество остальных параметров их пространства зафиксировано, а источник находится в одном из состояний, принадлежащих пространству состояний, не отличается от той же вероятности без условия, относящегося к состоянию источника.
Критерием эффективности восприятия может служить стоимость процедур восприятия или количество полученной информации. Требования в зависимости от цели восприятия состоят в обеспечении достаточно малой вероятности ошибки восприятия, заданного времени восприятия и т.д. На качество оценки состояния источника влияют определенные ограничения: тезаурус воспринимающего, доступность параметров, быстродействие технических средств, стоимость необходимого для восприятия оборудования.
В практике требуется распознать зрительные и акустические образы при считывании графической и восприятии звуковой информации, отыскивать необходимые сигналы на фоне различных помех и т.д.
Процесс распознавания состоит в классификации явлений по имеющейся информации и отнесении воспринимаемой совокупности, или вектора признаков, к области, характеризующей одно из состояний источника информации. С этой целью пространство признаков разбивается по какому-либо критерию на несколько областей, соответствующих точкам пространства состояний. Если разбиение производится на две области, распознавание становится двухальтернативным. В сферу задач обнаружения и распознавания входит определение границ областей явлений и нахождение оптимальных алгоритмов классификации.
В практике имеют место три характерных случая расположения условных распределений ситуаций:
• непересекающихся условных распределений;
• тождественных распределений;
• пересекающихся распределений.
76
77
В первом случае возможно безошибочное распознавание. Для этого области в пространстве признаков должны быть выбраны так, чтобы каждая из них включала все возможные значения только одного соответствующего ей параметра. При этом вероятность правильного распознавания конкретного состояния равна единице.
Во втором случае точное распознавание невозможно, какое бы разбиение на области состояний ни проводилось.
Третий случай является промежуточным между первым и вторым. Распознавание состояний при этом возможно с вероятностями, лежащими в определенных пределах.
4.3. Передача информации
Передача информации осуществляется с целью достижения информированности. Своевременное информирование руководителей и исполнителей обеспечивает постановку и решение актуальных задач, вопросов, оперативность управления. Информированность может быть частичной и полной. В последнем случае информированность означает наличие информации, отображающей обстоятельства, обусловившие необходимость управленческого воздействия, возможные последствия непринятия решения и результаты реализованного решения.
Оценкой уровня информативности могут быть:
• количество сведений, знаний, элементов данных, насыщенность содержанием;
• количество информации, которое извлекается из сообщения или
документа их потребителем;
• числовая характеристика полезности введенных признаков или эталонных объектов при решении задач распознавания образов.
Информативность отражает способность использовать информацию в управлении. Полезность данных для управления зависит от их количества и времени получения.
Любой сигнал неразрывно связан с определенной материальной системой, называемой системой передачи информации, схема системы передачи информации показана на рис. 4.2. Она состоит из источника информации 1, передатчика 2, канала связи 3, приемника 5 и адресата 6.
Источник информации вырабатывает информацию в форме сообщений 7. С источником информации обычно связано определенное множество сообщений.

Рис. 4.2. Схема системы передачи информации
Генерация каждого сообщения заключается в случайном выборе одного сообщения из множества возможных. Какое это конкретно будет сообщение, заранее не известно, по крайней мере тому, для кого оно предназначается. Известно лишь, что сообщение принадлежит определенному множеству.
Передатчик преобразует сообщение в сигнал. В передатчике каждое из возможных сообщений 7 на входе преобразуется в одно из возможных значений сигнала 8 на выходе по строго установленному правилу. Физическая среда, по которой передаются сигналы, называется линией связи.
В канале связи кроме сигнала, генерируемого передатчиком, действуют другие сигналы и случайные процессы. Эти посторонние сигналы и процессы 11 накладываются на полезный сигнал и искажают его. Поэтому принимаемый сигнал на выходе канала связи отличается от входного сигнала. На схеме рис. 4.2 это отражено выделением источника помех в виде блока 4.
Приемник по принятому сигналу 9 осуществляет восстановление переданного от источника информации сообщения по известному правилу преобразования сообщения в сигнал. На основании этого вырабатывается правило обратного преобразования сигнала в сообщение, позволяющее выбрать на приемной стороне сообщение 10 из известного множества возможных сообщений.
Адресат в системах связи - это непосредственно человек либо технические средства, взаимодействующие с человеком.
С передачей информации связаны такие проблемы, как повышение эффективности, в частности повышение скорости передачи информации по каналу; повышение надежности передачи; эффективное использование многоканальных систем передачи; использование новых перспективных видов связи.
По назначению передаваемую информацию можно разделить на осведомительную и управляющую.
78
79
В технике передачи информации находят применение механические, акустические, оптические, электрические и радиоканалы, различаемые по используемым линиям связи и по физической природе сигналов.
Повышение помехоустойчивости передачи информации достигается использованием следующих мер:
Увеличение мощности сигнала ( простейшая мера).
Применение помехоустойчивого кодирования.
Применение помехоустойчивых методов приема информации.
Применение каналов с обратной связью по примеру телефонной связи.
4.4. Обработка информации
Под обработкой информации понимается процесс преобразования информации, выраженной в
знаках или сигналах, в результате которого содержание информации становится подготовленным для представления ее получателю - человеку для принятия решения или управляющего воздействия. Более широким понятием является "переработка информации", которое включает логическое, аналитико-синтетическое или эвристическое преобразование информации человеком или техническим средством, связанное с обобщением, выработкой суждений, умозаключений, понятий и образов. Более узкое понятие обработки информации можно рассматривать как формализованную часть процесса познания, осуществляемого человеком в процессе управления.
В отличие от других информационных процессов при обработке воспринимается, истолковывается и познается какой-то элемент из огромной сложности разнообразия объективной реальности, с помощью выбора вариантов, упрощений и абстракций совершается определенное ограничение этого разнообразия, выявляется общее и существенное, позволяющее принимать решения в конкретных ситуациях.
В процессе обработки, как правило, количество информации уменьшается при возрастании ее ценности и содержательности.
Большинство задач обработки информации решается по функциональной схеме, приведенной на рис. 4.3.
Приведенная схема обработки представляет собой своего рода автомат, осуществляющий последовательное преобразование входных сигналов из некоторого их множества в выходные сигналы с использованием некоторого множества алгоритмов, программ обработки информации и памяти, включающей тезаурус, нормативы, правила, инструкции, методики и др.
Адреса
| Программы
обработки
информации
|
Память
Информация
Выходная информация
Рис. 4.3. Функциональная схема обработки информации
На вход (сотруднику или обрабатывающему устройству) поступают массивы информации, каждый из которых содержит:
• адресную часть, указывающую ячейку памяти, содержимое которой необходимо для обработки информации конкретного массива;
• номер программы, который дает возможность определить, по ка кой из хранящихся в памяти программ должен обрабатываться входной массив;
• множество основных элементов, наиболее полно и точно харак теризующих входную информацию в массиве.
В результате обработки в самом общем случае получаются два новых массива: массив выходных данных и новый массив в памяти. Элементами входных и выходных массивов могут быть результаты измерения всевозможных параметров, отдельные реквизиты и показатели, семантические множители и коды документов. Количество отдельных элементов определяется конкретной задачей и возможностями технических средств.
В качестве функции выходов и функции преобразования информации могут выступать различные математические и логические функции и операторы: функциональные преобразователи, операторы идентификации, упорядочения, сортировки и др.
В целом функциональная схема представляет собой рекуррентную структуру обработки данных: результат обработки данного массива зависит от результатов обработки предшествующих массивов.
В системах, в которых используются статистические методы обработки результатов экспериментов, информационно - поисковых или информационно - логических системах имеет место только накопление в памяти входных информационных массивов или выдача накопленных выходных массивов.
Процессы обработки информации, производимые человеком или ОМпьютером в информационных системах, предназначенных для реше-
80
81
ния широкого класса задач, осуществляются по определенным правилам, называемым алгоритмами.
Алгоритм представляет собой систему формальных предписаний, определяющих процесс достижения конкретной цели - преобразования исходных данных в искомый результат, а также набор условий, определяющих порядок применения правил к обрабатываемым данным.
К алгоритмам предъявляются следующие требования:
• определенность, состоящая в четкости и недвусмысленности об разующих его указаний:
• массовость, заключающаяся в применимости алгоритма к неко торому множеству исходных данных и к целому классу различ ных задач;
• результативность, заключающаяся в том, что для всякого множе ства исходных данных число операций, приводящих к результа ту, конечно.
Каждый алгоритм распадается на элементарные акты, каждый из которых выполняется по вполне определенным и достаточно простым правилам.
После выполнения всех актов, соответствующих значению параметра или показателя и проверки условий, им соответствующих, производится изменение параметров и показателей. Порядок выполнения отдельных актов и проверки необходимых условий, а также порядок последовательных изменений значений параметров и показателей заранее определены. Представление алгоритма решения задачи в форме, воспринимаемой персональным компьютером, называется машинной программой.
Любая операция обработки данных представляет собой некоторую вычислительную или логическую операцию. Значительный объем информации при управлении, многообразие форм ее представления, большое количество одновременно функционирующих и пространственно разделенных источников информации, повышение требований к своевременности, точности и удобству представления информации потребителю требуют автоматизации информационных процессов. Эта задача решается путем разработки и использования сложных информационных систем, в том числе и систем сбора и обработки информации, включающих в себя вычислительные устройства, устройства передачи, хранения и документального представления информации. Обработка данных возможна лишь в том случае, когда имеются априорные сведения о характере исследуемых объектов и источников информации или о характере задачи, которая должна решаться с использованием этих данных. Эти априорные сведения заранее вводятся и хранятся в памяти системы сбора и обработки.
Выдача результатов обработки может осуществляться в двух формах: в режиме прямой связи с потребителями информации и в режиме бу-
накопления с использованием устройств представления результатов обработки потребителю.
Управление информационной системой, а также обеспечение связей между отдельными ее элементами для регулирования информационного потока осуществляется центральным устройством управления.
Основными характеристиками систем обработки информации являются:
• пропускная способность, определяемая скоростью ввода, выво да и обработки информации;
• производительность, объединяющая трудоемкость и пропускную способность;
• точность обработки;
• надежность;
• уровень автоматизации операций в системе;
• принцип организации информационных потоков, параллельный или последовательный;
• экономичность;
• временной режим работы системы, регулярность, непрерывность или периодичность выдачи информации;
• гибкость ,т.е. способность перестраиваться на решение новых за дач;
• принцип закрепления функций за техническими средствами;
• степень централизации вычислительных операций;
• наличие устройств хранения промежуточных результатов и ре зультатов обработки.
Обработка информации может быть поточной, с некоторой задержкой и непоточной.
Наиболее перспективным для обработки массивов информации признано использование многомашинных объединенных вычислительных систем.
4.5. Представление информации
Под представлением информации понимается преобразование ее в у> удобную для восприятия и использования человеком. С этой целью информация обрабатывается в виде наглядных и легко воспринимаемых сигналов и символов, формируемых с учетом психофизических и психофизиологических возможностей человека. Основную роль при передаче информации человеку играет зрительный канал, т.е. визуальное представление. Слуховой и осязательный каналы используется только как вспомогательные.
82
83
Оперативная информация о состоянии объектов контроля и управления может быть представлена тремя способами: сигнализацией, индикацией и регистрацией.
Под сигнализацией понимается сообщение о факте перехода величины из одной области в другую. При сигнализации имеется возможность использовать наряду со зрительным слуховой и осязательный каналы. При визуальной сигнализации основным средством представления является сигнальная лампа. Значительно реже применяются электромеханические и механические элементы: бленкеры, флажки, семафоры, клапаны, затворы. Для акустической сигнализации используют сирену, звонок или голос. Через осязательный канал сигналы передаются с помощью механических и вибрационных воздействий.
Индикацией называется представление результатов измерения. Эта форма представления воздействует главным образом на зрительный канал. Индикация может осуществляться как в аналоговой, так и в цифровой форме. Аналоговые индикаторы представляют информацию в виде изменения некоторых физических величин, например, перемещений, расстояния между двумя точками, интенсивности свечения, звука, механических воздействий и т.д. К этому классу относятся указательные шкальные приборы, а также индикаторы с яркостной, акустической и прочими шкалами.
Цифровые индикаторы представляют значения величин символами. Их разделяют по способу воспроизведения цифр, основанию системы счисления, а также по функциональным и конструктивным признакам. Основные способы воспроизведения цифр - мозаичный и фигурный. По первому способу знак синтезируется из отдельных точек или отрезков, различные сочетания которых определяют конфигурацию символа. Фигурный способ воспроизведения цифр предполагает использование заранее подготовленных фигур либо вычеркивание символа в момент его отображения на экране.
Третья форма представления информации - регистрация - предназначается для записи в символической форме факторов, величин и явлений с целью их документирования и накопления на материальном носителе. Регистрация в большинстве случаев сопровождает процесс индикации и по окончании его позволяет в нужный момент представить накопленную информацию в форме текста, цифрового массива, графиков, кодов и оценок состояний объекта.
В условиях управления сложными процессами и большими системами перед пользователями информации концентрируется огромное количество представляемых сведений о состоянии объекта и органа управления. В результате создается громоздкая и рассеянная картина состояния объекта, трудно воспринимаемая и перерабатываемая человеком, особенно если для восприятия и переработки информации отводится ограниченный интервал времени. В такой ситуации целесообразным считается использование информационных моделей, под которыми понимается организован-
да
некоторым образом совокупность средств отображения текущих и ап-мюрных данных о состоянии объекта и его внешней среды. Наблюдение за информационной моделью позволяет своевременно диагностировать и оценивать текущую ситуацию, принимать решения и прогнозировать поведение объекта или процесса.
Информационная модель должна быть компактной, объединяющей средства сигнализации, индикации и регистрации в единую информационную систему, представляющую в удобной для человека форме конкретную обстановку с существенными ее деталями. К последним относят: многообразие взаимосвязей между контролируемыми величинами, отношение сигналов к объекту и целевым функциям, значимость параметров и их связей в решении той или иной управленческой задачи. При этом необходимая полнота представления данных о состоянии объекта должна обязательно согласовываться с психофизическими возможностями человека по восприятию и переработке информации. В силу ограниченных возможностей человека по восприятию и обработке информации скорость ее поступления не должна превышать пропускной способности человека. Невыполнение этого условия резко усложняет работу человека как приемника информации и приводит к различным неблагоприятным эффектам перегрузки, а именно к пропуску и ошибочному опознаванию сигналов и задержке в их передаче и переработке. В свою очередь перегрузка отчасти может быть компенсирована фильтрацией потока информации и параллельным включением дополнительных сотрудников.
Надежность функционирования систем "человек-человек" и "человек-машина" во многих случаях может быть обеспечена на основе делегирования полномочий и повышения уровня тезауруса работников. Однако такой подход состоит по существу в приспособлении человека к существующей системе контроля и управления и не предполагает развития и совершенствования самой информационной системы. В тоже время рациональная организация информационной модели, представляющей информацию с учетом различных взаимосвязей в форме, удобной для восприятия человеком, сокращает информационную нагрузку, а также способствует процессу его адаптации до требуемой пропускной способности. Поэтому особую важность приобретает вопрос рационального отображения параметров системы управления, обеспечивающих максимальную в конкретных условиях скорость обработки информации.
В случае, когда информационные процессы связаны с массовой информацией, применяется обобщенное ее представление. Методы обобщенного представления основаны на генерализации, под которой понима-етс
я процесс обобщения и выделения данных из первичного множества ""раметров с целью формирования групповых обобщенных характери-сп
№, позволяющих судить о существенных признаках поведения и состояния исходного множества данных.
84
85
В зависимости от свойств обобщенных характеристик и методов формирования выделяют три направления генерализации: функционально-логическое, аналитическое и статистическое.
Первое направление основано на использовании функциональных и логических связей параметров между собой, а также их отношений к состоянию объекта и целевой функции управления. Учет взаимосвязей позволяет выделить представительные характеристики и параметры, возглавляющие иерархические системы генерации взаимосвязанных параметров и отражающие изменение каждого из нижестоящих в данной иерархии.
В результате аналитической генерализации получаем интегральные, инкрементные и экстремальные характеристики множества данных. Такой подход оказывается эффективным при контроле объектов с распределенными параметрами.
Статистическое направление генерализации чаще всего используется для целей анализа и прогнозирования случайных процессов. Это направление предполагает переход от множества отдельных значений параметров к их статистическим распределениям, таким, как математическое ожидание, мода, медиана, асимметрия и др.
Рассмотренные методы обобщенного представления массовой информации, естественно, не исчерпывают всех возможностей решения этого вопроса.
Глава
5. ОБЩЕНИЕ В ПРОЦЕССЕ ИНФОРМАЦИОННОЙ ДЕЯТЕЛЬНОСТИ
5.1. Деловое общение
Общение представляет собой передачу мыслей, эмоций или отношений одного или нескольких человек другому или другим людям. Общение _ важный и обязательный компонент информационной деятельности в системе управления. Это обусловлено следующими обстоятельствами:
изучение объекта или процесса подразумевает эффективные пря мую и обратную связь органа управления с объектом или процессом;
исследование ситуации позволяет связать желание управляющего и потребности объекта;
общение - один из способов контакта, с помощью которого сооб щения доводят до потребителя;
- всякие переговоры ведутся посредством двустороннего общения; '- руководители доводят инструкции и указания до подчиненных;
подчиненные своим поведением показывают отношение к руководству;
общение может быть официальным, т.е. предусмотренным положе нием о подразделении и должностной инструкцией сотрудника;
общение может быть неформальным, т.е. касающимся вопросов, напрямую не связанных со служебной деятельностью;
общение может быть дружественным или враждебным, доступным для понимания или беспорядочным;
общение может быть в устной, письменной или непротокольной форме;
общение может быть эффективным или неэффективным;
неэффективное общение может вызвать противоположный эффект, например, плохая реклама приводит к потере покупателей, плохое производственное общение вызывает производственные конфликты, плохо составленный отчет может привести к ошибочным решениям.
Основные принципы общения предусматривают следующее:
- должны существовать каналы общения;
на концах каждого канала должны находиться сотрудники, способ ные пользоваться ими;
должны быть некоторые средства, подтверждающие использование информационных каналов;
должно быть достаточное побуждение к использованию информа ционных каналов общения;
должна быть выбрана наиболее приемлемая форма общения: устная, письменная, диаграммная или рисуночная.
Каково бы ни было общение - личное или посредством технических средств, оно обычно осуществляется по типовой схеме (рис. 5.1). На схеме "оказаны стадии и элементы процесса общения. Информация источника в
86
87
виде идей, мыслей, планов, приказов и указаний искажается фильтрами, обусловленными отношениями, предубеждениями и ожиданиями.
Обратная связь

Назначение
информации
фильтр
Декодер (те
заурус)
Получателе

Рис. 5.1- Типовая схема общения
После чего идеи, мысли, планы и приказы становятся посланием в виде сообщений, планов, приказов и указаний, которое кодируется наиболее пригодными в ситуации средствами - письменными или произносимыми словами, сигналами, символами и т.д., которые передаются через приемные каналы с учетом рассеивания и искажений. Получатель принимает переданный сигнал и расшифровывает его согласно уровню своего тезауруса. Понимание получателя зависит также от его отношения, предубеждения и ожиданий. Его интерпретация сигнала определяет назначение, то есть то, что он думает о полученном.
Если процесс общения не имеет обратной связи, т.е. имеет односторонний характер, то появляется риск неадекватного поведения получателя вследствие ошибочно воспринятого сообщения. При двустороннем обше-нии получатель имеет возможность уточнить, правильно ли он понял по-
сяание. Обычно в любой организации почти 80% проблем возникают вследствие неправильного общения.
Все организации отличаются разнообразием функций, структур и информационных систем, которые должны взаимодействовать и контролироваться. Поэтому организация не может функционировать без общения, которое связывает все составные части организации и побуждает сотрудников к выполнению своих обязанностей. Чтобы функционировал каждый элемент структуры управления, должно быть общение между членами группы сотрудников этого элемента.
Обмен информацией обычно осуществляется для того, чтобы передавать приказы, указания и распоряжения и для того, чтобы они были эффективно исполнены; обеспечить отчет о ходе дел; передавать информацию от работников к менеджерам; улучшать исполнение работ отдельными сотрудниками; способствовать профессиональному росту работников; информировать о состоянии дел в организации в целом; обучать менеджеров и работников; информировать средние и низшие звенья менеджеров о решениях высшего руководства; информировать высшее руководство о •деятельности подчиненных.
От качества общения в организации существенно зависит понимание менеджерами и работниками своих обязанностей. Все менеджеры и работни-ки желают знать, как выполнять работу, почему они делают эту работу, насколько хорошо они трудятся, почему ожидаются организационные изменения, какой будет эффект от этих изменений. Многие работники желают также знать, насколько их работа соотносится с целями организации, как они могут привлечь внимание руководства, каковы их шансы на продвижение, как они могут участвовать в принятии управленческих решений.
Эффективность деятельности менеджеров прямо зависит от эффективности общения внутри организации. Они стремятся к тому, чтобы их указания понимались и выполнились, чтобы знать, что думает высшее руководство; иметь информацию, необходимую для планирования, анализа и контроля, знать мотивацию подчиненных. Взаимодействие структурных подразделений организации так или иначе зависит от общения. Это обусловлено тем, что:
- существует множество управленческих подразделений, различаю щихся по уровню ответственности и власти, которые должны об щаться между собой;
- подразделения обязательно должны взаимодействовать между собой;
- чтобы осуществлять внутреннее общение, рабочие группы должны собираться вместе;
- взаимодействие группы основано на общении;
- общение позволяет избежать конфликтных ситуаций в организациях.
89
Наиболее важными визуальными формами общения являются графические, среди которых выделяют графики, столбцовые диаграммы и круговые диаграммы.
Графики показывают зависимость одной переменной от другой.
В столбцовых диаграммах данные представляются в виде столбцов.
Круговые диаграммы показывают данные в виде круга, каждый сегмент или сектор которого соответствует значению одного из компонентов.
5.2. Процесс общения
Процесс общения включает намерение, внимание, восприятие, запоминание и участие.
Намерение основано на анализе и отвечает на вопросы: что?, кто?, почему? и когда?
Внимание обусловлено тем, что общение должно воздействовать на различные чувства. Привлечение внимания осуществляется при ответе на вопросы "что важно для получающего информацию лица?" и "какая форма общения наилучшим образом привлечет внимание?".
Восприятие базируется на том, что информация должна быть правильно воспринята ее распорядителем. В связи с этим общение должно происходить с помощью понятий, доступных пониманию.
Запоминание связано с тем, что сознание стремится понять, принять и сохранить:
- простое - более, чем сложное;
- логичное - более, чем бессистемное;
- известное - более, чем неизвестное;
- конкретное - более, чем абстрактное; сознание предпочитает позитивные данные.
Участие отражается в обратной связи. Оно должно, как правило, поощряться отправителем информации на каждой стадии общения. Обратная связь выражается устной или письменной информацией, в действиях и поведении получателя информации. Она является подтверждением того, что получатель получил и понял переданное послание.
Общение осуществляется различными способами. Наиболее распространенным способом является непосредственное общение в форме беседы. Основная цель менеджера - вызвать действие. Если он будет бодрым и уравновешенным в непосредственных контактах, он создает к себе дружеское расположение. Наоборот, если он будет саркастичен и молчалив, то вызовет обиду.
Письменное общение, хотя и вторично по отношению к устному, но играет важную роль в управленческой деятельности. Элементами этого
общения являются заявления, правила, приказы, различные финансовые документы и т.д.
Ключевыми моментами в подготовке письменного материала явля-ются: определение цели, определение реципиентов, идентификация предмета, определение последовательности, перечисление видимых признаков, стремление вызвать интерес.
При слушании кого-нибудь реципиент должен выглядеть заинтересованным, внимательным, дружественно настроенным, помогающим передающим послание свободно выражать свои мысли и чувства, никогда не должен быть пассивным.
При чтении надо пытаться анализировать общение, сравнивать свое мнение с мнением других, а также логику построения текста.
В процессе непротокольного поведения надо иметь в виду, что отношение, тон голоса, восклицания и даже молчание являются средствами общения. Важными при этом элементами являются языки знаков, действий, предметов и слов.
В процессе общения могут иметь место и неудачи. Потенциальными причинами этого являются:
слишком мало информации, особенно при сообщении "плохих" новостей;
слишком большой объем получаемой информации;
преждевременность информации;
запоздалость представления информации;
структурные недоработки общения, например, избыточное расширение каналов общения;
— большая, сложная и централизованная организационная структура, требующая большого делегирования полномочий при подготовке управленческих решений;
сложность систем снабжения, производства и сбыта результатов дея тельности;
отсутствие "ключевых" менеджеров и работников;
пренебрежение официальными каналами перемещения информации;
неправильно выбранный язык, терминология и понятия;
технические неполадки в коммуникационной системе.
Важными проблемами в процессе общения являются человеческие отношения. К числу таких проблем относятся: непредсказуемые реакции, недостаток достоверной и надежной информации, предубежденность и эмоциональность, нечеткие и нереалистические требования, неудовлетворительная обратная связь.
Непредсказуемые реакции обусловлены тем, что менеджеры ожи-ДМот, что конкретные решения приводят к желаемому результату. Когда ** они имеют дело с изменениями, затрагивающими людей, происходит иногда прямо противоположное. Поэтому в процессе общения надо предвидеть и учитывать реакции людей.
90
91
Недостаток достоверной и надежной информации связан с тем, что люди не всегда говорят то, что они думают, и в результате информация их может оказаться весьма туманной. Людям также свойственно не просто сообщать об увиденном или услышанном, но и интерпретировать события, поэтому получателю информации довольно трудно отделить толкования от фактов. Чтобы уметь отделять факты от подобного рода интерпретаций, менеджер должен владеть методом постановки дополнительных точных вопросов.
Предубежденность и эмоциональность имеют место в том случае, когда менеджер слышит и читает обобщающие заявления с оттенком предвзятого отношения. Попытка разобраться в таких заявлениях, когда утверждения не проясняют, а только запутывают вопрос, является бесперспективной. В этом случае возникает естественная тенденция к избирательному восприятию. На помощь может прийти процедура постановки точных вопросов как метод рассортировки фактов и эмоциональных заявлений.
Нечеткие и нереалистические требования - это результат нечеткости в доведении до работника предъявляемых к нему требований. Для успешного взаимодействия менеджера и подчиненного решающее значение имеют ясность формулировки и правильность понимания требований и значимости конкретных ожидаемых результатов. С другой стороны, иногда бывает, что требования ясны и понятны, но совершенно нереалистичны. Требования должны соответствовать квалификации и способностям работников.
Неудовлетворительная обратная связь чаще всего имеет место, когда работник не знает, что его результаты не соответствуют требованиям. Для приведения результатов в соответствие с требованиями достаточно своевременно сообщить об оценке исполнения. Обратная связь представляет собой мощное средство побуждения работников. Положительная обратная связь и признание создают у людей мотивы к эффективной работе. Обеспечение объективности обратной связи гарантирует ее надежность и убедительность для адресата.
С учетом методических подходов к решению указанных проблем менеджеры могут и должны вырабатывать навыки эффективного разрешения проблем человеческих отношений.
5.3. Информационный процесс коллективных мероприятий
К числу коллективных мероприятий относятся совещания, собрания, семинары и конференции. Практически всем менеджерам приходится участвовать в такого рода мероприятиях, которые иногда носят официальный характер и собирают много участников; в других случаях их круг ограничивается только двумя участниками.
Информационный процесс коллективных мероприятий можно разделить на следующие виды деятельности: участие в совещаниях, проведение совещаний и оценка рекомендаций.
Для участия в совещании каждому его участнику хотелось бы иметь информацию в виде отзывов наследующие вопросы:
1. Каковы предполагаемые конечные результаты, цели или задачи данного совещания?
2. Что ожидается от участия в совещании каждого конкретного участника?
3. Какую информацию каждый участник должен заранее подготовить? Ответы на указанные вопросы позволяют: при отсутствии ответов не
следует участвовать в совещании или его надо отменить; при наличии положительных ответов надо участвовать в обсуждении всех или отдельных вопросов. Как положительное при этом следует отметить готовность участника для участия в работе совещания.
Когда менеджер не может контролировать работу совещания потому, что его не проводит, чрезвычайно важно суметь сохранить свое рабочее время. То обстоятельство, что участники не несут ответственности за результативность совещаний, не освобождает их от обязанности участвовать в них с максимальной эффективностью. Приведенные три вопроса в этой связи являются весьма полезным инструментом повышения эффективности работы менеджеров.
Менеджер, на которого возложена ответственность за проведение совещания, должен более всего заботиться об обеспечении его результативности.
Эффективность проводимых совещаний значительно повышается, если следовать трем принципам:
1. Предварительное определение цели. Совещание без ясной цели будет "дрейфовать". А цель - это формулировка конечного резуль тата, ради которого проводится совещание. В цели всегда указыва ется конечный результат совещания, а не процесс его достижения. Примерами неправильной цели может быть: обсудить ход дел, а правильной - выявить недоработки в плане каких-либо мероприя тий.
2. Составление повестки дня - это своего рода разработка плана со вещания, который не является простым перечнем вопросов, а включает точные контрольные сроки начала и окончания обсужде ния каждого вопроса, последовательность вопросов для обсужде ния, указание ответственных лиц. При планировании совещаний основным измерителем является время. Распределение времени на совещании должно отражать значимость каждого из пунктов пове стки дня. Некоторые из них выделяются в качестве обязательных, другие являются только желательными, и время на их обсуждение выделяется согласно их значимости. Повестка дня, или план сове-
92
93
щания, вместе с целью его проведения помогают участникам лучше подготовиться к совещанию, а руководителю - эффективнее контролировать его ход.
3. Контроль за ходом совещания осуществляется точно так, как при обработке информации в процедурах управления. Поток информации должен проходить логические этапы той процедуры, которая соответствует цели совещания. Примерные этапы контроля следующие: при обзоре ситуации:
- выявление и рассмотрение задач;
- разделение и уточнение задач;
- установление приоритетов;
- определение направлений анализа; выявление причин проблемы:
- формирование проблемы;
- описание проблемы;
- выявление различий, вызывающих проблему;
- изучение и проверка причин;
- определение оценок ситуаций;
- проверка наиболее вероятных причин;
- обоснование и подтверждение наиболее вероятной причины; принятие решения:
- постановка цели решения;
- установление критериев решения;
- разделение критериев и ограничений;
- выработка альтернатив;
- определение риска и его оценка;
- принятие решения, анализ плана исполнения:
- краткое изложение плана;
- перечисление и рассмотрение этапов плана и выявление клю чевых его моментов;
- выявление потенциальных проблем и возможностей;
- определение наиболее вероятных причин потенциальных про блем и возможностей;
- выработка мероприятий относительно причин;
- создание условий для реализации мероприятий. Перечисленные этапы определяют общую схему для организации об суждения и позволяют совещанию развиваться в направлении к достижению поставленной цели. С этапами должны быть ознакомлены все участники со вещания, что обеспечивает более высокий уровень его результативности.
Таким образом, успешное проведение совещания упорядочивает процессы планирования и организации сбора и анализа необходимых данных для поставленной проблемы.
5.4 Представление новых идей
Практически во всех сферах деятельности важное место занимает подача новых идей. К сожалению, многие новые идеи остаются так и не осуществленными только потому, что их авторы неспособны или боятся убедить других членов организации в полезности этих новых идей. А бывает и так, что из-за страха перед изменениями многие менеджеры не по-рцфяют новаторское мышление своих подчиненных. В этой связи изучение методов подачи идей, выступлений с ними может оказать помощь в избежании подобных ошибок.
Каждый раз, представляя свою идею, надо руководствоваться следующим:
1. Прежде чем изложить свою идею, надо выяснить, на какой стадии принятия своего решения находится конкретный сотрудник или группа сотрудников. Иначе говоря, надо сначала иметь ответ на вопрос: "Какие решения были приняты в прошлом в отношении той альтернативы, с какой я выступаю?"
2» Важно установить потребности и критерии принятия решения сотрудника или группы сотрудников, которых я хочу заинтересовать в своей идее. При этом, чем лучше я буду осведомлен о вопросах, которые могут быть заданы в ходе обсуждения, тем увереннее я буду себя чувствовать в момент представления.
Следует заранее подготовиться к тому, чтобы убедить слушателей в минимальности риска, сопряженного с предлагаемой идеей. Для этого полезно проделать процедуру анализа плана и разработать предупреди тельные действия, которые позволят предотвратить возникновение проблемы. Кроме того, надо заранее подготовить и план подстраховы вающих мероприятий на случай непредвиденных осложнений в ходе реализации предлагаемой идеи.
Известно, что изменения всегда заключают в себе определенную угро зу. Поэтому, представляя новую идею, необходимо позаботиться о том, чтобы у сотрудников не возникло впечатление о потенциально угро жающем ее характере.
Прежде чем проводить новую идею в жизнь, надо подумать о том, ка кие последствия эта идея будет иметь для руководителя, коллег и под чиненных и как она повлияет на организацию в целом.
После завершения подготовительной работы к представлению Идеи, когда имеется готовность к сообщению, надо подумать об обеспеченности его результативности.
Такая результативность достигается при выполнении следующих рекомендаций:
94
95
1. Схема выступления должна быть примерно такой:
- цель выступления и чего хотелось бы достичь;
- предмет сообщения должен заинтересовать слушателей;
- предполагаемые критерии принятия решения слушателями, должны иметь у них потребность;
- альтернатива решения должна развиваться от непрактичной до наиболее желательной;
- для снижения риска надо демонстрировать предупредительные и подстраховывающие действия;
- надо показывать конкретизированные этапы осуществления идеи.
2. В процессе выступления надо выглядеть естественным и ничего из себя не изображать.
3. Выступая надо быть уверенным в себе, иначе слушатели сразу почувствуют неуверенность и не будут воспринимать со общение.
4. В процессе выступления надо поддерживать зрительный контакт с аудиторией.
5. Жестикулировать надо естественно, держаться свободно и раскованно.
6. Поясняя мысль, надо приводить всевозможные примеры. Конкретные примеры всегда делают сообщение более доходчи вым для аудитории.
7. Недостатки содержания сообщения зачастую могут быть перекрыты благоприятным впечатлением от стиля поведения и профессионализма в подаче материала.
8. Во время выступления надо следить за тем, чтобы речь бы ла не слишком медленной или слишком быстрой, монотонной или замирающей в конце фразы. Говорить все время надо естественно.
Менеджеры, способные заинтересовать, убедить сотрудников, в конечном итоге руководят более эффективно.
5.5. Оценка идей, предложений и рекомендаций
Оценивать идеи, предложения и рекомендации приходится практически каждому менеджеру. В одном случае - это ответ на вопрос: "Что вы думаете об этой идее?". В других случаях речь может идти об официальном утверждении окончательного предложения, представленного подчиненным или извне. При оценке предложения различают два его элемента: содержание и логический процесс.
Оценивая содержание, обращают внимание на исходные данные и предпосылки, на которых базируются предложения. Рассматривать может
сам менеджер, если он достаточно знаком с исходными данными и Предпосылками, либо может быть привлечен эксперт для их проверки.
Логический процесс проверяется на предмет того, каким путем были получены выводы. Менеджер хотел бы знать, подвергалось ли предложение предварительному логическому анализу или же оно является результатом догадок и предположений, подкрепленных подобранными благоприятными фактами. Для оценки предположения можно использовать следующие два правила.
Первое правило связано с классификацией предложения. Здесь прежде всего надо установить, о чем идет речь в предложении - о причине, действии или реализации предложения. В случае, если предлагаемое действие является ответом на какую-то проблему, то следует рассмотреть подробности проведенного анализа проблемы.
Второе правило связано с разработкой стандартного вопросника. Важным здесь является упрощение формы представления данных. Для того, чтобы отреагировать на представленное к рассмотрению предложение, менеджеру необходимо оценить точность проведенного причинного анализа. При этом можно воспользоваться следующими вопросами:
- Какое конкретно следствие вы пытаетесь устранить?
- Какие вы определяете причины этого следствия?
- Почему другие причины не позволили объяснить данное следствие?
- Как проверялась причина, которая выдвинута?
- Какие причины вообще рассматривались?
Если подчиненный отвечает на эти вопросы, то менеджер может быть уверен в том, что проблема была обдумана как следует.
Если менеджеру необходимо оценить адекватность предлагаемого действия, то он может поставить следующие вопросы:
- Почему это решение необходимо?
- Какие критерии использовались при выборе?
- Какие еще альтернативы рассматривались и почему именно эта признана лучшей?
- Чем мы рискуем, если примем это предложение?
Если производится оценка обоснованности предложения по реализации некоторого плана, надо получить ответы на следующие вопросы:
- Какой конкретный результат предполагается получить от осуще ствления данного плана?
- Какие мероприятия необходимо осуществить для реализации плана?
- Что может оказаться ошибочным?
- Какие действия следует предпринимать для того, чтобы по воз можности избежать возникновения определенных проблем?
- Что необходимо сделать и как об этом узнать?
- Где можно ожидать неправильности постановленных целей?
- Каким образом можно повысить вероятность достижения по ставленной цели?
96
97
Основное в оценке предложений - это выявление и контроль логики, которой следовал анализирующий. При этом следует знать, что слова типа "да/нет" не дают возможности проникнуть в ход мыслительного процесса. Напротив, вопросы, сформулированные в процедурном варианте, перекладывают ответственность за анализ на самого автора предложения.
5.6 Обучение навыкам информационной деятельности
Менеджерам организаций принадлежит важнейшая роль в выработке навыков информационной деятельности. Известно, что образцы поведения, которые демонстрирует менеджер подчиненным, и требования, которые он им предъявляет, являются наиболее важным фактором, определяющим эффективность управленческого труда. Наиболее приемлемой для практики следует признать упрощенную четырехстадийную модель обучения. Каждая стадия этой модели соответствует стадии овладения сотрудником какими-то навыками.
Первая стадия - неосознанная некомпетентность. На этой стадии сотрудник не осознает, что эффективность его работы не соответствует предъявленным требованиям. Такой сотрудник не осознает необходимости в улучшении своей работы и потому не может ее улучшить. Поэтому первый акт в руководстве обучением - перевод его в состояние осознанной некомпетентности.
Вторая стадия - осознанная некомпетентность. Для перевода сотрудника в состояние осознанной некомпетентности необходимо использовать обратную связь. Роль такой связи может сыграть либо самоанализ, либо внешний сигнал. Последнее обеспечивает руководитель, оценивая, насколько умело подчиненные решают проблемы и принимают решения. При появлении различного рода упущений в работе руководитель должен обсуждать их с подчиненными и тем самым содействовать лучшему осознанию подчиненными требований и установлению уровня эффективности его работы.
При этом надо больше внимания акцентировать даже не на результат работы, а на ее процесс. Справедливая оценка способствует осознанию подчиненным необходимости в повышении своего уровня.
Известно несколько способов, с помощью которых руководитель может сформировать обратную связь. Один из них состоит в отборе руководителем конкретных проектов, заданий или решений, в целенаправленном контроле хода их выполнения и сообщении оценок исполненного на ключевых стадиях информационного процесса. Другой способ заключается в систематической оценке уровня владения подчиненным отдельными навыками в области информационной деятельности. Чтобы правильно организовать обучение, нужно прежде всего выявить сильные и слабые стороны подчиненного применительно к каждой операции информационной
деятельности. Удобным инструментом такой работы может стать схема оценки навыков в области информационной деятельности (табл. 5.1).
Руководитель и подчиненный независимо друг от друга оценивают уровень владения навыками и важность каждой операции процесса. Оценка производится по пятибалльной шкале. При оценке в 3 балла всех позиций таблицы не обеспечивается адекватная обратная связь.
Таблица 5.1 - Оценка навыков в области информационной деятельности
Значимость Уровень операции владения на- процесса выками
Выявление и уточнение задач Установление приоритетов Определение подхода к анализу Описание проблемы
Выявление причин, вызывающих проблему Установление наиболее вероятной причины Определение цели решения Установление критериев и ограничений Выработка и сравнение альтернатив Оценка риска Принятие решения
Составление плана реализации решения Определение потенциальных проблем и возможностей
Выработка мероприятий реализации Выработка подстраховывающих мероприятий и ресурсов
Значимость операции процесса в пятибалльной шкале следующая:
- абсолютно необходим для успешной работы;
- важен для успешной работы;
- входит в должностную инструкцию;
- иногда используется в работе;
- не входит в должностную инструкцию. Уровень владения навыком по такой же шкале:
1- мастерское владение навыком;
2- уровень выше, чем у большинства работников;
3- удовлетворительный уровень владения навыком; 5 - не использует навык или не владеет им.
98
99
После заполнения таблицы менеджер и подчиненный могут сравнить результаты. При этом возможны варианты:
- менеджер и подчиненный согласны в том, что необходимо повысить уровень выполнения конкретной операции;
- менеджер и подчиненный расходятся в оценке уровня владения кон кретными навыками. Такие расхождения обсуждаются на предмет вы явления их абсолютности.
При этом могут возникнуть две ситуации: подчиненный еще пребывает в состоянии неосознанной некомпетентности и не понимает, что нуждается в обучении. В этом случае менеджер должен дать разъяснения. Если же подчиненный прав в своей самооценке, а менеджер ошибается, то последний должен признать свою ошибку и обратить внимание на те ситуации, где достигнуто согласие относительно необходимости улучшения.
Третья стадия - осознанная компетентность. На этой стадии сотрудник пока еще неуверенно владеет приобретенными навыками. Он знает, что от него требуется, и может выполнить порученную работу. Применение навыков требует продумывания каждого действия. Помощь подчиненному на этой стадии может оказать чтение курса лекций, стажировка, инструктаж, индивидуальные собеседования и другие методы обучения.
Важно отметить, что только обучение в той или иной форме может поднять уровень владения навыками до уровня осознанной компетентности. Чтобы обучение могло достичь своей конечной цели, оно должно обеспечить переход сотрудника в состояние неосознанной компетентности.
Четвертая стадия - неосознанная компетентность. Характеризуется овладением всеми необходимыми навыками, автоматическим выполнением правильных действий, которое уже входит в привычку. Теперь обучающийся может сосредоточить свое внимание на самой задаче, а не на методах ее решения.
Переход в это состояние обеспечивает только практика и поощрение. Содействие развитию у подчиненных навыков обзора ситуации, причинно-следственного анализа, принятия решений и разработки планов их реализации является одной из важнейших обязанностей каждого менеджера.
Глава 6. МЕТОДЫ И ТЕХНИЧЕСКИЕ СРЕДСТВА
ИНФОРМАЦИОННОЙ ДЕЯТЕЛЬНОСТИ
6.1 Информационный кругооборот
Методы и технические средства информационной деятельности чрезвычайно разнообразны. Несмотря на разнообразие, имеются общие черты и закономерности их использования. Именно эти черты позволяют определить общие принципы, методы и средства, а также специальные приемы информационной деятельности.
В настоящее время наряду с документированными носителями информации все большее применение имеют изобразительные, звуковые и визуальные средства информации, а также материалы машинной обработки данных. Следовательно, в информационной деятельности, помимо документированных носителей все больше используются радио, телевидение, связь, зяеиронно-вычислительная техника. Для повышения эффективности их применения важно прежде всего расширить толкование традиционных понятий, связанных с носителями информации, документами и документацией.
Документом назовем носитель информации, в котором содержатся Первичные данные, которые после их получения могут быть многократно воспроизведены.
Раньше документами считались только текстовые, то есть рукописные и печатные материалы. С появлением и распространением визуальных и звуковых средств информации документами считаются также фотографии, кинофильмы, слайды, магнитные ленты, дискеты и жесткие диски.
Деятельность, связанная с первичной обработкой документов, называется документированием, а продукция документирования - вторичными документами. В понятие "документация" включается, и документирование и первичные документы по совокупности.
Всем видам документов соответствуют определенные виды документации. К ним относятся: специальная литература, изобразительные материалы, звуковые записи, телезаписи и информация машинной обработки данных.
Таким образом, под документацией понимается не только специальная литература, но и продукция других средств информации, которые представляются как в виде печатных материалов, так и в форме кодирования.
Полный цикл информационного оборота включает сбор, обработку, хранение, передачу и использование информации. Каждый из указанных этапов информационной деятельности включает следующее содержание:
Сбор информации - получение, приемка, подготовка, кодирова ние, размножение, перевод в другие виды документов;
Обработка информации - преобразование специальной литерату- РЫ, цифровых данных и носителей зрительно-слуховой информации;
100
101
Хранение информации бывает архивным, библиотечным, ком пьютерным и персональным;
Передача информации может осуществляется путем информиро вания, показом материалов и перемещением данных;
Использование информации потребителем зависит от его целей: для ориентации относительно ситуации или тенденции, для выбора необ ходимой информации из всей ее совокупности, для использования по на значению и для подготовки и принятия управленческих решений.
Методы и технические средства отдельных этапов информационной деятельности различаются в зависимости от того, какая это информация: текстовая или аудиовизуальная и от используемых носителей информации.
6.2. Сбор информации
Бесперебойная и планомерная работа любого предприятия предполагает наличие хорошо налаженной системы информации, которая в свою очередь предполагает планомерную информационная деятельность, включающую организованный сбор, обработку, хранение информации и обеспечение своевременности ее получения.
В зависимости от источников информация делится на две группы: о внутренней деятельности предприятия и о внешних факторах и событиях, касающихся видов деятельности предприятия.
Сбор информации включает следующий комплекс видов деятельности:
получение документов от кого-либо, составление, запрос и прием;
копирование документов в размере оригинала и в измененных размерах;
размножение документов;
перевод документов с иностранных языков.
Прямое или косвенное отражение внутренней или внешней среды предприятия позволяет вручную или машинным путем фиксировать, а затем воспроизводить и использовать широкий круг информации, необходимой для управления предприятием. Под составлением документов понимается регистрация в них информации.
Составление документов считается одной из главных задач информационной деятельности. Поэтому знание различных средств и методов этой работы одинаково важно для организаторов, и для руководителей информационной деятельности.
В настоящее время признано, что наиболее целесообразно с помощью ПЭВМ регистрировать и хранить данные. Такой способ позволяет без дополнительных затрат живого труда вводить в компьютер, размножать и передавать зафиксированные данные.
В информационной деятельности все большее значение начинает приобретать видеоинформация особенно с появлением сканирующих уст-
йств. Ее достоинства определяются, с одной стороны, наглядностью, по-(асольку значительную часть сведений люди получают посредством зри-тепьного восприятия, а с другой, - эффективностью. Для документирования технологических процессов и технических приемов с успехом может применяться видеосъемка. Основу изображений на магнитной ленте составляют световые сигналы, поддающиеся хранению.
В свою очередь магнитная звукозапись восстанавливает информационный смысл слов и предложений, вытесняет стенографию, изменяет характер переписки, облегчает хранение документов и т.п. Получили рас-пространение наряду с магнитофонами и диктофоны с магнитными дисками, обеспечивающие весьма хорошее качество записи и воспроизведение звука и удобные в применении.
Копирование документов осуществляется преимущественно с ис-нользованием ксероксов.
Для целей сбора информации важное значение имеет качество перевода с иностранного языка. Использование неудачной, неправильной специальной терминологии, нарушение грамматических правил могут значительно исказить действительный смысл информации, содержащейся в переводах. При переводе специальных текстов, помимо знания ино-странного языка, необходимо достаточное знакомство с областью науки, к которой относится переводимая информация, и умение стилистически грамотно излагать текст перевода. Для обеспечения этих требований целесообразно организовывать технический контроль и рецензирование переводов. В процессе технического контроля следует сравнить текст перевода с оригиналом и исправить выявленные ошибки. В отдельных случаях требуется так называемый юридически заверенный перевод.
Сейчас достигнуты определенные результаты в области компьютерного перевода, который уже находит широкое распространение.
6.3. Обработка информации и документов
Обработку информации обычно ведут по двум направлениям: по заранее установленной форме с целью учета и отыскания нужных сведений и по содержанию информации обработкой данных и фактов, содержащихся в документах.
Обработка по заранее установленной форме включает следующие стадии: регистрация, проверка, введение в каталог и составление библиографического описания.
Все многообразие воспринятых сведений о реальном объекте в процессе информационной деятельности должно быть преобразовано в систему однородных сигналов, способных перерабатываться в мозгу чело-вычислительном органе компьютерной системы.
102
103
Преобразование сведений в сигналы (символы) называется кодификацией, а система символов представляет собой информационный язык управления. В современных компьютерных системах обработки информации, когда сочетаются различные типы приемных устройств и вычислителей, могут применяться несколько систем символов, что требует перевода с одного языка на другой. Технические средства, реализующие эту цель, называются трансляторами.
Переработка информации состоит в таком изменении ее содержания, которое тождественно изменению сведений об управляемом объекте в процессе его функционирования при достижении заданной цели. Чтобы обеспечить требуемую тождественность, необходимо знать законы протекания управляемых процессов и преобразовать эти законы в порядок действий по изменению содержания информации, а цель процесса - в целевую функцию переработки информации. Этот порядок называется алгоритмом моделирования, а его определение - формализацией процесса. Средством формализации служит специально разрабатываемый математический аппарат, позволяющий отражать материальные явления в форме взаимодействия и взаимосвязи символов.
Процедура переработки информации непосредственно связана с процедурой выбора решения, которая строится на сравнении получаемых результатов с заданными ограничениями. Ограничения представляют закодированные сведения о таких состояниях управляемого объекта, которые в реальности невозможны или недопустимы. По степени обработки и роли в информационном процессе информация подразделяется на первичную и производную, а последняя - в зависимости от назначения - на промежуточную, командную и отчетную. Сама по себе первичная информация представляет собой лишь отражение воспринимаемых свойств управляемого объекта и не может быть использована для целенаправленного воздействия на него.
Производной называется та информация, которая получена не прямым восприятием свойств объекта, а путем переработки первичной информации.
Промежуточная информация представляет собой ту часть производной информации, которая обработана по алгоритмам, но не может быть использована в качестве управленческих решений, а должна быть для этого обработана по другим алгоритмам.
Командная информация представляет собой управленческие решения, переведенные на язык, доступный пониманию исполнительного органа.
Отчетная информация не используется непосредственно в управлении, а передается на вышестоящий иерархический уровень управления для использования в качестве промежуточной.
По времени получения и периоду использования информация делится на оперативную, нормативную и регламентирующую.
Оперативная информация возникает как отражение состояния объекта или окружающей среды в определенный момент. Длительность мо-мента определяется характером регулируемого результата и способностью органа управления к оперативному действию.
Нормативная информация характеризует возможные результаты протекания процесса в определенный период, обусловленный целевой функцией, ограничительными условиями, величиной и состоянием различных ресурсов.
Регламентирующая информация устанавливает требуемые результаты протекания управляемого процесса, которые определяются содержанием управленческого решения. Эта информация имеет директивный характер.
В зависимости от возможности использования и ценности информация подразделяется на полезную, избыточную и ложную.
Полезная информация характеризуется достоверностью, полнотой, своевременностью и доступностью для обработки.
Избыточность информации вызывается или наличием сведений, не имеющих отношения к содержанию принимаемых решений, или объемом, недоступным для своевременной обработки органом управления.
Ложная информация возникает при неисправности технических средств, искажениях в процессе восприятия, передачи и перевода информации, ошибках при ее переработке. Особый случай, когда информация ложна из-за ее недостаточности.
Пространственная характеристика информационного процесса ;складывается из координат всех мест ее получения, обработки, хранении и передачи, определенных структурой аппарата управления.
Временные характеристики информационных процедур определяются временем нахождения информации в каждом пункте ее обработки , периодичностью операций, скоростью перемещения информации по каналам связи, структурой цикла обработки.
Объемные показатели информации определяются ее массой, выраженной в соответствующих единицах измерения.
При обработке документов по,характеру содержания главной является их классификация, цель которой состоит в создании условий, облегчающих нахождение нужной информации в документах и выполнение задач, связанных с их хранением, отбором, размножением и т.д.
6.4 Предоставление информации потребителю
Конечным пунктом назначения информации является предоставление ее потребителю или заказчику. В процессе передачи информации между потребителем ее и информационной системой складывается двухстороння Связь. Эта связь с позиций информирующего может быть трех видов.
1. Информирование потребителя об имеющейся информации. Основой для справок служит система учета информации данного информа-
104
105
ционного органа. Систематические или разовые заказы потребителей удовлетворяются различными поисковыми методами. Об изменении запаса информации информационный орган сообщает заинтересованным потребителям путем рассылки или устными сообщениями.
Показ заказанных документов организуется с тем, чтобы потре бители могли выбрать необходимые им материалы.
Передача отобранных документов заказчику для использования их по назначению. Использование документов возможно и в местонахож дении информационного органа, однако чаще всего заказчик забирает с собой отобранные документы или получает их по официальным каналам связи. Для этих целей информационный орган может предоставлять заказ чикам во временное пользование оригиналы документов либо снимать с них копии с последующей передачей их заказчику. Иногда информацион ный орган по заказу потребителей может размножать документы в необ ходимом количестве экземпляров.
Формы передачи информации конечным потребителям различаются в зависимости от вида и характера документов.
Наиболее распространенными общими формами являются следующие:
1. Индивидуальные формы, характеризующие передачу потребите лям однотипных документов. Сюда относятся:
- устное информирование, в том числе собрания, конференции, се минары и т.д.;
печатные материалы, в том числе инструкции, методики, указания, и т.п.;
звуковая информация, в том числе магнитные ленты, диски, диске ты и др.;
неподвижные изображения, в том числе фотографии, чертежи, ри сунки, плакаты и др.;
подвижные изображения, в том числе киноленты и видеомагнит ные записи;
видео и звуковые носители информации, в том числе модели, тон фильмы, телевидение.
2. Комбинированные формы передачи информации - сочетание двух индивидуальных форм передачи данных.
3. Комплексные формы передачи данных - систематическое использо вание одновременно нескольких индивидуальных форм предоставления ин формации: выставки, показы и демонстрации, научные командировки.
Естественно, использование указанных форм зависит от возможностей информационного органа.
6.5. Документационные средства коммуникаций
Коммуникации занимают до 80% рабочего времени менеджера. При этом затраты времени на документационные средства составляют в среднем 25 процентов.
Документирование информационных процессов включает операции по фиксации и оформлению необходимой для осуществления управленческой деятельности информации на различных носителях и по установленным правилам. Документ представляет собой предусмотренную законом или административными правилами материальную фор"му получения, хранения, распространения и использования информации. За год в Украине создается около 200 млрд документов, причем в основном на предприятиях, в учреждениях и организациях.
Документы готовятся для реализации следующих целей:
- обеспечение доказательств, заверение гарантий;
- фиксация информации для принятия и передачи решений;
- регистрация хозяйственных операций и управленческих распоря жений;
- поддержка нормативной базы для решения и корректировки задач. Юридическими основаниями для создания документов и работы с
ними являются Конституция Украины, Законы Украины, нормативно-правовые акты Президента, органов исполнительной власти, местного самоуправления.
Основаниями для создания внутрифирменных документов являются удостоверения действительности и содержания управленческих действий, передача, хранение, переписка с руководящими органами и осуществление оперативных связей.
В процессе коммуникации важным является соблюдение режима доступа к документам, под которым понимается предусмотренный правовыми нормами порядок получения, использования, рассмотрения и хранения документов. Обычно документация бывает с открытым доступом и ограниченным. К первой относятся следующие виды: статистическая, массовая, о решениях органов власти, правовая, о персонале, справочная и социологическая. Ко второй - секретная и конфиденциальная. В свою очередь секретная делится на секретную, совершенно секретную и документацию особой важности. Конфидециальная - это коммерческая тайна, профессиональная тайна, для служебного пользования, патенты и ноу-хау.
По зарубежной классификации всю документацию делят на три класса:
деловая, в которую включают биржевую, финансовую, коммерческую, экономико-статистическую, распорядительную, торгово-транспортную;
для использования специалистами - научно-техническая и
106
107
специальная, предпринимательства, права, информатики, компьютерной технологии;
- для массового потребления.
Каждый документ характеризуется наличием жизненного цикла, включающего проектирование, создание, функционирование, хранение и уничтожение; основанием классификации, основными элементами которой, являются элементы и реквизиты.
Юридическая сила документа - это возможность быть доказательством, подтвердить какой либо факт или право на что либо, тесную связь с подлинностью.
Основные требования к оформлению документов, определяющих их юридическую силу условно разделяют на две группы:
создание единого перечня документов, отражающего компетенцию предприятия;
соблюдение порядка подготовки, оформления и утверждения вы пуска документов.
При этом перечень форм документов составляется на основе нормативно-правовых актов, учредительных документов предприятия, действующих классификаторов в разрезе структурных подразделений и утверждения имеющими полномочия для этого.
Правила подготовки, утверждения и выпуска документов устанавливают необходимость наличия у каждого официального документа следующих пяти элементов, определяющих его юридическую силу:
указание автора документа;
наименование формы документа;
дата издания;
регистрационный номер;
- удостоверение подлинности происхождения документа ( подпись, утверждение, печать).
Документ, как правило, оформляется на бланке, который отвечает требованиям соответствующего стандарта, а также имеет установленный комплекс обязательных реквизитов со стабильным порядком их расположения.
Нарушения законодательства Украины о работе с документами влечет ответственность: дисциплинарную, гражданскую, правовую, административную и уголовную.
Уголовная ответственность существует при утрате документов, которые содержат государственную или военную тайну, при краже, повреждениях, подделке документов, а также за внесение недостоверной информации в документы должностными лицами.
Подлежит наказанию незаконный сбор с целью использования сведений, которые являются коммерческой тайной, умышленное разглашение коммерческой тайны, если этим нанесен значительный материальный ущерб.
Документы на машинном носителе информации приобретают юри-|р1ческую силу при наличии обязательных реквизитов: код и наименование организации, автора документа, почтового адреса, кода формы документа, даты создания документа, кода лица, ответственного за правильность создания документа, ответственного за правильность создания до-[сумента и подписанного сопроводительного письма.
Документы из межотраслевых систем документации создаются на основе формуляров-образцов, которые утверждены соответствующими стандартами. Формуляр-образец представляет собой единую модель построения комплекса документов, и устанавливающую совокупность реквизитов, присущих документам этого комплекса, расположенных в установленном порядке.
Требование к формуляру-образцу включают:
1.Утверждение форматов бумаги и вариантов расположения составляющих документа.
2.Служебные поля: левое и верхнее - 20мм, правое и нижнее 10мм.
3.Элементы конструкционной сетки, которые создаются на
4. Размещение пересечении вертикальных линий (расстояние меж ду двумя линиями - 2,6 мм) и горизонтальных (расстояние ана логично - 4,25 мм), частей и зон - заголовочной, основной и оформляющей.
5. Перечень и размещение реквизитов унифицированной формы документа.
Организация работы с документами - это создание условий, которые обеспечивают хранение необходимой информации и снабжение ею потребителя в определенное время с минимизацией затрат и включает организацию рационального документооборота, создание информационно-поисковых систем по документам, контроль исполнения и подготовку документов для передачи в архив.
В зависимости от количества документов и организационной Структуры доля документов, которые рассматривает и подписывает менеджер информационной деятельности может колебаться от 10 до 100 Процентов. Решения по схеме и условиям документооборота фиксируется в виде табеля документов, графика документооборота, должностных инструкций и положений о подразделениях организации.
108
109
Глава 7. ЭВОЛЮЦИЯ ИНФОРМАЦИОННОЙ ДЕЯТЕЛЬНОСТИ В СОВРЕМЕННЫХ УСЛОВИЯХ ХОЗЯЙСТВОВАНИЯ
7.1 Основные направления совершенствования информационной деятельности
Для того чтобы сотрудники, выполняющие информационную работу, были заинтересованы в удовлетворении потребностей среды, необходимы продуманные системы управления и оценок ценностей и убеждений сотрудников. Ценности и убеждения должны способствовать эффективному выполнению информационных процессов.
Фундаментальное изменение информационной деятельности оказывает воздействие почти на все аспекты компании. К числу основных направлений совершенствования информационной деятельности можно отнести:
-переход от функциональных подразделений к командам процессов управления;
-изменение работы исполнителя от простой к многоплановой;
-переход от контролируемого исполнения предписанных заданий к принятию самостоятельных решений;
-изменение организации обучения сотрудников от курсов обучения к образованию;
-оценка эффективности работы и оплаты труда не по длительно сти, а по результату;
-продвижение в должности не по эффективности выполнения ра боты, а по способности (умению) выполнять работу;
-изменение цели исполнения от удовлетворения потребностей ру ководителя к удовлетворению потребности клиентов;
-изменение функций менеджера от контролирующих к наставниче ским;
-создание более "плоской" иерархической организационной структуры;
- переход от секретарских административных функций к лидирующим.
Традиционно при выполнении информационной деятельности сотрудников распределяют по отделам, отделениям, группам, лабораториям, секторам, и т.п., в которых они выполняют предписанные функции (части информационных процессов). Такая фракционность создает проблему несогласованности и даже противоречия целей различных групп сотрудников. Вместе с тем имеется возможность объединять сотрудников в команды процессов, т.е. в группы сотрудников, выполняющих совместно законченную часть информационной работы-процесс. Один тип команды объединяет сотрудников для решения некоторой сложной задачи, которая является эпизодической. Команды такого типа называют вертуальными. При решении задачи такие команды расформировываются. Другой тип коман-
ды объединяет совместно работающих сотрудников с различными специ-р1ьностями, выполняющими повторяющуюся работу. Члены такой коман-,цы объединяются на длительное время.
Изменение простой работы на многоплановую приводит к тому, что сотрудник несет ответственность совместно с другими членами команды за весь процесс, что требует умения не только выполнять свое задание, но и по-нимать весь процесс в целом и уметь при необходимости выполнять не одно, § несколько заданий. Работа члена команды становится более содержатель-вой, так как из нее устраняются излишние проверки, согласования, ожидания, вызванные преодолением границ между подразделениями традиционной компании. Члены команды фокусируют свои усилия на запросах потребителей (клиентов), а не на потребностях руководства.
Переход от контролируемого исполнения заданий к принятию самостоятельных решений требует, чтобы сотрудники компании не следовали предписанным правилам, а предлагали свои правила. Другими словами, они уполномочены принимать самостоятельные решения. Все это влечет да собой изменение требований к сотрудникам, принимаемым на работу.
Изменение организации обучения сотрудников связано с тем, что Традиционно их готовят на обучающих курсах, цель которых обучить, как выполнять конкретные работы или как управлять той или иной специфической ситуацией. Вместе с тем многоплановость и изменяемость работ, «ориентированных на процессы, предполагает заботу не только по проведению обучающих курсов, но и о непрерывном образовании сотрудников. Это обусловлено тем, что при непрерывном изменяющемся внешнем ок-ружении невозможно использовать сотрудников, которые уже знают все, Что от них может потребоваться.
Проведение оценки эффективности работы и оплаты труда не по длительности, а по результату обусловлено тем, что оплата за отработан-$ое время это не самый эффективный способ оплаты. При разбиении работы на простые задания не имеется возможности оценить эффективность Зркого задания. Кроме того увеличение эффективности конкретного зада-(рм не всегда приводит к увеличению эффективности всего информационного процесса. Поэтому оплата труда должна определятся не столько временем, проведенным на работе, важностью работы, трудовым стажем, количеством подчиненных, занимаемой должностью, сколько эффективностью выполненной работы, оцениваемой по конечному результату.
Продвижение в должности связано с проведением четкого различия рвжду продвижением сотрудника и эффективностью его работы. За эффективность работы надо премировать, а не продвигать по службе, что яв-||»ется функцией от способностей сотрудника. Хороший специалист может ЦРМзаться плохим руководителем.
Цель исполнения поручений, основанная на организационной куль-требует от исполнителей убежденности, что они работают не для
ПО
111
своих руководителей, а для клиентов, которые фактически оплачивают труд сотрудников и руководителей.
Изменение функций менеджеров от контролирующих к наставническим обусловлено тем, что усложнение информационных работ, выполняемых исполнителями, приводит к тому, что уменьшается объем работы менеджеров по контролю за ходом выполнения процесса. Это связано также с тем, что команда процесса полностью отвечает за выполнение своего процесса, а это устраняет необходимость воздействия на исполнителей со стороны менеджеров. Функции менеджеров теперь состоят не в виде управляющих и контролирующих воздействий, а в помощи сотрудникам решать проблемы, возникающие в них в ходе выполнения информационного процесса.
В результате менеджер выполняет функции наставника, не участвующего в работе сотрудников, но помогающего им выполнить работу с минимальными непроизводственными затратами. Такой вид его деятельности требует от менеджера высокого профессионализма.
Организационная структура является механизмом, с помощью которого решаются все проблемы компании. Основной единицей структуры выступает функциональное подразделение-совокупность сотрудников, объединенных по подобию выполняемых ими заданий, Компания как целое состоит из функциональных подразделений, организованных тем или иным способом. Все связанные функциональные подразделения объединяются в единое функциональное отделение. Например, все отделы маркетинга объединяются в отделение маркетинга. Иногда возможно объединение по территориальному принципу.
В свою очередь организационные структуры устанавливают границы взаимодействия между подразделениями и определяют иерархию процесса принятия управленческих решений. Таким образом, информационный процесс разбивается на отдельные части, выполняемые в различных подразделениях. Работа менеджеров в значительной степени состоит в контроле и соединении работ в единый информационный процесс.
Изменение характера менеджерских функций от контрольных к наставническим сокращает объем работы, выполняемой менеджерами, и требует меньшего их количества, что в итоге приводит к тому, что значительно сокращается количество управляющих уровней в иерархической структуре. При этом важность организационной структуры уменьшается.
Традиционно административные функции отрываются от непосредственных исполнителей и клиентов и представляют собой функции секретаря, а не руководителя. В свою очередь уменьшение управляющих уровней в иерархической структуре приближает администрацию к исполнителям и клиентам. Теперь успешное выполнение информационного процесса в основном зависит от всех сотрудников , а не от функциональных менеджеров. В свою очередь администрация должна исполнять лидирующие функции , способствующие укреплению убеждений и ценностей
Исполнителей. Она несет ответственность за информационный процесс, но не имеет непосредственного воздействия на сотрудников, так как они и их наставники работают автономно. Администрация осуществляет влияние на эффективное исполнение информационных процессов с помощью систем управления, обеспечивающих мотивацию всех сотрудников.
7.2. Методы делового взаимодействия менеджеров компании с
клиентами
В практике известны 6 методов делового взаимодействия менеджеров компании с ее клиентами:
воздействие непосредственно на клиента и менеджера;
вариация сроков процесса взаимодействия;
разбиение процесса взаимодействия на этапы;
организация контроля за взаимодействием;
использование обратной связи;
планирование делового взаимодействия.
Взаимодействие непосредственно клиента и менеджера компании имеет место, когда они приходят к согласию по мере необходимости в ин-.•рересах дела прерывать процесс общения. Есть две разновидности этого Метода взаимодействия, Во-первых, это субъективное вмешательство, ориентированное на менеджера. В этом случае менеджер получает возмож-,)»сть обращаться за советом каждый раз, когда в этом возникает необходимость. А клиент полностью зависит от восприятия менеджером своих трудностей и ощущение, что он нуждается в посторонней помощи. Причем неоправданные нарушения хода дел в результате вмешательства клиента сводятся к минимуму, но одновременно могут возникнуть сложности из-за того, что к моменту обращения за помощью менеджером дело зашло уже слишком далеко. Во-вторых это субъективное вмешательство, ориентированное на менеджера. В этом случае менеджер представляет клиенту полную свободу вмешиваться и оказывать помощь всякий раз, когда последний сочтет это необходимым. Но клиент не должен злоупотреблять таким доверием менеджера. Он обязан помнить о необходимости разрешить проблему менеджера и недопускать, чтобы слишком затянувшийся анализ это разрешение задерживал.
Вариация сроков взаимодействия осуществляется на основе графика взаимодействия, о котором заранее договариваются менеджер и клиент. "При этом менеджер самостоятельно продвигается к поставленной цели, но ^брез определенные промежутки времени общение прерывается, и ход его подвергается обсуждению. В это время анализируется ход дел и обсужда-
пути повышения эффективности работы в будущем. Данный метод
112
113
во многих случаях применяется в комбинации с методом разбиения процесса взаимодействия на этапы.
Метод разделения процесса взаимодействия на этапы применяется в случае, если клиент и менеджер одинаково понимают разбиение процесса взаимодействия на этапы. Тогда они договариваются о том, что вмешательство клиента будет определяться продвижением по шагам данного процесса. Клиент и менеджер могут договориться о запланированном по завершении каждого из шагов процесса: определения цели решения, выбора критериев, выработки альтернатив, анализа риска и окончательного выбора. В отличие от вмешательства на основе календарных сроков в данном случае менеджер может сосредоточиться на каждом шаге процесса как особом виде деятельности и сориентироваться до того, как перейдет к следующему шагу.
Данный метод является наиболее эффективным, поскольку он ориентирован на содержание деятельности менеджера, а не на возможности клиента. Здесь роль клиента очень напоминает роль тренера.
Метод, ориентированный на контроль состоит в том, что менеджер, обращаясь за помощью, рассчитывает, что клиент взвалит на себя ответственность за руководство работой по анализу информации. Данный метод взаимодействия не может быть рекомендован в качестве постоянной основы отношений между менеджером и клиентом. Это связано с тем, что менеджер не осваивает навыков осуществления разрешения проблем и принятия решений, так как все это делает за него клиент, и тем самым появляется нежелательная зависимость от последнего.
Метод основанный на использовании обратной связи состоит в том, что клиент, наблюдая за действиями менеджера тем самым уже вмешивается и влияет на менеджера. Обратная связь имеет смысл только в том случае, если ее можно использовать для улучшения взаимодействия менеджера и клиента. Если же менеджер не отреагирует сразу на замечания и предложения то со временем они просто забудутся.
Метод, ориентированный на планирование, нацелен на постепенное уменьшение зависимости менеджера от клиента. Вначале они оба обсуждают детали взаимодействия, намечают программу. Менеджер точно знает, что делать, как решать предвидимые проблемы, как достичь желаемых результатов. При этом менеджер вскоре перестает зависеть от клиента, поскольку благодаря практике достигает уровня неосознанной компетентности.
7.3. Новые технологии в информационной деятельности
Новые информационные технологии являются средствами, позволяющими предприятиям отказаться от устаревших правил и создать модели процессов, значительно улучшающих показатели деятельности предприятий. Такие технологии позволяют радикально перепроектировать деловые процессы.
Для того, чтобы полностью использовать возможности информационных технологий, необходимо менеджерам и специалистам предприятия мыслить индуктивно, а не дедуктивно, как они привыкли. Дедуктивное мышление состоит в том, что вначале определяют проблему, а затем ищут я оценивают различные способы решения этой проблемы. При индуктивном мышлении сначала распознается эффективное решение, а затем отыскиваются проблемы, которые оно может разрешить. Практика показала, что простое накладывание информационных технологий на существующие деловые процессы не проводит к истинной трансформации хозяйственной деятельности и даже наоборот может блокировать процесс перестройки, сохранив прежние способы ведения дел.
Таким образом, новые информационные технологии должны использоваться для достижения совершенно новых деловых целей. Решающая роль информационных технологий обеспечивает получение определенных конкурентных преимуществ.
~ В табл. 7.1 показано, как новые информационные технологии ме-
няют правила информационной деятельности предприятия, которая вынуждена непрерывно пересматривать свою роль. Этому способствуют три фактора, которые в полной мере проявились в конце 90-х г.г. Во-первых, на информационную деятельность стал оказывать бизнес в плане увеличе-^шя ее вклада в общий результат деятельности компании. Во -вторых компьютерная парадигма вычислений заменяется новой парадигмой - сетевыми вычислениями, что приводит к появлению ряда новых информационных технологий. В-третьих, растет конкуренция внутренним отделам информационной технологии со стороны внешних фирм, специализирующихся на информационных услугах.
Миссия отделов информационной технологии смещается от обслуживающих функций к формированию основ конкурентоспособности компании. Переориентация с технологии на потребителя требует переключения с языка традиционных технологических терминов - мипсов, байтов, пакетов и т.п. на такие, как стратегия, компетенция, деловые цели. В ответ Ца эту потребность сложилась специальная дисциплина стратегическое Планирование информационных технологий, которая призвана помочь ^"наложить" стратегию бизнеса на планирование информационных технологий. Сейчас необходима ориентация на постоянно эволюцио-нирующие Услуги и их синхронизация с потребностями клиента.
114
115
Таблица 7.1 - Новые информационные технологии, изменяющие правила работы предприятий
| Прежнее правило
|
Технология
|
Новое правило
|
| 1
|
2
|
3
|
| Информация появляется в одно время в одном месте
|
Распределенные базы данных
|
Информация появляется одновременно в разных местах тогда, когда она необходима
|
| Сложную работу выполняет только профессионал
|
Экспертные системы
|
Работы профессионала может выполнять специалист по общим вопросам
|
| Необходим выбор между централизацией и децентрализацией
|
Телекоммуникационные сети
|
Можно одновременно иметь преимущество от централизации и децентрализации
|
| Все решения принимают менеджеры
|
Средства поддержки принятия решений, БД и средства моделирования
|
Принятие решений становится частью работы каждого сотрудника
|
| Для получения, хранения, поиска и передачи информации специалистам требуется офис
|
Беспроводная связь и переносимые компьютеры
|
Специалисты могут посылать и получать информацию из того места, где они находятся
|
| Лучший контакт - личный контакт
|
Интерактивный видеодиск
|
Лучший контакт - эффективный контакт
|
| Чтобы найти какую-либо сущность, необходимо знать, где она находится
|
Технология автоматического индексирования и отслеживания
|
Сущности сами информируют, где они находятся
|
| План работы пересматривается периодически
|
Высокопроизводительные ЭВМ
|
План работы пересматривается оперативно, по мере необходимости
|
Таким образом, в современном представлении стратегическая цель информационных технологий - способствовать менеджменту реагировать на динамику рынка, создавать, поддерживать и углублять конкурентные преимущества.
7.4 Характерные свойства современных информационных процессов
Традиционно исходили из следующих посылок, восходящих еще к Адаму Смиту. Исполнители имеют низкий уровень квалификации, у них недостаточно времени и возможностей его повысить. Из этого неизбежно следует, что задания, поручаемые исполнителям, должны быть достаточно простыми и понятными. Однако, простые задания при их связывании с помощью иерархической организационной структуры приводят к сложным информационным процессам, а вместе с тем к неэффективности, неудобству и большим затратам.
Для того чтобы удовлетворять современным требованиям качеству, сервису, гибкости и низким затратам, процессы должны быть простыми.
Характерными свойствами, присущими современным информационным процессам являются:
Объединение нескольких работ в одну. Наилучшим вариантом такого объединения является тот, когда все работы выполняет один сотрудник. В других случаях создается группа сотрудников ответственных за весь информационный процесс. При этом ис ключается подчинение сотрудников различным подразделениям. Такой прием в практике называют горизонтальным сжатием ин формационного процесса. Благодаря этому уменьшается количе ство ошибок и отпадает необходимость держать специальных со трудников для устранения ошибок. Кроме того улучшается управляемость за счет уменьшения количества сотрудников и четко распределенной ответственности между ними.
Вертикальное сжатие информационных процессов происходит за счет того, что в тех узлах процесса, где при традиционной орга низации работ сотрудник должен обращаться к управленческой иерархии, принимающей решения, сотрудник принимает реше ние самостоятельно. В результате вертикального сжатия умень шаются временные задержки, снижаются затраты, ускоряется ре акция на запросы клиента и увеличиваются полномочия сотруд ников.
Выполнение этапов информационного процесса в естественном порядке, т.е. там, где это возможно этапы работы выполняются параллельно, что ускоряет выполнение всего процесса. При этом также сокращается время на устранение несоответствий между предыдущими и последующими этапами процесса.
Наличие различных версий процесса в зависимости от ситуации и состояния внешнего окружения. Поэтому новые информацион ные процессы в отличие от традиционных являются ясными и простыми, так как каждый вариант ориентирован только на одну соответствующую ему ситуацию. Благодаря этому не приходится
116
117
учитывать различные исключения и частные случаи, что имеет место в традиционных информационных процессах. З.Выполнение информационных работ там, где наиболее целесообразно, ускоряет традиционную организацию работ вокруг специалистов, сгруппированных в тематические подразделения и взаимодействующих друг с другом часто в письменной форме. Смещение информационных работ между границами подразделений устраняет излишнюю интеграцию и приводит к повышенной эффективности информационного процесса.
6.Выбор экономически целесообразного режима контроля и управ ляющего воздействия с учетом того, что они непосредственно не производят материальных ценностей. На практике часто оказы вается, что затраты на проверки и управляющие воздействия превосходят стоимость потерь, которые бы имели место при от сутствии проверок и воздействий. Здесь необходим сбалансиро ванный подход: вместо контроля всех выполняемых работ, агре гировать их и контролировать и воздействовать на комплексы работ.
7.Минимизация количества согласований, не производящих непо средственных ценностей, осуществима на основе сокращения внешних точек контакта с функциональными элементами орг структуры и клиентами компании. Точки контактов должны быть заранее обоснованы. Исключение ненужных согласований доку ментов существенно повышает эффективность работы управлен ческих подразделений.
8.Назначение менеджера, уполномоченного за обеспечение кон такта заказчика, применяется в тех случаях, когда этапы процесса либо сложны, либо распределены таким образом, что интеграция их силами группы сотрудников невозможна. Такой менеджер яв ляется своеобразным буфером между сложным процессом и за казчиком. Этот менеджер ведет себя так, как если бы он был от ветственным за весь информационных процесс. Поэтому он дол жен быть способен отвечать на вопросы заказчика и решать его проблемы. Для выполнения этой роли менеджер должен иметь доступ ко всем информационным системам, используемым в этом процессе, и ко всем исполнителям.
9.Использование смешанного централизованно-децентрализованного подхода в управлении дает возможность компании действовать и на уровне ее подразделений полностью автономно, сохраняя при этом возможность пользоваться централизованными данными. При этом появляется возможность устранить бюрократические структуры и повысить качество обслуживания. Чтобы избежать рассогласован ности в действиях подразделений компании должны иметь центра-
лизованную базу данных, доступную всем подразделениям, что с одной стороны, не препятствует автономной работе подразделений, а с другой - позволяет координировать свои действия без бюрократического аппарата.
7.5. Роли, обязанности и ответственность сотрудников компании в технологии управления, основанной на процессах
В технологии управления, основанной на процессах выделяют пять типовых ролей сотрудников: президент, владелец ресурса, владелиц процесса, лидер процесса и оператор процесса. Каждый конкретный человек может выступать в одной роли или сразу в нескольких.
Типовым ролям сотрудников предписываются следующие обязанности.
Президент:
определяет и реализует долгосрочные и оперативные цели компании;
определяет стратегию хозяйственной деятельности;
осуществляют общий контроль за бюджетом и финансовой деятельностью;
- обеспечивает развитие хозяйственной деятельности и организационной структуры компании;
- назначает владельцев ресурсов и владельцев процессов;
- осуществляет контроль деятельности владельцев ресурсов и владельцев процессов.
Владелец процесса:
- назначается для каждого информационного процесса в компании;
- обеспечивает, чтобы процесс соответствовал стратегии хозяйственной деятельности;
определяет интерфейс процесса на основе объектов, участвующих в данном процессе;
определяет цели процесса и обеспечивает их достижение;
планирует общий бюджет процесса;
назначает лидеров экземпляров процесса;
распределяет ресурсы для процесса и заключает соглашения с операторами процесса;
участвует в долгосрочном планировании потребностей в ресурсах;
обеспечивает развитие процесса и улучшение его качества. Владелец ресурса:
распределяет ресурсы на различные процессы;
разрешает конфликты, возникающие при распределении ресурсов;
заключает соглашение с сотрудниками (операторами ресурсов) и обеспечивает каждого из них планом индивидуальной работы;
ведет проверку компетентности своего персонала и обеспечивает повышение квалификации;
118
119
- принимает на работу операторов;
- поддерживает сотрудников при разрешении конфликтов по использованию ресурсов и т.п.
Лидер процесса:
- несет ответственность за конкретный экземпляр процесса;
- обеспечивает эффективное выполнение конкретного экземпляра процесса в соответствии с бюджетом;
- согласует с владельцем процесса возможные поправки или изменения в конкретном процессе;
- осуществляет оперативное планирование и управление ресурсами;
- выявляет и разрешает конфликты совместно с операторами процесса, владельцем ресурсов и владельцем процесса;
- подписывает соглашение с операторами процесса. Оператор процесса:
- определяют перечень своих работ и заключают договора в одном или нескольких процессах компании;
- требуют заключения и выполнения всех соглашений, необходимых для функциональной деятельности;
- составляют совместно с лидерами процессов подробные индивидуальные планы;
- выполняют работы в конкретных процессах;
- следят за своим профессиональным ростом.
Обязательства и профессиональный рост каждого сотрудника в компании могут регулироваться различными соглашениями, в том числе следующими:
Личный план профессионального роста, описывающий виды обу чения и возможные продвижения в компании на ближайшие один - три года.
План участия в процессах, указывающий, какой процент времени сотрудник затрачивает на участие в различных процессах в течении года.
Соглашения, определяющие условия, на которых сотрудник обя зуется выполнять работы.
Форма типичного плана участия в процессах содержит: название процесса; процент времени, которое затрачивается на него; задачи, которые он решает, и имя владельца процесса.
7.6. Информационная
культура
Под информационной культурой понимается уровень практического достижения развитости информационного взаимодействия и всех информационных отношений. Культура - это мера совершенства в оперировании любой необходимой информацией. Информационную культуру определяют виды и разновидности культур, приведенные в табл. 7.2.
Таблица 7.2. Виды и разновидности культур, составляющих информационную культуру
| Виды культур
|
Разновидности культур
|
| 1
|
2
|
| Информационно-технологическая
|
Ведения баз данных для оперативного управления. Представление информации. Ведения коммуникационного диалога. Ведения многофункциональности и гибкости информационной системы. Сбора, обработки, передачи, хранения и выдачи информации. Общение между специалистами и пользователями компьютерных систем
|
| Организационная
|
Работы с документами. Разработки и использования норм, нормативов и стандартов. Ведения телефонных переговоров
|
| Социальная
|
Производственной среды в аппарате управления. Социальной защиты персонала. Деловой одежды
|
| Правовая
|
Информационного партнерства. Использование прав пользователями ЭВТ. Права по использованию баз данных.
|
| Техническая
|
Использование оргтехники.
|
| Экономическая
|
Хозяйствование экономического и финансового анализа.
|
| Эргономическая
|
Организации рабочих мест. Содержание помещений. Работы пользователей ЭВТ и средств связи.
|
| Информационной безопасности
|
Ведения плана безопасности. Идентификации пользователей. Использование механизма информационной безопасности.
|
Информационная культура в свою очередь является продуктом разнообразных творческих способностей людей и проявляется в следующих аспектах:
- конкретных навыках по использованию технических средств;
- способности использовать в своей деятельности компьюте ризированную технологию;
- умение извлекать информацию из различных источников, представлять ее в понятном виде и уметь эффективно использовать;
- овладении основами аналитической переработки информации;
- умение работать с различными видами информации;
- знании особенностей информационных потоков;
- использовании правовых аспектов, обеспечивающих
120
121
информационные процессы;
- владении основами эргономической и информационной безопасности.
Элементами информационной культуры являются определенные требования и правила, обусловленные принципами и нормами морали, права, техническими нормами и конкретными обстоятельствами.
Моральные нормы будучи более обширными и обстоятельными, чем другие нормы, применяются к более широкому кругу общественных отношений. Основное назначение морали - обеспечить социальное пове дение человека, предотвратить нарушение им интересов общественного долга. Наиболее общие из нравственных норм обозначаются в этике, как нравственные принципы.
Правовые требования к информационной культуре отражены в государственно-правовых документах в виде положений, правил и поста новлений.
Эстетические требования обуславливают непосредственный ре зультат эстетического восприятия эстетического переживания, в котором в эмоциональной форме выражается эстетическая оценка воспринимаемого объекта. Эмоциональным выражением понятий являются эстетические чувства, среди которых на первом месте чувство красоты.
Требования технической эстетики конкретизируются в эстетиче ские требования применительно к среде, в которой осуществляется управ ление. Такие требования распространяются на предметы материального мира, в окружении которых осуществляется управление.
Архитектурные требования имеют целью создание наиболее ра циональных по конструкции и планировке помещений информационной деятельности.
К числу требований экономического характера относятся стои мость, рентабельность, производительность труда, эффективность работы и т.п. Разумное вложение средств в организацию информационного про цесса совершенствует, упрощает выполнение управленческих операций и дает положительный эффект с позиций информационной культуры.
Технологические требования предполагают учет таких факторов, как строгое внутренне единство указаний, даваемых исполнителям, инди видуальный подход к сотрудникам, способность вырабатывать и поддер живать новые идеи. Данные требования необходимо учитывать во всех формах и стадиях управления, так как это способствует облегчению про цесса управления.
Санитарно-гигиенические требования включают нормальное ос вещение и вентиляцию, создание оптимальной температурной и влажной среды в служебных помещениях, поддержание хорошего физического са мочувствия сотрудников.
Учет элементов информационной культуры во всем многообразии информационной деятельности позволяет поднять уровень управленческо-
го труда и упростить процесс управления, улучшить условия труда, сделать более четкой и слаженной работу, повысить дисциплину труда.
К основным принципам информационной культуры относятся следующие:
Комплексный подход к решению информационных проблем управления. Этот принцип обусловлен тем, что объект управления пред ставляет собой сложный механизм, в котором могут переплетаться техни ческие аспекты производства (оборудование, технология, люди); экономи ческие (формы хозрасчета, материального стимулирования, и др.), органи зационные формы (формы и методы управления и организации труда) и социально-психологические (трудовой коллектив, условие труда, кон фликтные ситуации, стиль управления, режим работы и др.).
Постоянное упорядочение информационной системы в направ лениях: технология, процессы управления, структура и потоки информа ции, методы управления, положения о структурных подразделениях и должностные обязанности сотрудников.
Философия определяется взаимоотношением разработчиков и заказчиков информационной системы.
Использование прогрессивных форм организации сотрудников: ритуалы, коммуникации, манеры поведения, проявление почтительности.
Правила игры, обеспечивающие преуспевание внутри организа ции и во внешней среде.
Уважение прав личности путем поощрения свободного обмена информацией.
Достаточные удобства для пользователей всех видов, общаю щихся с электронно-вычислительной техникой в интерактивном режиме.
8. Обеспечение безопасности и защиты информации. Принципы информационной культуры взаимозависимы, развитие
каждого из них определяется его местом и ролью в системе, характером и содержанием взаимосвязи с другими принципами.
Таким образом, если рассматривать информационную культуру с методологических позиций, то она должна входить в понятие науки управления, которая по общему признанию имеет комплексный характер знаний и состоит из сведений, относящихся к различным отраслям знаний. Информационная культура должна занять соответствующее ей место в науке управления, поскольку само управление должно строиться с учетом требований всего информационного общества.
Из этого принципиального положения, в частности, вытекает органическая связь проблем информации с культурой общества, его структуры, с культурным уровнем и потенциалом каждой отдельной личности.
122
123
7.7. Управление изменением уровней информационной культуры
Уровень информационной культуры определяет избирательное восприятие обществом социально-экономических проблем и альтернатив их эффективного разрешения. Информационная культура хозяйствования начинается с общественного признания реальности того, что предприятие -это важнейшая составная часть экономики страны. Поэтому его функционирование не может быть самостоятельно и его назначение не может состоять лишь в том, чтобы приносить прибыль владельцу. В деятельности предприятия проявляется общественная философия, в основе которой -человек с его правом получения благ и услуг.
Социологический подход к проблемам реформы механизма хозяйствования и политической системы выдвигает на первый план информационно-культурные формы производства и управления. Принципы, заложенные в основу управления, оказывают существенное влияние на правила этики, моральных норм, а через них на стереотипы экономических объектов. Информационно-культурные формы общества включают в себя также систему социальной ответственности хозяйствующих субъектов и государства за состояние общества.
Характерно, что в настоящее время во всех сферах общественно-хозяйственной деятельности в противовес информационной культуре преобладает информационная контркультура, которая опирается на формальные правила и неформальные процедуры их исполнения. Примером таких правил являются поведенческие нормы и принципы организации деятельности в иерархических организационных структурах управления. Для таких структур характерны размытые процессы принятия решений, которые требуют создания искусственных органов управления и контроля сотрудников, включаемых в процесс принятия решений с правом голосования и согласования; поиска авторитета, персонально заинтересованного в существовании данной организационной структуры; стремления к компромиссу, состоящему в уклонении от принципиального решения вопросов, конфликтных ситуаций; склонность к действиям, по возможности, не скованными правовыми нормами. В таких организационных структурах механизм принятия решений отражает то, что среди руководящих кадров преобладает защитно-приспособленческий образ действий.
Руководители и сотрудники, которые используют такие правила, получают значительные материальные и моральные выгоды в результате наличия возможностей и умения манипулировать другими.
Опыт показывает, что законодательство можно ввести и узаконить нормы и ценности, идеологически подтверждающие первенство политических решений над экономическими, но образ мышления и действия сотрудников при этом меняются довольно медленно.
Управление изменением уровня информационной культуры - наиболее сложная разновидность управленческой деятельности, так как связана с преодолением привычек, сопротивления сотрудников, устоявшихся, но явно устаревших форм и методов информационной деятельности. Управление изменениями - это по сути дела наука и искусство связанные с совершенствованием управленческих процессов и систем социального управления, повышением уровня его информационной культуры.
Характерными этапами последовательности проведения изменений уровня информационной культуры является следующие:
1-й этап. Обоснование необходимости изменений под "давлением информации" на руководителей, которые начинают понимать сами необходимость и возможность определенных изменений.
2-й этап. Проверка возможностей реализации изменений, определение их последовательности, уяснение проблем, связанных с реализацией изменений.
3-й этап. Диагностика объектов и процессов, на которых предполагается производить изменения.
4-й этап. Создание структуры и механизма осуществления изменений, влияние на сотрудников с целью превращения их в сторонника изменений.
5-й этап. Организация функционирования структуры и механизма осуществления изменений. Отслеживание результатов изменений.
6-й этап. Оценка результатов проведения изменений информационной культуры.
В каждой конкретной системе управления уровень информационной культуры представляется ломаной линией, участки которой отражают высокий, средний и низкий уровень культуры. Принцип осуществления изменений культуры основан на выявлении низших уровней культуры и приобразований их в более высокий.
Критерий "информационная культура" относится ко всему коллективу организации в целом, охватывает все людские ресурсы и структуру, связывающую их в единое целое. Этим критерием может быть определена значимость сотрудников. Критерии представляют собой качественные характеристики, среди которых выделяют следующие:
Общепризнанные ценности, имеющие значение для всех уровней и элементов организационной структуры, являющимися общим атрибу том, присущим организации, а именно: качественное обслуживание кли ентов, уважительное отношение среди сотрудников.
Искусство управления сотрудниками подразумевает умение ру ководителя подбирать персонал, вырабатывать рациональное отношение, умение быть лидером и умение убеждать.
Поощрение и поддержка готовности идти на риск если решения тщательно проанализированы и достаточно обоснованы.
124
125
4. Ориентация на коллективную деятельность, которая позволяет сотрудникам осознавать, что они приносят пользу и испытывают законное чувство гордости.
Одной из важных гарантий формирования современной отечественной информационной культуры следует считать исключение из процедуры принятия хозяйственных решений преимущества политики над экономикой. В условиях перехода к рыночным условиям хозяйствования необходимо использование элементов высокоэффективных информационных культур в сочетании с их национальными традициями регионов страны.
7.8 Корпоративная информационная система "Интранет"
Термин "Интранет" вошел в оборот в 1995 году, обозначив корпоративную систему, построенную на основе \УеЬ - технологии. Главным здесь понимается не построение новой информационной системы предприятия с детализацией существующих информационных потоков, присущих современным компаниям, а встраивание элементов новой технологии. В качестве основного инструмента разработки информационных корпоративных связей применен новый язык, получивший название т
а\уа. Именно все указанное и обозначает т1гапе1.
Приложения в т*гапе1 основаны на приложении 1п1егпе1 - технологий и в особенности \УеЬ - технологии: гипертекст в формате НТМЬ, протокол передачи гипертекста НТТР и интерфейс современных предложений СО]. Составными частями т1гапе1 являются №еЬ - сервера для статистической или динамической публикации информации и браузеры для просмотра и интерпретации гипертекста. Что не дает использование технологий \УеЬ внутри корпорации? Программное обеспечение здесь в основном предназначено для работы с документами - их создания или организации документооборота. Эти задачи решаются с помощью офисных приложений, систем электронной почты и систем коллективной работы. Основное назначение \УеЬ - распространение разнородных данных, включая аудио, видео и любые другие типы информации. При этом \УеЬ обеспечивает возможность работы с корпоративными данными на новом уровне, не доступном пользователям обычной электронной почты. Возможность организации запросов от сервера \\^еЪ к различным СУБД с помощью интефейса СШ позволяет использовать программу просмотра \У\У\У в качестве клиента корпоративных баз данных. Благодаря этому системный администратор является в семью корпоративных пользователей \УеЬ.
Конкретно к реализуемым в таких сетях возможностям можно отнести следующее:
- ведение корпоративного календаря событий, планирование и управление текущими проектами;
- внутрифирменный обмен информацией с графиками, фотогра-
фиями и т.д.;
- создание отчетов, включающих схемы и диаграммы;
- обмен административной информацией;
- доступ к корпоративным базам данных;
- обмен различной информацией между сотрудниками;
- ведение корпоративных баз общедоступной информации. Таким образом, можно отметить, что использование технологий
т1гапе1 позволяет обеспечить решение задачи электронного распространения информации, которая производится в огромных количествах даже в небольших организациях. Обеспечиваемый при этом оперативный доступ к информации (недоступный в системах электронной почты), позволяет обеспечить связь с сотрудниками, находящимися в удаленных офисах. К тому средства защиты информации позволяют довольно легко обеспечить конфиденциальность передаваемой информации с очень высокими уровнем надежности.
Для того, чтобы воспользоваться всеми перечисленными возможностями, необходимо всего лишь установить в сети сервер \УеЬ и программы.
126
127
Глава 8. ПРАВОВОЕ РЕГУЛИРОВАНИЕ ИНФОРМАЦИОННОЙ
ДЕЯТЕЛЬНОСТИ
8.1. Законодательство Украины в сфере информационной деятельности
Информационная деятельность регулируется Конституцией Украины, Законом Украины "Об информации", законодательными актами об отдельных отраслях, видах, формах и средствах информации, международными договорами и соглашениями, ратифицированными Украиной.
Организационно-правовое обеспечение информационной деятельности включает пакет нормативно-правовых актов по вопросам организации и правовому регулированию отношений в информационной сфере, в частности по вопросам:
защиты авторского права, а также прав и свобод граждан в вопросах интенсивного информационного взаимодействия государства и гражданина в соответствии с Конституцией Украины;
определения правового режима государственных информационных ресурсов;
доступа физических и юридических лиц к отечественным и международным информационным ресурсам;
разработки системы государственных стандартов в информационной сфере;
сертификации технического и программного обеспечения;
разработки нормативных актов о деятельности и взаимодействии государственных и коммерческих структур в сфере информационной деятельности;
определения правового статуса информационных фондов и др.
К действующим в Украине законам, регулирующим различные аспекты информационной деятельности относятся:
- по наиболее общим вопросам правового режима информации, информационной деятельности, функционирования информационных сетей и их государственного регулирования:
• Конституция Украины - закрепляет права граждан, государственных органов, предприятий и организаций на информацию, право на тай ну переписки, телефонные переговоры, телеграфную и другую кор респонденцию;
• Гражданский кодекс Украины - определяет правовой режим собст венности на информацию, виды и характер сделок в информацион ной сфере;
• Закон "Об информации" - содержит определение понятий "инфор мация", "информационная деятельность", классификацию видов ин формации, регламентирует порядок доступа к государственным ин формационным ресурсам, вопросы охраны права на информацию, ответственности за нарушение этого права;
128
• Закон "О защите информации в автоматизированных системах" - ус танавливает основы регулирования правовых отношений, касаю щихся защиты информации в автоматизированных системах при ус ловии соблюдения права собственности граждан и юридических лиц на информацию и права доступа к ней, а также установленного зако нодательством ограничения на доступ к информации.
• Концепция Национальной Программы информатизации - определя ет стратегические направления развития информатизации в Украине, перспективные направления внедрения информационных техноло гий и вопросы международного сотрудничества;
• Уголовный кодекс Украины, Кодекс Украины об административных правонарушениях - содержат правовые нормы об ответственности за преступления и правонарушения в информационной сфере.
- по вопросам законодательного регулирования в сфере средств массовой информации:
• Закон " О печатных средствах массовой информации (прессе) в Ук раине" - создает правовые основы деятельности средств массовой информации(прессы) в Украине, устанавливает государственные га рантии их свободы в соответствии с законодательством Украины, регламентирует статус средств массовой информации (прессы);
• Закон Украины "О телевидении и радиовещании" регулирует деятель ность телерадиоорганизаций на территории Украины, определяет пра вовые, экономические, социальные, организационные условия их функционирования и направлен на реализацию свободы слова, прав граждан на получение полной, достоверной и оперативной информа ции, на открытое и свободное обсуждение общественных вопросов;
• Закон Украины "Об информационных агентствах" - закрепляет пра вовые основы деятельности в Украине информационных агентств и их международного сотрудничества, гарантии свободы деятельности информационных агентств и статус субъектов деятельности инфор мационных агентств;
• по вопросам охраны исключительных прав в отношении информации и информационных продуктов:
• Закон "Об авторском праве и смежных правах" - рассматривает во просы определения принадлежности информации на правах интел лектуальной собственности конкретному субъекту и гарантирует защиту интеллектуальной собственности;
• Закон "О государственной тайне" - регулирует общественные отно шения, связанные с отнесением информации к государственной тай не. Ее засекречиванием и охраной с целью защиты интересов Ук раины в сфере обороны, экономики, внешних отношений, государ ственной безопасности и охраны правопорядка, а также устанавли-
129
вает порядок ограничения доступа к информации, содержащей государственную тайну;
-по вопросам научно-технической информации, архивного фонда и
библиотечного дела:
• Закон "О Национальном архивном фонде и архивных учреждениях" - определяет правовой статус Национального архивного фонда;
• Закон Украины "О библиотеках и библиотечном деле" - устанавли вает требования к формированию и сохранению библиотечных фон дов, библиотечному обслуживанию с целью удовлетворения инфор мационных, научных и культурных потребностей общества, обога щения духовного потенциала народа;
• Закон "О научно-технической информации" - определяет основы го сударственной политики в области научно-технической информа ции, порядок ее формирования и реализации в интересах научно- технического, экономического и социального прогресса страны, а также правовые формы международного сотрудничества в этой об ласти;
• другие законодательные акты.
&2. Информационная деятельность как объект правового регулирования
Правовые основы информационной деятельности нашли отражение в Законе Украины "Об информации" (далее -Законе).
Закон устанавливает общие правовые основы получения, использования, распространения и хранения информации, закрепляет право лица на информацию во всех сферах общественной и государственной жизни Украины, а также систему информации, ее источники, определяет статус участников информационных отношений, регулирует доступ к информации и обеспечивает ее охрану, защищает лицо и общество от неправдивой информации.
Действие этого Закона распространяется на информационные отношения, которые возникают во всех сферах жизни и деятельности общества и государства при получении, использовании, распространении и хранении информации.
Ст 5. Закона закрепляет основные принципы информационных отношений, к которым относятся:
гарантированность права на информацию;
открытость, доступность информации и свобода ее обмена;
объективность, достоверность информации;
полнота и точность информации;
законность получения, использования, распространения и хранения информации.
130
В соответствии со ст. 12 Закона под информационной деятельностью понимается совокупность действий, направленных на удовлетворение информационных потребностей граждан, юридических лиц и государства.
Научно-информационная деятельность в соответствии с Законом Украины "О научно-технической информации" определяется как совокупность действий, направленных на удовлетворение потребностей граждан, юридических лиц и государства в научно-технической информации, которая заключается в ее сборе, аналитически-синтетической обработке, фиксации, хранении, поиске и распространении.
Государство гарантирует свободу информационной деятельности в этих направлениях всем гражданам и юридическим лицам в пределах их прав и свобод, функций и полномочий.
Ст. 14 Закона регламентирует основные виды информационной деятельности, к которым относятся получение, использование, распространение и хранение информации.
Получение информации - это приобретение и накопление в соответствии с действующим законодательством Украины документируемой или публично объявляемой информации гражданами, юридическими лицами или государством.
Использование информации - это удовлетворение информационных потребностей граждан, юридических лиц и государства.
Распространение информации - это распространение, обнародование, реализация в установленном законом порядке документируемой или публично объявляемой информации.
Хранение информации - это обеспечение надлежащего состояния информации и ее материальных носителей.
Получение, использование, распространение и хранение документируемой или публично объявляемой информации осуществляется в порядке, предусмотренном этим Законом и другими законодательными актами в отрасли информации.
Ст 17.3акона определяет понятие "отрасль информации", как совокупность документируемых или публично объявленных сведений об относительно самостоятельных сферах жизни и деятельности общества и государства. Основными отраслями информации являются: политическая, экономическая, духовная, научно-техническая, социальная, экологическая, международная.
8.3. Государственное регулирование информационной деятельности
Государственное регулирование информационной деятельности осуществляется органами государственной власти общей компетенции и специальной компетенции.
Органы общей компетенции - Верховная Рада Украины, Президент Украины, Кабинет Министров Украины, другие органы государственной исполнительной власти, а также органы местного и регионального самоуправления - определяют государственную политику в сфере информаци-
131
онной деятельности и обеспечивают ее реализацию в пределах своих полномочий.
Верховная Рада и Президент Украины
определяют государственную информационную политику, а также политику в отрасли защиты информации, государственную политику на телевидении и радиовещании, законодательные основы ее реализации, гарантии социальной и правовой защиты работников информационной сферы.
Кабинет Министров Украины
обеспечивает реализацию государственной политики в информационной сфере, осуществляя координацию деятельности министерств и других центральных органов государственной исполнительной власти, контроль за выполнением Национальной программы информатизации и за реализацией государственной информационной политики.
К органам специальной компетенции относятся Государственный комитет информационной политики Украины, Министерство культуры Украины , Главное архивное управление при кабинете Министров Украины, Государственный комитет связи и информации.
Государственный комитет информационной политики Украины
(Госинформполитики Украины) является центральным органом исполнительной власти, подчиненным Кабинету Министров Украины, который в соответствии с Положением, утвержденным Указом Президента Украины от 19 августа 1999г., обеспечивает проведение государственной политики в информационной и издательской сферах.
Основными задачами Госинформполитики Украины являются: -участие в формировании и проведении государственной политики в информационной и издательской сферах, разработка механизма ее проведения; -анализ тенденций развития национального информационного пространства, рынка печатной продукции Украины;
-разработка и осуществление мер по развитию и защите национального информационного пространства, отечественного издательского дела;
Госинформполитики Украины, в соответствии с возложенными на него задачами, участвует в формировании и проведении государственной политики в информационной сфере, разрабатывает механизм ее проведения, определяет приоритетные направления развития национального информационного пространства и издательского дела, анализирует и прогнозирует тенденции развития национального информационного пространства и рынка печатной продукции Украины, готовит предложения к проектам Государственного бюджета Украины и Государственной программы экономического и социального развития Украины по вопросам информационной и издательской деятельности, координирует освещение и анализирует прохождение в государственных средствах массовой информации официальной информации государственных органов и органов местного самоуправления, осуществляет в порядке, определенном Кабинетом Министров Украины, государственную
регистрацию печатных средств массовой информации информационных агентств, ведет Государственный реестр издателей, изготовителей и распространителей издательской продукции, а также разрабатывает меры по предоставлению государственной поддержки средствам массовой информации, защиты прав журналистов и потребителей информационной продукции, в установленном порядке координирует международные связи органов исполнительной власти по вопросам государственной информационной политики и др.
Государственный комитет связи и информатизации Украины
обеспечивает проведение государственной политики в сфере информатизации, несет ответственность за ее состояние и развитие. На него возложен контроль за эффективным использованием информационной инфраструктуры государства в части телекоммуникационных и компьютерных информационных систем. Его правовой статус закреплен в Положении о Государственном комитете связи и информатизации Украины (Госкомсвязи). В соответствии со своей компетенцией Госкомсвязи :
-осуществляет формирование Национальной программы информатизации и обеспечение ее выполнения;
-содействует развитию предпринимательства на конкурсной основе в сфере предоставления услуг связи, проведение государственной антимонопольной политики в отрасли связи и в сфере информатизации;
-осуществляет контроль за эффективным использованием информационной инфраструктуры государства в сфере телекоммуникационных и компьютерных информационных систем и разрабатывает и реализует вместе с другими органами исполнительной власти и органами местного самоуправления мероприятия, направленные на обеспечение информационно-аналитической поддержки задач национальной безопасности и обороны, осуществляет в пределах своей компетенции меры по обеспечению готовности функционирования единой национальной системы связи в особый период и в чрезвычайных ситуациях, решает вопросы гражданской обороны;
-осуществляет в соответствии с законодательством лицензирование отдельных видов предпринимательской деятельности и контроль за выполнением лицензионных условий;
-определяет порядок и обеспечивает проведение государственной регистрации компьютерных информационных систем и информационных ресурсов, которые используются в них;
-утверждает отраслевые стандарты и другие ведомственные нормативно-правовые акты, вместе с Комитетом Украины по вопросам стандартизации, метрологии и сертификации участвует в работах, связанных со стандартизацией и сертификацией в сфере информатизации;
-обеспечивает в пределах своих полномочий реализацию государственной политики в области государственной тайны, контроль за ее сохране-
132
133
нием в центральном аппарате Госкомсвязи Украины, на предприятиях, в учреждениях и организациях, которые принадлежат к сфере его управления;
-участвует в подготовке и заключении международных договоров Украины межведомственного характера;
-определяет порядок государственного мониторинга развития сферы информатизации, мониторинга отечественных и зарубежных рынков систем, средств и услуг в сфере информатизации, оказывает органам исполнительной власти и органам местного самоуправления методическую помощь по этим вопросам;
-организовывает в установленном порядке выставки средств и систем связи и информатизации в Украине и за границей, координирует участие в них органов исполнительной власти и органов местного самоуправления Украины, учреждений, предприятий и организаций;
-осуществляет подготовку, переподготовку и повышение квалификации работников отрасли связи и сферы информатизации;
Контроль за исполнением государственной информационной политики на местах возлагается на местные органы государственной власти, органы местного самоуправления, местные государственные администрации.
Совет национальной безопасности и обороны Украины
осуществляет координацию и контроль за выполнением Национальной программы информатизации по обеспечению национальной безопасности и обороны государства.
Служба безопасности Украины
является специально уполномоченным органом государственной власти в сфере обеспечения государственной тайны.
Госинформполитика
является уполномоченным органом управления государственным телевидением и радиовещанием Украины, который обеспечивает реализацию информационной политики государства, определений Верховной Радой Украины, Президентом Украины и контролируемой Национальным советом Украины по вопросам телевидения и радиовещания.
Министерство культуры Украины
является центральным органом государственной исполнительной власти, который осуществляет общее методическое руководство библиотеками и координирует их работу. Министерство культуры Украины реализует единую государственную политику в сфере библиотечного дела в Украине; формирует требования государственного статистического учета библиотек, основанных на территории Украины;определяет государственные потребности относительно библиотечного обслуживания и нормативы, которые гарантируют его надлежащий уровень; создает специализированные организационные структуры для материально-технического и научно-методического обеспечения библиотечной деятельности осуществляет координацию работ по объединению библиотек в единую информационную систему;
Министерства, государственные комитеты, ведомства,
другие государственные органы и организации осуществляют руководство подведомственными им информационными фондами и библиотеками в пределах своей компетенции.
Верховная Рада Автономной Республики Крым, местные государственные администрации
осуществляют полномочия в сфере государственного контроля за соблюдением законодательства о государственной тайне и информации, а также в сфере правового информирования населения, информирования населения о состоянии окружающей среды и др.
Местные органы исполнительной власти( исполкомы советов народ
ных депутатов)
в соответствии с Законом " О местном самоуправлении в Украине" осуществляют в установленном порядке государственную регистрацию предприятий и других субъектов хозяйствования, в том числе тех, которые намерены заниматься предпринимательской деятельностью в информационной сфере.
8.4. Национальная Программа информатизации
Правовые основы развития информационной деятельности в Украине нашли отражение в Законе Украины "О Национальной Программе информатизации" от 4 февраля 1998г (далее - Законе).
В Законе под информатизацией понимается совокупность взаимосвязанных организационных, правовых, политических, социально-экономических, научно-технических, производственных процессов, которые направлены на создания условий для удовлетворения информационных потребностей, реализации прав граждан и общества на основании создания, развития, использования информационных систем, сетей, ресурсов и информационных технологий, построенных на основании применения современной вычислительной и коммуникационной техники.
Национальная Программа информатизации (далее - Программа) -это комплекс взаимосвязанных отдельных заданий (проектов) информатизации, направленных на реализацию государственной политики и приоритетных направлений создания современной информационной инфраструктуры Украины за счет концентрации и рационального использования финансовых, материально-технических и других ресурсов, производственного и научно-технического потенциала государства, а также координации Деятельности органов государственной власти и органов местного самоуправления, предприятий, учреждений, организаций всех форм собственности и граждан в сфере информатизации.
Национальная программа информатизации включает:
- концепцию Национальной программы информатизации;
- совокупность государственных программ информатизации;
- отраслевые программы и проекты информатизации;
134
135
- региональные программы и проекты информатизации;
- программы и проекты информатизации органов местного само управление.
Главной целью Программы является обеспечение граждан и общества своевременной, достоверной и полной информацией на основании широкого использования информационных технологий, обеспечения информационной безопасности государства.
Программа направлена на разрешение таких основных задач:
формирование правовых, организационных, научно-технических, экономических, финансовых, методических и гуманитарных предпосылок развития информатизации;
применение и развитие современных информационных технологий в соответствующих сферах общественной жизни Украины;
формирование системы национальных информационных ресурсов;
создание общегосударственной сети информационного обеспечение
науки, образования, культуры, здравоохранения и тому подобное;
создание общегосударственных систем информационно-аналитической поддержки деятельности органов государственной власти и органов местного самоуправления;
повышение эффективности отечественного производства на основе широкого использования информационных технологий;
формирование и поддержка рынка информационных продуктов и услуг;
интеграция Украины в мировое информационное пространство, формирование правовых, организационных, научно-технических, экономических, финансовых, методических и гуманитарных предпосылок развития информатизации;
Программа определяет стратегию решения проблемы обеспечения информационных потребностей и информационной поддержки социально-экономической, экологической, научно-технической, оборонной, национально-культурной и другой деятельности в сферах общегосударственного значения.
8.5. Правовой режим государственных информационных ресурсов
Важнейшей составляющей стратегических ресурсов страны и одновременно национальной инфраструктуры являются государственные информационные ресурсы.
В состав государственных информационных ресурсов включаются библиотечные фонды, архивные фонды, информационные ресурсы органов государственной власти и регионального самоуправления, информационные ресурсы национальной системы научно-технической информации.
Государственный библиотечный фонд Украины составляют фонды библиотек, взаимосвязанных координированным комплектованием, еди-
ным справочным аппаратом, системой депозитарного хранения, перераспределения и взаимного использования фондов. Под библиотечным фондом понимается совокупность документально-информационных ресурсов (книг, документов, рукописей, аудиовизуальных материалов, других носителей информации).Правовой статус Государственного библиотечного фонда Украины определен Законом Украины "О библиотеках и библиотечном деле".
Особенно ценные, редкие издания и коллекции включаются в Государственный реестр национального культурного достояния Украины.
Архивные, рукописные и отдельные документы, собранные в библиотеке, входят в состав Национального архивного фонда Украины в соответствии с Законом Украины "О Национальном архивном фонде и архивных учреждениях"
Национальный архивный фонд - это совокупность документов, независимо от их вида, места создания и формы собственности на них, которые хранятся на территории Украины, отражают историю духовной и материальной жизни ее народа и других народов, имеют научную, историко-культурную ценность, признанные таковыми соответствующей экспертизой и зарегистрированные в порядке, предусмотренном законодательством Украины.
В Национальный архивный фонд включаются также архивные документы, которые хранятся за пределами Украины и в соответствии с международными соглашениями подлежат возвращению в Украину.
Архивы (архивные подразделения) объединений граждан, предприятий, учреждений и организаций, основанных на коллективной и частной формах собственности, имеют право ограничить доступ к документам Национального архивного фонда с целью обеспечения сохранности документов и защиты законных прав и интересов владельцев документов или других лиц. Ограничения устанавливаются по требованию владельца документов или других заинтересованных лиц с сообщением Главного архивного управления при Кабинете Министров Украины.
Система архивных учреждений Украины включает:
Главное архивное управление при Кабинете Министров Украины;
центральные государственные архивы;
отраслевые государственные архивы;
государственные архивные учреждения Республики Крым;
местные государственные архивные учреждения;
архивные подразделения самоуправляющихся научных учреждений, государственных музеев и библиотек;
архивные подразделения государственных органов, предприятий, учреждений и организаций;
136
137
архивы (архивные подразделения) объединений граждан, предприятий, учреждений и организаций, основанных на коллективной и частной формах собственности; научно-исследовательские учреждения в отрасли архивного дела.
Архивы и архивные учреждения действуют на основании соответствующих Положений об архивах (архивных подразделениях), основанных на коллективной или частной формах собственности, которые утверждаются их учредителями.
Информационные ресурсы национальной системы научно-технической информации представляют совокупность справочно-информационных фондов с необходимым справочно-поисковым аппаратом и соответствующими техническими средствами хранения, обработки и передачи, которые есть во владении, распоряжении, пользовании государственных органов и служб научно-технической информации, научных и научно-технических библиотек, коммерческих центров, предприятий, учреждений и организаций. Информационные ресурсы научно-технической информации, являющиеся собственностью государства, признаются государственными ресурсами научно-технической информации.
С целью удовлетворения потребностей юридических лиц и государ ства органы государственной власти и органы местного и регионального самоуправления создают и
банки данных. В соответствии с Законом Украины "Об информации" порядок их создания, структура, права и обязанности определяются Кабинетом Министров Украины или другими органами государственной власти, а также органами местного и регионального самоуправления.
В последнее время были созданы государственные информационные ресурсы для автоматизированных систем: базы данных "Законодательные и нормативные акты Украины", "Налоги Украины" (внесено около 10 тысяч документов), "Ресурсы Украины" (постоянно актуализируется информация о 260 тысячах предприятий и организаций Украины), "Единый государственный реестр предприятий и организаций Украины" (внесено с присвоением уникального кода более 600 тысяч субъектов хозяйственной деятельности) и другие. Электронная газета "Веем-веем" объединяет несколько десятков баз данных, которые включают научно-методическую, банковскую, коммерческую, законодательную и другую информацию.
В соответствии с Национальной Программой информатизации планируется осуществить интеграцию существующих информационных систем органов государственной власти и органов местного самоуправления и информационных ресурсов, т.е. создать единую информационно-телекоммуникационную систему сбора, обработки и передачи данных, необходимых для принятия стратегически важных решений в сфере экономики, внутренней и внешней политики.
В настоящее время в 23 министерствах и ведомствах уже существуют или создаются информационные ресурсы в электронном виде (электронные фонды и библиотеки). Или например, в налоговой администрации создана автоматизированная информационную система, обеспечивающая прогноз и контроль налоговых сборов, классификаторы, унифицированные системы
документооборота, автоматизированный Государственный реестр физических и юридических лиц - налогоплательщиков на основании единой базы данных населения Украины. Государственный комитет по стандартизации, метрологии и сертификации осуществляет ведение Национального автоматизированного информационного фонда стандартов.
Важное значение имеет проект, направленный на создание системы информационно-аналитического взаимодействия Национального банка, Министерства финансов, Государственной налоговой администрации и Государственного казначейства Украины, а также проект , обеспечивающий взаимосвязь национальных телекоммуникационных систем с компьютерными сетями других стран и глобальной сетью 1МТЕ1ШЕТ, с целью обеспечения доступа к международным информационным массивам и базам данных геоинформационных систем.
8.6. Защита информации в автоматизированных системах
Информационная безопасность является неотъемлемой частью политической, экономической, оборонной и других составляющих национальной безопасности. Объектами информационной безопасности являются информационные ресурсы, каналы информационного обмена и телекоммуникации, механизмы обеспечения функционирования телекоммуникационных систем и сетей и другие элементы информационной инфраструктуры страны.
В соответствии с Законом государство гарантирует право на информацию всем участникам информационных отношений, в том числе равные права и возможности доступа к информации. Исключением является информация, составляющая государственную тайну, т.е. вид тайной информации, которая охватывает сведения в сфере обороны, экономики, науки и техники, внешних отношений, государственной безопасности и охраны правопорядка, разглашение которых может причинить вред национальной безопасности Украины и которые признаны государственной тайной в порядке, установленном Законом " О государственной тайне", и подлежат охране государством. В числе мер, направленных на защиту информации в АС, следует выделить: комплекс государственных стандартов по документированию, сопровождению, использованию, сертификационным испытаниям программных средств защиты информации; банк средств диагностики, локализации и профилактики вирусов, новые технологии защиты информации с использованием спектральных методов, высоконадежные криптографические методы защиты информации, а также оперативно-розыскные мероприятия, направленные на предотвращение ее разглашения и потерю ее материальных носителей.
С целью охраны государственной тайны в информационных автоматизированных системах внедряются: единые требования к изготовлению, пользованию, сохранению, передаче, транспортировке и учету материальных носителей секретной информации; вводится разрешительный порядок осуществления органами государственной власти, органами местного самоуправле-
138
139
ния, предприятиями, учреждениями и организациями деятельности, связанной с государственной тайной; ограничивается доступ лиц без гражданства и иностранных юридических лиц к указанной информации.
В автоматизированных системах (АС) защита информации в соответствии с законом "О защите информации в автоматизированных системах" обеспечивается путем:
соблюдения субъектами правовых отношений норм, требований и правил организационного и технического характера по защите обрабатываемой информации;
использования средств вычислительной техники, программного обеспечения, средств связи и АС в целом, средств зашиты информации, которые отвечают установленным требованиям по защите информации;
проверки соответствия средств вычислительной техники, программного обеспечения, средств связи и АС в целом установленным требованиям относительно защиты информации (сертификация средств вычислительной техники, средств связи и АС);
осуществления контроля по защите информации.
Рассмотренные меры защиты информации в автоматизированных системах обеспечивают условия соблюдения права собственности граждан Украины и юридических лиц на информацию и права доступа к ней, права владельцев информации на ее защиту, а также реализацию установленного действующим законодательством ограничения на доступ к информации.
Для защиты государственных информационных ресурсов министерствами, ведомствами, местными органами исполнительной власти утверждается порядок организации, функционирования и контроля за выполнением мероприятий, направленных на защиту обрабатываемой в АС информации. Создаются соответствующие структуры для защиты информации в АС; проводится аттестация сертификационных (испытательных) органов, центров и лабораторий.
В государственных учреждениях и организациях могут создаваться подразделения, службы, которые организовывают работу, связанную с защитой информации, поддержкой уровня защиты информации в АС и несут ответственность за эффективность защиты информации.
8.7 Правовой режим государственных средств массовой информации
К государственным средствам массовой информации относятся:
а) государственная теле- и радиовещательная организация (статья 12 Закона Украины "О телевидении и радиовещании";
б) государственное информационное агентство (статьи 7 и 8 Закона Украины "Об информационных агентствах";
в) печатное средство массовой информации, учредителем (соуч редителем) которого является орган государственной власти.
г)коммунальное средство массовой информации - аудиовизуальное или печатное средство массовой информации, созданное органом местного самоуправления или органом местного самоуправления совместно с местной государственной администрацией как учредителем (соучредителем)
на базе или при участии коммунальной собственности и соответствующего финансирования из местного бюджета и уставом (программными целями, программной концепцией) редакции (юридического лица) которого предусматривается, в частности, информирование граждан о деятельности этого органа и высших органов государственной власти;
районная, городская газета - коммунальная или другая местная газета, какая выдается и распространяется соответственно на территории района (кроме района в городе) или города; общая для района и города, где размещается районный центр,;
районное, городское, телерадиовещание - теле- и радиовещание, осуществляемое коммунальными районными, городскими или (общими для района и города) теле- и радиовещательными организациями;
Телерадиоорганизация (редакция, студия, агентство, объединение, ассоциация, компания, радиостанция и др.) - юридическое лицо, зарегистрированное в установленном действующим законодательством порядке, которое имеет право производить и распространять телерадио передачи и программы. Закон "О телевидении и радиовещании" регулирует деятельность телерадиоорганизаций на территории Украины, определяет права, экономические, социальные, организационные условия их функционирования, направленные на реализацию свободы слова, прав граждан на получение полной, достоверной и оперативной информации, на открытое и свободное обсуждение общественных вопросов. Особое место в системе телерадиоорганизаций занимают Национальная телекомпания, Национальная радиокомпания - государственные телерадиоорганизаций, которые ведут вещание на общенациональных каналах вещания и подотчетны Верховной Раде Украины и Президенту Украины.
Информационными агентствами согласно Закону "Об информационных агентствах" признаются зарегистрированные как юридические лица субъекты информационной деятельности, которые действуют с целью предоставления информационных услуг. Деятельность информационных агентств - это сбор, обработка, создание, хранение, подготовка информации к распространению, выпуск и распространение информационной продукции.
Основными видами информационных агентств являются государственные и негосударственные информационные агентства Украины и иностранные информационные агентства, которые действуют в Украине через свои представительства.
Право на учреждение информационного агентства в Украине принадлежит гражданам и юридическим лицам Украины. Запрещается создание и деятельность информационных агентств с иностранными инвестициями, в уставном фонде которых больше 30 процентовиностранных инвестиций.
Государство оказывает адресную помощь средствам массовой информации, которые целенаправленно содействуют развитию языков и культур национальных меньшинств Украины.
140
141
Глава 9. ДОГОВОРНО-ПРАВОВОЕ ОБЕСПЕЧЕНИЕ
ИНФОРМАЦИОННОЙ ДЕЯТЕЛЬНОСТИ
9.1. Понятие информационного продукта и информационной услуги
Правовое регулирование информационного обеспечения субъектов информационной деятельности (далее - ИД) представлено общими нормами гражданского и хозяйственного права и специальными нормативными актами - законами "Об информации", "О защите информации в автоматизированных системах", " О государственной тайне", регулирующими отдельные аспекты ИД (защиту государственной тайны, порядок лицензирования и сертификации, защиту информации в автоматизированных системах, доступ к информации, защиту авторских прав, деятельность средств массовой информации и т.д.).
Объектом правоотношений в информационной сфере выступает не сама информация, а информационный продукт и информационная услуга. Для их правовой охраны могут применяться нормы вещного права (книга, архив, библиотека), нормы авторского права ( базы данных, литературные произведения). Они также могут охраняться путем установления условий, при соблюдении которых гарантируется защита гражданско-правовыми способами (например, служебная и коммерческая тайны). Эти условия включают, прежде всего, установление режима ограниченного доступа к конкретным видам информации.
Особый интерес и практическую значимость с правовых позиций представляет разграничение понятий информационного продукта и информационной услуги. Разграничение данных понятий возможно при использовании в качестве отличительного признака - признака результата или направленности результата.
Информационный продукт представляет собой овеществленный (материализованный) результат, который впоследствии может быть вовлечен в имущественный оборот, будучи предметом товарообменных сделок. Г.Поппель и Б.Голдстайп в качестве информационных продуктов рассматривают программные средства, базы данных и службы экспертного обеспечения.
Информационный продукт - это информация, подготовленная к использованию в соответствии с потребностями пользователей и предназначенная для удовлетворения их потребностей. Заказчик информационного продукта предъявляет к информационному продукту определенные требования, которые впоследствии должны обеспечить ему конкретный полезный эффект.
Под информационной продукцией понимается материализованный результат информационной деятельности, предназначенный для удовлетворения информационных нужд граждан, государственных органов, предприятий, учреждений и организаций. Для создания информационного
142
продукта используются информационные ресурсы - отдельные документы и отдельные массивы документов, документы и массивы документов в информационных системах (библиотеках, архивах, фондах, банках данных, других видах информационных систем).
Характерной особенностью процесса создания информационного продукта является наличие прав на определенные сферы действия. Ряд ученых - В.А.Дозорцев Е.Волчинская считают, что информация - объект только исключительных прав, другие: - В.А.Копылов, И.Л.Бачило, - допускают возможность признания документированной информации в качестве объекта вещных прав.
Информационная услуга - это осуществление в определенной законом форме информационной деятельности по доведению информационной продукции до потребителей с целью удовлетворения их информационных нужд. По мнению Е.Д.Шешенина, услуге как предмету правоотношений присущи следующие признаки: а)услуга - это деятельность лица, оказывающего услугу не в качестве вещи, а в качестве деятельности; б) оказание услуги не создает вещественного результата, поскольку услуга не оставляет осязательных результатов; в)полезный эффект услуги деятельности потребляется в процессе предоставления услуги, а потребительная стоимость услуги исчезает.
Е.В.Измайлова выделяет следующие характерные признаки нематериальных, в том числе информационных услуг как предмета обязательства: услуга - это деятельность физического или юридического лица, которая не находит воплощения в материальном результате, она потребляется в момент ее оказания и услугодатель не гарантирует достижение полезного эффекта от оказания услуги.
Информационные услуги могут быть представлены различного рода публикациями, осуществляемыми как традиционными методами, так и в электронном формате, пакетами прикладных программ, результатами компьютерной обработки данных и другими видами профессиональных услуг, к числу которых относятся аудиторские, юридические и рекламные услуги. В практике бизнеса заключаются договоры на оказание информационных услуг в сфере маркетинга для оценки и прогнозирования рынков сбыта продукции, для изучения и анализа динамики цен , условий реализации продукции др.
Хозяйственные операции, связанные с "продажей" информации могут осуществляться в форме оказания информационных услуг или реализации информационной продукции - передачи исключительных прав на использование базы данных. Различия в результате деятельности позволяют разграничить договоры на создание информационного продукта и договоры на оказание информационных услуг. Основу разграничения составляет то обстоятельство, что обязательства по выполнению работ и оказанию услуг имеют различный характер. В первом случае эти обязательст-
143
ва носят материальный характер, во втором - нематериальный , что обусловливает различия в их правовом регулировании. Материальные услуги получают свое объективированное выражение в определенном вещественном результате - товаре или информационном продукте, отделимом от исполнителя и вовлекаемом в имущественный оборот. Когда же деятельность исполнителя не создает овеществленного результата, отношения сторон регулируются договором на оказание услуг.
Договорные отношения в информационной сфере регулируются Гражданским Кодексом. Гражданский кодекс Украины определяет систему гражданских правоотношений в сфере информационных отношений. Предприятия, учреждения и организации независимо от форм собственности, осуществляющие ИД, свободны в выборе поставщиков информационного продукта и информационных услуг, форм отношений с ними, методов и видов информирования, а также номенклатуры информационной продукции и услуг, кроме случаев, когда собственники этих предприятий, учреждений и организаций устанавливают определенные требования относительно номенклатуры продукции, сферы информационного обслуживания и т.д. Они имеют право производить любые действия относительно реализации своей продукции, не противоречащие действующему законодательству.
9.2. Информационные рынки
Внедрение информационных технологий способствует тому, что информация в виде информационных продуктов и информационных услуг становится предметом отношений купли-продажи.
Рынок информационных услуг представляет собой слияние экономических, правовых и организационных отношений при покупке и продаже информационных продуктов и информационных услуг между поставщиками и потребителями и характеризуется определенной номенклатурой услуг, а также условиями и механизмами их представления.
Развитие рынка информации тесно связано с развитием коммерческих информационных систем, которые позволяют обеспечить передачу информации в электронном виде между потребителями и центрами по обработке информации. Информационные системы позволяют расширить сферу информационного рынка, обеспечивая доступ к базам данных в режиме реального времени (оп-Нпе режим), передачу данных в электронном виде, электронную безбумажную передачу денежных средств, осуществление деловых переговоров с помощью электронной почты.
Для информационного рынка, как и для других отраслей и сфер деятельности, одной из важнейших проблем является проблема реализации.
Информационные агентства, органы научно-технической информации, предприятия, организации, граждане, осуществляющие информационную деятельность и свободно реализующие свою информационную
продукцию и информационные услуги, являются товаропроизводителями, участвующими в создании рынка на общих основаниях независимо от форм собственности. Они имеют право производить любые действия относительно реализации своей продукции, которые не противоречат действующему законодательству.
Важнейшей тенденцией развития информационных рынков является глобализация. Потребителем информационного рынка может стать практически любое физическое или юридическое лицо, поэтому возможности информационного рынка рассматриваются как беспредельные, тем не менее специалисты отмечают, что распространение спроса на конкретные виды информационной продукции может вызвать конкуренцию между его основными производителями - фирмами США, Японии, Франции, Великобритании, ФРГ, Тайваня, Сингапура и ряда других стран.
Информационные рынки предполагают взаимодействие органов, осуществляющих производство информационных продуктов и оказание информационных услуг, с потребителями информации на основе контрактов (договоров) и иных форм соглашений, предусмотренных действующим законодательством. Контракт (договор) является основным документом, регламентирующим отношения между производителем и потребителем информации. На контрактной (договорной) основе могут осуществляться информационное обеспечение, научные исследования и разработки для органов государственной власти, кроме случаев, когда действующими законами предусмотрено бесплатное предоставление им информации. Осуществление расчетов производится на договорных условиях с использованием договорных цен, кроме случаев, когда применяются тарифы, установленные государственными органами. Основными сегментами информационного рынка являются:
потребительский сегмент, включающий передачу информации и развлечений частным лицам;
сегмент научно-технической и специальной информации, предназначенной для работников интеллектуального труда;
бизнес-сегмент, включающий потребление информационных продуктов и услуг в процессе производственной и маркетинговой деятельности субъектов хозяйствования.
Рынок информации в сфере бизнеса включает справочники и базы данных по организациям, ведущим коммерческие операции , справочники и базы данных соответствующих коммерческих предложений, а также справочники и базы специальной информации, к числу которых относятся информационные базы законодательства.
Расширяется объем услуг по предоставлению ежедневной оперативной достоверной информации о состоянии финансового и фондового рынков. Наиболее значительны объемы информации о биржевых котировках и фьючерсных контрактах, рынках ценных бумаг, сведениях по обменным
144
145
курсам валют, учетным ставкам и ценам кредитных ресурсов и долговых обязательств.
Сектор информационного рынка финансовой, деловой и коммерческой информации характеризуется высокими требованиями к качеству и высоким уровнем цен. Основными потребителями финансовой информации являются профессиональные инвесторы и оптовики, а также аналитические и консультационные службы, ориентированные на их обслуживание. Инвесторы, работающие на рынке ценных бумаг, нуждаются также в информации о состоянии определенной отрасли промышленности, то есть в статистической и коммерческой информации о состоянии экономики, в ежедневных оперативных деловых новостях. В связи с этим расширяется объем предоставляемых потребителям комплексных информационных услуг.
Формирование рынка информации регулируется Законом Украины "Об ограничении монополизма и недопущении недобросовестной конкуренции", который предполагает осуществление правовых мер, позволяющих обеспечить:
- свободную конкуренцию между субъектами, осуществляющими информационную деятельность, рекламными, информационными агентствами другими предприятиями и организациями всех форм собственности; - защиту субъектов информационной деятельности от недобросовестной конкуренции и монополизма в любых сферах информационной деятельности.
В ходе осуществления операции купли-продажи информационной продукции должна гарантироваться охрана прав интеллектуальной собственности в соответствии с Законом "Об авторском праве и смежных правах", охрана государственной тайны в соответствии с Законом "О государственной тайне" , законные права и интересы потребителя информационной продукции и услуг в соответствии с законом "О защите прав потребителей".
9.3. Информационный риск и ответственность
Проблема информационного риска обусловлена спецификой информации как информационного продукта. "Информация, представленная в электронном виде , - отмечает В.Наумов, - является изменчивой и нестабильной", что обусловлено в первую очередь незащищенностью протоколов информации и массивов данных.
Риск в сфере информационной деятельности включает: технический риск, обусловленный нарушениями в режиме работы информационных систем;
эксплуатационный риск, связанный с нарушением субъектами ИД норм, требований и правил организационного и технологического характера по защите обрабатываемой информации;
хозяйственный риск, обусловленный нарушением одной из сторон отдельных пунктов договора;
риск использования информации с нарушением авторских прав; "содержательный" риск, связанный с отсутствием полезного эффекта от информации или досрочной потерей "информацией" полезных свойств, что особенно ощутимо в научно-технической и финансовой сфере.
Решение проблемы снижения уровня информационного риска предполагает проведение системы мероприятий:
технического характера, включая разработку и внедрение средств защиты информации, систем поиска, обработки и хранения информации, снижающих риск несанкционированного доступа, включая мероприятия в области криптографии, шифрования и информационной безопасности;
организационно - правового характера, направленных на обеспечение свободного и ограниченного доступа к информационным массивам с условием соблюдения требований законодательства, установление юрисдикции информационных систем.
К числу организационно - правовых мер относится также:
соблюдение субъектами правовых отношений норм, требований и правил организационного и технического характера по защите информации;
использование средств вычислительной техники, средств связи в автоматизированных системах, которые отвечают установленным требованиям и прошли в установленном порядке сертификацию;
использование программного обеспечения и информационных ресурсов на основе лицензионного соглашения;
обеспечение контроля по защите информации.
Ответственность за отдельные виды риска может быть разграничена между всеми участниками информационных отношений - собственниками и владельцами и пользователями автоматизированных систем , владельцами информационных фондов и баз данных, страховыми организациями, а также лицами, осуществляющими техническое обслуживание автоматизированных систем.
В соответствии с Законом Украины собственник автоматизированных систем не несет ответственности за вред, причиненный собственнику информации, если при этом не были нарушены установленные правила ее защиты. В то же время собственник несет ответственность за риск, связанный с использованием несертифицированных информационных систем и средств их обеспечения.
Риск, связанный с использованием информации, полученной из несертифицированной системы, лежит на потребителе информации.
Ответственность за конкретные виды риска может быть установлена в пунктах договора, заключаемого участниками ИД. С целью снижения
146
147
степени риска неисполнения взятых на себя обязательств стороны могут заключить договор страхования.
В информационной сфере большинство спорных ситуаций вокруг охраняемых прав касается права интеллектуальной собственности. В зарубежной практике содержание документа, создаваемого, обрабатываемого и передаваемого с помощью автоматизированных информационных и телекоммуникационных систем, может подтверждаться электронной цифровой подписью. Юридическая сила такой подписи признается при наличии в системе программно - технических средств, обеспечивающих идентификацию подписи, и соблюдении установленного режима их использования. Электронная подпись служит правовой гарантией выполнения сторонами принятых на себя обязательств по договору, а также соблюдения сторонами права интеллектуальной собственности.
9.4. Права и обязанности участников информационных правоотношений
В процессе ИД между ее субъектами складываются договорные отношения, которые подразделяются на:
основные (договоры в процессе осуществления ИД: договоры на создание информационного продукта и договоры на оказание информационных услуг);
вспомогательные (на обеспечение субъектов ИД информационными технологиями, на пользование автоматизированными системами и т.д.).
Особенностью хозяйственных договоров в ИД является определенный круг субъектов информационных отношений. В соответствии с Законом "Об информации" участниками информационных правоотношений являются :
собственник информационного продукта, информационных систем, технологий и средств их обеспечения - субъект, в полном объеме реализующий полномочия владения, пользования, распоряжения указанными объектами;
владелец информационного продукта, информационных систем, технологий и средств их обеспечения - субъект, осуществляющий владение и пользование указанными объектами и реализующий полномочия распоряжения в пределах, установленных законом;
пользователь (потребитель) информации - субъект, обращающийся к информационной системе или посреднику за получением необходимой ему информации и пользующийся ею.
Правовой статус участников информационных правоотношений определяется информационным законодательством. Участниками информационных отношений являются граждане, юридические лица либо государство, приобретающие предусмотренные законом права и обязанности в процессе информационной деятельности. Основными участниками таких
отношений являются: авторы, потребители, распространители, хранители информации.
Участники информационных отношений вправе получать (производить, добывать), использовать, распространять и сохранять информацию в любой форме с использованием любых методов, кроме случаев, предусмотренных законом. Каждый участник информационных отношений для обеспечения его прав, свобод и законных интересов имеет право на получение информации: о деятельности органов государственной власти; о деятельности народных депутатов, о деятельности органов местного и регионального самоуправления и местной, администрации, касающейся его лично.
Участники информационных отношений обязаны:
.уважать информационные права остальных субъектов;
использовать информацию в соответствии с законом либо договором (сделкой);
обеспечивать соблюдение принципов информационных отношений;
обеспечивать доступ к информации всем потребителям на условиях, предусмотренных законом либо сделкой;
сохранять ее в должном состоянии на протяжении установленного срока и предоставлять остальным гражданам, юридическим лицам либо государственным органам в предусмотренном законом порядке;
компенсировать вред, нанесенный при нарушении законодательства об информации.
Собственник информационного продукта, информационных систем или уполномоченные им лица устанавливают порядок предоставления пользователю информации с указанием места, времени, ответственных должностных лиц, а также необходимых процедур и обеспечивают условия доступа пользователей к информации. Собственник может обращаться в организации, осуществляющие сертификацию средств защиты информационных систем и информационных ресурсов, для проведения анализа достаточности мер защиты его ресурсов и систем и получения консультаций.
Владельцы информационного продукта и информационных систем обеспечивает уровень защиты информации в соответствии с законодательством. Они обязаны оповещать собственника информационной продукции и (или) информационных систем о всех фактах нарушения режима защиты информации.
Участники информационных правоотношений имеют право на предупреждения правонарушений, пресечения неправомерных действий, восстановления нарушенных прав и возмещения причиненного ущерба. Защита прав субъектов в сфере формирования информационных продуктов, пользования информационными продуктами и услугами, разработки, производства и применения информационных систем, технологий и средств их обеспечения осуществляется судом, арбитражным судом, третейским
148
149
судом с учетом специфики правонарушений и нанесенного ущерба. Суд рассматривает споры о необоснованном отнесении информации к категории информации с ограниченным доступом, иски о возмещении ущерба в случаях необоснованного отказа в предоставлении информации пользователям или в результате других нарушений прав пользователей.
Неисполнение или ненадлежащее исполнение обязательств по договору поставки, купли - продажи, по другим формам обмена информационными продуктами и услугами между организациями рассматриваются арбитражным судом.
В то же время неправомерный отказ в доступе к открытой информации или предоставление пользователям заведомо недостоверной информации могут быть обжалованы в судебном порядке. Во всех случаях лица, которым отказано в доступе к информации, и лица, получившие недостоверную информацию, имеют право на возмещение понесенного ими ущерба.
9.5. Право собственности на информационные продукты и услуги
Установление договорных отношений предполагает выяснение права собственности на информационные продукты и информационные услуги.
Государство является собственником информационных продуктов, создаваемых, приобретаемых, накапливаемых за счет средств государственного бюджета. Государство имеет право выкупа документированной информации у физических и юридических лиц в случае отнесения этой информации к государственной тайне. Информационные продукты, являющиеся собственностью государства, находятся в ведении органов государственной власти и организаций в соответствии с их компетенцией, подлежат учету и защите в составе государственного имущества.
Физические и юридические лица являются собственниками тех документов, массивов документов, которые созданы за счет их средств, приобретены ими на законных основаниях, получены в порядке дарения или наследования. Собственник информации должен представить доказательства права собственности на данный продукт, так как во многих случаях исключительные права могут принадлежать владельцу книги, государственному архиву или информационному агентству. Он несет ответственность за использование чужих товарных знаков, зарегистрированных в установленном законодательством порядке. Субъекты, представляющие в обязательном порядке документированную информацию в органы государственной власти и организации, не утрачивают своих прав на эти документы и на использование информации, содержащейся в них. Информация, представляемая в обязательном порядке в органы государственной власти и организации юридическими лицами независимо от их организационно-правовой формы и форм собственности, а также гражданами формирует информационные ресурсы, находящиеся в совместном владении
государства и субъектов, представляющих эту информацию. Информационные ресурсы, являющиеся собственностью организаций, включаются в состав их имущества в соответствии с гражданским законодательством .
Собственник информационного продукта, содержащего сведения, отнесенные к государственной тайне, вправе распоряжаться этой собственностью только с разрешения соответствующих органов государственной власти.
Собственник информационного продукта пользуется всеми правами, предусмотренными законодательством , в том числе он имеет право:
назначать лицо, осуществляющее хозяйственное владение информационными ресурсами, или оперативное управление ими;
устанавливать в пределах своей компетенции режим и правила обработки, защиты информационных ресурсов и доступа к ним;
определять условия распоряжения документами при их копировании и распространении.
Право собственности на средства обработки информации не создает права собственности на информационные продукты, принадлежащие другим собственникам. Документы, обрабатываемые в порядке предоставления услуг или при совместном использовании этих средств обработки, принадлежат их владельцу. Принадлежность и режим производной продукции, создаваемой в этом случае, регулируются договором.
Информационные системы, технологии и средства их обеспечения могут быть объектами собственности физических и юридических лиц, государства. Собственником информационной системы, технологии и средств их обеспечения признается физическое или юридическое лицо, на средства которого эти объекты произведены, приобретены или получены в порядке наследования, дарения или иным законным способом. Информационные системы, технологии и средства их обеспечения включаются в состав имущества субъекта, осуществляющего права собственника или владельца этих объектов. Информационные системы, технологии и средства их обеспечения выступают в качестве товара (продукции) при соблюдении исключительных прав их разработчиков. Собственник информационной системы, технологии и средств их обеспечения определяет условия использования этой продукции. Право авторства и право собственности на информационные системы, технологии и средства их обеспечения могут принадлежать разным лицам. Собственник информационной системы, технологии и средств их обеспечения обязан защищать права их автора в соответствии с законодательством.
9.6. Условия и порядок установления договорных отношений
Гражданский кодекс регламентирует следующие условия, подлежащие согласованию в договоре поставки: наименование, количество поставляемой продукции , общий срок действия договора , цена на продукцию и общая сумма договора, порядок и форма расчетов, ответственность сторон, платежные, почтовые и отгрузочные реквизиты сторон и прочие условия по требованию одной из сторон.
150
151
В хозяйственных отношениях возможность выбора контрагента будущего договора зависит от свободного усмотрения предприятия, учреждения, организации, которая заключает договор. Стороны исходят из общих требований относительно структуры договорных связей, установленных в законе, либо технико-экономических особенностей данного вида хозяйственной деятельности. Владельцы и пользователи информационных продуктов, независимо от форм собственности, свободны в выборе поставщиков информации, форм отношений с ними, методов и видов информирования, а также номенклатуры информационной продукции и услуг, кроме случаев, когда собственники этих предприятий, учреждений и организаций устанавливают определенные требования относительно номенклатуры продукции, сферы информационного обслуживания и т. д.
Как правило, в хозяйственном договоре имеется две стороны, каждая из которых представлена одним участником, субъектом. Однако, допускается заключение и долевых договоров, в которых одна или обе стороны одновременно представлены несколькими лицами. В частности, покупатель и поставщик в договоре поставки вправе привлекать к долевому участию другие организации. В этом случае указанные организации, предприятия, учреждения принимают непосредственное участие в разработке условий договора, подписывают его и несут ответственность за выполнение обязательств, каждый в пределах своей доли.
Содержание хозяйственного договора как юридического акта составляет совокупность условий, по которым стороны пришли к соглашению. Поскольку договор является основанием возникновения хозяйственных обязательств, то содержание этого обязательства раскрывается через определяемые условиями договора права и обязанности его участников. Согласно действующему гражданскому законодательству договор считается заключенным, когда между сторонами, в требуемой в надлежащих случаях форме, достигнуто соглашение по всем существенным его пунктам. Существенными считаются те пункты договора, которые признаны такими по закону или необходимыми для договоров данного вида, а также пункты, относительно которых по заявлению одной из сторон должно быть достигнуто соглашение. Круг существенных, необходимых условий для каждого конкретного вида хозяйственного договора можно определить, проанализировав соответствующие разделы Гражданского кодекса Украины и специальных нормативных актов, регулирующих данный вид договорных отношений.
Структура договорных связей зависит от направлений специализации и форм распределения функций между субъектами договорных правоотношений. Простая структура договорных связей имеет место, если договор на создание информационной продукции заключается непосредственно между изготовителями и потребителями. В отдельных случаях устанавливается сложная структура договорных связей, когда изготовители продукции заключают договоры с посредническими структурами, владельцами
информационных систем и автоматизированных систем, а последние - с потребителями. Сложной структуры договорных связей не возникает, если исполнение возникшего из договора обязательства возлагается в целом или части на третье лицо, связанное с одной из сторон административной подчиненностью или находящееся в других правовых связях, не оформляемых договором. Порядок урегулирования споров - один из важных вопросов, возникающих при заключении договора. Традиционно в данном разделе указывается наименование суда, который должен рассматривать возникший спор по существу. В том случае, если для передачи информации используются зарубежные информационные системы или сеть Интернет, могут возникнуть проблемы "юрисдикции сети" , т.е. проблемы, связанные с истребованием и признанием доказательств, которые затрагивают вопросы международного частного права.
В договорах, связанных с передачей информации должны быть отражены вопросы информационной безопасности, включающей в себя криптографию, шифрование, обеспечение и др.
9.7 Договор на создание информационной продукции
Выполнение договорных обязательств выступает правовой формой, в которой осуществляется удовлетворение экономических интересов, связанных с получением, использованием, распространением и хранением информации.
Вся совокупность договоров, применяемых для регулирования информационных правоотношений в практике хозяйственной деятельности, подразделяется на два вида: договоры на создание информационной продукции и договоры на оказание информационных услуг.
В зависимости от вида договорных отношений к каждой группе договоров применяются соответствующие нормы гражданского права.
Для хозяйственных договоров на создание информационного продукта характерна направленность на возмездный переход права собственности либо права оперативного управления от отчуждателя к приобретателю имущества.
Субъектами договора на создание информационного продукта являются заказчик и исполнитель. Каждая из сторон выбирает контрагента по собственному усмотрению. Нередко изготовитель информационного продукта одновременно является и поставщиком продукции (товара) на рынок, а покупатель - ее получателем и пользователем.
Предметом договора на создание информационной продукции являются изготовление и передача заказчику программного обеспечения, ноу-хау, научно-технической и другой информационной продукции, определенной родовыми признаками.
152
153
Научные, технические, экономические и другие требования к информационной продукции, являющейся предметом договора, должны быть техническим заданием (приложение к договору). В техническом задании определяется также носитель, на котором должна осуществляться передача информационной продукции. В техническом задании может быть оговорен перечень составных частей и требования к информационной продукции.
В договоре должен быть оговорен срок, в течение которого осуществляется изготовление информационной продукции, календарный план работ, содержание и сроки выполнения основных этапов работы, перечень работ для каждого этапа.
Приемка и оценка научно-технической продукции осуществляется в соответствии с требованиями технического задания.
При завершении работ оформляется акт сдачи-приемки, предусмотренный техническим заданием и условиями договора, который является основанием для оплаты договора.
За невыполнение или ненадлежащее выполнение обязательств по настоящему договору Исполнитель и Заказчик несут имущественную ответственность в соответствии с действующим законодательством. Ответственность в договоре может быть установлена за:
нарушение сроков выполнения или оплаты отдельных этапов или порученной работы в целом;
неустранение дефектов в срок, согласованный сторонами; несвоевременную приемку результатов отдельных этапов или работы в целом;
просрочку оплаты счета или перечисления аванса; разглашение конфиденциальной информации; нарушение прав собственности на информационную продукцию; другие условия по усмотрению сторон.
К прочим условиям договора относятся условия соблюдения прав сторон на создаваемую (передаваемую) информационную продукцию после окончания договора.
Споры, связанные с вопросами научно-технического характера и производственного характера, могут быть урегулированы в доарбитражном порядке путем создания экспертной комиссии из представителей сторон с привлечением незаинтересованной стороны.
Неотъемлемыми частями договора на создание информационной продукции являются:
- техническое задание;
- календарный план ;
- протокол соглашения о договорной цене.
154
Особенностью договора на создание информационной продукции является применение различных типов установления вознаграждения - в виде твердой цены, в виде роялти, в виде авторского вознаграждения и др.
Если в процессе выполнения работы выясняется неизбежность получения отрицательного результата или нецелесообразность дальнейшего проведения работы, Исполнитель обязан приостановить ее, поставив об этом в известность Заказчика в 10-дневный срок после приостановления работы. В этом случае стороны обязаны в 15-дневный срок рассмотреть вопрос о целесообразности продолжения работ.
Если договор признан недействительным по одному из указанных оснований, то потерпевшему возвращается другой стороной все полученное ею по договору, а при невозможности возврата полученного в натуре возмещается стоимость.
Ответственность за неисполнение или ненадлежащее исполнение договорных обязательств друг перед другом несут непосредственно стороны по договору, а не лица, на которых они возложили исполнение обязательств. Последние непосредственно могут отвечать перед соответствующей стороной по договору за нарушение фактически выполняемых ими обязанностей только в случаях, специально предусмотренных законодательством (например, изготовитель за отправку недоброкачественной продукции или товара).
9.8. Договор на оказание информационных услуг
Договор на оказание информационных услуг является разновидностью договора подряда. Правоотношения по оказанию подрядных услуг регулируются ст.ст.332-352 Гражданского кодекса Украины.
Предметом договора является информационная услуга. Исполнитель должен оказать услуги надлежащим образом качественно и в определенный срок. Качество оказанных услуг должно соответствовать заданию Заказчика. Факт оказания услуг заказчику оформляется актом или другим документом, свидетельствующим о выполнении работ и отсутствии претензий к качеству оказываемых услуг.
Сторонами в договоре являются Заказчик (Клиент) и Подрядчик (Исполнитель).
Объем информационных услуг , оказываемых потребителям, с каждым годом увеличивается, появляются новые виды и разновидности договоров на информационное обслуживание. Информационные услуги включают широкий спектр подрядных работ в сфере информационных технологий.
К наиболее потребляемым информационным услугам относятся: разовое и абонементное информационно-справочное обслуживание;
опубликование на интернет-сайтах информации о продукции Заказчика;
155
разработка \УеЬ-сайтов информативного характера;
хранение информации в компьютерном банке данных;
обработка информации и поиск интересующих заказчика вариантов;
консультации по интересующим вопросам и др.
Развитие телекоммуникационных сетей приводит к необходимости расшифровки нетрадиционных для хозяйственной практики терминов и определений, поэтому раздел "Термины и определения" может присутствовать в тексте договора. Расшифровка может быть осуществлена следующим образом:
Термин "Издание" в тексте настоящего Договора означает любую печатную, аудиовизуальную и электронную продукцию, являющуюся результатом издательской деятельности Исполнителя.
Термин "Запись" в тексте настоящего Договора означает одну строку в документе, содержащем данные об Изданиях. Строка состоит из отдельных полей, отделенных друг от друга специальной последовательностью разделительных символов, такой, как символ кавычек, символ запятой и символ кавычек (т.е. ","), или любым другим легко идентифицируемым при компьютерной обработке набором разделительных символов. Термин "Каталог" в тексте настоящего Договора означает полный или неполный набор Записей обо всех планируемых к выпуску Изданиях.
Приведенные выше термины, основанные на принципе метафориза-ции, достаточно широко применимы при составлении договоров на информационное обслуживание
Передача информации Заказчику может осуществляться как традиционным образом, так и с использованием коммуникационных технологий , магнитных, видео-, аудио- и других носителей . В связи с этим должны быть отдельно оговорены вопросы сдачи-приемки услуг и момент передачи информации.
Дополнительные условия позволяют конкретизировать положения договора. К дополнительным условиям относятся :
вопросы ознакомления и передачи полученной от Исполнителя информации другим пользователям;
порядок внесения изменений в информационные массивы;
обязательство не публиковать уточняющую, дополняющую или отменяющую договор информацию, поступающую от третьих лиц;
порядок информирования сторон в случае установления ошибок и недочетов и др.
Вопросы качества представленной информации регулируются ГК Украины и Законом "О защите прав потребителей". Всю ответственность, связанную с корректностью представленной или опубликованной информации, несет Исполнитель.
В договоре на создание информационного продукта и договоре на оказание информационных услуг должны быть оговорены авторские права
на передаваемую информацию. Типичной формулировкой договора может быть следующая:
Настоящим Договором Исполнитель передает заказчику авторские права на воспроизведение, запись, обнародование, распространение информационного продукта. Исключительные авторские права на информационный продукт и его описание принадлежат Заказчику. Настоящим Договором Заказчик предоставляет Исполнителю право использовать информационный продукт только для целей исполнения настоящего Договора или иных договоров, заключенных между сторонами. Исполнитель не имеет права передавать информационный продукт третьим сторонам либо размещать его на компьютерах с публичным доступом.
Стороны могут использовать для коммуникаций факсимильную связь, электронную почту, магнитные носители и др. В связи с этим в договоре целесообразно указать носитель, который может использоваться для передачи информации и порядок оформления сдачи-приемки работ с указанием данного носителя информации. Например,
"Датой передачи информации считается дата отправки Исполнителем данной информации по электронной почте в адрес Заказчика либо дата составления Акта приема-сдачи, если информация передается Заказчику на магнитном носителе."
В договоре может указываться стоимость как разовой услуги, так и стоимость абонементного обслуживания , порядок и сроки перечисления оплаты за оказанные услуги..
Невыполнение условий договора влечет за собой ответственность сторон. За несвоевременное оказание услуг или оказание услуг ненадлежащего качества, за неуведомление им Заказчика об использовании полученной информации, за передачу информации без разрешения ответственность несет Исполнитель, за несвоевременную оплату и за использование с нарушением авторских прав - Заказчик.
Важным моментом в договоре на оказание информационных услуг являются вопросы конфиденциальности информации.
Договор может быть расторгнут досрочно при невыполнении одной из сторон условий договора, с возмещением понесенных убытков.
Своевременное и надлежащее оформление договорных правоотношений в сфере производства информационной продукции , выполнение каждой из сторон принятых на себя обязательств в соответствии с условиями договора, служит важной предпосылкой для достижения сторонами конкретных целей и конечных результатов.
156
157
Глава 10. КОММУНИКАЦИИ В ОРГАНИЗАЦИЯХ
10.1. Проблемы, принципы и пут совершенствования коммуникаций
В широком смысле слова коммуникация- это общение. Коммуникация может рассматриваться как контакт сознательно устанавливаемой взаимозависимости. В коммуникации прослеживаются такие понятия как форма сообщения, форма связи, акт общения, основанный на взаимопонимании, а также сообщение информации одним лицом другому или ряду лиц. Массовой коммуникацией считают процесс сообщения информации с помощью технических средств массовой коммуникации.
В системе организационного управления под коммуникацией понимают информационные связи между работниками производства и управления. Это своего рода средство, с помощью которого в единое целое объединяется организационная деятельность. Коммуникация является средством, с помощью которого модифицируется поведение, происходят изменения в системе управления, а информация приобретает эффективность по реализации целей организации. Основным требованием к каждому сотруднику является то, что он ответственен за хорошую коммуникацию. Информацию передает и руководитель, и подчиненный, оба они ее и получают. Каждому работнику системы управления прежде всего надо знать, когда, что и кому сообщать, когда, что и от кого получать и какие при этом следует использовать средства, методы и формы.
Подчиненные и руководители могут быть либо генераторами информации, либо каналами передачи. В системах управления имеются участки с большой плотностью информации, со средней и с малой. При этом наблюдается дублирование, частичное совпадение, смесь второстепенных и важных сведений, отсутствие необходимых данных и в связи с этим неудовлетворительные управленческие решения.
Попытки создать единую информационную систему предприятия без учета конкретных потребностей руководителей обречены на неудачу.
К сожалению, потребность в информации у руководителей различна, а иногда неопределенная. К тому же информационную систему необходимо корректировать при появлении в ней новых работников, особенно руководителей.
Особенность информационного процесса состоит в том, что на передачу данных по уровням сверху вниз и наоборот требуется много времени. Чтобы сократить это время, в отдельных случаях, с информацией знакомится вначале исполнитель, а затем его руководитель.
Основные проблемы коммуникации включают: -готовность установить коммуникацию; -определить причины, мешающие коммуникации;
-выбрать метод коммуникации; -оценить характер перекрестной коммуникации; -решить вопрос сочетания устной и письменной форм коммуникации. Существующие формы коммуникаций зачастую созданы без четких целей, поэтому они не совсем рациональны. Для решения проблемы готовности коммуникации необходимо использовать логику, уяснить цель, предпосылки, определить варианты, выбрать сообщение, выбрать средства коммуникации и того, кто должен передавать сообщение. Причинами, мешающими коммуникации, являются:
1.Плохая формулировка сообщений - расплывчатость «^туманность данных, неудачно выбранные и ничего не значащие слова, небрежные упущения, отсутствие последовательности, плохое изложение мыслей, плохая структура предложений, недостаток лексических средств, порази тельные повторения, жаргон, банальность и т.д.
2.Ошибочная интерпретация сообщений. Часто бывает недостаточ но передать информацию слово в слово, ее следует выразить в словах, по нятных сотрудникам, или сопроводить разъяснениями, которые понятны потребителю информации.
3.Потери при хранении и передаче информации. Практика показы вает, что последовательная передача сообщений уменьшает их точность. В устном сообщении, например, при каждой последующей передаче теряет ся до 30% информации. Часть смысла теряет и письменное сообщение. В памяти сотрудника сохраняется всего 50% полученной им информации, а у руководителя- 60%. Здесь, очевидно, необходимо повторение сообще ний.
4.Невнимательность и отсутствие желания читать и слушать сооб щение. Это хроническая слабость человека. Все хотят говорить, но не хо тят слушать и читать. Отсюда возникают споры по уже решенным вопро сам, неуважение к точке зрения других, желание показать свои знания.
5.Неопределенность в толковании сообщения. Часто бывают несо общенными отдельные предположения. Это имеет место при получении задания или делегировании полномочий. Кажущаяся ясность руководите ля обращается неясностью у подчиненного, что вызывает у него неуверен ность, отсрочку исполнения или неправильное исполнение.
6.Адаптация или период перехода к реализации сообщений. Обыч но перемены воздействуют на людей по-разному и часто требуется время для полного осмысливания сообщений.
7.Недоверие к автору сообщений. Такое наблюдается в случае, ко гда руководитель принимает недостаточно продуманные, нелогичные решения, плохо выбирает терминологию, направляет большое количество отменяющихся или изменяющихся сообщений, которые следуют за первоначальным.
158
159
8. Преждевременная оценка сообщений, предвзятость в оценке. Другими словами, вместо того, чтобы сохранить нейтральную позицию во время обмена мнениями, слушающий уже принял свое решение. Такая оценка прекращает передачу информации и оставляет у автора сообщения чувство безнадежности.
9.Неуверенность в достоверности сообщений возникает у руково дителя, когда его подчиненные думают, что информация недостаточно важна, чтобы ее сообщить или боятся полного сообщения, чем они умыш ленно вводят руководителя в заблуждение.
10. Умалчивание информации. Это часто делают руководители из-за лени, медлительности, умышленно, чтобы сбить с толку подчиненных.
Для организации эффективной коммуникации следует руководствоваться следующими принципами:
1.Принцип ясности означает: сообщение обладает ясностью, если оно выражено таким языком и передано таким образом, что может быть поня то получателем.
2.Принцип целостности- ориентирует на конечные цели управленче ских сообщений. Он гласит: цель управленческих сообщений - содейство вать установлению понимания между людьми в процессе их сотрудниче ства, направленного на достижение целей организации.
Следствием данного принципа является устранение случаев пропуска уровней управления при передаче информации за исключением экстренно необходимых.
3. Принцип стратегического использования неформальной организа ции - заключается в следующем: наиболее эффективной коммуникация бывает тогда, когда руководители используют неформальную организа цию в дополнение к каналам коммуникации формальной организации. Принцип состоит в том, что руководитель обращается к подчиненному лично, или посредством других, чтобы тот ознакомился с ситуацией, кото рая может не попасть в его поле зрения.
Перекрестная коммуникация строится на личной инициативе на всех уровнях по горизонтальным каналам. Она служит для ускорения передачи информации и лучшего ее понимания. Перекрестные взаимосвязи бывают как внутри подразделения, так и между подразделениями, находящимися на одном или разных уровнях иерархии.
Требования к совершенствованию перекрестной коммуникации:
1.Руководителям следует поощрять перекрестные взаимосвязи.
2.Подчиненным следует воздерживаться от принятий решений, не входящих в их полномочия.
3.Подчиненные должны информировать руководителей о их межпод- разделенческой деятельности.
4.Руководители должны направлять подчиненных в их перекрестных взаимосвязях.
160
Для устранения недостатков, имеющих место в перекрестных связях, рекомендуется:
1.Повысить информированность руководителей нижнего уровня.
2.Учитывать, что связи более эффективны, когда они идут от непосред ственного руководителя.
3.Информация движется вверх эффективнее, когда подчиненные знают цель своей работы и когда руководитель более доступен.
4.В перекрестных связях должна превуалировать устная информация.
При несовершенной организации перекрестной связи в организациях создаются группы сотрудников, конкурирующих между собой и снижающих эффективность управления. Пути совершенствования коммуникационных характеристик.
I. Выбор обоснованной области использования письменных и устных сообщений.
Письменные сообщения имеют преимущества в том, что сохраняются, тщательно формулируются и иногда экономят время и деньги. Недостатком их является то, что люди невнимательны при составлении сообщений, что приводит к необходимости разъяснений устных и письменных. Однако, следует учитывать, что письменные сообщения служат сохранению информации в юридических целях. Достоинством устной коммуникации является возможность быстрого и полного обмена информацией, так как имеется обратная связь - можно задавать
вопросы и сразу уяснять. Недостатки: многие не задают правильных вопросов и не получают поэтому исчерпывающих ответов. Устная коммуникация не экономит время на собраниях и конференциях. Кроме того, в устных сообщениях коммуникация может осуществляться с подтекстом. Этим особенно пренебрегают молодые специалисты. При этом надо учитывать, как было сказано, что не сказано, что важно и не важно по знакам руководителя. По этим данным следует формировать свое воображение.
2.Контроль за процессом обмена информацией предусматривает разде ление сообщений по приоритету, чтобы сосредоточить внимание руково дства на важных вопросах. Контроль обычно осуществляется в форме ре гулярных отчетов, хотя регулярные отчеты обладают недостатком - мно гословны, неуместны, нечитаемы. Лучше разрешать подчиненным при пе редаче сообщений представлять объяснительную информацию. Кроме то го, должна быть строгая периодичность отчетов и встреч с подчиненными, учитывая их полезность.
3.Кодирование сообщений. Этот путь весьма необходим в сложных сис темах, но обладает недостатком- дополнительно искажает информацию.
4.Борьба с информационной перегрузкой. Современные информацион ные системы страдают от информационной перегрузки. Из-за этого опре деленная информация пропускается без переработки, происходят отсрочки в обработке с надеждой сделать это в будущем. Фильтруется информация
161
в соответствии со способностью работника определить ее существенность, а иногда и для ухода от решения задачи.
Одним из способов разрешения данной проблемы является развитие и поддержание специализированных каналов информации. Это делается путем децентрализации полномочий, группировкой деятельности по ее видам и информации системы.
Основной рекомендацией руководителю по улучшению коммуникаций является повышение ответственности за информацию, которую они запрашивают и передают, а также более точное определение того, что сообщать и использовать наиболее эффективный способ передачи информации.
10.2. Роль управленческих ограничений в коммуникациях
Управленческие ограничения - это недоразвитые способности менеджера построить эффективную коммуникацию. В качестве быстрейшего и наиболее практического способа ускоренного саморазвития менеджера следует использовать изучение, осознание и предопределение ограничений, препятствующих повышению эффективности организации и личному росту.
Полная реализация всех личных возможностей менеджера базируется на следующих факторах:
1.Умение управлять собой. Каждый менеджер должен постоянно под держивать свою производительность, правильно разряжаться, рациональ но использовать рабочее время, энергию и навыки.
2.Личные ценности должны быть постоянными и соответствовать вре мени. Современная концепция успешного управления ориентирована на такие ценности, как эффективность, реализация потенциала работников и растущая готовность к нововведениям.
3.Обладать способностью определять цели и стремиться к достижимым и желательным целям. Без этого будет иметь место недооценка альтерна тивных вариантов и потеря важных возможностей, потеря времени и сил на несущественные проблемы.
4.Непрерывно саморазвиваться, преодолевая свои слабости и работая над собственным ростом. Надо быть динамичным, не избегать острых си туаций, высвобождать скрытые способности, не исключать из своей дея тельности риск.
5.Развивать управленческие навыки решать проблемы. Проблемы, не решаемые быстро и энергично, накапливаются и мешают как мышлению, так и действию менеджера, ограниченного недостаточностью навыка ре шать проблемы.
6.Иметь высокую изобретательность и быть готовым бороться с препятст виями и неудачами. Надо экспериментировать, рисковать и сохранять твор-
162
ческий подход к работе, несмотря на трудности. Выдвигать новые идеи, заставлять других быть творцами, использовать новые подходы в работе.
7. Уметь влиять на окружающих независимо от того являются или не явля ются они подчиненными. Для этого надо быть настойчивым, устанавливать взаимодействие с окружающими, уметь выражать себя и слушать других.
8. Уметь оценивать эффективность управленческого труда и того, как менеджер управляет другими. Понимать мотивацию работников, коррек тировать стиль деятельности, когда он не соответствует сложившимся ус ловиям. Выделить среди подчиненных тех, кому наиболее приемлемо кон кретное поручение.
9. Иметь сильные навыки руководства как людьми, так и ресурсами и време нем. Это обеспечит высокий уровень результатов деятельности подчиненных.
10.Развивать умение обучать. Это позволяет довести показатели дея тельности работников до требуемых и помочь им в саморазвитии. Обычно требования по обучению четко не регламентируются и на саморазвитие не хватает времени. Поэтому нужна разумная инициатива и желание помо гать развитию других.
11.Уметь превращать группу подчиненных в квалифицированный и ре зультативный коллектив. Создавать благоприятный климат в комплексе и эффективный механизм взаимодействия в нем.
10.3. Динамика коммуникаций в организации.
Динамика коммуникаций предопределяется деловой карьерой работников. На многих предприятиях и фирмах практикуется поэтапное продвижение в рамках функциональных служб, увязанное со стажем работы на соответствующем этапе. Работник, не соответствующий требованиям очередного этапа в обусловленный срок, лишается дальнейших возможностей продвижения. Такой традиционный порядок в настоящее время развит в более детализированный и гибкий подход. Это предоставление возможностей для продвижения, не связанных обязательной выслугой лет или специализацией; повышенное внимание к эволюции содержания работ, новым приоритетам, организационным моделям и различным требованиям управления; гибкую оценку работника с учетом перечня функциональных операций; определение специфических познаний и навыков, необходимых на каждой позиции соответствующего этапа, не ограничиваясь образовательным цензом, возрастом и опытом; продвижение способных и знающих работников.
Для реализации такого подхода требуется систематическое накопление и подготовка информации следующих направлений:
- данных о сложившемся содержании работ на отдельных этапах, их сравнительной важности и времени, уделяемом каждой работе;
163
- определение на основе анализа данных круга знаний, опыта и уровня квалификации для каждого этапа;
- выявление схожих моделей деятельности на различных должностях.
По данным исследований США сделан вывод, что планирование коммуникаций, ориентированное на карьеру работников, оказывает существенное влияние на стабильность кадров, социализацию новых работников, мотивацию к овладению новыми профессиями и обеспечению эффективной динамики коммуникаций.
10.4. Основные виды управленческой информации в коммуника
циях.
В предпринимательстве основными видами управленческой информации являются: регулярные отчеты, специальные отчеты, избирательные данные, бухгалтерская информация, нормативные данные, данные управленческих услуг, информация маркетинга, информация о рабочей силе, информация отдела снабжения: 1. Регулярные отчеты. Перечень таких отчетов включает:
Ежедневные, к которым относятся анализ убытков и их причин, статистика эффективности труда, анализ потерь времени (по причинам), полученные заказы.
Еженедельные, которые включают анализ сверхурочных выполнения работы, контроль и анализ проектов.
Ежемесячные - это отчеты о деятельности отделов, анализ кадровых изменений, анализ сырьевых изменений, накладных расходов, анализ сбыта, данные об инвестициях, о запасах, анализ изменений сбыта, счет прибылей и убытков, источники и использование фондов, балансовый отчет, анализ бухгалтерской отчетности, полученные заказы, кассовая наличность, просроченные счета.
Ежеквартальные, полугодовые, годовые, в числе которых счет прибылей, балансовый отчет, источники и использования фондов, отчеты о работе отделов.
2.Специальные отчеты готовятся в дополнение к регулярным о длитель ном наблюдении и надзоре за отдельными факторами и ситуациями и др.
3.Избирательные данные.
Это различные предложения менеджеров, а также данные по тем вопросам, которые поступают извне, различия между прогнозами и фактическими результатами.
4. Бухгалтерская информация.
Она включает данные бюджетного контроля, нормативные издержки, предельные издержки, показатели безубыточности, дополнительные
издержки, проектные затраты оценки капиталовложений, статистическое прогнозирование, финансовое моделирование, комплексы калькуляции себестоимости издержек по процессам и эсплуатационных затрат.
5. Нормативные данные.
Такие данные готовит технико-нормировочное бюро. Оно занимается стандартизацией, методами оценки работы, оплатой труда. Информацией являются нормы материальные, выработки и расценки работ, а также тарифные ставки и должностные оклады.
6. Данные управленческих услуг.
Это данные управленческого учета, внутренней ревизии, обоснования организации и методов планирования, результаты операционных исследований.
7. Информация маркетинга.
Это широкий спектр информации, полученной маркетинговыми исследованиями, анализом сбыта и изменений в окружающей обстановке и состоянии конкуренции.
8. Информация о рабочей силе.
Это досье, включающее личные данные, профессиональную квалификацию, предыдущие места работы и должности, настоящее место работы и должность, обучение, отдел, исполнение обязанностей, перспективы продвижения.
Предназначена информация для устройства и контроля за использованием рабочей силы, а также ее распределением.
9. Информация отдела снабжения.
Это данные об изменении спроса и предложения, контроля исполнения заказов поставщиками, включая данные о требуемых объемах поставок, датах поставок, ценах.
10.5. Стандарт на поведение сотрудников в организации
Сотрудники организации являются довольно ненадежным материалом для формирования коммуникаций. Поведение их неоднозначно, ему не хватает логичности и рациональности. Для преодоления организационной неполноценности сотрудников правомочно используется стандарт на поведение. Это стандарт коммуникаций их в организации в виде образцов, созданных почти на все случаи и ситуации. Такой стандарт придает организации стабильность, единство целей, снимает индивидуальные различия в поведении сотрудников на службе, исключает произвол и всякое незапрограммированное проявление личности.
Применение стандарта позволяет установить полный контроль над организацией и гарантировать ее эффективность. На базе стандарта предопределяется возможность применять научные методы построения фор-
164
165
мальной структуры отношений, без которой не может обойтись никакая организация.
Вместе с тем стандарту присущи и недостатки, обусловленные тем, что он предусматривает выделять в организации лишь управляемые элементы, оставляя без внимания весьма важное обстоятельство: организация не является только средством решения установленного круга задач и инструментом достижения заданных целей, она вместе с тем особая человеческая среда и социальная общность. Последнее предопределяет то, что организация функционирует не только в результате управленческих воздействий, но имеет и свои внутренние закономерности поведения, структуру и собственные цели. Такие цели часто противоречат целям самой организации. Все это объясняет беспомощность управления, организацией из-за такого поведения сотрудников, которое выходит за пределы стандарта.
10.6. Моделирование коммуникаций в иерархических организациях
Моделировать систему коммуникаций крупной организации практически невозможно, можно лишь моделировать решение отдельных задач организации. Инструментом моделирования являются ориентированный граф и таблица переходных вероятностей.
ва работ, переданного данному сотруднику, к общему количеству работ структуры или элемента системы управления.
Вектор матрицы переходных вероятностей используется в качестве оценки меры полезности каждого сотрудника организации, а также для описания отношений подчиненности.
При детальном анализе потока работ выявляются такие обстоятельства: никто не должен быть собственным подчиненным; никто не должен быть начальником и одновременно подчиненным другого сотрудника; подчиненный подчиненного является подчиненным.
Чтобы не было указанных обстоятельств необходимо и достаточно, чтобы в графе не было круговых передач одних и тех же работ. Наличие круговых передач означает, что кто-то сам себе отдаст приказания и сам себя контролирует, хотя это обычно завуалировано. К тому же это создает трудноустранимую бюрократическую волокиту.
Оценку полезности сотрудников и их отношения подчиненности можно произвести с использованием понятия "статус". Статус тем выше, чем больше подчиненных. Он определяется по формуле:
ь=
Таблица ЮЛ Переходные вероятности
[1 23456
_4-__________
110,1 0,4 0,5 О О О
I
21 0,5 0,1 0,4 О О О I
3|0,330,230,10 О О 0,34
(
4| 0 0,5 0 0,5 О О
I
51 0 0,6 О О 0,4 О I
610 0 0,330,240,330,10
Рис. 10.1 Ориентированный граф
Стрелки ориентированного графа показывает направления движения работ по подчиненности, а вероятности показывают отношение количест-
166
где Ш- число подчиненных к-го уровня.
Граф и статус весьма полезны для проведения сокращения численности сотрудников организации.
Ориентированный граф процедур принятия решения имеет форму, показанную на рисунке.
Стрелками на графе указывается направления, в которых могут отдаваться распоряжения или поручаться работа. Предложение на проведение работ вырабатывается элементом 1 или ему передается внешней организацией. + - принять, - отклонить, передать.
Рис. 10.2 Ориентированный граф процедур.
Для выполнения работ по подготовке решения требуется консультации, анализ и обмен мнениями. Весь перечень процедур подготовки решения по принятию или отклонению предложений включает:
1. Уточнение - введение дополнительной информации.
167
2. Изучение - использование разных вариантов обработки информа ции.
3. Оценка полезности - измерение результата.
4. Консультация с узким специалистом - проверка ограничений.
5. Консультация со специалистом широкого профиля - проверка со ответствия широким ограничениям.
6. Детализация - разукрупнение исходной информации.
7. Передача более компетентному лицу - замена оператора обработки информации.
8. Оценка применимости к
другим задачам - замена алгоритма преобразования информации.
9. Обобщение на перспективные задачи - введение дополнительных переменных.
10.Постановка новой проблемы - исследование проблемы при других видах ограничений.
Каждая из приведенных процедур оценивается временем передачи работы и вероятностью применения. Зная вероятности применения соответствующих процедур и время выполнения процедур, можно вычислить предельные оценки времени принятия решения, последовательность передачи работы, при которой можно оценить минимальное и максимальное время принятия решения. Полная вероятность принятия решения 1-м элементом структуры равна:
10 (1)
где ?1 - вероятность принятия решения первым элементом при 1- ой процедуре.
Рн - вероятность смены процедур первым элементом оргструктуры.
Граф подчинения может быть оптимизирован путем введения ограничений, чтобы получить минимальное время принятия решения Треш при заданной вероятности решения Рреш. Может быть также максимизирована вероятность решения в течении заданного времени. Повышение вероятности принятия решения с использованием различного рода консультаций достигается ценой увеличения времени на принятие решения.
Таким образом, оптимизация ориентированного графа заключается в таком выборе консультаций и процедур, при которых
( Треш [ Рреш >?*])-> ттап либо
( Рреш [ Треш > Т*]) -» тах
где Р* и Т* - пороговые или нормативные значения указанных величин.
Оптимизация графа обеспечивает повышение работоспособности системы управления фирмы в целом.
10.7. Бюрократизм в менеджерской системе коммуникаций
Сложная система коммуникаций в процессе подготовки управленческих решений обуславливает появление ситуаций, когда управление используется в нежелательном смысле. Примером этому является наличие бюрократизма в системе коммуникаций. Бюрократизм представляет собой осуществление всевозможных скрытых препятствий принятию решений.
Для борьбы с бюрократизмом в США, например, разработана штрафная матрица, в соответствии с которой из системы коммуникаций исключаются сотрудники, у которых время решения задач наиболее велико, а за каждое ошибочное решение и за создание очереди предложений сотрудникам устанавливается один из видов наказания, например, в форме штрафа.
В ответ на это в бюрократической организации штрафу противопоставляется волокита, которая позволяет принимать минимум решений за фиксированное время, или вообще не принимать никаких решений.
Каждый бюрократ стремится увеличить время принятия решения, но так, чтобы не оказался в числе наказанных или даже уволенных. Чтобы избежать бюрократизма, сотруднику нельзя задерживать выполнение процедуры у себя за счет превышения времени и не допускать слишком частого возвращения предложений, иначе это приведет к созданию очереди.
Выявить бюрократизм позволяет уточнение истинного наименования и содержания процедур рассмотрения предложения о принятии решения.
Перечень наименований процедур их уточненные названия и условные наименования с позиций бюрократизма приведены в таб.10.2.
Вторым направлением выявления бюрократизма является оценка наличия петель циркуляции предложения между сотрудниками организации. Количество таких циклов, или петель определяет уровень бюрократизма. Таблица 10.2
| № п/п
|
Официальное наименование процедуры
|
Уточненное содержание процедуры
|
Условное наименование
|
| 1.
|
Уточнение предложения
|
Любое предложение возвратить для доработки
|
"Встречная струя"
|
| 2.
|
Изучение предложения
|
Оттягивание решения насколько возможно
|
"Тянучка"
|
| 3.
|
Проверка полезности
|
Включение в решение заведомо спорного вопроса, после чего передать для согласования другому лицу
|
"Блок"
|
168
169
| 1
|
2
|
3
|
4 ~
|
| 4.
|
Консультация с узким специалистом
|
Передается другому лицу
|
"Рикошет"
|
| 5.
|
Консультация со специалистом широкого профиля
|
Передача для согласования по кругу
|
"Водоворот" ~"
|
| Ъ.
|
Детализация предложения
|
Вместо требуемого по существу предложения принять несколько очевидных решений, не имеющих отношения к делу
|
"Распыл"
|
| /.
|
Передача предложения более компетентному лицу
|
Получения мнения "сверху"
|
"Трансляция"
|
| 8.
|
Оценка применимости к другим задачам
|
Замена нового предложения старым, давно принятым
|
"Маска"
|
| У.
|
Обобщение на перспективные задачи
|
Провернуть дело так, чтобы в решение были включены новые (посторонние) вопросы и направить на согласование и уточнение
|
"Захват"
[
|
| 10
|
Постановка новой проблемы
|
Принять очень общее и вполне безответственное решение, которое невозможно проверить.
|
"Окутывание"
|
10.8. Неформальные коммуникации в организациях
Обмен сообщениями может осуществляться в письменной и устной форме. При этом в устной форме обмен информацией может быть с использованием формальных и неформальных каналов, очень часто при неформальном устном обмене одной из альтернативных форм являются слухи.
Предпосылкой для возникновения слухов являются неудовлетворенные потребности группы сотрудников или даже одного сотрудника в определенной информации. Основные характеристики слухов:
- являются коллективным творчеством сотрудников;
- призваны удовлетворить "жажду" в интересующей информации;
- возникают там, где нет ясности обстановки;
- связаны с наличием эмоциональной недостаточности;
- являются важной формой выражения общественных настроений и мнений;
- циркуляция слухов имеет закономерность;
170
- стоят в одном ряду с пропагандой;
- появляются, если есть источник способный удовлетворить возникший интерес;
- средой для слухов являются унылые и инертные сотрудники;
- фабрикация слухов создает анонимную индустрию клеветы.
При появлении слухов к ним относятся безоглядно, некритически, сужаются способности каждого рассуждать, теряется внимание, падает ответственность за высказанные догадки и решения.
Слухи, если с ними не бороться, могут стать страшной силой, толкать сотрудников на непредсказуемые поступки. Иногда слухи могут быть не разрушительной, а созидательной силой, если они управляемые и являются предварительным этапом каких-либо организационных изменений на предприятии. Основной девиз в борьбе с разрушительными слухами - не следует таить от сотрудников то, что скрыть все равно невозможно. Предприятие сильно тогда, когда сотрудники все знают, обо всем могут судить и идут на все сознательно. Поэтому, чтобы своевременно убивать слухи, т.н. заказную информацию, необходимо оперативно давать ответы на все интересующие сотрудников вопросы. В борьбе с негативными слухами надо всегда говорить правду и говорить первым.
Осуществление руководства в условиях полной гласности и честности исключает недоверие и делает руководителей неформальными лидерами, что в конечном счете содействует эффективному управлению организацией.
Демагогические приемы представления неформальной информации обусловлены мотивами и динамикой поведения сотрудников, а также управленческими чертами их характера. Основные мотивы поведения сотрудников:
1. Потребность в выживании, надежность и безопасность;
2. Потребность в общении;
3. Потребность в самоуважении;
4. Потребность в автономии и независимости;
5. Потребность в самовыражении. Динамика поведения сотрудников.
1. Черты характера сотрудника взаимодействуют.
2. Приоритеты ценностей изменяются и часто непредсказуемы.
3. Стимулы к работе и мотивы поведения приобретаются и видоиз меняются в
4. процессе организационной деятельности.
5. Реакции на управленческие решения различны.
6. Поведение меняется с возрастом и положением в коллективе. Управленческие черты характера сотрудников:
1. Каждый стремится делать то, что ему наиболее выгодно.
2. Организация ограничивает собственную выгоду сотрудников, поэтому ими
171
3. надо руководить, иначе они становятся пассивными.
4. Рациональные решения не привлекательны, так как отнимают са мостоятельное мышление,
5. Каждый стремится иметь такое окружение, в котором он чувствует себя надежно, имеет интересную работу, приятных коллег, при знание и возможность свершений.
Иногда мотивы, динамика поведения и управленческие черты отдельных сотрудников побуждают добиваться собственных целей, спекулируя на чувствах и стремлениях других сотрудников, вводя их в заблуждение. Таких сотрудников называют демагогами. Под демагогией понимают ложь в облике правды, или раздавание неисполнимых обещаний и призыв к розовым мечтаниям.
Почву для демагогических утверждений создают упрощенный подход к решению проблем и различного рода иллюзии, а также безудержный оптимизм.
Демагогические приемы могут приносить только кратковременный положительный результат, но неизменно заканчиваются разочарованием и скептицизмом сотрудников.
Демагогами обычно выступают те, кто стремится оставаться в руководстве, а также бездельники и болтуны, скрывающие за криками собственные замыслы и действия. Демагогия превращает свободу слова в свободу демагогии. Весьма опасна демагогия, когда она возведена в ранг миссии и стратегии предприятия. При этом огромная энергия сотрудников будет отдана пустословию и праздным словопрениям.
У демагога обычно нет системы мыслей, а есть только импровизация и уловки. Собственный интерес демагога облекается в надежды и чаяния сотрудников. Примером демагогии являются утверждения: остро обсудили, наметили мероприятия, создана комиссия, будут приняты меры и др.
Демагоги часто спекулируют именем интересов страны, в высказываниях забегают вперед и предостерегают от каких-либо действий, пугая ужасными последствиями. Мерами борьбы с демагогией являются:
1. Требования конкретности относительно сделанного и что это дало.
2. Дискуссии должны носить деловой и конструктивный характер,
3. сопровождаемый реальными действиями в отстаивании позиции.
4. Демагогическим уловкам надо противопоставить знание и сме лость.
5. Сдержанный и реальный оптимизм.
172
10.9. Воздействие на партнера в процессе неформальной коммуникации
1.При обмене информацией следует оперировать простыми, ясными и точными понятиями.
2.
Аргументация должна быть корректной:
если партнер прав, надо открыто и сразу это признавать;
следует продолжать оперировать только теми аргументами и понятия ми,
которые уже приняты партнером;
- сначала надо ответить на аргументы партнера, а потом только приводить свои собственные;
- в любой ситуации надо сохранять вежливость.
3. Надо учитывать особенности партнера:
- аргументацию нацеливать на цели и мотивы партнера;
- не следует просто перечислять факты или аргументы, лучше показывать их
- преимущества или недостатки;
- употребляйте только понятную терминологию;
- соизмеряйте темп и насыщенность аргументации с особенностями ее восприятия партнером;
4.Как можно нагляднее надо излагать свои идеи, соображения, доказа тельства, не забывая при этом стратегии и потребности партнера.
5.Не следует слишком подробно аргументировать, лучше использовать яркие доводы.
6.Следует своевременно делать выводы и обобщения в ходе обмена ин формацией.
7.В процессе коммуникации следует пользоваться специальными приемами
аргументации:
- постепенное подведение партнера к противоположным выводам;
- постепенное подведение партнера к полному согласию путем получения
- согласия сначала в главном, а затем и в частностях;
- разделение аргументов партнера на верные, сомнительные и ошибочные с
последующим доказательством несостоятельности общей позиции;
- строить разговор следует так, чтобы партнер побольше отвечал на вопросы положительно, тогда ему проще будет согласиться в целом;
- соглашаясь с аргументами партнера, внезапно опровергайте все его доказательства с помощью сильного аргумента;
- умышленно медленно проговаривайте вслух наиболее слабые места в
аргументации партнера;
- в дискуссии с интеллектуальным партнером надо указывать ему как сильные, так и слабые места того, что Вы предлагаете.
При взаимодействии с партнером надо руководствоваться следующими правилами:
1. Критические замечания надо высказывать непосредственно и же лательно наедине;
2. Не сравнивайте партнера с другим человеком, иначе это может его унизить;
3. Критиковать надо только те качества партнера, которые он реально может изменить;
4. Показывать свое неудовольствие надо только голосом, но не ми микой и жестами;
5. Не следует использовать категоричные слова никогда или всегда. Это свидетельство предвзятости;
6. Следует избегать проявления раздражительности и злости;
7. Высказывая критические замечания на следует касаться мотивов поведения партнера;
8. Не следует ожидать от партнера и требовать открытого признания собственной вины;
9. Не извиняйтесь за свои замечания, иначе это будет демонстриро вать Вашу неуверенность.
Ю.Научитесь воспринимать критику в свой адрес без враждебности, при спокойствии, без отшучивания, с понятием.
10.10. Рекомендации по коммуникациям при осуществлении руководства
При осуществлении руководства возникает потребность воздействия на подчиненного или на весь руководимый коллектив с целью добиться изменения поведения или отношения к чему-либо.
Перед началом коммуникаций надо провести анализ предпосылок, т.е. того что побуждает сотрудника действовать тем или иным способом, а также анализ его собственного поведения с учетом особенностей ситуации последствий поведения сотрудника.
При этом возможно сопротивление сотрудника предлагаемым организационным изменениям.
Эффективными стратегиями преодоления такого сопротивления являются:
1. Информирование, т.е. снижение уровня неопределенности ситуа ции.
2. Привлечение к участию и вовлечение, что делает сотрудника соучастником решения проблемы. Это возможно если он достаточно компетентен.
3. Помощь и поддержка, благодаря чему можно выработать лучший подход к проблеме, но придется потерять время.
4. Переговоры и соглашения используются тогда, когда становится яс но, что возможно значительное сопротивление решению проблемы.
5. Управление и кооптация (символическое участие).Стратегия опас на, если сотрудники догадаются, что ими манипулируют.
6. Откровенное и скрытое принуждение применимо, когда важна скорость проведения перемен, и когда, у вас есть.для этого реаль ная сила. Позитивно то, что быстро и эффективно преодолевает сопротивление. Негативно то, что есть риск вызвать волну возму щения исполнителя.
Таким образом, надо правильно сориентироваться в обстановке и принять наиболее эффективную стратегию.
174
СПИСОК ЛИТЕРАТУРЫ
1.Батурин Ю.М. Проблемы компьютерного права. - М.: Юрид. лит., 1991.
2.Бачило И.Л. О собственности на информацию.// Законодательные про блемы информации общества./ Труды ИЗ и СП. - 1992. - Вып. 52.
З.Гаврилов О.А. Теоретические проблемы развития законодательства в сфере информации и информатизации.// НТИ.Сер 1 - 1995. - №1
4.Галитенко В. Информационная безопасность: обзор основных положе ний // Компьютерное обозрение. - 1996. - №33.
5.Галитенко В. Информационная безопасность: обзор основных положе ний // Компьютерное обозрение. - 1996. - №35.
6.Горлов Г.Р. Очерки об информационной технологии. -М., 1992.
7.Демин В.В., Судов Е.В. Интегрированная система информационной безопасности // Сети и системы связи. - 1996. - №9.
8.Евдокимов А., Макаров О. Как защитить информацию // Глобальные се ти и телекоммуникации. - 1997. - №8.
9.Жарков В.И. Обеспечение безопасности данных на уровне предприятий // Сети и системы связи. - 1994. - №9.
10.Закон Украины "О защите информации в автоматизированных системах" от 05.06.94 г. // Ведомости Верховного Совета Украины. -1994. - №31
11.Закон Украины "О информации" от 02.10.92 г. // Ведомости Верховно го Совета Украины. -1992. - №48
12.Закон Украины "О научно-технической информации" от 25.06.93г. // Ведомости Верховного совета Украины. -1993. - №48
13.Закон Украины "О печатных средствах массовой информации (печати) в Украине" от 16.11.92 г. // Ведомости Верховного Совета Украины. -
1993. - № 1
14.Закон Украины "О предприятиях в Украинской ССР" от 27.03.91г. // Ведомости Верховного Совета УССР. -1991. - № 24
15.Закон Украины "О себестоимости" от 01.02.91 г. // Ведомости Верхов ного Совета Украины. -1991. - № 26
16.Закон Украины "Об авторском праве и смежных правах" от 23.12.93 г. // Ведомости Верховного Совета Украины. - 1994. - № 13
17.Закон У кражи " Про нацюнальну програму шформатизаци" в!д 04.02.98 р.// Урядовий кур'ер. - 1998. - № 48-49.
18.Компьютеры и экономика: экономические проблемы компьютеризации общества. - М.: Наука, 1991.
19.Кочетков Г.Б. Автоматизация конторского труда в США: теория и практика офиса будущего. М.: Наука, 1985.
20.Лазарев В.Т. и др. Вычислительные комплексы, системы, сети. Л.: Энергоатом, 1992.
21.Мамиконов А.Г. Методы разработки автоматизированных систем
управления. - М.: Энергия, 1989.
175
22.Мартин ДЖ. Организация баз данных в вычислительных системах. - М.: Мир, 1988.
23.Никифоров И. Правовое регулирование развития информатики. // Про блемы информации - 1994. - № 3-4
24.Пальшин Б. Проблемы информатизации Украины: о зарубежном опыте разработки и реализации программы информатизации // Сотри1ег \Уог1<1. -Киев. -1995. -№1
25.Первышин Э.К. О развитии телекоммуникационной инфраструктуры в регионах // Проблемы информатизации. -1993. -№ 1-2.
26.Письменский А.А. Информационное право Украины. Законодательст во, комментарии, перспективы. - Харьков: Бизнес Информ, 1996.
27.Прохорова А.И„ Эльтура Р.Э. Анализ и учет факторов, влияющих на эффективность деятельности человека-оператора. - Рига, 1996.
28.Уэлдон Дж. Административные базы данных в вычислительных сис темах / пер. с англ. - М.: Мир, 1988.
29.Хорошевский В.Г. Технико-экономический анализ эффективности функ ционирования вычислительных систем // Электроника. -1992. - №1.
30.Швартау У. Как обеспечить информационную безопасность предпри ятия // Глобальные сети и телекоммуникации. - 1997. - № 8
31.Организация работы с документами. Учебник.- М., 1998.
32.Черкасов В.В. Проблемы риска в управленческой деятельности.- М., К: Рефл -бук, 1999
33.Письмак В.П. Региональные аспекты социального режима инвестиро вания: теория и практика, проблемы и решения. - Донецк, 2000.
34.Гурне Б Державне управления. - К., 1993.
35.Планкетт Л., Хейл Г. Выработка и принятие управленческих решений. -М.: Экономика, 1984.
36.Крулькевич М.И. Винарик А.С. Менеджерские системы коммуникаций в организациях - Донецк, 1999.
37.Информационные и эксперные системы в предпринимательской деяте льности (М.И.Крулькевич, И.Ф.Черноволенко, Т.В.Василькова и др.) - Донецк: ИЭПИ НАН Украины, 1999.
176
|