| МИНИСТЕРСТВО КУЛЬТУРЫ РОССИЙСКОЙ ФЕДЕРАЦИИ
ФЕДЕРАЛЬНОЕ ГОСУДАРСТВЕННОЕ ОБРАЗОВАТЕЛЬНОЕ УЧРЕЖДЕНИЕ
ВЫСШЕГО ПРОФЕССИОНАЛЬНОГО ОБРАЗОВАНИЯ
"САНКТ – ПЕТЕРБУРГСКИЙ ГОСУДАРСТВЕННЫЙ
УНИВЕРСИТЕТ КИНО И ТЕЛЕВИДЕНИЯ"
Кафедра механики
ТЕОРЕТИЧЕСКАЯ И АНАЛИТИЧЕСКАЯ
МЕХАНИКА
Методические указания
по выполнению курсовой работы по разделу "Кинематика"
для студентов очной и заочной форм обучения
специальности 200101 «Приборостроение»
Часть 2
Санкт-Петербург
2010
Составители
: В.А.Романовский, канд. техн. наук, профессор,
В.К.Сурков, канд. техн. наук, доцент,
Т.С.Недосекова, канд. техн. наук, доцент.
Рецензент
: Г.М.Луговой, канд. техн. наук, профессор
Рекомендовано к изданию в качестве методических указаний кафедрой механики.
Протокол № 1 от 16 сентября 2010 г.
© СПбГУКиТ, 2010
Введение
Методические указания предназначены для студентов факультета «Приборы и системы кино и телевидения» специальности 200101 «Приборостроение» при выполнении ими второй части курсовой работы по дисциплине "Теоретическая механика" раздел "Кинематика".
Кинематика (от греч. kinema – движение) – раздел механики, в котором изучаются геометрические свойства движения тел без учета их инертности (массы) и действующих на них сил. Под движением в механике понимается изменение с течением времени положения данного тела в пространстве по отношению к другим телам. Исторически, кинематика в рамках механики развивалась вместе с динамикой и как отдельный раздел выделилась лишь в первой половине ХIХ века под влиянием запросов развивающегося машиностроения. В настоящее время кинематика имеет большое самостоятельное значение для изучения движения механизмов и машин.
Кинематическими мерами движения будут следующие: для материальной точки – ее скорость и ускорение, а для тела – скорость и ускорение поступательного движения, угловая скорость и угловое ускорение при вращательном движении. Для решения задач кинематики необходимо, чтобы изучаемое движение было задано. Кинематически задать движение или закон движения тела (точки) означает задать положение этого тела (точки) относительно данной системы отсчета в любой момент времени. В классической механике время считают одинаковым для любых систем отсчета, что является достаточно точным, если скорости рассматриваемых движений малы по сравнению со скоростью света.
Забиваем Сайты В ТОП КУВАЛДОЙ - Уникальные возможности от SeoHammer
Каждая ссылка анализируется по трем пакетам оценки: SEO, Трафик и SMM.
SeoHammer делает продвижение сайта прозрачным и простым занятием.
Ссылки, вечные ссылки, статьи, упоминания, пресс-релизы - используйте по максимуму потенциал SeoHammer для продвижения вашего сайта.
Что умеет делать SeoHammer
— Продвижение в один клик, интеллектуальный подбор запросов, покупка самых лучших ссылок с высокой степенью качества у лучших бирж ссылок.
— Регулярная проверка качества ссылок по более чем 100 показателям и ежедневный пересчет показателей качества проекта.
— Все известные форматы ссылок: арендные ссылки, вечные ссылки, публикации (упоминания, мнения, отзывы, статьи, пресс-релизы).
— SeoHammer покажет, где рост или падение, а также запросы, на которые нужно обратить внимание.
SeoHammer еще предоставляет технологию Буст, она ускоряет продвижение в десятки раз,
а первые результаты появляются уже в течение первых 7 дней.
Зарегистрироваться и Начать продвижение
Основная задача кинематики состоит в том, чтобы, зная закон движения данного тела (или точки), определить все кинематические величины, характеризующие как движение тела в целом, так и движение каждой из его точек в отдельности (траектории, скорости, ускорения и т.д.). При решении задач по кинематике удобнее выбирать ту систему отсчета, в которой движение выглядит проще.
Исходные данные
Курсовая работа выполняется в соответствии с шифром студента, который состоит из двух цифр. Для студентов очного отделения шифр задается преподавателем, для студентов заочного отделения определяется двумя последними цифрами номера зачетной книжки.
Первая цифра шифра обозначает номер схемы, вторая цифра шифра – столбец с исходными данными.
Задача К 1
Под номером К1 помещены две задачи К1а и К1б, которые надо решить.
Задача К1а.
Точка В движется в плоскости ху (рис. К1.0 — К 1.9, траектория точки на рисунках показана условно). Закон движения точки задан уравнениями: х = f1
(t), y = f2
(t), где х и у выражены в сантиметрах, t — в секундах.
Найти уравнение траектории точки; для момента времени t1
= 1 с определить скорость и ускорение точки, а также ее касательное и нормальное ускорения и радиус кривизны в соответствующей точке траектории.
Таблица К1
| Номер условия
|
y =f2
(t)
|
s=f(t)
|
| Рис. К1.0–К1.2
|
Рис. К1.3–К1.6
|
рис. К1.7– К1.9
|
| 1
|
2
|
3
|
4
|
5
|
| 0
|
 
|

|

|

|
| 1
|

|

|

|

|
| 2
|

|

|

|

|
| 3
|

|

|

|

|
| 4
|

|

|

|

|
| 5
|

|

|

|

|
| 6
|

|

|

|

|
| 7
|

|

|

|

|
| 8
|

|

|

|

|
| 9
|

|

|

|

|
Зависимость х = f1
(t) указана непосредственно на рисунках, а зависимость дана в табл. K1 (для рис.К1.0– К1.2 в столбце 2, для рис. К1.3– К1.6 в столбце 3, для рис. К1.7– К1.9 в столбце 4). Как и в задачах С1 — С4, номер рисунка выбирается по предпоследней цифре шифра, а номер условия в табл. К1 — по последней.
Задача К1б
. Точка движется по дуге окружности радиуса R = 2 м по закону , заданному в табл. К1 в столбце 5 (s — в метрах, t — в секундах), где — расстояние точки от некоторого начала А, измеренное вдоль дуги окружности.
Определить скорость и ускорение точки в момент времени t1 — 1с. Изобразить на рисунке векторы , , считая, что точка в этот момент находится в положении М, а положительное направление отсчета s — от А к М.
Указания.
Задача K1 относится к кинематике точки и решается с помощью формул, по которым определяются скорость и ускорение точки в декартовых координатах (координатный способ задания движения точки), а также формул, по которым определяются скорость, касательное и нормальное ускорения точки при естественном способе задания ее движения
Сервис онлайн-записи на собственном Telegram-боте
Попробуйте сервис онлайн-записи VisitTime на основе вашего собственного Telegram-бота:
— Разгрузит мастера, специалиста или компанию;
— Позволит гибко управлять расписанием и загрузкой;
— Разошлет оповещения о новых услугах или акциях;
— Позволит принять оплату на карту/кошелек/счет;
— Позволит записываться на групповые и персональные посещения;
— Поможет получить от клиента отзывы о визите к вам;
— Включает в себя сервис чаевых.
Для новых пользователей первый месяц бесплатно.
Зарегистрироваться в сервисе
В задаче все искомые величины нужно определить только для момента времени t1
= 1 с. В некоторых вариантах задачи K1a при определении траектории или при последующих расчетах (для их упрощения) следует учесть известные из тригонометрии формулы: .
  
Рис. К1.0 Рис. К1.1 Рис. К1.2
  
Рис. К1.3 Рис. К1.4 Рис. К1.5
  
 Рис. К1.6 Рис. К1.7 Рис. К1.8
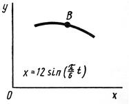
Пример K1a
Дано:
уравнения движения точки в плоскости ху:
, 
(х, у — в сантиметрах, t — в секундах).
Определить
уравнение траектории точки; для момента времени t1
= 1 с найти скорость и ускорение точки, а также ее касательное и нормальное ускорения и радиус кривизны в соответствующей точке траектории.
Решение.
1. Для определения уравнения траектории точки исключим из заданных уравнений движения время t. Поскольку t входит в аргументы тригонометрических функций, где один аргумент вдвое больше другого, используем формулу
или (1)
Из уравнений движения находим выражения соответствующих функций и подставляем в равенство (1). Получим
, ,
следовательно, 
Отсюда окончательно находим следующее уравнение траектории точки (параболы, рис. K1a):
(2)
2. Скорость точки найдем по ее проекциям на координатные оси:
 ; ;

при t1
= 1 с , , (3)
3. Аналогично найдем ускорение точки:
, ;

и при t1
= 1 c , , (4)
Касательное ускорение найдем, дифференцируя по времени равенство . Получим ,
откуда (5)
Числовые значения всех величин, входящих в правую часть выражения (5), определены и даются равенствами (3) и (4). Подставив в (5) эти числа, найдем сразу, что при t1
= 1 .
Нормальное ускорение точки Подставляя сюда найденные числовые значения a1
и a1
t
, получим, что при t1
= 1 с .
4. Радиус кривизны траектории . Подставляя сюда числовые значения и , найдем, что при t1
= 1 с .
Ответ:
, , , , .
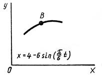
Пример К1б.
Точка движется по дуге окружности радиуса R = 2м по закону (s — в метрах, t — в секундах), где s = AM (рис.К1б).
Определить
скорость и ускорение точки в момент времени t1
= 1с.
Решение.
Определяем скорость точки: .
При t1
= 1 с получим 
Ускорение находим по его касательной и нормальной составляющим:
, 
При t1
= 1 с получим, учитывая, что R = 2 м,
, 
Тогда ускорение точки при t1
= 1 с будет

Изобразим на рис. К1,б векторы и , учитывая знаки и a1
и считая положительным направление от А к М.
Задача К2
Механизм состоит из ступенчатых колес 1—3, находящихся в зацеплении или связанных ременной передачей, зубчатой рейки 4 и груза 5, привязанного к концу нити, намотанной на одно из колес (рис. К2.0 — К.2.9, табл. К.2). Радиусы ступеней колес равны соответственно: у колеса 1 — r1
= 2 см, R1
= 4 см, у колеса 2 — r2
= 6 см, R2
= 8 см, у колеса 3 — r3
= 12 см, R3
= 16 см. На ободьях колес расположены точки A, В и С.
В столбце «Дано» таблицы указан закон движения или закон изменения скорости ведущего звена механизма, где — закон вращения колеса 1, — закон движения рейки 4, — закон изменения угловой скорости колеса 2, — закон изменения скорости груза 5 и т.д. (везде выражено в радианах, s — в сантиметрах, t — в секундах). Положительное направление для и против хода часовой стрелки, для s4
, s5
, v4
, v5
— вниз.
Определить в момент времени t1
= 2 с указанные в таблице в столбцах «Найти» скорости ( — линейные, — угловые) и ускорения ( — линейные, — угловые) соответствующих точек или тел ( — скорость груза 5 и т.д.).
Указания.
Задача К2 — на исследование вращательного движения твердого тела вокруг неподвижной оси.
Таблица К2
| Номер условия
|
Дано
|
Найти
|
| скорости
|
ускорения
|
| 0
|

|
vB
, vC
|
e2
, aA
, a5
|
| 1
|

|
vA
, vC
|
e3
, aB
, a4
|
| 2
|

|
v4
, w2
|
e2
, aC
, a5
|
| 3
|

|
v5
, w3
|
e2
, aA
, a4
|
| 4
|

|
v4
, w1
|
e1
, aB
, a5
|
| 5
|

|
v5
, vB
|
e2
, aC
, a4
|
| 6
|

|
v4
, w1
|
e1
, aC
, a5
|
| 7
|

|
vA
, w3
|
e3
, aB
, a5
|
| 8
|

|
v4
, w2
|
e1
, aC
, a4
|
| 9
|

|
v5
, vB
|
e2
, aA
, a4
|
 
Рис. К2.0 Рис. К2.1
 
Рис. К2.2 Рис. К2.3
 
Рис. К2.4 Рис. К2.5
 
Рис. К2.6 Рис. К2.7
 
Рис. К2.8 Рис. К2.9
 При решении задачи учесть, что, когда два колеса находятся в зацеплении, скорость точки зацепления каждого колеса одна и та же, а когда два колеса связаны ременной передачей, то скорости всех точек ремня и, следовательно, точек, лежащих на ободе каждого из этих колес, в данный момент времени численно одинаковы; при этом считается, что ремень по ободу колеса не скользит.
Пример К2.
Рейка 1, ступенчатое колесо 2 с радиусами R2
и r2
и колесо 3 радиуса R3
, скрепленное с валом радиуса г3
, находятся в зацеплении; на вал намотана нить с грузом 4 на конце (рис. К2). Рейка движется по закону .
Дано:
R2
= 6 см, г2
= 4 см, R3
= 8 см, г3
= 3 см, (s — в сантиметрах, t — в секундах), А — точка обода колеса 3, t1
= 3 с.
Определить:
v4
, w3
, e3
, a4
в момент времени t = t1
.
Решение.
Условимся обозначать скорости точек, лежащих на внешних ободах колес (радиуса Ri
), через , а точек, лежащих на внутренних ободах (радиуса ), — через .
1. Определяем сначала угловые скорости всех колес как функции времени t. Зная закон движения рейки 1, находим ее скорость:
(1)
Так как рейка и колесо 2 находятся в зацеплении, то или . Но колеса 2 и 3 тоже находятся в зацеплении, следовательно, или . Из этих равенств находим
, (2)
Тогда для момента времени t1
= 3 с получим .
2. Определяем . Так как , то при t1
= 3 с .
3. Определяем . Учитывая второе из равенств (2), получим . Тогда при t1
= 3 с .
4. Определяем . Для точки A , где численно , . Тогда для момента времени t1
= 3 с имеем
, ; 
Все скорости и ускорения точек, а также направления угловых скоростей показаны на рис. К2.
Ответ:
, , , .
Задача КЗ
Плоский механизм состоит из стержней 1, 2, 3, 4 и ползуна В или Е (рис. КЗ.0 — К3.7) или из стержней 1,2, 3 и ползунов В и Е (рис. К3.8, К3.9), соединенных друг с другом и с неподвижными опорами O1
О2
шарнирами; точка D находится в середине стержня АВ. Длины стержней равны соответственно L1
= 0,4 м, L2
= 1,2 м, L3
= 1,4 м, L4
= 0,6 м. Положение механизма определяется углами , , , , . Значения этих углов и других заданных величин указаны в табл. К3а (для рис.К3.0 — К3.4) или в табл. К3б (для рис. К3.5 — К3.9); при этом в табл. К3а и — величины постоянные.
Определить величины, указанные в таблицах в столбцах «Найти».
Дуговые стрелки на рисунках показывают, как при построении чертежа механизма должны откладываться соответствующие углы: по ходу или против хода часовой стрелки (например, угол на рис.К3.8 следует отложить от DB по ходу часовой стрелки, а на рис.К3.9 — против хода часовой стрелки и т.д.).
Построение чертежа начинать со стержня, направление которого определяется углом ; ползун с направляющими для большей наглядности изобразить так, как в примере К3 (см. рис. К3б).
Заданные угловую скорость и угловое ускорение считать направленными против часовой стрелки, а заданные скорость и ускорение — от точки В к b (на рис.К3.5 — К3.9).
Таблица К3а (к рис. К3.0–К3.4)
| Номер условия
|
Углы, град
|
Дано
|
Найти
|
| 
|

|

|

|

|
, рад/с
|
, рад/с
|

точек
|
звена
|
a
точки
|
звена
|
| 0
|
0
|
60
|
30
|
0
|
120
|
6
|
–
|
B,E
|
DE
|
B
|
AB
|
| 1
|
90
|
120
|
150
|
0
|
30
|
–
|
4
|
A,E
|
AB
|
A
|
AB
|
| 2
|
30
|
60
|
30
|
0
|
120
|
5
|
–
|
B,E
|
AB
|
B
|
AB
|
| 3
|
60
|
150
|
150
|
90
|
30
|
–
|
5
|
A,E
|
DE
|
A
|
AB
|
| 4
|
30
|
30
|
60
|
0
|
150
|
4
|
–
|
D,E
|
AB
|
B
|
AB
|
| 5
|
90
|
120
|
120
|
90
|
60
|
–
|
6
|
A,E
|
AB
|
A
|
AB
|
| 6
|
90
|
150
|
120
|
90
|
30
|
3
|
–
|
B,E
|
DE
|
B
|
AB
|
| 7
|
0
|
60
|
60
|
0
|
120
|
–
|
2
|
A,E
|
DE
|
A
|
AB
|
| 8
|
60
|
150
|
120
|
90
|
30
|
2
|
–
|
D,E
|
AB
|
B
|
AB
|
| 9
|
30
|
120
|
150
|
0
|
60
|
–
|
8
|
A,E
|
DE
|
A
|
AB
|
Таблица К3б (к рис. К3.5–К3.9)
| Номер условия
|
Углы, град
|
Дано
|
Найти
|
| 
|

|

|

|

|
, рад/с
|
, рад/с
|
, м/с
|
м/с2
|
v
точек
|
звена
|
a точки
|
e
звена
|
| 0
|
120
|
30
|
30
|
90
|
150
|
2
|
4
|
–
|
–
|
B,E
|
AB
|
B
|
AB
|
| 1
|
0
|
60
|
90
|
0
|
120
|
–
|
–
|
4
|
6
|
A,E
|
DE
|
A
|
AB
|
| 2
|
60
|
150
|
30
|
90
|
30
|
3
|
5
|
–
|
–
|
B,E
|
AB
|
B
|
AB
|
| 3
|
0
|
150
|
30
|
0
|
60
|
–
|
–
|
6
|
8
|
A,E
|
AB
|
A
|
AB
|
| 4
|
30
|
120
|
120
|
0
|
60
|
4
|
6
|
–
|
–
|
B,E
|
DE
|
B
|
AB
|
| 5
|
90
|
120
|
90
|
90
|
60
|
–
|
–
|
8
|
10
|
D,E
|
DE
|
A
|
AB
|
| 6
|
0
|
150
|
90
|
0
|
120
|
5
|
8
|
–
|
–
|
B,E
|
DE
|
B
|
AB
|
| 7
|
30
|
120
|
30
|
0
|
60
|
–
|
–
|
2
|
5
|
A,B
|
AB
|
A
|
AB
|
| 8
|
90
|
120
|
120
|
90
|
150
|
6
|
10
|
–
|
–
|
B,E
|
DE
|
B
|
AB
|
| 9
|
60
|
60
|
60
|
90
|
30
|
–
|
–
|
5
|
4
|
D,B
|
AB
|
A
|
AB
|
 
Рис. К3.0 Рис. К3.1
 
Рис. К3.2 Рис. К3.3
 
Рис. К3.4 Рис. К3.5
 
Рис. К3.6 Рис. К3.7
 
Рис. К3.8 Рис. К3.9
Указания.
Задача К3 — на исследование плоскопараллельного движения твердого тела. При ее решении для определения скоростей точек механизма и угловых скоростей его звеньев следует воспользоваться теоремой о проекциях скоростей двух точек тела и понятием о мгновенном центре скоростей, применяя эту теорему (или это понятие) к каждому звену механизма в отдельности.
При определении ускорений точек механизма исходить из векторного равенства , где А — точка, ускорение которой или задано, или непосредственно определяется по условиям задачи (если точка А движется по дуге окружности, то ); В — точка, ускорение которой нужно определить (о случае, когда точка В тоже движется по дуге окружности, см. примечание в конце рассмотренного ниже примера КЗ).

Рис. К3а Рис. К3б
Пример КЗ.
Механизм (рис. КЗа) состоит из стержней 1, 2, 3, 4 и ползуна В, соединенных друг с другом и с неподвижными опорами О1
и О2
шарнирами.
Дано:
= 60˚, = 150˚, = 90˚, = 30˚, = 30˚, AD = DB, L1
= 0.4 м, L2
= 1.2 м, L3
= 1.4 м, = 2 рад/с, = 7 рад/с2
(направления и против хода часовой стрелки).
Определить:
, , , , .
Решение.
1. Строим положение механизма в соответствии с заданными углами (рис. К3б; на этом рисунке изображаем все векторы скоростей).
2. Определяем . Точка В принадлежит стержню АВ. Чтобы найти vB
, надо знать скорость какой–нибудь другой точки этого стержня и направление .
По данным задачи, учитывая направление , можем определить ; численно
; (1)
Направление найдем, учтя, что точка В принадлежит одновременно ползуну, движущемуся вдоль направляющих поступательно. Теперь, зная и направление , воспользуемся теоремой о проекциях скоростей двух точек тела (стержня АВ) на прямую, соединяющую эти точки (прямая АВ). Сначала по этой теореме устанавливаем, в какую сторону направлен вектор (проекции скоростей должны иметь одинаковые знаки). Затем, вычисляя эти проекции, находим
и (2)
3. Определяем . Точка Е принадлежит стержню DE. Следовательно, по аналогии с предыдущим, чтобы определить , надо сначала найти скорость точки D, принадлежащей одновременно стержню АВ, Для этого, зная и , строим мгновенный центр скоростей (МЦС) стержня АВ; это точка С3, лежащая на пересечении перпендикуляров к и , восстановленных из точек А и В (к перпендикулярен стержень 1). По направлению вектора определяем направление поворота стержня АВ вокруг МЦС С3
. Вектор перпендикулярен отрезку C3
D, соединяющему точки D и С3
, и направлен в сторону поворота. Величину найдем из пропорции
(3)
Чтобы вычислить C3
D и С3
В, заметим, что — прямоугольный, так как острые углы в нем равны 30° и 60°, и что . Тогда является равносторонним и . В результате равенство (3) дает:
, (4)
Так как точка Е принадлежит одновременно стержню О2
Е, вращающемуся вокруг О2
, то . Тогда, восстанавливая из точек Е и D перпендикуляры к скоростям и , построим МЦС С2
стержня DE. По направлению вектора определяем направление поворота стержня DE вокруг центра С2
. Вектор направлен в сторону поворота этого стержня.
Согласно рис. КЗб , откуда . Составив теперь пропорцию, найдем, что
, (5)
4. Определяем . Так как МЦС. стержня 2 известен (точка С2
) и ,
то (6)
5. Определяем aB
(рис. К3в, на котором изображаем все векторы ускорений). Точка В принадлежит стержню АВ. Чтобы найти aB
, надо знать ускорение какой–нибудь другой точки стержня АВ и траекторию точки В. По данным задачи можем определить ,
где численно ;
(7)
Вектор направлен вдоль АО1
, а — перпендикулярно АО1
. Изображаем эти векторы на чертеже (рис. К3в). Так как точка B одновременно принадлежит ползуну, то вектор aB
параллелен направляющим ползуна. Изображаем вектор aB
на чертеже, полагая, что он направлен в ту же сторону, что и .
Для определения aB
воспользуемся равенством
(8)
Изображаем на чертеже векторы (вдоль ВА от В к A) и (в любую сторону перпендикулярно ВА); численно .
Найдя с помощью построенного МЦС – С3
стержня 3, получим
и (9)
Таким образом, у величин, входящих в равенство (8), неизвестны только числовые значения aB
и ; их можно найти, спроектировав обе части равенства (8) на какие–нибудь две оси.
Чтобы определить aB
, спроектируем обе части равенства (8) на направление ВА (ось х), перпендикулярное неизвестному вектору . Тогда получим
(10)
Подставив в равенство (10) числовые значения всех величин из (7) и (9),
найдем, что (11)
Так как aB
>0, то, следовательно, вектор aB
направлен, как показано на рис. К3в.
6. Определяем . Чтобы найти , сначала определим . Для этого обе части равенства (8) спроектируем на направление, перпендикулярное АВ (ось у). Тогда получим
(12)
Подставив в равенство (12) числовые значения всех величин из (11) и (7), найдем, что . Знак указывает, что направление противоположно показанному на рис. К3в.
Теперь из равенства получим .
Ответ:
; ; ; ; .
Примечание. Если точка В, ускорение которой определяется, движется не прямолинейно (например, как на рис. К3.0 — К3.4, где В движется по окружности радиуса О2
В), то направление заранее неизвестно.
В этом случае также следует представить двумя составляющими и исходное уравнение (8) примет вид:
(13)
При этом вектор (см., например, рис.K3.0) будет направлен вдоль ВО2
, а вектор — перпендикулярно ВО2
в любую сторону. Числовые значения , и определяются так же, как в рассмотренном примере (в частности, по условиям задачи может быть или , если точка А движется прямолинейно).
Значение также вычисляется по формуле , где
L – радиус окружности О2
В, а vB
определяется так же, как скорость любой другой точки механизма.
После этого в равенстве (13) остаются неизвестными только значения и и они, как и в рассмотренном примере, находятся проектированием обеих частей равенства (13) на две оси.
Найдя , можем вычислить искомое ускорение . Величина служит для нахождения (как в рассмотренном примере).
Задача К4
Прямоугольная пластина (рис. К4.0 — К4.4) или круглая пластина радиуса R = 60 см (рис. К4.5 — К4.9) вращается вокруг неподвижной оси по закону , заданному в табл. К4. Положительное направление отсчета угла показано на рисунках дуговой стрелкой. На рис. К4.0 – К4.2, К4.5 – К4.6 ось вращения перпендикулярна плоскости пластины и проходит через точку О (пластина вращается в своей плоскости); на рис. К4.3 – К4.4, К4.7 – К4.9 ось вращения ОО1
лежит в плоскости пластины (пластина вращается в пространстве).
По пластине вдоль прямой BD (рис. К4.0 – К4.4) или по окружности радиуса R (рис. К4.5 – К4.9) движется точка М; закон ее относительного движения, т.е. зависимость (s выражено в сантиметрах, t — в секундах), задан в таблице отдельно для рис. К4.0 – К4.4 и для рис. К4.5 – К4.9; там же даны размеры b и ℓ. На рисунках точка М показана в положении, при котором (при точка М находится по другую сторону от точки А).
Найти абсолютную скорость и абсолютное ускорение точки М в момент времени t1
= 1 с.
Указания.
Задача К4 — на сложное движение точки. Для ее решения необходимо воспользоваться теоремами о сложении скоростей и о сложении ускорений. Прежде чем производить все расчеты, следует по условиям задачи определить, где находится точка М на пластине в момент времени t1
= 1 с, и изобразить точку именно в этом положении (а не в произвольном, показанном на рисунках к задаче).
Таблица К4
| Номер
условия
|
Для всех рисунков 
|
Для рис. К4.0 – К4.4
|
Для рис. К4.5 – К4.9
|
| b, см
|

|
ℓ
|

|
| 0
|

|
12
|

|

|

|
| 1
|

|
16
|

|

|

|
| 2
|

|
10
|

|

|

|
| 3
|

|
16
|

|

|

|
| 4
|

|
8
|

|

|

|
| 5
|

|
20
|

|

|

|
| 6
|

|
12
|

|

|

|
| 7
|

|
8
|

|

|

|
| 8
|

|
10
|

|

|

|
| 9
|

|
20
|

|

|

|
 
Рис. К4.0 Рис. К4.1 Рис. К4.2

Рис. К4.3 Рис. К4.4 Рис. К4.5

Рис. К4.6 Рис. К4.7

Рис. К4.8 Рис. К4.9
В случаях, относящихся к рис. К4.5 – К4.9, при решении задачи не подставлять числового значения R, пока не будут определены положение точки М в момент времени t1
= 1 с и угол между радиусами СМ и СА в этот момент.
Рассмотрим два примера решения этой задачи.
Пример К4а.
Пластина OEAB1
D (ОЕ = OD, рис. К4а) вращается вокруг оси, проходящей через точку О перпендикулярно плоскости пластины, по закону (положительное направление отсчета угла показано на рис. К4а дуговой стрелкой). По дуге окружности радиуса R движется точка В по закону (положительное направление отсчета s — от А к В).
Дано:
R = 0,5 м, , ( — в радианах, — в метрах, t — в секундах).
Определить:
и в момент времени t = 2 с.
 Решение.
Рассмотрим движение точки В как сложное, считая ее движение по дуге окружности относительным, а вращение пластины – переносным движением. Тогда абсолютная скорость и абсолютное ускорение точки найдутся по формулам: ,
(1)
где, в свою очередь,
, .
Определим все входящие в равенства (1) величины.
1. Относительное движение. Это движение происходит по закону
(2)
Сначала установим, где будет находиться точка В на дуге окружности в момент времени t1
. Полагая в уравнении (2) t1
= 2 с, получим

Тогда .
Знак минус свидетельствует о том, что точка B в момент t1
= 2 с находится справа от точки А. Изображаем ее на рис. К4а в этом положении (точка В1
).
Теперь находим числовые значения , , :
, , ,
где — радиус кривизны относительной траектории, равный радиусу окружности R. Для момента t1
= 2 с, учитывая, что R = 0,5 м, получим
,
, (3)
Знаки показывают, что вектор направлен в сторону положительного отсчета расстояния s, а вектор — в противоположную сторону; вектор направлен к центру С окружности. Изображаем все эти векторы на рис. К4а.
2. Переносное движение. Это движение (вращение) происходит по закону . Найдем сначала угловую скорость и угловое ускорение переносного вращения: , 
и при t1
= 2 c , (4)
Знаки указывают, что в момент t1
= 2 с направления и противоположны направлению положительного отсчета угла ; отметим это на рис. К4а.
Для определения и находим сначала расстояние h1
= OB1
точки B1
от оси вращения О. Согласно рисунку . Тогда в момент времени t1
= 2 с, учитывая равенства (4), получим
, , (5)
Изображаем на рис. К4а векторы и с учетом направлений w и e и вектор (направлен к оси вращения).
3. Кориолисово ускорение. Модуль кориолисова ускорения определяем по формуле , где a — угол между вектором и осью вращения (вектором ). В нашем случае этот угол равен 90°, так как ось вращения перпендикулярна плоскости пластины, в которой расположен вектор .
Численно в момент времени t1
=2с, так как в этот момент и
, получим (6)
Направление найдем по правилу Н.Е.Жуковского: так как вектор лежит в плоскости, перпендикулярной оси вращения, то повернем его на 90° в направлении , т. е. по ходу часовой стрелки. Изображаем на рис. К4а. (Иначе направление можно найти, учитывая, что ).
Таким образом, значения всех входящих в правые части равенств (1) векторов найдены, и для определения и остается только сложить эти векторы. Произведем это сложение аналитически.
4. Определение . Проведем координатные оси B1
xу (см. рис. К4а) и спроектируем почленно обе части равенства .
Получим для момента времени t1
= 2 с:
;

После этого находим 
5. Определение . По теореме о сложении ускорений
(7)
Для определения спроектируем обе части равенства (7) на проведенные оси В1
ху. Получим
,

Подставив сюда значения, которые все величины имеют в момент времени t1
= 2 с, найдем, что в этот момент
, .
Тогда 
Ответ:
, 
Пример К4б.
Треугольная пластина ADE вращается вокруг оси z по закону (положительное направление отсчета угла показано на рис. К4б дуговой стрелкой). По гипотенузе AD движется точка В по закону ; положительное направление отсчета s — от A к D.
Дано:
, ; ( – в радианах, s – в сантиметрах, t – в секундах)
Определить:
и в момент времени t1
= 2 с.
Решение.
Рассмотрим движение точки В как сложное, считая ее движение по прямой AD относительным, а вращение пластины — переносным. Тогда абсолютная скорость и абсолютное ускорение найдутся по формулам:
, (1)
где, в свою очередь, 
Определим все входящие в равенство (1) величины.
1. Относительное движение. Это движение прямолинейное и происходит
по закону (2)
Поэтому , 
В момент времени t1
= 2 c имеем
, , (3)
Знаки показывают, что вектор направлен в сторону положительного отсчета расстояния s, а вектор — в противоположную сторону. Изображаем эти векторы на рис. К4б.
2. Переносное движение. Это движение (вращение) происходит по закону .
Найдем угловую скорость и угловое ускорение переносного вращения: ; и при t1
= 2 с,
, (4)
Знаки указывают, что в момент t1
= 2 с направление совпадает с направлением положительного отсчета угла , а направление ему противоположно; отметим это на рис.К4б соответствующими дуговыми стрелками.
Из рисунка находим расстояние h1
точки B1
от оси вращения z: Тогда в момент t1
= 2 с, учитывая равенства (4), получим
, , (5)
Изобразим на рис. К4б векторы и (с учетом знаков и ) и ; направлены векторы и перпендикулярно плоскости ADE, а вектор — по линии В1
С к оси вращения.
3. Кориолисово ускорение. Так как угол между вектором и осью вращения (вектором ) равен 30°, то численно в момент времени t1
= 2 с
(6)
Направление найдем по правилу Н. Е. Жуковского. Для этого вектор спроектируем на плоскость, перпендикулярную оси вращения (проекция направлена противоположно вектору ) и затем эту проекцию повернем на 90° в сторону , т. е. по ходу часовой стрелки; получим направление вектора . Он направлен перпендикулярно плоскости пластины так же, как вектор (см. рис. К4б).
4. Определение . Так как , а векторы и взаимно перпендикулярны, то ; в момент времени t1
= 2 с 
5. Определение . По теореме о сложении ускорений
(7)
Для определения проведем координатные оси B1
xyz1
и вычислим проекции на эти оси. Учтем при этом, что векторы и лежат на оси х, а векторы и расположены в плоскости B1
yz1
, т.е. в плоскости пластины. Тогда, проектируя обе части равенства (7) на оси B1
xyz1
и учтя одновременно равенства (3), (5), (6), получим для момента времени t1
= 2 с:
,
,

Отсюда находим значение 
 
Ответ:
, .
Литература
1. Теоретическая механика. Методические указания и контрольные задания. Под ред.С.М.Тарга. – М., 1989.
2. Бать М.И., Джанелидзе Г.Ю., Кельзон А.С. Теоретическая механика в примерах и задачах. Т.1. – М., 2010.
3. Яблонский А.А., Норейко С.С. и др. Сборник заданий для курсовых работ по теоретической механике. – М., 2006.
Содержание
Введение................................................................................ 3
Задача К1.............................................................................. 5
Задача К2.............................................................................. 10
Задача К3.............................................................................. 14
Задача К4.............................................................................. 21
Литература............................................................................ 30
|