| МИНИСТЕРСТВО ОБРАЗОВАНИЯ И НАУКИ РОССИЙСКОЙ ФЕДЕРАЦИИ
ФЕДЕРАЛЬНОЕ АГЕНТСТВО ПО ОБРАЗОВАНИЮ
Федеральное государственное образовательное учреждение высшего профессионального образования
Казанский государственный архитектурно-строительный университет
Кафедра геодезии
Методические указания
Для выполнения расчетно-графической работы №1 студентами дневного обучения по направлению «Строительство» по теме «План и карта»
ИЗБРАННЫЕ УСЛОВНЫЕ ЗНАКИ
Казань-2006
Составители: В.С.Боровских., М.Г.Ишмухаметова
УДК 528.48
Избранные условные знаки. Методические указания для выполнения расчетно-графической работы №1 студентами 1-ого курса дневного обучения по направлению «Строительство» по теме «План и карта». Методические указания соответствуют Государственному общеобразовательному стандарту.
Казанский государственный архитектурно-строительный университет.
Сост.: В.С.Боровских, М.Г.Ишмухаметова
Казань, 2006 – 17 с.
Илл. 90, табл.1
Рецензент: СНС, доцент, кфмн кафедры астрономии Казанского государственного университета М.И.Шпекин
С Казанский государственный архитектурно-строительный университет
2006
В «Избранных условных знаках для топографических планов масштабов 1:500 и 1:1000" » приведены условные знаки наиболее часто встречающихся контуров и предметов местности. Их необходимо выучить и знать студентам, обучающихся в университете. Используются «Избранные условные знаки» при выполнении заданий № 1,2,4,5 и во время летней геодезической практики для вычерчивания планов теодолитной, тахеометрической съемок, нивелирования по квадратам.
Для вычерчивания топографических планов и карт более мелких масштабов используются условные знаки, как правило, похожие по виду на условные знаки для масштабов 1:500 – 1:1000. Образцы ряда условных знаков для топографических карт и планов масштабов 1:2000, 1:5000, 1:10000 показаны на стендах в ауд.405.
В «Избранных условных знаках» в первой колонке приведены порядковые номера их, а ниже, в скобках, даны порядковые номера этих условных знаков в официальном издании «Условные знаки для топографических планов масштабов 1:5000, 1:2000, 1:1000, 1:500»- М.: Недра, 2002 г., утвержденные ГУГК России. Во второй колонке приводятся названия условных знаков и пояснения к ним, а в третьей – изображение различных знаков и размеры их. При вычерчивании планов размеры условных знаков нужно соблюдать, но не показывать.
Забиваем Сайты В ТОП КУВАЛДОЙ - Уникальные возможности от SeoHammer
Каждая ссылка анализируется по трем пакетам оценки: SEO, Трафик и SMM.
SeoHammer делает продвижение сайта прозрачным и простым занятием.
Ссылки, вечные ссылки, статьи, упоминания, пресс-релизы - используйте по максимуму потенциал SeoHammer для продвижения вашего сайта.
Что умеет делать SeoHammer
— Продвижение в один клик, интеллектуальный подбор запросов, покупка самых лучших ссылок с высокой степенью качества у лучших бирж ссылок.
— Регулярная проверка качества ссылок по более чем 100 показателям и ежедневный пересчет показателей качества проекта.
— Все известные форматы ссылок: арендные ссылки, вечные ссылки, публикации (упоминания, мнения, отзывы, статьи, пресс-релизы).
— SeoHammer покажет, где рост или падение, а также запросы, на которые нужно обратить внимание.
SeoHammer еще предоставляет технологию Буст, она ускоряет продвижение в десятки раз,
а первые результаты появляются уже в течение первых 7 дней.
Зарегистрироваться и Начать продвижение
При вычерчивании внемасштабных условных знаков изображения объектов следует располагать перпендикулярно южной рамке плана.
Положению объекта на местности должны соответствовать на плане следующие точки внемасштабного знака:
а) для знаков правильной формы (круг, квадрат и т.д.) – центр знака;
б) для знаков с прямым углом в основании – вершина угла;
в) для знаков в виде перспективного изображения объекта – середина основания знака.
Для вычерчивания условных знаков на планах и картах используют тушь и акварельные краски разных цветов. Цвета показаны в пояснениях к условным знакам. Если таких пояснений нет, условные знаки изображаются черной тушью.
ИЗБРАННЫЕ УСЛОВНЫЕ ЗНАКИ
для топографических планов
масштабов 1 : 1000, 1 : 500
| №
|
Название и характеристика топографического объекта
|
Условный знак топографического объекта
|
| 1
|
Пункты государственной геодезической сети
|

|
| 2
|
Пункты государственной геодезической сети на курганах
|

|
| 3
|
Пункты государственной геодезической сети на зданиях
|

|
| 4
|
Пункты геодезических сетей сгущения и их номера
|

|
| 5
|
Нивелирные реперы и их номера
|

|
| 6
|
Нивелирные реперы и марки стенные
|

|
| 7
|
Нивелирные реперы грунтовые строительные долговременные
|

|
| 8
|
Нивелирные реперы временные
|

|
| 9
|
Пересечения координатных линий (зеленым цветом)
|

|
| 10
|
Строения:
Жилые огнестойкие: (кирпичные, каменные,бетонные)
1) одножтажные;
2) выше одного этажа
|
1) 2) 
|
| 11
|
Строения нежилые огнестойкие: (кирпичные, каменные,бетонные)
1) одножтажные;
2) выше одного этажа
|
1) 2) 
|
| 12
|
Строения жилые неогнестойкие: (деревянные, глинобитные и др.)
1) одножтажные;
2) выше одного этажа
|
1) 2) 
|
| 13
|
Строения нежилые неогнестойкие (деревянные, глинобитные и др.)
1) одножтажные;
2) выше одного этажа
|
1) 2) 
|
| 14
|
Здания строящиеся
|

|
| 15
|
Здания разрушенные и полуразрушенные
|

|
| 16
|
Отметка высоты пола первого этажа (внутри контура);
Отметка земли на углу дома
|

|
| 17
|
Церкви:
1) каменные с разновысотными куполами;
2) деревянные с одним куполом
|
1) 2)

|
| 18
|
Мечети:
1) каменные;
2) деревянные
|
1) 2) 
|
| 19
|
Малые строения:
1) гаражи индивидуальные;
2) туалеты
|
1) 2) 
|
| 20
|
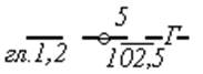
Откосы:
Неукрепленные (цифра 2,5
– высота откоса в метрах)
|

|
| 21
|
Откосы неукрепленные (цифра 102,5
– высота откоса в метрах)
|

|
| 22
|
Откосы укрепленные (цифра 102,5
– высота откоса в метрах; надпись – способ укрепления)
|

|
| 23
|
Открытые разработки твердых полезных ископаемых (карьеры и др. (цифра – глубина в метрах)
Сервис онлайн-записи на собственном Telegram-боте
Попробуйте сервис онлайн-записи VisitTime на основе вашего собственного Telegram-бота:
— Разгрузит мастера, специалиста или компанию;
— Позволит гибко управлять расписанием и загрузкой;
— Разошлет оповещения о новых услугах или акциях;
— Позволит принять оплату на карту/кошелек/счет;
— Позволит записываться на групповые и персональные посещения;
— Поможет получить от клиента отзывы о визите к вам;
— Включает в себя сервис чаевых.
Для новых пользователей первый месяц бесплатно.
Зарегистрироваться в сервисе
|

|
| 24
|
Бензоколонки
|

|
| 25
|
Электрические подстанции, трансформаторные будки, и их номера
|

|
| 26
|
Колодцы и скважины, совмещен-ные с водонапорными башнями
|

|
| 27
|
Фонари электрические на столбах
|

|
| 28
|
Колодцы смотровые (люки) подземных коммуникаций:
1) без назначения;
2) на водопроводных сетях;
3) на канализационных сетях;
4) на теплосетях;
5) на газопроводах
|
1) 
2) 
3) 
4) 
|
| 29
|
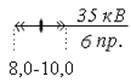
Линии электропередачи (ЛЭП)
на незастроенной территории
(цифры – высоты ферм в метрах, напряжение в кВ, число проводов или кабелей):
1) ЛЭП высокого напряжения на железобетонных фермах;
2) ЛЭП высокого напряжения на металлических фермах;
3) кабельная воздушная ЛЭП высокого напряжения на железобетонных и деревянных столбах;
4) ЛЭП низкого напряжения на металлических и деревянных столбах
|
1)
2) 
3)
4)
|
| 30
|
Линии электропередачи (ЛЭП)
на застроенной территории:
1) ЛЭП высокого напряжения на деревянных фермах;
2) ЛЭП высокого напряжения на столбах;
3) кабельная воздушная ЛЭП высокого напряжения на столбах;
4) ЛЭП низкого напряжения на деревянных столбах
|
1) 
2) 
3) 
4) 
|
| 31
|
Трубопроводы:
Наземные (Г
– газопровод, В
– водопровод, К
– канализация, Н
– нефтепроводы; материал труб - бет
., ст
. и др.; цифры – диаметр труб в миллиметрах):
1) наземные на грунте;
2) на опорах (цифры – высота опор в метрах)
|
1) 

2)

|
| 32
|
Трубопроводы подземные:
1) трубопроводы с колодцами смотровыми (цифры – номера и высотные отметки колодцев; гл. 1,2
- глубина заложения труб);
2) трубопроводы, проложенные рядом в одной траншее (цифры – число прокладок);
3) направление течения жидкости в самотечных прокладках
|
1)
2)

3)
|
| 33
|
Решетки сточные
|

|
| 34
|
Трубопроводы надводные на опорах (отмывка зеленым цветом)
|

|
| 35
|
Трубопроводы на поверхности дна (отмывка зеленым цветом)
|

|
| 36
|
Линии связи и технические средства управления воздушные проводные (телефон, радио, телевиз. и др.)
|

|
| 37
|
Мачты, вышки, ретрансляторы радио и телевизионные (цифры – их высоты в метрах)
|

1:1000 1:500
|
| 38
|
Свалка (штриховые линии коричневым цветом)
|

|
| 40
|
Пустырь,
Площадки строительные
|

|
| 42
|
Дороги:
1) автомагистрали (материал покрытия – бетон);
кюветы зеленым цветом.
2) автомобильные дороги с усовершенствованным покрытием (асфальт); кюветы зеленым цветом.
|
1)

2)
|
| 43
|
Проезжие части улиц и тротуары:
Отмывка розовым цветом;
1) проезжие части улиц при наличие бортового камня;
2) проезжие части улиц без бортового камня;
3) тротуары с твердым покрытием;
4) тротуары без покрытия
|

|
| 44
|
Дороги без покрытия:
1) улучшенные грунтовые дороги; кюветы зеленым цветом.
2) грунтовые дороги (полевые, лесные, проселочные);
3) тропы
|
1)

2)

3) 
|
| 45
|
Дороги в выемках (цифры – глубины выемок в метрах); кюветы зеленым цветом.
|

|
| 46
|
Железные дороги
|

|
| 47
|
Железные дороги узкоколейные (назначение и ширина колеи в миллиметрах)
|

|
| 48
|
Железные дороги по насыпям (цифры – высота насыпей в метрах)
|
|
| 49
|
Пути станционные
|

1:1000 
1:500
|
| 50
|
Мосты пешеходные над железными дорогами (буквы – материал моста)
|

|
| 52
|
Горизонтали (коричневым цветом):
1) утолщенные (через данный интервал высоты сечения);
2) основные;
3) полу-горизонтали (в половину высоты сечения);
4) четверть-горизонтали (в 1/4 высоты сечения)
|
1)
2) 
3) 
4) 
|
| 53
|
Указатели направления ската (бергштрихи)
|
|
| 54
|
Отметки высот
|

|
| 55
|
Обрывы земляные (коричневым цветом):
(цифры – глубина в метрах)
|

|
| 56
|
Ямы (цифры – глубина в метрах)
|

|
| 57
|
Курганы (цифры – высота в метрах)
|

|
| 59
|
Водотоки, береговые линии и отметки урезов воды (высота и дата измерения), Граница суши и воды зеленым цветом, отмывка голубым цветом.
|

|
| 60
|
Ручьи (ширина не выражается в масштабе плана) голубым цветом.
|

|
| 61
|
Характеристики водотоков:
1) направление и скорость течения в м/c;
2) ширина в метрах (числитель), глубина в метрах и грунт дна (знаменатель)
|

|
| 62
|
Мосты:
1) на общем пролетном строении (мет. – металлические, кам. –каменные, ЖБ – железобетонные, цифры – грузоподъемность в тоннах);
2) малые деревянные;
3) пешие
|
1)

2)
3) 
|
| 63
|
Растительность:
Контуры растительности, сельскохозяйственных угодий, грунтов и др.
|

|
| 64
|
Характеристики лесных древо-стоев по составу:
1) лиственные;
2) хвойные;
3) смешанные;
по качественным данным:
4) средняя высота деревьев в метрах (числитель), средняя толщина стволов в метрах (знаменатель), среднее расстоя-ние между деревьями в метрах (цифра справа), порода деревьев
|
1)

2) 3) 
4)

|
| 65
|
Леса естественные высокие
|
|
| 66
|
Лесопосадки молодые (цифра – средняя высота в метрах)
|

|
| 67
|
Участки леса вырубленные
|
|
| 68
|
Кустарники отдельные группы
|

|
| 69
|
Заросли (с указанием породы и средней высоты)
|

|
| 70
|
Растительность травяная, луговая
|

|
| 71
|
Сады фруктовые (цифра – средняя высота в метрах)
|

|
| 72
|
Газоны, клумбы
|

|
| 73
|
Пашня
|

|
| 74
|
Сенокосы с группами кустарников
|

|
| 75
|
Пастбище с редколесьем
|

|
| 76
|
Грунты:
1) пески ровные (коричневым цветом);
2) глинистые (коричневым цветом);
3) болота непроходимые (цифра – глубина в метрах);
4) болота проходимые;
5) земли заболоченные
Все болота голубым цветом
.
|
1)
2) 
3) 
4) 

5)

|
| 77
|
Ограждения:
1) ограды каменные и железо-бетонные высотой 1 м и более, стены исторические;
2) ограды каменные и железо-бетонные высотой менее 1 м, ворота в оградах
|
1)

2)
|
| 78
|
Ограды металлические
1) высотой 1 м и более, с воротами;
2) высотой менее 1 м
|
1)

2)

|
| 79
|
Заборы деревянные
1) сплошные с воротами;
2) из штакетника;
3) с капитальными опорами
|
1)

2)

3)

|
| 80
|
Ограждения проволочные
1) из колючей проволоки;
2) из обычной проволоки;
3) из проволочной сетки
|
1)

2)

3)

|
| 81
|
Границы землепользований и отводов
|

|
| 82
|
Границы государственных заказников, природных национальных парков
|
|
| 83
|
Шрифты:
Названия городов
|

|
| 84
|
Названия поселков сельского типа:
1) с числом жителей от 1000 и более;
2) с числом жителей от 500 до 1000;
3) с числом жителей от 100 до 500;
4) с числом жителей менее 100;
5) названия поселков городского типа;
6) названия поселков при промышленных предприятиях, станциях, пристанях и т.д.
|
1) Петровка 5,0
2) Осиново 4,5
3) Молодцово 4,0
4) Ершово 3,5
5) РЕУТОВО
4,0-6,0
6) Северный
3,0-5,0
|
| 85
|
Названия водотоков:
1) судоходные реки, каналы, озера, заливы, водохранилища;
2) несудоходные реки, каналы, озера, заливы, болот и т.д.
|
1) Р. ВОЛГА
4,0-6,0
2) оз. Щучье
3,0-5,0
|
| 86
|
Названия станций, пристаней, турбаз и т.д.;
Пояснительные надписи к условным знакам
|
Паромский
3,0 – 1,6
телеф.
К
Глина
|
| 87
|
Подписи жилых и нежилых зданий
|
7 КЖ 3,0-1,6
|
| 88
|
Надписи горизонталей коричневым цветом.
|
2,0-1,6
|
| 89
|
Численные характеристики объектов (отметки высот, урезы воды, высоты, глубины, грузо-подъемность, расстояние)
|
2,0- 1,6
|
| 90
|
Пояснения к таблице.
- все размеры знаков и подписей даны в миллиметрах;
- размеры топографического знака отсутствуют в случае отображения объекта с учетом его размеров в заданном масштабе.
|
|
|