| Московский авиационный институт
(государственный технический университет)
Факультет №4
Кафедра 405
Реферат
по курсу «Электроника»
на тему: «Многорезонаторный клистрон»
Выполнил ст. группы 04-207:
Андреев Д.В.
Принял:
Рыбин Ю.М.
Москва
2010 г.
Содержание.
1. Введение……………………………………………………………………..3
2. Пролетные клистроны. Анализ процессов в пролетном клистроне…….5
3. Принцип работы многорезонаторного пролетного клистрона……..19
4. Параметры и характеристики многорезонаторного клистрона…….21
5. Список используемой литературы…………………………………...24
1.Введение.
Элементная база радиоэлектронной аппаратуры в сверхвысокочастотном (СВЧ) и оптическом диапазонах включает в себя электровакуумные, полупроводниковые и квантовые приборы.
Обычные электронные сеточные лампы, полупроводниковые диоды и транзисторы плохо работают в диапазоне сверхвысоких частот, где время пролета электронов сравнимо с периодом колебаний, а также сильно влияние приборных емкостей и индуктивностей. Поэтому создатели приборов шли по пути, как изменение конструкций старых приборов, так и построения принципиально новых приборов, не имеющих себе подобных в низкочастотном диапазоне.
Современные СВЧ электровакуумные приборы в основном могут быть разделены на две большие группы: приборы О и М типов с резонансными (клистрон, магнетрон) и нерезонансными (лампы бегущей и обратной волны) колебательными системами. Среди полупроводниковых приборов в СВЧ диапазоне используют как обычные диоды и транзисторы с видоизмененными конструкциями, так и сравнительно новые приборы – лавинно-пролетный диод и диод Ганна.
Квантовые приборы работают как в СВЧ диапазоне (сверхчувствительные квантовые парамагнитные усилители и квантовые генераторы, используемые в качестве стандартов частоты), так и в оптическом диапазоне (различные типы лазеров).
Клистрон
[от греч. klýzo - ударять, окатывать (волной) и (элек) трон], электровакуумный прибор СВЧ, в котором преобразование постоянного потока электронов в переменный происходит путём модуляции скоростей электронов электрическим полем СВЧ (при пролёте их сквозь зазор объёмного резонатора) и последующей группировки электронов в сгустки (из-за разности их скоростей) в пространстве дрейфа, свободном от поля СВЧ. Распространены 2 класса клистрон - пролётные и отражательные. Пролётный клистрон
- клистрон, в котором электроны последовательно пролетают сквозь зазоры объёмных резонаторов (ОР). В зазоре входного ОР происходит модуляция скоростей электронов: электрическое поле в нем периодически полпериода ускоряет, а следующие полпериода замедляет движение электронов. В пространстве дрейфа ускоренные электроны догоняют замедленные, в результате чего образуются сгустки электронов. Проходя сквозь зазор выходного ОР, сгустки электронов взаимодействуют с его электрическим полем СВЧ, большинство электронов тормозится и часть их кинетической энергии преобразуется в энергию колебаний СВЧ. Идея преобразования постоянного потока электронов в поток переменной плотности за счёт того, что ускоренные электроны догоняют замедленные, рассматривалась советским физиком Д. А. Рожанским в 1932, метод получения мощных колебаний СВЧ, основанный на этой идее, был предложен совместно советским физиком А. Н. Арсеньевой и немецким физиком О. Хайлем в 1935, первые конструкции пролётных Клистрон были предложены и осуществлены в 1938 американскими физиками В. Ханом, Г. Меткалфом и независимо от них Р. Варианом и З. Варианом. Большинство пролётных клистронов являются многорезонаторными усилительными клистронами. Промежуточные ОР, расположенные между входным и выходным ОР, дают возможность расширить полосу пропускания частот, повысить кпд и коэффициент усиления. Усилительные клистроны выпускаются для работы в узких участках частот дециметрового и сантиметрового диапазонов волн с выходной мощностью от нескольких сотен Вт до 40 МВт в импульсном и от нескольких Вт до 1 МВт в непрерывном режиме работы. Коэффициент усиления клистрона обычно от 35 до 60 Дб, кпд от 40 до 60%, полоса пропускания менее 1% в непрерывном режиме и до 10% в импульсном режиме. Основные области их применения: доплеровская радиолокация, связь с искусственными спутниками Земли, радиоастрономия, телевидение (клистрон непрерывного режима работы) и линейные ускорители элементарных частиц, оконечные усилители мощности радиолокационных станций дальнего действия и высокой разрешающей способности (клистрон импульсного режима работы). Небольшую часть выпускаемых промышленностью пролётных клистронов составляют генераторные клистроны непрерывного режима работы. Обычно они имеют 2 ОР. Небольшая доля мощности колебаний СВЧ, создаваемых во втором ОР, передаётся через щель связи в первый ОР для модуляции скоростей электронов. Их выходная мощность примерно от 1 до10 Вт, кпд - менее 10%. Генераторные клистроны применяются главным образом в параметрических усилителях, радиомаяках сантиметрового и миллиметрового диапазонов волн. Отражательный клистрон
- клистрон, в котором поток электронов, пройдя зазор ОР, попадает в тормозящее поле отражателя, отбрасывается этим полем назад и вторично проходит зазор ОР в обратном направлении. При первом прохождении зазора его электрическое поле СВЧ модулирует скорости электронов. При втором прохождении (в обратном направлении) электроны прибывают в зазор сформированными в сгустки; поле СВЧ в зазоре тормозит эти сгустки и превращает часть кинетической энергии электронов в энергию колебаний СВЧ. Сгустки электронов образуются в результате того, что ускоренные электроны в пространстве между ОР и отражателем проходят более длинный путь и находятся дольше, чем замедленные. При изменении отрицательного напряжения на отражателе меняются время пролёта электронов, фаза прибытия сгустков в зазор и частота генерируемых колебаний. Последнее используется для так называемой электронной настройки, позволяющей практически безынерционно и без затраты мощности управлять частотой генерируемых колебаний при частотной модуляции и автоматической подстройке частоты. Механическая перестройка частоты производится изменением зазора путём прогиба торцевой стенки (мембраны) металлического корпуса клистрон или посредством перемещения настраивающего поршня съёмной части ОР, присоединяемой к краям металлических дисков, выходящим из стеклянного или керамического корпуса клистрона.
Сервис онлайн-записи на собственном Telegram-боте
Попробуйте сервис онлайн-записи VisitTime на основе вашего собственного Telegram-бота:
— Разгрузит мастера, специалиста или компанию;
— Позволит гибко управлять расписанием и загрузкой;
— Разошлет оповещения о новых услугах или акциях;
— Позволит принять оплату на карту/кошелек/счет;
— Позволит записываться на групповые и персональные посещения;
— Поможет получить от клиента отзывы о визите к вам;
— Включает в себя сервис чаевых.
Для новых пользователей первый месяц бесплатно.
Зарегистрироваться в сервисе
Забиваем Сайты В ТОП КУВАЛДОЙ - Уникальные возможности от SeoHammer
Каждая ссылка анализируется по трем пакетам оценки: SEO, Трафик и SMM.
SeoHammer делает продвижение сайта прозрачным и простым занятием.
Ссылки, вечные ссылки, статьи, упоминания, пресс-релизы - используйте по максимуму потенциал SeoHammer для продвижения вашего сайта.
Что умеет делать SeoHammer
— Продвижение в один клик, интеллектуальный подбор запросов, покупка самых лучших ссылок с высокой степенью качества у лучших бирж ссылок.
— Регулярная проверка качества ссылок по более чем 100 показателям и ежедневный пересчет показателей качества проекта.
— Все известные форматы ссылок: арендные ссылки, вечные ссылки, публикации (упоминания, мнения, отзывы, статьи, пресс-релизы).
— SeoHammer покажет, где рост или падение, а также запросы, на которые нужно обратить внимание.
SeoHammer еще предоставляет технологию Буст, она ускоряет продвижение в десятки раз,
а первые результаты появляются уже в течение первых 7 дней.
Зарегистрироваться и Начать продвижение

Многорезонаторный клистрон, используемый в накопительном кольце Австралийского синхротрона (ускоритель заряженных частиц с синхротронным излучением 3 ГэВ) для поддержания энергии электронного пучка, в Мельбурне.
2.Пролетные клистроны.
Пролетные клистроны — это разновидность приборов с кратковременным взаимодействием электронов с высокочастотным электрическим полем. В зависимости от назначения пролетные клистроны подразделяют на усилительные, умножительные и генераторные. Пролетные клистроны классифицируются также по числу резонаторов. Рассмотрение начнем с двухрезонаторных пролетных усилительных клистронов, а затем перейдем к многорезонаторным клистронам, получившим наибольшее распространение.
Клистрон пролетный усилительный импульсного действия КИУ-75 А,В
Анализ процессов в пролетном клистроне.
Модуляция электронного потока по скорости.
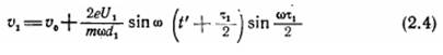
Определим сначала скорость электронов v
0
перед входным резонатором. Изменение кинетической энергии электронов в ускоряющем поле между катодом и входным резонатором равно изменению потенциальной энергии eU0
.
Считая начальную скорость
равной нулю, получим
где т, е—
масса и заряд электрона.
Скорость любого электрона после прохождения зазора между сетками резонатора может быть найдена в результате решения уравнения движения 
где Е—
напряженность переменного электрического поля между сетками С
'1
и C
''1
,
равная ,
если U1
—
амплитудное значение разности потенциалов, a d
1
― расстояние между сетками. Индекс 1 относится к первому (входному) резонатору. Тогда уравнение (2.2) принимает вид

Пусть электрон влетает в пространство между сетками в момент времени t'
и находится там время τ0
(время пролета). Тогда момент времени вылета из резонатора t"=t'+
τ1
.
Таким образом, граничные условия для решения дифференциального уравнения (2.3) следующие: t=t', v
=v
0
; t=t",
v
= v1
. Решение уравнения (2.3) при этих граничных условиях имеет
вид 
Предположим, что амплитуда переменного напряжения много меньше ускоряющего
напряжения U
0
, которое определяет начальную скорость v0

Тогда изменение скорости электронов в резонаторе невелико, т. е. Значения v
1
для
электронов, подлетающих к резонатору в различные моменты t
’ периода, будут мало
отличаться от v0
. Таким образом, при выполнении условия (2.5) можно считать, что время
пролета τ1
всех электронов практически одинаково и равно

т. е. равно времени пролета невозмущенного электрона.
Величина 
называется углом пролета электрона.
Используя (2.7), (2.1), (2.5) и (2.4), получаем


M
1
– коэффициент эффективности взаимодействия электронов с полем резонатора, или
просто коэффициент взаимодействия.
Из формулы (2.8) следует, что в результате прохождения электронов через зазор
резонатора, к которому приложено синусоидальное напряжение, появляется переменная
составляющая скорости, изменяющаяся по тому же (синусоидальному) закону, с той же
частотой. Однако из-за наличия времени пролета переменная составляющая скорости
отстает по времени на τ1
/2, а по фазе— на угол θ1
/2 от синусоидального напряжения
между сетками.
Очевидно, что момент времени

соответствует прохождению данным электроном середины зазора между сетками. Введя
это обозначение в (2.8), окончательно получаем

Таким образом, величину скорости любого электрона при выходе из резонатора можно найти, зная мгновенное значение синусоидального напряжения на зазоре в тот момент времени, когда электрон пролетал через середину зазора. Однако время пролета входит еще в величину коэффициента M1
,
введенного в формуле (2.8). На рис. 2 показана
зависимость M1
от угла пролета θ1
. Самое большое значение M1
соответствует углу
пролета θ1
=0. При значениях θ 1
=2
π n (п=1,
2, 3,...) M1
=0.
Поясним физический смысл коэффициента M1
. Угол пролета θ1
=ωτ1
= 2 πτ 1
/T
показывает, какую часть периода происходит взаимодействие электронов с полем или
насколько изменится фаза СВЧ-напряжения за время пролета электрона в зазоре. Если
время пролета равно целому числу периодов напряжения (θ1
=2π ,4
π ...),
то независимо от
момента влета t
' интеграл от синусоидальной функции в (2.3) равен нулю и конечная
скорость при выходе из зазора остается равной начальной скорости v0
. При движении
электрона в зазоре скорость непрерывно изменяется, но прирост ее в ускоряющем поле
компенсируется убылью в тормозящем поле. Поэтому в формуле (2.11) M1
должно быть
равно нулю.
Если τ1
очень мало по сравнению с периодом Т,
то за время пролета напряжение между сетками резонатора не успевает существенно измениться и его можно считать
постоянным и равным U1
sin ω t’
. Электрон получает максимальное при данном моменте
влета t
' приращение кинетической энергии e
U1
sin ω t’,
а следовательно, и скорости.
Этому предельному случаю в формуле (2.11) должно соответствовать значение M1
= l.
Физический смысл коэффициента M1
состоит в том, что он учитывает уменьшение глубины модуляции скорости при конечном времени пролета по сравнению с идеальным случаем нулевого или бесконечно малого времени пролета. Так как при τ1
→0 M1
→ 1,
то на основании формулы (2.11) можно сделать вывод, что по влиянию на скорость зазор с конечным расстоянием между сетками d1
и амплитудным значением приложенного напряженияU1
эквивалентен бесконечно узкому зазору, к которому приложено напряжение с меньшей амплитудой M1
U1
(M1
<1).
Получить небольшой угол пролета θ1
трудно, так как для этого требуется в соответствии с (2.7) увеличивать v1
(увеличивать напряжение U1
) или уменьшать величину зазора d1
.
Последнее приводит к увеличению емкости и снижению добротности резонатора. В реальных резонаторах клистронов угол пролета θ1
составляет 90—180°. Глубина модуляции скорости зависит также от величины ξ1
(2.5). Увеличение U1
приводит к большему относительному изменению кинетической энергии электронов и их
скорости. Если ускоряющее напряжение U1
увеличивается, то начальное значение
кинетической энергии и скорости электронов возрастает, и при данном переменном
напряжении на зазоре U1
относительное изменение энергии и скорости станет меньше.
Это означает уменьшение глубины модуляции по скорости.
Группирование электронов.
При рассмотрении процесса модуляции по скорости был использован рис. 1, на
котором начало координат совпадает с положением первой сетки резонатора. Для анализа
процесса группирования удобнее начало координат сместить в середину зазора (точка 1 на
рис. 1), которую электрон проходит в момент времени t1
. При этом можно заменить
реальный зазор бесконечно узким с напряжением M1
U1
и приблизительно считать, что
значение скорости v1
,
определяемое формулой (2.11), соответствует началу координат
z
=0.
В пространстве группирования пролетного клистрона отсутствуют электрические поля(см. рис. 3), поэтому движение электронов в нем должно быть равномерным со
скоростью v1
. Моменты времени t2
,
в которые эти электроны достигнут точки 2
на рис. 1 с координатой z=s
, будут

Подставляя в (2.12) значение v1
из (2.11), получаем

Учитывая, что M1
< 1 и ξ1
<< [см. условие (2.5)], т. е. 1 M1
ξ1
<< , по правилу
приближенных вычислений формулу (2.13) можно привести к виду

Величина 
есть время пролета невозмущенным электроном пути s,
a
угол пролета невозмущенного электрона. Умножая обе части равенства (2.14) на ω и
учитывая (2.16), получаем

Введя обозначение

можно записать (2.17) в виде

Полученное соотношение называется уравнением группирования электронов,
а величина X
, определяемая формулой (2.18) — параметром группирования.
На рис. 4 показана рассчитанная по уравнению (2.19) зависимость ω t2
от ω t 1
при
различных значениях параметра группирования X.
Значения ω t1
взяты в пределах одного периода напряжения, изображенного на нижней части рис. 4. Значение ω t1
=0
соответствует невозмущенному электрону, пролетающему середину резонатора в момент
перехода от тормозящего к ускоряющему полупериоду.
Очевидно, полное группирование может наблюдаться, если все электроны, прошедшие резонатор в различные моменты времени периода t1
соберутся в сечении с координатой z=s
в один и тот же момент времени t2
соответствующий прямой АВ.
В реальных условиях полное группирование не наблюдается. При Х=0
связь ω t2
и ω t1
по формуле (2.19) линейная (прямая CD),
т. е. происходит одинаковое запаздывание всех электронов и никакого группирования нет. С увеличением параметра Х
кривая зависимости ω t2
от ω t1
все сильнее отклоняется от прямой линии CD
и при Х=
1 касается прямой AB. Далее при Х>1 кривые пересекают прямую АВ в трех точках. Таким образом, с увеличением параметра Х
отдельные участки кривых могут располагаться вблизи прямой АВ,
но полного группирования не наблюдается.
Отсутствие полного группирования связано с синусоидальной формой напряжения

между сетками резонатора, которое создает модуляцию скорости электронов. Полное
группирование возможно лишь при специальной форме СВЧ-напряжения, показанного
на рис. 3 пунктирной линией. Однако с помощью одного резонатора невозможно
получить напряжение «пилообразной» формы, содержащей много гармонических
составляющих.
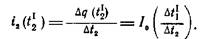
Найдем закон изменения конвекционного тока в произвольном сечении 2 от времени, т. е. зависимость i2
от t2
которая может быть определена из соотношения

В формуле (2.20) ∂q—
заряд, пролетающий через сечение 2 за время dt2
вблизи момента
времени t2
. Вследствие периодичности процессов достаточно произвести изменение t2
в
пределах одного периода (от ωt2
=θ0
−π t
до ωt2
=θ +π на рис. 3).
На рис.5 отмечено несколько значений t2
( t2
I
t2
II
t2
III
t2
IV
t2
V
, ) и одинаковый интервал Δt
2
около этих значений.
Заряд, прошедший через сечение за Δt2
при t2
I
, определяется числом электронов, которые пролетели через резонатор в интервале времени Δt
около t1
I
резонаторе электроны еще не сгруппированы, т. е. равномерно распределены во времени и создают постоянный ток I
0
Заряд, проходимый за 1 с, есть I
0
, а за интервал . Поэтому по формуле (2.20)

Аналогично для t2
II
следует учесть две группы электронов (а
и с): 
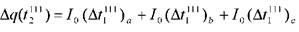
Наиболее интересен момент t2
III
, для которого заряд Δq(t2
III
)
будет определяться

одновременно тремя группами электронов, пролетевшими резонатор соответственно в
интервалах (t1
III
)a
,
(t1
III
) b
, (t1
III
)c
, но пришедшими в результате группирования в сечение 2 одновременно. Поэтому

а величина тока

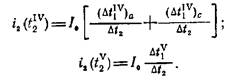
Для моментов времени t
2
IV
и t
2
V
формулы для токов аналогичны

Очевидно, что при Х
<1 для любого значения t
2
будет одна группа электронов, так как
связь t
1
с t
2
однозначная. Однако, при Х
>1 связь t
1
с t
2
может быть как однозначной, так и
неоднозначной, в зависимости от рассматриваемого момента времени t
2
.
Для случая
неоднозначной связи ток должен находиться по формуле, являющейся более общей
записью формулы (2.21): 
Величину Δ t
1
/Δ t
2
можно найти из (2.17), определив производную dt
1
/d t
2

В формуле (2.21 а) все слагаемые Δ t
1
/Δt t
2
положительные, так как все группы
электронов увеличивают ток. Появление знака минус означало бы изменение направления
движения электронов какой-то группы, а этого не происходит. Однако по формуле (2.22)
dt
1
/dt
2
может быть как положительной, так и отрицательной величиной. Появление знака
минус здесь означает лишь то, что в данной группе электронов одни электроны обгоняют
другие. Направление движения электронов не изменяется, и ток должен увеличиваться за
счет этой группы электронов. Поэтому в формулу (2.21 а) надо вместо Δ t
1
/ t
2
подставлять абсолютную величину выражения (2.22):

Тогда вместо (2.21а) можно написать 
Для нахождения зависимости i2
( t2)
необходимо для каждого момента времени t
2
определить t
1 по формуле (2.17), т. е. рассматривать в формуле (2.23) t
1
как функцию t
2
.
При X
≤1 dt
1
/ t
2
всегда положительна и вместо формулы (2.23) можно написать

На рис. 6
показана зависимость конвекционного тока от времени, определенная по
формуле (2.23) для четырех значений параметра группирования X.
Для X
≤1 расчет
производят по формуле (2.23а). При Х=0
i2
= I0
. Если Х
<<1, то X
cos ω t1
<< 1и по
формуле (2.23а) i
2
(t
)≈I
0
(l+X
cosωt
1
). Так как связь t
2
и t
1
при Х
<1 однозначная, то и
зависимость i
2
(t
2
) должна быть приближенно синусоидальной с частотой ω, равной
частоте напряжения на первом резонаторе.
С увеличением Х
все резче проявляется несинусоидальный характер кривой тока, но
периодичность остается прежней (Т=
2π/ω). При Х=
1 появляются бесконечно большие
импульсы тока, соответствующие группированию части потока электронов
около

невозмущенных электронов, прошедших первый резонатор в момент времени t
=0. Этому случаю на рис. 5 соответствует значение момента прихода в сечение 2
t2
= t2
III
, когда производная dt2
/ dt1
равна нулю, в формуле (2.23) (1—X
cosωt1
)=0, i
2
становится бесконечно большим. При Х
> 1 в пределах периода появляются два бесконечно больших импульса, так как на рис. 5 производная dt2
/ dt1
равна нулю в двух моментах времени (t2
IV
t2
II
).
Изображенные на рис. 6 зависимости представлены как изменение во времени
конвекционного тока в выбранном сечении пространства группирования (между первым и
вторым резонаторами) при различных параметрах группирования X.
Однако если выбрать определенный момент времени, то эти же графики позволяют судить о зависимости конвекционного тока от координаты z
. Параметр группирования пропорционален углу пролета или расстоянию от входного резонатора [см. формулу (2.16)]. Поэтому большему значению z
соответствует больший параметр группирования. Наглядно зависимость тока от времени и координаты в пространстве группирования изображена на рис. 7:
при выбранном расстоянии ток зависит от времени, а для заданного момента времени t—
от расстояния.
Конвекционный ток в клистроне резко несинусоидальный, поэтому кроме первой
гармоники (с частотой ω, равной частоте входного сигнала) он должен содержать много
других гармонических составляющих.
Функция (2.23), разложенная в ряд Фурье, имеет вид
где m
—номер гармонической составляющей, а J
m
(mХ
)—
функция Бесселя первого рода m
-
го порядка от аргумента mХ.
Амплитудное значение гармоник с номером m

Для анализа процессов в клистроне удобны графики зависимости Jm
от параметра
группирования Х
при различных номерах гармоник m
. Эти пересчитанные функции
Бесселя показаны на рис. 8.
Функция J
1
(X
) достигает максимального значения 0,58 при
X
=1,84. Этому параметру группирования соответствует максимальное значение

При одновременном приходе всех электронов в заданную точку (полное группирование,
соответствующее прямой АВ на рис. 4) I(1)
= 2I0
, так как форма волны тока имеет вид
δ -функции.

Формула (2.24) справедлива для любой точки пространства группирования, поэтому в
ней можно опустить индекс 2

При этом первую гармонику тока запишем в виде 
или с учетом (2.25)

Аналогично для гармоники с любым номером

Отбор энергии от модулированного по плотности электронного потока.
Наведенный ток.
Возбуждение колебаний в выходном резонаторе объясним,
пользуясь понятием наведенного тока. Пусть сгруппированный электронный
поток проходит в пространстве между сетками резонатора. Определим величину
наведенного тока, появляющегося в выходном резонаторе.
Вследствие группирования электронов конвекционный ток содержит гармонические
составляющие, определяемые рядом (2.27). Поэтому и в наведенном токе должны быть те
же гармоники.
При расчете конвекционного тока отсчет координаты z
производили от середины
входного резонатора (см. рис. 1). Пусть середина выходного резонатора имеет
координату z=s
, а зазор между сетками выходного резонатора равен d2
.
Тогда пределы
интегрирования в (1.16) должны определяться координатами сеток выходного резонатора
s
- d2
/ и s
+ d2
/2.
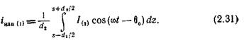
Для конвекционного тока в этот интеграл подставим выражение (2.27).
Сначала определим первую гармонику наведенного тока i нав
(1)
. Для этого вместо i
(z
,t
)
подставим выражение (2.29):

Необходимо учесть, что угол пролета θ0
связан с координатой соотношением (2.16).После интегрирования (2.31) получим

где 

Здесь θ 0
—
угол пролета невозмущенного электрона между серединами входного и
выходного резонаторов, a θ2
—угол пролета этого электрона между сетками выходного
резонатора.
Величину M2
по аналогии с (2.9) называют коэффициентом эффективности
взаимодействия электронного потока с полем выходного резонатора. Все ранее сделанные
замечания относительно зависимости коэффициента 1 M
входного резонатора от угла
пролета θ1
справедливы и здесь, т. е. зависимость M2
от θ2
такая же, как M1
от θ1
(см. рис. 2). При θ2
→0 M
→ 1. Так как всегда θ2
≠ 0 , то M2
< 1и амплитуда первой гармоники наведенного тока меньше амплитуды первой гармоники конвекционного тока:
Iнав
(1)
<I(1)
.
Аналогично можно получить выражения для любой гармоники наведенного тока с
номером m
: 
где I
нав (m
)—амплитуда гармоники. С учетом (2.25)

Мощность колебаний в выходном резонаторе.
Предположим, что собственная
частота выходного резонатора равна частоте ω сигнала, подведенного к первому
резонатору. В этом случае поле в резонаторе возбуждается только первой гармоникой
наведенного тока, вызванной первой гармоникой конвекционного тока.
По закону сохранения энергии энергия СВЧ-колебаний в резонаторе может появиться
только из-за уменьшения кинетической энергии электронного потока, проходящего через
зазор. Но электроны уменьшают свою кинетическую энергию (скорость), если движутся в
тормозящем электрическом поле. Таким образом, необходимо сделать вывод, что
появляющееся при возбуждении колебаний в резонаторе напряжение между сетками
должно оказывать тормозящее воздействие на проходящий электронный сгусток, т. е.
напряжение на зазоре должно находиться в противофазе с первой гармоникой
конвекционного тока.
Зазор между сетками, в котором проходит модулированный по плотности
электронный поток, эквивалентен источнику энергии СВЧ-колебаний, а колебательный
контур — нагрузке, где эта энергия расходуется. Зазор можно рассматривать как
генератор наведенного тока, величина которого определяется конвекционным током и
коэффициентом M2
[см. формулу (2.33)]. Представление зазора генератором тока
справедливо до тех пор, пока энергия, передаваемая от электронного потока резонатору, мала по сравнению с кинетической энергией потока, т. е. если напряжение на зазоре мало и существенно не влияет на движение электронов в зазоре. При больших амплитудах напряжения тормозящее поле заметно влияет на движение электронов, часть электронного потока может полностью затормозиться и начать движение в обратном направлении, отбирая при этом энергию от СВЧ-поля.
Цепью для наведенного тока в нашем случае можно считать внутреннюю поверхность тороида. Обычно резонатор заменяют эквивалентным контуром с емкостью С
и индуктивностью L.
Можно считать, что емкость определяется зазором между сетками
резонатора, а индуктивность—полостью тороида, так как практически электрическое
поле сосредоточено в зазоре, а магнитное— внутри тороида. Следовательно, наведенный
ток в эквивалентном контуре проходит через индуктивность. Так как емкостной ток (1.14)
должен «замыкаться» через индуктивность L,
то во внешней цепи зазора (индуктивности)
течет полный ток (1.17), состоящий из наведенного и емкостного токов.
Соотношение (1.17) позволяет составить эквивалентную схему возбуждения выходного резонатора (рис. 9).
Резонатор заменен колебательным контуром с емкостью С,
индуктивностью L
и сопротивлением r
, учитывающим потери в резонаторе и нагрузке. Сетки С'
и С"
на рисунке условны, они изображают зазор, через который пролетают сгруппированные электроны, и не имеют емкости (емкость реальных сеток определила емкость колебательного контура).
Таким образом, возбуждение выходного резонатора модулированным по плотности
электронным потоком можно рассматривать как прохождение первой гармоники
наведенного тока I нав
(1)
через параллельный контур. Напряжение на контуре, т. е. между
сетками второго резонатора, при точной настройке резонатора на частоту первой
гармоники

где R2
—
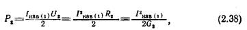
эквивалентное сопротивление контура при резонансе. При этом мощность
колебаний, возбуждаемых в выходном резонаторе электронным потоком (электронная
мощность):

где G2
—
активная проводимость контура. В общем случае, когда собственная частота
контура не совпадает с частотой первой гармоники, необходимо учитывать сдвиг фазы
ϕ рез
между U
2
и I нав
(1)
:

Фазовые соотношения в пролетном клистроне
. Фазовые соотношения поясним с
помощью пространственно-временной диаграммы (рис. 10
). Координата z=s
соответствует положению второго резонатора. Время движения невозмущенного
электрона О
, около которого происходит группирование, учитывается углом пролета θ0
.
Точка О'
соответствует моменту прибытия невозмущенного электрона во второй
резонатор. Форма волны конвекционного тока в сечении z=s
изображена кривой i
. Кривая
i
симметрична по отношению к точке О'
(центр сгустка электронов), поэтому точке О'
соответствует при разложении в ряд Фурье амплитудное значение I
(1)
первой гармоники
конвекционного тока i
(1)
. Сдвиг по фазе ϕ между I
(1)
и приложенным к зазору первого
резонатора напряжения U1
соответствует точкам О
и О"
:

Наведенный ток Iнав
(1)
во втором резонаторе связан с I
(1)
соотношением (2.33) и совпадает с ним по фазе. Первая гармоника наведенного тока Iнав
(1)
создает на зазоре второго резонатора напряжение U2
.
До сих пор нас интересовали абсолютные значения U2
и Iнав
(1)
, необходимые для расчета мощности по формуле (2.38), и мы пользовались
эквивалентной схемой, изображенной на рис. 9. Для учета фазовых соотношений будем
пользоваться видоизмененной эквивалентной схемой (рис. 11,а), на которой напряжение
U2
принято «базовым» (относительно него производят отсчет фазового сдвига токов).
Тогда первая гармоника наведенного тока Iнав
(1)
и первая гармоника тока Iрез
(1)
,
протекающего через резонатор, должны быть противоположны по фазе, но абсолютная
величина этих токов одинакова, т. е.

Можно считать, что Iнав
(1)
—ток, создаваемый источником энергии (зазор,
пронизываемый модулированным по плотности потоком электронов), а Iрез
(1)
—тот же по
величине ток, но в нагрузке, потребляющей энергию источника. С помощью
эквивалентной схемы изобразим векторную диаграмму, учитывающую фазовые
соотношения в пролетном клистроне (рис. 11а,6). I
(1)
отстает по фазе от U1
, на угол
θ −π 0 /2 в соответствии с (2.40). нав
(1) I
и (1) I
совпадают по фазе, а Iрез
(1)
и Iнав
(1)
сдвинуты на 180°. Положение вектора U2
зависит от настройки резонатора. Если собственная частота выходного резонатора совпадает с частотой сигнала, а следовательно, с частотой первой гармоники тока Iнав
(1)
, то U2
и Iрез
(1)
совпадают по фазе. В этом случае резонатор представляет для тока Iрез
(1)
активное сопротивление. При различии в частотах появляется сдвиг фазы ϕ рез.

Сдвиг фазы между выходным U2
и входным напряжением U1
равен сумме всех
частичных сдвигов:

3.Принцип работы многорезонаторного пролетного клистрона.
Особенности работы многорезонаторных клистронов рассмотрим на примере
трехрезонаторного клистрона (рис. 12).
Усиление слабого сигнала.
Процесс группирования в трехрезонаторном клистроне при слабом входном сигнале можно пояснить с помощью пространственно-временной диаграммы, изображенной на рис. 13,а.
Предполагается, что все резонаторы настроены на частоту сигнала (синхронная настройка
).
Электроны 1 и 2, пролетевшие зазор между сетками первого резонатора с малым
напряжением (U
1
<<U0
), слабо группируются около невозмущенного электрона О
(пунктирные прямые пересекаются на большом расстоянии). Из-за малого параметра
группирования амплитуда конвекционного тока i
(1)
в сечении z2
второго резонатора будет также небольшой.
Второй (промежуточный) резонатор не нагружен и имеет высокую добротность.
Поэтому даже при малой амплитуде конвекционного тока напряжение U2
создаваемое
наведенным током, может быть большим. Это напряжение вызовет сильную модуляцию
скоростей электронов, пролетающих через второй резонатор, и сильное дополнительное
группирование в пространстве между вторым и третьим резонаторами (сплошные линии
после второго резонатора на рис. 13,а
).
Напряжение u2
(
t
)
противоположно по фазе первой гармонике конвекционного тока i
(1)
Для второго резонатора невозмущенным электроном, около которого должно
происходить дополнительное группирование, является электрон О'
, приходящий во
второй резонатор позже электрона О
, являющегося невозмущенным электроном для
первого резонатора. Электронный сгусток до поступления во второй резонатор был
симметричен относительно «старого» невозмущенного электрона О
. В результате
группирования около «нового» невозмущенного электрона О'
электронный сгусток
должен стать несимметричным относительно электрона О
, а форма волны конвекционного тока—отличной от формы волны в двухрезонаторном клистроне. Однако для слабого сигнала основной эффект группирования создается вторым резонатором. Поэтому распределение электронов в сгустке практически будет определяться этим резонатором, асимметрия в сгустке будет незначительной, а зависимость
тока от времени практически такой же, как в некотором двухрезонаторном клистроне, состоящем из второго и третьего резонаторов, в котором модуляция скорости
производится напряжением U2
.
В связи с этим максимальная амплитуда первой гармоники конвекционного тока в сечении 3 z
третьего резонатора, максимальные значения выходной мощности и
электронного КПД останутся такими же, как в двухрезонаторном клистроне. Однако коэффициент усиления для слабого сигнала в трехрезонаторном клистроне сильно увеличится, так как требуемое группирование электронов для получения той же мощности обеспечивается теперь из-за наличия промежуточного резонатора при значительно меньшем входном сигнале.
Усиление большого сигнала.
Будем no-прежнему считать, что все резонаторы
настроены на частоту сигнала. Пространственно-временная диаграмма при большом
сигнале показана на рис. 13,б
.
В этом случае уже первый резонатор обеспечивает сильное группирование электронов. В результате модуляции скорости во втором резонаторе происходит дополнительное группирование электронов около «нового» невозмущенного электрона О'
, т. е. растет число электронов в сгустке. Это приводит к некоторому увеличению амплитуды первой гармоники конвекционного тока, выходной мощности и электронного КПД по сравнению с оптимальным режимом двухрезонаторного клистрона. В многорезонаторных клистронах с числом резонаторов более трех указанный эффект наблюдают даже при усилении слабого входного сигнала, так как при большом коэффициенте усиления напряжение сигнала на каком-то промежуточном резонаторе оказывается значительным и далее процессы будут подобны процессам в трехрезонаторном клистроне при большом входном сигнале (как на рис. 13,б
).
4.Параметры и характеристики многорезонаторного клистрона.
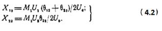
Коэффициент усиления в режиме слабого сигнала.
Предположим, что все резонаторы настроены на частоту сигнала. При слабом входном сигнале результат группирования в трехрезонаторном клистроне, как уже отмечалось в , практически такой же, как в двухрезонаторном клистроне. Теория двухрезонаторного клистрона, примененная к трехрезонаторному клистрону, приводит к уравнению группирования, по виду совпадающему с уравнением (2.19), если вместо параметра группирования Х
взять
некоторый эффективный параметр группирования,
определяемый соотношением 
где

Физический смысл величин (4.1) следующий: X
13
—параметр группирования,
получающийся при удалении второго резонатора, а X
23
—
при удалении первого
резонатора, но при подведении ко второму резонатору напряжения U
2
; θ12
—угол пролета
между первым и вторым резонаторами, а θ23
—между вторым и третьим.
При усилении слабого входного сигнала ( U
1
<<U
0
) параметр X
13
, характеризующий
работу клистрона в отсутствие второго резонатора, мал (X
13
<<1) и ограничен влиянием сил расталкивания в пучке . Так как U
2
>>U
1
, то X
23
>> X
13
и по формуле (2.53) Xэф
≈ X
23
.
Эффективный параметр становится большим, так как он практически
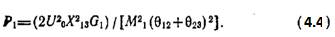
определяется результатом действия второго резонатора. Формула для мощности в третьем резонаторе:

где М
3
—
коэффициент взаимодействия в зазоре третьего резонатора,
a G
3
—э
квивалентная проводимость этого резонатора.
Формула для входной мощности сигнала при X
13
<<1 имеет вид

Коэффициент усиления по мощности трехрезонаторного клистрона с учетом формул
(4.3) и (4.4) равен

Величина Х эф
≈ X
23
зависит от U
2
,
а последняя—от входного сигнала U
1
,
пределяющего по формуле (4.2) значение X
13
. Таким образом, Х эф
является функцией X
13
.
Если при слабом входном сигнале Х эф
<<1, то функция Бесселя J
1
(X эф)
≈ Х эф/2
и
К у(р)
пропорционален ( Х эф
/ Х
13
)2
. В этом случае коэффициент усиления тем больше, чем сильнее Х эф
отличается от X
13
.
Максимальное значение коэффициента усиления трехрезонаторного клистрона при
слабом сигнале достигает ~35 дБ вместо ~15 дБ в двухрезонаторном клистроне.
Дальнейшее увеличение числа резонаторов приводит к росту коэффициента усиления
примерно на 20 дБ на каждый добавляемый резонатор. Для оценки коэффициента
усиления обычно используют приближенную формулу:
К у
(
Р
)
=l 5 +20(N
-2) дБ, (2.58)
где N —
полное число резонаторов. Возможно получение К у
(
Р
)
>100 дБ, однако
практически при больших коэффициентах усиления появляется опасность
самовозбуждения из-за наличия паразитной обратной связи.
Принципиально важно, что сильный рост коэффициента усиления при N
>2 объясняется не увеличением выходной мощности, а тем, что при большем числе резонаторов из-за более эффективного группирования для получения прежней выходной мощности требуется значительно меньший входной сигнал.
Выходная мощность и электронный КПД в режиме большого сигнала.
При
рассмотрении рис. 13,б отмечалось, что при большом входном сигнале в
трехрезонаторном клистроне с одинаковой настройкой резонаторов дополнительное
группирование в пространстве между вторым и третьим резонаторами приводит к
увеличению амплитуды первой гармоники конвекционного тока, выходной мощности и
электронного КПД. Однако при этом сгусток электронов перестает быть симметричным,
так как невозмущенный электрон О
на рис. 13,б, являющийся центром сгустка после
первого резонатора, «уступает» эту роль во втором резонаторе электрону О'
, идущему
позже на четверть периода.
Оказывается, что расстройкой промежуточного резонатора относительно частоты
сигнала можно получить дополнительный выигрыш. При расстройке второго резонатора
напряжение на нем смещается по фазе относительно первой гармоники конвекционного
тока, т. е. изменяется интервал времени между приходом «старого» и «нового»
невозмущенных электронов О
и О'.
На рис. 13,в рассмотрен случай, когда напряжение U2
(
t
)
опережает на 90°
напряжение, которое было на рис. 13,б при отсутствии расстройки второго резонатора.
В этом случае невозмущенный для первого резонатора электрон будет невозмущенным и
для второго резонатора (О
и О'
совпадают), сгусток все время остается симметричным и в
результате дополнительного группирования становится более коротким и содержащим
большее число электронов. В образовании сгустка участвуют теперь удаленные
электроны 4
и 5
. Очевидно, что требуемый сдвиг фазы 90° можно получить лишь при
расстройке второго резонатора в сторону более высоких частот до значения, при котором
ток в резонаторе сдвинут относительно напряжения также на 90°.
Теоретический анализ показывает, что в трехрезонаторном клистроне при большом
входном сигнале и расстройке второго резонатора, приводящей к сдвигу фазы на 90°,
предельные значения амплитуды первой гармоники конвекционного тока и электронного
КПД составляют 1,48 I0
и 73,8% соответственно. В двухрезонаторном клистроне они
равны 1,16 I 0
и 58,2%, т. е. меньше примерно на 30%.
В реальных условиях следует учитывать, что сдвиг фазы на 90° во втором резонаторе, соответствующий значительной расстройке, приводит к уменьшению эквивалентного сопротивления резонатора, а следовательно, и амплитуды напряжения, создаваемого в этом резонаторе наведенным током. Снижение напряжения ослабляет эффект дополнительного группирования (уменьшается параметр X
23
), поэтому максимальные значения выходной мощности и электронного КПД наступят при некотором оптимальном сдвиге фаз, меньшем 90°.
В многорезонаторных клистронах с числом резонаторов более трех максимальные
значения выходной мощности и электронного КПД увеличиваются, однако их прирост
при добавлении одного резонатора становится все меньше и меньше, чем при переходе от
двухрезонаторного клистрона к трехрезонаторному.
Амплитудные характеристики
многорезонаторного клистрона показаны на рис. 14.
Характеристика 1
соответствует режиму синхронной настройки резонаторов, а характеристика 2—
режиму получения максимальной мощности и КПД. Крутизна начального участка характеристики 1
велика, так как при совпадении собственных частот резонаторов и малом сигнале получается наибольший коэффициент усиления. Участок характеристики с большим значением мощности (область насыщения) невелик, далее с увеличением входного сигнала в этом режиме резко падает выходная мощность. Характеристика 2
соответствует расстройке промежуточных резонаторов. Начальный участок имеет меньшую крутизну (меньший коэффициент усиления), но область насыщения оказывается широкой.
Амплитудно-частотная и фазочастотная характеристики.
В режиме синхронной настройки ширина полосы пропускания определяется добротностью резонаторов и она меньше, чем при расстройке резонаторов, производимой для получения максимальной мощности и КПД. Полоса пропускания составляет десятые доли процента в сантиметровом диапазоне волн и несколько процентов — в дециметровом. Фазочастотная
характеристика клистрона определяется фазочастотными характеристиками резонаторов
и зависит от настройки резонаторов.
5.Список используемой литературы.
1. Федоров Н. Д. «Электронные приборы СВЧ и квантовые приборы». Учебник для вузов.— Изд. 2-е, перераб. и доп. — М.: Атомиздат, 1979,-с.288.
2. Лебедев И. В. Техника и приборы сверхвысоких частот. Т. II. Изд. 2-е. М., «Высшая школа», 1972.
3. http://www.ire.krgtu.ru
4. http://bse.sci-lib.com
5. http://www.microwaves101.com
|