| Управление образования Центрального района г. Челябинска
Муниципальное Общеобразовательное учреждение
Средняя общеобразовательная школа №153
Функционально-графический подход к решению задач с параметрами
.
Учебно-методическое пособие для учителей и учащихся
Автор -Дьячков Алексей Константинович, учитель математики МОУ СОШ №153 г. Челябинска, Заслуженный учитель РФ.
г. Челябинск, 2010 год
Настоящее методическое пособие составлено в связи с тем, что решение задач с параметрами вызывает затруднения учителей и учащихся. В пособии даются примеры решения задач с параметрами. При его подготовке была использована методическая литература и Интернет-ресусы.
За последние годы издано много учебных и методических пособий и сборников задач указанного типа. В 2010 году, например, опубликовано пособие В.Голубева и А. Гольдмана «О задачах с параметрами», теоретические основы которого можно использовать при обучении школьников. Если мы вспомним некоторые основные уравнения (например, k
x+l=0, a
x2
+bx+c=0), то обратим внимание, что при поиске их корней значения остальных переменных, входящих в уравнения, считаются фиксированными и заданными. Все разночтения в существующей литературе связаны с толкованием того, какими фиксированными и заданными могут быть эти значения остальных переменных.
Например, в уравнениях |x|=a
–1 и a
x=1 при a
=0 равенства не выполняются при любых значениях переменной x, а в уравнения при a
=0 их левые части не определены. Есть авторы, допускающие рассмотрение значения a
=0 во всех приведенных случаях, и есть авторы, исключающие его в двух последних, вводя понятие допустимых значений переменной a
.
Поскольку в школьных учебниках нет определения параметра, можно предложить взять за основу следующий его простейший вариант.
Определение
. Параметром называется независимая переменная, значение которой в задаче считается заданным фиксированным или произвольным действительным числом, или числом, принадлежащим заранее оговоренному множеству.
Независимость параметра заключается в его «неподчинении» свойствам, вытекающим из условия задачи. Например, из неотрицательности левой части уравнения |x|=a
–1 не следует неотрицательность значений выражения a
–1, и если a
–1<0, то мы обязаны констатировать, что уравнение не имеет решений.
Забиваем Сайты В ТОП КУВАЛДОЙ - Уникальные возможности от SeoHammer
Каждая ссылка анализируется по трем пакетам оценки: SEO, Трафик и SMM.
SeoHammer делает продвижение сайта прозрачным и простым занятием.
Ссылки, вечные ссылки, статьи, упоминания, пресс-релизы - используйте по максимуму потенциал SeoHammer для продвижения вашего сайта.
Что умеет делать SeoHammer
— Продвижение в один клик, интеллектуальный подбор запросов, покупка самых лучших ссылок с высокой степенью качества у лучших бирж ссылок.
— Регулярная проверка качества ссылок по более чем 100 показателям и ежедневный пересчет показателей качества проекта.
— Все известные форматы ссылок: арендные ссылки, вечные ссылки, публикации (упоминания, мнения, отзывы, статьи, пресс-релизы).
— SeoHammer покажет, где рост или падение, а также запросы, на которые нужно обратить внимание.
SeoHammer еще предоставляет технологию Буст, она ускоряет продвижение в десятки раз,
а первые результаты появляются уже в течение первых 7 дней.
Зарегистрироваться и Начать продвижение
Что означает «решить задачу с параметром»?
Естественно, это зависит от вопроса в задаче. Если, например, требуется решить уравнение, неравенство, их систему или совокупность, то это означает предъявить обоснованный ответ либо для любого значения параметра, либо для значения параметра, принадлежащего заранее оговоренному множеству.
Если же требуется найти значения параметра, при которых множество решений уравнения, неравенства и т. д. удовлетворяет объявленному условию, то, очевидно, решение задачи и состоит в поиске указанных значений параметра.
Более прозрачное понимание того, что означает решить задачу с параметром, у читателя сформируется после ознакомления с примерами решения задач на последующих страницах.
Основные типы задач с параметрами?
Тип 1. Уравнения, неравенства, их системы и совокупности, которые необходимо решить либо для любого значения параметра (параметров), либо для значений параметра, принадлежащих заранее оговоренному множеству.
Этот тип задач является базовым при овладении темой «Задачи с параметрами», поскольку вложенный труд предопределяет успех и при решении задач всех других основных типов.
Тип 2. Уравнения, неравенства, их системы и совокупности, для которых требуется определить количество решений в зависимости от значения параметра (параметров).
При решении задач данного типа нет необходимости ни решать заданные уравнения, неравенства, их системы и совокупности и т. д., ни приводить эти решения; такая лишняя в большинстве случаев работа является тактической ошибкой, приводящей к неоправданным затратам времени. Однако не стоит абсолютизировать сказанное, так как иногда прямое решение в соответствии с типом 1 является единственным разумным путем получения ответа при решении задачи типа 2.
Тип 3. Уравнения, неравенства, их системы и совокупности, для которых требуется найти все те значения параметра, при которых указанные уравнения, неравенства, их системы и совокупности имеют заданное число решений (в частности, не имеют или имеют бесконечное множество решений). Легко увидеть, что задачи типа 3 в каком-то смысле обратны задачам типа 2.
Тип 4. Уравнения, неравенства, их системы и совокупности, для которых при искомых значениях параметра множество решений удовлетворяет заданным условиям в области определения.
Например, найти значения параметра, при которых:
Сервис онлайн-записи на собственном Telegram-боте
Попробуйте сервис онлайн-записи VisitTime на основе вашего собственного Telegram-бота:
— Разгрузит мастера, специалиста или компанию;
— Позволит гибко управлять расписанием и загрузкой;
— Разошлет оповещения о новых услугах или акциях;
— Позволит принять оплату на карту/кошелек/счет;
— Позволит записываться на групповые и персональные посещения;
— Поможет получить от клиента отзывы о визите к вам;
— Включает в себя сервис чаевых.
Для новых пользователей первый месяц бесплатно.
Зарегистрироваться в сервисе
1) уравнение выполняется для любого значения переменной из заданного промежутка;
2) множество решений первого уравнения является подмножеством множества решений второго уравнения и т. д.
Многообразие задач с параметром охватывает весь курс школьной математики (и алгебры, и геометрии), но подавляющая часть из них на выпускных и вступительных экзаменах относится к одному из четырех перечисленных типов, которые по этой причине названы основными.
Наиболее массовый класс задач с параметром — задачи с одной неизвестной и одним параметром. Следующий пункт указывает основные способы решения задач именно этого класса.
Основные способы (методы) решения задач с параметром
Способ I (аналитический). Это способ так называемого прямого решения, повторяющего стандартные процедуры нахождения ответа в задачах без параметра. Иногда говорят, что это способ силового, в хорошем смысле «наглого» решения.
Аналитический способ решения задач с параметром есть самый трудный способ, требующий высокой грамотности и наибольших усилий по овладению им.
Способ II (графический). В зависимости от задачи (с переменной x и параметром a) рассматриваются графики или в координатной плоскости (x; y), или в координатной
плоскости (x; a).
В школьном математическом словаре дано общее определение понятия параметр:
«Параметр – величина, характеризующая основные свойства системы или явления».
Решить уравнение
с параметром -это значит, для каждого значения параметра
найти значения x
, удовлетворяющие условию этой задачи.
.
В математике ярким и всем известным с 8 класса уравнением с параметром
является уравнение квадратного трехчлена: . В зависимости от коэффициентов и дискриминанта , график данного уравнения может иметь различное положение на координатной плоскости.
Определение
: В уравнениях (неравенствах) коэффициенты при неизвестных или свободные члены заданные не конкретными числовыми значениями, а обозначенные буквами, называются параметрами
.
Как зависит от коэффициента а
график квадратичной функции?
Н
аправление ветвей параболы: если а
положительно, то ветви параболы направлены вверх, если а
– отрицательно, то ветви параболы направлены вниз.
Что зависит от дискриминанта?
К
оличество решений квадратного уравнения. Если , то решений нет, если , один корень, если то уравнение имеет два корня.
 Рассмотрим преобразование построение графика функций в зависимости от параметра на примере функции абсолютной величины числа. Простейшая функция задается уравнением y=IxI .Графиком этой функции является «прямой угол», с вершиной в начале координат, образованный биссектрисами первого и второго квадранта (четверти) на координатной плоскости. На чертежах показаны примеры преобразований (параллельных переносов) этого графика в зависимости от значений параметров a и b.
На чертеже предложены изображения пяти графиков функций, и даны пять формул. Можно сопоставить формулу и её графический образ.
1 Формула задает квадратичную функцию, её графиком является парабола, 1 рисунок.
2 Формула задает функцию абсолютной величины числа, её графиком является «прямой угол», 3 рисунок.
3 Формула задает обратную пропорциональность, её графиком является гипербола, 2 рисунок.
4 Формула задает прямую пропорциональность, её графиком является прямая, 5 рисунок.
Формула задает «полупараболу», направленную вдоль оси абсцисс, рисунок 4.
Запишем схему решения уравнений графическим способом.
1. строим графики и .
2. находим точки пересечения графиков.
3. выписываем ответ.
Рассмотрим образец решения задачи с параметром.
Задача.
Решите уравнение . (1 способ решения – аналитический)
Решение.
Заметим, что левая часть уравнения неотрицательна при всех значениях неизвестной, следовательно, при отрицательном значении параметра решений нет. Если параметр , то уравнение принимает вид , и имеет один корень . При положительном значении параметра а, данное уравнение имеет два корня .
Ответ: при , корней нет;
при , один корень ;
при , два корня .
2 –ой способ решения – графический.
Построим в одной системе координат графики обеих частей уравнения: параболу и семейство прямых , которые движутся вдоль оси ординат. По рисунку записываем ответ.
Графическим способом задача решается быстрее. На рисунке все решение видно.
Достаточно одного взгляда, чтобы определить количество корней уравнения в зависимости от параметра а
. Можно было без объяснения сделать чертеж, и написать одно слово «Смотри!», именно так поступали древнегреческие учителя, обучая своих учеников доказательству теоремы Пифагора.
Задача.
При каких значениях параметра а
уравнение имеет единственное решение?
Решение.
Записываем данное уравнение в виде . Построим графический образ обеих частей уравнения. Левая часть представляет собой «прямой угол», ветви направлены вниз, вершина (2;3). Правая часть представляет семейство прямых параллельных оси абсцисс. Из чертежа видно, что единственное решение возможно при .
Ответ:


Задача.
При каких значениях параметра а
уравнение не имеет решений?

Решение.
Построим графический образ обеих частей уравнения. Левая часть представляет собой «прямой угол», ветви направлены вверх, вершина (1;-1). Правая часть представляет семейство прямых параллельных оси абсцисс. Из чертежа видно, что решений нет при .
Ответ:

Вывод о решении задач с параметром графическим способом в общем виде.
Задачу с параметром будем рассматривать как функцию . Алгоритм решения:
1. строим графический образ.
2. пересекаем полученное изображение прямыми, параллельными оси абсцисс.
3. Считываем нужную информацию.
Примеры графической интерпретации решений заданий с параметром на основе исследования свойств графиков достаточно известных и простых уравнений таких геометрических фигур, как: прямая, окружность, парабола, синусоида, квадрат, ломаная линия, угол показывают, что решения становятся абсолютно наглядными, естественными и достаточно простыми. Если уравнение одной из фигур не зависит от изменяющегося параметра, то график этой фигуры неподвижен относительно системы координат. Если в уравнение другой фигуры входит параметр, то от его изменения зависит расположение и даже форма графика. Тогда суть решения уравнения состоит в определении числа точек пересечения графиков построенных уравнений, а значит в определении количества возможных решений в зависимости от конкретных числовых значений параметра. Для усложнения заданий эти уравнения искусственно преобразуют, «камуфлируют». Дополнительная сложность возникает при поиске чисто аналитического метода решения. При его геометрической интерпретации часто решения становятся абсолютно наглядными, естественными и достаточно простыми, таким образом, преимущество на экзамене получают те из школьников или абитуриентов, кто владеет незаурядным аналитическим и образно-геометрическим мышлением. Однако, далеко не все задания с параметром предполагают применение геометрической интерпретации, а только задания очень высокого учебно-методического и развивающего уровня. Поэтому следует научиться решать задачи и аналитическими способами, исследуя свойства функций, содержащихся в уравнении или неравенстве. Ниже приведены решения двух подобных заданий.
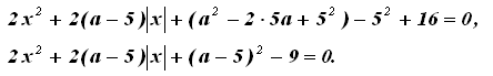
Задание №1. Найдите все значения параметра а
при которых уравнение:
имеет два решения.
Первая идея – выделить полный квадрат относительно параметра а
:

Следующая идея не столь очевидная, но абсолютно естественная – выделить полный квадрат относительно модуля х
. Тогда не будет необходимости в раскрытии модульных скобок.

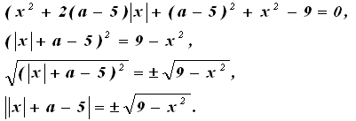
Первая часть решения завершена. Мы пришли к тому, что левая часть уравнения зависит от параметра, а правая не зависит. Далее предстоит исследование на число точек пересечения графиков уравнений:

Преобразуем второе уравнение:
.
Второе уравнение описывает окружность с центром в начале координат и радиусом равным 3
. Эта окружность не зависит от параметра и не меняет своего положения в процессе исследования. Более интересным в этом отношении является график первого уравнения, вернее целое семейство графиков. Параметр а
придаёт этому уравнению динамичность перемещения относительно координатных осей и изменчивость формы графика от прямого угла до ломаной линии с прямыми
углами. А именно, при а – 5 ≥ 0
график первого уравнения имеет вид:

Рис. 1
При а – 5 < 0
график преобразуется в ломаную линию следующего вида:

Рис. 2
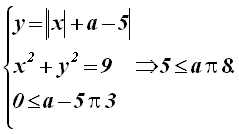
Исследуем графически решение системы:

Тогда система и исходное уравнение имеют два решения.

Рис. 3
Теперь исследуем эту же систему при a – 5 < 0
. В этом случае два решения возможны когда: -3 < a – 5 < 0
, то есть для значений параметра в пределах 2 < a < 5
.
Графически эти решения получаются следующим образом:

Рис. 4
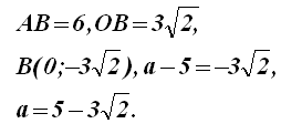
При a – 5 = -3
то есть при a = 2
уравнение имеет три корня. При a < 2
уравнение имеет четыре решения до тех пор, пока графики окружности и ломаной имеют четыре общие точки. Но наступит момент, когда соответствующие секущие станут касательными, и тогда уравнение снова будет иметь только два решения.

Рис. 5
В этом случае:
Объединяя все полученные решения, имеем:
Формулировка следующего задания очень похожа на только что решённое, но метод решения совершенно иной и аналогия здесь просто не работает.
Задание №2. Найти все значения параметра а
, при каждом из которых меньший корень уравнения меньше 5.
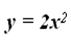
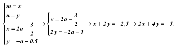
Выразим координаты вершин M(m;n)
парабол
(Каждому конкретному значению параметра а
соответствует определённая парабола).
Как видно, обе координаты вершин парабол линейно зависят от параметра а
. Это означает, что все возможные вершины рассматриваемых парабол принадлежат некоторой прямой. Фактически уже задано так называемое параметрическое уравнение этой прямой. Для получения уравнения в координатной плоскости xOy
остаётся ввести новые переменные, и исключить из уравнений координат параметр а
.
Получили уравнение прямой, на которой лежат вершины всех парабол, отвечающих уравнению:

График любой из этих парабол можно получить параллельным переносом параболы
на вектор с началом в начале координат и с концом на графике прямой
Так как 2 > 0
, то ветви всех парабол направлены вверх. Следовательно, при n ≥ 0
уравнение либо имеет один действительный корень, либо ни одного. Тогда значения параметра а
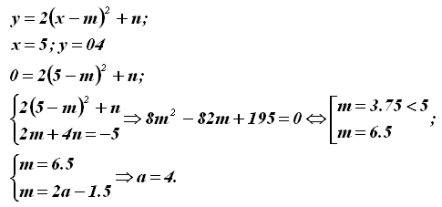
, удовлетворяющие условию задания, можно найти, вычислив координаты вершины такой параболы, левая ветвь которой проходит через точку А (5;0)
.

Рис. 6
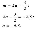
При m = -2,5
, тогда:
Найдём значение параметра а
, соответствующего параболе, левая ветвь которой проходит через точку (5;0)
.
Таким образом, при -0,5 < a < 4
вершины парабол находятся ниже оси абсцисс и меньший корень исходного уравнения меньше 5
.
Широкое распространение за последние годы в ходе государственной (итоговой) аттестации выпускников средней школы в формате ЕГЭ и на вступительных экзаменах в вузы, предъявляющие повышенные требования к математической подготовке абитуриентов, получили задачи на использование расположения корней квадратного трехчлена на оси.
Выделим два наиболее распространенных типа задач, связанных с применением графика квадратичной функции. Первый тип - задачи, в которых изучается расположение корней квадратного трехчлена относительно точки с абсциссой, равной m. Второй тип - задачи, в которых выясняется, как расположены корни квадратного трехчлена относительно отрезка.
Первый тип задач предусматривает три случая:
- оба корня меньше m
- один корень меньше m, а другой больше
- оба корня больше m
Для каждого из этих случаев выполним соответствующий рисунок и адекватно ему запишем систему неравенств при условии, что старший коэффициент квадратного трехчлена f (x) = ax2
+ bx + c положительный. В таблице приведена полная система случаев расположения корней уравнения в зависимости от значений выражений, зависящих от коэффициентов уравнения.
Таблица1. Расположение корней квадратного трехчлена
| 
|
один корень меньше m, а другой больше
Условие a > 0 обеспечивает положительный коэффициент перед x2
(направленность ветвей параболы вверх)
Условие f (m) < 0 обеспечивает:
- наличие корней квадратного трехчлена
- расположение точки m между корнями
|
| 
|
оба корня больше m
Условие a > 0 обеспечивает положительный коэффициент перед x2
Условие f (m) > 0 обеспечивает расположение точки m вне отрезка между корнями
Условие D 0 обеспечивает наличие корней уравнения
Условие x0
> m обеспечивает расположение точки m левее отрезка между корнями
|
| 
|
оба корня меньше m
Условие a > 0 обеспечивает положительный коэффициент перед x2
Условие f (m) > 0 обеспечивает расположение точки m вне отрезка между корнями
Условие D 0 обеспечивает наличие корней уравнения
Условие x0
< m обеспечивает расположение точки m правее отрезка между корнями
|
Рассмотрим расположение корней квадратного трёхчлена относительно отрезка. При этом возможны шесть случаев:
- корни квадратного трёхчлена находятся справа от отрезка
- корни квадратного трёхчлена находятся слева от отрезка
- больший корень находится внутри отрезка
- меньший корень находится внутри отрезка
- оба корня внутри отрезка
- отрезок между корнями квадратного трехчлена
Изобразим геометрическую модель каждой из этих ситуаций и составим к каждой из них адекватную систему неравенств при условии, что старший коэффициент квадратичной функции y = ax2
+ bx + c больше нуля.
| 
|
корни квадратного трёхчлена находятся справа от отрезка
Условие f (p) > 0 обеспечивает нахождение корней вне отрезка между корнями
Условие D > 0 обеспечивает наличие двух корней квадратного трёхчлена
Условие x0
> p обеспечивает расположение отрезка левее абсциссы вершины
|
| 
|
корни квадратного трёхчлена находятся слева от отрезка
Условие f(m) > 0 обеспечивает расположение корней вне отрезка между корнями
Условие D > 0 обеспечивает наличие корней уравнения
Условие x0
< m обеспечивает расположение точки m правее отрезка между корнями
|
| 
|
больший корень находится внутри отрезка
Условие f (m) < 0 обеспечивает расположение точки m внутри отрезка между корнями
Условие f (p) > 0 обеспечивает расположение корней вне отрезка меду корнями
|
| 
|
меньший корень находится внутри отрезка
Условие f (p) < 0 обеспечивает расположение точки p внутри отрезка между корнями
Условие f (m) > 0 обеспечивает расположение точки m вне отрезка между корнями
|
| 
|
оба корня внутри отрезка
Условие f (m) > 0 обеспечивает расположение точки m вне отрезка между корнями
Условие f (p) > 0 обеспечивает расположение точки p вне отрезка между корнями
Условие D > 0 обеспечивает наличие корней уравнения
Условие m < x0
< p обеспечивает расположение вершины параболы между концами отрезка
|
| 
|
отрезок между корнями квадратного трехчлена
Условие f (p) < 0 обеспечивает расположение точки p внутри отрезка между корнями
Условие f (m) < 0 обеспечивает расположение точки m вне отрезка между корнями
|
Приведем примеры использования этих условий при решении нескольких задач этого типа.
Задача №1При каких значениях параметра а корни уравнения ах2
+ (2a - 1)x + a - 1 = 0 меньше 1?
Для того чтобы быть уверенным в положительном коэффициенте перед х2
умножим всё уравнение на параметр.
а2
х2
+ (2a - 1)аx + a(a - 1) = 0
Должны выполняться следующие условия: 
Рассмотрим первое условие f (1) > 0:
a
2
+ (2a
- 1)а + a(a
- 1) > 0
4а2
- 2a
> 0
2a(2a
- 1)> 0
Решениями данного неравенства будут а
(- ; 0) (0.5; + )
Абсцисса вершины должна быть меньше 1:
это равносильно 
Получаем, что а
(- ; 0) (0.25; + )
Найдём дискриминант данного уравнения:
D = (2a - 1)2
а
2
- 4(a - 1)a3
D 0
4a4
- 4a3
+ a2
- 4a4
+ 4a3
0
a2
0, отсюда следует, что a
R
Из трех полученных промежутков формируем общее решение.
ОТВЕТ: при а (- ; 0) (0.5; + ) корни уравнения больше 1 1. При каких значениях параметра а корни уравнения х2
+ ах + 1 - а2
= 0 принадлежат промежутку (-1; 1)?
Для решения составим систему:
Если f (-1) > 0, то 1 - a
+ 1 - a
2
> 0
a2
+ a
- 2 < 0
a
(-2; 1)
Если f (1) < 0, то 1 + a + 1 - a2
< 0
a2
- a
- 2 < 0
a
(-1; 2)
Дискриминант неотрицателен при условии, что 
5a
2
4
a2
0.4
a
 - ; -   ; +
Последнее условие: вершина по модулю меньше 1


a
(-2; 2)
Получаем систему: 
ОТВЕТ: при a
-1; -  ; 2 корни уравнения лежат на промежутке (-1; 1) При каких значениях параметра а корни уравнения ах2
+ (2a - 1)x + a - 1 = 0 меньше 1?
Для того чтобы быть уверенным в положительном коэффициенте перед х2
умножим всё уравнение на параметр.
а
2
х2
+ (2a
- 1)а
x + a(a
- 1) = 0
Должны выполняться следующие условия

Рассмотрим первое условие f(1)>0:
а
2
+(2a-
1)а+ a(a
- 1) > 0
4а2
- 2a > 0
2a(2a - 1)> 0
Решениями данного неравенства будут а
(- ; 0) (0.5; + )
Абсцисса вершины параболы должна быть меньше 1:
это равносильно 
Получаем, что а
(- ; 0) (0.25; + )
Найдём дискриминант данного уравнения:
D = (2a - 1)2
а
2
- 4(a - 1)a3
D 0
4a4
- 4a3
+ a2
- 4a4
+ 4a3
0
a2
0, отсюда следует, что a
R.
Из трех полученных промежутков формируем общее решение.
ОТВЕТ: при a
(- ; 0) (0,5; + ) корни уравнения больше 1.
2. При каких значениях параметра а, все решения уравнения (a - 1)х2
- (a + 1)x + a = 0 удовлетворяют условию 0 < x < 3.
a
= 1 - контрольное значение параметра а
· если а
= 1, то -2x + 1 = 0; x = 0,5.
· Этот корень удовлетворяет условию 0 < x < 3, а значит является подходящим решением.
· если а 1, то можем домножить на (а - 1).
· Уравнение принимает вид (a - 1)2
х2
- (a - 1)2
х + а(a - 1
) = 0
Введём функцию f (x) = (a - 1)2
х2
- (a - 1)2
х + а(a - 1)
и задание можно перефразировать так: при каких значениях параметра а нули функции принадлежат промежутку (0;3)?
Для данного условия составим систему и схематичный вид параболы:
 
f(0) > 0 f(0) = a(a - 1)
a(a
- 1) > 0 а
(- ; 0) (1; + )f(3) > 0 f(3) = 9(a - 1)2
- 3(a2
- 1) + a(a - 1) = 7(a - 1)(a -
)
(a - 1)(a - ) >
0 а
(- ; 1)  ; + D 0 D = (а2
- 1)2
- 4(a - 1)3
(а2
- 1)2
- 4(a - 1)3
0 После всех преобразований получим: (a - 1)2
(3a2
- 6a - 1)
0Разложим правую часть неравенства на множители: -3a2
+ 6a
+ 1 = 0 D = 36 + 12 = 48 a
1,2
= 3(а - 1) a -   а
-  0 Получается, что a
 ;  0 < x0
< 3 x0
= Из исходного неравенства получаем систему: 
Объединив полученные решения составим систему:

В ответе записывается решение системы.
ОТВЕТ: при a
{1}  ;  все решения уравнения удовлетворяют условию 0 < x < 3.
3. При каких значениях параметра p оба корня квадратного трехчлена x2
+ 2(p + 1) + 9p - 5 отрицательны?
I. способ:
II. Пусть x1
и x2
- корни данного квадратного трехчлена. Тогда по теореме Виета:
III. x1
.
x2
= 9p - 5
IV. x1
+ x2
= -2(p + 1)
V. Найдем дискриминант:
VI. D = 4(p2
- 7p + 6)
VII. Так как по условию задания корни существуют и различны, то D > 0. Так как оба корня отрицательны, то составим систему:
VIII. 
при p  ; 1 (6; + )оба корня квадратного трехчлена отрицательны. IX. способ:
X. Рассмотрим функцию f(x) = x2
+ 2(p + 1)x + 9p - 5. Графиком функции является парабола с ветвями, направленными вверх и отрицательными нулями функции.
Составим систему:

ОТВЕТ: при p  ; 1 (6; + )оба корня квадратного трехчлена отрицательны.
4. При каком значении параметра а один корень уравнения 2ax2
-2x -3a - 2 = 0 больше 1, а другой - меньше 1?
Так как по условию уравнение должно иметь два различных корня, то уравнение должно быть квадратным, то есть a = 0 - контрольное значение
· если a
= 0, то x = -1 не удовлетворяет заданию
· если a
0, то поделим обе части на 2а:
· 
· 
· D > 0
· 6a2
+ 4a
+1 > 0
· Решив это неравенство, получаем, что а - любое, кроме нуля.


Решением этой системы будет a
(- ; -4) (0; + )
ОТВЕТ: при a
(- ; -4) (0; + )один корень уравнения больше 1, а другой - меньше 1.
5. Найдите все значения параметра а, при которых оба корня уравнения ax2
-2(a - 1)x + 2 - 3a = 0 больше 1?
a
= 0 - контрольное значение
· если а = 0, то уравнение имеет один корень,
· если а 0, то поделим обе части уравнения на а (чтобы перед старшим коэффициентом была 1):
· 
· 
· 
· 
· при любом а, кроме нуля.
· 
· 
·
· ОТВЕТ: не существует таких значений параметра а
, при которых оба корня уравнения больше 1.
6. При каких значениях параметра а уравнение (a -1)x2
-2ax + 2 - 3a = 0 имеет единственное решение, удовлетворяющее неравенству x > 1?
Старший коэффициент обращается в ноль при а = 1
а = 1 - контрольное значение параметра
· если a = 1, то -2x + 2 - 3 = 0 x = -0.5
· Уравнение имеет единственное решение, но оно не удовлетворяет условию задания.
· если a 1, то поделим на (а - 1):
· 
·
· Рассмотрим функцию:
· 
· Должны выполняться условия:
· 
· 
 при любом а, кроме а = 1.

Должна выполняться система: 
a (0.25; 1)
ОТВЕТ: при a
(0.25; 1) уравнение имеет единственное решение, удовлетворяющее неравенству x > 1.
Свойства квадратичной функции используются при решении заданий из различных разделов математики. Найти все целые значения параметра а, при которых функция принимает значения меньшие трех.
Неравенство принимает вид , функция
- убывает, значит х2
+ 2x + 2a2
- 3a > -1, то есть х2
+ 2x + 2a2
- 3a + 1 > 0
f(x) = х2
+ 2x + 2a2
- 3a + 1(функция имеет вид квадратичной, и её графиком является парабола, ветви вверх).
Рассмотрим эту параболу:
выражение больше 0, следовательно, парабола не имеет пересечений с осью ОХ.
Так как всегда больше 0, то D < 0 или 

-a2
+ 3a < 0
a (3 - a) < 0

При a
(- ; 0) (3; + ) функция принимает значение, меньшее трех.
ОТВЕТ: целые а
: -3; -2; -1; 4; 5; ... B данном примере нам не пришлось рассматривать возможные значения параметра, и решение свелось к решению квадратного уравнения, но это не всегда так.
-
При каком значении параметра а уравнение 9x
a + 9x
+ 4*3x
+ a - 2 = 0 имеет решения?
Преобразовав данное уравнение, получаем:
9x
(a
+ 1) + 4y + a
- 2 = 0
Обозначим 3x
за y, причём он должен быть положительным, так как основание степени положительно.
(a + 1)y2
+ 4y + a - 2 = 0
Так как уравнение становится линейным, то a
= -1 - контрольное значение параметра
· если a
= -1, то 4y-3=0
· если а
-1, тогда уравнение имеет вид квадратного, можно найти D
· (необходимое условие того, чтобы уравнение имело корни )
· -a2
+ a
+ 6 0
· a2
- a
- 6 0
· D 2
= 25
· a1
= 3 a2
= -2
· 
Достаточно ли промежутка а
[-2; 3] для того, чтобы исходное уравнение имело корни?
На самом деле, достаточным условием существования корней исходного уравнения будет следующее: нужно потребовать, чтобы корень квадратного уравнения был числом положительным.
Найдём корни квадратного уравнения, помня, что они должны быть положительны.

Сначала рассмотрим 
Приравняем выражение к 0, и решим методом интервалов:



Получаем, что a
(- ; -1) (-1; 2)
Теперь рассмотрим 


Из системы следует, что х .
Объединим все условия параметра для существования уравнения:

ОТВЕТ: уравнение имеет решения при а
[-2; 2) -
Найти все значения параметра а, при которых уравнение 9x
- 3x
a + 3 - a = 0 имеет хотя бы один действительный корень.
Для решения этого уравнения воспользуемся методом замены, обозначив 3x
за y, помня, что оно обязательно должно быть положительным, так как основание степени, то есть 3, положительно.
y2
- a
y + (3 - a) = 0
Чтобы данное уравнение имело корни, дискриминант должен быть неотрицательным.
D = a2
- 4 (3 - a) = a2
+ 4a
- 12
a2
+ 4a
-12 0
a1
= -6 a2
= 2

a (- ; -6] [2; + )
Теперь посмотрим, когда корни не будут отрицательными:


ОТВЕТ: при а
[2; + )уравнение имеет хотя бы одно решение -
Найдите все положительные, не равные 1, значения параметра а, при которых область определения функции
не содержит двузначных натуральных чисел.
(часть С4
, ЕГЭ 2003г).
ОДЗ переменной: x > 0, x 1
Преобразуем выражение, стоящее в скобке:

Рассмотрим случаи:


Это множество значений х не будет содержать двузначных натуральных чисел, если а
[4; 10)
Это множество значений х не содержит двузначных натуральных чисел при a
(1; 4]
Объединим полученные промежутки для а
в первом и во втором случаях: а
(0; 1) (1; 4] [4; 10), то есть а
(0; 1) (1; 10).
ОТВЕТ: при а
(0; 1) (1; 10) область определения функции не содержит натуральных двузначных чисел.
Для каждого значения параметра а
найти количество решений уравнения .
Решение.
Построим графики функций и .
Из рисунка 1.1.1 видно, что при - решений нет, при - 2 решения, при - 4 решения, при - 3 решения, при - 2 решения.

Рис. 7
Ответ:
при - решений нет, при - 2 решения, при - 4 решения, при - 3 решения, при - 2 решения.
2.
Для каждого значения параметра определить количество корней уравнения .
Решение.
Построим график функції . Найдем ОДЗ функции , т.е. .
Из рисунка 1.1.2 видим, что при - решений нет, при - 3 решения, при - 4 решения, при - 2 решения, при - нет решений.

Рис.8
Ответ:
при - решений нет, при - 3 решения, при - 4 решения , при - 2 решения, при - решений нет.
3. Найти число корней уравнения .
Решение.
Построим график функции .

Рис. 9
Из рисунка 1.1.3 видно, що при - решений нет, при - решения или , при - 4 решения, при - 3 решения, при - 2 решения.
Ответь:
при - решений нет, при - решения или , при - 4 решения, при - 3 решения, при - 2 решения.
4.
Решить уравнение .
Решение: Построим схему графика функции
. Найдем ОДЗ: , отсюда .

Рис. 10
Решая уравнение , находим .
Если , то ; если , то или .
Если или , то , отсюда если , то , если , то решений нет.
2.
При каких значениях параметра неравенство имеет решения?
Решение.
Графиком функции является полуокружность с центром (0; 0) и радиусом 1 (рис.1.1.12). Функция для каждого фиксированного значения параметра задает прямую, т.е. уравнение на координатной плоскости (х; у) задает систему параллельных прямых.

Рис. 11
Нам необходимо определить те значения параметра, при которых найдутся точки полуокружности, расположенные више соответствующих точек прямой. Такие точки обнаруживаются после того, как прямая займет положение слева от касательной. Моменту касания отвечает . Таким образом, при данное неравенство имеет решения.
Ответ:
.
1.
При каких уравнение имеет три решения?
Решение
Построим графики функций и . Прямые переходят друг в друга при повороте с центром в точке О (0; 0).

Рис. 12
Уравнение будет иметь три решения, когда прямая пересекает параболу в двух точках и касается вершины, т.е. когда .



Выбираем , так как при прямая касается ветки гиперболы ниже оси абсцисс.
Ответ:

2.
Решить уравнение и вичислить значення , при которых оно имеет единственное решение
Решение.
Построим графики функций и . Прямые переходят друг в друга путем преобразования поворота с центром в точке О (0; 0).

Рис. 13
Если , то , отсюда 
Если , то , отсюда 
Найдем параметр : , отсюда , значит .
, отсюда , значит или .
Ответ:
при ; при или ; при или .
3.
При каких значеннях уравнение имеет одно, два, три четыре решения?
Решение. Построим графики функций и . Прямые переходят друг в друга путем преобразования поворота с центром в точке О (9; 0).
Рис.1.2.3

Рис.14
По рисунку видно, что при уравнение имеет 1 решение, при - 2 решения,, при - 3 решения, при - 4 решения,, при - 2 решения, при - 1 решение.
Ответ: П
ри уравнение имеетє 1 решение, при - 2 решения, при - 3 решения, при - 4 решения, при - 2 решения, при - 1 решение.
4.
При каких значениях параметра а
уравнение имеет единственный корень?
Решение.
Рассмотрим функции у = ах
и . График второй функции построим, рассмотрев уравнение при . Преобразовав его к виду , получим, что искомый график – полуокружность с центром (4;1) и радиусом 1.
На рис.1.2.12 это дуга АВ.
Все прямые у = ах,
которые проходят между лучами ОА
и 0В
пересекают дугу в одной точке. Также одну точку с дугой имеют прямая ОВ
и касательная ОМ.

Рис. 15
Угловые коэффициенты прямих 0В
та ОА
соответственно равны и .
Угловой коэффициент ОМ
равен . Учитывая требование системы

иметь единственное решение, находим .
Таким образом, прямые семейства у = ах
имеют с дугой АВ
только одну общую точку при или . Ответ:
, либо .
5.
Вияснить, при каких система уравнений:
имеет точно два решения
Решение:
Перепишем систему уравнений в виде:

Первое уравнение задает гомотетичные окружности (с центром гомотетии (0,0) и радиусом ). Второе - объединение двух прямих: , . Построим пряме и окружности на графике.

Рис. 16
Система будет иметь точно 2 решения, если окружность касается двух прямых. Найдем параметр . В гипотенуза , . В , тогда , . Окончательно находим: . Ответ:
.
6. Найти все значения параметра а, при кождом из которых уравнение имеет ровно восемь решений .
Решение.
Имеем: где .
Рассмотрим функции и .
Первак из них задает семейство гомотетичных полу окружностей с центром в О (
0; 0), вторая - семейство прямых, параллельних оси абсцисс.
По рис.1.3.11 видно, что с увеличением радиуса полуокружности возрастает число корней первоначального уравнения. Их будет ровно восемь, если .

Рис. 17
Заметим, что а
не является радиусом полуокружности, т. к. .
Ответ:
або .
1. Далингер В. А. “Геометрия помогает алгебре”. Издательство “Школа - Пресс”. Москва 1996 г.
2. Далингер В. А. “Все для обеспечения успеха на выпускных и вступительных экзаменах по математике”. Издательство Омского педуниверситета. Омск 1995 г.
3. Окунев А. А. “Графическое решение уравнений с параметрами”. Издательство “Школа - Пресс”. Москва 1986 г.
4. Письменский Д. Т. “Математика для старшеклассников”. Издательство “Айрис”. Москва 1996 г.
5. Ястрибинецкий Г. А. “Уравнений и неравенства, содержащие параметры”. Издательство “Просвещение”. Москва 1972 г.
6. Г. Корн и Т.Корн “Справочник по математике”. Издательство “Наука” физико–математическая литература. Москва 1977 г.
7. Амелькин В. В. и Рабцевич В. Л. “Задачи с параметрами” . Изд. “Асар”. Москва 1996 г.
8. Вишенський В.О., Перестюк М.О., Самойленко А.М. Задачі з математики. - К.: Вища школа, 1985. - 264 с.
9. Горнштейн П.И., Полонский В.Б., Якир М.С. Задачи с параметрами. - К.: Євро індекс Лтд, 1995. - 336 с.
10. Горделадзе Ш.Х., Кухарчук М.М., Яремчук Ф.П. Збірник конкурсних задач з математики: Навч. Посібник. - 3-є вид., - К.: Вища школа, 1988. - 328 с.
11. Дорофеев Г.В., Потапов М.К., Розов Н.Х. Пособие по математике для поступающих в вузы. - М.: Наука, 1976. - 638 с.
12. Дорофеев Г.В., Затакавай В.В. Решение задач, содержащих параметры. - М.: Перспектива, 1990. - Ч.2. - 38 с.
13. Цыпкин А.Г., Пинский А.И. Справочник по методам решения задач по математике для средней школы. - 2-е изд. перераб. и доп. - М.: Наука, 1989. - 576 с.
14. Ястребинецкий Г.А. Задачи с параметрами. - М.: Просвещение, 1986. – 128
15. Райхмист Р. Б. Графики функций: задачи и упражнения. –М: Школа-Пресс, 1997 16. Важенин Ю. М. Самоучитель решения задач с параметрами. – Екатеринбург УрГУ,1996 Список дополнительной литературы
Дорофеев, Г.В. Квадратный трехчлен в задачах. [Текст] – Львов: Квантор, 1991.
Здоровенко, М.Ю. Учимся решать задачи с параметрами: рациональные уравнения и неравенства. [Текст] / М.Ю. Здоровенко, В.М. Караулов – Киров, 1999.
Ивлев Б.М. Задачи повышенной трудности по алгебре и началам анализа для 10-11 классов. [Текст] / Б.М. Ивлев, А.М. Абрамов и др. – М.: Просвещение, 1990.
Горбачев, В.И. Общие методы решения уравнений и неравенств с параметрами [Текст]/ В.И. Горбачев// Математика в школе – 1999. - №6. – С. 60-68.
Горбачев, В.И. Общие методы решения уравнений и неравенств с параметрами не выше второй степени [Текст]/ В.И. Горбачев// Математика в школе – 2000. - №2. – С. 61-68.
Дегтяренко, В.А. Три решения одной задачи с параметром [Текст]/ В.А. Дегтяренко // Математика в школе – 2001. - №5. – С. 62-64.
Джиоев, Н.Д. Нахождение графическим способом числа решений уравнений с параметром [Текст]/ Н.Д. Джиоев // Математика в школе – 1996. - №2. – С. 54-57.
Евсеева, А.И. Уравнения с параметрами [Текст]/ А.И. Евсеева // Математика в школе – 2003. - №7. – С. 10-17.
Епифанова, Т.Н. Графические методы решения задач с параметрами [Текст]/ Т.Н. Епифанова// Математика в школе – 2003. - №7. – С. 17-20.
Зубов, А.Б. Использование симметрии при анализе систем с параметрами [Текст]/ А.Б.Зубов// Математика в школе – 2002. - №5. – С. 56-63.
Кожухов, С.К. Об одном классе параметрических задач [Текст]/ С.К. Кожухов // Математика в школе – 1996. - №3. – С. 45-49.
Кожухов, С.К. Различные способы решения задач с параметром [Текст]/ С.К. Кожухов // Математика в школе – 1998. - №6. – С. 9-12.
Кожухова, С.А. Свойства функций в задачах с параметром [Текст]/ С.А. Кожухова, С.К. Кожухов // Математика в школе – 2003. - №7. – С. 17-24.
Кормихин, А.А. Об уравнениях с параметром [Текст]/ А.А. Кормихин // Математика в школе – 1994. - №1. – С. 33-35.
Кочерова, К.С. Об уравнениях с параметром и модулем (графический способ решения) [Текст]/ К.С. Кочерова// Математика в школе – 1995. - №2. – С. 2-4.
Мещерякова, Г.П. Задачи с параметрами, сводящиеся к квадратным уравнениям [Текст]/ Г.П. Мещерякова // Математика в школе – 2001. - №5. – С. 60-62.
Мещерякова, Г.П. Функционально-графический метод решения задач с параметром [Текст]/ Г.П. Мещерякова // Математика в школе – 1999. - №6. – С. 69-71.
Мещерякова, Г.П. Уравнения и неравенства с параметром и задачи на экстремум [Текст]/ Г.П. Мещерякова, И.И. Чучаев // Математика в школе – 1999. - №6. – С. 72-74.
Неискашова, Е.В. Квадратный трехчлен в задачах вступительных экзаменов [Текст]/ Е.В. Неискашова// Математика в школе – 2001. - №8.
– С. 24-26.
Постникова, С.Я. Уравнения с параметрами на факультативных занятиях [Текст]/ С.Я. Постникова// Математика в школе – 2002. -№ 8.
– С. 45-46.
Потапов, М.К., Шевкин А.В. О решении уравнений вида [Текст]/ М.К. Потапов// Математика в школе – 2003. -№8.
– С. 12-14.
Ратников, Н.П. От уравнения с параметром – к графику, задающему параметр [Текст]/ Н.П. Ратников // Математика в школе – 1990. - №3. – С. 80.
Алгебра [Текст]: учебник для 7 класса средней школы / Ш.А. Алимов [и др.]; отв. ред. А.Н. Тихонов. – М.: Просвещение, 1991.
Алгебра [Текст]: учебник для 9 класса средней школы / Ш.А. Алимов [и др.]; отв. ред. А.Н. Тихонов. – М.: Просвещение, 1992.
Алгебра и начала анализа [Текст]: учебник для 10-11 класса средней школы / Ш.А. Алимов [и др.]; отв. ред. А.Н. Тихонов. – М.: Просвещение, 1993.
Алгебра [Текст]: учебник для 7 класса средней школы / Ю.Н. Макарычев [и др.]; отв. ред. С.А. Теляковского. – М.: Просвещение, 1989.
Алгебра [Текст]: учебник для 9 класса средней школы / Ю.Н. Макарычев [и др.]; отв. ред. С.А. Теляковского. – М.: Просвещение, 1990.
Алгебра 7 класс [Текст]: В двух частях. Ч.1: учебник для общеобразовательных учреждений / А.Г. Мордкович [и др.]; отв. ред. А.Г. Мордкович. – М.: Просвещение, 2000.
Алгебра 7 класс [Текст]: В двух частях. Ч.2: задачник для общеобразовательных учреждений / А.Г. Мордкович [и др.]; отв. ред. А.Г. Мордкович. – М.: Просвещение, 2000.
Алгебра 8 класс [Текст]: В двух частях. Ч.1: учебник для общеобразовательных учреждений / А.Г. Мордкович [и др.]; отв. ред. А.Г. Мордкович. – М.: Просвещение, 2000.
Алгебра 8 класс [Текст]: В двух частях. Ч.2: задачник для общеобразовательных учреждений / А.Г. Мордкович [и др.]; отв. ред. А.Г. Мордкович. – М.: Просвещение, 2000.
Алгебра 9 класс [Текст]: В двух частях. Ч.1: учебник для общеобразовательных учреждений / А.Г. Мордкович [и др.]; отв. ред. А.Г. Мордкович. – М.: Просвещение, 2002.
Алгебра 9 класс [Текст]: В двух частях. Ч.2: задачник для общеобразовательных учреждений / А.Г. Мордкович [и др.]; отв. ред. А.Г. Мордкович. – М.: Просвещение, 2002.
Алгебра и начала анализа 10-11 класс [Текст]: В двух частях. Ч.1: учебник для общеобразовательных учреждений / А.Г. Мордкович [и др.]; отв. ред. А.Г. Мордкович. – М.: Просвещение, 2003.
Алгебра и начала анализа 10-11 класс [Текст]: В двух частях. Ч.2: задачник для общеобразовательных учреждений / А.Г. Мордкович [и др.]; отв. ред. А.Г. Мордкович. – М.: Просвещение, 2003.
|