| УО «ОРШАНСКИЙ ГОСУДАРСТВЕННЫЙ ПРОФЕССИОНАЛЬНО-ТЕХНИЧЕСКИЙ КОЛЛЕДЖ»
ЭЛЕКТРОТЕХНИКА С ОСНОВАМИ ЭЛЕКТРОНИКИ
Методические рекомендации
по изучению дисциплины и выполнению контрольных заданий для учащихся-заочников учреждений, обеспечивающих получение среднего специального образования по специальности 2-49 01 02 «Технология хранения и переработки животного сырья (по направлению: мясо и мясные продукты)»
Орша 2010
СОДЕРЖАНИЕ
Пояснительная записка……………………………………………………………………………………...3
1. Электрические цепи постоянного тока (задания)……………………………………….........................4
Задание 1...………………………………………………………………........................................................5
Задание 2….………………………………………………………………......................................................5
2. Метод эквивалентных преобразований………………………………………………………………...6
2.1 Общие сведения………………………………………………………………………………………………7
2.2Решение типовых задач……………………………………………………………………………………….7
2.3 Контрольные вопросы и задачи.…………………………………………………………………………….12
3. Синусоидальные токи, напряжения. Параметры идеальных элементов электрических цепей синусоидального тока……………………………………………………………………………………………12
3.1 Общие сведения…………………………………………………………………………………………..12
3.2 Решение типовых задач…………………………………………………………………………………..17
Контрольные вопросы и задачи……………………………………………………………………………...19
Задание 3………………………………………………………………………………………………………20
Задание 4………………………………………………………………………………………………………20
Задание 5………………………………………………………………………………………………………20
Задание 6………………………………………………………………………………………………………21
Задание 7 ……………………………………………………………………………………………………...22
Варианты заданий для контрольной работы………………………………………………………………...26
ПОЯСНИТЕЛЬНАЯ ЗАПИСКА
Рекомендации подготовлены для выполнения домашней контрольной работы учащимися 1 (первого) курса 2-го семестра уровня среднего специального образования по специальности 2-49 01 02 «Технология хранения и переработки животного сырья», направление специальности 2-49 01 02-01 «Технология хранения и переработки животного сырья (мясо и мясные продукты)», квалификации «Техник-технолог» по дисциплине «Электротехника с основами электроники».
В методических рекомендациях учащимся предлагается краткий теоретический материал по курсу «Электротехника с основами электроники», приводятся решения типовых задач, предлагаются вопросы и задачи для выполнения контрольной работы.
Забиваем Сайты В ТОП КУВАЛДОЙ - Уникальные возможности от SeoHammer
Каждая ссылка анализируется по трем пакетам оценки: SEO, Трафик и SMM.
SeoHammer делает продвижение сайта прозрачным и простым занятием.
Ссылки, вечные ссылки, статьи, упоминания, пресс-релизы - используйте по максимуму потенциал SeoHammer для продвижения вашего сайта.
Что умеет делать SeoHammer
— Продвижение в один клик, интеллектуальный подбор запросов, покупка самых лучших ссылок с высокой степенью качества у лучших бирж ссылок.
— Регулярная проверка качества ссылок по более чем 100 показателям и ежедневный пересчет показателей качества проекта.
— Все известные форматы ссылок: арендные ссылки, вечные ссылки, публикации (упоминания, мнения, отзывы, статьи, пресс-релизы).
— SeoHammer покажет, где рост или падение, а также запросы, на которые нужно обратить внимание.
SeoHammer еще предоставляет технологию Буст, она ускоряет продвижение в десятки раз,
а первые результаты появляются уже в течение первых 7 дней.
Зарегистрироваться и Начать продвижение
Учащийся выполняет свой вариант задания по своему шифру. Задания приведены в таблице.
Контрольная работа выполняется учащимся в тетради объемом не менее 16 рукописных страниц. На титульном листе работы указывается наименование работы «КОНТРОЛЬНАЯ РАБОТА», учащегося, отделение, курса, группы, Ф.И.О., специальность и дисциплина
КОНТРОЛЬНАЯ РАБОТА
учащегося(ейся) заочного отделения
отделения _____курса группы №_______ _____________________________________ _____________________________________
Ф.И.О.
учащегося___________шифр учащегося_______
специальность
«Технология хранения и
переработки животного сырья
(мясо и мясные продукты)»
по дисциплине
_______________________________
_____________________________________
_____________________________________
В конце работы приводится список, используемой литературы. Ставится дата выполнения работы и подпись учащегося с расшифровкой.
1. ЭЛЕКТРИЧЕСКИЕ ЦЕПИ ПОСТОЯННОГО ТОКА.
МЕТОДЫ РАСЧЕТА СЛОЖНЫХ ЭЛЕКТРИЧЕСКИХ ЦЕПЕЙ
Задание 1
Для электрической цепи (рисунок 1.1) по заданным значениям сопротивлений и ЭДС определить эквивалентное сопротивление цепи относительно зажимов источника питания, распределение токов по ветвям и падения напряжений во всех ветвях цепи.
Вариант электрической цепи, включая участок 1 - 2 (схемы б - з), ограниченный пунктиром на схеме а, положение выключателей В1 и В2
в схемах, величины сопротивлений резисторов R] - Ri
2
и питающего напряжения U для каждого из вариантов задания приведены в таблице 1.1.
Рисунок 1.1- Исходные электрические схемы к заданию 1.1
Таблица 1.1- Варианты контрольного задания 1.1
| Варианты задания
|
R1
,ОМ
|
R2
,ОМ
|
R3
,ОМ
|
R4
,ОМ
|
R5
,ОМ
|
R6
,ОМ
|
R7
,ОМ
|
R8
,ОМ
|
R9
,ОМ
|
R10
,ОМ
|
R11
,ОМ
|
R12
,ОМ
|
U,B
|
Положение выключателей В1
,В2
|
Схема участка ограниченого пунктиром
|
| 1
|
2
|
4
|
6
|
6
|
1
|
2
|
5
|
10
|
5
|
5
|
5
|
8
|
110
|
1
|
А
|
| 2
|
2
|
1
|
6
|
7
|
1
|
2
|
3
|
5
|
15
|
10
|
2
|
8
|
220
|
2
|
Б
|
| 3
|
1
|
1
|
8
|
7
|
3
|
6
|
3
|
5
|
15
|
10
|
4
|
7
|
110
|
2
|
В
|
| 4
|
1
|
1
|
6
|
6
|
1
|
1
|
6
|
10
|
5
|
10
|
1
|
2
|
220
|
1;5
|
Г
|
| 5
|
2
|
2
|
3
|
3
|
2
|
2
|
10
|
10
|
5
|
2
|
4
|
3
|
110
|
2
|
Д
|
| 6
|
1
|
1
|
6
|
6
|
2
|
2
|
3
|
10
|
5
|
10
|
3
|
6
|
220
|
1
|
Е
|
| 7
|
3
|
3
|
2
|
4
|
4
|
1
|
4
|
5
|
10
|
5
|
4
|
8
|
110
|
1
|
Ж
|
| 8
|
3
|
2
|
8
|
12
|
1
|
1
|
2
|
15
|
10
|
20
|
5
|
10
|
220
|
2
|
3
|
| 9
|
2
|
1
|
2
|
3
|
2
|
4
|
3
|
5
|
10
|
5
|
6
|
1
|
110
|
2
|
А
|
| 10
|
1
|
2
|
1
|
1
|
2
|
2
|
4
|
5
|
10
|
10
|
7
|
2
|
220
|
1
|
Б
|
| 11
|
2
|
1
|
4
|
4
|
2
|
1
|
5
|
5
|
6
|
15
|
8
|
3
|
110
|
2
|
В
|
| 12
|
2
|
2
|
1
|
1
|
3
|
1
|
4
|
5
|
8
|
20
|
9
|
4
|
220
|
1;4
|
Г
|
| 13
|
4
|
3
|
2
|
1
|
2
|
2
|
3
|
5
|
10
|
10
|
10
|
5
|
110
|
1
|
д
|
| 14
|
2
|
2
|
4
|
2
|
1
|
2
|
3
|
10
|
8
|
5
|
2
|
6
|
220
|
2
|
Е
|
| 15
|
3
|
2
|
5
|
6
|
2
|
1
|
2
|
10
|
15
|
10
|
4
|
7
|
110
|
2
|
Ж
|
| 16
|
6
|
4
|
1
|
1
|
2
|
3
|
4
|
10
|
5
|
5
|
6
|
8
|
220
|
1
|
3
|
| 17
|
6
|
6
|
4
|
2
|
1
|
3
|
4
|
5
|
15
|
10
|
1
|
2
|
110
|
2
|
А
|
| 18
|
2
|
4
|
3
|
1
|
2
|
6
|
6
|
10
|
10
|
5
|
5
|
4
|
220
|
1
|
Б
|
| 19
|
1
|
6
|
1
|
2
|
1
|
3
|
4
|
4
|
6
|
5
|
4
|
3
|
110
|
1
|
В
|
| 20
|
2
|
4
|
2
|
2
|
2
|
3
|
3
|
2
|
8
|
10
|
2
|
5
|
220
|
2
|
Г
|
| 21
|
1
|
2
|
1
|
2
|
3
|
2
|
2
|
3
|
10
|
15
|
3
|
8
|
110
|
2
|
Е
|
| 22
|
3
|
3
|
4
|
2
|
3
|
2
|
2
|
1
|
10
|
5
|
4
|
10
|
220
|
1
|
Ж
|
| 23
|
2
|
2
|
5
|
2
|
1
|
2
|
5
|
10
|
10
|
6
|
1
|
110
|
2
|
3
|
| 24
|
3
|
2
|
5
|
4
|
4
|
2
|
4
|
10
|
5
|
10
|
7
|
2
|
220
|
1
|
А
|
| 25
|
4
|
3
|
4
Сервис онлайн-записи на собственном Telegram-боте
Попробуйте сервис онлайн-записи VisitTime на основе вашего собственного Telegram-бота:
— Разгрузит мастера, специалиста или компанию;
— Позволит гибко управлять расписанием и загрузкой;
— Разошлет оповещения о новых услугах или акциях;
— Позволит принять оплату на карту/кошелек/счет;
— Позволит записываться на групповые и персональные посещения;
— Поможет получить от клиента отзывы о визите к вам;
— Включает в себя сервис чаевых.
Для новых пользователей первый месяц бесплатно.
Зарегистрироваться в сервисе
|
2
|
4
|
1
|
6
|
15
|
5
|
10
|
8
|
3
|
110
|
1
|
Б
|
| 26
|
4
|
3
|
2
|
1
|
2
|
2
|
1
|
5
|
5
|
10
|
8
|
4
|
220
|
2
|
В
|
| 27
|
3
|
4
|
2
|
5
|
1
|
4
|
3
|
10
|
5
|
5
|
10
|
6
|
110
|
2
|
Г
|
| 28
|
1
|
2
|
8
|
6
|
2
|
2
|
4
|
5
|
15
|
10
|
6
|
6
|
220
|
1
|
Д
|
| 29
|
2
|
2
|
1
|
6
|
2
|
6
|
4
|
5
|
15
|
10
|
8
|
2
|
110
|
2
|
Е
|
| 30
|
2
|
1
|
2
|
4
|
3
|
4
|
2
|
5
|
15
|
10
|
10
|
4
|
220
|
1
|
Ж
|
Задание 2
Для электрической цепи постоянного тока (рисунок 1.2) определить токи I1
-I9
в ветвях резисторов R1
- R9
. Составить баланс мощностей. Значения сопротивлений. ЭДС, напряжения источников и положение выключателей приведены в таблице 1.2. Задачу решить методом применения законов Кирхгофа.
Таблица 1.2 Варианты контрольного задания 1.2
| Вариант задания
|
Е1,
В
|
Е3,
В
|
Е3,
В
|
U5
,
В
|
U6
В
|
R1
,Ом
|
R2
,Ом
|
R
/2
,Ом
|
R3
,Ом
|
R4
,Ом
|
R5
,Ом
|
R6
,Ом
|
R7
,Ом
|
R8
,Ом
|
R1
9
,Ом
|
Замкну-
выключа гели
|
| 1
|
110
|
90
|
-
|
-
|
-
|
0.2
|
2
|
2
|
0.2
|
-
|
-
|
-
|
-
|
0,8
|
-
|
В2. ВЗ
|
| 2
|
220
|
-
|
80
|
-
|
-
|
0,2
|
2
|
2
|
-
|
0,2
|
-
|
-
|
-
|
0.8
|
-
|
В2.В4
|
| 3
|
110
|
-
|
-
|
80
|
-
|
0.2
|
1
|
3
|
-
|
-
|
0,4
|
-
|
-
|
0.4
|
0.2
|
В2.В5
|
| 4
|
220
|
-
|
-
|
-
|
80
|
0,2
|
3
|
1
|
-
|
-
|
-
|
0.4
|
-
|
0.4
|
0,2
|
В2.В6
|
| 5
|
110
|
-
|
-
|
-
|
-
|
0,2
|
2
|
2
|
-
|
-
|
-
|
-
|
0,2
|
0,4
|
0.4
|
В2.В7
|
| 6
|
220
|
220
|
150
|
-
|
-
|
1
|
-
|
-
|
2
|
2
|
-
|
-
|
-
|
1
|
-
|
ВЗ.В4
|
| 7
|
110
|
60
|
50
|
-
|
0.2
|
-
|
-
|
2
|
-
|
1
|
-
|
-
|
1.8
|
1
|
ВЗ.В5
|
| 8
|
220
|
40
|
-
|
-
|
20
|
0.2
|
-
|
-
|
2
|
-
|
-
|
1
|
-
|
1,9
|
1
|
ВЗ.В6
|
| 9
|
110
|
50
|
-
|
-
|
-
|
0.2
|
-
|
-
|
4
|
-
|
-
|
-
|
1
|
0.8
|
1
|
ВЗ.В7
|
| 10
|
220
|
-
|
40
|
40
|
-
|
0.4
|
.
|
-
|
-
|
2
|
0,4
|
-
|
-
|
1.6
|
1,6
|
В4,В5
|
| 11
|
110
|
-
|
40
|
-
|
40
|
0.2
|
-
|
-
|
-
|
2
|
-
|
0.5
|
-
|
0.8
|
0.5
|
В4.В6
|
| 12
|
220
|
-
|
80
|
-
|
-
|
0.4
|
-
|
-
|
-
|
4
|
-
|
-
|
1
|
0,6
|
1
|
В4.В7
|
| 13
|
110
|
-
|
-
|
60
|
50
|
0.2
|
-
|
-
|
-
|
-
|
1
|
1
|
-
|
0.4
|
0.4
|
В5.В6
|
| 14
|
220
|
-
|
-
|
60
|
-
|
0,2
|
-
|
-
|
-
|
-
|
0.5
|
-
|
1
|
0.2
|
0.6
|
В5.В7
|
| 15
|
110
|
-
|
-
|
-
|
40
|
0.2
|
-
|
-
|
-
|
-
|
-
|
1
|
5
|
0,4
|
0.4
|
В6.В7
|
| 16
|
220
|
10
|
-
|
-
|
-
|
0,4
|
2
|
2
|
0,2
|
-
|
-
|
-
|
-
|
0.8
|
-
|
В2.ВЗ
|
| 17
|
110
|
-
|
160
|
-
|
-
|
0.2
|
2
|
2
|
-
|
0.2
|
-
|
-
|
-
|
0.8
|
-
|
В2.В4
|
| 18
|
220
|
-
|
-
|
160
|
-
|
0.2
|
1
|
3
|
-
|
-
|
0,4
|
-
|
-
|
0.4
|
-
|
В2.В5
|
| 19
|
110
|
-
|
-
|
-
|
80
|
0.2
|
3
|
1
|
-
|
-
|
-
|
0.4
|
-
|
0.2
|
0,1
|
В2.В6
|
| 20
|
220
|
-
|
-
|
-
|
-
|
0,4
|
2
|
2
|
-
|
-
|
-
|
-
|
0.4
|
0,8
|
0.8
|
В2.В7
|
| 21
|
110
|
110
|
220
|
-
|
-
|
1
|
-
|
-
|
2
|
1
|
-
|
-
|
-
|
1
|
-
|
ВЗ,В4
|
| 22
|
220
|
20
|
-
|
20
|
-
|
0.2
|
-
|
-
|
2
|
-
|
0,5
|
-
|
1.8
|
1
|
ВЗ.В5
|
| 23
|
110
|
10
|
-
|
-
|
10
|
0.2
|
-
|
-
|
2
|
-
|
-
|
1
|
-
|
1.8
|
1
|
ВЗ.В6
|
| 24
|
220
|
40
|
-
|
-
|
-
|
0.1
|
-
|
-
|
4
|
-
|
-
|
-
|
1
|
0.4
|
1
|
ВЗ.В7
|
| 25
|
110
|
-
|
10
|
10
|
-
|
0,4
|
-
|
-
|
-
|
2
|
0.4
|
-
|
-
|
1.6
|
1.6
|
В4.В5
|
| 26
|
220
|
-
|
20
|
-
|
40
|
0.2
|
-
|
-
|
-
|
1
|
-
|
0.5
|
-
|
0.8
|
0.5 В4.В6
|
В4.В5
|
| 27
|
110
|
-
|
100
|
-
|
-
|
0,4
|
-
|
-
|
-
|
1
|
-
|
-
|
1
|
0.6
|
1
|
В4.В7
|
| 28
|
220
|
-
|
-
|
120
|
10
|
0.5
|
-
|
-
|
-
|
1
|
1
|
-
|
0.2
|
0.3
|
В5.В6
|
| 29
|
110
|
-
|
-
|
250
|
-
|
0,2
|
-
|
-
|
-
|
0.5
|
1
|
0,2
|
0.6
|
В5.В7
|
| 30
|
220
|
-
|
1
|
40
|
1
|
-
|
-
|
-
|
-
|
-
|
1
|
2
|
0.5
|
0.5
|
В6.В7
|
| 
|
Рисунок 1.2 - Исходная схема к заданию 1.2
2. МЕТОД ЭКВИВАЛЕНТНЫХ ПРЕОБРАЗОВАНИЙ
2.1. Общие сведения
Метод эквивалентных преобразований основан на замене двухполюсника одного вида на двухполюсник другого вида.
Двухполюсники на рис. 1.1 будут эквивалентными, если
R
эк
= R
1
+ R
2
+ R
3
+ Rn
.
 
В случае n=2

Откуда

При решение задач часто используется преобразование треугольник– звезда (рис. 1.3).
Формулы эквивалентных преобразований имеют вид
 
Где D=R1
+ R2
+ R3
Двухполюсники, в которых есть источники э. д. с. и (или) тока, называются активными (рис. 1.4).
 
Двухполюсники на рис. 1.5 эквивалентны, если имеют одинаковые внешние характеристики U
(I
).
Для двухполюсника по схеме рис. 3, а
имеем
U
= E
- RI
.
Внешняя характеристика двухполюсника по схеме рис. 3, б
определится из уравнения
-J
+ I
+GU
= 0 ,
откуда
Двухполюсники эквивалентны, если
2.2. Решение типовых задач
Задача 2.1
Найти токи в ветвях и напряжение Uab
в цепи
по схеме рис. 1.6.
Напряжение U
= 75 B. Параметры цепи: R
1
= 50 Ом; R
21
= 20 Ом; R
22
=30 Ом; R
31
=30 Ом; R
32
= 20 Ом.
Решение
Определяем положительные направления токов ветвей (рис. 1.6).
В ветвях с токами I
2
и I
3
резисторы R
21
, R
22
и
R
31
, R
32
соединены последовательно.
Следовательно,
R
2
= R
21
+
R
22
= 50 Ом;
R
3
= R
31
+
R
32
= 50 Ом.
Участки R
2
,
R
3
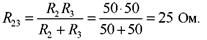
соединены параллельно, поэтому

Электрическую цепь, состоящую из двух последовательно соединенных резисторов, называют делителем напряжения. Рассчитываем делитель напряжения R
1
, R
23
.
Токи и напряжения делителя определяются по выражениям:

U1
=I1
R1
=
1⋅50 = 50 В;
U2
=I1
R23
= 1⋅25 = 25 В;

Напряжение Uab
находим по второму закону Кирхгофа
U2
=I2
R22
-I23
R32
;
Получаем
Uab
= 0,5
⋅
30
- 0,5⋅ 20 = 5 B.
Задача 2.2
Найти ток в ветви a - b
цепи по схеме рис. 1.7.
Параметры цепи: R
1
= 47 Ом; R
2
= 75 Ом; R
3
=33 Ом; R
4
= 25 Ом; R
5
= 40 Ом. Напряжение U
=
100 В.
Решение
Определяем положительное направление тока I
ветви a - b.
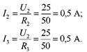
Преобразуем треугольник из резисторов R
3
,
R
4
, R
5
в звезду R
35
, R
45
, R
34
. По формулам эквивалентных преобразований имеем:
D
=
R
3
+
R
4
+
R
5
=33 + 25 + 40 = 98 Ом;

Получаем схему замещения (рис. 1.8).
Определяем эквивалентные сопротивления последовательно и параллельно соединенных участков:
R
135
= R
1
+
R
35
= 60,47 Ом;
R
245
= R
2
+
R
45
= 85,2 Ом;

Рассчитываем делитель напряжения R
10
, R
34
. Напряжение

80,92 B.
Рассчитываем делители R
1
– R
35
; R
2
– R
45
и
Определяем

Ток в ветви a
–
b
находим по закону Ома

Задача 2. 3
Выполнить эквивалентные преобразования для двухполюсника (схема рис. 1.9).
Параметры резисторов двухполюсника: R
1
=75 Ом; R
2
=50 Ом.
Источники: Е
1
= 30 В; J
1
= 1 А.
Решение
Этапы выполнения преобразований поясняет рис. 1.10.

расчет выполняем по формулам эквивалентных преобразований:
JE
1
=E
1
R
1
=30/75 =0,4 А;
J
=
JE
1
-
J
1
= - 0,6 А;
E
=
JR
1
=
- 0,6⋅75 = - 45 В;
R
=
R
1
+
R
2
=
125 Ом.
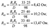
Задача 2.4
Методом эквивалентных преобразований рассчитать токи ветвей в цепи со схемой рис. 1.11.

Параметры резисторов ветвей: R
1
= 100 Ом; R
2
=130 Ом; R
3
= 43 Ом; R
4
=75 Ом; R
5
=
91 Ом; R
6
=110 Ом; R
7
=200 Ом; R
8
= 45 Ом. Источники: Е
1
=15 В; Е
5
= 24 В; Е
7
= 8 В; J
6
= 0,2 А, J
7
=0,1 А.
Решение
Назначаем положительные направления токов в ветвях. Узлы схемы отмечаем
цифрами 1, 2, 3 и 0.
Выполняем эквивалентные преобразования для двухполюсника между узлами
1-2 (рис. 1.12).

Находим:

Между узлами 2- 3 резисторы соединены параллельно, поэтому

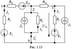
Получаем схему рис. 1.13.

Преобразования для двухполюсника между узлами 3-0 поясняет рис. 1.14.

Находим:

J
7
=JE
7
+J
7
= 0,04 + 0,1 = 0,14 А; E
′7
=
J
′7
R
7
=0,14⋅200 = 28 В. Получаем эквивалентную схему рис. 1.15.

Ветви на участках 2-1; 1- 0 соединены последовательно. Сопротивление
R
125
=R
12
+R
5
=56,52 + 91 = 147, 52 Ом. Э. д. с.
E
125
=E
12
-E
5
= 8,48 - 24 = - 15,52 В.
Ветви на участках 2-3, 3- 0 соединены последовательно. Сопротивление
R
347
=
R
34
+
R
7
=27,33 + 200 = 227,33 Ом.
Получаем двухполюсник с двумя узлами (рис. 1.16).
Рассчитываем напряжение U
20
.
Имеем уравнение:
G
22
U
20
=
J
22
,
где -
собственная проводимостей ветвей, принадлежащих узлу 2;
- узловой ток.
Подставляя данные:
G
22
= 0,02 1/ Ом,
J
22
=- 0,182 А. Напряжение

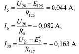
Рассчитываем токи:

Ток I′6
определяем по закону Кирхгофа:
I
6
+ I
6
′ + J
6
=0, откуда
I
6
′ = -I
6
′ – J
6
= - 0,118 А.
Рассчитываем напряжения U
2
1
, U
23
и U
30
(рис. 1.15).
По второму закону Кирхгофа имеем
U
21
-
I
5
R
12
=
E
12
,
откуда
U
21
=
I
5
R
12
+
E
12
=10,984 В.
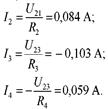
Напряжения:
U
23
=I
30
R
3
4 =- 4,446 В;
U
30=U
20-U
23 = – 4,536 В.
Рассчитываем токи I
1
; I
2
; I
3
; I
4
; I
7
(схема рис. 1.11).
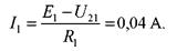
По второму закону Кирхгофа имеем
U
21
+I
1
R
1
=E
1, откуда

По закону Ома:

По второму закону Кирхгофа имеем
I
7
R
7
-U
30
=-E
7
, откуда

Выполняем проверку правильности решения. Рассчитываем баланс мощностей.
Мощность источников Р
ист
определяется из выражения:
P
ист
=E5
I5
+E1
I1
-E7
I7
-U
20
J6
+U3
0
J
7
=
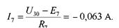
= 24⋅0,044 + 15⋅0,04 - 8(- 0,063) - (- 8,982) 0,2 + (- 4,536) 0,1=
= 3,511 Вт.
Мощность, рассеиваемая в резисторах Р
R
,
PR
= I
1
2
R
1
+ I
2
2
R2
+ I
3
2
R3
+ I2
4
R4
+ I2
5
R5
+ I
6
2
R6
+I
7
2
R7
= = 0,042
100 + 0,0842
130 +(- 0,103)2
43 + 0,0592
75 + 0,0442
91 + + (- 0,082)2
110 + (- 0,063)2
200 = 3,511 Вт.
Получаем Р
ист
= Р
R
,
задача решена верно.
2.3 Контрольные вопросы и задачи
1. Сформулировать первый и второй законы Кирхгофа.
2. Методом преобразования найти токи в резисторах (рис. 1.17). Параметры резисторов: R
1
= 45 Ом; R
2
= 90 Ом; R
3
= 30 Ом. Источники: Е
= 12 В; J =
0,2 А.

3. Рассчитать токи в резисторах (рис. 1.18). Параметры резисторов: R
1
= 45 Ом; R
2
=20 Ом; R
3
= 15 Ом. Источники: Е =
15 В; J
=
0,5 А.
3. СИНУСОИДАЛЬНЫЕ ТОКИ, НАПРЯЖЕНИЯ. ПАРАМЕТРЫ ИДЕАЛЬНЫХ ЭЛЕМЕНТОВ
ЭЛЕКТРИЧЕССКИХ ЦЕПЕЙ СИНУСОИДАЛЬНОГО ТОКА
Электромагнитный процесс в электрической цепи считается периодическим, если мгновенные значения напряжений и токов повторяются через равные промежутки времени Т.
Время Т
называется периодом. Напряжения u
(
t
)
=
u
(
t
+
T)
и токи i
(
t
)
=
i
(
t
+
T)
ветвей электрической цепи являются периодическими функциями времени.
Величина, обратная периоду (число периодов в единицу времени), называется частотой: f
= 1/ T
.
Частота имеет размерность 1/с
, а единицей измерения частоты служит Герц (Гц).
Широкое применение в электротехнике нашли синусоидальные напряжения и токи:
u
(t
) = Um
sin(
ω t
+ ψi
)
, i
(t
) = Im
sin(
ω t
+ ψu
)
В этих выражениях:
- u
(t
), i
(t
)- мгновенные значения,
- Um
,
Im
-
максимальные или амплитудные значения,
- ω = 2π / T
=
2 π f
- угловая частота (скорость изменения аргумента),
- ψi
, ψu
- начальные фазы,
- ω t
+
ψi
, ω t
+
ψu
- фазы, соответственно тока и напряжения.
Графики изменения u
(
t
)
, i
(t
) удобно представлять не в функции времени t
,
а в функции угловой величины φt,
пропорциональной t
(рис. 1.1).
Рис. 1.1
Величина φ = (
ω t
+
ψu
)-(
ω t
+
ψi
)=
ψu
-
ψi
называется углом сдвига
фаз. На рис. 1.1 ψu
> 0, ψ> ψi
> 0, φ= ψ - ψi
> 0, т. е. напряжение опережает ток. Аналогично можно ввести понятия углов сдвига фаз между двумя напряжениями или токами.
Количество тепла, рассеиваемого на сопротивление R
при протекании по нему тока, электромагнитная сила взаимодействия двух проводников с равными токами, пропорциональны квадрату тока. Поэтому о величине тока судят по действующему значению
за период. Действующее значение периодического тока i
(t
) определяется по выражению

Для квадратов левой и правой частей этого равенства, после умножения их на RT
, будем иметь:

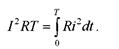
Из этого равенства следует, что действующее значение периодического тока равно по величине такому постоянному току I
, который на неизменном сопротивление R
за время Т
выделяет тоже количество тепла, что и ток i
(t
).
При синусоидальном токе i
(t
) = Im
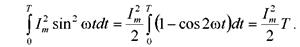
sin ωt
интеграл

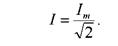
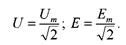
Следовательно, действующее значение синусоидального тока равно

Действующие значения синусоидальных напряжений u
(t
) , э. д. с. e
(t
) определяются аналогично:

Для измерения действующих значений используются приборы электромагнитной, электродинамической, тепловой и др. систем.
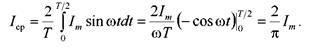
Среднее значение синусоидального тока определяется как среднее за половину периода. Поэтому,

Средние значения синусоидальных напряжений u
(
t
),
э. д. с. e
(
t
)
определяются аналогично:

Отношение амплитудного значения к действующему называется коэффициентом амплитуды k
а отношение действующего значения к среднему- коэффициентом формы k
ф. Для синусоидальных величин, например, тока i
(t
), эти коэффициенты равны:


Для синусоидальных токов i
(
t
)
=
Im
sin(ω t
+ ψi
) уравнения идеальных
элементов R
,
L
, C
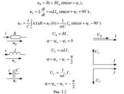
при принятых на рис. 1.2 положительных направлениях имеют вид
На активном сопротивление R
мгновенные значения напряжения и тока совпадают по фазе.
Угол сдвига фаз φ = 0.
На индуктивности L
мгновенное значение тока отстает от мгновенного
значения напряжения
на угол π/2 . Угол сдвига фаз φ = π/2 .
На емкости С мгновенное значение напряжения отстает от мгновенного значения тока
на угол π/2 . Угол сдвига фаз φ = - π/2 .
Величины ω L
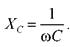
и 1/ ω C
имеют размерность [Ом] и называются реактивным сопротивлением индуктивности
или индуктивным сопротивлением
XL
:
XL
=
ω L
и реактивным сопротивлением емкости
или емкостным сопротивлением XC
:

Величины 1/ ω L
и ω C
имеют размерность [Ом –1
] и называются реактив
ной проводимостью индуктивности
или индуктивной проводимостью
BL
:

и реактивной проводимостью емкости
или емкостной проводимостью
BC
:
BC
= ω C
.
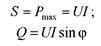
Связь между действующими значениями напряжения и тока на идеальных элементах R
,
L
, C
устанавливают уравнения:
UR
=RI; I
=
GUR
; UL
=XL
I; I
=
BL
UL
; UC
=XC
I; I
=
BC
UC
.
Для синусоидального напряжения u
=
Um
sin ωt начальная фаза тока на входе пассивного двухполюсника (рис. 1.3) равна ψi
= - φ, поэтому i
= Im
sin(ωt - φ ).
Проекция напряжения на I называется активной составляющей напряжения.
UR
=U
cos φ
Проекция напряжения на линию, перпендикулярную току, называется реактивной составляющей напряжения. Проекция тока на линию напряжения называется активной составляющей тока.
UX
=
U
s
in φ
Проекция тока на линию, перпендикулярную напряжению, называется реактивной составляющей тока.
IG
=I
cos φ
IG
= I
sin φ
Имеют место очевидные соотношения:

В цепи синусоидального тока для пассивного двухполюсника по определению вводятся следующие величины:
1.Полное сопротивление Z
:

2. Эквивалентные активное R
эк
и реактивное X
эк
сопротивления:

3.Полная проводимость Y
:

4. Эквивалентные активная G
эк
и реактивная B
эк
проводимости:

Из треугольников сопротивлений и проводимостей(рис. 1.4) следует:


Эквивалентные параметры являются измеряемыми величинами, поэтому могут быть определены из физического эксперимента (рис. 1.5).
Электрическая цепь по схеме рис. 1. 5 должна содержать амперметр А и вольтметр U для измерения действующих значений напряжения и тока, фазометр φ для измерения угла сдвига фаз между мгновенными значениями напряжения и тока на входе пассивного двухполюсника П.
Угол сдвига фаз пассивного двухполюсника

Физическая величина, численно равная среднему значению от произведения мгновенных значений напряжения u
(t
) и тока i
(t
) , называется активной
мощностью Р
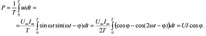
. По определению имеем:

Расчетные величины называются полной мощностьюS
и реактивной мощностью Q
в цепи синусоидального тока. Имеет место равенство
 
Коэффициент мощностиk
м
в цепи синусоидального тока определяется выражением:
 
Единицей измерения активной мощности является Ватт [Вт]. Для измерения активной мощности служит ваттметр. Ваттметр включается по схеме рис. 1.6.
Единица измерения полной мощности [ВА], реактивной– [ВАр].
Для вычисления мощностей удобно использовать следующие выражения:

3.2. Решение типовых задач
Для измерения мгновенных значений напряжений u
(
t
)
и токов i
(
t
)
служит осциллограф. Поскольку сопротивление входа этого прибора очень большое, непосредственно для измерения тока осциллограф использовать нельзя. Измеряют не ток, а пропорциональное току напряжение на шунте R
ш
(рис. 1.7, а).
Задача 3.1.
К источнику синусоидального напряжения частотой f
= 50 Гц подключена катушка индуктивности (рис. 1.7, а).
Активное сопротивление провода, из которого изготовлена катушка, R
= 10 Ом, индуктивность L
=
1,6 мГн. Осциллограмма напряжения u
ш
(t
)
представлена на рис. 1.7, б.
Сопротивление шунта R
ш
= 0,1 Ом. Масштаб по вертикальной оси осциллограммы m
u
=
0,02 B/ дел
(0,02 вольта на деление).
Рассчитать действующие значения напряжения url
,
составляющих uR
и uL
этого напряжения. Построить графики мгновенных значений напряжений url
, составляющих uR
и
uL
.
Решение.
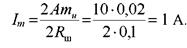
По осциллограмме рис. 1.7, б
двойная амплитуда напряжения на шунте 2А
=
10 дел. Находим амплитудное значение Im
тока i
:

Реактивное сопротивление Х
индуктивности L
на частоте
ω= 2πf
= 6,281000 = 6280 с –1
равно:
Х
= ω L
= 6280 1,6 10 –3
= 10,053* 10 Ом. Амплитудные значения напряжений uR
и
uL
:
U mr
=Im R= 10 В; U mL
=Im X
=
10
В
.
Мгновенные значения составляющих напряжения на сопротивление R
катушки индуктивности и индуктивности L
соответственно равны (ψi
=
0 ):
uR
=UmR
sinа ω t
= 10.sin 6280.t
В;
uL
=U mL
s
in(
ω +
π
/
2)
=
10-s
in ( 62
80 t +
π
/
2)
В
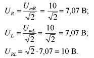
.
Мгновенное значение напряжения на активном сопротивление в фазе с током, на индуктивности- опережает ток на угол π/2
. Действующие значения напряжений:

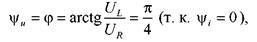
Векторные диаграммы напряжений и тока приведены на рис. 1.8. Амплитудное значение

Начальная фаза

следовательно
u
RL
=
UmRL
sin(ωt
+ ψu
) = 14,1 sin(ωt
+ π4) В.
ЗависимостиuR
(
ω t
);
uL
(
ω t
);
uRL
( ω t
)
представлены на рис. 1.9.

Задача 3.2.
К цепи со схемой рис. 1.10 приложено синусоидальное напряжение u
= 141sin314t
В.
Найти мгновенные и действующие значения тока и напряжений на всех участках цепи, если R
= 30 Ом, С
= 79,62 мкФ.
Решение
Назначаем положительные направления тока и напряжений как на рис. 1.10.
Определяем реактивное сопротивление ХС
емкости С
на частоте ω = 314 с –1
:

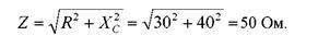
Полное сопротивление цепи

Амплитудные значения:
- тока/:
- напряжения на резисторе R
:
UmR
=
RIm
=
30 ⋅ 2,82 = 84,6 В;
- напряжения на емкости С
: U
С
=ХС
Im
=
40 ⋅ 2,82 = 112,8 В.
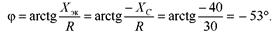
Угол сдвига фаз между напряжением и
и током /

Начальная фаза тока i определяется из соотношения ψu
- ψi
=φ. Откуда,
ψ,
= -φ= 53°.
Мгновенные значения тока и напряжений на участках цепи:
i
= Im
sin (ω + ψi
)=2,82 sin(314t + 53°) А;
ur
=UmR
sin (ω + ψi
) = 84,6 sin(314 t +53°) В;
uc
=UmC
sin (ω + ψi
-90°) = 112.8 sin(314 t +37°) В;
Действующие значения:

Задача 3.3
Для пассивного двухполюсника (рис. 1.5) экспериментально определены: U
= 10 В; I
= 2 А; φ = 30°.
Найти полное и эквивалентные активное и реактивное сопротивления двухполюсника.
Решение.
Имеем по определению:

R
эк
=Z
cos<p = 5cos30°=4,33 Ом; X
эк
=Z
sin<p = 5sin30° = 2,5 Ом.
Контрольные вопросы и задачи
1. Напряжение на индуктивности L
=
0,1 Гн в цепи синусоидального тока изменяется по закону uL
=141sin(1000t
-30°).
Найти мгновенное значение тока в индуктивности.
2. Ток в емкости С
=
0,1 мкФ равен i
= 0,1 sin(400t
+ π3) А.
Найти мгновенное значение напряжения на емкости.
3. На участке цепи с последовательно включенными активным сопротивлением R
=
160 Ом и емкостью С
=
26, 54 мкФ мгновенное значение синусоидального тока i
= 0,1sin314 t
А.
Найти мгновенные значения напряжений на емкости и на всем участке цепи. Чему равны действующие значения этих величин?
4. Записать уравнения идеальных элементов в цепи синусоидального тока. Нарисовать векторные диаграммы напряжения и тока для этих элементов.
5. На участке цепи последовательно включены сопротивление R
=
1000 Ом и индуктивность L
=
0,12 Гн. Действующее значение синусоидального напряжения UR
=
10 В. Частота f
= 1000 Гц.
Найти действующие значения тока и напряжения на участке цепи.
6. Вычислить действующее значение тока и активную мощность на входе пассивного двухполюсника с эквивалентным активным сопротивлением R
=
160 Ом и эквивалентным реактивным сопротивлением Х
=
120 Ом . Напряжение на входе двухполюсника U
=
20 В.
Задание 3
1. Каковы условия проведения и назначение опыта холостого хода трансформатора?
2. Какие величины определяются в опыте холостого хода; по какой схеме он производится?
3. Начертите схему опыта короткого замыкания трансформатора. Какие величины определяются в этом опыте?
4. Что называется напряжением короткого замыкания? Каков его физический смысл?
5. Что изменится в работе трансформатора, если на первичную обмотку подать постоянное напряжение, равное номинальному? Почему этот режим приводит к аварии?
6. Начертите принципиальную схему однофазного трансформатора и объясните принцип его работы.
7. Напишите уравнения напряжения для первичной и вторичной обмоток и объясните смысл каждого из членов этих уравнений.
8. В каких случаях целесообразно применение автотрансформаторов? Каковы их преимущества? Недостатки?
9. Какие трансформаторы используются для расширения пределов измерительных приборов? Как подключаются к ним несколько однотипных измерительных приборов?
10. Почему в опыте холостого хода можно пренебречь потерями в меди, а опыте короткого замыкания - потерями в стали?
11. Как устроены трехфазные трансформаторы и какие схемы соединения могут они иметь?
12. Для какой цели на электрических станциях в начале линии электропередачи устанавливают повышающие трансформаторы?
13. Что вызывает нагрев трансформатора и почему ограничивается температура нагрева?
14. Почему у большинства трансформаторов максимальный КПД имеет место при нагрузке 0,5 – 0,75 от номинальной? Определить b , при котором КПД рассчитываемого трансформатора максимален
Задание4
1. Как изменится ток холостого хода I
0
и номинальный коэффициент мощности двигателя cosjном
, если увеличить зазор между ротором и статором?
2. Почему ток холостого хода двигателя меньше, чем ток номинального режима?
3. Почему в момент пуска двигателя ток статора имеет максимальное значение? Чему при этом равны скольжение S
и частота тока ротора f
2
?
4. В каком режиме ток обмотки короткозамкнутого ротора имеет максимальное значение? Чему при этом равно скольжение?
5. Чему равна частота тока ротора в момент пуска?
6. Каким образом можно уменьшить пусковой ток двигателя с короткозамкнутым ротором?
7. Поясните вид механической характеристики трехфазного асинхронного двигателя.
8. Как изменится естественная механическая характеристика двигателя с фазным ротором при понижении напряжения сети;
9. Каковы основные достоинства асинхронного двигателя?
10. Перечислить способы регулирования частоты вращения АД и указать наиболее экономичные из них.
11. Для чего последовательно с пусковой обмоткой однофазного АД включается конденсатор?
12. Назовите основные части машины постоянного тока и поясните их конструкцию.
Задание 5
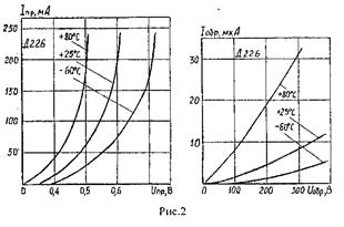
Пользуясь вольтамперной характеристикой полупроводникового диода (рис.1 или рис.2), определите сопротивление постоянному току при прямом Urrp и обратном U0
6P
напряжениях для двух значений температуры Т, и Т2
.
Поясните влияние температуры на параметры диода, Поясните систему обозначений полупроводниковых диодов.
Расшифруйте обозначение диода, указанного в табл. 2, Начертите структуру устройства сплавного плоскостного диода..
Числовые значение исходных данных приведены в табл.2,
Таблица 2
| Наименование исходных данных
|
Номера задач
|
| 1
|
2
|
3
|
4
|
5
|
6
|
7
|
8
|
9
|
10
|
| Номер рисунка
|
1
|
2
|
1
|
2
|
1
|
2
|
1
|
2
|
I
|
2
|
| U пр,В
|
0,7
|
0,55
|
0,85
|
0,45
|
0,75
|
0,6
|
0,8
|
0,5
|
0,75
|
0,4
|
| Uобр, В
|
25
|
250
|
75
|
150
|
50
|
300
|
80
|
100
|
60
|
200
|
| Т1
,0
С
|
+70
|
+25
|
25
|
+25
|
70
|
+25
|
25
|
+80
|
25
|
25
|
| T2
,0
C
|
+ 125
|
-60
|
70
|
+80
|
125
|
-60
|
70
|
+25
|
70
|
80
|
| Тип диода
|
КД103А
|
2Д220Е
|
КД299Д
|
КД109Б
|
КД202А
|
Задание 6
Рассчитайте необходимое количество последовательно соединенных диодов, если максимально допустимое постоянное обратное напряжение диода составляет Uобр
max
, максимальное значение обратного напряжения в схеме выпрямления на ветви с последовательно включенными диодами U
'
a
6
p
max
.
Определите величину обратного напряжения на каждом диоде, если сопротивления диодов равны RобР
1. RобР
2
Сделайте выводы по результатам расчетов. Поясните причину неравномерного распределения и способы выравнивания обратного напряжения на диодах.
Рассчитайте необходимое количество параллельно соединенных диодов, если максимально допустимый прямой ток одного диода составляет 1П
р.т0
„ а ток нагрузки I. Сделайте выводы по результатам расчетов. Поясните причину неравномерного распределения и способы выравнивания токов параллельно включенных диодов.
Числовые значения исходных величин приведены в табл.3.

Таблица 3
| Параметры
|
Номера задач
|
| 11
|
12
|
13
|
14
|
15
|
16
|
17
|
18
|
19
|
20
|
| U обр. max, B
|
100
|
150
|
500
|
120
|
50
|
420
|
300
|
200
|
400
|
30
|
| U’ обр. max, B
|
280
|
430
|
1400
|
330
|
140
|
1200
|
850
|
550
|
1200
|
85
|
| Rобр1, МОм
|
20
|
150
|
0,7
|
0,05
|
0,5
|
0.4
|
6
|
4
|
8
|
6
|
| R обр2, МОм
|
23
|
130
|
0,75
|
0,045
|
0,6
|
0,37
|
5,5
|
4,5
|
7,5
|
5
|
| Rобр3, MOм
|
17
|
140
|
0,8
|
0,052
|
0,45
|
0,43
|
6,3
|
3,8
|
7
|
0,5
20
|
| I пр. max, mA
|
30
|
50
|
5000
|
3 103
|
300
|
10 103'
|
4000
|
100
|
300
|
20
|
| 1н, мА
|
80
|
125
|
8000
|
8 103
|
1000
|
32 103
|
1000
|
250
|
750
|
75
|
Задание 7
1. Поясните физические процессы в электронно-дырочном (n-р) переходе при отсутствии внешнего напряжения и при подключении источника внешнего напряжения в прямом и обратном направлениях. Укажите значение прямых и обратных напряжений выпрямительных диодов. Поясните наличие емкости n-р перехода,
2. Поясните назначение и устройство кремниевого стабилитрона. Используя вольтамперную характеристику стабилитрона, поясните его принцип действия. Начертите схему включения стабилитрона, поясните назначение элементов и работу схемы. Укажите параметры стабилитрона.
3. Поясните устройство и принцип действия биполярного транзистора. Поясните классификацию транзисторов,
4. Начертите схемы включения транзистора типа п-р-п с ОБ, ОЭ, ОК. Покажите на схемах направление токов в цепях транзистора. Поясните особенности каждой схемы, ее достоинства и недостатки.
5. Поясните систему h-параметров транзистора. Опишите графический способ определения h-параметров.
6. Поясните принцип действия полевого транзистора с управляющим n-р переходом. Поясните физические процессы, происходящие в полевом транзисторе. Начертите схему включения с общим истоком, выходные характеристики.
7. Поясните устройство МДП-транзистора с собственным каналом n-типа. Начертите схему включения с общим истоком. Поясните принцип действия. Начертите характеристики управления и выходные характеристики.
8. Поясните устройство триодного тиристора (тринистора). Поясните физические процессы в триодном тиристоре. Начертите его структуру, вольтамперные характеристики, схему включения. Укажите область применения.
9. Поясните устройство, принцип действия фотодиода и светодиода. Начертите схемы включения фотодиода и светодиода. Укажите область применения,
10. Поясните назначение сглаживающих фильтров. Начертите схемы С, LC, RC фильтров. Поясните роль каждого элемента фильтра. Укажите достоинства и недостатки каждой схемы фильтра.
МЕТОДИЧЕСКИЕ УКАЗАНИЯ
Прежде чем приступать к выполнению задания 5
следует изучить устройство, принцип действия выпрямительных диодов, их характеристики и параметры. Из характеристик видно, что значение прямого и обратного токов отличаются на несколько порядков, а прямое падение напряжения не превышает единиц вольт; обратное напряжение составляет десятки, сотни вольт и более. Поэтому диоды обладают односторонней проводимостью и используются в качестве выпрямительных элементов. О свойстве односторонней проводимости свидетельствуют различные величины прямого и обратного сопротивлений. Пользуясь вольтамперной характеристикой, можно определить сопротивление постоянному току
Пример 1.
Задана вольтамперная характеристика полупроводникового диода (рис.5), Определить сопротивление постоянному току при прямом напряжении Unp=0,6 В и обратном напряжении Uобр=15 В при двух значениях температуры Т1
=298°К и Т2
=333°К.
Решение.
На вольтамперной характеристике, соответствующей температуре Т|=298°К отмечаются рабочие точки при прямом напряжении Uпр1=0,6 В (точка А), при обратном напряжении Uo6P
=
15 В (точка В). По характеристике определяется величина прямого тока в точке Апр 1,=3,1 мА и обратного тока в точке В, Up=
50 мкА. Сопротивление постоянному току определяется по закону Ома:

Аналогично определяется сопротивление диода при другом значении температуры.
При расчетах сопротивлений необходимо обращать внимание на единицы измерения токов и напряжений.
Вольтамперные характеристики, снятые при различной температуре (рис.5), наглядно показывают, что свойства полупроводниковых диодов сильно зависят от температуры. При повышении температуры прямой и обратный токи растут. Очень сильно увеличивается обратный ток. Следует разобраться и объяснить, почему это происходит.
Кроме того, при повышении температуры снижается напряжение, при котором начинается электрический пробой несколько возрастает барьерная емкость диода.
В полупроводниковых преобразовательных агрегатах, установленных на тяговых подстанциях постоянного тока, в качестве выпрямительных элементов применены лавинные диоды, которые более устойчиво работают в условиях коммутационных перенапряжении Система условных обозначений, силовых диодов отличается m принятой для полупроводниковых диодов.
В соответствии С ГОСТ 20S59-79 • обозначении типа приборов:
Перший элемент - буква, обозначающая подкласс <вид> прибора
Д-выпрямительный диод;
Л-лавинный диод.
Второй элемент обозначения - буква, определяющая функциональное назначение (свойство) приборов:
Ч - высокочастотный, диод; для низкочастотных приборов дополнительное буквенное обозначение не применяется;
И - импульсный диод
Третий элемент обозначения – цифра от 1 до 9, порядковый номер модификации прибора.
Четвертый элемент обозначения - цифра, указывающая основной размер корпуса в зависимости от конструктивного исполнения. Например, цифра 4 - для таблеточных диодов означает диаметр корпуса 58 мм,
Пятый элемент обозначения • цифра от I до 5 -конструктивное исполнение корпуса:
1 - штыревое с гибкими выводами;
2 - штыревое с жесткими выводами;
3 – таблеточное;
4 – под запрессовку;
5 – фланцевое.
Шестой элемент обозначения - цифры. указывающие значение максимально допустимого среднего или импульсного тока в амперах. Перед обозначением тока ставится дефис.
Для обозначения приборов с обратной проводимостью (катодом является основание) после шестого элемента вводится буква X.
Дополнительным обозначением для диодов является класс по напряжению - число, соответствующее сотням вольт обратного допустимого напряжения.
Пример условного обозначения ДЛ-133-500-14 - диод лавинный первой модификации, размер диаметра корпуса 52 мм, таблеточной конструкции, максимально допустимый средний ток 500 А. повторяющееся обратное напряжение 1400 В.
В мощных полупроводниковых выпрямителях, установленных на тяговых подстанциях постоянного тока, диоды соединены последовательно и параллельно.
При выпрямлении, более высоких напряжений диоды соединяются последовательно для того, чтобы обратное напряжение на каждом диоде не превышало допустимого значения, указанного в справочнике.
Вследствие разброса обратных сопротивлений диодов одного и
того же типа на отдельных диодах обратное напряжение может оказаться выше допустимого, что повлечет за собой пробой диодов,
Количество последовательно соединенных диодов зависит от величины максимального обратного напряжения, поступающего на диоды от трансформатора выпрямителя, и от величины допустимого обратного напряжения диода.
При выполнении задание 6
следует воспользоваться
примером 2.
Пример 2,
Амплитуда обратного напряжения в схеме выпрямителя составляет U
'обр
max
=
800 В
.Применяются диоды с U
обр
max
=
300 В
. Расчет количества последовательно соединенных диодов:
Принимается 3 диода.
Если обратные сопротивления диодов соответственно равны Rобр 1
=2 МОм, Rобр 2
=
Rобр 3
=
1 МОм, то обратные напряжения распределяются прямо пропорционально обратным сопротивлениям, поэтому получится:

На первом диоде обратное напряжение оказалось выше допустимого и он может быть пробит: Далее произойдет последовательный пробой всех диодов.
Для равномерного распределения обратного напряжения последовательно соединенные диоды шунтируют резисторами Ru,, сопротивления которых должны быть одинаковы и значительно меньше наименьшего из обратных сопротивлений диодов (рис.ба), но вместе с тем сопротивление Яш
не должно быть слишком малым, чтобы чрезмерно не возрос ток при обратном напряжении и не ухудшилось выпрямление.
Параллельное соединение диодов (рис.66) применяют когда необходимо получить прямой ток больше допустимого тока одного диода. Число диодов определяется из выражения:

Вследствие неодинаковости вольтамперных характеристик однотипных диодов, они окажутся различно нагруженными, и в некоторых диодах ток окажется больше Допустимого прямого тока. Для равномерного распределения тока между диодами, последовательно с ними включают резисторы R0
, сопротивление которых составляет десятые доли Ом или единицы Ом.

Варианты заданий для контрольной работы
| Две последние цифры шифра
|
Номер варианта
|
Номера
вопросов и
задач
|
Две последние цифры шифра
|
Номер варианта
|
Номера
вопросов и
задач
|
| 01 51
|
1
|
1,1,1,1,10,1,1
|
26
|
26
|
26,26,12,2,5,7,3
|
| 02
|
2
|
2,2,2,2,9,2,2
|
27 77
|
27
|
27,27,13,3,6,8,2
|
| 03
|
3
|
3,3,3,3,8,3,3
|
28 78
|
28
|
28,28,14,4,7,9,1
|
| 04
|
4
|
4,4,4,4,7,4,4
|
29 79
|
29
|
29,29,1,5,5,10,1
|
| 05
|
5
|
5,5,5,5,6,5,5
|
30
|
30
|
30,30,2,6,6,9,2
|
| 06
|
6
|
6,6,6,6,5,6,6
|
31 81
|
31
|
1,2,3,7,7,8,3
|
| 07
|
7
|
7,7,7,7,4,7,7
|
32 82
|
32
|
2,3,4,8,8,7,4
|
| 08
|
8
|
8,8,8,8,3,8,8
|
33 83
|
33
|
3,4,5,9,9,6,5
|
| 09
|
9
|
9,9,9,9,2,9,9
|
34 84
|
34
|
4,5,6,10,10,5,6
|
| 10 60
|
10
|
10,10,10,10,1,10,10
|
35 85
|
35
|
5,6,7,11,9,4,7
|
| 11 61
|
11
|
11,11,11,11,2,9,9
|
36 86
|
36
|
6,7,8,12,8,3,8
|
| 12 62
|
12
|
12,12,12,12,3,8,8
|
37 8787_
|
37
|
7,8,9,1,7,2,9
|
| 13 63
|
13
|
13,13,13,1,4,7,7
|
38 88
|
38
|
8,9,10,2,6,1,10
|
| 14 64
|
14
|
14,14,14,2,5,6,6
|
39 89
|
39
|
9,10,11,3,5,1,9
|
| 15 65
|
15
|
15,15,1,3,6,5,5
|
40 90
|
40
|
10,11,12,4,4,2,8
|
| 16 66
|
16
|
16,16,2,4,7,4,4
|
41 91
|
41
|
11,12,13,5,3,3,7
|
| 17 67
|
17
|
17,17,3,5,8,3,3
|
42 92
|
42
|
12,13,14,6,2,4,6
|
| 18
|
18
|
18,18,4,6,9,2,2
|
43 93
|
43
|
13,14,1,7,1,5,5
|
| 19 69
|
19
|
19,19,5,7,10,1,1
|
44 94
|
44
|
14,15,2,8,1,6,4
|
| 20
|
20
|
20,20,6,8,9,1,9
|
45 95
|
45
|
15,16,3,9,2,7,3
|
| 21 71
|
21
|
21,21,7,9,8,2,8
|
46 96
|
46
|
16,17,4,10,3,8,2
|
| 22
|
22
|
22,22,8,10,7,3,7
|
47 97
|
47
|
17,18,5,11,4,9,1
|
| 23 73
|
23
|
23,23,9,11,6,4,6
|
48 98
|
48
|
18,19,6.12,5,10,1
|
| 24 74
|
24
|
24,24,10,12,5,5,5
|
49 99
|
49
|
19,20,7,1,6,9,2
|
| 25 75
|
25
|
25,25,11,1,4.6,4
|
50 00
|
50
|
20,21,8,2,7,8,3
|
|