| Муниципальное автономное образовательное учреждение
«Давыдовская гимназия»
РЕФЕРАТ
по математике на тему: «Удивительное число π»
Выполнили:
Лысенко Евгения Геннадьевна,
Момотова Алена Александровна,
ученицы 8 класса
Руководитель:
Владимирова Ольга Григорьевна,
учитель математики
Давыдово 2012
СОДЕРЖАНИЕ
1. Введение . . . . . . . . . 3
2. Основная часть . . . . . . . . 4
2.1 Обозначение числа π.
. . . . . 4
2. 2 История числа π . . . . . . . 4
2. 2.1 Древний период . . . . . . . 5
2. 2.2 Классический период . . . . . . 9
2.2.3 Эра цифровых компьютеров . . . . . 11
2.3 Экспериментальные методы уточнения числа π . . 12
2.4 Поэзия цифр числа π . . . . . . 14
3. Заключение . . . . . . . . 19
4. Список литературы . . . . . . . 21
Введение
14 марта, во всем мире отмечается День числа «пи». Этот праздник придумал в 1987 году физик из Сан-Франциско Ларри Шоу, подметивший, что в американской системе записи дат (месяц/число) дата 14 марта (3.14) и время 1:59 совпадает с первыми цифрами числа π = 3,14159). Обычно День числа «пи» празднуют в 1:59 дня по местному времени (в 12-часовой системе). К празднику пекут (или покупают) пироги (торты), поскольку по-английски π произносится как «пай», что по звучанию совпадает со словом pie («пирог»). Специальные торжества проходят в научных обществах и учебных заведениях. Интересно, что праздник числа Пи, отмечающийся 14 марта, совпадает с днем рождения одного из наиболее выдающихся физиков современности Альбертом Эйнштейном. [7]
Нас заинтересовало это число. Кто первый догадался о связи длины окружности с его диаметром? Кто первый вычислил его значение? Какова история этого числа? Почему это число назвали «π»?
Цель
работы:
познакомиться с числом π, изучить историю его открытия методы нахождения
Задачи:
- изучить историю открытия числа π;
- изучить, методы нахождения числа π;
- сделать выводы.
2.Основная часть
2.1Обозначение числа π.
Мы знаем, кто построил первый самолет, кто изобрел радио, а вот кто первый догадался о связи между длиной окружности и ее диаметра не знает никто. Но известно когда появилось первое обозначение данного числа буквой. Считается, что впервые данное обозначение ввел английский преподаватель Уильям Джонсон(1675- 1749) в своей работе «Обозрение достижений математики», вышедшей в 1706 году. Еще раньше в 1647 году, английский математик Оутред применил букву π для обозначения длины окружности. Предполагается, что к этому обозначению его подтолкнуло первая буква греческого алфавита слова περιφερια – окружность. Но международным стандартом обозначение π для числа 3, 141592 … стало после того как его применил знаменитый русский академик, математик Леонард Эйлер в своих трудах в 1737 году. Он писал: «Существует множество других способов отыскания длин или площадей соответствующей кривой или плоской фигуры, что может существенно облегчить практику; например, в круге диаметр относится к длине окружности как 1 к » [1]
Забиваем Сайты В ТОП КУВАЛДОЙ - Уникальные возможности от SeoHammer
Каждая ссылка анализируется по трем пакетам оценки: SEO, Трафик и SMM.
SeoHammer делает продвижение сайта прозрачным и простым занятием.
Ссылки, вечные ссылки, статьи, упоминания, пресс-релизы - используйте по максимуму потенциал SeoHammer для продвижения вашего сайта.
Что умеет делать SeoHammer
— Продвижение в один клик, интеллектуальный подбор запросов, покупка самых лучших ссылок с высокой степенью качества у лучших бирж ссылок.
— Регулярная проверка качества ссылок по более чем 100 показателям и ежедневный пересчет показателей качества проекта.
— Все известные форматы ссылок: арендные ссылки, вечные ссылки, публикации (упоминания, мнения, отзывы, статьи, пресс-релизы).
— SeoHammer покажет, где рост или падение, а также запросы, на которые нужно обратить внимание.
SeoHammer еще предоставляет технологию Буст, она ускоряет продвижение в десятки раз,
а первые результаты появляются уже в течение первых 7 дней.
Зарегистрироваться и Начать продвижение
2.2 История числа π.
Считается, что число π было впервые открыто вавилонскими магами. Оно использовалось при строительстве знаменитой Вавилонской башни, история которой вошла в Библию. Однако недостаточно точное исчисление привело к краху всего проекта.
Считается также, что число Пи лежало в основе строительства знаменитого Храма царя Соломона.
История числа π шла параллельно с развитием всей математики. Некоторые авторы разделяют весь процесс на 3 периода: древний период, в течение которого π изучалось с позиции геометрии, классическая эра, последовавшая за развитием математического анализа в Европе в XVII веке, и эра цифровых компьютеров. [1]
2.2.1 Древний период.
Любой школьник вычисляет теперь длину окружности по диаметру гораздо точнее, чем мудрейший жрец древней страны пирамид или самый искусный архитектор великого Рима. В глубокой древности считалось, что окружность ровно в 3 раза длиннее диаметра. Эти сведения содержатся в клинописных табличках Древнего междуречья. Такое же значение можно увидеть в тексте библии: «И сделал литое из меди море, - от края его до края десять локтей, - совсем круглое … и снурок в тридцать локтей обнимал его кругом». Однако уже во II тысячелетии до н.э. математики Древнего Египта находили более точное отношение. В папирусе Райнда, который датируется примерно 1650 г. до н. э. для числа π приводится значение (16/9)2
, это приблизительно 3,16. Древние римляне считали, что окружность длиннее диаметра в 3,12, между тем правильное отношение – 3, 14159… Египетские и римские математики установили отношение длины окружности к диаметру не строгим геометрическим расчетом, как позднейшие математики, а нашли его просто из опыта. Но почему получались у них такие ошибки? Разве не могли они обтянуть какую-нибудь круглую вещь ниткой и затем, выпрямив нитку, просто измерить её? [2]
Сервис онлайн-записи на собственном Telegram-боте
Попробуйте сервис онлайн-записи VisitTime на основе вашего собственного Telegram-бота:
— Разгрузит мастера, специалиста или компанию;
— Позволит гибко управлять расписанием и загрузкой;
— Разошлет оповещения о новых услугах или акциях;
— Позволит принять оплату на карту/кошелек/счет;
— Позволит записываться на групповые и персональные посещения;
— Поможет получить от клиента отзывы о визите к вам;
— Включает в себя сервис чаевых.
Для новых пользователей первый месяц бесплатно.
Зарегистрироваться в сервисе
Возьмем, например, вазу с круглым дном диаметром в 100 мм. Длина окружности должна равняться 314 мм. Однако на практике, измеряя ниткой, мы едва ли получим эту длину: легко ошибиться на один миллиметр, и тогда π
окажется равным 3,13 или 3,15. А если учесть, что и диаметр вазы нельзя измерить вполне точно, что и здесь ошибка в 1 мм весьма вероятна, то для π
получаются довольно широкие пределы между 3,09 и 3,18.
Мы решили провести несколько опытов. Для этого провели несколько окружностей. С помощью нитки и линейки измерили длину каждой окружности и ее диаметр. Затем разделили длину окружности на ее диаметр. Мы получили следующие результаты.
| №
|
Длина окружности
|
Диаметр
|
π
|
| 1
|
14,5 см
|
5см
|
2,9
|
| 2
|
31см
|
10 см
|
3,1
|
| 3
|
10см
|
3 см
|
3,(3)
|
| 4
|
19,5см
|
6,5 см
|
3
|
| 5
|
16,5 см
|
5см
|
3,5
|
| 6
|
18 см
|
6 см
|
3
|
| 7
|
35 см
|
11см
|
3, (18)
|
| 8
|
20, 5см
|
6,5см
|
3,15
|
| 9
|
22см
|
6,9 см
|
3,19
|
| 10
|
21см
|
3 см
|
3
|
| 11
|
13 см
|
4см
|
3,25
|
| 12
|
6 см
|
1,7 см
|
3,5
|
| 13
|
12см
|
4см
|
3
|
| 14
|
12,5 см
|
4 см
|
3, 125
|
| 15
|
26см
|
8см
|
3,25
|
| 16
|
38см
|
12см
|
3,2
|
Среднее значение – 3,168
Определяя π
указанным способом, можно получить результат, не совпадающий с 3,14: один раз получим 3,1, другой раз 3,12, третий 3,17 и т.п. Случайно может оказаться среди них и 3,14, но в глазах вычислителя это число не будет иметь больше веса, чем другие.
Такого рода опытный путь никак не может дать сколько-нибудь приемлемого значения для π.
В связи с этим становится более понятным, почему древний мир не знал правильного отношения длины окружности к диаметру.
С 4 в до н.э. математическая наука стремительно развивалась в Древней Греции. Древнегреческие геометры строго доказали, что длина окружности пропорциональна ее диаметру, а площадь круга равна половине произведения длины окружности и радиуса S = ½ С R = π R2
. Это доказательство приписывают Евклиду Книдскому и Архимеду.
Архимед в сочинении «Об измерении круга» вычислил периметры вписанных в окружность и описанных около нее правильных многоугольников – от 6- до 96-угольника. Принимая диаметр окружности за единицу, Архимед рассматривал периметр вписанного многоугольника как нижнюю оценку длины окружности, а периметр описанного многоугольника как верхнюю оценку. Рассматривая правильный 96-угольник, Архимед получил оценку 
Таким образом, он установил, что число π заключено в пределах
3,1408 < π < 3,1428. Значение 22/7 до сих пор считается вполне хорошим приближением числа π для прикладных задач.
В «Алгебре» древнего арабского математика Магомета-бен-Муза о вычислении длины окружности читаем такие строки: «Лучший способ-это умножить диаметр на 3 1/
7
. Это самый скорый и самый легкий способ. Богу известно лучшее».
Чжан Хэн во 2 веке уточнил значение числа π, предложив два его эквивалента: 1) 92/29 ≈ 3,1724…, 2) √10.
В Индии Ариабхата и Бхаскара использовали приближение 3,1416.
Брахмагупта в 7 веке предложил в качестве приближения √10.
Около 265 года н. э. математик Лю Хуэй из царства Вэй предоставил простой и точный алгоритм для вычисления π с любой степенью точности. Он самостоятельно провёл вычисление для 3072-угольника и получил приближённое значение для π, π≈3,14159.
Позднее Лю Хуэй придумал быстрый метод вычисления π и получил приближённое значение 3,1416 только лишь с 96-угольником, используя преимущества того факта, что разница в площади следующих друг за другом многоугольников формирует геометрическую прогрессию со знаменателем 4.
В 480-х годах китайский математик Цзу Чунчжи продемонстрировал, что π≈355/113, и показал, что 3,1415926 < π < 3,1415927, используя алгоритм Лю Хуэя применительно к 12288-угольнику. Это значение оставалось самым точным приближением числа π в течение последующих 900 лет.
До II тысячелетия было известно не более 10 цифр π. [1]
2.2.2 Классический период.
Дальнейшие крупные достижения в изучении π связаны с развитием математического анализа, в особенности с открытием рядов, позволяющих вычислить π с любой точностью, суммируя подходящее количество членов ряда. В 1400-х годах Мадхава из Сангамаграма (англ. Madhava of Sangamagrama) нашёл первый из таких рядов

Этот результат известен как ряд Мадхавы — Лейбница, или ряд Грегори — Лейбница (после того как он был заново обнаружен Джеймсом Грегори и Готфридом Лейбницем в XVII веке). Однако этот ряд сходится к π очень медленно, что приводит к сложности вычисления многих цифр числа на практике — необходимо сложить около 4000 членов ряда, чтобы улучшить оценку Архимеда. Однако преобразованием этого ряда в

Мадхава смог вычислить π как 3,14159265359, верно определив 11 цифр в записи числа. Этот рекорд был побит в 1424 году персидским математиком Джамшидом ал-Каши, который в своём труде под названием «Трактат об окружности» привёл 17 цифр числа π, из которых 16 верные.
Первым крупным европейским вкладом со времён Архимеда был вклад голландского математика Людольфа ван Цейлена, затратившего десять лет на вычисление числа π с 20-ю десятичными цифрами (этот результат был опубликован в 1596 году). Применив метод Архимеда, он довёл удвоение до n-угольника, где n = 60·229. Изложив свои результаты в сочинении «Об окружности» («Van den Circkel»), Лудольф закончил его словами: «У кого есть охота, пусть идёт дальше». После смерти в его рукописях были обнаружены ещё 15 точных цифр числа π. Лудольф завещал, чтобы найденные им знаки были высечены на его надгробном камне. В честь него число π иногда называли «лудольфовым числом», или «константой Лудольфа».
Примерно в это же время в Европе начали развиваться методы анализа и определения бесконечных рядов. Первым таким представлением была формула Виета

найденная Франсуа Виетом в 1593 году.
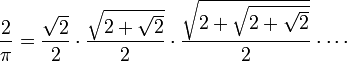
Другим известным результатом стала формула Валлиса: 
выведенная Джоном Валлисом в 1655 году.
Ряд Лейбница, первым найден Мадхавой из Сангамаграма в 1400 году 
В новое время для вычисления π используются аналитические методы, основанные на тождествах.
Эйлер, автор обозначения π, получил 153 верных знака.
Наилучший результат к концу XIX века был получен англичанином Вильямом Шенксом , у которого ушло 15 лет для того, чтобы вычислить 707 цифр, хотя из-за ошибки только первые 527 были верными.
Чтобы избежать подобных ошибок, современные вычисления подобного рода проводятся дважды. Если результаты совпадают, то они с высокой вероятностью верные. [1]
2.2.3 Эра цифровых компьютеров.
Ошибку Шенкса обнаружил один из первых компьютеров в 1948 году; он же за несколько часов подсчитал 808 знаков π
С появлением компьютеров темпы возросли:
1949 год - 2037 десятичных знаков (Джон фон Нейман, ENIAC),
1958 год - 10000 десятичных знаков (Ф.Женюи, IBM-704),
1961 год - 100000 десятичных знаков (Д.Шенкс, IBM-7090),
1973 год - 10000000 десятичных знаков (Ж.Гийу, М.Буйе, CDC-7600),
1986 год - 29360000 десятичных знаков (Д.Бейли, Cray-2),
1987 год - 134217000 десятичных знаков (Т.Канада, NEC SX2),
1989 год - 1011196691 десятичных знаков (Д.Чудновски и Г.Чудновски, Cray-2+IBM-3040). Они же добились в 1991 году 2260000000 знаков,
а в 1994 году - 4044000000 знаков.
Дальнейшие рекорды принадлежат японцу Тамуре Канада: в 1995 году 4294967286 знаков,
в 1997 – 51539600000.
К 2011 году ученые смогли вычислить значение числа π с точностью в 10 триллионов цифр после запятой! [5]
2.3 Экспериментальные методы уточнения числа π.
К известным методам уточнения Пи (подбором деления пар чисел, вписывания в круг многоугольника и вычисления сумм рядов) во второй половине прошлого века добавились еще три, которые можно назвать экспериментальными.
Первый, так называемый "метод иглы Бюффона". Нужно взять иглу (лучше с отломанным острием, чтобы игла была равномерной толщины) длиной 2 сантиметра и лист бумаги. На листе провести параллельные линии, отделенных одна от другой расстоянием вдвое больше длины иглы. Чтобы игла не подпрыгивала, подкладывают под бумажный лист сукно. Затем роняют иглу сто, или лучше тысячу раз, отмечают, было ли пересечение. Если потом разделить общее число падений иглы на число случаев, когда было замечено пересечение, то в результате должно получиться приближенно число π.
Мы бросали иглу 600 раз. 179 раз она пересекала линии. Мы получили 600/179≈3,35195530726…
Но как бросание иглы может быть связано с числом π? Оказывается, метод иглы Бюффона базируется на методах теории вероятностей.
Пусть число пересечений , например будет К, а длина иглы 20 мм. В случае пересечения точка встречи должна лежать на каком-либо из этих миллиметров, и ни один из них, ни одна часть иглы, не имеет в этом отношении преимущество перед другими. Поэтому число пересечений каждого миллиметра равно К/20. Вероятнейшее число пересечений прямо пропорционально длине иглы.
Эта пропорциональность сохраняется даже, если игла изогнута. К примеру, если игла изогнута так, что один участок - 11мм, а другой - 9мм, то все равно 9К/20+ 11К/20=К/20.
Можно бросать иглу в форме окружности с диаметром, равным расстоянию между двумя параллельными линиями. При одном бросании края окружности должны дважды касаться линий.
Получается: π ≈ число бросаний / число пересечений
В середине XVIII в. Шведский астроном Р.Вольф наблюдал 5000 падений иглы на разграфленную бумагу и получил в качестве π =3,159.
Отношение длины к окружности к диаметру находится здесь опытным путем, причем не чертят ни окружности, ни диаметра! Человек, не знающий геометрию, круг, может найти число π по этому способу, если терпеливо проделает весьма большое число бросаний иглы.
Второй метод, придуманный Г.А. Гальпериным, и называемый Пи-бильярдом, основан на оригинальной модели. При столкновении двух шаров, меньший из которых находится между большим и стенкой, и больший движется к стенке, число соударений шаров позволяет вычислить π со сколь угодно большой наперед заданной точностью. Надо только запустить процесс и посчитать число ударов шаров.
Для третьего метода можно воспользоваться известным предположением теории чисел: вероятность, что два числа взаимно просты, равна 6/π2
. (Взаимно простыми называются числа, не имеющие общих делителей кроме единицы). [3]
2.4 Поэзия цифр числа π.
Рассмотрим внимательно его первую тысячу знаков, проникнемся поэзией этих цифр, ведь за ними стоят тени величайших мыслителей Древнего мира и Средневековья, Нового и настоящего времени.
3,
1415926535 8979323846 2643383279 5028841971 6939937510 5820974944 5923078164 0628620899 8628034825 3421170679 8214808651 3282306647 0938446095 5058223172 5359408128 4811174502 8410270193 8521105559 6446229489 5493038196 4428810975 6659334461 2847564823 3786783165 2712019091 4564856692 3460348610 4543266482 1339360726 0249141273 7245870066 0631558817 4881520920 9628292540 9171536436 7892590360 0113305305 4882046652 1384146951 9415116094 3305727036 5759591953 0921861173 8193261179 3105118548 0744623799 6274956735 1885752724 8912279381 8301194912 9833673362 4406566430 8602139494 6395224737 1907021798 6094370277 0539217176 2931767523 8467481846 7669405132 0005681271 4526356082 7785771342 7577896091 7363717872 1468440901 2249534301 4654958537 1050792279 6892589235 4201995611 2129021960 8640344181 5981362977 4771309960 5187072113 4999999837 2978049951 0597317328 1609631859 5024459455 3469083026 4252230825 3344685035 2619311881 7101000313 7838752886 5875332083 8142061717 7669147303 5982534904 2875546873 1159562863 8823537875 9375195778 1857780532 1712268066 1300192787 6611195909 2164201989 [4]
Интересные данные о распределении цифр числа π. Некто не поленился, посчитал (для миллиона цифр после запятой):
нулей - 99959,
единиц -99758,
двоек -100026,
троек - 100229,
четвёрок- 100230,
пятёрок - 100359,
шестёрок- 99548,
семёрок - 99800,
восьмёрок - 99985,
девяток -100106.
Цифры десятичного представления числа π достаточно случайны. В нем присутствует любая последовательность цифр, просто надо ее найти. В этом числе присутствуют в закодированном виде все написанные и не написанные книги, любая информация, которая может быть выдумана, уже заложена в π. Надо только рассмотреть побольше знаков, найти нужный участок и расшифровать его. Здесь каждый может найти номер своего телефона, дату своего рождения или домашний адрес. [4]
Поскольку в последовательности знаков числа пи нет повторений – это значит, что последовательность знаков пи подчиняется теории хаоса, точнее, число пи – это и есть хаос, записанный цифрами.
Более того, при желании, можно этот хаос представить графически, и есть предположение, что этот Хаос разумен. В 1965-м году американский математик М. Улэм, сидя на одном скучном собрании, от нечего делать начал писать на клетчатой бумаге цифры, входящие в число пи. Поставив в центре 3 и двигаясь по спирали против часовой стрелки, он выписывал 1, 4, 1, 5, 9, 2, 6, 5 и прочие цифры после запятой. Попутно он обводил все простые числа кружками. Каково же было его удивление и ужас, когда кружки стали выстраиваться вдоль прямых! Позже он сгенерировал на основе этого рисунка цветовую картину с помощью специального алгоритма.
Длинные числа, приближенно выражающие значение π,
не имеют ни практической, ни теоретической ценности. Если бы мы пожелали, например, вычислить длину земного экватора с точностью до 1 см, предполагая, что заем длину его диаметра точно, то для этого нам вполне достаточно было бы взять всего 9 цифр после запятой в числе π
. А взяв вдвое больше цифр (18), мы могли бы вычислить длину окружности, имеющей радиусом расстояние от Земли до Солнца, с погрешностью не свыше 0,0001 мм (в 100 раз меньше толщины волоса!).
Чрезвычайно ярко показал абсолютную бесполезность даже первой сотни десятичных знаков числа π
наш соотечественник, математик Граве. Он подсчитал, что если представить себе шар, радиус которого равен расстоянию от Земли до Сириуса, т.е. числу километров, равному 132 с десятью нулями: 132 ∙ 1010
, наполнить этот шар микробами, полагая в каждом кубическом миллиметре шара по одному биллиону 1010
микробов, затем все эти микробы расположить на прямой линии так, чтобы расстояние между каждыми двумя соседними микробами снова равнялось расстоянию от Сириуса до Земли, то, принимая этот фантастический отрезок за диаметр окружности, можно было бы вычислить длину получившейся гигантской окружности с микроскопической точностью-до 1/1000000 мм, беря 100 знаков после запятой в числе π
. Правильно замечает французкий астроном Араго, что «в смысле точности мы ничего не выиграли бы, если бы между длиною окружности и диаметром существовало отношение, выражающееся числом вполне точно».
Для обычных вычислений с числом π
вполне достаточно заполнить два знака после запятой (3,14), а для более точных - четыре знака (3,1416: последнюю цифру берем 6 вместо 5 потому, что далее следует цифра, большая 5). [6]
Мнемонисты любят запоминать число π. И соревнуются в количестве запоминаемых цифр этого бесконечного числа. Рекордсмены разных стран занесены в книгу рекордов. Так японец Хидеаки Томойори может воспроизвести число ПИ до 40 000 знаков. На запоминание такого количество цифр у него ушло около 10 лет. Российский рекорд по запоминанию числа ПИ много скромнее. Александр Беляев воспроизвел 2500 знаков числа ПИ. На припоминание цифр он затратил полтора часа. На запоминание - полтора месяца. Рекорд запоминания числа Пи принадлежит украинцу Андрею Слюсарчуку, который запомнил 30 миллионов знаков числа после запятой. Поскольку простое перечисление этого заняло бы целый год, то судьи проверяли Слюсарчука следующим образом - они просили его назвать произвольные последовательности числа Пи с любого из 30 миллионов знака. Сверялся ответ по 20-томной распечатке.
Мнемонисты запоминают число π по одной простой причине. Если бы они воспроизводили просто ряд случайных чисел, то могут возникнуть подозрения, что человек не запомнил эти числа, а воспроизводит их по какой-нибудь системе. Но когда человек воспроизводит бесконечное число π, то всякие подозрения о нечестности отпадают, так как никакой закономерности в следовании цифр в числе π нет. И единственный способ воспроизвести эти цифры - это запомнить их.
Небольшие стихотворения или яркие фразы дольше остаются в памяти, чем числа, поэтому для запоминания какого-либо числового значения π
придумывают особые стихотворения или отдельные фразы. В произведениях этого вида «математической поэзии» слова подбирают так, чтобы число букв в каждом слове последовательно совпадало с соответствующей цифрой числа π
. Известно стихотворение на английском языке - в 13 слов, следовательно, дающее 12 знаков после запятой в числе π
See I have a rhyme assisting
My feeble brain, its tasks off times resisting;
на немецком языке - в 24 слова, а на французском языке в 30 слов. Они любопытны, но слишком велики, тяжеловесны. Существуют такие стихи и предложения на русском языке.
Например,
1. «Это я знаю и помню прекрасно».
3 1 4 1 5 9
«Пи многие знаки мне лишни, напрасны».
2 6 5 3 5 8…
2. «Что я знаю о кругах?» - вопрос, скрыто заключающий в себе и ответ: 3,1416.
3. "Учи и знай в числе известном за цифрой цифру, как удачу, примечать" (=3,14159265358).
4. Архимедово число
"Двадцать две совы скучали
На больших сухих суках.
Двадцать две совы мечтали
О семи больших мышах".
5. "Нужно только постараться
И запомнить все, как есть:
Три, черырнадцать, пятнадцать,
Девяносто два и шесть [8]
В мире есть памятник числу π - он установлен в Сиэтле перед зданием музея искусств.
Существуют и Пи-клубы, члены которого, являясь фанатами загадочного математического феномена, собирают все новые сведения о числе Пи и пытаются разгадать его тайну. В 2005 году певица Кейт Буш (Kate Bush) выпустила альбом "Aerial", в котором была песня про число π. В песне, которую певица так и назвала – "Пи", прозвучали 124 числа из знаменитого числового ряда. Но в ее песне неправильно названо 25-е число последовательности, и куда-то исчезли целых 22 числа.
Заключение
Работая над рефератом, мы узнали много нового и интересного о числе π.
Число π занимало умы ученых с глубокой древности до наших дней. Но неизвестно кто первый догадался о связи между длиной окружности и ее диаметра. Международным стандартом обозначение π для числа 3, 141592 стало после того как его применил знаменитый русский академик, математик Леонард Эйлер в своих трудах в 1737 году. Историю числа π можно разделить на 3 периода: древний период, классическая эра и эра цифровых компьютеров. Для его вычисления применяли разные методы. Число π называют еще «лудольфовым числом». Число π бесконечная непериодическая дробь. Цифры его десятичного представления достаточно случайны. Никакое другое число не является таким загадочным, как "Пи" с его знаменитым никогда не кончающимся числовым рядом. Во многих областях математики и физики ученые используют это число и его законы.
Некоторые ученые даже считают его одним из пяти важнейших чисел в математике.
У числа π много поклонников не только среди ученых. Существуют
Пи – клубы поклонников этого числа, много сайтов в интернете посвящены этому удивительному числу.
«Куда бы мы ни обратили свой взор, мы видим проворное и трудолюбивое число: оно заключено и в самом простом колесике, и в самой сложной автоматической машине». Кымпан Ф.
Литература
1. Жуков А. В. «Вездесущее число π». – М:. Едиториал УРСС, 2004, - 216с
2. Энциклопедия для детей Математика – М:. Аванта+
, 2001, - 686с
3. Перельман Я.И. «Занимательная геометрия». –М:. АО «СТОЛЕТИЕ», 1994, -336 с
4. В чем леденящая тайна числа ПИ? -[www документ] — http://shkolazhizni.ru/
5. История числа «пи» -[www документ]- http://crow.academy.ru
6. Клуб числа пи - -[www документ]- http://arbuz.narod.ru
7. Международный день числа пи --[www документ]- http://www.calend.ru/holidays
8. Число Пи. Мнемоника -[www документ]- http://www.mnemonica.ru/
|