| РЕФЕРАТ ПО МАТЕМАТИКЕ.
НА ТЕМУ:
«ОСНОВНЫЕ МЕТОДЫ РЕШЕНИЯ СИСТЕМ НЕЛИНЕЙНЫХ УРАВНЕНИЙ С ДВУМЯ ПЕРЕМЕННЫМИ».
АВТОР РАБОТЫ:
УЧЕНИК 9 КЛАССА «Б»
ГОУ ГОИНАЗИИ № 1505
СТАРИЧЕНКОВ АЛЕКСАНДР.
НАУЧНЫЙ РУКОВОДИТЕЛЬ:
КЛАССНЫЙ РУКОВОДИТЕЛЬ 9 «Б» КЛАССА
БАТАЛОВА ВЕРА ИВАНОВНА.
ГОД РЕАЛИЗАЦИИ ИССЛЕДОВАНИЯ:
2010-2011 ГОД
ГОРОД МОСКВА.
ОГЛАВЛЕНИЕ
:
1) ВВЕДЕНИЕ.
2) ГЛАВА 1: ОПРЕДЕЛЕНИЯ. ЧТО ЗАНЧИТ СИСТЕМА УРАВНЕНИЙ И ЕЁ РЕШЕНИЕ?
3) ГЛАВА 2: РАЗБОР МЕТОДОВ РЕШЕНИЯ СИСТЕМЫ НЕЛИНЕЙНЫХ УРАВНЕИЙ.
4) РЕШЕБНИК.
5) ЗАКЛЮЧЕНИЕ.
6) СПИСОК ЛИТЕРАТУРЫ.
1) ВВЕДЕНИЕ
:
Тема моего реферата «Решение систем уравнений с двумя переменными
». Эта тема играет важную роль в курсе математики. Издавна применялось исключение неизвестных из линейных уравнений. В XVII - XVIII в.в. приемы исключения разрабатывали:
Пьер де Ферма( 17 августа 1601 - 12 января 1665, прожил 63 года) - французский математик, один из создателей аналитической геометрии, математического анализа, теории вероятностей и теории чисел. По профессии юрист, с 1631 года — советник парламента в Тулузе;

Исаак Ньютон( 25 декабря 1642 (4 января 1643) - 20 марта 1727 (31 марта 1727), прожил 84 года) - английский физик, математик и астроном, один из создателей классической физики;

Готфрид Вильгельм фон Лейбниц( 1 июля 1646 - 14 ноября 1716, прожил 70 лет) - немецкий философ, математик, юрист, дипломат;

Леонард Эйлер( 4 (15) апреля 1707 - 7 (18) сентября 1783, прожил 76 лет) - швейцарский, немецкий и российский математик, внёсший значительный вклад в развитие математики, а также механики, физики, астрономии и ряда прикладных наук;

Этьенн Безу( 31 марта 1730 - 27 сентября 1783, прожил 53 года) - французский математик, член Парижской академии наук (1758);

Жозеф Луи Лагранж(25 января 1736 - 10 апреля 1813, прожил 77 лет) - французский математик, астроном и механик итальянского происхождения. Наряду с Эйлером — лучший математик XVIII века.

Кроме этого данная тема имеет прикладной характер, т.к. многие задачи по физике, экономике и химии решаются с помощью систем нелинейных уравнений
.
Системы линейных уравнений
изучаются уже в 7-м классе, а в 8-м – на курсах геометрии решаются системы нелинейных уравнений
. Однако уже в 9-м классе задачи по алгебре, физике, экономике и химии приводят к более сложным нелинейным системам, решение которых надо знать.
Забиваем Сайты В ТОП КУВАЛДОЙ - Уникальные возможности от SeoHammer
Каждая ссылка анализируется по трем пакетам оценки: SEO, Трафик и SMM.
SeoHammer делает продвижение сайта прозрачным и простым занятием.
Ссылки, вечные ссылки, статьи, упоминания, пресс-релизы - используйте по максимуму потенциал SeoHammer для продвижения вашего сайта.
Что умеет делать SeoHammer
— Продвижение в один клик, интеллектуальный подбор запросов, покупка самых лучших ссылок с высокой степенью качества у лучших бирж ссылок.
— Регулярная проверка качества ссылок по более чем 100 показателям и ежедневный пересчет показателей качества проекта.
— Все известные форматы ссылок: арендные ссылки, вечные ссылки, публикации (упоминания, мнения, отзывы, статьи, пресс-релизы).
— SeoHammer покажет, где рост или падение, а также запросы, на которые нужно обратить внимание.
SeoHammer еще предоставляет технологию Буст, она ускоряет продвижение в десятки раз,
а первые результаты появляются уже в течение первых 7 дней.
Зарегистрироваться и Начать продвижение
Эту тему я выбрал для того, чтобы изучить основные методы решения систем нелинейных уравнений.
Реализировать мою цель я буду с помощью поставленных мною задач:
1)
Изучить вопросы равносильности систем уравнений.
2)
Изучить методы замены переменной и сложение.
3)
Познакомиться с симметричными системами уравнений.
4)
Разобрать метод почленного умножения и деления систем уравнений.
5)
Познакомиться с решением однородных систем уравнений.
В результате изучения этой темы я составлю решебник
систем нелинейных уравнений. Я надеюсь что, мой решебник
сможет помочь учащимся 8-9 классов лучше подготовиться к выпускным экзаменам. А основные методы решения систем с параметром я буду изучать в 10-м классе.
2) ГЛАВА 1: ОПРЕДЕЛЕНИЯ. ЧТО ЗАНЧИТ СИСТЕМА УРАВНЕНИЙ И ЕЁ РЕШЕНИЕ?
В данной части моего реферата, я хотел бы рассказать вам, что же такое линейные функции с двумя переменными и их системы.
Для начало надо выяснить, что такое линейное уравнение.
Уравнение вида ax=
b
, где a
и b
– числа, а x
– переменная, называется линейным уравнением с одной переменной. Если a ≠ 0
, то уравнение имеет один корень:

Если a = 0
, то в случае, когда b ≠ 0
, уравнение не имеет корней; в случае, когда b = 0
, корнем уравнения является любое число: М.Л.Галицнкий, А.М.Гольдман, Л.И.Звавич
«Сборник задач по алгебре 8-9» М.:»Просвещение», 1994 стр. 5 (7 пункт).
Уравнение вида ax +
by =
c
, где a,
b
и
c
– числа, а x,
y
– переменные, называется линейным уравнением с двумя переменными.
Графиком линейного уравнения с двумя переменными, в котором a
≠ 0
или b ≠ 0
, является прямая. Если a = 0
и b = 0
, то в случае с = 0
графиком является вся координатная плоскость, а в случае c ≠ 0
уравнение не имеет решений.
Рисунок № 1:

На рисунке № 1 изображён график линейной функции. В данном случае a
заменена на k
, но по сути это одно и тоже. K
– угловой коэффициент, от которого зависит угол наклона графика функции. На рисунке видно, что k
– положительное число, следовательно угол а
– острый. Если бы угловой коэффициент k
был отрицательным числом, то а
был бы тупым углом, как это показано на рисунке №2.
Рисунок № 2:
Сервис онлайн-записи на собственном Telegram-боте
Попробуйте сервис онлайн-записи VisitTime на основе вашего собственного Telegram-бота:
— Разгрузит мастера, специалиста или компанию;
— Позволит гибко управлять расписанием и загрузкой;
— Разошлет оповещения о новых услугах или акциях;
— Позволит принять оплату на карту/кошелек/счет;
— Позволит записываться на групповые и персональные посещения;
— Поможет получить от клиента отзывы о визите к вам;
— Включает в себя сервис чаевых.
Для новых пользователей первый месяц бесплатно.
Зарегистрироваться в сервисе

Возможен и третий случай, если k = 0, то y = b( см. рисунок № 3).
Рисунок №3:

Решением системы уравнений с двумя переменными называется пара значений переменных, подставив которые в любую из данных уравнений системы, получим верное числовое равенство.
Решить систему уравнений значит найти эту пару значений переменных. Для примера возьмём простую систему уравнений, заодно посмотрим. Как же записывается система уравнений:

В ней уже сразу надо значение переменной x
. Значит, подставив во второе уравнение это значение, можно найти значение переменной y
, заодно рассмотрим решение системы уравнений с помощью метода подстановки:

Ответ: решением данной системы является пара чисел (5; 7):
x = 5;
y = 7,
именно так расшифровывается запись в скобках.
Система двух линейных уравнений с двумя переменными может иметь единственное решение, бесконечно много решений и не иметь решений, что геометрически интерпретируется соответственно как пересечение, совпадение и параллельность прямых, являющихся графиками уравнений системы: там же. стр. 6 (пункт 9).
Теперь поговорим о равносильности систем уравнений.
Две системы называются равносильными, если множества их решений совпадают. Если обе системы не имеют решений, то они также считаются равносильными.
Решая системы уравнений, обычно заменяют данную систему другой, равносильной исходной, которую решать проще. При этом можно использовать следующие утверждения о равносильности систем уравнений:
1) если одно из уравнений системы заменить на равносильное уравнение, то получим систему. Равносильную исходной;
2) если одно из уравнений систем заменить суммой каких-либо двух уравнений данной системы, то получим систему, равносильную исходной;
3) если одно из уравнений системы выражает зависимость какой-либо переменной, например x, через другие переменные, то, заменив в каждом уравнении системы переменную x на её выражение через другие переменные, то получим систему, равносильную исходной: там же. стр. 107-108 (пункт 2, абзац 3-4).
3)
ГЛАВА 2: РАЗБОР МЕТОДОВ РЕШЕНИЯ СИСТЕМЫ НЕЛИНЕЙНЫХ УРАВНЕИЙ.
Основная цель при решении систем линейных уравнений - решить эту систему, то есть найти все ее решения или доказать, что решений нет. Для решения системы уравнений с двумя переменными используются:
1) графический способ;
2) способ замены переменной и алгебраического сложения и вычитания;
3) способ почленного умножения и деления;
4) способ подстановки.
Все эти способы используются во всех предметах, где необходимы знания математики: алгебра, физика, химия, геометрия.
Рассмотрим способ № 1
: Известно, что графиком линейного уравнения является прямая. Вопрос о числе решений системы двух линейных уравнений сводиться к определению числа общих точек прямых, являющимися графиками уравнений системы. Рассмотрим три случая расположения прямой.
Случай 1: Прямые, которые являются графиком функции, входящих в данную систему, пересекаются.
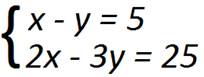
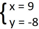
Решим эту систему:

Уравнениями у=-1,1х+12
и у=-6х+18
задаются линейные функции. Угловые коэффициенты прямых этих функций различны. Следовательно, эти прямые пересекаются, и система имеет единственное решение. Прировняв правые части уравнений, найдем точку пересечения. Данная система имеет единственное решение: пара чисел равная (1,2; 10,7)
.
Случай 2: Прямые, являющиеся графиками уравнений системы, параллельны.
Решим систему уравнений:

Прямые, являющиеся графиками линейных функций у=-0,4х+0,15
и у=-0,4х+3,2
, параллельны, так как их угловые коэффициенты одинаковы, а точки пересечения с осью у различны. Отсюда следует, что данная система уравнений не имеет решений.
Случай 3: Прямые, являющиеся графиками уравнений системы, совпадают.

Очевидно, что графики уравнений совпадают. Это означает, что любая пара чисел (х; у)
, в которой х
- произвольное число, а у = - 2,5х - 9
, является решением системы. Система имеет бесконечно много решений.
Во время решения систем нелинейных уравнений данным способом вызывает у учащихся трудности по ряду причин:
1) не умение, выражать одну переменную через другую;
2) не правильное построение системы координат (различный единичный отрезок на осях ординат и абсцисс).
Рассмотрим способ № 2( замена переменной):
Легче всего это сделать решив задачу, что мы сейчас и сделаем:
Условие задачи
: Ученик задумал два числа. Первое число на 5 больше второго. Если от удвоенного первого числа вычесть утроенное второе число, то получится 25. Какие числа задумал ученик?
Решение
: Пусть х
- первое число, у
- второе число. По условию задачи составим систему уравнений.

В первом уравнении выразим х
через у
: х=у+5
.
Подставив во второе уравнение вместо переменной х выражение х = у + 7, получим систему

Очевидно, что получившееся второе уравнение является уравнением с одной переменной.
Решим его:

Подставив в первое уравнение системы вместо переменной у ее значение, равное 6, получим:

Ответ
: ученик задумал числа равные -6 и -11, т. е. пара чисел (-6; -11)
является решением данной системы.
Во время решения систем нелинейных уравнений данным способом вызывает у учащихся трудности по ряду причин:
1) не умение, выражать одну переменную через другую;
2) не умение, подставить уже полученную переменную (забывают или не видят).
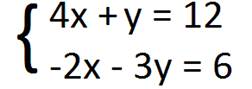
Рассмотрим способ № 2( алгебраическое сложение):
Как и в методе подстановки, мы переходим от данной системы к другой, равносильной ей системе, в которой одно из уравнений содержит только одну переменную.
Решим систему уравнений:

В уравнениях этой системы коэффициенты при у
являются противоположными числами ( +3
y и -3
y)
. Сложив почленно левые и правые части уравнений, получим уравнение с одной переменной:

Заменим одно из данных нам уравнений системы, например первое, уравнением 2x = 18
. Получим систему:

Полученная система равносильна данной системе. Решим полученную систему:
Из уравнения 2х=18
находим, что х=9
. Подставив это значение х
в уравнение 4х-3у=12
, получим уравнение с переменной у
.
Решим это уравнение:

Пара чисел (11; - 9)
- решение полученной системы, а значит, и данной нам системы.
Воспользовавшись тем, что в уравнениях данной нам системы коэффициенты при у
являются противоположными числами, мы свели ее решение к решению равносильной системы, в которой одно из уравнений содержит только одну переменную.
Геометрически равносильность систем означает, что графики уравнений 4
x + 3
y = 12
и -2
x - - 3у=38
пересекаются.
Во время решения систем нелинейных уравнений данным способом вызывает у учащихся трудности только по одной причине:
1) не умение, подставить уже полученную переменную (забывают или не видят).
Рассмотрим способ № 3
: Если при решении систем уравнений учащийся не может ни заменить переменную, ни алгебраически сложить, то можно прибегнуть к этому способу. Разберём на примере.
Решим систему уравнений:

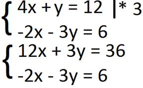
Домножим верхнее уравнение на 3. Получим:

Очевидно, что и в первом и во втором уравнениях есть 3y, только с разными занками. Дальше решаем так же, как и прошлой системе ( см. 3 разбор).
В конце получаем, что пара чисел (4,2; -4,8) является решением данной нам системы.
Во время решения систем нелинейных уравнений данным способом вызывает у учащихся трудности только по ряду причине:
1) не видят, что и на сколько надо домножить;
2) не умение, подставить уже полученную переменную (забывают или не видят).
Рассмотрим способ подстановки: Этот метод или способ решения систем уравнений используется чаще всех. Грубо говоря, этот способ мы разобрали во всех остальных, т.к. заменяя одну систему на равносильную ей, мы находим одну переменную, а затем подставляем её значение в одно из уравнений данной нам системы. А следовательно, возникающие проблемы при решении систем уравнений этим способом такие же, как и у всех остальных методов:
1) не умения, выражать одну переменную через другую;
2) не умение, подставить уже полученную переменную;
Итак, из всего выше сказанного можно сделать вывод:
во время решения систем нелинейных уравнений у учащихся возникают проблемы по ряду двум причинам:
1) не умения, выражать одну переменную через другую;
2) не умение, подставить уже полученную переменную;
3) не видят, что и на сколько надо домножить.
5) РЕШЕБНИК.
В этой части реферата написан решебник на мою тему с целью помочь читающим попрактиковаться в решении систем уравнений с двумя переменными. Для каждого метода будет представлено по примера и решение одного из них, в качестве примера как их решать тем или иным методом.
1) Метод замены переменной и алгебраического сложения и вычитания
:
Для начала метод алгебраического сложения
.
Пример №1
:

Решение
:
Можно заметить, что в двум уравнениях присутствует одна и та же переменная: 3
y
, только с разными знаками. Следовательно, их можно алгебраически сложить и мы получим равносильную систему:
Итак, мы нашли значение первой переменной: x = 1
. теперь подставляем это значение в любую из уравнений, чтобы найти значение второй переменной:

Получили: y = 0
.
Ответ
: (1; 0).
Метод алгебраического вычитания почти такой же как и метод алгебраического сложения, только вместо того, чтоб складывать уравнения, мы вычитаем одно из другого.
Теперь разберём последовательность решения методом замены переменной
:
Пример №2
:

Решение
:

Объяснение
:
Вначале я перенёс одну переменную из уравнения 1 вправо и получил: x = 1 –
y
. Затем, я подтсавил полученное значение во второе уравнение и нашёл значение переменной y
: y = 0
. после этого. Я подставил это значение во второе уравнение и получил значение переменной x
: x = 1
.
Ответ
: (1, 0).
Теперь потренируйтесь самостоятельно.
Пример №3 (метод алгебраического сложения
)
:

У вас должен получиться ответ
: (2; -0,(3) ).
Пример №4 (метод замены переменной
):

Правильный ответ
: (7; 1).
2) Метод почленного умножения и деления
:
Пример№1:

Решение
:
Домножим первое уравнение на два и получим:

Теперь вычтем из первого уравнения второе (включаем в решение метод алгебраического вычитания). Затем решаем всё как и в прошлых примерах: находим значение одной переменной, затем второй и пишем ответ.
Ответ
: (1; 1).
Метод почленного деления очень похож, но вместо умножения каждого члена уравнения на какое-либо число мы на него их делим.
Теперь потренируйтесь.
Пример №2 (метод почленного деления
)
:

Правильный ответ
: (1; 1).
Пример №3 (метод почленного умножения
):

У вас должен получиться ответ
: (3 -4) и (-3; 4).
3)
Метод графического решения
.
Пример №1
:

Решение
:
Для начала перенесём переменную x в правую сторону, чтобы получить уравнение функции:

Теперь начертим графики полученных функций:
Функция №1
:

Функция №2:

Теперь найдём их пересечение:

Ответ
: (0; 0).
Теперь потренируйтесь сами.
Приметр№2
:

Правильный ответ
: (3; 1).
Пример №3
:

У вас должен получиться ответ
: (-2; -1) и (-1; 0).
5) ЗАКЛЮЧЕНИЕ.
Итак, я рассмотрел все методы решения систем уравнений с двумя переменными и составил решебник, который поможет тем, кто читает мой реферат, лучше усвоит каждый метод и попрактиковаться в решении систем уравнений с двумя переменными. Я надеюсь, что мой реферат был понятен каждому и помог разобраться во всём. Я надёюсь, что в 10-ом классе я изучу системы уравнений с тремя переменными и с методы их решения. Возможно, я напишу реферат именно на эту тему, чтобы поделиться моими знаниями с другими людьми.
6) СПИСОК ЛИТЕРАТУРЫ.
1. Ю.Н.Макарычев, Н.Г.Миндюк, К.И.Нешков "АЛГЕБРА. Учебник для 9 класса с углублённым изучением математики" Москва 2006 год, 5-е издание - М.:Мнемозина, 439 страниц, иллюстрации.
2. М.Л.Галицкий, А.М.Гольдман, Л.И.Звавич "Сборник задач по алгебре 8-9 классы" Москва "Просвещение" 1994 год, 271 страница.
3) http://ru.wikipedia.org
|