| Контрольные и курсовые работы в Твери http://referat-tver.ru/
Вид работы: Курсовая работа
Дисциплина: Маркетинг
Тема: Информационное обеспечение маркетинговых исследований
Вуз: МИЭП – Тверь, 2011
Содержание
ВВЕДЕНИЕ............................................................................................................. 3
Глава 1. РОЛЬ ИНФОРМАЦИИ В МАРКЕТИНГОВОМ ИССЛЕДОВАНИИ... 5
1.1. Принципы маркетинговой информации..................................................... 5
1.2. Маркетинговая информационная система (МИС).................................... 12
1.3. Наблюдение как форма получения информации в маркетинге............... 15
Глава 2. СТРУКТУРА МАРКЕТИНГОВОЙ ИНФОРМАЦИИ......................... 23
2.1. Типология маркетинговой информации................................................... 23
2.2. Носители и источники маркетинговой информации................................ 28
ЗАКЛЮЧЕНИЕ.................................................................................................... 35
СПИСОК ИСПОЛЬЗОВАННЫХ ИСТОЧНИКОВ И ЛИТЕРАТУРЫ.............. 37
Термин «маркетинг» возник в экономической литературе США на рубеже XIX - ХХ столетий. В основу концепции маркетинга были положены идеи удовлетворения нужд потребителей. Появление данной концепции связано с затруднениями в сбытовой деятельности, когда кризис перепроизводства товаров потребовал исследования конъюнктуры рынка.
В современном представлении сбыт – лишь верхушка маркетингового айсберга. Основу маркетинговой деятельности составляют исследование и разработка товаров, налаживание коммуникаций, организация распределения ресурсов, установление цен, развертывание службы сервиса.
Актуальность темы обусловлена рыночным характером преобразований, происходящих в российской экономике. При рыночной системе хозяйствования в условиях свободного рынка и сложного взаимодействия спроса и предложения важнейшим условием коммерческого успеха предприятия является выработка и осуществление целостной, эффективной и гибкой маркетинговой политики.
Различные теоретические и практические аспекты данной проблемы достаточно глубоко проработаны отечественными и зарубежными исследователями. На формирование взглядов автора наибольшее влияние оказали труды И.К.Беляевского, Л.Е.Басовского, В.А.Есипова, Е.П.Голубкова, Ф.Котлера, Ж.Ламбена, В.А.Хруцкого, Н.Д.Эриашвили,.
Забиваем Сайты В ТОП КУВАЛДОЙ - Уникальные возможности от SeoHammer
Каждая ссылка анализируется по трем пакетам оценки: SEO, Трафик и SMM.
SeoHammer делает продвижение сайта прозрачным и простым занятием.
Ссылки, вечные ссылки, статьи, упоминания, пресс-релизы - используйте по максимуму потенциал SeoHammer для продвижения вашего сайта.
Что умеет делать SeoHammer
— Продвижение в один клик, интеллектуальный подбор запросов, покупка самых лучших ссылок с высокой степенью качества у лучших бирж ссылок.
— Регулярная проверка качества ссылок по более чем 100 показателям и ежедневный пересчет показателей качества проекта.
— Все известные форматы ссылок: арендные ссылки, вечные ссылки, публикации (упоминания, мнения, отзывы, статьи, пресс-релизы).
— SeoHammer покажет, где рост или падение, а также запросы, на которые нужно обратить внимание.
SeoHammer еще предоставляет технологию Буст, она ускоряет продвижение в десятки раз,
а первые результаты появляются уже в течение первых 7 дней.
Зарегистрироваться и Начать продвижение
Целью работы является изучение информационного обеспечения маркетинговых исследований.
Достижение поставленной цели включает последовательное решение следующих задач:
рассмотреть принципы маркетинговой информации;
рассмотреть сущность маркетинговой информационной системы;
рассмотреть наблюдение как форма получения информации в маркетинге;
рассмотреть типологию маркетинговой информации;
рассмотреть носители и источники маркетинговой информации.
В основе маркетингового исследования лежит информация, т.е. получение необходимых знаний и сведений о рынке и рыночной деятельности. Маркетинговая информация относится к категории управленческих функций, необходимых для осуществления маркетинга. Отсутствие или неполнота информации о рыночных процессах и явлениях может стать непреодолимым препятствием для достижения коммерческого успеха.
Информация это форма общения, коммуникации, средство получения и передачи знаний о каком-либо маркетинговом явлении или процессе, об юридических и физических лицах, участвующих в рыночной деятельности.
Маркетинговая информация представляет собой совокупность цифр, фактов, сведений, слухов, оценок и других данных, необходимых для анализа и прогнозирования рыночной деятельности.
Информационный процесс в маркетинге охватывает деятельность по сбору, обработке, сводке и хранению рыночных данных. Создание и использование информационного банка подчинено задачам управления маркетингового и имеет целью обеспечить знание рыночных процессов для принятия оптимальных решений. [1]
Маркетинг сам стимулирует информационные потребности. Наличие информации – средство уменьшение неопределенности, свойственной стохастическим процессам рынка. По словам отца кибернетики Н.Винера, управление фирмой есть процесс преобразования информации в действия. Информация представляет собой орудие конкурентной борьбы, обеспечивающее стратегически важное преимущество над конкурентами.
В маркетинге формируется информационная среда, которая включает:
· информационные ресурсы, т.е. совокупность различных документов и других информационных систем (библиотек, архивов, банков данных и т.п.), связанных с рыночной деятельностью;
· информационную инфраструктуру, т.е. системы формирования, хранения и использования информации в целях маркетингового исследования.
Сервис онлайн-записи на собственном Telegram-боте
Попробуйте сервис онлайн-записи VisitTime на основе вашего собственного Telegram-бота:
— Разгрузит мастера, специалиста или компанию;
— Позволит гибко управлять расписанием и загрузкой;
— Разошлет оповещения о новых услугах или акциях;
— Позволит принять оплату на карту/кошелек/счет;
— Позволит записываться на групповые и персональные посещения;
— Поможет получить от клиента отзывы о визите к вам;
— Включает в себя сервис чаевых.
Для новых пользователей первый месяц бесплатно.
Зарегистрироваться в сервисе
Важным элементом информационной инфраструктуры является информационная технология. Она включает различные методы сбора, анализа, хранения и обработки информации, в частности статистическое и иное наблюдение, банки и базы данных, информационные центры, ручную и автоматизированную обработку собранных и переданных материалов и т.п. В инфраструктуру маркетингового исследования входят также информационные брокеры, занятые предоставлением стандартизованных информационных услуг. Характеристики, полученные в результате маркетингового анализа и прогноза, также используют информационную технологию.
Структура маркетинговой информации позволяет выделить и различать несколько ее видов, каждый из которых выполняет определенные функции: [2]
· факт, представляющий собой простейший вид информации: событие или условие, непосредственно наблюдаемые;
· сведения, являющиеся разновидностью фактов, представленных в систематизированной, обобщенной форме;
· слухи, т.е. неподтвержденные, непроверенные факты;
· оценки, которые включают информацию, базирующуюся на умозаключениях, подсчетах и статистических расчетах (формой оценки является также прогноз, т.е. научное предвидение);
· цифры, представляющие собой форму отображения количественной информации.
Значительная часть количественной информации относится к категории статистических величин. Из них выделяются:
· абсолютные данные, позволяющие определить размерность, величину изучаемого явления или процесса (количество, товарная масса, объем продаж, число работников);
· относительные данные, которые выражают соотношения величин, результаты их сравнения (динамика, структура, интенсивность, координация);
· средние величины, которые отражают обобщенный уровень, абстрагированный от индивидуальных особенностей отдельных единиц (доход на одного человека, средний размер поставки).
Абсолютные величины представляют собой обобщенные результаты замера (измерения, подсчета, оценки), т.е. характеристику количественной определенности изучаемого явления/процесса. Часто это суммарные величины, совокупность единиц, результаты интеграционного процесса в рыночной экономике. Измерения в маркетинговом исследовании могут быть как качественными (атрибутивными) типа много, мало и т.п., так и количественными (с указанием единиц измерения и способов измерения). Различаются: индивидуальные абсолютные величины, которые представляют собой непосредственные результаты измерения (замера, подсчета, оценки) тех или иных маркетинговых явлений или процессов и сводные объемные величины, получаемые в результате сводки и группировки изучаемых данных.
Относительные величины дают богатейший материал для рыночных исследований. Характеристика рыночного процесса или явления может быть получена прежде всего на базе сравнения. Относительная величина представляет собой частное от деления изучаемой величины со сравниваемой, которую называют базой сравнения. Сравнения позволяют оценить вектор и скорость изменения рыночного процесса, выявить структуру рынка и его элементов, интенсивность развития, координацию отдельных составляющих рынка.
Различаются следующие виды относительных величин: [3]
· динамики - сравнение предыдущего уровня с базисным (например, темп роста продажи товара);
· структуры - соотношение части изучаемой совокупности с целым (например, доля продуктов питания в общем объеме покупок, в процентах к итогу);
· координации - соотношение отдельных явлений или их элементов между собой (например, на каждые 100 рублей, израсходованных на покупку товаров, приходится определенное количество денег, отложенных в виде сбережений);
· сравнения - соотношение величин одноименных показателей, относящихся к разным экономическим объектам или территориям (в частности, на инвестиции в торговую сферу приходится в 13 раз меньше, чем в промышленность);
· интенсивности - степень распространения развития какого-либо рыночного явления или процесса в определенной среде (например, число пользующихся сотовыми телефонами на 10 тыс. жителей);
· выполнения плана (задания) - отношение фактической маркетинговой деятельности к запланированной (например, предприятие запланировало выпустить на рынок 5 тыс. новых изделий, однако удалось реализовать только 1 тыс. изделий, или 20% плана).
Важную информационную функцию выполняют средние величины, которые отражают общую закономерность состояния рыночного явления. Они характеризуют общий уровень рынка, или его сегмента. Средняя величина погашает индивидуальные отклонения от проявляющейся тенденции или колеблемости рыночного развития, обобщают отдельные единицы совокупности.
Средняя величина отражает типичный уровень и при этом позволяет абстрагироваться от индивидуальных значений. В значении средней проявляются основные факторы, не второстепенные или случайные.
Изучение и оценки средних величин требуют соблюдения одного важнейшего требования: в процессе маркетингового исследования должна быть обеспечена однородность единиц, входящих в совокупность, и должен быть достаточно большой объем данных. Средние величины чаще всего рассчитываются по одной из двух основных формул: средней арифметической и средней гармонической.
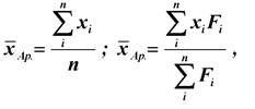
Средняя величина имеет два варианта расчета: среднюю арифметическую простую (невзвешенную) и среднюю арифметическую взвешенную. Первый вариант рассчитывается как отношение суммы всех значений осредняемых признаков к общему числу признаков.
Например, на бирже было продано три партии товара: первая -150 т., вторая - 250 т. и третья - 500 т. Средний размер партии – 300 т.: (150 + 250 + 500) : 3 = 300. Второй вариант требует "взвешивания" единиц всех осредняемых признаков. Для этого каждый осредняемый признак умножается на соответствующий "вес", а полученные произведения суммируются. Затем полученная сумма делится на общее количество единиц:[4]

где хар
– средняя арифметическая величина;
xi
– индивидуальная величина (вариант) осредняемого признака;
Fi
– "вес" i-го варианта;
n – число вариантов (количество единиц).
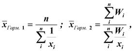
Другой формой средней является средняя гармоническая. В маркетинговом исследовании она часто используется при характеристике качественных рыночных процессов, например, средних цен, особенно в тех случаях, когда изучаемые показатели не поддаются непосредственному суммированию. Часто это стоимостные показатели, где можно выделить качественный фактор (цену) и количественный фактор. В данном случае весом при расчете средней является произведение цены на количество товара. Средняя гармоническая невзвешенная (простая) применяется сравнительно редко, обычно взвешиваются по количественным единицам. Пример: первый товар продавался по цене 80 руб./т, товарооборот составил 240 тыс. руб.; второй – по цене 50 руб./т, его товарооборот – 100 тыс. руб.; третий – по цене 30 руб./т, его товарооборот – 150 тыс. руб. Средняя цена – 49 руб./т.

Формула и алгоритм расчета средней гармонической взвешенной выглядит следующим образом: [5]

где хгарм1
– средняя гармоническая невзвешенная (простая);
xгарм2
– средняя гармоническая взвешенная;
хi
– осредняемая величина;
Wi
– веса осредняемой величины;
n – число осредняемых величин.
Существуют и на практике используются и другие формы средних величин (средняя геометрическая, средняя квадратическая).
Самостоятельное место в маркетинговых исследованиях занимают методы шкалирования. Шкалы используются при измерении количественных и качественных признаков. Известны три типа шкал: номинальные шкалы, используемые для измерения атрибутивных признаков; порядковые шкалы, которые позволяют измерять качественные признаки и ранжировать их; интервальные шкалы, где можно выделять некоторые группы изучаемых маркетинговых процессов и явлений.
В порядковом шкалировании для ранжирования используется описание объектов, которые принадлежат к определенным видам и классам маркетинговых явлений и процессов. Этот тип шкал называется также шкалой наименований, или шкалой классификации. Эти методы нередко находят применение в брэндинге. Вариантом упорядочения классификации рыночных объектов, в частности при ранжировании респондентов по какому-либо признаку является шкалирование порядка.
Интервальные шкалы применяются при измерениях порядка и расстояния между отдельными градациями шкал. Качественные оценки шкалирования часто носят описательный характер.
В процессе формирования маркетинговой информации выдвигаются определенные цели. Из них можно выделить конечные, или концептуальные цели получения и использования маркетинговой информации, которые заключаются в обеспечении информационной характеристики рыночных процессов и явлений, необходимой для принятия управленческих решений. Конкретная цель маркетинговой информации сводится к систематизации и структуризации собранной информации, обеспечению информационной поддержки маркетинга.
Маркетинговая информация базируется на следующих принципах: [6]
· реальность сведений, представляемых в нужный момент времени, когда это необходимо для конкретного маркетингового исследования и получения соответствующих выводов;
· адекватность сведений, обеспечиваемая соблюдением научных принципов сбора и обработки информации, борьбой с любой тенденциозностью;
· релевантность информации (от англ. relevant - уместный, относящийся к делу), которая обеспечивается получением информации в соответствии с поставленными задачами маркетингового исследования;
· полнота информации: планирование исследования, выявление сущности изучаемого явления или процесса, структурирование исследования выявление и моделирование внутренних и внешних связей;
· соответствие собираемой и обрабатываемой информации генеральной цели исследования;
· подчинение формирования и использования методологии сбора и обработки данных требованиям теории информатики.
С позиции кибернетики на входе маркетинговая информация представляет собой неупорядоченный массив данных с высокой степенью неопределенности, в то время как на выходе, после того как она была подвергнута обработке, она принимает вид систематизированной и сгруппированной по каким-то признакам и критериям системы, приспособленной к целям оценки и анализа. Информация, как правило, компонуется в статистические ряды и таблицы; она может быть преобразована в графики, схемы и диаграммы или может быть выражена в форме логично изложенного текста. Некоторая часть информации представляется в виде формул, алгоритмов, моделей.
Статистический ряд представляет собой упорядоченное по определенному признаку распределение изучаемых единиц, обобщающих и систематизирующих потоки информации, в т.ч. числовых;
Различают атрибутивные ряды, построенные по качественным признакам, и вариационные ряды, построенные по количественному признаку.
Таблица – рациональная, наглядная и компактная форма изложения материала, приведенная в определенную систему. Табличная форма изложения и анализа материала широко применяется в маркетинговом исследовании. Часто используются статистические таблицы, которые содержат упорядоченные числовые характеристики. Из таблицы можно выделить следующие виды:
· простые, представляющие собой перечень объектов;
· сложные, из которых в свою очередь выделяются:
· групповые, в которых осуществляется группировка данных по какому-либо признаку;
· комбинационные, содержащие группировку единиц по двум и более признакам одновременно.
Табличная форма расположения числовой информации представляет собой пересечение горизонтальных строк с вертикальными столбцами, образующие клетки таблицы.

Рис. 1. Макет статистической таблицы [7]
В маркетинговом исследовании широко применяется графический метод как для иллюстраций каких либо характеристик, так и в целях анализа. Под графиками (диаграммами, схемами, картограммами) понимается наглядное изображение, графический образ маркетинговых явлений и процессов. В маркетинговой информации используют машинную графику с помощью компьютерной технологии.
Деятельность маркетологов по сбору, обработке и анализу данных образует единую маркетинговую информационную систему (МИС), которая отличается сложной иерархической структурой и взаимосвязями. В нее включается три фактора:
· человеческий фактор, к которому относятся умение и квалификация работников, получающих и оценивающих информацию;
· методологический фактор, т.е. набор исследовательских приемов и моделей, позволяющих получить нужные характеристики и выводы;
· технологический фактор, который включает различное оборудование и устройства по сбору, обработке и хранению информации.
Маркетинговая информационная система образует информацию, используемую как руководителями и специалистами маркетинговых служб, принимающими соответствующие решения. МИС координирует свои действия с автоматизированными системами маркетинга, а также поставляет информацию другим службам маркетинга.
Таким образом, информационная система маркетингового исследования отличается определенной сложностью и многообразием. Сбор, обработка и анализ информации требуют от специалистов определенной квалификации и высокой информационной культуры.
Под информационной культурой понимаются знания, умения и навыки эффективного пользования маркетинговой информацией с помощью современной компьютерной технологии, в том числе интернет-технологий.
Духовные принципы и нормы поведения специалистов по маркетинговому исследованию, рамки использования и интерпретации информативных ценностей определяются маркетинговой этикой. Моральная приемлемость исследований, абсолютная недопустимость фальсификации и искажения данных являются предметом соблюдения этических ценностей.
Получение (сбор) первичной (полевой) информации осуществляется в форме наблюдения.
Под наблюдением понимается единовременное или систематическое научно организованный сбор и использование данных, характеризующих какой-либо рыночный процесс или явление и предназначенных для удовлетворения информационно-аналитических потребностей маркетинга. Лицо или организация, собирающие информацию (регистратор), фиксирует факты и другие сведения об изучаемом объекте. Методология наблюдения в рыночной сфере использует и сочетает приемы и методы маркетингового, статистического и социологического наблюдения.
Маркетинговое наблюдение – научно организованный сбор и использование информации, предназначенной для удовлетворения информационно-аналитических потребностей маркетинга.[8]
Маркетинговое наблюдение заключается в получении информации о маркетинговой деятельности, в частности о процессах маркетинг-менеджмента, управления маркетингом, принятия маркетинговых решений. Статистическое наблюдение предполагает характеристику массовых рыночных явлений и процессов, выраженных в количественной форме и базирующихся на действии закона больших чисел. Социологическое, а правильнее социометрическое наблюдение представляет собой сбор количественных данных о социальных процессах и явлениях, связанных с рыночной деятельностью. На практике все эти виды наблюдения успешно сочетаются. Наиболее информативным считается статистическое наблюдение.
В маркетинговом исследовании используются различные виды наблюдения. В систему маркетинга входит отчетность предприятий перед руководством фирмы. Кроме того, по ряду показателей рыночной деятельности предусмотрена отчетность государственная статистическая отчетность, которую обязаны представлять все хозяйственные системы. В систему отчетности входят регистры предприятий, осуществляющих торгово-рыночную деятельность.
Выделяются две основные формы наблюдения, используемые в маркетинговом исследовании: [9]
· непосредственное (прямое) наблюдение: слежение за объектом наблюдения (часто визуальное), которое может быть открытым, когда объект наблюдения знает, что за ним наблюдают и скрытым, когда изучаемый объект не знает, что он становится предметом наблюдения;
· непрямое наблюдение: изучение результатов какой-либо деятельности; в непрямом наблюдении видное место отводится документальному способу наблюдения.
Визуальное наблюдение можно применить при оценках полноты ассортимента, наличии товаров и т.п. Открытое наблюдение широко используется при различных опросах, например, при опросах потребителей. При проведении различного рода экспериментов может быть проведено непрямое наблюдение, например, использование каких-либо материалов, статистических данных, опубликованных работ, документов и т.д. К непрямому наблюдению относится использование данных архивов, документальных справок и т.п. Непрямым наблюдением может считаться обследование качества обслуживания покупателей.
Одной из форм наблюдения в маркетинговом исследовании является измерение рыночных объектов. Измерение – определение или сопоставление количественной меры (характеристики) изучаемого процесса или явления. Цифры, характеризующие маркетинговые явления и процессы, позволяют осуществлять их количественное измерение, т.е. нахождение их числового значения. Результаты измерений отражаются в форме присвоения численной оценки объектам, имеющим количественные характеристики.
В маркетинге измерения могут носить как объективный, так и субъективный характер. Объективные измерения осуществляются измерительными приборами, а субъективные - выполняются человеком. В последнем случае приходится делать поправку на субъективное восприятие изучаемого процесса и явления.
Изучаемые маркетинговые характеристики, как правило, фиксируются (регистрируются). Процесс фиксации регистрируемых данных осуществляется либо с помощью простых записей в блокноте/тетради, или с помощью технических средств (аудио- или видеопленки, компьютерной технологии). Записи необходимо систематизировать и упорядочить, выделяя главное, наиболее важное для целей исследования. Для этого используются разработочные таблицы и группировки, карточки, компьютерные файлы и банки данных. Разработка и группировка данных осуществляется на компьютере с помощью пакетов прикладных программ.
В маркетинговом исследовании необходимо обеспечить точность и надежность измерений. Они обеспечивается: [10]
· контролем достоверности полученных данных (выборочным путем рассчитывается коэффициент надежности);
· использованием двух и более наблюдателей, регистрирующих одно и то же событие (коэффициент согласия);
· проведением повторного наблюдения объекта (коэффициент устойчивости).
В организации наблюдения выделяются два вида: по времени регистрации фактов; по охвату изучаемых единиц. В свою очередь в наблюдении, осуществляемом по времени регистрации фактов, выделяются: непрерывное (текущее), периодическое и единовременное наблюдение. В текущем наблюдении фиксируются все возможные изменения по мере их возникновения.
Периодическое наблюдение может быть постоянным, которое проводится в течении длительного времени, периодическим, которое регулярно повторяется, и единовременным, которое может быть разовым, или приуроченным к каким-либо событиям.
По признаку охвата единиц изучаемой совокупности наблюдение делится на сплошное, обеспечивающее информацию о всех единицах изучаемой совокупности, и несплошное (частичное), когда обследуется лишь часть совокупности.
Наиболее информативным является выборочное наблюдение, или выборка, когда специальные статистические методы дают возможность с высокой степенью вероятности судить по некоторой части совокупности обо всей совокупности.
Достаточно распространен метод основного массива. Обычно при нем обследуются наиболее представительные предприятия и организации, имеющие наибольший удельный вес в изучаемой совокупности.
Иногда используется метод моментных наблюдений, когда единицы совокупности регистрируются в заранее определенные моменты времени (выборка во времени).
В маркетинге иногда отбираются и тщательно, детально исследуются наиболее типичные предприятия или регионы. По ним можно судить о закономерностях состояния и развития всего явления или процесса. Такое несплошное наблюдение называется монографическим.
Выборочный метод (выборка) – статистический прием, который на некоторых положениях закона больших чисел. Он широко используется маркетинговой информации, так как:
· дает возможность экономить значительные средства;
· позволяет ускорить получение нужных сведений;
· обеспечивает сбор сведений, которые иным способом получить невозможно.
Во-первых, на организацию выборочного (частичного) обследования расходуется значительно меньше средств, чем на изучение всех единиц без исключения. Во-вторых, на организацию выборки тратится меньше времени, чем на сплошное обследование. И, наконец, в-третьих, некоторые данные нельзя получить другим путем, в частности, если выборка связана с необходимостью уничтожить обследуемую совокупность (классический пример: проверка лампочек на непрерывность работы).
Применение выборки требует строгого соблюдения требований:
необходимо обеспечить качественную однородность отобранной совокупности.
отбор не должен быть преднамеренным, т.е. все единицы совокупности должна быть иметь равную возможность быть отобранными (попасть в выборочную совокупность);
размер совокупности, из которой ведется отбор (генеральной совокупности), должна быть достаточно большой, чтобы действовал закон больших чисел;
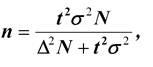
В выборке могут быть использованы два основных метода: повторной и бесповторной выборки. В маркетинговом обследовании при организации устных опросов рекомендуется использовать метод случайной бесповторной выборки. Он заключается в том, что респондент отбирается случайно и второй раз уже не опрашивается. Данный способ часто используется для уличных интервью. При этом применяется следующая формула численности отбора: [11]

где n – число единиц, которые следует отобрать для обследования (опроса);
t – коэффициент доверия, вычисляемый по таблицам в зависимости от вероятности с которой можно гарантировать, что предельная ошибка не превысит t-кратную среднюю ошибку.
σ2
– выборочная дисперсия (ее обычно определяют на основе эксперимента, пробного обследования, или же по аналогам);
Δ – предельная (задаваемая) ошибка выборки;
N – численность генеральной (изучаемой) совокупности.
При вероятности 0,990 значение коэффициента доверия t = 3, а при вероятности 0,999 – 3,28, чаще всего опираются на вероятность 0,954, при которой t составляет 2.
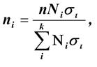
Для того, чтобы повысить степень однородности совокупности, что способствует большей точности расчета, выборочную совокупность стратифицируют, т.е. разбивают на ряд групп по какому-то признаку. Например, осуществляется деление покупателей или продавцов по каким-то социальным или экономическим группам (в частности по уровню дохода). Формула численности выборки отличается от предыдущей только тем, что выборочная дисперсия заменяется средней из внутригрупповых дисперсий. Однако в этом случае целесообразно вести отбор по каждой группе пропорционально дифференциации признака. Тогда формула численности выборки (по каждой группе) значительно упрощается: [12]

где k - число групп населения;
Ni
- численность i-й группы населения;
σi
- среднеквадратическое отклонение признака в i-й группе.
При интервьюировании (например, по телефону) или в ходе анкетирования полезно использовать способ механического отбора. Берется телефонная книга или список жильцов, после чего отбирается каждый десятый телефон или каждая десятая квартира.
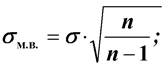
Для тог, чтобы ускорить и удешевить процесс отбора данных можно использовать методы малой выборки. Малой выборкой считается отбор единиц численностью менее 20 (т. е. n < 20).
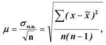
Средняя ошибка малой выборки исчисляется по формуле: [13]


где σм.в. – среднее квадратическое отклонение малой выборки;
σ – среднее квадратическое отклонение обычной выборки;
х – независимые случайные величины (характеристики изучаемых величин);
– средняя величина малой выборки;
n – численность выборки.
Предельная ошибка выборки определяется из следующей формулы:
Δм.в
= t ∙ μ
где t – коэффициент доверия, который определяется по таблице вероятностей Стьюдента:
Точность данных - это главное требование, которое предъявляется в маркетинговом исследовании наблюдению. Точность наблюдения в маркетинговом исследовании, или его соответствие фактическому значению изучаемого явления/процесса, зависит прежде всего от соблюдения правил и требований методики сбора и анализа данных. Чтобы избежать ошибок, выявить или предупредить их, необходимо постоянно осуществлять логический и арифметический контроль собираемых данных.
Однако иногда возникают ошибки регистрации, или расхождения между фактическим значением показателя и полученным в результате наблюдения. Эти ошибки могут быть случайными или систематическими. Первые являются результатом действия непредвиденных факторов. При достаточно большой совокупности случайные ошибки взаимно погашаются. В этом проявляется действие закона больших чисел.
Более опасны систематические ошибки регистрации, которые могут иметь тенденцию как к увеличению, так и к уменьшению. Она может накапливаться. Часто ошибка обусловлена стремлением к округлению данных. В несплошном наблюдении имеют место ошибки репрезентативности, когда обследованная совокупность недостаточно точно воспроизводит исходную совокупность. Они могут быть как случайными, так и систематическими.
Маркетинговое исследование в соответствии с различными целями и возможностями использования методов формирования выделяет различные типы маркетинговой информации. Маркетинговая информация имеет разную степень срочности обработки и предъявления пользователю.
Некоторые виды информации необходимо срочно передавать работникам маркетинговых служб для принятия неотложных мер. Другие оперативные исследования требуют определенных, хотя и ограниченных затрат времени, прежде чем получить определенные выводы. Стратегическая информация, как правило, не нуждается в высокой степени срочности и дает возможность размышления. Некоторое время необходимо для исследовательских операций, обсуждения и принятия важных решений.
Систематизация информационных процессов обусловливает необходимость выявить и сгруппировать следующие типы маркетинговой информации. [14]
Первой проблемой типизации информации оказался вопрос: когда собирается и исследуется информация. Маркетинговая информация по срочности и глубине исследования делится на две важные группы:
· оперативную, т.е. срочную информацию, которая используется в оперативном (операционном) исследовании для неотложного использования; из нее можно выделить предупреждающую, или сигнальную информация, которая представляет собой краткосрочный прогноз (часто типа неформальной, иногда даже интуитивной информации);
· стратегическую, т.е. информацию, которая отличается глубиной и охваченным периодом; ее разновидностью является среднесрочный и долгосрочный прогноз).
Потребность маркетингового исследования в оперативной (тактической) информации, отражающей сиюминутную конъюнктурную рыночную ситуацию на какой-то момент времени или за краткий временной промежуток, весьма значительна. Имеется постоянная потребность в ежедневной, еженедельной и ежедекадной оперативной информации.
С другой стороны, маркетинговая управленческая деятельность требует глубокого анализа, оценки стратегической ситуации, исследования сложившихся уровней и тенденций. Следовательно, первая группировка маркетинговой информации производится по признаку времени.
Другой важнейшей проблемой считается вопрос: кто и где собирает информацию. Группировка информации по месту сбора позволяет выделить два типа информации: внутреннюю и внешнюю. К внутренней относится любая информация, собираемая фирмой или по ее заказу; к внешней - информация, собираемая вне фирмы, но используемая фирмой для маркетингового исследования.
Внутренняя информация в свою очередь делится по времени использования на первичную и вторичную. Первичная информация собирается специально для конкретных маркетинговых потребностей фирмы. К первичной информации относятся организуемые фирмой или по ее заказу различные обследования, опросы, панели и т.п. До этого момента она не существует.
Вторичная информация это внутренняя информация фирмы. Она уже существует и собирается фирмой для различных целей, в частности она используется для конкретных маркетинговых потребностей фирмы. Кроме маркетинговых нужд, эта информация собирается фирмой других целей (для бухгалтерского и управленческого учета, учета налогов). Однако все эти данные могут быть использованы маркетинговой службой в своих целях.
Внешнюю информацию образуют данные и сведения, полученные различными источниками, как государственными, так и частными, или общественными, кроме самого изучаемого предприятия. Внешняя информация для маркетинга фирмы является вторичной.
К внешней информации относятся: [15]
· информация, собираемая и разрабатываемая Госкомстатом и его местными органами, а также другими государственными и общественными организациями; к этому типу информации относятся также все другие официальные публикации;
· информация, которую собирают и разрабатывают различные отечественные и зарубежные научные учреждения и учебные заведения;
· информация, публикуемая в отечественных и зарубежных СМИ;
· информация рекламного и коммерческого характера других фирм;
· информация справочного характера: бюллетени, регистры, справочники;
· информация, заимствованная из экономических переписей и переписей населения, различного рода экономические и социальные обзоры.
Иногда информация в маркетинге делится на кабинетные исследования (desk research), т.е. работа с уже кем-то собранными материалами, и на полевые исследования (field research), т.е. первичный сбор материала для конкретного маркетингового исследования. Вся первичная информации собирается в форме полевого исследования.
Большое значение имеет классификация информации по ее назначению. Часть информации представляет собой объект анализа рыночных процессов и явлений. Такой тип информации называется аналитическим.
К ней примыкает рекомендательная или консалтинговая информация, разработанная и предложенная специализированными маркетинговыми и консалтинговыми фирмами.
В аналитическую информацию можно включить собранные и разработанные фирмой или внешними информационными службами базы данных, прогнозы и сценарии.
С аналитической информацией связана регулирующая информация, которая дает сведения о коррективах и изменениях в маркетинговой деятельности, в частности о выполнении плана маркетинга.
Промежуточное место между аналитической и сигнальной информацией занимает мониторинг, или постоянное отслеживание данных о состоянии и развитии рынка.
Наконец, анализ не может обойтись без нормативной информации. Она включает различные нормы и нормативные акты, нормативные справочники, сборники законов и постановлений.
Аналитическая информация имеет целью характеристику рыночных процессов и явлений: оценку ситуации на рынке, изучение структуры и динамики рынка, выявление и анализ закономерностей и тенденций, разработку моделей. Часть аналитической информации может быть создана не самой фирмой, куплена другой фирмой, например, специализированной маркетинговой или консалтинговой. Под консалтингом обычно понимают оказание консультативных или маркетинговых услуг другим фирмам.
Важную роль в информации играют базы данных, специально организованную информационную систему: любые сведения о фактических и потенциальных покупателях и конкурентах, их поведении и другие данные, необходимые для маркетинговой деятельности. К базам данных примыкают заранее разработанные и продаваемые различным пользователям прогнозы и возможные сценарии развития рынка.
Определенную информацию дает маркетинговый контроллинг, в частности характеристику отклонений от планов, изменения в оценке ситуации, анализ выполнения бюджета маркетинга. Под контроллингом понимают обеспечение руководства фирмы результатами оценки маркетинговой деятельности. [16]
Видное место в системе информации аналитической занимает мониторинг, т.е. система постоянных (периодических) замеров/отслеживания параметров рынка с помощью набора индикаторов, имеющих целью отразить рыночную ситуацию и обеспечить базу для ее непрерывной оценки и прогнозирования.
Мониторинг может быть оперативным, ориентированным на потребности конъюнктурного анализа, и стратегическим, отслеживающий основные экономические показатели в стратегической перспективе.
Информацию в маркетинге можно различать по регулярности ее поступления/сбора. Постоянная информация отражает неизменный характер некоторых рыночных явлений и процессов (например, параметры рыночной ситуации, или основные параметры деятельности предприятия и т.п.). Часть постоянной информации поступает непрерывно, без существенных промежутков. Непрерывным, например, может быть мониторинг.
Дискретная информация собирается с определенными промежутками во времени. Переменная информация поступает нерегулярно. Некоторые виды информации собираются спорадически, по мере возникновения потребности в ней. Другая часть информации собирается периодически, с равными промежутками времени. Третья часть информации относится к числу спорадической, или эпизодической, собираемой по мере надобности.
Важным видом маркетинговой информации является внутрифирменная отчетность, которая представляет собой элемент маркетинг-менеджмента. Как хозяйственные подразделения крупной фирмы, так и ее самостоятельные единицы отчетность, включающую различные статистические и оперативные учетные данные. Отчетность относится к категории вторичной внутренней информации. Ее обычно представляют бухгалтерия, плановый отдел, отдел сбыта и другие подразделения фирмы.
Кроме того, некоторая часть отчетных данных предназначается для различных государственных учреждений: органов государственной статистики, для налоговой службы. Все данные такой отчетности могут быть использованы маркетинговой службой. Иногда при этом в соответствии с конкретными потребностями маркетинга возникает потребность в дополнительной разработке данных.
Значительный массив маркетинговой информации может быть получен в результате организации и проведения специально организованные обследований (сплошных или выборочных). Само название говорит, что такие обследования проводятся специально для каких-либо маркетинговых целей, для получения определенной маркетинговой информации, как разовой, так и постоянной.
В маркетинговом исследовании встречается понятие маркетинговой разведки (marketing intelligence), к которой относится получение текущей информации о микросреде маркетинга (поставщиках, клиентах, торговых посредниках и конкурентах). Часть такой информации силы окружающей среды маркетинга предоставляют сами (легальная информация), например, публикации, данные, которые добровольно представляют другие фирмы. Другая часть подобной информации считается конфиденциальной или полуконфиденциальной. Иногда в целях получения такой информации используются методы экономического шпионажа, сбора слухов, отслеживания внутренних публикаций.
Информация собирается среди ее носителей (обладателей) информации, т.е. лиц, имеющих доступ к каким-либо сведениями и занимающихся определенной рыночной деятельностью (как активной, так и пассивной). Некоторые носители имеют эксклюзивное право собственности на информацию, другие покупают ее или добывают ее какими-либо способами. Носителями информации являются юридические и физические лица, которые по своим служебным обязанностям, или в силу присущих им свойств, образа и стиля жизни, сложившегося менталитета обладают потенциальной информацией. Эта информация проявляется как в их действиях, так и высказываниях.
К носителям (обладателям) информации относятся: [17]
· потребители (в том числе население);
· производители;
· дистрибьюторы (торговые посредники);
· торговые конкуренты и т.д.;
· неторговые учреждения и организации.
Информация может быть представлена в виде документов, сообщений, результатов маркетинговой деятельности и маркетинговых исследований, может быть выражением определенных тенденций и закономерностей и т.п. Заложенная в носителе информация может даже находиться в подсознание носителя (физического лица) и проявиться в каких-либо действиях. Потенциальная информация иногда хранится в форме знаний своих носителей, которые затем предоставляются на определенных условиях. Информация предназначена для того. чтобы знание можно было использовать в различных целях и в разных формах, в частности для маркетингового исследования. Лица, собирающие, накапливающие и использующие информацию называются пользователями.
Понятие носителя информации отличается от источника информации. Источник информации это концентрированный и специализированный проводник разнообразных сведений о рыночной деятельности, канал маркетинговой информации, откуда ее заимствуют заинтересованные пользователи.
В маркетинге сформировались два канала добывания информации от ее носителя и пользователя:
· носитель информации сам сообщает пользователю необходимые сведения;
· пользователь получает информацию от других источников (безвозмездно, либо в порядке покупки или обмена).
В ряде стран предприятия и организации добровольно или в обязательном порядке публикуют определенный набор сведений о себе (разумеется, не нарушая коммерческой тайны, но достаточно, чтобы составить представление о конкуренте). Во многих странах, в том числе в России издаются регистры предприятий и справочные бюллетени по постоянному кругу показателей. Коммуникативные каналы маркетинговой микросреды осуществляют постоянный обмен информацией, без чего практически невозможна коммерческая деятельность. Самостоятельным источником информации являются каналы макросреды маркетинга, в первую очередь средства массовой информации (СМИ).
В маркетинговом исследовании сформировалась достаточно сложная структура источников информации. Отражены основные каналы/источники маркетинговой информации, выявлено содержание информации, поступающей через их посредство, указан способ добывания информации: Источники получения сведений различаются по степени доступности информации. Имеется информация, доступная всем, другая предназначена только для служебного пользования и, наконец, существует закрытая, секретная информация.
Существует целый ряд каналов, по которым маркетинговая информация поступает к пользователям. Сформировалась самостоятельная классификация источников маркетинговой информации. К ним относятся следующие виды информации: [18]
· публикации: цифровые, фактографические, теоретические, графические;
· информация, приобретаемая фирмой на коммерческих началах;
· обмен информацией;
· данные специальных обследований;
· информация торговых корреспондентов;
· данные экспертных оценок;
· данные непосредственного наблюдения;
· включенное наблюдение;
· опросы потребителей, предпринимателей, специалистов;
· панели;
· эксперимент (пробный маркетинг): полевой и лабораторный.
Одним из главных источников информации по праву считаются публикации. Используются несколько видов публикаций. Для маркетинга наиболее информативными публикациями являются цифровые. Количественные характеристики широко используются в маркетинге и маркетинговом исследовании, в управлении маркетингом и т.д. Публикация фактов и их оценка дает исходный материал для маркетинга и позволяет делать определенные выводы маркетинг-менеджмента. Без описания и оценки фактов маркетинг практически невозможен. Теоретические публикации шире всего распространены в научных и научно-прикладных исследованиях.
Важным источником информации по праву считаются в маркетинге графические публикации. По рисункам, схемам, графикам и диаграммам можно наглядно судить о структуре рынка, о его тенденциях, о некоторых закономерностях и т.п. Публикации как источник сведений используются: в средствах массовой информации, в официальных справочных изданиях, в сообщениях бирж, объявлениях банков и АО (для акционеров), сообщениях союзов предпринимателей, в регистрах и отраслевых бюллетенях, в научной или публицистической литературе. Существуют даже бюро вырезок, где на коммерческой основе составляются в соответствии с заказом маркетинговой службы досье по интересующему фирму вопросу.
Не менее важным источником информации являются сведения, приобретаемые фирмой на коммерческих началах. Крупными покупателями информации являются Госкомстат и его местные органы, в т.ч. управление переписи населения. Сведения также продают, а иногда предоставляют безвозмездно альтернативные информационные службы, частные предприятия, располагающие какими-либо данными.
Информация поступает также по каналам внутрифирменных учета и отчетности, в том числе бухгалтерская отчетность. Не менее важным источником маркетинговой информации служит процесс обмена сведениями между участниками процесса товародвижения, а также между участниками коммерческих переговоров. Источником информации можно считать данные специальных обследований, проводимых самой фирмой или по ее заказу; в частности разовые или постоянные замеры параметров рынка в т.н. опорных пунктах (часто в форме мониторинга).
В торговых предприятиях и сфере услуг, как правило, постоянно собирается информация торговых корреспондентов. Это торговые работники (продавцы, товароведы, административные работники предприятий), которые за особую плату регулярно сообщают о своих наблюдениях за конъюнктурой рынка. Источниками конъюнктурной информации служат также справки о конъюнктурной обстановке, представляемые торговыми корреспондентами. Часто сбор информации организуется во время проведения выставок-продаж, ярмарок. В оптовой торговле используется информация, собираемая коммивояжерами и торговыми агентами.
Исключительно важным источником маркетинговой информации по праву считаются различного рода экспертные оценки и прогнозы (в свое время о них будет рассказано подробнее). В маркетинговой информации можно использовать непосредственное наблюдение (например, регистрация времени, затрачиваемого на покупку).
Особым видом информации является включенное наблюдение, когда наблюдатель негласно внедряется в коллектив служащих, не ставя в известность его членов (этот способ широко применяется при изучении конкурентов, а также для исследований производительности труда, морального климата контингента работников собственной фирмы).
Самым распространенным в маркетинговом исследовании и очень информативным источником являются опросы. Существует значительное число видов опросов. Например, опросы потребителей, предпринимателей, специалистов (к опросам относятся также интервьюирование и анкетирование). Специфической формой опроса являются панели - разовые или постоянные выборочные обследования семей/домохозяйств или обследования предпринимателей.
Самостоятельной формой информации являются так называемые тенденциальные опросы специалистов, которые отличаются от обычных опросов. В них несколько иная программа вопросника, которая ориентирована на конъюнктурную оценку рыночной ситуации. Например, в отдельных сегментах рынка ставится вопрос о склонности потребителей к покупкам и т.п. При этой форме опроса в состав опрашиваемых лиц включают руководителей фирмы и видных специалистов промышленности и торговли, работников маркетинговых служб. Опрошенные лица представляют конъюнктурные справки (не путать с информацией торговых корреспондентов), где содержатся ответы на поставленные вопросы. Справки сводятся, статистически обрабатываются и анализируются.
Важным источником информации, базирующимся на научных принципах, является эксперимент (к нему в частности относится пробный маркетинг). В нем различаются: [19]
· полевой эксперимент - оценка и моделирование результатов некоторых видов рыночной деятельности (например, характера продажи небольших партий товаров, изучение реакции потребителей на изменение факторов);
· лабораторный – построение по данным полевых наблюдений имитационной модели.
Важным современным источником вторичной информации является стандартизованное информационное обслуживание. Суть его заключается в том, что пользователям (заказчикам информации) предоставляются результаты уже готовых стандартизованных исследований. Фирма-заказчик сама решает, что ей выгоднее – проводить самостоятельное исследование, заказать индивидуальное исследование или использовать типовое стандартизованное исследование. Можно применять методику типовых исследований, адаптированных к потребностям заказчика. Стандартизация исследований позволяет использовать коды международных отраслевых классификаций с помощью сканера, устройства, которое дает возможность автоматически считывать информацию. В частности каждый товар имеет собственный штриховой или цифровой код. Это позволяет автоматизировать учет товарных запасов и продажи товаров.
Понятие «информация» может быть истолковано как некоторая совокупность сведений, определяющих меру наших знаний о тех или иных процессах, событиях, явлениях, фактах и их взаимосвязи.
Важной характеристикой информации является ее ценность. В различных системах управления ценность информации определяется ее значением для принятия правильного решения. Считается, что информация, не влияющая на выбор решения, даже приносит определенный вред, так как создает «информационный шум».
Ценность информации тесно связана с ее полнотой, надежностью и достоверностью. Полнота информации определяет содержание в ней тех значений параметров отображаемого объекта, которые существенны с точки зрения решаемой задачи. Надежность зависит от технических возможностей источников, средств передачи и обработки данных и определяет наличие ошибок. Достоверность информации характеризует степень ее соответствия тому процессу или объекту, который она отражает.
Одной из основных характеристик информации является ее целевое назначение. При этом можно выделить универсальную информацию и целенаправленную. В первом случае одни и те же данные могут быть использованы при решении различных задач (например, сведения о вкусах и предпочтениях потребителей могут быть использованы при разработке нового товара, сегментации рынка, выборе средств рекламы и каналов распределения товаров и т.д.), во втором случае данные используются при решении конкретной задачи.
Важное значение при принятии маркетинговых решений в реальном масштабе времени имеет актуальность информации, т.е. отражение текущего состояния объекта или процесса. Например, решая вопрос о моменте выхода на рынок с новым товаром или о первоначальном уровне цены, фирма должна иметь точную информацию о состоянии рынка на данный момент времени.
Получение (сбор) первичной (полевой) информации осуществляется в форме наблюдения. Под наблюдением понимается единовременное или систематическое научно организованный сбор и использование данных, характеризующих какой-либо рыночный процесс или явление и предназначенных для удовлетворения информационно-аналитических потребностей маркетинга. Методология наблюдения в рыночной сфере использует и сочетает приемы и методы маркетингового, статистического и социологического наблюдения.
Информация собирается среди ее носителей (обладателей) информации, т.е. лиц, имеющих доступ к каким-либо сведениями и занимающихся определенной рыночной деятельностью (как активной, так и пассивной). Носителями информации являются юридические и физические лица, которые по своим служебным обязанностям, или в силу присущих им свойств, образа и стиля жизни, сложившегося менталитета обладают потенциальной информацией.
1. Андреева О.Д.
Технология бизнеса: маркетинг. – М.: ИНФРА-М, 2008.
2. Багиев Г.Л., Аренков И.А.
Основы маркетинговых исследований: Учебное пособие. СПб.: Нева, 2009.
3. Басовский Л.Е.
Маркетинг. Курс лекций. – М.: ИНФРА-М, 2009.
4. Беляевский И.К.
Маркетинговое исследование: информация, анализ, прогноз: Учебное пособие. – М.: Финансы и статистика, 2010.
5. Березин И.О.
Маркетинг и исследования рынков. – М.: Русская деловая литература, 2009.
6. Голубков Е.П.
Маркетинговые исследования: теория, практика и методология. – М.: Финпресс, 2008.
7. Котлер Ф.
Основы маркетинга / Пер. с англ. – М., Прогресс, 2008.
8. Кретов И.
Организация маркетинга на предприятии. Практическое пособие. – М.: Кнорус, 2007.
9. Крылова Г.Д., Соколова М.И.
Маркетинг. Учеб. пособие для вузов. – М.: ЮНИТИ-ДАНА, 2009.
10. Маркетинг / Под ред. Э.А.Уткина. – М.: ИНФРА-М, 2009.
11. Маркетинг. Учебник / Под ред. Н.Д.Эриашвили. – М.: ЮНИТИ, 2008.
12. Романов А.Н.
Маркетинг: Учебник. – М.: ЮНИТИ, 2009.
13. Томилов В.В.
Маркетинг в системе предпринимательства. – М.: Маркетинг, 2008.
14. Хруцкий В.А.
Современный маркетинг: настольная книга по исследованию рынка. – М.: Маркетинг, 2009.
15. Черчилль Г.А.
Маркетинговые исследования / Пер. с англ. – СПб: Питер, 2008.
[1]
Беляевский И.К.
Маркетинговое исследование: информация, анализ, прогноз: Учебное пособие. – М.: Финансы и статистика, 2010. – С. 42.
[2]
Беляевский И.К.
Маркетинговое исследование: информация, анализ, прогноз: Учебное пособие. – М.: Финансы и статистика, 2010. – С. 44.
[3]
Черчилль Г.А.
Маркетинговые исследования / Пер. с англ. – СПб: Питер, 2008. – С. 121.
[4]
Беляевский И.К.
Маркетинговое исследование: информация, анализ, прогноз: Учебное пособие. – М.: Финансы и статистика, 2010. – С. 46.
[5]
Беляевский И.К.
Маркетинговое исследование: информация, анализ, прогноз: Учебное пособие. – М.: Финансы и статистика, 2010. – С. 48.
[6]
Романов А.Н.
Маркетинг: Учебник. – М.: ЮНИТИ, 2009. – С. 121.
[7]
Романов А.Н.
Маркетинг: Учебник. – М.: ЮНИТИ, 2009. – С. 123.
[8]
Багиев Г.Л., Аренков И.А.
Основы маркетинговых исследований: Учебник. СПб.: Нева, 2009. – С. 145.
[9]
Багиев Г.Л., Аренков И.А.
Основы маркетинговых исследований: Учебник. СПб.: Нева, 2009. – С. 157.
[10]
Маркетинг. Учебник / Под ред. Н.Д.Эриашвили. – М.: ЮНИТИ, 2008. – С. 204.
[11]
Беляевский И.К.
Маркетинговое исследование: информация, анализ, прогноз: Учебное пособие. – М.: Финансы и статистика, 2010. – С. 52.
[12]
Беляевский И.К.
Маркетинговое исследование: информация, анализ, прогноз: Учебное пособие. – М.: Финансы и статистика, 2010. – С. 53.
[13]
Беляевский И.К.
Маркетинговое исследование: информация, анализ, прогноз: Учебное пособие. – М.: Финансы и статистика, 2010. – С. 54.
[14]
Березин И.О.
Маркетинг и исследования рынков. – М.: Русская деловая литература, 2009. – С. 82.
[15]
Хруцкий В.
Современный маркетинг: настольная книга по исследованию рынка. – М.: Маркетинг, 2009. – С. 168.
[16]
Хруцкий В.
Современный маркетинг: настольная книга по исследованию рынка. – М.: Маркетинг, 2009. – С. 172.
[17]
Хруцкий В.
Современный маркетинг: настольная книга по исследованию рынка. – М.: Маркетинг, 2009. – С. 176.
[18]
Крылова Г.Д., Соколова М.И.
Маркетинг. Учеб. пособие. – М.: ЮНИТИ-ДАНА, 2009. – С. 122.
[19]
Крылова Г.Д., Соколова М.И.
Маркетинг. Учеб. пособие. – М.: ЮНИТИ-ДАНА, 2009. – С. 122.
|