| Теория связи в секретных системах.
Клод Шеннон.
Материал, изложенный в данной статье, первоначально составлял содержание секретного доклада "математическая теория криптографии", датированного 1 сентября 1945 года. Затем он был рассекречен, и в 1949 году опубликован в техническом журнале корпорации Bell System. 1. Введение и краткое содержание. Вопросы криптографии и секретных систем открывают возможность для интересных применений теории связи. В настоящей статье развивается теория секретных систем. Изложение ведется в теоретическом плане и имеет своей целью дополнить положения, приводимые в обычных работах по криптографии. В этих работах детально изучаются многие стандартные типы кодов и шифров, а также способы их расшифровки. Мы будем иметь дело с общей математической структурой и свойствами секретных систем. Наше изложение будет ограничено в нескольких отношениях. Во-первых, имеются три общих типа секретных систем: 1) системы маскировки, которые включают применение таких методов, как невидимые чернила, представление сообщения в форме безобидного текста или маскировки криптограммы, и другие методы, при помощи которых факт наличия сообщения скрывается от противника; 2) тайные системы (например, инвертирование речи), в которых для раскрытия сообщения требуется специальное оборудование; 3) "собственно" секретные системы, где смысл сообщения скрывается при помощи шифра, кода и т.д., но само существование сообщения не скрывается и предполагается, что противник обладает любым специальным оборудованием, необходимым для перехвата и записи переданных сигналов. Здесь будет рассмотрен только третий тип систем, так как системы маскировки представляют в основном психологическую проблему, а тайные системы - техническую проблему. Во-вторых, наше изложение будет ограничено случаем дискретной информации, где сообщение, которое должно быть зашифровано, состоит из последовательных дискретных символов, каждый из которых выбран из некоторого конечного множества. Эти символы могут быть буквами или словами некоторого языка, амплитудными уровнями "квантованной" речи или видеосигнала и т.д., но главный акцент будет сделан на случае букв. Статья делится на три части. Резюмируем теперь кратко основные результаты исследования. В первой части излагается основная математическая структура секретных систем. В теории связи считается, что язык может рассматриваться как некоторый вероятностный процесс, который создает дискретную последовательность символов в соответствии с некоторой системой вероятностей. С каждым языком связан некоторый параметр D, который можно назвать избыточностью этого языка. Избыточность измеряет в некотором смысле, насколько может быть уменьшена длина некоторого текста в данном языке без потери какой-либо части информации. Простой пример: так как в словах английского языка за буквой q всегда следует только буква u, то u может быть без ущерба опущена. Значительные сокращения в английском языке можно осуществить, используя его статистическую структуру, частую повторяемость определенных букв или слов, и т.д. Избыточность играет центральную роль в изучении секретных систем. Секретная система определяется абстрактно как некоторое множество отображений одного пространства (множества возможных сообщений) в другое ространство (множество возможных криптограмм). Каждое конкретное отображение из этого множества соответствует способу шифрования при помощи конкретного ключа.
Забиваем Сайты В ТОП КУВАЛДОЙ - Уникальные возможности от SeoHammer
Каждая ссылка анализируется по трем пакетам оценки: SEO, Трафик и SMM.
SeoHammer делает продвижение сайта прозрачным и простым занятием.
Ссылки, вечные ссылки, статьи, упоминания, пресс-релизы - используйте по максимуму потенциал SeoHammer для продвижения вашего сайта.
Что умеет делать SeoHammer
— Продвижение в один клик, интеллектуальный подбор запросов, покупка самых лучших ссылок с высокой степенью качества у лучших бирж ссылок.
— Регулярная проверка качества ссылок по более чем 100 показателям и ежедневный пересчет показателей качества проекта.
— Все известные форматы ссылок: арендные ссылки, вечные ссылки, публикации (упоминания, мнения, отзывы, статьи, пресс-релизы).
— SeoHammer покажет, где рост или падение, а также запросы, на которые нужно обратить внимание.
SeoHammer еще предоставляет технологию Буст, она ускоряет продвижение в десятки раз,
а первые результаты появляются уже в течение первых 7 дней.
Зарегистрироваться и Начать продвижение
Предполагается, что отображения являются взаимнооднозначными, так что если известен ключ, то в результате процесса расшифрования возможен лишь единственный ответ. Предполагается далее, что каждому ключу (и, следовательно, каждому отображению) соответствует некоторая априорная вероятность - вероятность выбрать этот ключ. Аналогично каждому возможному сообщению соответствует априорная вероятность, определяемая задающим сообщение вероятностным процессом. Эти вероятности различных ключей и сообщений являются фактически априорными вероятностями для шифровальщика противника и характеризуют его априорные знания относительно интересующей его проблемы. Чтобы использовать такую секретную систему, сначала выбирается некоторый ключ и посылается в точку приема. Выбор ключа определяет конкретное отображение из множества отображений, образующих систему. Затем выбирается сообщение и с помощью отображения, соответствующего выбранному ключу, из этого сообщения формируется криптограмма. Эта криптограмма передается в точку приема по некоторому каналу и может быть перехвачена противником. На приемном конце с помощью отображения, обратного выбранному, из криптограммы восстанавливают первоначальное сообщение. Если противник перехватит криптограмму, он может с ее помощью сосчитать апостериорные вероятности различных возможных сообщений и ключей, которые могли быть использованы для составления такой криптограммы. Это множество апостериорных вероятностей образует его сведения о ключах и сообщениях после перехвата. "Сведения", таким образом, представляют собой некоторое множество предположений, которым приписаны вероятности. Вычисление апостериорных вероятностей является общей задачей дешифрования. Проиллюстрируем эти понятия простым примером. В шифре простой подстановки со случайным ключом имеется 26! отображений, соответствующих 26! способам, которыми мы можем заменить 26 различных букв. Все эти способы равновозможны, и поэтому каждый имеет априорную вероятность 1/26! Если такой шифр применяется к "нормативному английскому языку" и предполагается, что шифровальщик противника не знает ничего об источнике сообщений, кроме того, что он создает английский текст, то априорными вероятностями различных сообщений из N букв являются просто их относительные частоты в нормативном английском тексте. Если противник перехватил такую криптограмму из N букв, его апостериорные вероятности изменятся. Если N достаточно велико (скажем, 50 букв), имеется обычно единственное сообщение с апостериорной вероятностью, близкой к единице, в то время как все другие сообщения имею суммарную вероятность, близкую к нулю. Таким образом, имеется, по существу, единственное "решение" такой криптограммы. Для меньших N (скажем, N = 15) обычно найдется много сообщений и ключей, вероятности которых сравнимы, и не найдется ни одного сообщения и ключа с вероятностью, близкой к единице. В этом случае "решение" криптограммы неоднозначно. В результате рассмотрения секретных систем, которые могут быть представлены как совокупность отображений одного множества элементов в другое, возникают две естественные операции комбинирования, производящие из двух данных систем третью. Первая операция комбинирования называется операцией "умножения" (произведением) и соответствует зашифрованию сообщения с помощью системы R с последующим зашифрованием полученной криптограммы с помощью системы S, причем ключи R и S выбираются независимо. Полный результат этой операции представляет собой секретную систему, отображения которой состоят из всех произведений (в обычном смысле R на отображения из S. Вероятности результирующих отображений являются произведениями вероятностей двух исходных отображений. Вторая операция комбинирования является "взвешенным сложением":
Сервис онлайн-записи на собственном Telegram-боте
Попробуйте сервис онлайн-записи VisitTime на основе вашего собственного Telegram-бота:
— Разгрузит мастера, специалиста или компанию;
— Позволит гибко управлять расписанием и загрузкой;
— Разошлет оповещения о новых услугах или акциях;
— Позволит принять оплату на карту/кошелек/счет;
— Позволит записываться на групповые и персональные посещения;
— Поможет получить от клиента отзывы о визите к вам;
— Включает в себя сервис чаевых.
Для новых пользователей первый месяц бесплатно.
Зарегистрироваться в сервисе
T = pR + qS, p + q = 1.
Она представляет собой следующее. Сначала делается предварительный выбор, какая из систем R или S будет использоваться, причем система R выбирается с вероятностью p, а система S с вероятностью q. После этого выбранная система используется описанным выше способом. Будет показано, что секретные системы с этими двумя операциями комбинирования образуют, по существу, "линейную ассоциативную алгебру" с единицей, - алгебраический объект) подробно изученный математиками. Среди многих возможных секретных систем имеется один тип с многочисленными особыми свойствами. Этот тип назовем "чистой" системой. Система является чистой, если все ключи равновероятны и если для любых трех отображений Ti
, Tj
, Tk
из множества отображений данной системы произведение
Ti
Tj
-1
Tk
также является отображением из этого множества. То есть зашифрование, расшифрование и снова зашифрование с любыми тремя ключами должно быть эквивалентно одному зашифрованию с некоторым ключом. Можно показать, что для чистого шифра все ключи по существу эквивалентны - все они приводят к тому же самому множеству апостериорных вероятностей. Больше того, каждой криптограмме соответствует некоторое множество сообщений ("остаточный класс"), из которых могла бы получиться эта криптограмма, а апостериорные вероятности сообщений в этом классе пропорциональны априорным вероятностям. Вся информация, которую противник получил бы в результате перехвата криптограммы, заключается в установлении остаточного класса. Многие из обычных шифров являются чистыми системами, в том числе простая подстановка со случайным ключом. В этом случае остаточный класс состоит из всех сообщений с таким же набором буквенных повторений, как в перехваченной криптограмме. По определению, две системы R и S являются "подобными", если существует фиксированное отображение A (имеющее обратное A-1) такое, что
R = AS.
Если R и S подобны, то между получающимися в результате применения этих систем множествами криптограмм можно установить взаимнооднозначное соответствие, приводящее к тем же самым апостериорным вероятностям. Такие две системы аналитически записываются одинаково. Во второй части статьи рассматривается проблема "теоретической секретности". Насколько легко некоторая система поддается раскрытию при условии, что для анализа перехваченной криптограммы противник располагает неограниченным количеством времени и специалистов? Эта проблема тесно связана с вопросами связи при наличии шумов, и понятия энтропии и неопределенности, введенные в теории связи, находят прямое применение в этом разделе криптографии.
"Совершенная секретность" определяется следующими требованиями к системе. Требуется, чтобы апостериорные вероятности различных сообщений, полученные после перехвата противником данной криптограммы, были бы в точности равны априорным вероятностям тех же сообщений до перехвата. Покажем, что "совершенная секретность" возможна, но требует в случае конечного числа сообщений того же самого числа возможных ключей. Если считать, что сообщение создается с данной "скоростью" R (понятие скорости будет определено позже), то ключ должен создаваться с той же самой или с большей скоростью. Если используется секретная система с конечным ключом и перехвачены N букв криптограммы, то для противника будет существовать определенное множество сообщений с определенными вероятностями, которые могли бы создать эту криптограмму. С увеличением N это множество обычно сужается до тех пор, пока в конце концов не получится единственного "решения" криптограммы: одно сообщение с вероятностью, близкой к единице, а все остальные с вероятностями, практически равными нулю. В работе определяется величина H(N), названная ненадежностью. Эта величина измеряет (в статистическом смысле), насколько близка средняя криптограмма из N букв к единственному решению, т.е. насколько неточно известно противнику истинное сообщение после перехвата криптограммы из N букв. Далее выводятся различные свойства ненадежности, например: ненадежность ключа не возрастает с ростом N. Эта ненадежность является теоретическим показателем секретности - теоретическим, поскольку она позволяет противнику дешифрировать криптограмму лишь в том случае, если он обладает неограниченным запасом времени. В этой же части определяется функция H(N) для некоторых идеализированных типов шифров, называемых случайными шифрами. С некоторыми видоизменениями эта функция может быть применена ко многим случаям, представляющим практический интерес. Это дает способ приближенного вычисления количества материала, который требуется перехватить чтобы получить решение секретной системы. Из подобного анализа следует, что для обычных языков и обычных типов шифров (но не кодов) это "расстояние единственности" равно приблизительно H(K)/D. Здесь H(K) - число, измеряющее "объем" пространства ключей. Если все ключи априори равновероятны, то H(K) равно логарифму числа возможных ключей. Вводимое число D - это избыточность языка. Оно измеряет количество "статистических ограничений", налагаемых языком. Для простой подстановки со случайным ключом наше H(K) равно log1026! или приблизительно 20, а D (в десятичных единицах на букву) для английского языка равно приблизительно 0.7. Таким образом, единственность решения достигается приблизительно при 30 буквах. Для некоторых "языков" можно построить такие секретные системы с конечным ключом, в которых неопределенность не стремится к нулю при N. В этом случае противник не получит единственного решения такого шифра, сколько бы материала он не перехватил, и у него будет оставаться много альтернатив с довольно большими вероятностями. Такие системы назовем идеальными системами. В любом языке можно аппроксимировать такую ситуацию, т.е. отсрочить приближение H(N) к нулю до сколь угодно больших N. Однако такие системы имеют много недостатков, таких как сложность и чувствительность к ошибкам при передаче криптограммы. Третья часть статьи посвящена "практической секретности". Две системы с одинаковым объемом ключа могут быть обе разрешимы единственным образом, когда перехвачено N букв, но они могут значительно отличаться по количеству времени и усилий, затрачиваемых для получения решения. На основе анализа основных недостатков секретных систем предлагаются методы построения систем, для решения которых требуются большие затраты времени и сил. Наконец, рассматривается проблема несовместимости различных желательных качеств секретных систем.
Часть I. Математическая структура секретных систем.
2. Секретные системы. Чтобы приступить к математическому анализу криптографии, необходимо ввести удовлетворительную идеализацию и определить математически приемлемым способом, что будет пониматься под термином секретная система. Схематическая структура секретной системы показана на рис.1.

Рис.1. Схема общей секретной системы. На передающем конце имеются два источника информации - источник сообщений и источник ключей. Источник ключей отбирает конкретный ключ среди всех возможных ключей данной системы. Этот ключ передается некоторым способом на приемный конец, причем предполагается, что его нельзя перехватить (например, ключ передается посыльным). Источник сообщений формирует некоторое сообщение (незашифрованное), которое затем зашифровывается, и готовая криптограмма передается на приемный конец, причем криптограмма может быть перехвачена (например, пересылается по радио). На приемном конце шифровальщик с помощью ключа по криптограмме восстанавливает исходное сообщение. Очевидно, шифровальщик на передающем конце выполняет некоторую функциональную операцию. Если M - сообщение, K - ключ и E - зашифрованное сообщение (криптограмма), то имеем
E = f(M,K),
т.е. E является функцией от M и K. Удобнее, однако, понимать E не как функцию двух переменных, а как (однопараметрическое) семейство операций или отображений, и записывать его в виде:
E = Ti
M.
Отображение Ti примененное к сообщению M, дает криптограмму E. Индекс i соответствует конкретному используемому ключу. Вообще мы будем предполагать, что имеется лишь конечное число возможных ключей, каждому из которых соответствует вероятность pi
. Таким образом, источник ключей является статистическим процессом, или устройством, которое выбирает одно из множества отображений T1,...,Tm с вероятностями p1,...,pm соответственно. Будем также предполагать, что число возможных сообщений конечно и эти сообщения M1,...,Mn имеют априорные вероятности q1,...,qn. Например, возможными сообщениями могли бы быть всевозможные последовательности английских букв, включающих по N букв каждая, а соответствующими вероятностями тогда были бы относительные частоты появления таких последовательностей в нормативном английском тексте. Должна иметься возможность восстанавливать M на приемном конце, когда известны E и K . Поэтому отображение Ti
, из нашего семейства должно иметь единственное обратное отображение Ti
-1
, так что Ti
Ti
-1
= I , где I - тождественное отображение. Таким образом:
M = Ti
-1
E
Во всяком случае, это обратное отображение Ti
-1
должно существовать и быть единственным для каждого E, которое может быть получено из M с помощью ключа i. Приходим, таким образом, к следующему определению: секретная система есть семейство однозначно обратимых отображений Ti
множества возможных сообщений во множество криптограмм, при этом отображение Ti
имеет вероятность pi
. Обратно, любое множество объектов такого типа будет называться "секретной системой". Множество возможных сообщений для удобства будет называться "пространством сообщений", а множество возможных криптограмм - "пространством криптограмм". Две секретные системы совпадают, если они образованы одним и тем же множеством отображений Ti
и одинаковыми пространствами сообщений и криптограмм, причем вероятности ключей в этих системах также совпадают. Секретную систему можно представлять себе как некоторую машину с одним или более переключающими устройствами. Последовательность букв (сообщение) поступает на вход машины, а на выходе ее получается другая последовательность. Конкретное положение переключающих устройств соответствует конкретному используемому ключу. Для выбора ключа из множества возможных ключей должны быть заданы некоторые статистические методы. Для того чтобы нашу проблему можно было рассмотреть математически, предположим, что противнику известна используемая система. Иными словами, он знает семейство отображений Ti
и вероятности выбора различных ключей. Можно было бы, во-первых, возразить, что такое предположение нереалистично, так как шифровальщик противника часто не знает, какая система использовалась или чему равны рассматриваемые вероятности. На это возражение имеется два ответа.
Наложенное ограничение слабее, чем кажется с первого взгляда, из-за широты нашего определения секретной системы. Предположим, что шифровальщик перехватывает сообщение и не знает, использовалась ли здесь подстановка или транспозиция, или шифр типа Виженера. Он может считать, что сообщение зашифровано с помощью системы, в которой часть ключа является указанием того, какой из трех типов имеющихся ключей был использован, а следующая часть - конкретный ключ этого типа. Указанным трем различным возможностям шифровальщик приписывает вероятности, учитывая при этом все имеющиеся у него сведения об априорных вероятностях использования шифровальщиком противника соответствующих типов шифров. Наше ограничение обычно в криптографических исследованиях. Оно является пессимистичным, но безопасно, и в конечном счете реалистично, так как можно ожидать, что противник рано или поздно раскроет любую секретную систему. Поэтому даже в том случае, когда разработана совершенно новая система, так что противник не может приписать ей никаких априорных вероятностей, если только он ее уже не раскрыл, нужно иметь в виду его возможную осведомленность. Эта ситуация аналогична ситуации, возникающей в теории игр, где предполагается, что партнер "обнаруживает" используемую стратегию игры. В обоих случаях это предположение служит для более четкого описания сведений, которыми располагает противная сторона. Второе возможное возражение против нашего определения секретной системы состоит в том, что в нем не принимаются в расчет используемые обычно на практике вставки в сообщение посторонних нулевых знаков и использование многократных подстановок. В таких случаях для данного сообщения и ключа имеется не единственная криптограмма и шифровальщик может выбрать по своему желанию одну из нескольких различных криптограмм. Эту ситуацию можно было бы рассмотреть, но это только внесло бы дополнительные усложнения на данном этапе рассуждений без существенного изменения каких-либо из основных выводов. Если сообщения создаются марковским процессом, то вероятности разных сообщений определяются структурой этого марковского процесса. Однако подойдем к вопросу с более общей точки зрения и будем трактовать сообщения просто как абстрактное множество объектов, которым приписаны вероятности, причем эти объекты не обязательно состоят из последовательностей букв и не обязательно создаются марковским процессом. Следует подчеркнуть, что далее во всех случаях секретная система означает не одно, а целое множество отображений. После того как выбран ключ, используется только одно из этих отображений и отсюда можно было бы прийти к определению секретной системы как единственного преобразования языка. Однако противник не знает, какой ключ выбран, и остальные возможные ключи столь же важны для него, как и истинный. Именно существование этих других возможных ключей и придает системе секретность. Так как мы интересуемся в первую очередь секретностью, то вынуждены предпочесть данное нами определение понятия секретной системы. Тип ситуации, когда остальные возможности так же важны, как и осуществившаяся, часто встречается в стратегических играх. Ход шахматной игры в большой степени контролируется угрозами, которые не осуществляются. Нечто подобное представляет из себя "фактическое существование" нереализованных возможностей в теории игр. Следует отметить, что система, состоящая из единственной операции над языком, представляет собой при нашем определении вырожденный тип секретной системы. Это - система с единственным ключом, который имеет вероятность, равную единице. В такой системе нет секретности - шифровальщик противника находит сообщение, применяя к перехваченной криптограмме обратное отображение, также единственное в такой системе. В этом случае шифровальщик противника и шифровальщик получателя информации располагают одинаковой информацией. В общем же случае единственное различие их сведений состоит в том, что последнему известен конкретно использовавшийся ключ, в то время как первому известны лишь априорные вероятности различных ключей из данного множества. Процесс расшифрования для получателя информации состоит в применении к криптограмме отображения, обратного по отношению к конкретному отображению, использованному для составления криптограммы. Процесс дешифрования для противника представляет собой попытку определить сообщение (или конкретный ключ), имея в распоряжении только криптограмму и априорные вероятности различных ключей и сообщений.
Существует много трудных эпистемологических вопросов, связанных с теорией секретности, или вернее с любой теорией, связанной с реальным применением вопросов теории вероятностей (так обстоит дело, в частности, с априорными вероятностями, теоремой Байеса и т.д.). Трактуемая абстрактно теория вероятности может быть изложена на строгих логических основах с использованием современной теории меры. Однако в применениях к физическим ситуациям, особенно когда дело касается "субъективных" вероятностей и неповторимых экспериментов, возникают многочисленные вопросы, связанные с логическим обоснованием. Например, при нашем подходе к проблеме секретности допускается, что априорные вероятности различных ключей и сообщений известны шифровальщику противника, но как он может определить их эффективным способом даже при использовании всех своих сведений о данной обстановке? Можно создать искусственные криптографические ситуации типа "урны и игральной кости", в которых априорные вероятности имеют вполне определенный смысл и идеализация, использованная здесь, является наверняка подходящей. Но в других случаях, которые можно себе представить, например, при перехвате сообщений, передаваемых между собой марсианами, высадившимися на Землю, априорные вероятности были бы настолько неопределенными, что не имели бы никакого значения. Наиболее часто встречающиеся на практике криптографические задачи лежат где-то между этими крайними пределами. Шифровальщик противника может иметь желание разделить возможные сообщения на категории "приемлемых", "возможных, но малоправдоподобных" и "неприемлемых", но чувствуется, что более подробное подразделение не имело бы смысла. К счастью, на практике только очень большие ошибки в априорных вероятностях ключей и сообщений могут вызвать заметные ошибки в важных параметрах. Это происходит из-за того, что число сообщений и криптограмм ведет себя как экспоненциальная функция, а измеряется логарифмической мерой.
3. Способы изображения систем.
Секретная система, в том виде как она определена выше, может быть изображена различными способами. Один из них (удобный для целей иллюстрации) использует линейные схемы, изображенные на рис. 2. Возможные сообщения представляются точками слева, а возможные криптограммы - точками справа. Если некоторый ключ, скажем, ключ 1, отображает сообщение M2
в криптограмму Е2
, то M2
и E2
соединяются линией, обозначенной значком 1 и т.д.. Для каждого ключа из каждого сообщения должна выходить ровно одна линия. Если это же верно и для каждой криптограммы, скажем, что система является замкнутой.
| 
|

|
| Замкнутая система
|
Незамкнутая система
|
Рис.2. Схемы простых систем.
Более общий способ описания системы состоит в задании операции, с помощью которой, применяя к сообщению произвольный ключ, можно получить криптограмму. Аналогично неявным образом можно определить вероятности различных ключей или с помощью задания способа выбора ключей, или с помощью описания сведений о том, как обычно выбирает ключи противник. Вероятности сообщений определяются просто посредством изложения наших априорных сведений о языке противника, тактической обстановке (которая будет влиять на возможное содержание сообщений) и любой специальной информации, касающейся криптограммы
4. Примеры секретных систем.
В данном разделе рассматриваются несколько примеров шифров. В дальнейшем в целях иллюстрации будем часто ссылаться на эти примеры. Шифр простой подстановки. В таком шифре производится замена каждой буквы сообщения на некоторый определенный символ (обычно также на букву). Таким образом, сообщение
М = m1
m2
m3
m4
...,
где m1
,m2
,... - последовательные буквы, переходит в
E = e1
e2
e3
e4
... = f(m1
)f(m2
)f(m3
)f(m4
)...,
причем функция f(m) имеет обратную функцию. Ключ является просто перестановкой алфавита (если буквы заменяются на буквы), например,
XGUACDTBFHRSLMQVYZWIEJOKNP.
Первая буква - X заменяет букву A, G заменяет B и т.д. Транспозиция с фиксированным периодом d. В этом случае сообщение делится на группы символов длины d и к каждой группе применяется одна и та же перестановка. Эта перестановка является ключом; она может быть задана некоторой перестановкой первых d целых чисел. Таким образом, для d = 5 в качестве перестановки можно взять 23154. Это будет означать, что
m1
m2
m3
m4
m5
m6
m7
m8
m9
m10
...
переходит в
m2
m3
m1
m5
m4
m7
m8
m6
m10
m9
...
Последовательное применение двух или более транспозиций будет называться составной транспозицией. Если периоды этих транспозиций равны >d1
,...,ds
, то, очевидно, в результате получится транспозиция периода d, где d - наименьшее общее кратное d1
,...,ds
. Шифр Виженера и его варианты.
В шифре Виженера ключ задается набором из d букв. Такие наборы подписываются с повторением под сообщением и полученные две последовательности складываются по модулю 26 (каждая буква рассматриваемого алфавита нумеруется от А = 0 до Z = 25).
Таким образом,
ei
= mi
+ki
(mod 26),
где ki
- буква ключа, полученная сокращением числа i по модулю d. Например, с помощью ключа GAH получаем
| Сообщение
|
N
|
O
|
W
|
I
|
S
|
T
|
H
|
E
|
| Повторяемый ключ
|
G
|
A
|
H
|
G
|
A
|
H
|
G
|
A
|
| Криптограмма
|
T
|
O
|
D
|
O
|
S
|
A
|
N
|
E
|
Шифр Виженера с периодом 1 называется шифром Цезаря. Он представляет собой простую подстановку, в которой каждая буква сообщения М сдвигается вперед на фиксированное число мест по алфавиту. Это число и является ключом; оно может быть любым от 0 до 25. Так называемый шифр Бофора (Beaufort) и видоизмененный шифр Бофора подобны шифру Виженера. В них сообщения зашифровываются с помощью равенств
ei
= ki
- mi
(mod 26)
и
ei
= mi
- ki
(mod 26)
соответственно. Шифр Бофора с периодом 1 называется обратным шифром Цезаря.
Повторное применение двух или более шифров Виженера будет называться составным шифром Виженера. Он имеет уравнение
ei
= mi
+ ki
+ li
+ ... + si
(mod 26),
где ki
,li
,...,si
вообще говоря, имеют различные периоды. Период их суммы < >ki
+ li
+ ... + si
, как и в составной транспозиции, будет наименьшим общим кратным отдельных периодов.
Если используется шифр Виженера с неограниченным неповторяющимся ключом, то мы имеем шифр Вернама, в котором
ei
= mi
+ ki
(mod 26),
и ki
выбираются случайно и независимо среди чисел 0, 1,..., 25. Если ключом служит текст, имеющий смысл, то имеем шифр "бегущего ключа". Диграммная, триграммная и n-граммнная подстановки.
Вместо подстановки одной буквы можно использовать подстановку диграмм, триграмм и т.д. Для диграммной подстановки в общем виде требуется ключ, состоящий из перестановок 262
диграмм. Он может быть представлен с помощью таблицы, в которой ряд соответствует первой букве диграммы, а столбец - второй букве, причем клетки таблицы заполнены заменяющими символами (обычно также диграммами). Шифр Виженера с перемешанным один раз алфавитом.
Такой шифр представляет собой простую подстановку с последующим применением шифра Виженера
ei
= f(mi
) + ki
,
mi
= f -1
(ei
- ki
).
"Обратным" к такому шифру является шифр Виженера с последующей простой подстановкой
ei
= g(mi
+ ki
),
mi
= g-1
(ei
) - ki
. Матричная система.
Имеется один метод подстановки n-грамм, который заключается в применении к последовательным n-граммам некоторой матрицы, имеющей обратную. Предполагается, что буквы занумерованы от 0 до 25 и рассматриваются как элементы некоторого алгебраического кольца. Если к n-грамме сообщения применить матрицу aij
то получится n-грамма криптограммы

i = 1,...,n.
Матрица aij
является ключом, и расшифровка выполняется с помощью обратной матрицы. Обратная матрица будет существовать тогда и только тогда, когда определитель |aij
| имеет обратный элемент в нашем кольце. Шифр Плэйфер.
Этот шифр является частным видом диграммной подстановки, которая производится с помощью перемешанного алфавита из 25 букв, записанных в виде квадрата 55. (Буква J часто опускается при криптографической работе, так как она редко встречается, и в тех случаях, когда она встречается, ее можно заменить буквой I). Предположим, что ключевой квадрат записывается следующим образом:
| L
|
Z
|
Q
|
C
|
P
|
| A
|
G
|
N
|
O
|
U
|
| R
|
D
|
M
|
I
|
F
|
| K
|
Y
|
H
|
V
|
S
|
| X
|
B
|
T
|
E
|
W
|
В этом случае диграмма AC, например, заменяется на пару букв, расположенных в противоположных углах прямоугольника, определяемого буквами A и C, т.е. на LO, причем L взята первой, так как она выше А. Если буквы диграммы расположены на одной горизонтали, то используются стоящие справа от них буквы. Таким образом, RI заменяется на DF, RF заменяется на DR. Если буквы расположены на одной вертикали, то используются буквы, стоящие под ними. Таким образом, PS заменяется на UW. Если обе буквы диграммы совпадают, то можно использовать для их разделения нуль или же одну из букв опустить и т.п.. Перемешивание алфавита с помощью многократной подстановки.
В этом шифре используются последовательно d простых подстановок. Так, если d = 4, то
m1
m2
m3
m4
m5
m6
...
заменяется на
f(m1
)f(m2
)f(m3
)f(m4
)f(m5
)f(m6
)...
и т.д. Шифр с автоключом.
Шифр типа Виженера, в котором или само сообщение или результирующая криптограмма используются в качестве "ключа", называется шифром с автоключом. Шифрование начинается с помощью "первичного ключа" (который является настоящим ключом в нашем смысле) и продолжается с помощью сообщения или криптограммы, смещенной на длину первичного ключа, как в указанном ниже примере, где первичным ключом является набор букв COMET. В качестве "ключа" используется сообщение:
| Сообщение
|
S
|
E
|
N
|
D
|
S
|
U
|
P
|
P
|
L
|
I
|
E
|
S
|
...
|
| Ключ
|
C
|
O
|
M
|
E
|
T
|
S
|
E
|
N
|
D
|
S
|
U
|
P
|
...
|
| Криптограмма
|
U
|
S
|
Z
|
H
|
L
|
M
|
T
|
C
|
O
|
A
|
Y
|
H
|
...
|
Если в качестве "ключа" использовать криптограмму, то получится
| Сообщение
|
S
|
E
|
N
|
D
|
S
|
U
|
P
|
P
|
L
|
I
|
E
|
S
|
...
|
| Ключ
|
C
|
O
|
M
|
E
|
T
|
U
|
S
|
Z
|
H
|
L
|
O
|
H
|
...
|
| Криптограмма
|
U
|
S
|
Z
|
H
|
L
|
O
|
H
|
O
|
S
|
T
|
T
|
S
|
...
|
Дробные шифры.
В этих шифрах каждая буква сначала зашифровывается в две (или более) буквы или в два (или более) числа, затем полученные символы каким-либо способом перемешиваются (например, с помощью транспозиции), после чего их можно снова перевести в первоначальный алфавит. Таким образом, используя в качестве ключа перемешанный 25-буквенный алфавит, можно перевести буквы в двузначные пятеричные числа с помощью таблицы:
| |
0
|
1
|
2
|
3
|
4
|
| 0
|
L
|
Z
|
Q
|
C
|
P
|
| 1
|
A
|
G
|
N
|
O
|
U
|
| 2
|
R
|
D
|
M
|
I
|
F
|
| 3
|
K
|
Y
|
H
|
V
|
S
|
| 4
|
X
|
B
|
T
|
E
|
W
|
Например, букве B соответствует число 415
. После того, как полученный ряд чисел подвергнут некоторой перестановке, его можно снова разбить на пары чисел и перейти к буквам. Коды.
В кодах слова (или иногда слоги) заменяются группами букв. Иногда затем применяется шифр того или иного вида.
5. Оценка секретных систем.
Имеется несколько различных критериев, которые можно было бы использовать для оценки качества предлагаемой секретной системы. Рассмотрим наиболее важные из этих критериев. Количество секретности. Некоторые секретные системы являются совершенными в том смысле, что положение противника не облегчается в результате перехвата любого количества сообщений. Другие системы, хотя и дают противнику некоторую информацию при перехвате очередной криптограммы, но не допускают единственного "решения". Системы, допускающие единственное решение, очень разнообразны как по затрате времени и сил, необходимых для получения этого решения, так и по количеству материала, который необходимо перехватить для получения единственного решения. Объем ключа. Ключ должен быть передан из передающего пункта в приемный пункт таким способом, чтобы его нельзя было перехватить. Иногда его нужно запомнить. Поэтому желательно иметь ключ настолько малый, насколько это возможно.
Сложность операции зашифрования и расшифрования. Операции зашифрования и расшифрования должны быть, конечно, по возможности простыми. Если эти операции производятся вручную, то их сложность приводит к потере времени, появлению ошибок и т.д. Если они производятся механически, то сложность приводит к использованию больших и дорогих устройств. Разрастание числа ошибок. В некоторых типах шифров ошибка в одной букве, допущенная при шифровании или передаче, приводит к большому числу ошибок в расшифрованном тексте. Такие ошибки разрастаются в результате операции расшифрования, вызывая значительную потерю информации и часто требуя повторной передачи криптограммы. Естественно, желательно минимизировать это возрастание числа ошибок. Увеличение объема сообщения. В некоторых типах секретных систем объем сообщения увеличивается в результате операции шифрования. Этот нежелательный эффект можно наблюдать в системах, в которых делается попытка потопить статистику сообщения в массе добавляемых нулевых символов, или где используются многократные замены. Он имеет место также во многих системах типа "маскировки" (которые не являются обычными секретными системами в смысле нашего определения).
6. Алгебра секретных систем.
Если имеются две секретные системы Т
и R
, их часто можно комбинировать различными способами для получения новой секретной системы S
. Если T
и R
имеют одну и ту же область (пространство сообщений), то можно образовать своего рода "взвешенную сумму"
S
= рТ
+ qR
,
где p
+ q
= 1. Эта операция состоит, во-первых, из предварительного выбора систем T
или R
с вероятностями p
и q
. Этот выбор является частью ключа S
. После того, как этот выбор сделан, системы T
или R
применяются в соответствии с их определениями. Полный ключ S
должен указывать, какая из систем T
или R
выбрана и с каким ключом используется выбранная система.
Если Т
состоит из отображений Т
1
,...,Тm
с вероятностями p
1
,...,pm
, a R
-
из R
1
,...,Rk
с вероятностями q
1
,...,qk
, то система S
= рТ
+ qR
состоит из отображений Т
1
,...,Тm
,R
1
,...,Rk
с вероятностями pp
1
,...,ppm
,qq
1
,...,qqk
соответственно. Обобщая далее, можно образовать сумму нескольких систем
S
= p
1
Т
+ p
2
R
+ ... + pm
U
, pi
= 1.
Заметим, что любая система T
может быть записана как сумма фиксированных операций
T
= p
1
Т
1
+ p
2
T
2
+ ... + pm
Tm
,
где Ti
-
определенная операция шифрования в системе T
, соответствующая выбору ключа i
, причем вероятность такого выбора равна pi
.
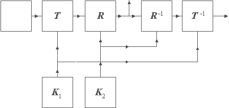
Второй способ комбинирования двух секретных систем заключается в образовании "произведения", как показано схематически на рис. 3.

Рис 3. Произведение двух систем S
= RT
.
Предположим, что T
и R
-
такие две системы, что область определения (пространство языка) системы R
может быть отождествлена с областью значения (пространством криптограмм) системы T
. Тогда можно применить сначала систему T
к нашему языку, а затем систему R
к результату этой операции, что дает результирующую операцию S
, которую запишем в виде произведения
S
= RT
.
Ключ системы S
состоит как из ключа системы T
, так и из ключа системы R
, причем предполагается, что эти ключи выбираются соответственно их первоначальным вероятностям и независимо. Таким образом, если m
ключей системы T
выбирается с вероятностями
p
1
,p
2
,...,pm
,
а n
ключей системы R
имеют вероятности
p
'
1
,p
'
2
,...,p
'n
,
то система S
имеет самое большее mn
ключей с вероятностями pi
p
'j
. Во многих случаях некоторые из отображений Ri
Tj
будут одинаковыми и могут быть сгруппированы вместе, а их вероятности при этом сложатся.
Произведение шифров используется часто: например, после подстановки применяют перестановку или после перестановки -
код Виженера, или же применяют код к тексту и зашифровывают результат с помощью подстановки, перестановки, дробным шифром и т.д.
Можно заметить, что такое умножение, вообще говоря, некоммутативно (т.е. не всегда RS
= SR
), хотя в частных случаях (таких, как подстановка и перестановка) коммутативность имеет место. Так как наше умножение представляет собой некоторую операцию, оно по определению ассоциативно, т.е. R
(ST
) = (RS
)T
= RST
. Кроме того, верны законы
p
(p
'T
+ q
'R
) + qS
= pp
'T
+ pq
'R
+ qS
(взвешенный ассоциативный закон для сложения);
T
(pR
+ qS
) = pTR
+ qTS
(pR
+ qS
)T
= pRT
+ qST
(право- и левосторонние дистрибутивные законы), а также справедливо равенство
p
1
T
+ p
2
T
+ p
3
R
= (p
1
+ p
2
)T
+ p
3
R
.
Следует подчеркнуть, что эти операции комбинирования сложения и умножения применяются к секретным системам в целом. Произведение двух систем TR
не следует смешивать с произведением отображений в системах Ti
Rj
, которое также часто используется в настоящей работе. Первое является секретной системой, т.е. множеством отображений с соответствующими вероятностями; второе является фиксированным отображением. Далее, в то время как сумма двух систем pR
+ qT
является системой, сумма двух отображений не определена. Системы T
и R
могут коммутировать, в то время как конкретные Rj
и Ti
не коммутируют. Например, если R
-
система Бофора данного периода, все ключи которой равновероятны, то, вообще говоря,
Ri
Rj
Rj
Ri
,
но, конечно, произведение RR
не зависит от порядка сомножителей; действительно
RR
= V
является системой Виженера того же самого периода со случайным ключом. С другой стороны, если отдельные отображения Ti
и Rj
двух систем T
и R
коммутируют, то и системы коммутируют.
Системы, у которых пространства M
и E
можно отождествить (этот случай является очень частым, если последовательности букв преобразуются в последовательности букв), могут быть названы эндоморфными
. Эндоморфная система T
может быть возведена в степень Tn
.
Секретная система T
, произведение которой на саму себя равно T
, т.е. такая, что
TT
= T
,
будет называться идемпотентной
. Например, простая подстановка, транспозиция с периодом p
, система Виженера с периодом p
(все с равновероятными ключами) являются идемпотентными.
Множество всех эндоморфных секретных систем, определенных в фиксированном пространстве сообщений, образует "алгебраическую систему", т.е. некоторый вид алгебры, использующей операции сложения и умножения. Действительно, рассмотренные свойства сложения и умножения можно резюмировать следующим образом:
Множество эндоморфных шифров с одним и тем же пространством сообщений и двумя операциями комбинирования - операцией взвешенного сложения и операцией умножения - образуют линейную ассоциативную алгебру с единицей, с той лишь особенностью, что коэффициенты во взвешенном сложении должны быть неотрицательными, а их сумма должна равняться единице.
Эти операции комбинирования дают способы конструирования многих новых типов секретных систем из определенных данных систем, как это было показано в приведенных примерах. Их можно также использовать для описания ситуации, с которой сталкивается шифровальщик противника, когда он пытается расшифровать криптограмму неизвестного типа. Фактически он расшифровывает секретную систему типа
T
= p
1
A
+ p
2
B
+ ... + pr
S
+ p
'X
, pi
= 1,
где A
,B
,...,S
в данном случае -
известные типы шифров с их априорными вероятностями pi
, а p
'X
соответствует возможности использования совершенно нового неизвестного шифра.
|