| Министерство образования и науки Республики Казахстан
Павлодарский государственный университет
им. С. Торайгырова
как написать дипломную работу
Учебно-методическое пособие
для студентов естественных специальностей
Павлодар
УДК 378.14(07)
ББК 74.58я7
К 14
Рекомендовано к изданию учебно-методическим советом Биолого-химического факультета ПГУ им. С.
Торайгырова
Рецензент:
Р.Ш. Еркасов - доктор химических наук, профессор., заведующий кафедрой
Составители:
Бондаренко А.П., Леонова Ю.М., Убаськин А.В., Каманулы У., Альмишев У.Х., Калиева А.А., Джунусова А.. Ведерникова А.А.
К 14 Как написать дипломную работу : учебно-методическое пособие. — Павлодар : Кереку, 2009. – 90 с.
В учебно-методическом пособии показана структура, логика и оформление дипломной работы студента, приведены общие подходы методического обеспечения и способ математической обработки результатов исследований.
Учебно-методическое пособие рекомендуется студентам экологам, может быть полезно студентам естественных специальностей.
УДК378.14(07)
ББК 74.58я7
Ó Бондаренко А.П., и др. 2009
ÓПГУ им С. Торайгырова, 2009
Введение
Дипломная работа является самостоятельной работой студента на заключительном этапе подготовки специалиста – эколога. Цель работы - развить у студентов творческие способности, обобщить и углубить приобретенные знания по комплексу изученных дисциплин, получение навыков в работе с нормативной документацией, справочно–нормативной литературой и т.п., что поможет привить практические навыки в направлении избранной специальности.
Тема дипломной работы должна соответствовать направлению подготовки студентов по специальности и быть актуальной в научном и практическом отношении. Она должна основываться на фундаментальных разделах, закладывающих основу профессиональной последующей деятельности специалиста, фактических материалах производственного процесса промышленных и других предприятий, учреждений, госучреждений, на научных работах членов кафедры с углубленным изучением соответствующих источников информации, освещающих новейшие достижения отечественной и зарубежной науки и техники. В качестве основы материала для анализа должны быть данные, полученные самим студентом или, в исключительных случаях, может быть сделан анализ результатов, полученных другими специалистами.
Забиваем Сайты В ТОП КУВАЛДОЙ - Уникальные возможности от SeoHammer
Каждая ссылка анализируется по трем пакетам оценки: SEO, Трафик и SMM.
SeoHammer делает продвижение сайта прозрачным и простым занятием.
Ссылки, вечные ссылки, статьи, упоминания, пресс-релизы - используйте по максимуму потенциал SeoHammer для продвижения вашего сайта.
Что умеет делать SeoHammer
— Продвижение в один клик, интеллектуальный подбор запросов, покупка самых лучших ссылок с высокой степенью качества у лучших бирж ссылок.
— Регулярная проверка качества ссылок по более чем 100 показателям и ежедневный пересчет показателей качества проекта.
— Все известные форматы ссылок: арендные ссылки, вечные ссылки, публикации (упоминания, мнения, отзывы, статьи, пресс-релизы).
— SeoHammer покажет, где рост или падение, а также запросы, на которые нужно обратить внимание.
SeoHammer еще предоставляет технологию Буст, она ускоряет продвижение в десятки раз,
а первые результаты появляются уже в течение первых 7 дней.
Зарегистрироваться и Начать продвижение
Объем дипломной работы должен составлять не менее 60 страниц текста. Без соблюдения требований, предъявляемых к оформлению, дипломная работа к защите не допускается. В данном учебно-методическом пособии уделено внимание ценности и актуальности материала, используемого в дипломной работе студента, логике ее построения и соответствие выпускной работы нормативным документам.
1 Основные требования к дипломной работе
Три источника и три составные части дипломной работы:
- форма (в т.ч. форматирование);
- содержание, т.е значимость полученного материала и его анализ;
- логика построения работы.
Форма изложения материала четко регламентирована мудростью УМО. К сожалению, по причине нам неизвестной и скрытой в глубокой тайне – форматирование разных документов, в том числе настоящего пособия и дипломной работы различно. Казалось бы, логичным отформатировать пособие таким же образом, как и описываемую работу, чтобы читатель мог сразу же получить зрительное восприятие, поясняющее: - как должна выглядеть работа, но, к сожалению, форматирование, необходимое для дипломной работы, будет приведено в приложении.
1.1 Как выбрать тему работы
Для выбора темы дипломной работы предпочтительнее использовать свои склонности и знания, полученные в предыдущие годы. Если их нет или они недостаточны, воспользоваться знаниями руководителя дипломного проекта. Важно отметить широкое различие в объектах исследований специалиста – эколога. Спектр исследований включает всю биосферу целиком и каждый ее компонент в отдельности. Существенной составляющей исследований эколога в настоящее время является антропогенные воздействия на биосферу, социальные и технические условия, способствующие снижению негативного ее изменения.
Есть еще вариант – на остановках часто висят объявления: сделаю дипломную работу, но право, же обидно, заплатив деньги, получить, в результате низкую отметку.
Обычно работы делят на две группы в зависимости от авторства данных:
- работы, сделанные на собственном материале, собранном в результате проведения наблюдений или опытов;
- работы, в которых проанализированы данные, полученные другими.
Тематика дипломной работы должна:
- соответствовать задачам подготовки специалистов;
- учитывать направления и проблематику современных научно-экологических и природоохранных исследований;
Сервис онлайн-записи на собственном Telegram-боте
Попробуйте сервис онлайн-записи VisitTime на основе вашего собственного Telegram-бота:
— Разгрузит мастера, специалиста или компанию;
— Позволит гибко управлять расписанием и загрузкой;
— Разошлет оповещения о новых услугах или акциях;
— Позволит принять оплату на карту/кошелек/счет;
— Позволит записываться на групповые и персональные посещения;
— Поможет получить от клиента отзывы о визите к вам;
— Включает в себя сервис чаевых.
Для новых пользователей первый месяц бесплатно.
Зарегистрироваться в сервисе
- приобщать студентов к работе над проблемами, интересующими отдельных преподавателей и коллектив кафедры экологии в целом;
- учитывать интересы студентов в сфере теории и практики экологии и природоохранной деятельности;
- разрабатывать актуальные проблемы.
В соответствии с этими требованиями имеются примерные перечни тем дипломных работ по наиболее важным проблемам экологии и охраны окружающей среды, которые представлены в программах дисциплин.
Темы дипломных работ определяются разными способами:
- руководствуясь соответствующим изучаемому курсу перечнем, студент выбирает тему работы, при этом консультируется с научным руководителем;
- преподаватель индивидуально определяет тему дипломной работы студента. Если педагог ведет исследовательскую работу по определенной проблеме, он может привлечь к ее разработке и студентов, предложив им для творческого поиска перечень конкретных тем;
- студент выбирает тему с целью преодоления затруднений, возникавших в его практической деятельности. Как правило, такие студенты до или во время обучения в институте имели опыт работы или совмещают учебу и работу;
- студент работает по теме, соответствующей его интересам.
Самостоятельно выбрать тему исследования ему помогают приемы, предложенные П.Т. Приходько:
- просмотр аналитических обзоров научных достижений ведущих специалистов (в конце таких обзоров часто указываются нерешенные проблемы);
- выбор темы, близкой к проблематике ранее выполненных исследований с использованием новых, более совершенных методов;
- проверка одной из гипотез, выдвинутых, но не проверенных ранее исследователями;
- ознакомление со специальной литературой и периодическими изданиями;
- консультации с ведущими учеными для выявления малоизученных проблем и вопросов, имеющих актуальное значение;
- студент сам может предложить тему для дипломной работы с необходимым обоснованием ее разработки. В этом случае он должен исходить, прежде всего, из возможности собрать необходимый для ее написания конкретный материал.
После того как тема дипломной работы выбрана, она закрепляется заявлением, которое подписывает руководитель дипломного проекта и заведующий кафедрой – приложение А. Тема утверждается соответствующим распоряжением по кафедре.
Важным элементом подготовки к работе над дипломной работой служит план работы, который согласовывается с научным руководителем и в соответствии, с которым составляется календарный план, и определяются сроки выполнения этапов работы. План облегчает контроль хода исследования и помогает студенту работать самостоятельно и осознанно.
1.2 Где взять материал для работы
Основными источниками данных для дипломной работы являются наблюдение и эксперимент. При наблюдении фиксируются события, происходящие независимо от воли наблюдателя. В эксперименте автор делает предположение (выдвигает гипотезу) и активно проверяет его в опытных условиях. Объекты исследования специалиста-эколога чрезвычайно разнообразны, поэтому возможны различные вариации: от классических экологических опытов, до создания установок, снижающих поступление загрязнителей в среду обитания, расчет поступлений загрязнителей в окружающую среду, или создание условий, препятствующих снижению качества среды обитания. В связи с этим и кругозор, объем знаний эколога должен соответствовать возможным объектам изучения.
Часто материалом для дипломной работы служат исследования за состоянием среды обитания, проводимые специальными службами контроля качества. В этом случае основная задача сводится к постановке гипотезы, отбору необходимых данных, анализу этих данных и выдаче рекомендаций, основанных на проведенном анализе.
1.3 Получение данных в эксперименте
При проведении подготовки к выполнению дипломной работы обратите самое пристальное внимание на используемую терминологию. Разумеется, в Вашей работе, для Вас не должно оставаться белых пятен. Хотя бы в терминах и определениях. Если Вы не понимаете слов, которые сами же вставили в работу, то и цена Вашей работы грош – меньше стоимости использованной бумаги. Именно определения и термины, используемые Вами слова, складываются в первичную модель Вашего исследования. В связи с этим, желательно иметь глоссарий для специфических, редких и применяемых в узкой области исследований терминов. Вы должны помнить, что Ваша работа – это модель определенной системы, явления, процесса, поэтому желательно в ходе создания такой модели в максимальной степени использовать наглядные средства, в том числе фотографии, схемы, графики и др. способы емкой передачи информации.
В основе любого исследования лежит эксперимент или наблюдение, для построения модели объекта необходима информация о нем. Средством получения информации являются наблюдения за объектом исследования. Наблюдения могут проводиться как с помощью пассивных способов их организации (то, что в философии называется простое созерцание), так и в процессе специально организованных исследований. Более подробно об особенностях экспериментального подхода смотрите в приложении Б.
2 Форма изложения материала
Форма изложения материала играет важную роль, так как способствует быстрому восприятию результатов работы комиссией, что обеспечивает более адекватную реакцию и оценку дипломной работы.
2.1 Количество частей в работе и их нумерация
Количество частей в дипломной работе, имеющих собственное название и начинающихся с новой страницы - 10, порядок их перечислен ниже, рядом указано ориентировочное количество страниц подраздела при общем объеме работы – 60 страниц:
- титульный лист – приложение В;
- "отзыв" научного руководителя – приложение Г;
- "рецензия" – приложение Д;
- аннотация – 1-2 – приложение Е;
- нормативные ссылки, определения, сокращения – 1-2;
- содержание – 1-2;
- введение – 1-2;
- литературный обзор ~15;
- условия и методики проведения эксперимента – 7-10;
- результаты экспериментов и их анализ - 25-30;
- заключение - 1;
- литература ~5;
- приложения.
Однако нумеруются только три части или главы:
- литературный обзор нумеруется арабской цифрой 1, а подглавы 1.1, 1.2 и т.д.;
- аналогично нумеруются арабской цифрой 2 - условия и методики проведения исследований;
- результаты экспериментов и их анализ - нумеруются арабской цифрой 3 – пример нумерации заголовков приведен в приложении Ж, вставка рисунков – приложение З, .вставка таблиц – приложение И, вставка формул – приложение К.
Отзыв
Научный руководитель, после изучения и соответствующий правки, пишет "Отзыв о дипломной работе ...", который заканчивается словами: "Дипломная работа выполнена согласно требованиям ГАК, заслуживает оценку "..." и может быть допущена к защите.
Рецензия
Рецензент анализирует представленный материал и пишет "Рецензию на дипломную работу ...", в которой указывает положительные и отрицательные стороны работы и заканчивает словами: "... дипломная работа заслуживает оценку "..."". Указание ученой степени, ученого звания, занимаемой должности, наименования учреждения обязательны как для научного руководителя, так и для рецензента.
Аннотация диплома
Аннотацию составляет студент, ее текст представляет собой сжатое до одной страницы или, даже, абзаца содержание, указывая тему и ее обоснование, задачу, цель работы и ее достижение. Аннотация составляется на трех языках:
- язык написания дипломного проекта;
- государственный язык;
- английский, или иной язык, который изучал студент.
Условные обозначения
Принятые в работе малораспространенные сокращения, условные обозначения, символы, единицы и специфические термины необходимо представлять в виде отдельного списка. Если сокращения, условные обозначения, символы, единицы и термины повторяются в работе менее трех раз, отдельный список не составляют, а расшифровку дают непосредственно в тексте при первом упоминании.
Введение
Роль введения обычно недооценивается. Часто говорят, что достаточно в этой части работы поместить набор слов о том, как негативно действует человек на среду своего обитания и введение готово. С другой стороны – введение, впрочем, как и заключение – это основные части работы, которые члены комиссии, заслушивающие дипломника, успевают просмотреть и, даже, прочитать. Поэтому именно к этим подразделам необходимо отнестись с особой тщательностью, выверить каждое слово, обосновать работу, показать ее актуальность, поставить цель и задачи, а в заключении ответить на поставленные вопросы.
Во введении обосновывается значимость и актуальность выбранной работы, ее новизна, ставится гипотеза, кратко определяется объект исследований, и значение полученных результатов.
Особенно важно – правильно поставить цель дипломной работы. Предпочтительнее, если она будет поставлена четко, ясно и определенно. Цель, декларируемая в работе - одна. После того, как цель работы поставлена – ставятся задачи. Оптимальное число задач – три. Однако, в конкретных случаях, их число может быть изменено. Важно помнить, что Ваша работа должна быть ответом на эти поставленные задачи, именно ответ на поставленные задачи должен быть логикой построения дипломной работы, ответ на эти задачи красной нитью проходит через всю работу, отражаясь той или иной гранью во всех ее главах.
Литературный обзор дипломной работы
Литературный обзор обычно имеет свой заголовок, связанный с темой дипломной работы и поставленными задачами, и отражает изученность рассматриваемого вопроса. Здесь дипломник показывает, как в литературе рассматриваются те задачи, что поставлены им в дипломной работе во введении. Также отмечается степень их изученности. В технической части здесь важно, что на долю этой главы приходится основное количество ссылок на литературные источники. Помните, что переделывать этот раздел наиболее хлопотно, так как при изменении расположения текста возникает необходимость и изменения нумерации литературных источников, и изменение их последовательности в разделе «список литературных источников».
Кажется, более предпочтительным вначале построить план литературного обзора и затем последовательно выстраивать собранный материал, сразу же создавая и список литературных источников. В зависимости от предпочтений, можно создавать весь дипломный проект в одном документе, в одном файле, но, помня о «глючности» Worda, можно сделать несколько документов, соответственно частям Вашей работы и на завершающем этапе объединить их. Есть еще возможность работать в структуре документа, используя возможности Worda, но авторы не получили приемлемого результата, в связи с чем остерегаются рекомендовать его к использованию.
В настоящее время материал для работы с литературными источниками достаточно легко получить, используя возможности Интернета, но не следует забывать и о традиционном, книжном варианте источника информации, тем более, что, пока еще, работа с печатными источниками нам более привычна, а, кроме того, с помощью книжного источника, мы, как правило, получаем системное изложение по данному вопросу.
Условия и методика проведения исследований
Эта часть работы обычно и носит именно такое название и нумеруется цифрой 2. Соответственно подзаголовки нумеруются: 2.1; 2.2 и т.д., а при необходимости дробного деления: 2.1.1; 2.1.2 и т.д. Вначале описываются условия проведения исследований. Если это природные исследования, то, соответственно, описываются природно-климатические условия района проведения исследований, при необходимости, почвенные условия, гидрологические характеристики, свойства атмосферы, водоема и т.д.
Если исследования проводятся на предприятии, то, соответственно, может быть приведен экологический паспорт предприятия, или отдельные его компоненты, имеющие отношение к данной работе и другие важные факторы, имеющие касательство к проводимым исследованиям.
При описании методик необходимо приводить только те, при помощи которых получены результаты, приведенные в материалах исследования. Среди методик могут приводиться методики отбора образцов и подготовки их к анализу, методы физического, химического или иного анализа образцов, методики проведения эксперимента и т.д., а также методы математической обработки результатов. Здесь могут использоваться фотографии, показывающие работу студента во время того или иного этапа работ. Некоторые методики экологических исследований приведены в приложениях Л – методика геоботанических исследований, М - особенности написания диплома, связанного с вопросами гидросферы и биоразнообразия водных организмов, Н – методики работы с насекомыми, О - техника исследований петрографического, минералогического и палеонтологического материала. Методики отбора растений и их определения можно найти в пособии Бондаренко А.П., Жумадилов Б.З., Альмишев У.Х. Растительность техногенного озера-накопителя отходов – электронную версию пособия можно скачать в медиатеке ПГУ., методики организации восстановления нарушенных территорий и методики работы с микроорганизмами в пособиях:
- Бондаренко А.П., Базарбеков К.У. Восстановление экосистем нарушенных нефтепродуктами. Павлодар. ПГУ.2006 195 с.
- Бондаренко А.П., Ведерникова А.А., Вайшля О.Б. Микроорганизмы и биогеохимический потенциал Павлодар 2007, 160 с.
- Бондаренко А.П., Ведерникова А.А., Вайшля О.Б. Микроорганизмы и ризосфера.
Некоторые методики оценки экологического состояния водоемов приведены в пособии: Убаськин А.В., Бондаренко А.П. Пищевые цепи и методы их изучения на примере озера отстойника отходов Павлодар 2007, 119 с. Электронные версии этих пособий также можно получить в медиатеке ПГУ, книжный вариант взять в библиотеке.
3
Обработка экспериментальных данных и их анализ
Результаты любого эксперимента фиксируют в той или иной форме, затем их используют с целью обработки. Операции сбора и обработки в одних случаях могут быть совмещены во времени, в других случаях обработка экспериментальных данных является самостоятельным этапом. Практически совмещенными во времени сбор, и обработка данных являются в автоматизированных системах управления научными исследованиями и комплексными испытаниями, проводимыми в реальном масштабе времени. Отдельным этапом работ обработка данных выступает при проведении учебных экспериментов, на этапе обобщения результатов научных исследований, при проведении анализа.
При исследовании экологических и природоохранных систем могут использоваться теоретические и эмпирические методы познания. В общем случае, теоретические методы в виде математических моделей позволяют описывать и объяснять взаимосвязи элементов изучаемой системы или объекта в относительно широких диапазонах изменения переменных величин. Однако при построении теоретических моделей неизбежно введение каких-либо ограничений, допущений, гипотез и т.п. Поэтому возникает задача оценки достоверности полученной модели реальному процессу или объекту. Для этого проводится экспериментальная проверка разработанных теоретических моделей.
3.1 Ошибки измерений и математическая обработка результатов эксперимента
При измерениях в эксперименте всегда получается некоторая погрешность. Она связана с погрешностью самого прибора, которым проводятся измерения, погрешностью самого экспериментатора при определении показаний прибора и, что немаловажно, с различием измеряемых объектов. Содержание того или иного вещества в почве различается от точки к точке, высота растений, масса зерен, концентрация выбросов – любая измеряемая величина не является постоянной в данной выборке. Если погрешность мала, то ею можно пренебречь. Однако при этом неизбежно возникают два вопроса: во первых, что понимать под малой погрешностью, и, во вторых, как оценить величину погрешности.
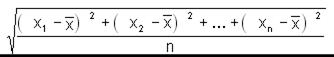
Целью любого эксперимента является определение качественной и количественной связи между исследуемыми параметрами, либо оценка численного значения какого-либо параметра. В некоторых случаях вид зависимости между переменными величинами известен по результатам теоретических исследований. Как правило, формулы, выражающие эти зависимости, содержат некоторые постоянные, значения которых и необходимо определить из опыта. Математическая обработка данных приведена в приложении П.
Другим типом задачи является определение неизвестной функциональной связи между переменными величинами на основе данных эксперимента. Такие зависимости называют эмпирическими. Однозначно определить неизвестную функциональную зависимость между переменными невозможно даже в том случае, если бы результаты эксперимента не имели ошибок. Тем более не следует этого ожидать, имея результаты эксперимента, содержащие различные ошибки измерения.
Математическая обработка данных экспериментов и наблюдений – основа анализа полученных результатов. При анализе данных необходимо сравнивать не только с контролем опыта и вариантами исследований, но и со стандартными значениями, табличными данными и другими величинами, характеризующими свойства исследуемых объектов и их отношение. Кроме того, если есть необходимость нужно проводить сравнение с данными других изысканий что позволит сделать более объективный вывод из данных проведенных исследований.
4 Логика построения дипломной работы
Логика построения дипломной работы определяется ее структурой и закладывается во введении. Цель, поставленная дипломником перед собой, и определение задач для ее выполнения обусловливают наполнение работы материалом. Формальная структура построения работ одинакова, она определяет и логику построения, отбор необходимого материала и его анализ и, в конечном счете, определенные выводы.
В литературном обзоре необходимо не простое изложение материала на заданную тему, это не длинное обоснование проблемы, а отчет об изученности данного вопроса в отношении поставленных задач. Для ясности возможно использование слов, включенных в постановку задач, и в подзаголовки как литературного обзора, так и в раздел представления результатов экспериментов и их анализа. Причем при анализе полученных данных желательно использовать данные литературного обзора, чтобы показать то новое, что сделано и получено автором в результате экспериментальных работ.
Вторая часть - условия и методика проведения исследований должна представлять материал необходимый для понимания, в каких условиях, с помощью каких методик автор получил данные, используемые им для анализа. Так как объекты исследования дипломных работ студента – эколога отличаются значительным разнообразием, также различен и материал, представленный во второй части. Однако он должен быть включен в общую логику построения работ. Если в этой части приводятся методики, следовательно, с помощью именно этих методик должны быть получены конкретные цифры или другие данные, представленные в работе.
Наиболее важной является третья часть, в которой приведены и проанализированы данные, полученные студентом во время выполнения выпускной работы. Существенно, что полученные данные и их анализ должны отвечать на поставленные дипломником задачи. Здесь значение имеет не количество полученных данных, а их соответствие поставленным целям и задачам. Как уже говорилось, возможно использование поставленных задач в подзаголовках третьей части, чтобы подчеркнуть соответствие задач и ответов.
Важным в этой части работы является проведение анализа, при котором проводится сравнение не только результатов эксперимента, проведенного автором, но и тех данных, которые использованы в первой части – литературном обзоре.
Выводы, сделанные в заключении должны четко и лаконично отвечать на поставленные задачи и показать соответствие результатов работы поставленной цели. Здесь возможно в каждом абзаце дать ответ на одну из поставленных задач, а в заключительном абзаце – подвести итоги дипломной работы по достижению поставленной цели и сделать выводы.
5 Руководитель дипломной работы
Руководитель дипломной работы:
- помогает студенту определить круг вопросов по изучению избранной темы и методы исследования, наметить план подготовки и план изложения дипломной работы;
- консультирует студента в ходе исследования, осуществляет систематический контроль, проводит поэтапную аттестацию (не менее двух раз в семестр) и информирует об этом кафедру;
- проверяет и рецензирует работу.
Дипломную работу студент выполняет самостоятельно, пользуясь консультациями руководителя и отчитываясь перед ним по мере выполнения отдельных частей и работы в целом. В итоговой оценке руководитель работы учитывает не только окончательный результат, но и степень самостоятельности студента, что отмечается в рецензии.
6 Значимость полученного материала и его анализа
В дипломной работе важен анализ проблемы, поставленной при написании диплома, но не меньшую роль играют собственные предложения дипломника по улучшению ситуации, поэтому именно на них и нужно обратить внимание.
Часто в работах пишется подробный анализ, который затем не используется, или на анализе заканчивается работа, в итоге Вы можете получить оценку, не соответствующую вашим ожиданиям. Постарайтесь не засорять дипломный проект избыточной информацией, важнее логика построения работы, а излишняя перегруженность несущественными данными может только снизить качество работы.
6.1 Оформление материала дипломной работы
В зависимости от характера выполняемой работы материал излагают в виде текста, таблиц, графиков, рисунков. В виде таблиц оформляют цифровой материал. Таблицу, впрочем, также как и рисунки и графики следует располагать в работе непосредственно после текста, в котором она упоминается впервые или на следующей странице, если место после текста занято- смотрите приложение и методические указания. На каждую таблицу (рисунок) должна быть ссылка в работе (тексте) – приложение З,И. Таблицы, так же как и рисунки нумеруются арабскими цифрами порядковой нумерацией в пределах всей работы.
7 Защита дипломного проекта
Значимую роль в оценке комиссией дипломной работы играет ее представление на защите. Комиссией оценивается Ваше знание материала дипломного проекта, его изложение, применение наглядного материала, соответствие выводов поставленной цели и задачам, определенным дипломником, а также умение отвечать на вопросы. Вы должны уметь объяснить любой термин, любое слово включенные Вами в дипломную работу. Если Ваша работа связана с биологическими объектами, Вам необходимо знание его систематики, латинское название и название на казахском языке. Если таких объектов много, их можно представить в виде таблицы или иным способом. Если дипломный проект связан с предприятием, необходимо иметь данные о подчиненности предприятия, его экологическом паспорте и некоторые другие данные, выходящие за рамки, изложенные в дипломной работе.
Важным элементом защиты дипломной работы является наглядное представление основных положений, вынесенных на защиту. Если в недавние годы была необходимость изготовления плакатов с рисунками, графиками и таблицами, то в настоящее время нет необходимости обладать талантами художника, чтобы достойно представить итоги работы. Достаточно освоить азы мастера презентаций Power Point из любого пакета приложений Office и это позволит создать полноценную иллюстрацию Вашего доклада по дипломной работе.
Фоновым рисунком могут быть как стандартные элементы, так и фотографии, сделанные Вами и относящиеся непосредственно к рассматриваемой теме. Нет особой необходимости делать презентацию, насыщенную анимацией, звуками, так как это может отвлекать от Вашего голосового сопровождения и вызвать замечания. На первом слайде должно быть название дипломной работы, фамилия дипломника, может быть приведено название учебного заведения, факультета, кафедры и его группы, а также фамилия руководителя.
Следующий слайд должен отобразить значимость работы, новизну проекта, его актуальность и другие важнейшие характеристики работы. Шрифт, применяемый на слайдах должен быть удобочитаем, при необходимости отдельные слова и фразы могут быть выделены размерами, цветом и другими параметрами.
Затем следуют цель и задачи дипломной работы. Они должны дословно повторять то, что написано в работе. После этого размещают слайды с изложением материала. Прежде всего, следует показать фотографии, схемы, графики, возможно представление таблиц и небольшие текстовые комментарии. Данные, приведенные в презентации, должны быть в максимальной степени адаптированы к восприятию, но, в то же время, отража
ть результаты исследования, не упрощая его научное или прикладное значение.
Затем приводятся слайды с выводами, сделанными на основании анализа материала, изложенного Вами. Не следует злоупотреблять созданием слишком большой презентации. Нужно исходить из того, что обычно, время представления дипломной работы равно 10 минутам, за это время Вы должны в нормальном темпе показать все слайды и прокомментировать их. Важно помнить, что недостаточно просто прочитать созданные Вами слайды, нужно убедить комиссию в значении Вашей работы и важности полученных результатов.
Если учитывать составляющие отметки за дипломную работу, то нужно отметить, что неряшливость выполнения дипломной работы не может быть скомпенсирована самым блестящим докладом, равно как идеально выполненная работа не может снизить негативного влияния неубедительной защиты, неумелого владения данными, изложенными в работе. В то же время, при добросовестно оформленной работе, именно доклад формирует у членов комиссии представление о качестве проведенного исследования.
Литература
Основная
1 Атабаева С.Д. и др. Влияние ТМ на растительные показатели и АТФазную активность корней растений // Известия МОН РК, НАН РК. Серия биологическая и медицинская. 2000. № 1
2 Батыргожина А.А. и др. Накопление в листьях тополя бальзамического Pb, Cd, Cu и Zn в условиях г. Астаны // Известия НАН РК. Серия биологическая и медицинская. 2005. № 3
3 Бей-Биенко Г.Я. Руководство по учету саранчевых. Л., 1930. 36 с.
4 Бондаренко А.П, Жумадилов Б.З., Альмишев У.Х. Растительность техногенного озера-накопителя отходов. Павлодар : Кереку, 2008. — 92 с.
5 Быков Б.А. Геоботанический словарь. Алма-Ата : Наука, 1973. 190 с.
6 Гиляров М.С. Методы количественного учета почвенной фауны. Почвоведение, 1941. — № 4. — С. 48-77
7 Гиляров М.С. Особенности почвы как среды обитания и её значение в эволюции насекомых. – М. – Л., 1949. — 279 с.
8 Гиляров М.С. Учет крупных почвенных беспозвоночных (мезофауны) — В кн.: Методы почвенно-зоологических исследований. – М. 1975. — С. 12 – 29.
9 Гиляров М.С. Учет крупных почвенных беспозвоночных (мезофауны). — В кн.: Количественные методы в почвенной зоологии М., 1987 — С. 9 – 26
10 Горностаев Г.Н. Насекомые СССР. — М., 1970. — 372 с.
11 Драховская М. Прогноз в защите растений. — М., 1962. — 313 с.
12 Знаменский А. Пособие для производства обследования энтомофауны почв // Тр. Полтав. с-х. опыт. станции. — 1927. — № 19. – 58 с.
13 Ильинский А.И., Тропин И.В. Надзор, учет и прогноз массовых размножений хвое – и листогрызущих насекомых в лесах СССР. — М., 1965. — 525 с.
14 Кожанчиков И.В. Методы исследования экологии насекомых. — М., 1961. — 286 с.
15 Менщиков С.Л., Махнев А.К. Динамика жизненного состояния лесных насаждений в условиях хронического загрязнения промышленными выбросами // Биологическая рекультивация нарушенных земель. — Екатеринбург : УрО РАН, 2003. — С. 53 – 65.
16 Методические указания к оформлению учебных документов. Электронный документ. — Павлодар : Кафедра экологии, 2006. – 52 с.
17 Полевая геоботаника / под общей редакцией Е.М. Лавренко и А.А. Корчагина. Том III. — М. — Л. : Наука, 1964. — 370 с.
18 Стриганова Б.Р. Методы фиксации почвообитающих беспозвоночных // Методы почвенно-зоологических исследований. —М., 1975. — С. 49 – 52
19 Тихомирова А.Л. Учет напочвенных беспозвоночных // Методы почвенно – зоологических исследований. — М., 1975. — С. 73 – 85
20 Тыщенко В.П. Руководство по энтомологической практике. — Л. 1983. — 230 с.
21 Убаськин А.В., Бондаренко А.П. Пищевые цепи и методы их изучения на примере озера отстойника отходов. — Павлодар : Кереку, 2007. — 119 с.
22 Фасулати К.К. Полевое изучение наземных беспозвоночных. — М., 1961 —303 с.
Дополнительная
23 Огарь Н.П. Воздействие на растительность // Отчет эколоического аудита «Оценка воздействия выбросов ПАЗ и ТЭЦ АО «Алюминий Казахстана» на растительный и животный мир». ЦОЗиЭ. — Алматы, 1999. — 230 с.
24 Огарь Н.П. Раздел «Воздействие на растительность» // Отчет о разработке научно-технической продукции «Оценка воздействия Аксуского завода ферросплавов на растительный мир». ЦОЗиЭ. — Алматы, 1997. — 120 с.
25 Трансформация растительного покрова Казахстана. Отчет о НИР; руководитель Н.П. Огарь. № ГР 0197 РК 00465. — Алматы, 1999. — 240 с.
Приложение А
(обязательное)
Форма заявления о выборе темы дипломной работы
Заведующему кафедрой Экологии д.с./х.н., доценту У.Х.Альмишеву
от студента (ки) гр.______
очного отделения
Ф.И.О. ________________
Заявление
Прошу закрепить за мной тему димломной работы «_____________________________________________________________________________________________________________________»
и назначить научным руковадителем ____________________________________________________________
(должность, ученая степень, Ф.И.О.)
Ф.И.О. студента, подпись________________________________
«___» _______200 год.
Приложение Б
(обязательное)
Экспериментальные исследования
Отношение между экспериментом и моделью такое же, как между курицей и яйцом, - замечает А.Антонов - нельзя определить, что было «в самом начале». Эксперимент с некоторым объектом проводится с целью уточнения его модели. С другой стороны, постановка эксперимента определяется имеющейся до опыта моделью. Противоречия в данном высказывании нет, так как в ходе проведения эксперимента исследователь получает новую информацию, позволяющую усовершенствовать модель, развивать и усложнять ее, т. е. в модели появляются новые составляющие, отражающие более полно процессы, явления и эффекты взаимодействия, которые ранее не были учтены в модели.
Термин «эксперимент» обычно используется при:
- целенаправленном наблюдении исследуемого явления в точно учитываемых условиях, позволяющих следить за ходом явления и воссоздавать его каждый раз при повторении этих условий;
- преднамеренных действиях или операциях, предпринятых с целью установления неизвестных причин, их проверки или иллюстрации;
- воспроизведении объекта познания, организации особых условий его существования;
- наблюдении развития явления в естественных для него условиях.
Общей чертой в характеристике эксперимента является то, что он определяется как осмысленная деятельность человека, связанная с различными целями, средствами и объектами познания. Наиболее общей целью проведения экспериментов является получение новой информации об изучаемом явлении (процессе, объекте).
Обобщенно эксперимент определяется как форма познания объективной действительности. Он является одним из основных способов научного исследования наряду с теоретическим мышлением, наблюдением, математическими расчетами и др. Отличительной особенностью эксперимента является использование при его проведении специальных средств исследования, позволяющих исследователю осуществлять вмешательство в явления и процессы внешнего мира, воспроизводить ход процесса, планомерно изменять различные условия в целях получения искомого результата.
Эксперимент характеризуется определенной направленностью и организованностью, что сводит к минимуму элемент случайности, неожиданности, хотя полностью его не исключает. Таким образом, эксперимент - это совокупность действий исследователя, осуществляемая посредством материальных средств исследования с целью получения новой информации об изучаемом объекте (процессе, явлении) путем построения информационных (описательных) моделей, характеризующих различные его стороны и проявления.
Основные элементы эксперимента:
1) экспериментатор и его деятельность как познающего субъекта;
2) объект экспериментального исследования;
З) средства экспериментального исследования.
Различают пассивный и активный эксперименты. Пассивный эксперимент подразумевает сбор исходного статистического материала в режиме нормальной эксплуатации объекта наблюдения. Активный эксперимент ставится по заранее составленному плану с использованием методов планирования эксперимента. При этом предусматривается одновременное изменение всех параметров, влияющих на процесс, что приводит к сокращению общего числа опытов. Для проведения активного эксперимента требуются специальные установки. Примерами таких установок могут служить термобарокамеры, термостаты, вегетационные домики и пр.
Эксперимент может быть управляемым и неуправляемым. Одним из основных принципов организации научных экспериментальных исследований является стремление к изоляции изучаемого объекта от влияния окружающей среды, т.е. проведение контролируемого активного эксперимента. В таком эксперименте независимые переменные могут варьироваться по желанию исследователя, а влияние внешних переменных исключается.
Управляемый эксперимент предполагает управляемость объекта исследований, которая определяется возможностью перевода объекта с наперед заданной точностью в любое из различимых состояний, в котором он находится в течение требуемого промежутка времени. При этом под состоянием объекта понимается все множество значений его характеристик и соотношении между ними, присущих ему в данный момент времени. В неуправляемом эксперименте наблюдатель пассивно фиксирует спонтанно протекающие процессы.
Различают также контролируемый и неконтролируемый эксперименты. В контролируемом эксперименте независимые переменные, воздействующие на объект исследования и называемые факторами, могут быть измерены с достаточно высокой точностью. Неконтролируемый эксперимент характеризуется тем, что исследователь предполагает воздействие некоторых факторов внешней среды, но у него нет технической возможности произвести количественные измерения уровня воздействующих факторов.
В реальных условиях любой, даже самым тщательным образом организованный эксперимент обладает свойствами неуправляемого и неконтролируемого эксперимента. Никакая исследовательская установка не может быть полностью изолирована от воздействия факторов внешней среды. Часть этих факторов может быть измерена, но сами факторы будут неуправляемы, другая же часть факторов не подлежит измерению и, таким образом, является неконтролируемой.
К неконтролируемым факторам, как правило, относятся такие, как уровень солнечной радиации, естественный радиоактивный фон и магнитное поле Земли и т.п. Данные факторы при проведении активных экспериментов, как правило, не учитываются. Наличие неуправляемых и неконтролируемых факторов может привести к нарушению воспроизводимости результатов эксперимента в сериях - повторениях.
Воспроизводимость опыта - одно из главных требований, предъявляемых при организации экспериментальных исследований. Воспроизводимость означает, что в ходе проведения эксперимента различия в выходных результатах опытов, проводимых в условиях воздействия одних и тех же факторов на одних и тех же уровнях, обусловлены случайными факторами: погрешностью приборов, ошибками измерения, дрейфом параметров в экспериментальной установке. Если различия в выходных результатах велики и не объяснимы случайными воздействиями, это означает, что имеет место влияние не учитываемого фактора, которое ведет к нарушению воспроизводимости эксперимента. Если неуправляемые факторы оказывают влияние на результат, получаемый в ходе эксперимента, то эксперимент будет активно-пассивным.
Несмотря на большое разнообразие экспериментов, отличающихся по физической природе, используемым техническим средствам и объему задач исследований, можно выделить их некоторые общие свойства.
1. Процесс экспериментальных исследований обязательно связан с непосредственным участием человека-исследователя и диктуется его интересами. Исследователь формулирует постановку задачи определяет план его проведения, разрабатывает алгоритм обработки результатов исследования и принимает решение о дальнейших действиях, т.е. человек определяет ход исследований на каждом из этапов его проведения.
2. Специфической особенностью экспериментов любой разновидности является наличие неопределенности, обусловленной уровнем априорной информации об исследуемом объекте и степенью ее достоверности. Основной целью проведения экспериментов является получение новых знаний, новой информации и соответственно понижение степени неопределенности.
З. Результаты каждого эксперимента всегда имеют некоторый элемент неопределенности, который вносится ограниченностью экспериментального материала. Его оценка проводится путем статистического анализа результатов наблюдений. Если целью эксперимента является построение модели исследуемого процесса, то выполнение этой цели достигается с определенной точностью. Таким образом, всегда имеется элемент неопределенности в формировании результата эксперимента, обусловленный случайностью исследуемых процессов, объектов или явлений и ограниченностью числа опытов.
4. Любой научно-технический эксперимент ведет к определенным действиям исследователя - принятию решения по продолжению или прекращению исследований - и заканчивается представлением результатов, формулировкой выводов, выдачей рекомендаций. Процесс принятия решений в экспериментальных исследованиях не удается полностью формализовать даже в самых простых ситуациях.
5.
Сложность объекта исследования определяется числом различных состояний, в которых он может находиться. Сложность объекта характеризуется уровнем его организации, степенью детерминированности. Какими бы сложными ни были те или иные эксперименты, по форме организации они мало различаются и включают в себя этапы планирования эксперимента, его проведение и анализ результатов.
6. В общий принцип организации экспериментальных исследований включают системный подход. Элементами такой организации должны стать планирование эксперимента, исключение или учет случайных воздействий окружающей среды, анализ получаемых результатов с оценкой ошибок и их совокупного влияния, проверка приемлемости результатов и их интерпретация, представление полученных данных в упорядоченном и наглядном виде. Современная теория системного анализа трактует понятие эксперимента несколько шире классического, предусматривающего лишь количественные, однозначные измерения. Выделяют следующие черты эксперимента:
- имеются наблюдаемые явления, в принципе не допускающие числовой меры, но которые можно фиксировать в «качественных», «слабых» шкалах. Результаты таких экспериментов, однако, можно учитывать в моделях, получая качественные, но вполне научные выводы;
- неотъемлемым природным свойством некоторых наблюдений признана их расплывчатость. Тем не менее, таким наблюдениям придана строгая математическая форма и разработан формальный аппарат работы с ними;
- погрешности измерений являются неотъемлемым естественным свойством самого процесса измерения, обусловленным наличием неопределенностей, шумами аппаратуры, квантованием измеряемых сигналов;
- широкое распространение получили статистические измерения, т.е. оценивание функционалов распределений вероятностей по реализации случайного процесса.
Путем обработки результатов наблюдений, фиксируемых в ходе проведения эксперимента, генерируется информация для включения в модель с целью ее усовершенствования. Таким образом, производится перевод модели на более высокий качественный уровень.
Классификация экспериментальных исследований
Эксперименты, описываемые совокупностью однотипных свойств, целесообразно объединить в некоторые классы. Часто принимают следующие обобщенные классификационные признаки:
- структура эксперимента;
- стадия научных исследований, к которым относится эксперимент;
- организация эксперимента;
- постановка задачи;
- способ проведения эксперимента.
Данный набор признаков, не является единственно возможным и не охватывает все многообразие свойств экспериментов. Антонов дополняет ее, рассматривая в качестве первого уровня классификации качественный и количественный эксперименты. Качественный эксперимент - более простой вид экспериментов. Его цель - установление только факта существования явления. Качественный эксперимент реже обставляется сложными измерительными системами и системами обработки данных. Но кажущаяся простота качественною эксперимента пропадает, если изучаемое явление или процесс является стохастическим (случайным). Стохастичность может быть вызвана, во-первых, тем, что уровень шумов, на фоне которых измеряется полезный сигнал, одного порядка или даже выше значения самого сигнала. Во-вторых, стохастичность может лежать в основе самого процесса.
Количественный эксперимент встречается чаще, чем качественный и требует для своего проведения более сложного оборудования. Задачей измерительного или количественного эксперимента является установление количественных связей между параметрами, описывающими состояние системы.
Следующий уровень - разделение экспериментов по их структуре на натурные, модельные и модельно-кибернетические (машинные). В натурном эксперименте средства экспериментального исследования взаимодействуют непосредственно с объектом исследования, в модельном эксперименте - не с самим объектом, а с его моделью. При этом модель играет двоякую роль. Во-первых, она является непосредственно объектом экспериментального исследования. Во-вторых, по отношению к подлинному изучаемому объекту или процессу модель выступает в качестве средства экспериментального исследования.
Модельнокибернетический эксперимент является разновидностью модельного, при котором соответствующие характеристики изучаемого объекта исследуются с помощью модели на ЭВМ. Эксперименты на моделях можно, в свою очередь, подразделить на масштабное, аналоговое, полунатурное и математическое моделирование.
Масштабное моделирование. Этот вид экспериментальных исследований один из самых старых. Чтобы качественно или количественно изучить явление, делали ею модель (уменьшенную копию). Примером масштабного моделирования может служить изучение поведения гидротехнических сооружений, потоков жидкости в трубопроводах, устойчивости судов при воздействии на них течений различной направленности. достоинством данного вида моделирования является изучение явлений и процессов в натуре. Недостаток масштабного моделирования состоит в том, что геометрическое подобие не обеспечивает подобия явления.
Аналоговое моделирование. Следующий тип моделирования - исследования, проводимые на аналоговых моделях. Если различные явления описываются одними и теми же уравнениями, то можно одно из явлений выбрать за основу модели, а остальные выражать через него. Модельным выбирается то явление или процесс, в котором можно легче и точнее произвести измерения. Так как лучше всего разработаны измерения электрических величин, то и модели стараются выполнить на электросхемах (моделирование на аналоговых вычислительных машинах).
Полунатурное моделирование. Полунатурное моделирование чаще всего применяется при исследовании систем автоматического или полуавтоматического регулирования или управления. Примером может служить исследование характеристик самолетов на специальных стендах по обработке навыков в управлении объектом, скажем, автопилот. На основе полунатурного моделирования создаются различные тренажеры.
Математическое моделирование. Если удается выразить весь моделируемый процесс в форме математических уравнений и отношений, то проблема может облегчиться тем, что эти математические уравнения и отношения исследуются на ЭВМ. В этом случае экспериментатор уже сам распоряжается планом проведения эксперимента, какие параметры и как надо варьировать, а какие стабилизировать. Эксперимент ведется в строгих рамках принятых допущений и введенных в рассмотрение параметров. Составляя математическую модель нужно стремиться оставить для рассмотрения лишь наиболее существенные параметры, делать математическое описание процесса как можно проще. Многие экологические и природоохранные процессы, в настоящее время, описаны в виде математических моделей и благодаря ЭВМ возможно прогнозирование изменений и устойчивости многих параметров систем.
Следующий уровень предполагает деление экспериментов согласно стадиям проведения научных исследований. Здесь можно выделить лабораторные, стендовые эксперименты и эксперименты в промышленных условиях.
К лабораторным относятся эксперименты по изучению общих закономерностей различных явлений и процессов, по проверке научных гипотез и теорий. Лабораторный эксперимент характеризуется небольшим числом измерительных и управляющих каналов, малыми энергетическими затратами экспериментальной установки, немногочисленным штатом обслуживающего персонала.
При лабораторном эксперименте велика роль самого экспериментатора. Установка для экспериментального исследования, как правило, создается им самим и находится в его подчинении на все время исследования. Этот фактор определяет и сравнительно низкий коэффициент ее загрузки, так как часть времени она простаивает (в период анализа полученных результатов или перемонтажа и наладки оборудования).
Стендовые исследования проводят при необходимости изучить вполне конкретный процесс, протекающий в исследуемом объекте с определенными физическими, химическими и другими свойствами. При стендовых исследованиях на основе сведений, полученных на стадии лабораторных экспериментов, уточняются характеристики объекта, его поведение при варьировании факторов, воздействующих на объект, определяются оптимальные условия функционирования объекта исследования. По результатам стендовых испытаний судят о различных наработках при расчетах или проектировании объекта, изделия или технического процесса. Также в ходе стендовых исследований вырабатываются рекомендации относительно серийного выпуска изделия и условий его эксплуатации. Такие исследования характерны и при изучении параметров устройств или технологий, способствующих улучшению природоохранных мероприятий.
Промышленный эксперимент проводят при создании нового изделия или организации технологического процесса по данным лабораторных или стендовых исследований, при оптимизации технологического процесса, при проведении контрольно-выборочных испытаний качества выпускаемой продукции. Этот вид эксперимента по своему принципу является как бы зеркальным отображением математического моделирования. В математическом моделировании экспериментальным инструментом является ЭВМ. На ней по составленным уравнениям и значениям параметров, выбранных в качестве определяющих и полученных из измерительного эксперимента, воспроизводится исследуемый процесс.
В промышленном эксперименте экспериментальная установка применяется для сложного измерительного эксперимента. В нем тип исследуемого процесса и уравнения, его описывающие, известны. Но сам процесс часто настолько сложен, что произвести его математическое моделирование при современном уровне средств вычислительной техники оказывается невозможным. С появлением более мощных ЭВМ часть наиболее простых промышленных экспериментов заменяется математическим моделированием.
Информативность промышленного эксперимента, как правило, велика, что в сочетании со сложностью обработки данных делает его чрезвычайно трудоемким. Промышленный эксперимент может быть модельным, полунатурным и натурным. Следующий признак классификации учитывает организацию экспериментов. По данному классификационному признаку выделяют обычные (рутинные), специальные (технические), уникальные и смешанные эксперименты, проводимые в стационарных условиях или на подвижных объектах.
Наиболее часто встречаются обычные эксперименты. Такие эксперименты выполняются по стандартным методикам с использованием сравнительно простого локального экспериментального оборудования.
Технические эксперименты связаны с созданием и исследованием различных приборов, аппаратов и технологий. Уникальные эксперименты проводятся на сложном дорогостоящем экспериментальном оборудовании. Такие эксперименты отличаются большими объемами экспериментальных данных, высокой скоростью протекания исследуемых процессов, широким диапазоном изменения характеристик объектов исследования.
Смешанный эксперимент обладает особенностями разных типов экспериментов. Названные разновидности экспериментов организуются как в стационарных условиях, так и на подвижных объектах (морских, авиационных, космических, наземных).
Следующий уровень классификации экспериментальных исследований по признаку, определяемому их частными целями, или по типу моделей определенного вида, восстанавливаемых по результатам исследований. Говорят также, что данный уровень классификации осуществляется по постановке задачи определения вида модели.
В отдельных случаях экспериментатора могут интересовать установление наличия связей между некоторыми переменными объекта исследования, вида взаимосвязей между ними, конкретных аналитических зависимостей, количественно описывающих объект исследования, уточнение вида и параметров этих аналитических зависимостей. Проведение эксперимента приводит к понижению степени неопределенности в априорно известной модели исследуемого объекта.
Постановка задачи конкретного экспериментального исследования определяется уровнем сложности исследуемого объекта, количеством и качеством априорной информации об объекте, т.е. степенью его изученности, особыми условиями существования объекта, например, подверженностью случайным неконтролируемым внешним воздействиям, наличием дрейфа характеристик и т.д. и требуемой степенью детализации его описания. Эти общие принципы постановки задачи рассматриваются как составные элементы признака классификации.
В постановке задачи можно выделить ее характеристики, достаточно общие и вместе с тем выражающие наиболее существенные отличия данной постановки от других. На основе таких характеристик формируются классы экспериментов. Критерием формирования определенного класса экспериментов на данном уровне схемы классификации считают существование некоторого набора методов, позволяющих решить задачу с учетом существенных характеристик ее постановки.
На данном уровне классификации выделяют следующие классы:
- эксперименты по нахождению модели объекта исследования при наличии неоднородностей разного вида;
- эксперименты по нахождению модели объекта исследования при взаимосвязанных входных переменных;
- эксперименты по нахождению модели объекта исследования при наличии у него «памяти», т.е. свойства сохранять последействие;
- эксперименты по нахождению модели объекта исследования при выяснении механизма явлений;
- эксперименты по нахождению модели объекта исследования, описывающей локальную область пространства его параметров, соответствующую экстремуму некоторого критерия оптимальности при наличии временного дрейфа параметров;
- эксперименты по нахождению модели объекта исследования, описывающей локальную область пространства ею параметров, соответствующую экстремуму некоторого критерия оптимальности при отсутствии временного дрейфа параметров;
- эксперименты по нахождению модели объекта исследования, описывающей степень влияния входных переменных на выходные переменные;
- эксперименты по нахождению математической модели объекта исследования, позволяющей преобразовать набор переменных объекта исследования;
- эксперименты по нахождению математической модели объекта исследования, прогнозирующей его поведение;
- эксперименты по нахождению моделей классификации объектов исследования и проверки степени соответствия экспериментальных данных определенным известным моделям.
Наконец, последний уровень схемы классификации делит эксперименты по способу их проведения, определяющему характер взаимодействия системы автоматизации с объектом исследований. С этой точки зрения различают пассивный, активный с программным управлением, активный с обратной связью, активно-пассивный эксперименты.
Характеристика активного и пассивного экспериментов дана ранее. Активный эксперимент с программным управлением проводится по заранее разработанному плану. В соответствии с этим планом исследователь воздействует на факторы, влияние которых исследуется, переводя их с одного уровня на другой согласно плану эксперимента. При этом изменение функции отклика, отражая реакцию исследуемого объекта на управляющие воздействия, позволяет выяснить природу происходящих в объекте исследования процессов. В случае активного эксперимента с обратной связью система автоматизации интерпретирует результаты на каждом шаге эксперимента и выбирает оптимальную стратегию управления им. Активно-пассивный эксперимент характеризуется тем, что при его проведении часть факторов просто контролируется, а по другой части осуществляется управление.
Приложение В
(информационное)
Образец титульного листа
Министерство образования и науки Республики Казахстан
Павлодарский государственный университет
им. С. Торайгырова
Кафедра Экологии
ДИПЛОМНАЯ РАБОТА
ДР. ХХХХХХ. ХХ-ХХ. ХХ. ХХ. ПЗ
Тема
_____________________________________________________
| Нормоконтролер
(должность, ученая степень)
(инициалы, фамилия)
_______________________ ___________________
(подпись) (дата)
|
|
Научный руководитель
(должность, ученая степень)
(инициалы, фамилия, подпись)
Консультанты
по
(инициалы, фамилия, подпись)
по
(инициалы, фамилия, подпись)
по
(инициалы, фамилия, подпись)
Студент
(инициалы, фамилия)
________________ ___________________
(подпись) (дата)
(группа)
|
Заведующий кафедрой
___________________________
200__
На кафедре можно получить «Методические указания к оформлению учебных документов», в которых прописаны основные параметры форматирования и дипломных работ. Отметим, что текст должен быть набран шрифтом Times New Roman (если документ выполняется на государственном языке, используется шрифт KZ Times New Roman), кегль 14 пунктов, межстрочный интервал – одинарный, поля, согласно этим методическим указаниям равны: левое – 2,5 мм, правое – 1,0 мм, верхнее и нижнее – 1,5 мм. Абзац в тексте начинают отступом, равным 1,25 см. Абзацный отступ в пределах текста должен быть одинаковым. Нумерация страниц должна быть сквозной. Первой страницей является титульный лист. Последующие страницы нумеруются в соответствии со структурой документа. Листы с отдельно выполненными иллюстрациями, таблицами и приложения необходимо включать в общую нумерацию.
На титульном листе заполняются некоторые сведения о дипломной работе «ДР. ХХХХХХ. ХХ-ХХ. ХХ. ХХ. ПЗ». Это буквенно–цифровое обозначение состоит из центральной цифровой части, предшествующей и последующей буквенных групп в соответствии с нижеследующим рисунком.
Пример: ДР. 070640. 25-04. 01. 05. ПЗ,
где ДР – дипломная работа;
050608 - шифр специальности «Экологии» 20-02 – шифр кафедры экологии
01 – номер по приказу;
06 – год разработки документа;
ПЗ – пояснительная записка (не ставится для контрольных работ заочников).
Приложение Г
(информационное)
Отзыв руководителя
На дипломную работу студента группы БЭ-44 кафедры Экология ХБФ ПГУ Нигматулина Т.Р.
«Изменение физико-химических свойств ртути, содержащейся в оз. Былкылдак, с целью снижения ее негативного влияния на окружающую среду»
Данное исследование состоит из трех основных частей: - литературного обзора, условий и методик исследования и экспериментальной части, в которой показана часть работы, выполненной студентом в общем объеме международного проекта. Работа представляет особый интерес, так как данная проблема получила международный резонанс и исследования проводятся комплексно, большой группой ученых разных стран.
Актуальность работы заключается также в том, что несмотря на решение многих проблем, связанных с поступлением ртути, использованной на ПХЗ во вмещающий ландшафт, она представляет определенную, не до конца изученную угрозу для живых организмов непосредственно или опосредовано контактирующих с отстойником-накопителем отходов озером Былкылдак.
Автором работы показано перераспределение ртути, депонированной в иловых отложениях накопителя отходов в живых обитателях озера, а также негативное ее влияние на организмы вершины трофической цепи озера. Модельные опыты подтверждают возможность влияния на подвижность ионов ртути, в связи с чем предлагаются экологически обоснованные способы предотвращения вторичного поступления ртути, депонированной в озере во вмещающий ландшафт.
По теме четко сформулирована цель, указаны задачи, приведена гипотеза, впоследствии подтвержденная результатами исследований, дан список используемых литературных источников. Дипломная работа выполнена согласно требованиям ГАК, заслуживает оценку "..." и может быть допущена к защите.
Руководитель дипломного проекта,
ст. преподаватель кафедры Экология ___________
Приложение Д
(информационное)
Рецензия
На дипломную работу студента группы БЭ-44 кафедры Экология ХБФ ПГУ Нигматулина Т.Р.
«Изменение физико-химических свойств ртути, содержащейся в оз. Былкылдак, с целью снижения ее негативного влияния на окружающую среду»
Данное исследование состоит из трех основных частей: - литературного обзора, условий и методик исследования и экспериментальной части, в которой показана часть работы, выполненной студентом в общем объеме международного проекта. Работа представляет особый интерес, так как данная проблема получила международный резонанс и исследования проводятся комплексно, большой группой ученых разных стран.
Актуальность работы заключается также в том, что несмотря на решение многих проблем, связанных с поступлением ртути, использованной на ПХЗ во вмещающий ландшафт, она представляет определенную, не до конца изученную угрозу для живых организмов непосредственно или опосредовано контактирующих с отстойником-накопителем отходов озером Былкылдак.
Автором работы показано перераспределение ртути, депонированной в иловых отложениях накопителя отходов в живых обитателях озера, а также негативное ее влияние на организмы вершины трофической цепи озера. Модельные опыты подтверждают возможность влияния на подвижность ионов ртути, в связи с чем предлагаются экологически обоснованные способы предотвращения вторичного поступления ртути, депонированной в озере во вмещающий ландшафт.
По теме четко сформулирована цель, указаны задачи, приведена гипотеза, впоследствии подтвержденная результатами исследований, дан список используемых литературных источников. Данная работа заслуживает оценки хорошо.
Приложение Е
(информационное)
Образец аннотации
Андатпа
Tan осы дипломдық жұмыс «АЖМСқа экологиялық экспертиза» тақырыбына арналған болатын.
АЖМС-лардың қоршаған ортаға көрсететін эсерін анықтай отырып тастандының түрін белгілеу, олардың көлемі, орналасуы жэне атмосферлік эуеге, топыраққа мен су ресурстарына тигізетін ықпалы зерделеу жұмысынын мақсаты болып табылауы.
Жұмыс барысында болу анықталған, не жанармай құятын станция, Железинка аулда, Железинка ауданда, Павлодар облысында орналасқан, өз қызметіммен алып тастаулардың шекті - мүмкін нормативтерінің және қоршаған табиғи ортага тастауларды шамадан асырмайды жэне АЖМС қанауымен талаптарға талапқа сай болады.
Аннотация
Данная дипломная работа была посвящена теме «Экологическая экспертиза на АЗС».
Целью исследований является определение воздействия автозаправочных станций на окружающую среду с установлением видов выбросов, объемов размещения и влияния их на атмосферный воздух, почву и водные ресурсы.
В ходе работы было установлено, что автозаправочная станция, расположенная в селе Железинка, Железинского района, Павлодарской области, своей деятельностью не превышает предельно-допустимых нормативов выбросов и сбросов в окружающую природную среду и соответствует требованиям по эксплуатации АЗС.
The summary
The given degree work has been devoted to a theme «Ecological examination at the gas station».
The purpose of researches is definition of influence of gasoline stations on an environment with an establishment of kinds of emissions, volumes of accommodation and their influence on atmospheric air, ground and water resources.
During work it has been established, that a gasoline station located in with. Zhelezinkа, area Zhelezinskogo, the Pavlodar area, the activity does not exceed maximum-permissible specifications of emissions and dumps in surrounding natural environment and correspond to requirements on operation of the gas station.
Приложение Ж
(информационное)
Образец нумерации заголовков, вставки ссылок на использованные источники
и вставки рисунка
В настоящее время осуществляется монтаж оборудования, электрооборудования, гидравлических систем и инженерных сетей. Пуск первой очереди трубопрокатного производства был осуществлен в 2007 году.
Общая численность персонала – 6000 человек [35].
2.3 Методика определения эффективности газоочистного оборудования
2.3.1 Физические основы подготовки дымовых газов к очистке
Подготовка газов, направляемых на очистку от взвешенных частиц в газоочистные установки, проводится путем искусственного изменения технологических параметров очищаемых газов с таким расчетом, чтобы они стали соответствовать оптимальным характеристикам применяемых газоочистных аппаратов.
Особое внимание следует уделить рассеиванию выбросов в атмосфере. Технологические газы и вентиляционный воздух после выхода из труб или вентиляционных устройств подчиняются законам турбулентной диффузии. На рисунке 1 показано распределение концентрации вредных веществ в атмосфере под факелом организованного высокого источника выброса.

А – зона организованного загрязнения; Б – зона переброса факела; В – зона задымления; Г – зона постепенного снижения уровня загрязнения
Рисунок 1 - Распределение концентраций вредных веществ в атмосфере у земной поверхности от организованного высокого источника выбросов
Максимальная концентрация примесей в приземной зоне пропорциональна производительности источника и обратно пропорциональна квадрату его высоты над землей. Подъем горячих струй почти полностью обусловлен подъемной силой газов, имеющих более высокую температуру, чем окружающий воздух.
Приложение И
(информационное)
Образец вставки таблицы
3.3.3 Расчет эффективности фильтра ФРО - 6300
Расчет эффективности газоочистной станции проводится регулярно каждый квартал. Специалисты лаборатории берут необходимые пробы, с помощью приборов получают данные для проведения вычислений и определения дальнейшей пригодности фильтра к использованию. В таблице 2 приведены числовые данные, полученные лабораторией за I квартал 2008 года.
Таблица 2 – Числовые данные, полученные лабораторией за I квартал 2008 года
| Параметр
|
Темпе-ратура
|
Площадь сечения
|
Скорость газа
|
Объем газа при н.у.
|
Объем газа
|
Концентрация веществ
|
| Единицы измерения
|
°С
|
м2
|
м/сек
|
м3
/ч
|
м3
/ч
|
мг/м3
|
| до очистки
|
23
|
3,2
|
23,8
|
274176
|
253428
|
590
|
| после очистки
|
40
|
3,2
|
15,5
|
212040
|
185349
|
5,80
|
Приложение К
(информационное)
Образец вставки формулы
Мощность N побудителя движения газов определяется гидравлическим сопротивлением и объемным расходом Q очищаемого газа:
N = kΔpQ / (ηм
ηв
), (8)
где k – коэффициент запаса мощности, обычно k от 1,1 до 1,15; ηм
– КПД передачи мощности от электродвигателя к вентилятору, обычно ηм
от 0,92 до 0,95; ηв
– КПД вентилятора, обычно ηв
от 0,65 до 0,8 [18].
Приложение Л
(обязательное)
Методика геоботанических исследований
Оценка состояния экосистем и их антропогенной нарушенности
Растительный покров и составляющие его элементы – фитоценозы являются автотрофной подсистемой экосистем различной размерности, вплоть до биосферы. Происходящая в процессе антропогенного воздействия потеря биологического разнообразия, а также нарушение структуры и продукционных процессов сообществ приводят к потере растительным покровом его основных функций и, в конечном итоге, к деградации экосистем.
Методика оценки состояния экосистем и их антропогенной нарушенности
Антропогенные процессы непосредственно связаны с хозяйственной деятельностью человека на данной территории. Они вызваны влиянием разнообразных факторов, связанных с деятельностью человека и вызывающих механическое (выпас, сенокошение, вырубки, уничтожение) и химическое повреждение растительности и других компонентов экосистем (почв, животного мира и др.). Антропогенные смены протекают более быстрыми темпами и ускоряют природные и природно-антропогенные процессы.
При оценке современного состояния растительности определённой территории рассматриваются все факторы воздействия, имеющие место в настоящее время, а также остаточные эффекты прошлых воздействий.
Факторы антропогенного воздействия могут быть разделены на физические – таблица Л1 - и химические - таблица Л2 (Трансформация..., 1999). Реакция растительности и механизмы сукцессий при механическом воздействии в общих чертах универсальны, независимо от типа растительности и условий местообитания. Наиболее сильное влияние на растительность оказывает площадной тип воздействия.
Таблица Л1 - Основные физические факторы антропогенной трансформации растительности
| Физические факторы
|
Объекты
|
Характер распространения
|
| Сельскохозяйственные
|
| Земледельческий
|
поля
|
площадное
|
| Пастбищный
|
пастбища, сенокосы
|
площадное, локально-площадное
|
| Животноводческий
|
места содержания скота, места водопоя
|
локально – диффузное, локально-точечное
|
| Лесохозяйственный
|
вырубки, сбор плодов, ягод
|
локально-площадное
|
| Техногенные
|
| Пирогенный
|
пойма р. Иртыш, т.д.
|
площадное
|
| Транспортный, строительство и эксплуатация линейных сооружений
|
все типы дорог, ЛЭП, трубопроводы
|
линейно-локальное
|
| Гидротехнический
|
накопители сбросных вод и отстойники, коллекторно-дренажная сеть
|
локально-площадное и линейное
|
| Функционирование селитебно-промышленных комплексов
|
населенные пункты различного статуса, временные и хозяйственные объекты и сопровождающие их свалки отходов
|
локально-мелкоплощадное, диффузное
|
| Рекреационные
|
| Рекреация
|
территории отдыха населения
|
локально-мелкоплощадное, диффузное
|
Появление новых мезо- и микроформ рельефа (промоин, выемок, насыпей, карьеров, и т.п.), наряду с геоботаническими показателями, служит надёжным индикатором нарушенности экосистем. Антропогенный характер нарушений устанавливается на основании присутствия явно антропогенных объектов (дорог, строений и т.п.) или по виду использования земель. Для оценки степени деградации почв рассматриваются величины проявления водной эрозии и дефляции, изменение структуры, содержание солей или гумуса.
Химическое загрязнение относят к площадным необратимым типам антропогенного воздействия. Оно наиболее интересно для нас, поскольку предприятия региона систематически производят выбросы веществ, загрязняющих атмосферу, гидро- и литосферу. Из этих сред поллютанты поступают в растения, вызывая их повреждение и в конечном итоге, если воздействие продолжается - гибель. В таблице Л2 – анализ литературных данных по реакции растений и фитоценозов на дымогазовые эмиссии (Огарь Н.П., 1997,1999; Менщиков С.Л., 2003).
Иногда физиологические повреждения, вызванные воздействием различных загрязнителей, не сопровождаются внешними изменениями, но обычно признаки поражения растений токсикантами выражаются в некрозе края листа, побурении листьев, скручивании, ожогах, уродливых формах роста. Результатом нарушения роста и развития растений также становится снижение устойчивости их к другим неблагоприятным факторам – засухам, заморозкам, засолению почв. В тяжелых случаях происходит засыхание и опадение листьев, отмирание растений (Атабаева С.Д., 2000; Батыргожина А.А., 2005).
Длительное воздействие совокупности антропогенных факторов – физических и химических - приводит к изменению состава фитоценозов в сторону образования малопродуктивных и маловидовых сообществ, вплоть до образования индустриогенных пустынь. (методика разработана Н.П. Огарь и Ю.В. Титовым -Советско-монгольская экспедиция, 1990г).
Для определения состояния растительного покрова и факторов, могущих оказывать на него какое-либо воздействие, необходимо проведение полевых исследований со сбором гербария (методики - см. Бондаренко А.П., Жумадилов Б.З., Альмишев У.Х., 2008) и составлением геоботанических описаний растительных сообществ на пробных площадках.
Таблица Л2 - Влияние выбросов промышленных предприятий (теплоэнергетики и др.) на растительность степной зоны
| Токсиканты
|
Действие на растения и растительные сообщества
|
Примечание
|
| 1
|
2
|
3
|
| Кислые газы (F, Cl, CO и CO2
, окислы фосфора P2
O5
и H2
S)
|
Вызывают нарушения физиолого-биохимических процессов в результате подкисления протоплазмы клетки, что ведет к прекращению фотосинтеза, усилению окислительных процессов
|
обладают наибольшей токсичностью для растений. Характер действия различных кислых газов и паров кислот сходен
в концентрациях, не приводящих к появлению видимых повреждений
|
| Сернистый газ SO2
|
Вызывает разрушение хлорофилла, недоразвитие пищевых зерен, нарушает функции сосудистой системы
Усиливается монодоминантность фитоценозов, в основном за счет выпадения мхов и лишайников.
|
| Газообразный NO и NO2
|
вызывает понижение интенсивности фотосинтеза, что приводит к снижению продукции биомассы и общей жизнедеятельности растений.
|
| Фториды
|
влияют на темпы роста и урожайность растений. Основная опасность для многолетних растений – длительное влияние очень низких концентраций
|
в случае накопления в растениях как компонентах пищевой цепи – опасно для животных, т.к. вызывает отравления и заболевания (флуорозы)
|
| Щелочные газы (аммиак), как и кислые газы
|
проникают в мезофилл, повреждающее действие связано с подщелачиванием клеточной среды, нарушением транспорта электронов в дыхательной цепи и фосфорилирования
|
| Пары кислот (HCl, HNO3
, H2
SO4
, H3
PO4
и органических, аэрозоли H2
SO4
, HCl)
|
часто вызывают ожоги листьев различной локализации
|
| 1
|
2
|
3
|
| Углеводороды
|
вызывают у растений эпинастию (движения листьев, лепестков и других органов растений в результате более быстрого роста верхней стороны органа) и другие серьезные нарушения формообразовательных процессов
|
| Соединения металлов (свинец, медь, мышьяк, ртуть, др.)
|
вызывают угнетение роста и уменьшение накопления биомассы, хлороз, нарушение водного обмена. Понижается устойчивость сообществ к различным нагрузкам, обеднение их, выпадение элементов сообществ и развитие опустынивания
|
накапливаясь в почвенных субстратах, могут поглощаться корнями (в зависимости от свойств субстрата) и/или перемещаются в надземные части растения
|
| Пыль (золоотвалы ТЭЦ и ТЭС, др.)
|
сильное запыление вызывает нарушение температурного и водного режимов растения, разрушение хлорофилла препятствует поглощению световой энергии, что сказывается на фотосинтезе и газообмене. Ослабляется жизненное состояние и репродуктивная способность растений. Снижается урожайность
|
является мощным фактором деградации растительности. Из состава сообществ выпадают чувствительные (опушенные и широколиственные), малообильные виды
|
| Шламы
|
вследствие высокой фитотоксичности шламов растительность у шламоотвалов практически отсутствует
|
на небольших участках распространены тростниковые фитоценозы
|
| Тепловое загрязнение
|
Фенологические ритмы растений изменяются. На промышленных площадях предприятий растения начинают вегетационный период на 1-2 недели раньше и на месяц раньше заканчивают.
|
Листья деревьев и кустарников мельчают, побеги укорочены и утолщены
|
Пробная площадка (Быков Б.А., 1973) - специально выделенный участок данного фитоценоза, предназначенный для его описания, т.е. выявления всех его характерных черт; основные требования к ПП:
идентичность условий местообитания, сходство видового состава, строения, общей биомассы фитоценоза и определенных количественных отношений между его компонентами. Также необходимо учитывать удаленность ПП от источника воздействия. Т.е. если основным источником воздействия на растительный покров рассматриваемой территории является промышленная зона (либо промышленное предприятие, но выделить воздействие одного предприятия чаще всего достаточно сложно), то участки, где будут производиться описания растительности, выбираются на определенном расстоянии от нее (например, 1-3-5-10-25-50 км) по направлению сторон света, учитывая преобладающее направление ветра.
Геоботанические описания растительных сообществ в точках наблюдений при изучении травянистой растительности степей и лугов проводятся на пробных площадках размером 100 м2
с использованием специальных геоботанических бланков (см. ниже). При описании сообществ учитываются флористический состав (совокупность всех видов, произрастающих в нем), обилие по Друде (см. ниже), высота растений, ярусность (расчлененность фитоценоза на слои, ярусы, пологи, подпологи и другие структурные или функциональные горизонты, имеющие различную степень сомкнутости и принимающие различное участие в ассимиляции и аккумуляции веществ и энергии), жизненное состояние видов, фенофаза растений (см. ниже), общее проективное покрытие (проекция всех растений на поверхность почвы), характер распределения видов (см. ниже), аспект сообщества (внешний вид сообщества, изменяющийся в течение года в соответствии с чередованием фаз развития растений), а также экологические (рельеф местности, тип почв, глубина грунтовых вод, засоление, характер увлажнения и т.д.) и антропогенные факторы, влияющие на растительность.
При описании пробной площади вначале обходят её по периферии, затем заходят внутрь, проводя 2-3 параллельных хода, стараясь меньше затаптывать травостой.
Оценка обилия видов осуществляется путём глазомерного учета. Для оценки обилия вида используются следующие ступени шкалы Друде (Полевая геоботаника, 1964):
- soc (sociales) – растения, смыкаясь своими наземными органами, образуют практически чистые заросли с проективным покрытием 100%;
- cop3
(copiosae)
- очень обильно, или рассеяно. Среднее наименьшее расстояние между растениями не более 20 см, обычно образуют основной фон растительности, или отдельного яруса;
- cop2
- обильно, или разбросанно. Среднее наименьшее расстояние между растениями от 20 до 40 см, растения играют значительную роль в физиономии ассоциации, создавая несплошной фон;
- cop1
- довольно обильно, или изредка. Среднее наименьшее расстояние от 40 до 100 см. Растения фон не составляют, но могут существенно влиять на облик растительности, представляя многочисленные вкрапления в массу травостоя;
- sp (sparsae) - растение встречается в небольших количествах, вкраплено в основной фон других растений предыдущих категорий обилия. Среднее наименьшее расстояние от 1 до 1,5 м, встречаются почти на каждых 1-2 шагах. Физиономическое значение в травостое имеют только в случае заметного контраста с другими растениями, или при более крупных размерах по сравнению с обильными видами;
- sol (solitariae) - встречается в очень малых количествах единичными экземплярами, или единично. Среднее наименьшее расстояние всегда не менее 1,5 м;
- un (unicum) - встречается единственным экземпляром.
В случае необходимости указываются промежуточные ступени, соединяя две основные дефисом, например «рассеянно-разбросанно» (cop3
-cop2
). В этом случае в первую очередь называется та ступень, которая наиболее близко определяет обилие рассматриваемого вида.
При оценке характера размещения особей вида внутри сообщества применяются следующие критерии: единично во всём сообществе (un); группой единичной диффузной (gr); пятном единичным слитным (mc); группами (ggr); пятнами (mmc); диффузно (df) и слитно (coal).
При оценке фенологических фаз учитываются вегетативные и генеративные состояния для каждого вида. Различают следующие вегетативные состояния: всходы, начало вегетации, вегетация, конец вегетации, отмирание и мёртвое растение. В генеративном состоянии различают: появление соцветий и спороносов, бутонизацию, начало цветения, полное цветение, конец цветения, созревание плодов и спороносов, зрелые плоды и спорангии, осыпание плодов, семян, спор, конец генерации и отсутствие признаков генерации.
При описании экосистем особое внимание нужно уделять изучению пространственного распределения растительных сообществ, их взаимосвязи с другими компонентами ландшафтов: рельефом, почвами, характером подстилающих пород, режимом увлажнения и т.п. Описанные растительные сообщества далее классифицируются по основным типам экосистем.
Для оценки степени изменений растительности под воздействием человека описываются условно «фоновые», ненарушенные, или слабонарушенные участки, сохранившие биоразнообразие и структуру сообществ, и их антропогенные модификации в каждом типе экосистем.
Выделяют общие критерии, которые могут быть использованы при описании различных видов растительности, и такие, которые применяются только для рассмотрения воздействия, например, выпаса, химического загрязнения и т.п., либо только для определенных видов растительности.
Общие критерии:
1. Подавление (угнетение) жизненного состояния растений:
-изменение соотношения вегетативных и генеративных особей (%);
-изменение морфологических параметров габитуса;
-нарушение соотношения цикла и прохождения фенологических фаз;
2. Изменение соотношения и фитоценотической роли видов в сообществах:
-изменение проективного покрытия (%);
-смена доминантов – содоминантов или увеличение фитоценотической роли сорных и дегрессионных видов;
3. Изменение качественного состава сообществ:
-инвазия новых, в том числе сорных видов;
-выпадение ценных (кормовых, лекарственных и др.) видов;
-изменение вертикальной и горизонтальной структуры сообществ;
-изменение эколого-биоморфологического состава видов в сообществах;
-изменение соотношения экоморф;
-замена коренных видов сорными.
Выявление стадий трансформации растительности производится методом описания эколого-динамических рядов сообществ (экологический ряд – изменение видового состава сообществ и обилия отдельных особей видов по мере изменения условий обитания), от сильнонарушенных до условно фоновых. Однотипные сообщества располагают по убыванию интенсивности фактора воздействия. При этом особое внимание уделяется наличию видов-индикаторов трансформации (сорно-рудеральных видов).
При определении химического загрязнения учитывают следующие признаки:
- ухудшение фитоценометрических характеристик видов (общего габитуса, высоты);
- ухудшение генеративности (недоразвитые генеративные органы – цветы и плоды, или их отсутствие у взрослых особей);
- изменение горизонтальной структуры сообществ (мозаичности, характера размещения особей);
- появление тератологических отклонений (уродств);
- появление физиологических отклонений (некроз и хлороз листьев, ослабление пигментации).
Критерии нарушенности экосистем при транспортном воздействии:
1 – Слабонарушенные. Одно- и двухразовые автомобильные следы, линейно нарушающие жизненность растений, обычно сопровождаются нарушением подкоркового и коркового горизонтов почв.
2 – Средненарушенные. Просёлочные дороги сезонного использования, линейно уничтожающие растительность, обычно сопровождаются нарушением подкоркового и коркового горизонтов почв. Часто 2-х и 3-х колейные.
3 – Сильнонарушенные. Многоколейные дороги постоянного пользования. Растительный покров уничтожен или частично заменён рудеральными группировками на межколейных участках. Разрушена верхняя часть почвенного профиля до горизонта В. По склонам вдоль колей часто формируются эрозионные борозды и узкие овраги.
4 – Очень сильнонарушенные. Крупные дорожные трассы с многочисленными колеями. Межколейные участки иногда с группировками сорняков. Почвы разрушены до горизонта В, значительные рытвины и овраги. Ветровая дефляция песчаных грунтов.
При проведении анализа информации, полученной с помощью описаний, выделяются следующие степени (градации) нарушенности растительности (по пятибалльной системе):
0 – Фоновая (неизменённая) растительность. Характерна для коренных (климаксовых) или условно коренных (квазиклимаксовых) зональных сообществ и субклимаксовых интразональных, являющихся эталонами биоразнообразия и структуры. Поскольку в настоящее время их практически не сохранилось, к этой категории относятся также сообщества малоизменённые (условно фоновые), не испытывающие антропогенного воздействия, разногодичная динамика которых соответствует диапазону природных циклических флюктуаций.
1 – Слабая степень нарушенности. Слабые внешние проявления изменений в состоянии габитуса отдельных видов, исчезновение редких или особо чувствительных видов, уменьшение количества лишайников, ветоши и опада. Растительные сообщества на этой стадии нарушенности характеризуются относительной полночленностью флористического состава и структуры, хорошим жизненным состоянием большинства видов, нормальной генеративностью (семенное размножение) доминантов. Динамика имеет характер природных флюктуаций, сохраняется способность к самовосстановлению при существующих нагрузках.
2 – Средняя (умеренная) степень нарушенности. Состав видов-доминантов сохраняется, но изменяются отдельные структурно-физиономические характеристики сообществ, ухудшается жизненность видов, происходят морфологические изменения органов растений. Средненарушенные сообщества неполночленны флористически (выпадение кормовых и др. ценных видов), с участием сорных видов, разреженным травяным покровом, удовлетворительным состоянием особей при незначительном механическом повреждении, удовлетворительной генеративностью, снижением задернованности почвы на 10-25%. Динамика имеет характер направленных сукцессий. Способность к самовосстановлению возможна при ограничении, или смягчении нагрузок.
3 – Сильная степень нарушенности. Происходят изменения в видовом составе доминантов и эдификаторов, доминируют стержнекорневые, корневищные, вегетативноподвижные виды. Видовой состав сообществ сильно изменён и обеднён, число малолетников, синантропных (пасквальных, рудеральных и сорных видов) увеличивается до 50%. Наблюдается исчезновение коренных и появление производных сообществ. Опад и ветошь отсутствуют. Компоненты сообществ обладают слабой генеративностью. Сообщества характеризуются разреженным травостоем и сниженной задернованностью почвы более чем на 50%. Динамика имеет характер катастрофических сукцессий. Способность к самовосстановлению возможна при полном прекращении нагрузок.
4 – Очень сильная степень нарушенности (катастрофические изменения растительности). Полное уничтожение коренных сообществ. Сообщества характеризуются полностью изменённым флористическим составом и структурой, с незначительным участием видов аборигенной флоры, сильно изреженные или имеющие достаточно высокое проективное покрытие (не менее 30%). Динамика имеет хаотический характер. Сообщества не способны к восстановлению без специальных мероприятий по фитомелиорации.
Собрав и проанализировав геоботанические описания, можно делать выводы о состоянии растительности на рассматриваемой территории и факторах (как экологических, так и антропогенных), которые вызывают ее изменения (при их наличии). В подавляющем большинстве случаев экосистемы испытывают на себе воздействие многих факторов одновременно, но суммарный эффект этих воздействий неодинаков и зависит от исходного состояния и потенциальной устойчивости растительности конкретных участков.
Таблица Л3 - Бланк геоботанический
| Название растений
|
Ярус
|
Обилие
|
Покрытие,%
|
Высота, см
|
Фенофаза
|
Жизненное состояние
|
Приложение М
(обязательное)
Особенности написания диплома, связанного с вопросами гидросферы и биоразнообразия водных организмов
Темы дипломных работ студентов биологических факультетов могут касаться весьма широкого спектра проблем:
- изучение видового состава растительного и животного мира водоемов и их роль в функционировании гидроэкосистем;
- антропогенное влияние на водные экосистемы (загрязнение, водопотребление, изменение режима водотоков, добыча гидробионтов, интродукция, мелиорация водоемов, водный транспорт и др.);
- охрана и рациональное использование водоемов и гидробионтов.
1. При написании дипломной работы необходимо учитывать особенности водной среды: физические и химические свойства воды (плотность, соленость, температурный и газовый режимы и др.) и связанные с ними специфические признаки и качества обитающих в водоемах гидробионтов.
Весьма существенно принимать во внимание годовой и сезонный характер действия абиотических и биотических факторов, а также цикличность показателей водности в различных климатических зонах.
Пример. «На территории Северного Казахстана (в том числе и Павлодарской области) экосистемы водоемов существуют в режиме трансгрессивно-регрессивных циклов корреляционно связанных с солнечной активностью, в процессе которых существенным изменениям подвержены все важнейшие факторы среды. Для большинства мелководных водоемов области (60 %) динамические циклы заканчиваются полным пересыханием».
2. В дипломной работе необходимо кратко рассмотреть физико-географический очерк (природные условия) изучаемой территории. Отметить особенности рельефа, растительного покрова и почво–грунтов, климата, гидрографию территории (включая гидрологический режим водоемов). В данном разделе дипломной работы можно использовать фотографии и рисунки, подчеркивающие и отражающие характерные особенности исследуемой территории.
Для использования в работе географических названий местностей и водоемов Павлодарской области можно рекомендовать работу Поповой В.Н. Словарь географических названий Казахстана. Павлодарская область. – Павлодар, 2001. – Ч. 1– 295 с и Ч.2 – 231 с.
3.
В разделе «Материал и методика» необходимо привести данные: по срокам сбора, количеству исследованных водоемов, объему собранного материала, характеристикам мест исследований (экотопам). Весьма обязательным условием является ссылка на литературные источники методов и методических указаний, которые были использованы в дипломной работе.
Пример. «Гидробионты водоема изучались согласно руководства В.И. Жадина «Методы гидробиологического исследования» (1960) [1], а ихтиофауна по И.Ф. Правдина Руководство по изучению рыб (преимущественно пресноводных (1966) [2]».
Если в общепринятые методические указания были внесены поправки или дополнения, то их необходимо указать в обязательном порядке и важно объяснить целесообразность данных дополнений (изменений).
Необходимо в этом разделе указать какие статистические показатели использовались при анализе полученных данных и какие руководства при этом применялись.
В данном разделе дипломной работы можно использовать иллюстративный материал (фотографии, рисунки и др.) отражающий процесс сбора и обработки материала.
4. При изложении материала, полученного в результате исследований и его обсуждении, необходимо учитывать следующие особенности:
4.1. При описании водоема необходимо дать его гидрологическую, гидрохимическую и гидробиологическую характеристику с указанием основных параметров:
для текучих водоемов (рек, речек, ручьев) – протяженность, места истока и впадения в другие водоемы, наличие поймы и ее площадь, объем паводка и стока, режим водности и ледостава;
для озер, водохранилищ и прудов – площадь, глубины, источники водного питания, уровенные режимы, зарастаемость, хозяйственное использование ресурсов и др. Для всех типов водоемов важно привезти данные по минерализации воды и основным группам ионов. Гидробиологическая характеристика должна содержать сведения по основным группам гидробионтов (макрофитной растительности, фито-зоопланктону, бентосу), а также видовой состав основных представителей ихтиофауны и водоплавающих птиц.
4.2 Видовой состав исследуемых организмов должен быть приведен согласно действующей классификации, с обязательной ссылкой на этот литературный источник.
Пример. «Систематика гидробионтов приводится согласно 7-и томного издания «Жизнь животных (1988) [3]».
Желательно приводить в работе латинское, русское и казахское название изучаемого вида.
Пример. «Acipenser baeri - Осетр сибирский - Бекіре».
Можно также отметить в работе широко распространенное местное название вида («местное название осетра – костерь»).
4.3 В работе рекомендуется привести краткую биолого-экологическую характеристику видов, обитающих в исследуемом водоеме: распространение; морфологические особенности; размножение; рост и развитие; питание; роль в водоеме; охраняемый статус; хозяйственное значение.
4.4 При исследовании природных факторов (абиотических и биотических), необходимо отметить их роль (главная, второстепенная), вектор направленности (на конкретный вид, на отдельный этап его жизненного цикла, среду его обитания) и силу воздействия на отдельных гидробионтов (популяцию) или в целом на экосистему.
4.5 Антропогенные факторы должны быть четко выделены по их происхождению, источнику, силе воздействия и роли в водоеме. Желательно приводить количественные характеристики факторов (в мг/л; г/м2
; кг/м3
и т.д.) и период воздействия. Работу необходимо иллюстрировать фотографиями, рисунками, графиками и диаграммами.
На графиках целесообразно показывать динамику изменения действия фактора и отклика на это изменение взаимосвязанного показателя («загрязнение – численность популяции», «загрязнение – темп роста», «содержание тяжелых металлов – плодовитость» и т.д.). Важно, чтобы график не был «перегружен» цифровыми данными, а способствовал отображению тренда (тенденции) иллюстрируемого явления.
4.6 Исследуя в дипломной работе вопросы охраны водных экосистем и отдельных популяций необходимо отметить причины вызывающие истощение ресурсов, сокращение численности видов и отдельных популяций (изменение условий обитания, прямое истребление и др.). Особо необходимо отметить наличие в водоемах редких и исчезающих видов, а также видов (или популяций) занесенных в Красную книгу. При оценке и анализе причин ухудшения (улучшения) состояния водной экосистемы можно использовать биологические индикаторы, присутствующие в водоеме (группы фито- и зоопланктона, макрофитов, представителей бентоса (особенно, моллюсков) и рыб. Целесообразно также отметить законодательные документы, позволяющие вести на данных водоемах природоохранные мероприятия.
Пример. «Согласно Правил рыболовства Республики Казахстан в реке Иртыш лов осетровых рыб запрещен повсеместно в течение всего года [4]».
4.7 Весьма важной частью дипломной работы, связанной изучением вопросов экологии водоемов, является раздел о рациональном использовании воды и биологических ресурсов водоема. Эколог должен не только уметь выявлять причины изменения характеристик водоема, его современного состояния, но и предлагать комплекс действенных мероприятий по охране и рациональному использованию его ресурсов. В число таких мероприятий могут войти: запрет на использование водосборной площади, охрана речек и ручьев, питающих исследуемый водоем, изменение водного режима, охрана водоема от загрязнения, запрет на дноуглубительные работы, проведение комплекса мелиоративных работ с включением мероприятий по предотвращению заморных явлений и спасению молоди, работ по акклиматизации и интродукции ценных гидробионтов, а также регулирование промысла.
Приложение Н
(обязательное)
Методы эколого-фаунистического исследования насекомы
х
Среди всех живых организмов, населяющих землю, насекомым принадлежит первое место, как по числу видов, так и по численности. Считается, что на земном шаре обитает около 2 млн. видов насекомых, причём около половины из них пока не известны для науки. Число экологических ниш, занимаемых насекомыми, огромно: они обитают и на теле или во внутренних органах высших животных, и на других насекомых. Им свойственны самые широкие пределы использования органического материала - от живых тканей растений и животных до гниющих остатков. Насекомые сами служат источником питания многих млекопитающих, птиц и рыб, участвуют в почвообразовательном процессе, опыляют цветы, дают ценные человеку продукты. Среди них есть опасные вредители полезных растений, паразиты животных, переносчики болезней и враги этих врагов человека.
Насекомые, как все другие животные, живут в тесной связи с окружающей их средой, подвергаются действию различных факторов окружающей среды, приспосабливаются к определённым условиям, влияют на них.
Каждое животное, таким образом, может быть изучено только в связи с условиями его существования. Нужно уметь правильно разобраться в географических особенностях изучаемой местности. Многие насекомые тесно связаны с растениями, особенностями почвы и различными другими физико-географическими условиями и что только комплексное изучение всех элементов среды даёт возможность правильно подойти к решению многих экологических и биологических вопросов, лучше понять закономерности фауны.
Следует стремиться к тому, чтобы как можно шире полнее изучать природу; обращать внимание на обследование всех компонентов биоценоза; изучать каждое животное круглый год, начиная с весны; обращать внимания на фенологию насекомых, собирать сведения о зимовке.
Общие требования, предъявляемые ко всем полевым исследованиям, следующие:
- собирать как можно больше фактического материала;
- изучать по возможности все стороны жизни насекомого;
- точно документировать материалы;
- получать сравнимые данные (применение единой методики).
Приступая к изучению того или иного объекта, необходимо определить объём, содержания и характер предполагаемого исследования, составить план, разработать методику и позаботится о материальном оборудовании.
Одним из распространенных вариантов дипломных и магистерских работ по энтомологии является экологo-фаунистический обзор какой-либо группы насекомых. Экологo-фаунистический обзор животного населения какого- либо ландшафта, группы экотопов или природного района представляет первый и наиболее важный и ответственный этап познания животного мира местности.
Данные этого изучения служат основой для всех последующих исследований по экологии как отдельных видов, так и их комплексов. Такие систематические исследования в течение нескольких лет позволяют установить видовой состав той или иной группы и уловить изменения, как в составе, так и в экологии изучаемых животных за ряд лет, в зависимости от изменения климата, развития растительности и колебаний других условий среды.
Приступая к эколого-фаунистическому исследованию насекомых, исследователь вне зависимости от избранной группы должен решать ряд типичных задач, как-то: сбор материала и осуществления количественного учета насекомых, зоогеографический анализ фауны, изучение биотопического размещения, получение данных о сезонной и суточной активности, биологии размножения, хозяйственном значении группы.
Методы обнаружения
Всякое исследование животных – фаунистическое, экологическое или практическое – предполагает сбор коллекционного материала, который служит основным документом. Научные коллекции дают возможность систематизировать животных, решить важные вопросы биологии и географического распространения.
Методы обнаружения, сбора и изучения насекомых базируются на знании их биологии и экологии, особенностей пространственной и этологической структуры их популяции. Существует много приёмов обнаружения и оценки численности популяций некоторых видов насекомых в конкретных биогеоценозах, которые детально описаны в ряде руководств (Знаменский, 1927; Бей-Биенко, 1930; Гиляров, 1941, 1975, 1987; Кожанчиков, 1953, 1961; Фасулати, 1961; Драховская, 1962; Ильинский, Тропин, 1965; Стриганова, 1975, 1987; Тихомирова, 1975 и др.).
При обследованиях в природе приходится собирать не только то, что сразу бросается в глаза и не только явно вредящие или заведомо полезные виды, но и прочих, попадающихся в месте исследования насекомых, поскольку среди них могут оказаться виды ещё не известные или виды с ещё не известным значением для хозяйства человека.
При сборе насекомых осматривают различные укромные места, растения, деревья. Собирают их в почве, на земле, под камнями, поваленными деревьями, в лесной подстилке, во мху, на траве и вообще во всех местах, где они могут укрыться. Для сбора хищников и мёртвоедов осматривают трупы различных животных. В норах грызунов и в гнёздах птиц обитает много видов насекомых. Некоторые из них настолько приспособлены к норовым условиям, что вне этой стадии не могут жить.
Для большинства насекомых с полным превращением характерна разобщенность мест обитания имагинальных и личиночных стадий. Поэтому места и методы сбора их различны. Например, хорошо известные всем майские жуки (Melolontha L.), питаются листьями деревьев, в то время как их личинки живут на корнях в почве и могут встретиться лишь при почвенных раскопках.
Хорошие результаты могут быть получены и просто при тщательном осмотре стволов деревьев, ветвей, листьев, в особенности со следами погрызов, поврежденных плодов, семян и соцветий.
Навозы травоядных млекопитающих, состоящие из органических веществ, представляют отличный питательный материал и привлекают большое количество насекомых (и других беспозвоночных), образующих своеобразный комплекс. Обнаружение насекомых легче всего в ясные солнечные дни, когда они активно питаются, перелетают и поэтому хорошо заметны. Особенно много их на лесных полянах и опушках, в пойменных лугах и по берегам водоёмов.
Приборы и приспособления для сбора и оценки численности
насекомых
Для продуктивного собирания насекомых необходимо специальное оборудование. В энтомологических исследованиях широко пользуются сачком, пинцетом, пробиркой, кисточкой, сеткой, различными ловушками, эксгаустером, ланцетом, лупой. Для лова ночных насекомых пользуются различными фонарями, светоловушками. Количественные учеты насекомых на поверхности земли и в травостоях производятся при помощи биоценометров и эклекторов.
Сачок воздушный - состоит из металлического обруча и марлевого мешка – рисунок - Н1. Обруч прикреплен к палке. Рекомендуют длину палки 1,0-1,5м. Толщина палки 3-4см. для специальных сборов летающих насекомых, пользуются мешком из марли; для количественного сбора (кошений) мешок шьют из плотной материи (бязь, мельничный газ, капрон и т.п.). Для учета численности применяются специальные сачки с диаметром обруча 30см.

А-после кошения; перекладывают морилку. Б - засыпка пробы в банку
Рисунок Н1 - Сачки для кошения
Обращение с сачком требует некоторых навыков, особенно при ловле насекомых в воздухе. Успех приносит точный и достаточно резкий взмах, производимый обычно в горизонтальной плоскости; после этого следует быстрым движением повернуть сачок отверстием вниз так, чтобы отвисающий марлевый мешок закрыл выход. После этого в сачок вводят открытую морилку и стряхивают в нее насекомых; достаточно крупных насекомых осторожно захватывают пальцами через марлю и вывернув сачок.
Один из методов работы сачком – «кошение», в процессе которого исследователь энергичными движениями водят им по поверхности растений вправо и влево. Амплитуда взмаха должна равняться 180 градусов; при каждом новом взмахе делают шаг вперед. Таких двойных (вправо и влево) взмахов нужно сделать 50 (100 одинарных). При кошении сачком, движения направляются против солнца (в противном случае своей тенью можно отпугнуть насекомых). После последнего взмаха сачок передвигают к себе, быстрым взмахом в воздухе стряхивают собранных насекомых на дно сачка, перехватив его рукой посередине или перевязав шнурком. ( рисунок Н1А)
Затем приготавливают морилку (в банку бросить кусочек поролона или комочек ваты, смоченной эфиром или хлороформом и закрыть пробкой). Развязывают дно сачка, снимают пробку с морилки и, натянув развязанные края сачка на шейку банки, туго стягивают их и завязывают. Затем постепенно стряхивают содержимое в банку (рисунок - Н1Б). после того, как все насекомые пересыпаны в банку, ее закрывают пробкой, вывертывают сачок и осматривают его. В случае обнаружения насекомых, вылавливают их рукой, эксгаустером или пинцетом и переносят в банку. После этого отвязывают мешок сачка и освобождают в банку от последнего, сразу закрывают, снабжают этикеткой и аккуратно вкладывают в сумку, сохраняя до разборки и подсчета в лаборатории. Этот метод не дает абсолютных цифр, так как из нижнего яруса травянистого покрова захватываются лишь часть населения насекомых, но он очень удобен для сравнительных целей, когда проводится параллельные учеты в различных биотопах или в одном и том же биотопе, но в разное время. Для того чтобы представить себе численность насекомых на единицу площади можно пользоваться формулой, предложенной Л.Г.Динесманом (1966):
Х = N/2RLn,
где Х - количество насекомых на 1м2
, N - число насекомых, пойманных при кошении, R- радиус сачка в метрах, L - средняя длина пути, проходимого обручем сачка по травостою при каждом взмахе сачка, n - число взмахов (ударов) сачка. Следует, однако, помнить, что полученные цифры дают лишь приблизительное представление о численности насекомых и не являются исчерпывающими.
В лаборатории содержимое банки (морилки) высыпают на лист бумаги, отбирают растительные части. Насекомых сортируют по систематическим группам, подсчитывают и переносят на слой ваты – матрасик или ватник, а данные (название группы и количество) заносят в дневник или карточку следующей формы – рисунок Н2.

Рисунок Н2 – Карточка анализа кошения
Для изучения суточной динамики активности хортобионтов, т.е насекомых – обитателей травянистого покрова, кошение целесообразно проводить через каждые 2-3 часа.
Наибольшая точность учета достигается при использовании биоценометров. Биоценометры бывают нескольких систем, но все они устроены по одному принципу и представляет квадратный железный ящик (высота 10см) с двумя ручками – рисунок Н3.

Рисунок Н3 - Биоценометр
Нижний край заострен, а верхний загнут наружу в виде канта для надевания мешка. Мешок сшит из плотной материи по размеру ящика. Перед употреблением на ящик надевают мешок и его завязывают. Принцип работы биоценометра сводится к изоляции участка почвы, подстилки и травостоя с помощью металлической рамки определенного размера. Для учета насекомых биоценометр быстро опускают на землю и надавливают. При этом ящик врезается в землю. Затем землю вокруг подкапывают лопатой и быстро проталкивают в мешок – рисунок Н4. Мешок снимают с рамы и сразу же завязывают. В дальнейшем содержимое мешка разбирают.

Рисунок Н4 - Учет с биоценометром
Эксгаустер используется для сбора мелких насекомых он представляет собой пробирку (или широкогорлую банку) с пробкой. В пробку вставляют 2 тонкие (0,5 см.) стеклянные трубочки, на одну из них натягивают резиновую трубку – рисунок Н5. Отверстия свободной трубочку приближают к животному и через резиновую трубку втягивают воздух. При этом насекомые втягиваются и переносятся в пробирку (банку).

1 – стеклянный цилиндр, 2 – резиновая пробка, 3 – стеклянные трубки, 4 – фильтр, 5 – резиновая трубка, 6 – кольцо липкой ленты (лейкопластыря)
Рисунок Н5 - Эксгаустер
Фонари используют для лова ночных насекомых, осмотра ночью стволов приманок. Пользуются электрическими фонарями с батареей. Фонарь ставят на возвышенное место, а под него расстилают белое полотно, часть которого укрепляют вертикально и освещают. Можно фонари помещать на фоне белой стены. Прилетающих на свет насекомых ловят пинцетом и переносят в морилку.
Ртутные лампы ПРК. Очень хорошие результаты могут быть получены при использовании лампы с ультрафиолетовыми лучами, которые привлекают большее количество насекомых. Источником ультрафиолетовых лучей служат ртутные лампы ПРК. Их устанавливают на более или менее открытом месте, вблизи стены дома или специально натянутого экрана из белого полотна. Во время работы глаза исследователя должны быть защищены специальными очками. Насекомые прилетают с расстояния 400-500 м. массовый лет насекомых у источника ультрафиолетового излучения наблюдается в тихие теплые и чаще пасмурные ночи.
Ловушки. Широко применяются при фаунистическом сборе насекомых и различные ловушки. Насекомые активные в ночные часы, привлекаются любым источником света и могут отлавливаться или собираться специальными светоловушками.
Светоловушка состоит из мощной электрической лампы, абажура-отражателя и закрепленной под ним металлической воронки, соединенной с широкогорлой банкой, наполненной фиксирующей жидкостью (спиртом, бензином, керосином и формалином). Светоловушка изображена на рисунке Н6. Прилетающие на свет насекомые ударяются о металлические части прибора, падают в воронку и скатываются в ловчую банку. Ловушки должны быть прикреплены не ниже 2-3 м. над землей. Их ставят на всю ночь.

Материал выбирают каждое утро и разбирают, как обычно. На следующую ночь ловушку заправляют и ставят вновь, так повторяют в течение всего сезона исследования.
Приманки
Для некоторых насекомых привлекающими являются различные сильно пахнущие приманки. Мертвоедов, жужелиц, коротконадкрылых жуков, карапузиков и некоторых мух привлекает запах гниющего мяса. У трупов позвоночных животных их всегда можно собрать в изобилии. Мясную приманку можно поместить на дно широкогорлого сосуда, погруженного до краев в почву и периодически проводить выборку попавших туда насекомых.
Для приманки вредителей древесины (усачей, короедов, златок) используют ловчие деревья, поваленные или частично ошкуренные, но не спиленные. На таких ослабленных мертвых деревьях ими происходит интенсивная откладка яиц, а через некоторый промежуток времени здесь можно собрать личинок и взрослых насекомых.
Для некоторых семейств чешуекрылых и жуков-хрущей возможен также лов самцов на запах самки. Половые феромоны, выделяемые самкой, воспринимаются самцами с большого расстояния, исчисляемого иногда несколькими километрами. Самок при этом помещают в марлевый мешок, который, в свою очередь, прикрепляется внутри большого садка, назначенного для разведения насекомых.
Сбор и учет насекомых, живущих на деревьях
Насекомые, обитающие на деревьях, называются, дендробионтами. Дендробионты в зависимости от места их обитания подразделяют на:
- филлобионты - обитатели листьев,
- ксилобионты - обитатели древесины.
При обследовании филлофагов осматривают, встряхивают сачком кроны деревьев.
Осмотр деревьев
Для осмотра выбирают небольшие экземпляры деревьев. Обнаруженных животных подсчитывают, данные записывают в дневник. Определяют процент деревьев, заселенных тем или иным видом, среднее количество особей встреченных на дереве в доступной для осмотра части. Отмечают, на какой высоте производили осмотр.
Отряхивание деревьев
Для сбора насекомых с крупных деревьев применяют метод отряхивания. На приствольный круг расстилают полотно или полиэтиленовую пленку, на которое стряхивают насекомых. Отряхивание производить рано утром или в пасмурную погоду, когда насекомые малоактивны. Метод дает представление о видовом составе и обилии видов. Дерево сильно встряхнуть руками или колотушей. Потревоженные насекомые падают на постеленную ткань.
Кошение сачком
Энергичными движениями водят сачком по ветвям дерева и насекомые попадают в сачок. Можно отряхивать насекомых с ветки в сачок. Желательно проводить в период малой активности насекомых.
Сбор при помощи пылесоса
С деревьев высотой до 7-8 м. можно собирать насекомых при помощи аппарата, состоящий из ручного пылесоса и длинной гибкой трубки, заканчивающейся воронкой.
Учет поврежденных листьев
Выделяется несколько категорий повреждений:
- сплошное – насекомые поедают весь лист, остается черешок;
- краевое – лист выедается с края;
- дырчатое – насекомые выедают на листе сквозные дыры;
- окошчатое – на плоскости листа выедаются более или менее мелкие участки, верхняя и нижняя кожица остается нетронутой;
- скелетирование – съедается мякоть и кожица листа, остаются нетронутыми жилки;
- минирование – насекомые, проникшие через эпидермис в одном месте, выедают паренхиму, остаются следы в виде пятен разного размера и формы, извилистых линий;
- пятнистое – пятна бурого, желтого, белого, черного цвета образовавшиеся в результате сосания листа;
- галлы – опухоли различной величины и формы;
- листовые трубки – трубки образующиеся при скручивании одного или нескольких листьев.
Учеты повреждения листьев проводятся на 5-10 модельных ветвях, ветви не срезаются, удобно проводить учеты вдвоем: один диктует, второй записывает. Данные записывают в предварительно подготовленную таблицу – Н1.
Таблица Н1 - Учет категорий повреждений листьев насекомыми, питающими на листьях.
| Дата
|
Тип леса
|
Название
породы
|
№
ветви
|
Категории повреждения, кол-во, %
|
На одном месте может оказаться более одной категории. В этом случае в графе «Категории повреждения» вносится колонка, соответствующая данным сочетаниям.
Учет поврежденности по степени объедания листвы
Используется метод как непосредственного определения площади изъятия листовой поверхности (весовой метод, палеток) так и определения относительной степени изъятия. В этом случае устанавливается характер повреждения следующим образом:
- имеются следы повреждения, листья объедены на 5% - 1 балл;
- слабое повреждение, листья объедены на 5-25% - 2 балла;
- среднее повреждение, листья объедены на 25-50% - 3 балла;
- сильное повреждение, листья объедены на 50-75% - 4 балла;
- полное повреждение, листья объедены на 75-100% - 5 баллов.
При характеристике поврежденности растений тлями учитывается степень заселенности растений этими насекомыми по 4 балльной шкале:
- 0 – тли отсутствуют;
- 1 – отдельные тли;
- 2 – единичные экземпляры заселяют до 50% листьев;
- 3 – колонии занимают более 50% листьев.
Сбор и учет обитателей древесины (ксилобионтов)
При исследований ксилобионтов используется осмотр порубочных остатков (пней, стволов, ветвей), изучение ходов, повреждений. Определяют количество ходов, приходящихся на 1м ствола, устанавливают характер размещения повреждений в зависимости от ориентации порубочных остатков. При исследовании пней отмечают их состояние: 1-свежесрубленные пни с живой древесиной; 2-древесина свежая, остатки коры у комля; 3-древесина разложилась на 50%; 4-основание пней зарастает мхом, древесина почти разложилась; 5-кочки, поросшие мхом и травой, под ними равномерный слой трухи; Результаты анализа заселенности пней оформляются следующим образом – таблица Н2.
Таблица Н2 - Оформление результатов анализа заселенности пней
| №
|
Состояние пня, балл.
|
Характеристика пня
|
| Отмечается: наличие ходов, личинок куколок, куколочных колыбелек, летних отверстий, заселенность муравьями.
определяется характер заселения по частям света, по высоте.
|
М
етоды изучения почвенных насекомых
Как подчеркивал В.В. Докучаев, почва является дневным или наружным горизонтом земной коры, образованным в результате сложного взаимодействия местного климата, растительных и животных организмов, состава и строения материнских горных пород. По Докучаеву, она представляет собой, естественноисторическое тело, созданное совместным воздействием на горную породу воды, воздуха и организмов. Как видно деятельность почвенной фауны (вместе с растениями) является одним из серьезных факторов почвообразовательного процесса. Поэтому при всесторонней оценке почвообразования, протекающего в той или иной местности, необходимо бывает изучение комплекса животных, переобладающее большинство которых составляет насекомые.
Жизнь 80% видов насекомых в тот или иной период времени связана с почвой (Гиляров, 1949). Почва обеспечивает насекомым оптимальный микроклимат, пищу, укрытие от врагов, благоприятные условия перезимовки.
Так как методы изучения почвенных животных изменяются в зависимости от их размеров, почвенных животных подразделяют по размерам на следующие группы:
а) наннофауна – животные, совершенно неразличимые невооруженным глазом (простейшие, коловратки, личинки нематод, мелкие виды нематод, личинки некоторых мелких клещей и.т.д.);
б) микрофауна – животные, размером от границ видимости до нескольких миллиметров длины (многие клещи, мелкие энхитреиды, ногохвостки, личинки мелких двукрылых и т. д);
в) мезофауна – размером от нескольких миллиметров до нескольких сантиметров (дождевые черви, крупные энхитреиды, мокрицы, многоножки, многие насекомые, крупные паукообразные, слизни, улитки).
г) макрофауна - обитающие в почве, позвоночные (жабы, ящерицы, змеи, грызуны, кроты и т.д).
Для каждой из этих групп разработана своя методика их изучения.
По степени связи с почвой почвообитающих насекомых подразделяют на следующие группы:
а) геобионты – насекомые, вся жизнь которых проходит в почве;
б) геофилы – насекомые, часть жизненного цикла которых обязательно происходит в почве;
в) геоксены – насекомые, более или менее случайно уходящие в почву, пользующиеся почвой как временным убежищем или укрытием.
Самое общее подразделение почвенных насекомых по типам пищевых (трофических) связей следующие:
а) фитофаги – насекомые, питающиеся подземными частями живых высших растений;
б) зоофаги – насекомые, питающиеся животной пищей (хищники и паразиты);
в) некрофаги – питающиеся трупами животных;
г) сапрофаги – питающиеся разлагающимися остатками организмов, преимущественно растений;
д) миксофаги – насекомые, имеющие смешанное, животно-растительное питание.
Преобладающее большинство почвенной фауны насекомых составляют относительно крупные формы, относящиеся к группе мезофауны. Поэтому интерес для нас представляют методы исследования крупных почвенных насекомых.
Почвенная мезофауна изучается разнообразными методами. Наиболее распространены среди них метод почвенных раскопок, метод просеивания подстилки и почвы, метод ловчих канавок и ловчих цилиндров для обитателей поверхности почвы и растительного опада.
Просеивание субстрата на ситах
Рекомендуется для сбора насекомых из лесной подстилки, мха, сильно разложившейся древесины, сухого навоза, речных наносов, растительных остатков грибов и т.д. Удобно пользоваться колонками почвенных сит с круглыми (а не щелевидными) отверстиями. использовать полную колонку не рационально, достаточно 3-4 сит с диаметром 0,5 мм, 2 мм, 5 мм дна и крыши.
Для сбора и учета берут пробы следующим образом: отмеряют 1 или 2 кв.м. подстила, отделяют границу и снимают весь рыхлый субстрат, покрывающий поверхности почвы (подстилки, мхи, наносы и т.п). Субстрат сразу укладывают в плотные мешки (бязевые, полиэтиленовые и.др.). Сохранят пробу до обработки.
Пробу нагребают в верхнее сито (куртинки мха, комья и.т.д. нужно на сите расчленить, а камни, палки и другие крупные предметы удалить). Колонка несколько раз энергично встряхивается в вертикальной и горизонтальной плоскости, после чего верхнее сито опорожняют и вновь заполняют субстратом. Эту операцию повторяют несколько раз (работая с сыпучими субстаратами, надо следить, чтобы средние сита не переполнялись больше чем на треть своего объема), после чего колонку последовательно разбирают, извлекая насекомых мягким пинцетом.
Этот способ позволяет значительно экономить время и не требует постоянного напряженного внимания, что дает более стабильные результаты учета (Тихомирова, 1975.) Работая с ситами, нужно сохранять их сухими, беречь от дождя, не просеивать слишком влажные субстраты и следить, чтобы их отверстия не забивались. Результаты заносятся в таблицу – Н3.
Таблица Н3 – Результат анализа субстрата
| № проба и дата
|
Описание пробной площади
|
Название насекомых
|
Количество
|
| яйцо
|
личинка
|
куколка
|
имаго
|
| 1
|
2
|
3
|
4
|
5
|
6
|
7
|
8
|
Метод взятия почвенной пробы
При почвенно-энтомологических исследованиях применяют методы прямого учета, позволяющего определить численность почвенных насекомых во всем заселенном ими объеме почвы (до глубины встречаемости), рассчитанную на 1 кв.м. Для этого выбирают наиболее типичные для исследуемой местности, участки, на которых закладывют пробные площадки. Применяемый при работах по службе учета вредных насекомых и в практике почвенно-зоологических исследований, оптимальный размер пробы составляет 0,25м2
(50см х 50см).
Метод взятия пробы сводится к следующему: сперва отмечают площадь пробы, забивая по углам отмеренного квадрата колышки, натягивая между нами бечевку. Затем от границ отмеренной площадки отгребают в разные стороны опад, подстилку или сухую сыпучую землю поверхностного слоя. Рядом с пробой с одной или с двух сторон раскладывают клеенку или полиэтиленовую пленку, на которую потом и помещают выбираемую из пробы почву. Сперва с площади пробы на клеенку (пленку) руками снимают опад и другие растительные остатки, которые тщательно вручную перебирают, собирая и учитывая всех найденных при этом насекомых, а траву выщипывают, что облегчает дальнейшую разборку почвы. Встреченных на поверхности почвы беспозвоночных фиксируют и записывают, (т.е. учитывают) отдельно от встреченных собственно в почве. Затем приступают к выкапыванию почвы с площади пробы лопатой, выбрасываемые на клеенку порции земли – рисунок Н7 - тщательно перебирают руками. Всю землю из разбираемого слоя порцию за порцией перетирают на весу между ладонями, тщательно следя за всей ссыпающейся на клеенку землей, собирая падающих и легко при этом обнаруживаемых животных.
| 
Рисунок Н7 - Общий вид стандартной почвенной пробы, взятой методом раскопок (по Гилярову, 1975)
|
Насекомых из каждой пробы и слоя собирают отдельно. В дневнике дается подробная характеристика участка и места взятия пробы.
Важно знать не только численность насекомых, но и их распределение в почве по глубинам. Это бывает важно для сопоставления этих данных с распределением корневых систем гумусового слоя и расположением генетических горизонтов почвы для выявления тех глубин, на которых держатся те или иные виды. Поэтому целесообразно проводить послойные раскопки. Рекомендуют глубину каждого слоя по 10 см. Все данные заносят в дневник или на карточку по следующей форме – рисунок Н8.
Пробы на участке должны быть так размещены, чтобы взятая проба отражала среднее состояние условий обследуемого участка, т.е пробы должны быть взяты со всех вариантов рельефа и почвы. Это особенно важно в тех случаях, когда имеется дело с сильно развитым рельефом и большой пестротой почвенного и растительного покрова
Рисунок Н8 - Результат анализа: распределение в почве по глубинам
Расположение проб на участке может быть следующим – рисунок Н9

Рисунок Н9 - Расположение проб на участке
Чем больше численность объектов, тем больше вероятность его встречаемости в пробах. Чем равномернее распределение объектов на участке, тем меньшее количество проб правильно отразит его численность.
Необходимое минимальное количество проб зависит также от той степени точности, с которой необходимо провести обследование.
Для определения статистической достоверности, полученных в результате обследования цифровых материалов, производится такая же математическая обработка как и при всяком взятии средней пробы: а) вычисляется среднее арифметическое (М) - среднее количество объектов на единицу учета (или на отдельную пробу); б) вычисляют среднее квадратичное отклонение от среднего арифметического (δ) и в) срединную ошибку (m). Это позволяет установить вычисляемую по формуле фактическую величину показателя точности учета (Р) и найти вариационный коэффициент.(V)

Необходимое число проб (n) для получения данных о средней численности при заданной величине показателя точности (Р) определяется по формуле
где V- фактически найденный вариационный коэффициент; Р- заданная степень точности.
Методы учета насекомых ловушками и ловчими канавками
Насекомые, активно передвигающиеся на поверхности почвы нередко концентрируются в определенных микробиотопах, с наиболее благоприятными для них условиями. Поэтому для насекомых, обитающих на поверхности почвы и верхнем ее слое, наряду с методом раскопок чаще всего применяется метод учета ловушками. Данный метод с успехом может использоваться для получения сравнительно экологической характеристики населения различных биотопов, исследования суточной активности или сезонной активности, зависимости ее от определенных абиотических факторов и т.д. Данные, полученные с помощью почвенных ловушек, отражают не абсолютную, а динамическую плотность, которая зависит не столько от численности, сколько от активности особей. Она будет выше у более подвижных, много и быстро бегающих форм, т.е. пропорциональна произведению численности на двигательную активность.
Метод почвенных ловушек в экологических работах стал применяться после работы Барбера (Barber, 1931), который предложил наливать в ловушки разные фиксирующие жидкости. В качестве ловушек удобно использовать стеклянные банки объемом 0,6; 0,8; 1л.
Банки нужно закапывать так, чтобы их горлышко находилось на одном уровне с поверхностью почвы. Размещать банки на участке можно лишь в линию, равномерно на площади. В каждом биотопе нужно иметь не менее 10 ловушек. При фаунистических исследованиях рекомендуется сочетать пустые ловушки и ловушки с фиксатором. В качестве фиксатора чаше всего используется 3-4%-ный формалин.
Чтобы избежать затопления ловушек дождевой водой, их следует располагать на микроповышениях рельефа, а также прикрывать сверху крышками. Балог (Balogh, 1958) рекомендует следующую простую крышку: прямоугольный кусок жести с отрезанными до половины и отогнутыми под прямым углом узкими полосками по краям, которые втыкаются в землю так, чтобы между крышкой и банкой оказался зазор 3-4см.
В условиях леса в качестве крышки удобно использовать куски коры, которые кладутся на несколько палочек, воткнутых вокруг ловушки. Между банкой и корой должен оставаться зазор 3-4см.
Ловчие канавки имеют глубину 7-10см от поверхности почвы, длина их не более 3-4м. Стенки должны быть вертикальными и гладкими без щелей. Принято сочетать канавки с ловчими банками, с размещением последних на концах канавки и на пересечении крестообразной канавки. Проверяют ловушки Барбера и канавки 2 раза в сутки, в момент захода и восхода солнца, что позволяет судить о суточной активности видов.
Методы умерщвления, фиксирования и хранения насекомых
а) умерщвление
Насекомых, собранных одним из указанных выше способов, переносят в морилки. Морилка представляет собой стеклянную или полиэтиленовую банку с плотно пригнанный корковой пробкой - рисунок Н10.

Рисунок Н10 – Морилка для умерщвления насекомых
В морилку кладут анестезирующие вещество, впускают туда насекомых и закрывают корковой пробкой, через некоторые время насекомые погибают. Внутрь морилки закладываются узкие полоски фильтровальной бумагой, поглощающие влагу, а на дно несколько слоев из той же бумаги. Заряжается морилка серным эфиром или хлороформом, последний менее летуч и поэтому чаще применяется. Для замаривания имаго очень удобно использовать также этилацетат, пары которого обладают консервирующим и мацерирующим действием.
Бабочек обычно собирают в отдельные морилки и дневных бабочек умерщвляют легким сдавливанием грудного отдела с помощью большого и указательного пальцев, после того крылья остаются сложенными вместе, а чешуйки не стираются.
б) фиксирование
Фиксируют насекомых в спирте, крепость которого зависит от объекта, который фиксируют: от 50% до 90% для многих насекомых 70%. Белых, мягких личинок и куколок насекомых перед фиксацией погружают в крутой кипяток (тогда они не потемнеют), затем переносят в 70%-ный спирт или 4%-ный формалин.
Формалин хуже спирта, насекомые сильно твердеют, становятся хрупкими, ломкими, но сохраняют окраску. Употребляют слабые растворы -продажный 40-процентный формалин следует разбавить в 15-25 раз.
в) хранение
Для хранения сухих насекомых пользуются ватными матрасиками: из белой ваты готовят слой по размеру коробки, кладут их в бумажные пакетики, края которых загибают наверх слоя ваты. На вату накладывают вкладной лист, вырезанный по размеру ватника. Вкладной лист служат для записывания этикетки.
Плотные коробки с набором таких матрасиков - очень удобны для перевозки или пересылки насекомых и незаменимы в экспедиционных условиях.
Для сохранения производится также накалывание насекомых на специальные энтомологические булавки. Для этого сухих насекомых предварительно размягчают в течение 1-2 суток во влажной камере рисунок Н11.

Рисунок Н11 - Влажные камеры для размачивания насекомых
При наколке булавку вводят в тело насекомого вертикально на 2/3 ее длины в строго определенном месте – рисунок Н12. Мелких насекомых наклеивают на треугольники или прямоугольники из плотной бумаги, расправляя их усики и ноги. Наколотые на булавки экземпляры размещаются в закрытых коробках с пенопластиковым дном. Все энтомологические материалы, сохраняемые сухим способом, необходимо обезопасить от нападения кожеедов, молей, хрущаков и др. вредителей, используя нафталин, антимоль или иные вещества аналогичного действия. Эти вещества насыпают в небольшие, обтянутые сверху марлей коробочки, которые закрепляют в одну из углов коллекционного ящика или закладывают их под слой ваты на матрасике.

1-прямокрылое; 2-жук; 3,4-клопы; 5-бабочка; 6-перепончатокрылое; 7-мелкие насекомые на бумажном треугольнике или прямоугольнике
Рисунок Н12 - Способы накалывания и наклеивания насекомых:
Этикетирование
Весь собранный материал снабжается этикетками. Недокументированные экземпляры, как бы они не были интересны или редки, не представляют не какой научной ценности. Этикеткой для сбора, хранящегося на ватных слоях, служит вкладыш. На правильно составленной этикетке должны быть указаны географический пункт, даты сбора и фамилия коллекционера. Такой же этикеткой должно быть снабжено и каждое наколотое на булавку насекомое оно снабжается двумя этикетками. На одной пишется место и дата сбора с указанием фамилии собирателя, на другой - видовая принадлежность насекомого и фамилия специалиста определившего материал. Эти данные записывают мелким, но разборчивым почерком, лучше тушью на прямоугольнике белой плотной бумаги, размером 18 мм х 8 мм. Этикетку и бумагу с видовым названием подкалывают снизу на ту же булавку на которую наколото насекомое.
Материал, хранящийся в фиксирующей жидкости, снабжается этикеткой, написанной карандашом на кусочках пергамента, бумаги или тушью на кальке.
Приложение П
(обязательное)
Техника исследований петрографического,
минералогического и палеонтологического материала
Отбор образцов пород
Образцы пород следует отбирать таким образом, чтобы они наиболее полно характеризовали типичные свойства каждой породы и чтобы в коллекции были представлены все разновидности пород района. Из больших обнажений, хорошо раскрывающих данную свиту пород, необходимо брать образцы послойно.
Особенно тщательно надо собирать образцы, характеризующие полезные ископаемые, геологические контакты, явления перерывов, тектонические нарушения, микроскладчатость или плойчатость, зеркала трения, брекчии дислокационные, а также все включения, вкрапления, конкреции, друзы, жеоды, жильные образования и т. п. Предусматривается достаточное количество материала для определения его методом паяльной трубки или, при наличии ценных или интересных в научном отношении образцов, для химического анализа и оптических исследований. Обращается особое внимание на сбор кристаллов. Непременно должны быть собраны образцы всех встреченных полезных ископаемых и минеральных строительных материалов, минеральных и пресных вод из главнейших источников, ранее не анализированных.
При обнаружении признаков полезных ископаемых или образцов с рудной вкрапленностью исследователь обязан тщательно исследовать местность и собрать дополнительные образцы для наиболее полной характеристики наблюдаемых минеральных проявлений.
Сбор и регистрация палеонтологического материала
Сбор и регистрация палеонтологического материала должны производиться послойно. В дневнике, при отборе, следует отмечать, в каком виде (целые, хорошо сохранившиеся ядра, неокатанные или окатанные обломки и т. д.) и где именно залегали и были взяты ископаемые (в какой части слоя, в массе породы, в конкрециях), были ли они в груде или разбросаны в породе.
Палеонтологические сборы, особенно в неизученных местностях и из отложений, возраст которых неизвестен, требуют большой затраты времени и труда, так как только обильные сборы фауны могут привести к точному определению возраста. Особенно настойчивые поиски окаменелостей обязательны при изучении отложений, кажущихся немыми.
Окаменелости на месте не выбиваются начисто. Крупные образцы пород с окаменелостями берутся лишь в том случае, если порода ими переполнена.
Растительные отпечатки берутся как позитивные, так и негативные; при упаковке их прокладывают ватой или бумагой. Остатки позвоночных, если кости хрупки, требуют предварительной заливки в гипс или хотя бы в глину с резаной соломой. Расположение костей в породе зарисовывается.
Если образцы взяты из осыпи и не могут быть приурочены к определенному горизонту, то это должно быть указано словом «осыпь» как в книжке, так и на этикетке. Точно так же, если образец, особенно с полезным ископаемым или фауной, взят из валуна, хотя бы приуроченного к определенному горизонту, то это должно быть указано словами из валуна».
Образцы пород для микроскопического определения
Образцы пород для микроскопического определения должны отбиваться по возможности глубже от пояса выветривания («свежие»).
Изучаемый массив изверженных пород должен быть представлен образцами как из центральных, и из периферических частей. Особенно полно требуется представить контактовые зоны, хотя бы видимых изменений в них и не было.
Образцы пород для выставочных коллекций
Основные образцы пород, предназначаемые для выставочных коллекций, должны иметь размеры 9 х12 см; временные образцы, нужные только в период обработки, могут быть и значительно меньших размеров. Размер образцов, иллюстрирующих характер руд или отдельные геологические явления (микроскладчатость, плойчатость, выветривание, кливаж и др.), не ограничен.
Кроме основных образцов, надлежит брать для приготовления шлифов небольшие осколки, размером 3 х 3 см (из сланцеватых пород образцы для шлифов должны быть не тоньше 2 см). Эти осколки надлежит брать от наиболее свежей части породы, от которой был взят основной образец. На экземпляре должна быть наклеена маленькая этикетка с номером основного образца.
Рыхлые породы (пески, глины, суглинки, лёсс и пр.) помещают в плотные нумерованные мешочки или тщательно упаковывают в прочную бумагу и хорошо завязывают. Упаковка должна быть такова, чтобы хорошо сохранялась структура. Хрупкие палеонтологические объекты упаковывают в вату, коробочки; очень мелкие отбирают в пробирки.
Оформление образцов
Каждый образец должен иметь этикетку. Форма этикетки для всех образцов должна быть однообразной, печатной; лучше всего применять чековые этикетные книжки с отрывающимися листочками.
На этикетке должно быть дано:
1) наименование учреждения;
2) местонахождение образца (лист или район и место);
3) номер образца (крупно и ясно);
4) буквенное обозначение слоя; если образец взят не из коренного залегания, на этикетке отмечается обязательно: «из осыпи», «из отвала», «из русла» и т. д.;
5) фамилия и инициалы исследователя;
6) год, месяц, число взятия образца;
7) полевое определение породы.
Этикетку, прилагаемую к образцу, складывают несколько раз, аккуратно завертывают в угол оберточной бумаги, в которую заворачивается образец. Во избежание истирания этикетка никоим образом не должна касаться породы. Если образец упаковывается в мешочек, этикетку вкладывают в него, предварительно завернув ее в бумагу.
Образцы в поле кладут в заранее пронумерованные мешочки. Проверка дневного сбора, окончательная этикетировка образцов, завертывание в бумагу и упаковка производятся вечером этого же дня на полевой базе. На корешке этикетки, остающемся в чековой книжке, полезно оставлять копию написанного на этикетке.
Номера взятых образцов следует обязательно записывать в полевую книжку рядом с описанием соответствующего слоя или породы, причем, в отличие от других номеров (обнажений, ключей и т. п.), их обозначают особым значком (например, заключают в круг).
Приложение
Р
(обязательное)
Математическая обработка данных
Виды измерений и причины ошибок
Под измерением понимают сравнение измеряемой величины с другой величиной, принятой за единицу измерения. Различают два типа измерений: прямые и косвенные. При прямом измерении измеряемая величина сравнивается непосредственно со своей единицей меры. Например, измерение линейкой высоты растений, промежутка времени при помощи часовых механизмов, температуры термометром и т.п. Значение измеряемой величины отсчитывается при этом по соответствующей шкале прибора.
При косвенном измерении измеряемая величина определяется (вычисляется) по результатам измерений других величин, которые связаны с измеряемой величиной определенной функциональной зависимостью. Например, измерение скорости по пройденному пути и затраченному времени, измерение плотности тела по измерению массы и объема, температуры при резании по электродвижущей силе, величины силы по упругим деформациям и т.п.
При измерении любой величины производят проверку и установку соответствующего прибора, наблюдение их показаний и отсчет. При этом истинного значения измеряемой величины получить невозможно. Это объясняется тем, что измерительные средства основаны на определенном методе измерения, точность которого конечна. При изготовлении прибора задается класс точности. Его погрешность определяется точностью делений шкалы прибора. Если шкала линейки нанесена через 1 мм, то точность отсчета 0,5 мм не изменить, если применим лупу для рассматривания шкалы. Аналогично происходит измерение и при использовании других измерительных средств.
Кроме приборной погрешности на результат измерения влияет еще ряд объективных и субъективных причин, обуславливающих появление ошибки измерения разности между результатом измерения и истинным значением измеряемой величины. Ошибка измерения обычно неизвестна, как неизвестно и истинное значение измеряемой величины. Исключение составляют измерения известных величин при определении точности измерительных приборов или их тарировке. Поэтому одной из важнейших задач математической обработки результатов эксперимента и является оценка истинного значения измеряемой величины по данным эксперимента с возможно меньшей ошибкой.
Типы ошибок измерения
Кроме приборной погрешности измерения (определяемой методом измерения) существуют и другие, которые можно разделить на три типа:
- систематические погрешности обуславливаются постоянно действующими факторами. Например, смещение начальной точки отсчета, влияние нагревания тел на их удлинение, износ режущего лезвия и т.п. Систематические ошибки выявляют при соответствующей тарировке приборов и потому они могут быть учтены при обработке результатов измерений.
- случайные ошибки содержат в своей основе много различных причин, каждая из которых не проявляет себя отчетливо. Случайную ошибку можно рассматривать как суммарный эффект действия многих факторов. Поэтому случайные ошибки при многократных измерениях получаются различными как по величине, так и по знаку. Их невозможно учесть как систематические, но можно учесть их влияние на оценку истинного значения измеряемой величины. Анализ случайных ошибок является важнейшим разделом математической обработки экспериментальных данных.
- грубые ошибки появляются вследствие неправильного отсчета по шкале, неправильной записи, неверной установки условий эксперимента и т.п. Они легко выявляются при повторном проведении опытов. При проведении исследований необходимо исключить систематические и грубые ошибки из результатов эксперимента.
Случайные ошибки и среднее отклонение
Случайные ошибки бывают как положительными, так и отрицательными (то есть измеренная величина может быть больше или меньше истинной измеряемой величины), разного значения, не превосходящей определенного предела. Если обозначить через Х известное истинное значение измеряемой величины, а результат первого измерения х1
, то разность (Х - х1
) и есть истинная абсолютная ошибка одного измерения. Число положительных ошибок почти равно числу отрицательных. Так как Х на практике величина недостижимая, за ее величину принимается среднее значение большого числа измерений . Считается, что эта величина тем ближе к истинному значению Х, чем большее количество измерений проведено.
Закон распределения случайных ошибок является основным в математической теории погрешностей. Иначе его называют нормальным законом распределения – рисунок О1. это замечательная функция, используемая в самых различных областях знаний и иллюстрирующая самые разнообразные явления.

В интервале от -1s до +1s находится 68,26% измерений, а в интервале от -2s до +2s находится 95,46% измерений
Рисунок О1 - Кривая нормального распределения
Особое значение в пользу широкого использования закона Гаусса имеет следующее обстоятельство: если суммарная ошибка измерения появляется в результате совместного действия ряда причин, каждая их которых вносит малую долю в общую ошибку (т.е. нет доминирующих причин), то, по какому бы закону не были распределены ошибки, вызываемые каждой из причин, результат их совместного действия минимизируется. Среднеарифметическое значение измеряемой величины, принимаемое за ее истинное значение, является наиболее вероятным. Среди значений могут оказаться значения, которые в действительности ближе к истинному значению.
Оценка точности измерений
Вопрос оценки точности измерений достаточно сложен, в данном пособии мы приведем минимальный минимум необходимых понятий, при необходимости ведения расчетов достоверности опытов, необходимо обратиться к специальной литературе или использовать программы статистических расчетов. Для ряда равноточных измерений х1
, х2
...хn
определим его среднеарифметическое значение , которое равно сумме всех измерений, поделенной на число измерений - n:
= .
Не вдаваясь в математическое обоснование, покажем ход дальнейших вычислений. Определим среднее отклонение – величину, аналогичную среднему арифметическому для разностей каждого измерения и средней величины. Эту величину часто обозначают буквой D. Для любого измерения:
Di
= |хi
- |,
где | | - знак абсолютных величин, то есть величин, взятых только по величине, без учета знака. Далее усредним все полученные значения, то есть получим среднее арифметическое значение для отклонений, для этого суммируем все отклонения, взятые по абсолютной величине и делим эту величину на количество измерений - n:
| =
|
,
|
| Σ
| хi
- |
|
| n
|
где - среднее отклонение или средняя ошибка, Σ
– сумма, n – число измерений.
То, что Вы прочитаете дальше, вызовет у многих будущих экологов раздраженное недоумение, наш совет обратить внимание на порядок арифметических действий и следовать им. Более того, Вы можете загнать данные операции в электронные таблицы и получать необходимый результат расчетов, достаточный для большинства простых опытов.
Итак, точность результатов измерений чаще выражают не по среднему отклонению, а с помощью стандартного отклонения s - квадратного корня из второго момента распределения относительно среднего значения. Такое определение данной величины основано на анализе кривой распределения ошибок и выходит за пределы нашего анализа результатов экспериментов. Показано, что при случайном распределении (отклонений) – стандартное отклонение показывает границы среднего арифметического значения, в которых заключено 68,26 % вероятности нахождения результата любого измерения. Стандартное отклонение вычисляется по формуле:
| 
|
| s =
|
,
|
в которой s - стандартное отклонение, х1
, х2
...хn
– отдельные измерения, - среднее измерений, n - число измерений.
Часто эта формула выглядит несколько иначе:
Основное отличие заключается в том, что в знаменателе не число измерений - n, а число степеней свободы – n-1. Значение s обычно поясняют следующим образом. Если сделано достаточно много измерений, то 68,26% измерений характеризуются отклонением от среднего значения не превышающим ±1 стандартного отклонения. 95,46% измерений характеризуются отклонениями не превышающими ±2s. На графике нормального распределения – рисунок О1 показаны эти интервалы.
Квадрат стандартного отклонения – s2
– называют дисперсией распределения. Она является основной мерой отклонения и еще одним способом выражения точности измерений.
Приведем образец вычисления стандартного отклонения на примере измерений высоты растений. Для этого выпишем в таблицу О1 измеряемые значения и их квадраты, и произведем необходимые вычисления.
Таблица О1 - измеряемые величины и их квадраты
| Величины
|
х
|
х 2
|
| Высоты растений
|
26,2
26,0
27,5
25,6
25,2
24,9
|
686,44
676,00
756,25
655,36
635,04
620,01
|
| Суммы
|
Σ х = 155,4
|
Σ х2
= 4029,10
|
Среднее значение - = 155,4 :
6 = 25,9
Квадрат сумм значений – (Σ х)2
= 155,42
= 24149,16
| s. =
|

|
=
|
= 0,92.
|
| 
|
Это стандартное отклонение характеризует точность метода, разброс результатов. Результат измерений часто записывают, указывая среднее арифметическое ± стандартное отклонение:
± s,
В нашем примере – 25,9 ± 0,9. Существует мнение, что правильнее указывать точное значение измеряемой величины как среднее арифметическое ± стандартное отклонение этого среднего sm
, вычисленное по формуле:
| sm
=
|

|
,
|
где n - число измерений. sm
называют стандартной ошибкой. Ее величина дает пределы ± sm
, в которых заключено до 68 % вероятности обнаружить истинное значение измеряемой величины. Исходя из этого, в приведенном примере результат измерений следует записать как 25,9 ± 0,9/√6 = 25,9±0,376, или, после округления - 25,9±0,4. Говорят, что этот результат включает истинное значение измеряемой величины с 68% точностью. Обычно принято использовать 2 стандартные ошибки (25,9±0,8) для определения границ приемлемости данных (за этими границами остается менее 5% вероятности обнаружить истинное значение измеряемой величины.). поэтому, если в серии измерений получен результат отличающийся от среднего на 3s, его отбрасывают как маловероятный. Существуют специальные критерии для выявления малоправдоподобных данных, однако они выходят за рамки нашего пособия.
Если число измерений менее 30 – распределение результатов не подчиняется нормальному закону Гаусса и стандартное отклонение становится ненадежной величиной для определения доверительных интервалов. В этом случае, чтобы вычислить пределы доверительного интервала для произвольной вероятности применяют t-значение распределения Стьюдента. Для того, чтобы применить t-критерий, необходимо воспользоваться таблицей t-значений распределения Стьюдента – таблица О2.
Таблица О2 - Значения функции распределения Стьюдента (для интервальных оценок)
| Степени свободы
|
Значение доверительной вероятности
|
| 0.9
|
0.95
|
0.99
|
| 1
|
6.314
|
12.706
|
63.656
|
| 2
|
2.920
|
4.303
|
9.925
|
| 3
|
2.353
|
3.182
|
5.841
|
| 4
|
2.132
|
2.776
|
4.604
|
| 5
|
2.015
|
2.571
|
4.032
|
| 6
|
1.943
|
2.447
|
3.707
|
| 7
|
1.895
|
2.365
|
3.499
|
| 8
|
1.860
|
2.306
|
3.355
|
| 9
|
1.833
|
2.262
|
3.250
|
| 10
|
1.812
|
2.228
|
3.169
|
| 11
|
1.796
|
2.201
|
3.106
|
| 12
|
1.782
|
2.179
|
3.055
|
| 13
|
1.771
|
2.160
|
3.012
|
| 14
|
1.761
|
2.145
|
2.977
|
| 15
|
1.753
|
2.131
|
2.947
|
| 16
|
1.746
|
2.120
|
2.921
|
| 17
|
1.740
|
2.110
|
2.898
|
| 18
|
1.734
|
2.101
|
2.878
|
| 19
|
1.729
|
2.093
|
2.861
|
| 20
|
1.725
|
2.086
|
2.845
|
| 21
|
1.721
|
2.080
|
2.831
|
Вначале выбирается необходимый в опыте доверительный уровень (надежность значения), затем на пересечении этого столбца и строки, соответствующей степени свободы (число измерений – 1) находят значение t-критерия, которое используют как поправочный коэффициент и величина доверительного интервала определяется:
± tsm
,
в нашем примере, при 95% вероятности нахождения измеряемой величины в заданных пределах, эти пределы равны - 25,9±(0,376 * 2,571) = 25,9±1,0. здесь величина t-критерия=2,571 – табличному значению при 95% вероятности и 5 степеням свободы.
Содержание
1 Основные требования к дипломной работе. 3
1.1 Как выбрать тему работы.. 3
1.2 Где взять материал для работы.. 3
1.3 Получение данных в эксперименте. 3
2 Форма изложения материала. 3
2.1 Количество частей в работе и их нумерация. 3
Отзыв. 3
Рецензия. 3
Аннотация диплома. 3
Условные обозначения. 3
Введение. 3
Литературный обзор дипломной работы.. 3
Условия и методика проведения исследований. 3
3 Обработка экспериментальных данных и их анализ. 3
3.1 Ошибки измерений и математическая обработка результатов
эксперимента. 3
4 Логика построения дипломной работы.. 3
5 Руководитель дипломной работы.. 3
6 Значимость полученного материала и его анализа. 3
6.1 Оформление материала дипломной работы.. 3
Литература 3
Приложение А
Форма заявления о выборе темы дипломной
работы.. 3
Приложение Б
Экспериментальные исследования. 3
Приложение В
Образец титульного листа. 3
Приложение Г
Отзыв руководителя. 3
Приложение Д
Рецензия. 3
Приложение Е
Образец аннотации. 3
Приложение Ж
Образец нумерации заголовков и вставки ссылок
на использованные источники и вставки рисунка. 3
Приложение И
Образец вставки таблицы.. 3
Приложение К
Образец вставки формулы.. 40
Приложение Л
Методика геоботанических исследований. 41
Приложение М
Особенности написания диплома, связанного с
вопросами гидросферы и биоразнообразия водных организмов. 52
Приложение Н
Особенности работ с насекомыми. 56
Приложение П
Техника исследований петрографического,
минералогического и палеонтологического материала. 3
Приложение Р
Математическая обработка данных. 82
|