| Российский Государственный Торгово-Экономический Университет
Ивановский филиал
Курсовая работа
По теме: «Целочисленное программирование»
Выполнила: студентка 2 курса УФФ
Прозорова В.С.
Проверила: Малеж Л.Н.
Груздева Н.Н.
Иваново 2003г.
План:
Введение.
1.Целочисленное программирование. Общие понятия.
2.Метод Гомори.
3.Метод ветвей и границ.
4.Циклический алгоритм целочисленного программирования.
5.Полностью целочисленный алгоритм.
6.Задача о рюкзаке.
7.Задача о назначении.
8.Задача коммивояжера.
Заключение.
Список используемой литературы.
Ведение.
При рассмотрении целого ряда задач финансового менеджмента и бизнеса необходимо учитывать требование целочисленности используемых переменных. Такие задачи называются задачами целочисленного
программирования.
Под задачей целочисленного программирования (ЦП) понимается задача, в которой все или некоторые переменные должны принимать целые значения. В том случае, когда ограничения и целевая функция задачи представляют собой линейные зависимости, задачу называют целочисленной задачей линейного программирования. В противном случае, когда хотя бы одна зависимость будет нелинейной, это будет целочисленной задачей нелинейного программирования. Особый интерес к задачам ЦП вызван тем, что во многих практических задачах необходимо находить целочисленное решение ввиду дискретности ряда значений искомых переменных.
Целочисленное программирование возникло в 50-60-е годы нашего века из нужд практики - главным образом в работах американских математиков Дж.Данцига и Р.Гомори. Первоначально целочисленное программирование развивалось независимо от геометрии чисел на основе теории и методов математической оптимизации ,прежде всего линейного программирования. Однако, в последние время исследования в этом направлении все чаще проводятся средствами математики целых чисел.
Задачи такого типа весьма актуальны, так как к их решению сводится анализ разнообразных ситуаций , возникающих в экономике, технике, военном деле и других областях. С появлением ЭВМ, ростом их производительности повысился интерес к задачам такого типа и к математике в целом.
Целочисленное программирование. Основные понятия.
При рассмотрении целого ряда задач финансового менеджмента и бизнеса необходимо учитывать требование целочисленности используемых переменных. Такие задачи называются задачами целочисленного
программирования.
Забиваем Сайты В ТОП КУВАЛДОЙ - Уникальные возможности от SeoHammer
Каждая ссылка анализируется по трем пакетам оценки: SEO, Трафик и SMM.
SeoHammer делает продвижение сайта прозрачным и простым занятием.
Ссылки, вечные ссылки, статьи, упоминания, пресс-релизы - используйте по максимуму потенциал SeoHammer для продвижения вашего сайта.
Что умеет делать SeoHammer
— Продвижение в один клик, интеллектуальный подбор запросов, покупка самых лучших ссылок с высокой степенью качества у лучших бирж ссылок.
— Регулярная проверка качества ссылок по более чем 100 показателям и ежедневный пересчет показателей качества проекта.
— Все известные форматы ссылок: арендные ссылки, вечные ссылки, публикации (упоминания, мнения, отзывы, статьи, пресс-релизы).
— SeoHammer покажет, где рост или падение, а также запросы, на которые нужно обратить внимание.
SeoHammer еще предоставляет технологию Буст, она ускоряет продвижение в десятки раз,
а первые результаты появляются уже в течение первых 7 дней.
Зарегистрироваться и Начать продвижение
Целочисленным (иногда его называют также дискретным) программированием называется раздел математического программирования, изучающий экстремальные задачи, в которых на искомые переменные накладывается условие целочисленности, а область допустимых решений конечна. Огромное количество экономических задач носит дискретный, чаще всего целочисленный характер, что связано, как правило с физической неделимостью многих элементов расчета: например, нельзя построить два с половиной завода, купить полтора автомобиля и т.д. В ряде случаев такие задачи решаются обычными методами, например, симплексным методом, с последующим округлением до целых чисел. Однако такой подход оправдан, когда отдельная единица составляет очень малую часть всего объема (например, товарных запасов); в противном случае он может внести значительные искажения в действительно оптимальное решение. Поэтому разработаны специальные методы решения целочисленных задач.
Рекомендации по формулировке и решению ЦП
- Количество целочисленных переменных уменьшать насколько возможно. Например, целочисленные переменные, значения которых должно быть не менее 20, можно рассматривать как непрерывные.
- В отличие от общих задач ЛП, добавление новых ограничений особенно включающих целочисленные переменные, обычно уменьшают время решения задач ЦП.
- Если нет острой необходимости в нахождении точного оптимального целочисленного решения, отличающегося от непрерывного решения, например, 3%. Тогда реализацию метода ветвей и границ для задачи максимизации можно заканчивать, если отношение разницы между верхней и нижней границ к верхней границы меньше 0,03.
Метод ветвей и границ можно применять для решения задач нелинейного программирования.
Метод
Гомори
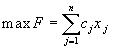
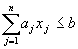
Задача целочисленного программирования может быть сформулирована следующим образом: найти максимум или минимум функции
(7.1)
при условиях
(7.2)
Xj
>
0, j
= 1, 2, ..., n, а также при дополнительном условии
х
j
— целые числа.
В некоторых случаях условие (7.4) распространяется только на часть переменных, такие задачи называются частично целочисленными.
Для решения задач целочисленного программирования разработаны специальные методы. К ним относятся метод отсечений (метод Гомори) и метод ветвей и границ.
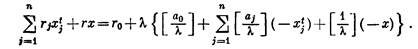
В основе метода Гомори заложена идея, состоящая в том, что сначала решается задача линейного программирования (7.1)—(7.3) без учета условий целочисленности. Если полученное таким образом решение целочисленное, то оно принимается за оптимальный план задачи (7.I)—(7.4). Если решение нецелочисленное, то система ограничений дополняется условием, которое отсекает от множества планов задачи нецелочисленный оптимальный план, но при этом сохраняет целочисленные вершины множества планов. Затем решается задача линейного программирования с дополнительным условием. Если полученное таким образом решение целочисленное, то оно оптимально и для задачи (7.1)—(7.4). Если же и после этого не для всех переменных выполняется условие целочисленности, то вводится новое условие-отсечение. Условия-отсечения выбираются таким образом, чтобы за конечное число шагов прийти к целочисленному решению, если оно у данной задачи существует. Один из алгоритмов построения таких условий-отсечений был предложен Гомори.
Сервис онлайн-записи на собственном Telegram-боте
Попробуйте сервис онлайн-записи VisitTime на основе вашего собственного Telegram-бота:
— Разгрузит мастера, специалиста или компанию;
— Позволит гибко управлять расписанием и загрузкой;
— Разошлет оповещения о новых услугах или акциях;
— Позволит принять оплату на карту/кошелек/счет;
— Позволит записываться на групповые и персональные посещения;
— Поможет получить от клиента отзывы о визите к вам;
— Включает в себя сервис чаевых.
Для новых пользователей первый месяц бесплатно.
Зарегистрироваться в сервисе
Рассмотрим указанный алгоритм. Пусть получено решение задачи (7.1)-(7.3) без учета целочисленности и пусть в строке r симплексной таблицы с оптимальным решением содержится нецелочисленная компонента опорного плана х
r0.
В этом случае к условиям (7.1)—(7.3) добавляют условие, порожденное строкой г.
Для составления этого условия-отсечения используем г-е уравнение из последней симплексной таблицы, содержащей оптимальное решение,
(7.5)
Далее введем понятие целой и дробной частей чисел а
r0
и а
rj
, для
чего запишем эти числа в виде:
Здесь [а
r0
]
и [
arj
] -
целые части, a qt
,
qr
]
-
дробные части чисел а
r
j
и ar
j.
Например, 37
/3
=12 +1/3
, так как [37
/3
] = 12, a -s
/, = -3 + 1/3„ так как [-8/3] = -3.
Из уравнения (7.5) найдем х
r
xr
=а
r0
-
Теперь числа аю
и аrj
заменим суммами целых и дробных частей:
xr
=
Предположим, что все xj
- целые числа. Тогда разность
является целым числом.
Чтобы оказалось целым числом и х
r
,
необходима целочисленность разности
Но О<qг
<1, 0<
grj
<1,
a (7.6)
Если допустить, что разность (7.6) больше нуля, то
Однако в этом случае разность (7.6) не может быть целым числом. Следовательно, условие целочисленности разности может быть обеспечено только неравенством
(7.7)
Условие (7.7) и является добавочным ограничением в задаче линейного программирования. Для использования его в симплексном методе требуется ввести дополнительную переменную хп+≥0
, после чего неравенство превращается в уравнение
Обычно это ограничение записывают в следующем виде:
(7.8)
Последовательно добавляя новые ограничения к решению очередных задач, получаем целочисленные координаты оптимального плана задачи (7.1)—(7.4), если только не выясняется в какой-либо момент, что текущая задача не имеет решения. Это означало бы отсутствие целочисленного решения задачи (7.1)—(7.4).
Пример 1. Найти оптимальный целочисленный план задачи Z(X) = х1
- Зх2
+ 5х3
+ 2х4
-max
при условия
x1
+x2
+x3
=15
2x1
+ 3x3
+x4
=8,
хj
, > 0, хj
— целые числа, j = 1, 2, 3, 4.
Решение. Пошаговое решение задачи приведено в табл. 7.1
Таблица 7.1
Оптимальный план задачи без условия целочисленности
X = (0, 37/3, 8/3, 0)- для дальнейшего решения задачи к таблице оптимального плана добавлено условие
-2/3x1
-1/3x4
≤-2/3.
Номер индекса г выбран из условия большей дробной части компоненты аi0
. Имеем г = 2; j = 0: [8/3] = 2, 2 – 8/3 = -2
/3
; j=1: [2
/3
1 = О, О - 2
/3
=
-2
/3
; j = 2: [0] = 0, 0 - 0 = 0; j = 3: [0]= 0, 0 - 0 = 0; j =
4: [1/3
] = 0, 0 — 1/3
= -1/3
. Сделав один шаг (в общем случае для получения целочисленного решения одной итерации, конечно, недостаточно) метода последовательного уточнения оценок, получили оптимальный план целочисленной задачи Х*= (О, 13, 2, 2)
Трудоемкость решения целочисленной задачи обусловлена вводом новых добавочных ограничений и новых переменных. В связи с этим необходимо придерживаться следующего правила, позволяющего при определенных условиях сокращать текущие таблицы. Дополнительная переменная хп+1
вводится в процессе решения с добавочным ограничением как базисная переменная очередного псевдоплана и сразу, на этой же итерации, переводится в число небазисных компонент. Если на дальнейших итерациях, согласно правилу преобразования таблицы, переменная хп+1
снова окажется базисной, ее значение станет несущественным для основных переменных задачи, так что строка и столбец текущей таблицы, отвечающие хп
+]
вычеркиваются. Правило сокращения таблиц ограничивает их размеры: не более n строк и не более (2n -m) столбцов.
Рассматриваемый алгоритм целочисленного программирования сводится к методу последовательного уточнения оценок с дополнительными правилами расширения и сокращения текущей таблицы решения задачи.
Пример 2. Получить целочисленный оптимальный план задачи
Z(X) = x1
— 4х2
— 2х3
+ Зх4
—> max при условиях
3x1
+x2
+8x3
+x4
=35
x1
+x3
+x4
≤6
xj
≥ 0, хj
— целые числа, j = 1, 2, 3, 4.
Решение. Пошаговое решение задачи приведено в табл. 7.2.
Таблица 7.2
На шаге 2 решения задачи без ограничения целочисленности получаем оптимальный нецелочисленный план
X = (0, 0, 29/7, 13/7).
Поскольку обе базисные координаты X нецелочисленны, выбираем любую — первую или вторую — строку таблицы на шаге 2, а именно вторую, и строим добавочное ограничение
-5/7x1
-6/7x2
-1/7x5
+x6
=-6/7.
Вводя ограничение добавочной строкой на шаге 2, находим направляющий элемент в этой строке:
Осуществляя преобразование табл. 7.2 с направляющим элементом (-5/7), получаем на шаге 3 оптимальный план новой задачи, снова нецелочисленный. На шаге 3 добавляем очередное условие, получаем четыре строки ограничений. Поскольку на шаге 3 достигается
в столбце А6
, то х6
становится базисной переменной на шаге 4. В соответствии с правилом сокращения таблицы на шаге 4 вычеркиваем строку и столбец, соответствующие х6
, добавляем новую строку, а на шаге 5 получаем псевдоплан X = (4, 0, 3, -1). Методом последовательного уточнения оценок на шаге 6 получаем план, но нецелочисленный. Оптимальный целочисленный план получаем лишь на шаге 7: X* = (О, 1, 4, 2), max Z(X) = -6.
Метод
ветвей
и
границ
Одним из широко распространенных методов решения целочисленных задач является метод ветвей и границ, который может быть использован как для задач линейного программирования, так и для задач, не сводимых к задачам линейного программирования. Рассмотрим идею метода ветвей и границ на примере общей задачи дискретного программирования
f(X) -> max, (7.9)
Х€D (7.10)
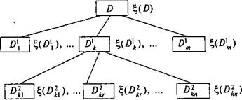
где D — конечное множество.
Сначала найдем оценку £(D) (границу) функции f(X), X е D: f(X) ≤ £(D) для V X е D. Если для некоторого плана Х° задачи (7.9)-(7.10) справедливо равенствоf(X0
) = £(D), то Х° = X*
является решением задачи. Если указанное условие не выполняется, то возможно разбиение (ветвление) множества D на конечное число непересекающихся подмножеств D1
i
: ỤD1
i
. = D, ∩D1
i
= Ө, и вычисление оценки £(D1
i
) (границ), 1≤i≤m (рис 7.1)

Рис. 7.1
Если для некоторого плана X1
i
е Di1
, 1 ≤ / ≤ m выполняется условие f(Xk
l
)= £(D1
k
)≥ £(D1
i
), 1≤i≤m то Xk
1
=X*
является оптимальным планом (решением) задачи (7.9)-(7.10).
Если такого плана нет, то выбирается подмножество Dk
l
с наибольшей оценкой £(D1
i
):
и разбивается на конечное число непересекающихся подмножеств
D2
kj
: UD2
kj
=D1
k,
∩D2
kj
=Ө. Для каждого подмножества находится оценка £(D2
kj
), 1≤j≤n (рис 7.2)
(рис. 7.2).

Если при этом найдется план X2
j
е D2
kJ
, 1 ≤j ≤n, такой, что f(X2
r
)= £(D2
kr
)≥ £(D2
kj
), 1≤j≤n, то X2
r
= X* является решением задачи (7.9)-(7.10). Если такого плана нет, то процедуру ветвления осуществляют для множества D2
kj
с наибольшей оценкой £(D2
kj
) , 1≤j≤n . Способ ветвления определяется спецификой конкретной задачи.
Рассмотрим задачу, которую можно свести к задаче целочисленного линейного программирования.
Пример.
Контейнер объемом 5 м3
помещен на контейнеровоз грузоподъемностью 12 т. Контейнер требуется заполнить грузом двух наименований. Масса единицы груза mj
(в тоннах), объем единицы груза Vj
(в м3
), стоимости Cj (в условных денежных единицах) приведены в табл. 7.3.
Таблица 7.3
| Вид груза у
|
m
j
|
V
,
|
С
j
|
| 1
|
3
|
1
|
10
|
| 2
|
1
|
2
|
12
|
Требуется загрузить контейнер таким образом, чтобы стоимость перевозимого груза была максимальной.
Решение. Математическая модель задачи имеет вид
Z(X) = 10x1
+12x2
→max, (7.11)
3x1
+x2
≤12,
x1
+2x2
≤5
x1
≥0 (7.12)
x2
≥0
x1
, x2
- целые числа (7.13)
где x1
, x2
- число единиц соответственно первого и второго груза.
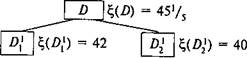
Множество планов этой задачи обозначим через D - это множество целых точек многогранника ОАВС (рис. 7.3).

Рис. 7.3
Сначала решаем задачу (7.11)—(7.13) без условия целочисленности, получим оценку множества D - значение функции Z(X) на оптимальном плане Х° = (19
/5
, 3
/5
):
ТочкаXнеявляется оптимальным планом задачи (7.1 1)— (7.13). Поэтому в соответствии с методом ветвей и границ требуется разбить множество D на непересекающиеся подмножества. Выберем первую нецелочисленную переменную x1
=19/5=34/5 и разобьем множество D на два непересекающихся подмножества D1
1
и D2
2
. Линии x1
=3 (L3
) и x4
= (L3
) являются линиями разбиения.
Рис.
7.4
Найдем оценки £(D1
1
) и £(D1
2
), для чего решим задачи линейного программирования
Z(X)=10x1
+12x2
→max,
3x1
+x2
≤12
x1
+2x2
≤5
x1
≤3
x1
≥0, x2
– целые числа
Z(X)=10x1
+12x2
→max,
3x1
+ x2
≤12
x1
+2x2
≤5
x1≥
4
x1
≥0, x2
– целые числа
Например, графическим методом:
X1
1
eD1
1
→X0
1
= (3,1); £(D1
1
)=42; X1
2
eD1
2
→X0
2
= (4,0); £(D1
2
)=40.
Результат ветвления приведен на рис. 7.5
План X0
1
удовлетворяет условиям задачи (7.11)-(7.13), и для него выполняется условие: Z(X1
1
)= £(D1
1
)=42 >
£(/)/) = 42 >£(D1
2
) = 40. Следовательно, план X°1
= (3, 1) является решением задачи (7.11)-(7.13),
т.е. надо взять три единицы первого груза и одну единицу второго груза.
Алгоритм метода ветвей и границ
- Находим решение задачи линейного программирования без учета целочисленности.
- Составляет дополнительные ограничения на дробную компоненту плана.
- Находим решение двух задач с ограничениями на компоненту.
- Строим в случае необходимости дополнительные ограничения, согласно возможным четырем случаям получаем оптимальный целочисленный план либо устанавливаем неразрешимость задачи.
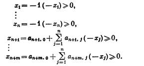
ЦИКЛИЧЕСКИЙ АЛГОРИТМ ЦЕЛОЧИСЛЕННОГО ПРОГРАММИРОВАНИЯ
Рассмотрим следующую задачу линейного программирования:
Максимизировать
X0
=a00
-a01
x1
-a02
x2
-……..-a0n
xn
,
при условии
xn+1
=an+1,0
-an+1,1
x1
-an+1,2
x2
-…….-an+1,n
xn,
.
.
xn+m
=an+m,0
- an+m,1
x1
-an+m,2
x2
-…….-an+m,n
xn
,
xj
≥0 (j=1,…….,n+1,…….,n+m).
Заметим, что xn
+1
, . ., х
n+
m
—
слабые переменные, a x1
... ., х
n
—
исходные переменные задачи (1). Если наряду с ограничениями (1) потребовать, чтобы все х
j
,
(j'=1, . . ., т)
были целыми, то задача будет называться задачей целочисленного программирования.
Существует большое количество задач, особенно комбинаторных, которые можно сформулировать как задачи целочисленного программирования.
Ограничения (1) определяют выпуклую область OABCD
в n-мерном пространстве, как показано на рис. 13.1. Узлы целочисленной решетки на рис. 13.1 изображены точками. Такие точки, расположенные внутри области OABCD,
являются допустимыми решениями задачи целочисленного программирования. Оптимальные решения задачи линейного программирования всегда располагаются на границе области решений. В данном случае граничные точки не являются даже допустимыми решениями, поскольку ни
одна из них не целочисленна. Предположим, что область допустимых решений сужена до выпуклой оболочки допустимых целых точек внутри допустимой области. На рис. 13.1 эта выпуклая оболочка показана затененной областью OEFGH.
Эту затененную область можно рассматривать как область допустимых решений некоторой другой задачи линейного программирования. Действительно, если к задаче линейного программирования, определяющей допустимую область OABCD,
добавить ограничение типа RR',
как показано на рис. 13.1, то вновь полученная задача будет иметь OEFGH
в качестве области допустимых решений. Такая вновь полученная область обладает двумя важными свойствами: во-первых, она содержит все допустимые целочисленные точки исходной задачи линейного программирования (поскольку она является выпуклой оболочкой этих точек), во-вторых, все крайние точки новой области — целочисленны. Поэтому любое базисное оптимальное решение модифицированной задачи линейного программирования
имеет своими компонентами целые числа и является оптимальным решением исходной задачи целочисленного программирования.
Именно алгоритмы целочисленного программирования, которые будут описаны ниже, реализуют методы систематического введения дополнительных ограничений с целью сведения исходной допустимой области к выпуклой оболочке ее допустимых целочисленных точек.
Как только это будет сделано, можно решать модифицированную задачу линейного программирования любым обычным методом, и полученное базисное оптимальное решение автоматически будет целочисленным. Представленный ниже целочисленный алгоритм обладает следующими свойствами: 1) все дополнительные ограничения сохраняют допустимые точки исходной целочисленной задачи; 2) за конечное число шагов создается достаточное количество дополнительных ограничений для того, чтобы оптимальное решение модифицированной задачи было целочисленным; 3) дополнительные ограничения (гиперплоскости) проходят по крайней мере через одну целочисленную точку, хотя и не обязательно находящуюся внутри выпуклой оболочки; 4) каждое новое ограничение сокращает область допустимых решений исходной задачи целочисленного программирования. Следует подчеркнуть, что оптимальное решение исходной задачи может быть получено прежде, чем допустимая область сократится до размеров выпуклой оболочки. К тому же, поскольку оптимальное целочисленное решение определяется пересечением п
гиперплоскостей, таких гиперплоскостей существует не более, чем это необходимо; некоторые из
них могут быть ограничениями исходной задачи.

Рис, 13.1.
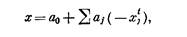
Обычно в ограничения задачи (1) включаются в тривиальные соотношения xj=—(—
Xj
)
(j'=1, ...,n), а задача в матричной форме принимает вид
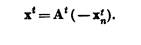
х = А (-хn
), (2)
где х — вектор-столбец с компонентами Х0
, x1
, . . .,
xn
, xn
+1
, . . .,
xn
+
m
А — соответствующая матрица размера (п
+ т
+ 1) * (n + 1) и (—хn
) — вектор с компонентами (1, —x1
,—x2
, . . ., —xn
), представляющими собой небазисные переменные исходной таблицы. Задачу целочисленного программирования также можно записать в виде таблицы.
Причины представления переменных в виде (—x1
), (—x2
, . . .
. . ., (—xn
)) — чисто исторические, но это стало обычной практикой в целочисленном программировании. Будем использовать αj
(j =
0, 1, . . ., п)
для обозначения j-го столбца текущей таблицы и aij
(
i
= 0, 1, . . ., п
+ т;
j
= 0, 1, . . ., n) для обозначения элемента 1-й строки и 7-го столбца таблицы. Предполагается, что все a,
ij
в исходной таблице целые. Следовательно, все слабые переменные xn
+1
, . . ., Х
n+
m
должны быть также неотрицательными целыми числами.
При изложении алгоритма для решения целочисленных задач будем следовать работе Гомори. Вначале задача целочисленного программирования рассматривается как линейная программа и алгоритм решает ее с помощью прямого или двойственного симплекс-метода. В конце работы алгоритма аij
≥0 (
i
= 1, ... . . ., п
+ т)
и a0
j
≥ 0 (j' = 1, . . ., n). (Для получения исходного двойственного допустимого решения введем дополнительное ограничение xn
+
m+1
== М — X1
—
x2
— . . . — xn
≥ 0, где M — достаточно большая константа, и проделаем одну итерацию с этой строкой и лексикографически минимальным столбцом в качестве ведущего.) Если аi0
≥ 0 и целые для всех i,
то получено оптимальное решение целочисленной задачи. В этом случае решение получается сразу, без использования ограничений целочисленности. Если аi0
≥ 0, но не все целые, добавим к ограничениям (1) еще одно. Новое ограничение записывается внизу таблицы так, чтобы она перестала быть прямо допустимой, т. е. аi0
<О для i
== п
+ т
+ 1. Затем используется двойственный симплекс-метод с целью сделать все аi0
≥ 0. Если аi0
получаются нецелыми, в таблицу добавляются новые ограничения до тех пор, пока аi0
(i = 1, . . ., n, . . ., n + m) не станут все целыми и неотрицательными.
Если после введения дополнительного ограничения текущая таблица перестает быть прямо допустимой, то текущее решение, представляющее собой вершину многогранника решений, не удовлетворяет этому дополнительному ограничению. Другими словами, дополнительное ограничение отсекает часть пространства решений. Если дополнительные ограничения не отсекают ни одной целочисленной точки пространства решений исходной задачи, то, вполне вероятно, после введения достаточного числа дополнительных ограничений вершины суженного множества решений будут целочисленными. Тогда, используя симплекс-метод, можно получить оптимальное целочисленное решение. Трудность состоит в систематическом получении дополнительных ограничений и доказательстве конечности алгоритма.
Каждый раз после проведения итерации симплекс-метода происходит изменение множества небазисных переменных. Таблица также меняется. Будем использовать t
для обозначения t-й.
таблицы. Матричное уравнение (2) запишется как
Хt
= Аt
(-хt
n
), (3)
где х° — вектор-столбец с n + т
+ 1 компонентами, А° — матрица размера (п + т
+ 1)*(n + 1) и (—х0
n
) — вектор с компонентами (1, —
x1
, . . ., —
xn
),
представляющими собой текущие небазисные переменные, взятые со знаком минус. Если в матрице А а0i≥0 (j = 1, . . ., n), а00
≡ 0 (mod 1) 1
}
и аi0
≥ 0 (i=1, . . ., п
+т) —
целые неотрицательные числа, то получено оптимальное решение целочисленной задачи. Если аi0
не все целые, введем дополнительное ограничение. Рассмотрим такое уравнение из
(3), в котором а
i0
m
нецелое. Опуская индексы строки, имеем
(4) x=a0
+∑aj
(-xj
)
где xj
в правой части — текущие небазисные переменные и a0
— нецелое. Поскольку требуется, чтобы х
было целым, или х
≡[1]
0 (mod1), правая часть уравнения (4) также должна удовлетворять условию
0≡a0
+∑aj
(-xj
) (mod1). (5)
Это условие должно выполняться при допустимом целочисленном решении. Поскольку требуется, чтобы xj
,были целыми, можно алгебраически складывать с (5) отношения 0≡f0
+∑j
fi
(-xi
) (mod1) (0<f0
<1, 0≤fj
<1). (6)
Условие (6) эквивалентно следующему:
∑fj
xj
≡f0
(mod1). (7)
В соотношении (7) f0
– константа, меньшая единицы ,и поскольку fj
≥0 и xj
≥, левая часть всегда положительна. Т.к. (7) – отношение сравнения по модулю 1, левая часть может принрмать только значения вида f0
, f0
+1,……, т.е.
∑fj
xj
≥f0
(8)
Неравенство (8) можно представить в виде уравнения с помощью введения неотрицательной целочисленности слабой переменной
S=-f0
+∑fjxj
≥0. (9)
Это уравнение можно приписать внизу таблицы и использовать в качестве ведущей строки. Таким образом, переменная s войдет в базис с отрицательным значением (—fо)- После итерации слабая переменная s станет небазисной с нулевым значением. Ведущая строка превратится в тождество s ≡ (—1) (—s) и может быть исключена. Будем называть переменную s в уравнении (9) слабой переменной Гомори. Ниже будет обсуждено, что произойдет, если сохранять все дополнительные строки, соответствующие слабым переменным Гомори.
Дадим доказательство конечности алгоритма. Доказательство будет проведено в предположении, что известна некоторая нижняя граница значения Х0
, т. е. если существует целочисленное решение, то оно больше, чем наперед заданная величина М (М может быть достаточно большой по абсолютной величине отрицательной константой). Такое предположение не слишком обременительно и всегда выполняется, если выпуклое множество, определяемое условиями (2), ограничено. Сначала изложим сам алгоритм.
Шаг 1. Решить задачу целочисленного программирования так, как если бы это была линейная программа, т. е. с помощью прямого или двойственного симплекс-метода. Если получено оптимальное решение задачи линейного программирования, то ai
0
≥0 (i=1, . . ., m + n) и a0
i
≥0(j = 1, . . ., n). Требуется также, чтобы аt
j
> 0 (j = 1, . . ., n).
Шаг 2. Если аi0
— все целые, то задача решена, и решение получено без использования дополнительных ограничений. В противном случае пусть аt
i0
— первая нецелочисленная компонента в αt
0
. Тогда i-я строка называется производящей строкой. Записать внизу таблицы уравнение
s=-ft
i0
-∑ft
ij
(-xt
j
). (10)
Уравнение (10) называется отсечением Гомори. Проделать шаг двойственного симплекс-метода, используя в качестве ведущей строки отсечение Гомори (10). При этом таблица останется двойственно допустимой. Повторять до тех пор, пока все аi0
(i = 1, . . ., m+n) не станут целыми неотрицательными. Если аi0
на некотором шаге остается отрицательным, следующий шаг двойственного метода производится без введения отсечения Гомори. (Если аi0
становится отрицательным, нулевая строка не выбирается в качестве производящей. Если a00
становится нецелым, следует выбрать нулевую строку в качестве производящей.)
Изменение элементов аij
(i = 0, 1, . . ., n+m; j = 0, . . . . . ., n) в таблице за одну итерацию называется циклом. Для обозначения циклов используется буква t. Для доказательства конечности не достаточно условий αt
0
>α0
t+1
>М, поскольку a00
может изменяться каждый раз на ε(t), а ∑ ε (t) = с.
Примером этого может служить ε (t) =1/2t. Другой возможностью является то, что а00
остается равным фиксированному значению, большему нижней границы, в то время как некоторое аi0
неограниченно уменьшается. Чтобы увидеть, как преодолеваются эти трудности, необходимо в деталях рассмотреть шаги итерации.
При доказательстве будет показано, что либо после конечного числа шагов все компоненты 0-го столбца становятся неотрицательными целыми, либо не существует целого решения. Если a00
остается постоянным для всех t ≥ t0
, то at
00
должно быть целым.
Предположим, что аt
00
—нецелое. Пусть аt
00
=nt
00
+ft
00,
где nt
00
— целое и 0 < ft
00
< 1. Тогда 0-я строка становится производящей и требуется ввести дополнительное ограничение
S=-ft
00
-∑ft
0
(-xt
j
).
Если s-й столбец является ведущим, то
at+1
00
=at
00
-at
0s*
ft
00
/ft
os
или

Другими словами, a00
уменьшится по крайней мере до ближайшего целого. Следовательно, a00
не может уменьшаться на ε(t) при
∑ε (t)<c
Если a00
каждый раз уменьшается до ближайшего целого или на целую величину, то после конечного числа шагов оно станет меньше любого наперед заданного М (М — предполагаемая нижняя граница). Если алгоритм бесконечен, то a00
должно оставаться некоторым фиксированным целым числом для t> t0
. Предположим, что это произошло.
Тогда рассмотрим а10
. Так же как и a00
, a10
не может оставаться нецелым значением. Если бы это было так, то, поскольку a00
— целое, первая строка стала бы производящей и после введения отсечения Гомори и итерации симплекс-метода мы получили бы
At+1
10
=at
10
-at
1s
*ft
10
/ft
1s
,
где 0<ft
1s
<l и 0<ft
1s
<1. Здесь at
1
s
—неотрицательное число, большее ft
1
s.
(Если at
1
s
—отрицательно и αt
s
—лексикографически положителен, то аt
0
s
положительно и, следовательно, аt
00
не может
не измениться.) Отсюда
at+1
10
≤at
10
-ft
10
=[at
10
],
т. е. а10
уменьшается по крайней мере до ближайшего целого. Поэтому а10
либо будет оставаться некоторым фиксированным целым числом, либо после конечного числа шагов станет отрицательным. Если а10
станет отрицательным, то первая строка будет ведущей и
α0
t+1
=αt
0
-a10
/a1s
*αt
s
,
Из того, что αt
s
> 0 и a1
s
<. О, следует, что a0
s
> 0, т. е. значение a00
строго уменьшится, что противоречит допущению о неизменности значения a00
. Если a1
j
≥ 0 для всех j = 1, . . ., s, ... . . ., n, то задача не имеет допустимых решений. (Заметьте, что ведущий элемент должен быть отрицательным.)
Таким образом, остается единственная возможность—а10
через конечное число шагов должно стать некоторым неотрицательным целым числом и больше не меняться.
Аналогичные рассуждения можно провести и для остальных компонент вплоть до (n+m)-й, что завершит доказательство конечности. Заметим, что нам надо, чтобы только первые n + 1 компонент вектора α0
были целыми неотрицательными числами, a00
<> 0 и aij
(i = n+1,…..,n+m) — неотрицательные.
Причем, если неравенства выразить через исходные небазисные переменные, они будут иметь целые коэффициенты.
Если сохранять все строки, соответствующие слабым переменным Гомори, то эти слабые переменные могут становиться базисными, после того как они были небазисными. Если слабая переменная Гомори вошла в базис с неотрицательным значением, то соответствующая строка представляет собой неравенство, справедливое при текущем решении, и эта строка может быть вычеркнута. Если слабая переменная Гомори становится базисной с отрицательным значением, соответствующую строку следует использовать в качестве ведущей. Если сохранять все строки, соответствующие всем отсечениям Гомори, то, вообще говоря, потребуется меньшее число дополнительных ограничений, однако увеличение таблицы много более неприятно, чем введение лишних дополнительных ограничений.
ПОЛНОСТЬЮ ЦЕЛОЧИСЛЕННЫЙ АЛГОРИТМ
Здесь будет описан другой алгоритм для решения задач целочисленного программирования. Этот алгоритм назван полностью целочисленным, потому что если исходная таблица состоит из целочисленных элементов, то все таблицы, получающиеся в процессе работы алгоритма, содержат только целочисленные элементы. Подобно двойственному симплекс-методу, алгоритм начинает работать с двойственно допустимой таблицы. Если аi0
(i = 1, . . ., n+m) — неотрицательные целые, то задача решена. Если для какой-нибудь строки аi0
< 0, то составляется новое уравнение и записывается внизу таблицы. Эта строка затем служит ведущей. После этого используется двойственный симплекс-метод. Все элементы дополнительной строки должны быть целыми числами, а ведущий элемент равен —1. Введенная таким образом ведущая строка сохранит таблицу целочисленной. Заметим, что в предыдущем алгоритме в качестве производящей строки выбиралась строка с нецелым аi0
. В данном случае производящей строкой становится строка с отрицательным аi0.
Пусть дана задача целочисленного линейного программирования:
Максимизировать

при условиях
(1)
Условия (1) могут быть записаны как
(2)
Предположим, что для t = 0 (т. е. для исходной таблицы) все аij
— целые и столбцы αj
(j = 1, . . ., n) — лексикографически положительны. Тогда все столбцы на протяжении вычислений остаются лексикографически положительными.
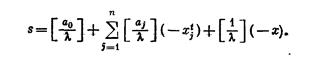
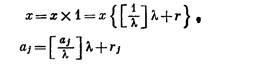
Прежде чем изложить способ получения дополнительного ограничения из производящей строки, введем новое представление чисел. Пусть [x] обозначает наибольшее целое число, не превосходящее х. Для любого числа у (положительного или отрицательного) и положительного λ можно записать
(3)
где 0≤ry
< λ (ry
— неотрицательный остаток от деления нацело у на λ). В частности, 1 = [1/ λ ]λ + г. Поэтому если λ> 1, то [1/λ] = 0 и г = 1. Если λ = 1, то [1/λ,] = 1 и г == 0.
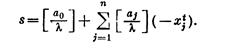
Так же как и ранее, вводимое дополнительное неравенство должно выполняться при любом целом решении задачи (1). Рассмотрим некоторое уравнение в t-таблице (опуская индекс строки) с a0
< 0:
(4)
где х — соответствующая компонента вектора х, a xt
j
— текущие небазисные переменные. Можно выразить x, a0
и аj
, используя введенное выше представление (З):
(5) и (6)
(j=0,1….,n)
Подставив выражения (5) и (6) в (4), и переставив члены, получим
(7)
Поскольку rj
≥0, r≥0 и на переменные х и xt
j
наложено требование неотрицательности, левая часть уравнения (7) всегда неотрицательна. Рассмотрим выражение в правой части, заключенное в фигурные скобки. Коэффициенты в этом выражении представляют собой целые числа, а переменные подчинены требованию целочисленности. Поэтому все выражение в скобках должно быть целым. Обозначим его через s, т. е.
(8)
Целочисленная слабая переменная s является неотрицательной. Действительно, если бы s было отрицательным, т. е. принимало значения —1, —2, . . ., то умножение на λ (λ > r0
) сделало бы всю правую часть уравнения (7) отрицательной, в то время как левая часть неотрицательна.
Рассмотрим два случая λ=1 и λ>1. Подставляя в уравнение (8) выражение для x из (4), получим:
S=[a0
]+∑[aj
] (-xt
j
)-{a0
+∑aj
(-xt
j
)}=-f0
-∑fj
(-xt
j
). (9)
Полученное уравнение есть не что иное, как отсечение Гомори. Для λ>1 имеем [1/λ]=0[2]
и уравнение (8) приобретает вид
(10)
Уравнение (10) должно выполняться для любого допустимого целочисленного решения задачи (1). Заметим, что если а0
< О,. то [a0
/λ] < 0 в уравнении (10). Поэтому уравнение (10) может использоваться в качестве ведущей строки в двойственном симплекс-методе. В частности, всегда можно выбрать λ достаточно большим, так чтобы ведущий элемент [aj
/λ] в строке (10) стал:
равным —1, что позволит сохранить целочисленность таблицы. Выбор соответствующего λ будет влиять на скорость сходимости алгоритма. Прежде всего опишем сам алгоритм. В качестве начального необходимо взять двойственно допустимое решение, которое-можно получить добавлением ограничения xn
+
m+1
= М — x1
— ... ... —xn
, где М — достаточно большая константа, и проведением одной итерации с добавленной строкой и с лексикографически минимальным столбцом, взятыми в качестве ведущих. Алгоритм состоит из следующих шагов.
Ш а г 0. Начать с двойственно допустимой матрицы А° в уравнении (2), элементы которой — целые числа (как будет видно из дальнейшего, матрица А° может содержать и нецелые элементы).
Шаг 1. Среди строк с аi0
< 0 (i = 1, . . ., n+m) выбрать строку с наименьшим значением i; эта строка станет производящей. (Если аi0
≥ 0 (i= 1, . . ., n + m), то задача решена.)
Ш а г 2. Выбрать λ > 0 (правило выбора будет описано дальше) и написать внизу таблицы дополнительную строку

Эта строка выбирается в качестве ведущей.
Ш а г 3. Провести шаг двойственного симплекс-метода, вычеркнуть дополнительную строку и вернуться к шагу 1.
Доказательство конечности. Доказательство конечности проводится в предположении, что существует нижняя граница целевой функции x0
. Использование двойственного метода гарантирует выполнение условия

Если a00
уменьшается, то уменьшается на целое число, поскольку все числа остаются целыми, и, следовательно, через конечное число шагов a00
станет меньше x0
. Если алгоритм бесконечен, то a00
должно оставаться Неизменным для всех t > to. Рассмотрим тогда компоненту a10
, столбца α0
. Если a10
уменьшается, то на целое число. Когда a10
становится отрицательным, первая строка должна быть выбрана в качестве производящей. Если а1
j
< О для всех j, то задача неразрешима.
Теперь опишем правило выбора λ в шаге 2 полностью целочисленного алгоритма. Пусть производящая строка имеет вид

и дополнительная строка

Для любого аj
<0 всегда можно выбрать λ достаточно большим, чтобы [aj
/λ]|==—1. Согласно лексикографическому двойственному симплекс-методу, ведущий столбец αs
выбирается по правилу

Поскольку [as
/λ]=-1 и [aj
/λ] – отрицательные числа, т.е. -1, -2,…….., -μj
, имеем
(11)
Таким образом, αs
должен быть лексикографически минимальным столбцом. Последнее означает, что среди всевозможных столбцов (с avj
< 0) ведущий столбец должен быть лексикографически минимальным вне зависимости от того, какое значение λ выбирается.
Теперь рассмотрим два значения К, при каждом из которых выполняется условие [as
/λ1
]=—l и [as
/λ2
]=—l. Столбец α0
изменяется следующим образом:

Следовательно, чем меньше λ, тем сильнее лексикографически уменьшится нулевой столбец. Значение λ следует выбирать так, чтобы, во-первых, ведущий элемент стал равным —1 и, во-вторых, чтобы λ давало максимальное уменьшение столбцу α0
. Правило формулируется следующим образом.
Шаг 0. Пусть строка с номером v является производящей.
Шаг 1. Пусть αs
, — лексикографически минимальный столбец среди столбцов с αvj
< 0.
Шаг 2. Для каждого с αvj
< 0 , пусть μi
—наибольшее целое, такое ,что αs
<αj
/μj
Шаг 3. Пусть [μj
=-avj
/λj
]. Тогда

Шаг 4. Положить λ = max λj
для аvj
< 0.
Правило выбора λ, описанное выше, позволяет сделать ведущий элемент равным —1, при этом будет сохраняться двойственная допустимость таблицы и в то же время нулевой столбец будет максимально лексикографически уменьшаться. Следует заметить, что отсечение Гомори не является самым «сильным» возможным неравенством. Оно также может быть «сильнее» или «слабее» самого производящего неравенства. Например, пусть производящей строкой будет
X= -4-3 (-x1
) – 5 (-x2
) (12)
Если использовать λ=2, то получим отсечение
S= -2-2 (-x1
) – 3 (-x2
)≥0 (13)
Для λ=3 имеем
S= -2-1 (-x1
) – 2 (-x2
)≥0 (14)
Для λ=4
S=-1-1 (-x1
)-2 (-x2
)≥0 (15)
Как видно, неравенство (14) сильнее, чем (12), (12) сильнее, чем (13), а (13) сильнее, чем (15).
Другое замечание касается того, что если величина λ, получаемая указанным выше способом, может быть увеличена так, чтобы [a0
/λ] и [aj
/λ] (аj
> 0) оставались без изменения, то отсечение Гомори можно усилить, несмотря на то, что нулевой столбец -уменьшится на ту же величину.
Выпишем производящую строку

Чем больше величина λ, тем меньше абсолютная величина коэффициентов отсечения. Естественно, что мы хотели бы иметь абсолютную величину [a0
/λ] большой, а абсолютные величины [aj
/λ] — малыми. Если значение λ (полученное по приведенному выше правилу) может быть увеличено так, чтобы значения [aj
/λ [] и [a0
/λ] не изменялись, то используется большее значение для λ. Тем самым по возможности уменьшится абсолютная величина [aj
/λ] для некоторых j, и отсечение станет сильнее.
Например, пусть целевая функция имеет вид
X0
= - 20 – x1
- 2x2
– 3x2
– x4
,
И производящая строка
X= -20+ (-7) (-x1
)+ (-8) (-x2
)+ (-15) (-x3
)+18 (-x4
).
Используя описанную выше процедуру выбора λ, получим λ = 7. Соответствующее отсечение
s = -3 + x1
+ 2x2
+ Зx3
— 2x4
≥ 0.
Если использовать λ = 9 вместо λ = 7, получим отсечение
s* = -3 + x1
+ x2
+ 2x3
— 2x4
≥ О,
являющееся более сильным .
Интересная особенность полностью целочисленного алгоритма состоит в том, что для его использования не обязательно требовать целочисленности всех аij
. Пусть задача целочисленного программирования имеет вид
максимизировать

при условиях
xn+i
= ai0
- ∑aij
xj
≥0 (i=1,………,m)
xj
≥0 (j=1,…….,n)
где a 00
и cj
— целые, аi0
о и аij
могут быть произвольными действительными числами. Таблица 14.1 содержит в первых n + 1 строках только целые числа.

Выпишем произвольную производящую строку (опуская обозначение строки)

Вне зависимости от того, являются ли a0
и aj
целыми ли действительными, коэффициенты отсечения сегда целые, а ведущий элемент равен —1. В результате итерации с таким ведущим элементом первые n+1 строк таблицы останутся целочисленными. Заметим, что переменная s — неотрицательная целая. В силу приведенных рассуждений доказательство конечности в данном случае мало чем отличается от описанного выше. Когда в нулевом столбце ai
0
== 1, . . ., n)становятся неотрицательными целыми, а остальные элементы нулевого столбца — неотрицательными, то получается оптимальное решение.
В последних главах были обсуждены два алгоритма целочисленного программирования, первый из которых называется циклическим алгоритмом (λ = 1), а второй — полностью целочисленным (λ > 1).
Задача о рюкзаке
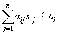
Контейнер оборудован m отсеками вместимостью  для перевозки n видов продукции  . Виды продукции характеризуются свойством неделимости, т.е. их можно брать в количестве 0, 1, 2, ... единиц. Пусть - расход i-го отсека для перевозки единицы j-ой продукции. Обозначим через полезность единицы j-ой продукции. Требуется найти план перевозки, при котором максимизируется общая полезность рейса.
Модель задачи примет вид:

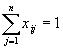
при ограничениях на вместимости отсеков
 
условии неотрицательности
 
условии целочисленности
- целые .
Когда для перевозки имеется один отсек и каждый вид продукции может быть взят или нет, то модель задачи принимает вид:


 .
Задача о назначении
Имеет n исполнителей, которые могут выполнять n различных работ. Известна полезность , связанная с выполнением i-м исполнителем j-й работы . Необходимо назначить исполнителей на работы так, чтобы добиться максимальной полезности, при условии, что каждый исполнитель может быть назначен только на одну работу и за каждой работой должне быть закреплен только один исполнитель.
Математическая модель задачи примет вид:

Каждый исполнитель назначается только на одну работу:

На каждую работу назначается только один исполнитель:

Условия неотрицательности и целочисленности
, .
Задача коммивояжера
Коммивояжер должен посетить один, и только один, раз каждый из n городов и вернуться в исходный пункт. Его маршрут должен минимизировать суммарную длину пройденного пути.
Математическая модель задачи:



Условия неотрицательности и целочисленности
, .
Добавляется условие прохождение маршрута через все города, т.е. так называемое условие цикличности. Иначе, маршрут должен представлять собой замкнутую ломаную, без пересечений в городах-точках.
Заключение
.
В данной работе была рассмотрена сущность целочисленного программирования. Затронуты специальные методы решения целочисленных задач. Такие задачи возникают при моделировании разнообразных производственно-экономических, технических, военных и других ситуаций. В то же время ряд проблем самой математики может быть сформулирован как целочисленные экстремальные задачи.
Задачи такого типа весьма актуальны, так как к их решению сводится анализ разнообразных ситуаций , возникающих в экономике, технике, военном деле и других областях. Эти задачи интересны и с математической точки зрения. С появлением ЭВМ, ростом их производительности повысился интерес к задачам такого типа и к математике в целом.
Список использованной литературы:
1. А.Схрейвер. Теория линейного и целочисленного программирования: в 2-х томах.; перевод с английского. 1991г. 360с.
2. Т.Ху. Целочисленное программирование и потоки в сетях.; перевод с английского. 1974г.
3. А.В.Кузнецов, В.А.Сакович, Н.И.Холод. Высшая математика: Математическое программирование. Ученик - 2-е издание. 2001г. 351с.
4. В.Г.Карманов. Математическое программирование: Учебное пособие – 5-е издание, стереотип-М:ФИЗМАТ, 2001г.-264с.
5. Е.Г.Белоусов. Введение в выпуклый анализ и целочисленное программирование. М.:Издательство МГУ, 1977г.
6. В.В. Федосеев, А.Н.Гармаш, Д.М.Дайитбегов.: Экономико-математические методы и прикладные модели: Учеб.пособие для вузов/ЮНИТИ, 1999г.-391с.
7. Н.Ш. Кремер, Б.А.Путко, И.М.Тришин, М.Н.Фридман; под ред. Проф.Н.Ш.Кремера. : Исследование операций в экономике; учеб. Пособие для вузов.
[1]
Символ (≡) означает «сравнимость».
[2]
Если λ > 1, то для получения отсечения (10) из (4) требуется только неотрицательность левой части уравнения (4). Следовательно, любая положительная линейная комбинация строк таблицы может служить производящей строкой.
|