| Министерство образования и науки РФ
МИИГАиК
КУРСОВАЯ РАБОТА
по геодезии
на тему: «Планово-геодезическая основа для строительства промышленного комплекса»
| Работу выполнил студент заочного факультета
|
Шифр
|
Специальность
|
| |
|
Прикладная геодезия
|
Работу принял:
Горбенко О.И.
М., 2009
Содержание
Введение 3
1. Геодезическая работа при изыскании участка строительства 4
1.1. Сведения о территории участка 4
1.2. Топографо-геодезическое обеспечение участка работ 5
2. Проектирование и оценка проекта плановой геодезической основы 6
2.1. Назначение и требования к точности построения обоснования 6
2.2. Проектирование и оценка проекта линейно-угловой сети 9
2.3. Проектирование и оценка проекта светодальномерной полигонометрии 11
3. Методика угловых и линейных измерений 15
3.1. Угловые и линейные измерения в линейно-угловой сети. Система координат 15
3.2. Угловые и линейные измерения в полигонометрии 17
4. Методы съемки масштаба 1 : 2000 20
4.1. Теодолитные ходы. Оценка точности 20
4.2. Стереотопографическая, мензульная, тахеометрическая, комбинированная
съёмка 21
4.3. Съемочные сети, оценка точности 26
4.4. Приборы, центры, знаки 27
4.5. Угловые и линейные измерения 30
5. GPS для создания плановой основы 35
Заключение 39
Список литературы 40
Введение
С развитием человеческого сообщества, повышением роли науки и техники расширялось содержание геодезии, усложнялись задачи, которые ставила перед ней жизнь. Прикладная геодезия имеет своим предметом изучение методов топографо-геодезического обеспечения различных народнохозяйственных и научных задач, возникающих в строительном производстве, горно-разведывательном деле, исследовании природных ресурсов, выверках сооружений. Известный ученый-геодезист В.В.Витковский так охарактеризовал геодезию: "Геодезия представляет одну из полезнейших отраслей знания; все наше земное существование ограничено пределами Земли, и изучать ее вид и размеры человечеству так же необходимо, как отдельному человеку - ознакомиться с подробностями своего жилья".
Для государственного планирования и развития производительных сил страны необходимо изучать ее территорию в топографическом отношении. Топографические карта и планы, создаваемые геодезистами, нужны всем, кто работает или передвигается по Земле: геологам, морякам, летчикам, проектировщикам, строителям, земледельцам, лесоводам, туристам и т.д. Геодезия, как и другие науки, постоянно впитывает в себя достижения математики, физики, астрономии, радиоэлектроники, автоматики и других фундаментальных и прикладных наук. Изобретение лазера привело к появлению лазерных геодезических приборов - лазерных нивелиров и светодальномеров; кодовые измерительные приборы с автоматической фиксацией отсчетов могли появиться только на определенном уровне развития микроэлектроники и автоматики. Что же касается информатики, то ее достижения вызвали в геодезии подлинную революцию, которая происходит сейчас на наших глазах.
Забиваем Сайты В ТОП КУВАЛДОЙ - Уникальные возможности от SeoHammer
Каждая ссылка анализируется по трем пакетам оценки: SEO, Трафик и SMM.
SeoHammer делает продвижение сайта прозрачным и простым занятием.
Ссылки, вечные ссылки, статьи, упоминания, пресс-релизы - используйте по максимуму потенциал SeoHammer для продвижения вашего сайта.
Что умеет делать SeoHammer
— Продвижение в один клик, интеллектуальный подбор запросов, покупка самых лучших ссылок с высокой степенью качества у лучших бирж ссылок.
— Регулярная проверка качества ссылок по более чем 100 показателям и ежедневный пересчет показателей качества проекта.
— Все известные форматы ссылок: арендные ссылки, вечные ссылки, публикации (упоминания, мнения, отзывы, статьи, пресс-релизы).
— SeoHammer покажет, где рост или падение, а также запросы, на которые нужно обратить внимание.
SeoHammer еще предоставляет технологию Буст, она ускоряет продвижение в десятки раз,
а первые результаты появляются уже в течение первых 7 дней.
Зарегистрироваться и Начать продвижение
1. Геодезическая работа при изыскании участка строительства
1.1. Сведения о территории участка
Участок для строительства промышленного комплекса расположен на территории Федеративной Республики Германия.
Федеративная Республика Германия расположена в Центральной Европе. Территория ФРГ характеризуется большим разнообразием - равнинные регионы на севере страны, а в центральной части страны к низменности с юга примыкают покрытые лесом предгорья, а южнее начинаются Альпы (самая высокая точка на территории Германии — гора Цугшпитце, 2 968 м.)..
Климат ФРГ умеренно континентальный, а на севере - умеренно морской. ФРГ покрывает густая сеть рек, крупнейшая из которых - Рейн, где расположена самая большая внутренняя гавань Европы - Дуйсбург - Рурорт. Эта река впадает в Северное море. Среди рек ФРГ выделяется также Майн и Дунай.
Важнейшие водные артерии ФРГ соединены между собой каналами, что делает внутренние перевозки очень эффективными. Очень важную экономическую роль играет Кильский канал, который связывает Северное и Балтийские моря.
На сельскохозяйственные площади приходится 54,6% территории страны. Наибольшим плодородием отличаются низменности на побережье Северного моря и в долинах рек. Леса занимают 29,2% территории, застроенные площади, пути сообщения и другие объекты - 12,3, поверхность водоемов - 2,1, вересковые степи, торфяные болота и пустоши - 1,3, выемочные участки в карьерах - 0,5%.
Германия не обладает большими запасами каких-либо полезных ископаемых. Редкое исключение из этого правила, распространяющегося и на весь Центральноевропейский регион, — уголь, как каменный (Рурский бассейн), так и бурый. Поэтому её экономика сконцентрирована преимущественно на секторе промышленного производства и сфере услуг.
Сервис онлайн-записи на собственном Telegram-боте
Попробуйте сервис онлайн-записи VisitTime на основе вашего собственного Telegram-бота:
— Разгрузит мастера, специалиста или компанию;
— Позволит гибко управлять расписанием и загрузкой;
— Разошлет оповещения о новых услугах или акциях;
— Позволит принять оплату на карту/кошелек/счет;
— Позволит записываться на групповые и персональные посещения;
— Поможет получить от клиента отзывы о визите к вам;
— Включает в себя сервис чаевых.
Для новых пользователей первый месяц бесплатно.
Зарегистрироваться в сервисе
Население ФРГ в 2004 году 82,5 миллионов жителей, то есть по данному показателю она занимает второе место в Европе (после России). Плотность населения - 230 человека на кв.км.
Участок для строительства промышленного комплекса расположен в 2,5 км юго-западнее железнодорожной станции и города Эмдем, в 1,5 км юго-западнее города Кляйн-Лаш. Территория участка находится в 1,5 км юго-западнее реки Леда. Расчлененность территорий овражно-балочной сетью. Наиболее распространенными почвами в хозяйстве являются серые лесные почвы, занимающие 57,6% от общей площади землепользования. По классам угла склона преобладают 3-5° (46,9%), т.е. являются эрозионно-опасными.
По природно-климатическим условиям землепользования хозяйство относится к лесолуговой зоне и входит в южный агроклиматический район Германии. Он характеризуется следующими данными:
- сумма положительных температур выше 10°С составляет 1800-1900, а продолжительность периода с температурой выше 10°С колеблется от 115-120 дней;
- среднегодовое количество осадков 400-500 миллиметров;
- средняя высота снежного покрова 15-20 см, почва промерзает на 20-30 сантиметров;
- среднегодовая температура воздуха +4,2°С;
- среднегодовая температура самого холодного месяца -10,3°С (январь месяц);
- среднегодовая температура самого жаркого месяца +22°С (июль месяц);
- гидротермический коэффициент 1,1-1,2.
1.2. Топографо-геодезическое обеспечение участка работ
На заданном участке строительства предлагается разработать технический проект на производство топографо-геодезических работ.
Предлагается создать планово-высотную основу для последующей стереотопографической съемки масштаба 1:2000 с сечением рельефа через 0,5 метра. Плановую основу предлагается создать методом полигонометрии 1 и 2 разрядов. Высотную - методом нивелирования 4 класса.
Виды работ по которым выполняется проектирование:
- рекогносцировка пунктов полигонометрии 1 и 2 разрядов;
- закладка центров;
- измерение углов и длин сторон на пунктах полигонометрии 1 и 2 разрядов;
- полевые работы при стереотопографической съемке масштаба 1:2000.
Имеющиеся на объекте пункты будут использованы как исходные для проектируемых ходов полигонометрии 1 и 2 разряда и нивелирования IV класса..
На территории объекта находится четыре пункта триангуляции 4 класса, которые имеют отметку из нивелирования III класса. Эти пункты являются исходными для проектирования будущей планово-высотной геодезической основы для производства последующей съемки.
2. Проектирование и оценка проекта плановой геодезической основы
2.1. Назначение и требования к точности построения обоснования
В пределах территории строительства известны только четыре пункта триангуляции, они показаны на схеме условным знаком в виде треугольника с обозначенным центром. Их явно недостаточно для привязки всех запроектированных опознаков. Поэтому необходимо провести работы по сгущению главной геодезической основы, чтобы иметь достаточное количество исходных пунктов для привязки опознаков.
Сгущение главной геодезической основы на объектах крупномасштабных съемок производится методом светодальномерной полигонометрии 4 класса с несколько пониженной точностью, по сравнению с государственной полигонометрией 4 класса.
Отдельный ход полигонометрии 4 класса должен опираться на два исходных пункта с обязательным измерением примычных углов. На основании этих требований были запроектированы 2 полигонометрических хода 4 класса от пункта триангуляции 1 до пункта триангуляции 3 - первый, и от пункта триангуляции 2 до пункта триангуляции 4 - второй. Оба хода спроектированы таким образом, что их пункты располагаются вдоль шоссейных дорог, что обеспечит их сохранность и снизит возможность утери.
Длина первого хода ([s]) составляет 4,80 км, а второго – 4,88 км. Число сторон в каждом по 9. Как известно, более длинный ход менее надежный, поэтому расчет точности будет вестись именно для такого хода (то есть для первого); очевидно, что все выполненные расчеты также будут справедливы и для менее длинного хода, иными словами, при соблюдении технологии, более короткий ход будет проложен с точностью, не ниже рассчитанной для более длинного хода.
Полигонометрические ходы в общем случае имеют произвольную изогнутую форму (конечно, не противоречащую Инструкции). Однако, в некоторых случаях ходы могут иметь вытянутую форму - как частный случай изогнутых ходов.
Расчет хода состоит в определении ошибок измерения углов, линий и превышений по ходу, а затем, и в выборе инструментов для измерения, таких, чтобы обеспечивалась необходимая точность, которая задается заранее.
Сначала определяется предельная ошибка в слабом месте хода после уравнивания. Существует соотношение:
, (1)
где прf - предельная плановая невязка полигонометрического хода,
[s] - периметр хода,
1/T - относительная ошибка хода.
Предельная невязка связана с предельной ошибкой следующим образом:
2M = прf , (1а)
откуда следует следующая формула:
, (1б)
где 2T равно 4000, так как относительная ошибка полигонометрического хода 4 класса задается как 1/2000.
Величина M составила 0.122 метра. При оценке точности полигонометрического хода произвольной формы известна формула средней квадратической ошибки положения конечного пункта хода до уравнивания:
, (2)
где m - средняя квадратическая ошибка измерения сторон хода;
[m] - средняя квадратическая ошибка измерения углов по ходу;
Dцi - расстояния от центра тяжести хода до i-того угла.
Применив к данной формуле принцип равных влияний, получим соотношения, которые можно использовать для расчета ходов:
M = 2 [m ] (3)
и
(4)
Сперва рассчитывалось влияние ошибок линейных измерений. Поскольку ошибка измерения расстояния светодальномером не сильно зависит от самого расстояния (в пределах длин сторон от 0.5 до 1.5 км), можно считать, что:
[m ] = m n ,
где m - ошибка измерения стороны средней длины, а n - число сторон в ходе, и, следовательно (3) преобразуется к следующему виду:
(5)
Подставляя конкретные значения M = 0.122 метра и n = 9, получаем среднее влияние ошибки линейных измерений m = 30 мм.
По данному значению ошибки можно выбрать прибор (светодальномер), который обеспечит заданную точность. Например, светодальномер СТ5 "Блеск" полностью обеспечивает данную точность измерения линий. Его средняя квадратическая ошибка измерения линий рассчитывается по формуле m (мм) = 10 + 5/км, поэтому даже при максимальной длине стороны в 2 км, ошибка не превзойдет 20 мм, таким образом этот светодальномер не только обеспечивает заданную точность измерения, но и создает некий "запас" этой точности.
Измерять расстояния необходимо как минимум при трех наведениях светодальномера на отражатель с контролем на дополнительной частоте.
Для уточнения значений постоянных светодальномера, а именно постоянных приемо-передатчика и отражателя на ровной местности выбирают базис длиной 200 - 300 метров. Базис измеряется базисным прибором БП-3 с относительной ошибкой не менее 1/50000.
Далее необходимо рассчитать влияние ошибок угловых измерений. В формулу (4) входит [Dцi] - то есть сумма квадратов расстояний от центра тяжести хода до каждого угла. Следовательно, требуется найти центр тяжести хода.
Есть 2 способа его определения - графический и аналитический. Аналитический используется при известных координатах всех пунктов хода, а для графического способа достаточно изображения хода в масштабе. Поэтому в данной работе используется графический способ определения центра тяжести. Для этого используют известное правило механики о сложении параллельных одинаково направленных сил. После нахождения центра тяжести хода были измерены расстояния от него до всех углов хода и была получена сумма их квадратов.
Формула для расчета влияния ошибки измерения углов (4) преобразуется в следующее выражение:
(6)
Отсюда получается, что для обеспечения заданной точности хода средняя квадратическая ошибка измерения одного угла не должна превышать 3". Такую точность обеспечивает теодолит серии Т2, например 3Т2КП.
2.2. Проектирование и оценка проекта линейно-угловой сети
Каждый определяемый пункт линейно-углового хода имеет две координаты X и Y, которые являются неизвестными и которые нужно найти. Общее количество пунктов в ходе обозначим через n, тогда количество неизвестных будет 2 * ( n - 2 ), так как у двух пунктов (исходных начального и конечного) координаты известны. Для нахождения 2 * ( n - 2 ) неизвестных достаточно выполнить 2 * ( n - 2 ) измерений.
Подсчитаем, сколько измерений выполняется в разомкнутом линейно-угловом ходе: на n пунктах измерено n углов - по одному на каждом пункте, измерены также ( n - 1 ) сторон хода, всего получается ( 2 * n - 1 ) измерений.
Разность между количеством выполненных измерений и количеством необходимых измерений равна:
(7)
то есть, три измерения являются избыточными: это угол на предпоследнем пункте хода, угол на последнем пункте хода и последняя сторона хода. Но тем не менее, эти измерения выполнены, и их необходимо использовать при вычислении координат пунктов хода.
В геодезических построениях каждое избыточное измерение порождает какое-либо условие, поэтому количество условий равно количеству избыточных измерений; в разомкнутом линейно-угловом ходе должны выполняться три условия: условие дирекционных углов и два координатных условия.
Условие дирекционных углов. Вычислим последовательно дирекционные углы всех сторон хода, используя формулу передачи дирекционного угла на последующую сторону хода:
(8)
Сложим эти равенства и получим:

откуда 
и (9)
Это - математическая запись первого геометрического условия в разомкнутом линейно-угловом ходе. Для правых углов поворота оно запишется так:
(10)
Сумма углов, подсчитанная по формулам (9) и (10), называется теоретической суммой углов хода. Сумма измеренных углов вследствие ошибок измерений, как правило, отличается от теоретической суммы на некоторую величину, называемую угловой невязкой и обозначаемую :
(11)
Допустимое значение угловой невязки можно рассматривать как предельную ошибку суммы измеренных углов:
(12)
Используем известную формулу из теории ошибок для нахождения средней квадратической ошибки функции в виде суммы аргументов:
(13)
Одним из этапов уравнивания является введение поправок в измеренные величины с целью приведения их в соответствие с геометрическими условиями, то есть, поправки в углы следует выбрать так, чтобы их сумма была равна угловой невязке с противоположным знаком.
По исправленным углам поворота вычисляют дирекционные углы всех сторон хода; совпадение вычисленного и заданного значений конечного исходного дирекционного угла является контролем правильности обработки угловых измерений.
Рассмотренный способ обработки измерений в линейно-угловом ходе можно назвать способом последовательного распределения невязок; строгое уравнивание линейно-углового хода выполняется по методу наименьших квадратов.
После уравнивания одиночного линейно-углового хода ошибки положения его пунктов неодинаковы; они возрастают от начала и конца хода к его середине, и наибольшую ошибку положения имеет пункт в середине хода. В случае приближенного уравнивания эта ошибка оценивается половиной абсолютной невязки хода fs. При строгом уравнивании хода производится сплошная оценка точности, то есть вычисляются ошибки положения каждого пункта хода, ошибки дирекционных углов всех сторон хода, а также ошибки уравненных значений углов и сторон хода.
2.3. Проектирование и оценка проекта светодальномерной полигонометрии
Измерение расстояний с помощью светодальномера основано на измерении промежутка времени t, в течение которого свет дважды проходит расстояние D, в прямом и обратном направлении (рис.1).

Рис.1
Обозначив через V скорость света в атмосфере, напишем формулу для расстояния:
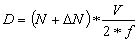
D = V * t/2. (14)
Скорость света в вакууме V0 считается известной V0 = 299 792 458 м/сек, а для получения скорости света в атмосфере V нужно еще знать показатель преломления воздуха n:
V = V0/n . (15)
Светодальномеры бывают импульсные и фазовые. В импульсных светодальномерах промежуток времени t измеряется непосредственно,а в фазовых - через разность фаз.
В фазовых светодальномерах используют модулированный свет; частота модуляции бывает от 7 мгц до 75 мгц (что соответствует длине волны от 4 до 40 метров); это так называемая измерительная или масштабная частота; несущие волны располагаются в субмиллиметровом диапазоне.
Приведем рабочие формулы для вычисления расстояний, измеренных фазовым светодальномером:

или D = (N + N) * /2 . (16)
где: f - масштабная частота,
l - длина волны, соответствующая масштабной частоте,
N - число, показывающее сколько раз половина длины волны укладывается в измеряемом расстоянии; оно определяется при "грубом" измерении расстояния на нескольких масштабных частотах,
N - домер фазового цикла; именно он и подлежит точному измерению.
На практике для вычисления горизонтального проложения линии, измеренной светодальномером, используют формулу:
Sизм = Dст. + D t + DP + De + C - DH , (17)
где: Dст.- длина линии, соответствующая некоторому стандартному значению скорости света Vст. при значениях температуры t0 и давления P0; обычно принимают:
t0 = + 12oC, P0 = 984 ГПА ,
Dt, DP, De - поправки за отклонение фактических значений метеоэлементов от их стандартных значений,
Dt = kt * Dст./100, D P = kP * Dст./100, De = ke * Dст./100.
Коэффициенты kt (температурный), kP (давления) и ke (влажности воздуха) выбирают из заранее составленной таблицы,
C- постоянная поправка светодальномера, определяемая по специальной методике,
DH - поправка за наклон линии:
(18)
Средняя квадратическая ошибка расстояния, измеренного светодальномером, вычисляется по формуле:
mD = a + b * D * 10-6
.
Для каждой группы светодальномеров значения коэффициентов a и b имеют значения:
СГ (0.1 км < D < 30 км) a = 1мм; 2 мм; b = 1; 2;
СП (0.001 км < D < 5 км) a = 0.1мм; 0.5 мм; 1мм; 2 мм;
СТ (0.002 км < D < 15 км) a = 5 мм; 10мм; b = 3; 5;
СТД (0.002 км < D < 500 м) a = 20 мм.
При измерении расстояния светодальномером может возникнуть ситуация, когда центрирование светодальномера и отражателя выполнить не удается; в этом случае нужно ввести в измеренное расстояние поправки за центрировку и редукцию.

Рис.2
Пусть на рис.2-а точка B обозначает центр пункта, а точка B' - проекцию на горизонтальную плоскость оси вращения светодальномера; точка A обозначает центр второго пункта. Измерим элементы центрировки: l - линейный элемент и - угловой элемент; по аналогии с центрировкой теодолита угол строится при проекции оси вращения прибора и отсчитывается от линейного элемента по ходу часовой стрелки до направления на наблюдаемый пункт A.
В треугольнике BAB' угол при точке A очень мал, поэтому в зависимости от положения точки B' относительно точки B будет выполняться одно из равенств:
= , = 180o - , = - 180o, = 360o - . (19)
Опустим перпендикуляр из точки B' на линию BA, тогда поправка за центрировку будет равна:
Sc = BC = l * Cos(g) = - l * Cos( ). (20)
Аналогичные построения на пункте установки отражателя (A - центр пункта, A' - проекция оси вращения отражателя, l1 - линейный элемент и 1 - угловой элемент редукции) позволяют написать формулу:
Sо = AD = l1 * Cos(g1) = - l1 * Cos ( 1). (21)
Расстояние S, приведенное к центрам пунктов будет равно:
S = Sизм + Sс + Sо. (22)
3. Методика угловых и линейных измерений
3.1. Угловые и линейные измерения в линейно-угловой сети. Система координат
Для определения координат нескольких точек можно применить различные способы; наиболее распространенными из них являются линейно-угловой ход, система линейно-угловых ходов, триангуляция, трилатерация и некоторые другие.
Линейно-угловой ход представляет собой последовательность полярных засечек, в которой измеряются горизонтальные углы и расстояния между соседними точками (рис.3).

Рис.3. Схема линейно-углового хода
Исходными данными в линейно-угловом ходе являются координаты XA, YA пункта A и дирекционный угол BA линии BA, который называется начальным исходным дирекционным углом; этот угол может задаваться неявно через координаты пункта B.
Измеряемые величины - это горизонтальные углы 1, 2,..., k-1, k и расстояния S1, S2, Sk-1, Sk. Известны также ошибка измерения углов и относительная ошибка измерения расстояний mS / S = 1 / T .
Дирекционные углы сторон хода вычисляют последовательно по известным формулам передачи дирекционного угла через угол поворота
для левых углов : (23)
для правых углов : (24)
Для хода на рис.3 имеем:
 и т.д.
Координаты пунктов хода получают из решения прямой геодезичекой задачи сначала от пункта A к пункту 2, затем от пункта 2 к пункту 3 и так далее до конца хода.
Линейно-угловой ход, изображенный на рис.2.17, применяется очень редко, так как в нем отсутствует контроль измерений; на практике, как правило, применяются ходы, в которых предусмотрен такой контроль.
По форме и полноте исходных данных линейно-угловые ходы подразделяются на следующие виды:
разомкнутый ход (рис.4): исходные пункты с известными координатами и исходные дирекционные углы есть в начале и в конце хода;

Рис.4. Схема разомкнутого линейно-углового хода
Если в начале или в конце хода нет исходного дирекционного угла, то это будет ход с частичной координатной привязкой; если исходных дирекционных углов в ходе совсем нет, то это будет ход с полной координатной привязкой.
замкнутый линейно-угловой ход (рис.5) - начальный и конечный пункты хода совмещены; один пункт хода имеет известные координаты и называется исходным пунктом; на этом пункте должно быть исходное направление с известным дирекционным углом, и измеряется примычный угол между этим направлением и направлением на второй пункт хода.

Рис.5. Схема замкнутого линейно-углового хода
висячий линейно-угловой ход (рис.3) имеет исходный пункт с известными координатами и исходный дирекционный угол только в начале хода.
свободный линейно-угловой ход не имеет исходных пунктов и исходных дирекционных углов ни в начале, ни в конце хода.
По точности измерения горизонтальных углов и расстояний линейно-угловые ходы делятся на две большие группы: теодолитные ходы и полигонометрические ходы.
В теодолитных ходах горизонтальные углы измеряют с ошибкой не более 30"; относительная ошибка измерения расстояний mS/S колеблется от 1/1000 до 1/3000. В полигонометрических ходах горизонтальные углы измеряют с ошибкой от 0.4" до 10", а относительная ошибка измерения расстояний mS/S бывает от 1/5000 до 1/300 000. По точности измерений полигонометрические ходы делятся на два разряда и четыре класса.
3.2. Угловые и линейные измерения в полигонометрии
Проектирование геодезических сетей сгущения на территории строительства промышленного комплекса осуществляется методом проложения ходов полигонометрии 1 и 2 разрядов.
В соответствии с п.2.22 “Инструкции по топографической съемке в масштабах 1:5000 - 1:500” плотность геодезической основы должна быть доведена развитием сетей сгущения на промплощадке не менее чем до 4-х пунктов на 1 км2
в застроенной территории. Для обеспечения инженерных изысканий на промплощадке плотность съемочного обоснования может быть доведена до 8-ми пунктов на 1 км2
.
В соответствии с требованием инструкции (п.2.22) на территории объекта плотность составляет 6 пунктов на 1 км2
, т.е. 6 пунктов x 22 км2
= 132 пункта. Положение половины пунктов будет определено проложением ходов полигонометрии 1 разряда, а половина - методом полигонометрии 2 разряда, тогда протяженность ходов будет равна:
66 пунктов х 0,3 км = 19.8 ( I разряд);
66 пунктов х 0,2 км = 13.2 ( II разряд);
Общая длина ходов – 33 км.
(0,3 и 0,2 - стороны полигонометрии 1 и 2 разрядов в соответствии с инструкцией по топографической съемке в масштабах 1:5000 - 1:500).
Пункты полигонометрии 1 и 2 разрядов закрепляются постоянными центрами типа 2 и 6, а также стенными знаками. Узловые точки закрепляются центрами глубокого заложения типа 2. На основании исходных данных и выполненных расчетов предлагается схема проектируемых работ:
Таблица 1
Ведомость объемов работ по полигонометрии
| №
|
Наименование процессов в порядке технологической последовательности.
|
Единица измерения
|
Объем работ по техническому проекту
|
| 1.
|
Рекогносцировка пунктов полигонометрии 1 и 2 разрядов.
|
пункт
|
132
|
| 2.
|
Закладка центров:
а) глубокое заложение (т.2)
б) неглубокое заложение (т.6)
|
центр (пункт)
|
53
79
|
| 3.
|
Измерение углов и сторон на пунктах полигонометрии 1 и 2 разрядов.
|
|
132
|
Технические условия измерения углов и сторон полигонометрии 1 и 2 разряда приводятся ниже (в соответствии с инструкцией по топосъемке).
Таблица 2
Технические условия измерения углов и сторон полигонометрии 1 и 2 разряда
| Показатели
|
1 разряд
|
2 разряд
|
| Предельная длина хода, км:
отдельного
между исходной и узловой точкой
между узловыми точками
|
5
3
2
|
3
2
1,5
|
| Предельный периметр полигона, км
|
15
|
9
|
| Длины сторон хода, км:
наибольшая
наименьшая
средняя расчетная
|
0,80
0,12
0,30
|
0,35
0,08
0,20
|
| Число сторон в ходе, не более
|
15
|
15
|
| Относительная погрешность хода, не более
|
1:10000
|
1:5000
|
| Средняя квадратическая погрешность измерения угла (по невязкам в ходах и полигонах), угловые секунды, не более
|
5
|
10
|
| Угловая невязка хода или полигона, угловые секунды, не более, где n - число углов в ходе
|
10
|
20
|
Измерение углов на пунктах полигонометрии производится способом измерения отдельного угла или способом круговых приемов, как правило, по трехштативной системе оптическими теодолитами Т1, Т2, Т5 и другими, им равноточными, с точностью центрирования 1 мм.
Способ круговых приемов применяется, когда число наблюдаемых направлений на пункте не более двух.
Перед началом работ приборы проверяются и исследуются в программе.
4. Методы съемки масштаба 1 : 2000
4.1. Теодолитные ходы. Оценка точности
Привязка опознаков теодолитными ходами применялась в случае непосредственной близости опознака к пунктам геодезического обоснования и в тех случаях, когда невозможно использовать методы многократных засечек.
Приведем основные требования Инструкции к теодолитным ходам. Различают три вида теодолитных ходов по относительной ошибке: это ходы с относительной ошибкой 1/3000, 1/2000 и 1/1000. При масштабе топографической съемки 1:2000 установлена максимальная длина таких ходов, соответственно 6 км, 4 км и 2 км. Допустимые длины сторон в любом из трех типов ходов от 20 до 350 метров. На число сторон Инструкция ограничений не накладывает.
Относительная ошибка каждого опознака задаётся исходя из длины самого хода, таким образом, более длинный ход необходимо прокладывать с большей точностью, чем короткий. Наихудшим случаем (самым ненадежным из всех) является ход максимальной длины. Очевидно, что предрасчет точности линейных и угловых измерений необходимо вести именно для такого случая.
По формуле (2) была получена средняя квадратическая ошибка измерения длин линий. Сопоставляя величины m и Sср, видно, что относительная ошибка измерения линий должна быть не менее 1/2000. Такую точность нитяный дальномер обеспечить не может (расчеты также показывают, что даже если уменьшить среднюю квадратическую ошибку измерения угла до величины 1", нитяный дальномер с относительной ошибкой измерения линий 1/500 не обеспечит заданной точности планового положения опознака), поэтому необходимо использовать более точный прибор для линейных измерений. Можно воспользоваться дальномером двойного изображения или светодальномером СТ-5; предпочтение отдается последнему в силу простоты, легкости и надежности измерений.
Величина средней квадратической ошибки измерения угла, рассчитанная по формуле (3) составила 32". Следовательно, можно сделать вывод, что углы могут измеряться любым теодолитом серий Т5,Т15 и Т30. Так как в основном угловые измерения в привязочных работах рассчитано выполнять теодолитом 3Т5КП, рекомендуется применение именно этого прибора.
На точках ходов углы должны измеряться двумя полными приемами; центрирование теодолита производится по встроенному оптическому центриру.
4.2. Стереотопографическая, мензульная, тахеометрическая, комбинированная съемка
Топографическую съемку местности выполняют для получения топографического плана или карты участка местности; объекты местности, контуры и рельеф изображаются на плане или карте с помощью условных знаков. Различают аэрофотосъемку, наземную и комбинированную съемки.
Аэрофотосъемка обычно выполняется стереотопографическим методом, когда снимки местности получают с помощью фотоаппаратов, установленных на самолете, а обработку снимков и рисовку плана выполняют в камеральных условиях на стереоприборах.
Комбинированная съемка является комбинацией аэрофотосъемки и наземной съемки; плановая ситуация рисуется по аэроснимкам, а рельеф снимают на фотоплан в полевых условиях.
Аэрофотосъемка и комбинированная съемка являются основными методами создания карт и планов на большие территории. Наземную съемку применяют при создании крупномасштабных планов небольших участков, когда применение аэрофотосъемки либо невозможно, либо экономически невыгодно.
Наземная съемка выполняется с поверхности земли. В зависимости от методики съемки и применяемых приборов наземная съемка может быть нескольких видов:
- тахеометрическая;
- мензульная;
- горизонтальная или теодолитная; при горизонтальной съемке получают план участка местности, на котором нет изображения рельефа;
- вертикальная; при этом получают план с изображением рельефа практически без плановой ситуации;
- фототеодолитная; при этом снимки местности получают с помощью фототеодолита, а их обработку и рисовку плана выполняют на стереоприборах,
- специальные виды съемок.
При мензульной съемке план участка местности создается прямо в поле, т.е. результаты съемки ситуации и рельефа наносят на план на каждом пункте, где установлен прибор для съемки. Для выполнения мензульной съемки применяют мензулу, кипрегель и рейку.
При мензульной съемке горизонтальные углы не измеряют, а строят на планшете графически; для этого планшет должен быть ориентирован на местности. Над точкой А местности центрируют точку а планшета (рис.6). Планшет устанавливают в горизонтальное положение и ориентируют по линии AB. Наводят трубу кипрегеля на точку C местности и проводят карандашом по линейке кипрегеля направление на точку C.
Угол bac на планшете - это горизонтальный угол B'A'C', т.е. искомый горизонтальный угол. Можно сказать, что плоскость планшета выполняет роль лимба с центром в точке a, а отсчет по лимбу заменяется прочерчиванием наблюдаемого направления. Мензульную съемку иногда называют углоначертательной.
Для определения планового положения точки C остается только измерить горизонтальное продолжение линии AC и отложить его от точки a на прочерченном направлении в масштабе съемки. Затем измеряют превышение точки C относительно точки A, вычисляют отметку точки C и подписывают ее на плане; съемка точки C закончена.

Рис.6
Мензульная съемка выполняется полярным способом, при этом направление полярной оси задается направлением, по которому ориентирован планшет.
В названии "тахеометрическая" подчеркивается высокая производительность труда при этом виде съемки: "tachys" означает быстрый. Съемку выполняют либо теодолитом, либо тахеометром-автоматом; в комплект приборов для съемки еще входит рейка.
Съемочное обоснование для тахеометрической съемки создают, прокладывая теодолитные ходы, ходы технического нивелирования, высотные или тахеометрические ходы.
Тахеометрический ход - это комбинация теодолитного и высотного ходов в одном. На каждом пункте хода измеряют горизонтальный угол, углы наклона на заднюю и переднюю точки и дальномерное расстояние прямо и обратно. Превышение между пунктами вычисляют по формуле тригонометрического нивелирования.
Уравнивание тахеометрического хода выполняют отдельно для координат (как в теодолитном ходе) и превышений (как в высотном ходе). Допустимые невязки вычисляют по следующим формулам:
угловую
(25)
абсолютную
(26)
высотную
(27)
Здесь n - число измеренных углов хода, S - длина хода в метрах.
Тахеометрическая съемка выполняется с пунктом съемочного обоснования в полярной системе координат. Теодолит центрируют над пунктом А, горизонтируют, приводят трубу в рабочее положение и ориентируют на соседний пункт В съемочного обоснования, т.е. устанавливают на лимбе отсчет 0o 0' при наведении трубы на этот пункт. Другими словами, полюсом полярной местной системы координат является пункт А, а направление полярной оси совмещается с направлением АВ.
Трубу теодолита наводят на рейку, установленную в какой-либо точке местности и измеряют три величины, определяющие положение снимаемой точки в плане и по высоте: горизонтальный полярный угол, угол наклона и дальномерное расстояние. Затем вычисляют превышение и горизонтальное проложение.
Точка установки рейки называется пикетом; различают высотные и плановые пикеты.
Высотные пикеты располагают во всех характерных точках и линиях рельефа: на вершинах гор и холмов, на дне котловин и впадин, по линиям водослива лощин и водораздела хребтов, у подошв гор и хребтов, у бровок котловин и лощин, в точках седловин, на линиях перегиба скатов и т.п. Расстояние между высотными пикетами не должно превышать 20 мм - при масштабе 1:2000, чтобы при рисовке рельефа было удобно выполнять интерполирование горизонталей. Главное условие выбора высотных пикетов - чтобы местность не имела между соседними пикетами перегибов ската.
Чем больше высотных пикетов, тем легче рисовать рельефа на плане, но не надо забывать, что объем выполненной работы определяется не числом пикетов, а заснятой площадью в гектарах или в квадратных километрах. Поэтому пикетов надо набирать столько, сколько требуется для правильной рисовки рельефа.
Плановые пикеты располагают на контурах и объектах местности; иногда плановые пикеты называют реечными точками. При замене криволинейных контуров ломаными линиями ошибка спрямления не должна превышать 0.5 мм в масштабе плана.
Требуемая точность измерения горизонтальных углов и расстояний при тахеометрической съемке такая же, как и при горизонтальной съемке:
= 24', ms/S = 1/150.
Расчитаем допустимую ошибку измерения угла наклона. Для этого возьмем формулу тригонометрического нивелирования:
h' = S * tg (28)
и продифференцируем ее по измеряемым элементам:
m2h = (S/cos2 )2 * m 2/ 2 + tg2 .m2s. (29)
Примем h=1 м, = 11.4o, tg = 0.2, cos = 1.0 и получим mh = 0.33 м.
Далее пишем:
m 2/ 2 * S2/cos4 = m2h - tg2 * m2s,

m = 10'
Поскольку требования к точности измерений при тахеометрической съемке невысокие, то измерения при съемке пикетов выполняют по упрощенной методике:
- горизонтальные углы измеряют при одном положении круга;
- расстояния, измеряемые по нитяному дальномеру, округляют до целых метров при съемке в масштабах 1:2 000 или 1:5 000;
- углы наклона измеряют при одном положении круга, установив место нуля близким или равным нулю; при этом отсчет по вертикальному кругу будет равен углу наклона, если съемку выполнять при основном положении круга.
Все результаты измерений записывают в журнал тахеометрической съемки; затем там же вычисляют углы наклона, горизонтальные проложения, превышения пикетов относительно точки стояния теодолита и отметки пикетов. Одновременно с ведением журнала составляют схематический чертеж местности - абрис (кроки), на котором показывают все заснятые с этой станции пикеты, контуры, ситуацию, формы рельефа, направления скатов. Иногда абрис рисуют до начала съемки, намечая на нем плановые и высотные пикеты, и затем уже ведут съемку в соответствии с абрисом.
4.3. Съемочные сети, оценка точности
По результатам теодолитной или тахеометрической съемки составляют план местности. План характеризуется точностью, детальностью и полнотой.
Детальность плана - это степень подобия изображенных на плане контуров и объектов местности. На плане допускается спрямление контуров с ошибкой 0.5 мм в масштабе плана.
Полнота плана определяется конкретными условиями участка местности и его назначением. В зависимости от назначения крупномасштабные планы делятся на топографические и специализированные. На топографические планы наносят все объекты и контуры, перечисленные в книге "Условные знаки для планов масштабов 1 : 5000, 1:2000, 1:1000, 1:500", а рельеф изображается с точностью, предусмотренной Инструкцией. При создании специализированных планов можно изображать не всю ситуацию, а только необходимую заказчику, применять нестандартную высоту сечения рельефа и т.п.
Точность плана - это средняя ошибка положения объекта или четкого контура относительно ближайших пунктов съемочного обоснования. Согласно Инструкции эта ошибка не должна превышать 0.5 мм в масштабе плана; в горной местности этот допуск увеличивается до 0.7 мм.
Нужный масштаб съемки рассчитывается по допуску 0.5 мм на плане. Если заданная ошибка взаимного положения объектов в натуре равна, например, 1 м, то масштаб съемки должен быть:
1/М = 0.5 мм /1 м = 1/2 000.
План строится в два этапа соответственно двум этапам выполнения съемки:
- наносится геодезическая основа, т.е. пункты государственной геодезической сети, пункты сетей сгущения и пункты съемочного обоснования по их известным прямоугольным координатам;
- наносится ситуация, т.е. наносятся пикеты относительно пунктов съемочного обоснования в местных полярных системах координат, и рисуются контуры и рельеф.
Сначала на листе ватмана строят координатную сетку квадратов со стороной 10 см при помощи специальной линейки Дробышева; координаты углов квадратов подписывают. Затем по координатам, выбранным из специальных таблиц по номенклатуре листа, строят углы рамок трапеций. Иногда планы строятся не в шестиградусных, а в трехградусных зонах.
Все пункты съемочного обоснования, с которых выполнялась съемка, и пункты опорных сетей, попадающие на данный лист плана, наносят на планы по их координатам.
Пикеты наносят в местных полярных системах координат при помощи транспортира и поперечного масштаба или с помощью тахеографа (кругового транспортира с линейкой на прозрачной основе). Около каждого пикета подписывают его номер и отметку.
Затем, используя абрис, вычерчивают ситуацию в условных знаках и проводят горизонтали.
Составленный план выносят на участок местности и выполняют его контроль либо на глаз, либо инструментально. После проверки план вычерчивают в туши в один или несколько цветов, наносят все подписи, оформляют рамки и зарамочное пространство, заполняют формуляр.
4.4. Приборы, центры, знаки
На местности геодезические пункты отмечаются центрами и опознавательными знаками. Типы центров и опознавательных знаков бывают самые разноообразные; они зависят от типа и точности геодезической сети, от климатических, почвенных и других характеристик местности. Геодезические пункты должны быть достаточно прочными и долговечными, чтобы сохранить неизменное положение центра в течение длительного времени, и находиться в удобном месте, обеспечивающем быстрое его обнаружение и опознавание.
На рис.7.1 приведены четыре конструкции центров пунктов:
а - для районов с сезонным промерзанием грунтов,
б - для районов с сезонным оттаиванием грунтов,
в - скальная марка,
г - стенной центр.
На рис.7.2 приведены два типа наружных знаков:
а - металлическая пирамида,
б - сложный сигнал.
Объекты местности, ситуация и некоторые формы рельефа изображаются на топографических картах условными знаками. Различают четыре типа условных знаков: контурные или площадные, линейные, внемасштабные и пояснительные подписи.
Контурные условные знаки служат для изображения объектов, занимающих определенную площадь и выражающихся в масштабе карты. Контур вычерчивают точечным пунктиром или тонкой сплошной линией и заполняют условными значками леса, луга, сада, огорода, болота и т.д.
Линейные условные знаки служат для изображения линейных объектов: дорог, ЛЭП, линий связи, различных продуктопроводов и т.д. Масштаб по линии равен масштабу карты, а в поперечнике - на несколько порядков крупнее.
Внемасштабные условные знаки служат для показа объектов, не выражающихся в масштабе карты: геодезических пунктов. километровых столбов, теле- и радиовышек, фабрик, заводов, различного рода опор, и т.д. Местоположение объекта соответствует характерной точке условного знака, которая может располагаться в центре , условного знака, в середине его основания и т.д. .

Рис.7.2
Пояснительные подписи служат для дополнительной характеристики объектов: у брода через реку подписывают глубину и характер грунта, у моста - его длину, ширину и грузоподъемность, у дороги - ширину проезжей части и характер покрытия и т.д.
В традиционной картографии принято деление всех объектов местности на 8 больших классов (сегментов):
- математическая основа,
- рельеф,
- гидрография,
- населенные пункты,
- предприятия,
- дорожная сеть,
- растительность и грунты,
- границы и подписи.
Таблицы условных знаков для карт разных масштабов составляются в соответствии с этим делением объектов; они утверждаются государственными органами и издаются в форме обязательных для исполнения документов.
4.5. Угловые и линейные измерения
Горизонтальная съемка местности в простейшем варианте выполняется с помощью теодолита и рулетки. Съемочное обоснование обычно создают проложением теодолитных ходов. Если участок съемки имеет вытянутую форму, то теодолитный ход прокладывают по его оси; при этом отдельные пункты съемочного обоснования можно определять из геодезических засечек. Если участок имеет овальную форму, то прокладывают замкнутый ход по его границе; внутри участка можно проложить диагональные ходы.
При горизонтальной съемке положение отдельных точек определяют относительно пунктов съемочного обоснования и линий, соединяющих их, применяя:
- способ засечек ( угловых, линейных, комбинированных );
- полярный способ;
- способ перпендикуляров;
- способ створов.
Широко также применяется способ обмеров зданий и сооружений и расстояний между ними с помощью рулетки.
Способ засечек. При угловой засечке положение точки 1 определяют относительно двух пунктов съемочного обоснования А и В с помощью двух измеренных горизонтальных углов 1 и 1. Положение другой точки - точки 2 определяют, измеряя два других угла 2 и 2 (рис.8). Результаты измерений записывают в журнал.

Рис.8 Рис.9
При построении плана при точках А и В с помощью транспортира строят углы 1 и 1 и в пересечении линий получают изображение точки 1 на плане. Аналогично находят на плане положение точки 2.
Если расстояние до точки 1 не превышает длины рулетки, положение точки 1 определяют линейной засечкой, при которой измеряют расстояния А - 1 и В - 1 ; при построении плана из точки А проводят дугу радиусом, равным расстоянию А - 1 в масштабе плана, а из точки В - радиусом, равным расстоянию В - 1 в масштабе плана. Точка пересечения этих дуг является изображением точки 1 на плане.
Точность измерения горизонтальных углов при угловой засечке определяется точностью их построения на плане транспортиром,т.е. порядка 10' - 15'. Допустимую ошибку измерения расстояний при линейной засечке рассчитывают по формуле:
ms = 0,3 мм * М,
где М - знаменатель масштаба съемки.
Полярный способ. Полярный способ съемки - это реализация полярной системы координат. Теодолит устанавливают на пункте съемочного обоснования А, принимая его за начало ( полюс ) местной полярной системы координат. Полярная ось совмещается с направлением на другой пункт съемочного обоснования В. Затем измеряют горизонтальный угол 1, образованный направлением АВ и направлением на снимаемую точку 1, и расстояние S1 от точки А до точки 1 (рис.9). При построении плана положение точки 1 получают, откладывая на стороне угла 1, построенного транспортиром, расстояние S1 в масштабе плана.
Рассчитаем среднюю квадратическую ошибку измерения углов и расстояний при полярном способе съемки, если ошибка положения точки 1 задана и равна Мp.
В полярной системе координат ошибка положение точки выражается формулой:
(30)
где - ошибка измерения угла ; ms - ошибка измерения полярного расстояния.
По принципу равных влияний имеем:
m2s = ( S * / )2 = M2 /2, (31)
откуда
и (32)
Пусть масштаб съемки 1:М=1:2 000, тогда Мp=0.5 мм * 2 000=1 м. При S=100 м вычисления по формулам (37) дают =24', ms =0.7м, ms/S = 1/150.
Способ перпендикуляров. Способ перпендикуляров является реализацией обычной прямоугольной системы координат. Пусть линия АВ - одна из сторон теодолитного хода. Примем ее за ось l, начало координат совместим с пунктом А; ось d расположим перпендикулярно линии АВ. Положение точки 1 определяется двумя перпендикулярами l1 и d1 (рис.10), длины которых измеряют мерной лентой или рулеткой.

Рис.10
Для построения прямого угла можно применть теодолит или эккер; иногда угол = 90o можно построить на глаз. Положение точки 1 на плане получают после выполнения трех операций: откладывания вдоль линии АВ длины перпендикуляра l1, построения угла =90o c помощью транспортира, откладывания на стороне угла длины второго перпендикуляра d1.
Съемка других точек и определение их положения на плане выполняются в таком же порядке.
Ошибка положения точки Мp в способе перпендикуляров складывается из ошибки измерения перпендикуляра l, ошибки построения (или измерения) угла = 90 o и ошибки измерения перпендикуляра d:
М2p = m2l + 2/ 2 * d2 + m2d. (33)
По принципу равных влияний полагаем:
m2l = 2/ 2 * d2 = m2d = M2p/3. (34)
При Мp = 0.5 мм на плане получим в масштабе плана. Приняв ошибку построения угла = 30', рассчитаем допустимую длину перпендикуляра d:

в масштабе плана при относительной ошибке его измерения:
md / d = 0.33 мм / 33 м = 1/110.
Для плана масштаба 1 : 2 000 расчетная длина перпендикуляра d получается 66 м, а для масштаба 1 : 500 - d = 16 м. В Инструкции эти величины заданы 60 м и 20 м соответственно.
Разумеется, при другом значении ошибки допустимая длина перпендикуляра d будет другой. Например, строя угол = 90o "на глаз" ( = 1o) , получим d = 16 мм в масштабе плана.
При горизонтальной съемке результаты измерений углов и линий записывают в журнал. Кроме того, прямо в поле составляют схематический чертеж местности - абрис, на котором показывают все пункты съемочного обоснования, контуры, ситуацию местности, записывают результаты измерений, делают пояснительные записи.
По материалам съемки составляют и вычерчивают план участка.
5.
GPS для создания плановой основы
ХХI в., вслед за высокой степенью автоматизации и компьютеризации геодезических приборов, появлением технологии спутникового определения местоположения в ушедшем XX в., ознаменовался развитием мощных дальномерных безотражательных лазеров и лазерных сканирующих устройств.
Наземные съемки с помощью приемников GPS и оптических приборов дают достоверную, непосредственную и самую точную информацию о положении и состоянии объектов для ГИС.
Спутниковые системы определения координат получили широкое распространение в мире. Они развивались по принципу «от простого к сложному». В 70–80 годы прошлого века, когда космические навигационные системы (КНС) ГЛОНАСС (СССР) и GPS (США) только начали эксплуатироваться, определение местоположения с предельными ошибками в десятки метров явилось переворотом в области автономного определения координат. Спутниковые методы действительно проложили дорогу принципиально иным технологиям. В масштабах планеты они характеризуются полным охватом пространства (суши, океанов, воздушного и космического пространства), всепогодностью, высокой надежностью получения результатов и универсальностью. На последнем необходимо остановиться подробнее. Если рассмотреть традиционные методы определения координат (астрономические, геодезические, инерциальные), можно заключить, что любой из них ограничен во времени и пространстве, использует совокупность механических, оптических и электронных устройств. При этом каждый пользователь выбирает свой способ решения задачи с использованием той информации, которой он располагает. Для реализации подобных технологий требуются специалисты высокого класса и широкого профиля.
Спутниковые технологии обладают другими свойствами. Процесс наблюдений (сбор измерений) упростился настолько, что не требует от наблюдателей инженерной подготовки. Спутниковые технологии базируются на использовании радиоэлектронной техники и, по сути, являются исключительно цифровыми. При этом в процессе работы не возникают какие-либо затруднения, связанные с переходом от наблюдательного процесса к вычислительному. И что особенно важно, измерительная информация для всех пользователей является стандартной. Спутники излучают в пространство стандартный радиосигнал, который приемник пользователя воспринимает как задержку (кодовые измерения), сдвиг фазы (фазовые измерения) или иную (служебную) информацию в строго оговоренных (стандартных) форматах. Это позволяет унифицировать аппаратно-программные средства пользователя. Только на заключительной стадии вычислительного процесса стандартная информация преобразуется в многообразие параметров, необходимых конкретному пользователю.
Конечно, достигнутый результат является следствием искусственного происхождения источника информации - космических навигационных систем, но для пользователей это не имеет значения. Ему важен конечный результат: выполнение его запросов, простота в обращении с аппаратно-программными средствами и их приемлемая стоимость. Спутниковые технологии обладают этими качествами, поэтому они занимают лидирующее положение среди технологий определений координат.
Привлечение дифференциального метода положило начало гражданскому применению спутниковых технологий в геодезии, строительстве, земельном кадастре и т. д. Вначале использовали так называемый автономный метод, когда один или группа пользователей устанавливали на пункте с известными координатами базовую станцию, относительно которой в радиусе 15–20 км определяли координаты различных объектов. Но специалисты поняли, что с любых точек зрения (в том числе экономической) выгодней обустроить территорию сетью постоянно действующих базовых (референцных) станций. Тогда новую технологию может применить широкий круг пользователей. Любому пользователю для определения точных координат требуется только один приемник. Возможность такого подхода - в универсальности спутниковых технологий.
SAPOS - основа инфраструктуры государственной Геодезической службы Германии, на территории которой расположен проектируемый участок.
SAPOS (Satellite Positionng Sevice of the German National Survey) предлагает постоянный многофункциональный сервис DGPS - дифференциальной глобальной системы позиционирования, доступный с высокой степенью надежности. Основой системы является сеть стационарных (референцных) станций GPS, на которых проводятся постоянные измерения расстояний до спутников GPS и вычисляются значения поправок. Пользователь получает эти поправки в режиме реального времени в стандартном формате и может на их основе корректировать информацию о местоположении с необходимой точностью. Для гражданских пользователей возможна абсолютная точность в пределах 100 м. Более высокая точность (до метра, дециметра, сантиметра и даже миллиметра) достигается с помощью относительных измерений с одновременным использованием двух приемников GPS в DGPS.
EPS - режим реального времени с точностью до 3 м. Значения поправок передаются по телевизионным каналам ARD на УКВ, каналам Deutsche Telekom AG на длинных волнах и управления геодезии в двухметровом диапазоне в международном стандарте RTCM SC 104. Для использования EPS достаточно иметь приемник GPS и радиоприемник с УКВ/ДВ-диапазонах (или с двухметровым диапазоном и декодером).
HEPS - режим реального времени с наивысшей точностью 1–5 см. Дополнительно к значениям поправок EPS пользователю предоставляются данные о фазах несущей частоты спутникового сигнала в реальном времени и стандартном формате. Поправочные значения передаются по собственным каналам службы управления геодезии в двухметровом диапазоне или по телефону. Формат передачи - международный стандарт RTCM SC (вариант 21). Данные передаются с интервалом 1 с. Необходимо использование декодирующего модуля Комиссии геодезических управлений (Working Committee of the Surveying Authorities of the States of the Federal Republic of Germany) (AdV).
GPPS - режим высокой точности: до сантиметра в режимах «near online» и последующей обработки. Формат передачи - RINEX. Данные можно получить по мобильному телефону «near online». Для последующей обработки возможен обмен данными с помощью телефона и носителей данных. Для работы GPPS достаточно использовать один прибор.
GHPS - режим геодезического определения местоположения с наивысшей точностью - до миллиметра. Пользователь получает результаты непрерывных длительных измерений на референцных станциях GPS в стандартном формате. Прием и обработка сигналов аналогичны режиму GPS. Целесообразно применять точные данные об орбитах, предоставляемые международным GPS-сервисом по геодинамике.
В будущем будет предложена расширенная программа: несколько станций GPS будут работать в сети, что позволит регистрировать ошибки, обусловленные рельефом местности. Пользователь получит значения поправок, зависящие от его местоположения, что значительно повысит надежность и точность измерений.
Проведение официальных геодезических работ в Германии является задачей Федеральных земель. AdV вырабатывает единые правила по вопросам принципиального характера, а также выходящим за пределы одной области. В AdV сотрудничают геодезические управления Федеральных земель и федеральные министерства транспорта, строительства и обороны.
Заключение
В последние годы строительство так называемых уникальных инженерных сооружений потребовало от геодезии резкого повышения точности измерений. Так, при монтаже оборудования мощных ускорителей приходится учитывать десятые и даже сотые доли миллиметра. По результатам геодезических измерений изучают деформации и осадки действующего промышленного оборудования, обнаруживают движение земной коры в сейсмоактивных зонах, наблюдают за уровнями воды в реках, морях и океанах и уровнем грунтовых вод.
Возможность использования искусственных спутников Земли для решения геодезических задач привела к появлению новых разделов геодезии - космической геодезии и геодезии планет. Подтверждаются слова К.Э. Циолковского: "Земля - колыбель человечества, но нельзя вечно жить в колыбели."
Список литературы
1. Григоренко А. Г., Киселев М. И. Инженерная геодезия.— М.: Высшая школа, 1983.
2. Инженерная геодезия / под ред. С. П. Закатова. - М.: Недра. 1976.
3. Инструкция по топографической съемке в масштабах 1:5000 - 1:500. – М.: Недра, 1977.
4. Клюшин Е. Б., Михелев Д. Ш., Киселёв М.И., Фельдман В.Д. Инженерная геодезия.— М.: Высш. шк., 2000.
5. Кузнецов П.Н. и др. Геодезия. Топографические съемки. - М.: Недра, 1991.
6. Левчук Г. П., Новак В. Е., Лебедев Н. Н. Прикладная геодезия. Геодезические работа при изысканиях и строительстве инженерных сооружений.— М.: Недра, 1983.
7. Практикум по прикладной геодезии. Геодезическое обеспечение строительства и эксплуатации инженерных сооружений.— М.: Недра, 1993.
8. Прикладная геодезия. Основные методы и принципы инженерно-геодезических работ. Под редакцией Левчука Г.П. – М.: Недра, 1981.
9. Селиханович В.Г. Геодезия. - М.: Недра, 1981.
10. СНиП 3. 01. 03 - 84. Геодезические работы в строительстве. М., 1985.
|