КУРСОВАЯ РАБОТА ПО ХИМИИ НА ТЕМУ:
«УПРАВЛЕНИЕ ХИМИЧЕСКИМИ ПРОЦЕССАМИ»
Оглавление
1. Введение …………………………………………………………..………..стр. 2
2. Основная часть:
2.1. Влияние температуры на скорость химических реакций ….…………...стр. 3
2.2. Электролиз …………………………………………………….………..… стр. 5
2.3. Радиационно-химические процессы ………………………….………...стр. 15
2.4. Растворитель как средство управления химическими процессами .…..стр. 19
2.5. Современный катализ ………………………………………………….....стр. 26
3. Заключение ….…………………………………………………………….стр. 32
4. Список литературы ….…………………………………………………….стр. 34
Введение
Направленное воздействие на химическую систему - управление выходом продуктов и скоростью химического процесса - относится к числу важнейших задач, которые стоят перед человечеством. Одной из важнейших проблем развития химической промышленности является проблема управления химическими процессами. Однако набор методов управления химическими процессами удивительно мал, особенно в сравнении с числом реакций и соединений, известных современной химии. Управление химическими превращениями и процессом в целом определяется характером и закономерностями физико-химических и физических процессов. Поэтому для создания теории и методов управления химическими процессами необходимо познание основных законов их протекания и сознательное использование найденных закономерностей.
Существует множество методов воздействия на химическую систему.
Наиболее общими методами управления химическими процессами являются термическое воздействие на химическую систему и влияние растворителя. Также для управления химическими процессами необходимо владеть, с одной стороны, теорией катализа, помогающей предвидеть каталитическое действие и выбрать наилучший химический состав катализатора, а с другой,— теорией радиационно-химических процессов и электролиза, позволяющим определить влияние всех физических факторов на скорость химических превращений, дать методы масштабного переноса результатов лабораторных исследований и определения оптимальных условий.
Все остальные способы воздействия на химическую систему (механические, акустические и т.п.) вне зависимости от степени их действенности носят частный характер и уже хотя бы поэтому не могут быть возведены в ранг методов управления химическим процессом.
Забиваем Сайты В ТОП КУВАЛДОЙ - Уникальные возможности от SeoHammer
Каждая ссылка анализируется по трем пакетам оценки: SEO, Трафик и SMM.
SeoHammer делает продвижение сайта прозрачным и простым занятием.
Ссылки, вечные ссылки, статьи, упоминания, пресс-релизы - используйте по максимуму потенциал SeoHammer для продвижения вашего сайта.
Что умеет делать SeoHammer
— Продвижение в один клик, интеллектуальный подбор запросов, покупка самых лучших ссылок с высокой степенью качества у лучших бирж ссылок.
— Регулярная проверка качества ссылок по более чем 100 показателям и ежедневный пересчет показателей качества проекта.
— Все известные форматы ссылок: арендные ссылки, вечные ссылки, публикации (упоминания, мнения, отзывы, статьи, пресс-релизы).
— SeoHammer покажет, где рост или падение, а также запросы, на которые нужно обратить внимание.
SeoHammer еще предоставляет технологию Буст, она ускоряет продвижение в десятки раз,
а первые результаты появляются уже в течение первых 7 дней.
Зарегистрироваться и Начать продвижение
Влияние температуры на скорость химических реакций
Температура является очень важным фактором, определяющим скорость реакции, и, соответственно, являющейся методом управления процессом этой реакции.
Опытным путем было установлено, что при повышении температуры на каждые 10 0
С скорость большинства химических реакций возрастает в 2 – 4 раза (температурный коэффициент скорости реакции). При понижении температуры скорость реакций во столько же раз уменьшается. Значительное увеличение скорости реакций при повышении температуры нельзя объяснить одним только увеличением числа столкновений между молекулами. Согласно кинетической теории, скорость движения молекул растет пропорционально корню квадратному из абсолютной температуры, тогда как скорость реакции увеличивается гораздо быстрее.
Следует считать, что повышение температуры не только вызывает более частые столкновения, но и увеличивает число эффективных столкновений, в результате которых происходит химическое взаимодействие, т.е. увеличивает относительное количество активных молекул. Это может быть объяснено тем, что по мере повышения температуры молекулы становятся менее стойкими и, следовательно, более склонными к химической реакции.[2]
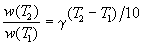
Для количественного описания температурных эффектов в химической кинетике используют два соотношения - правило Вант-Гоффа и уравнение Аррениуса.
Правило Вант-Гоффа математически выглядит следующим образом: где Т – температурный коэффициент скорости (=2-4).
Правило Вант-Гоффа является очень грубым и применяется только в очень ограниченном интервале температур.
Гораздо более точным является уравнение Аррениуса, описывающее температурную зависимость константы скорости:
,
где R - универсальная газовая постоянная; A - предэкспоненциальный множитель
, который не зависит от температуры, а определяется только видом реакции; EA - энергия активации, которую можно охарактеризовать как некоторую пороговую энергию: грубо говоря, если энергия сталкивающихся частиц меньше EA, то при столкновении реакция не произойдет, если энергия превышает EA, реакция произойдет. Энергия активации не зависит от температуры. Графически зависимость k(T) выглядит следующим образом (рисунок 1)[3]:
Рис.1
График зависимости константы скорости от температуры.
При низких температурах химические реакции почти не протекают: k(T) 0. При очень высоких температурах константа скорости стремится к предельному значению: k(T) A. Это соответствует тому, что все молекулы являются химически активными и каждое столкновение приводит к реакции. [3]
Возможность управлять химической реакцией при помощи изменения температуры, на первый взгляд, имеет ряд неоспоримых преимуществ - высокая эффективность при низких материальных и энергетических затратах, доступность и хорошо развитую научную базу. Однако способ термического воздействия на химическую систему имеет ограничения, обусловленные температурным интервалом устойчивости различных веществ и фазовым состоянием участников химического процесса.
Сервис онлайн-записи на собственном Telegram-боте
Попробуйте сервис онлайн-записи VisitTime на основе вашего собственного Telegram-бота:
— Разгрузит мастера, специалиста или компанию;
— Позволит гибко управлять расписанием и загрузкой;
— Разошлет оповещения о новых услугах или акциях;
— Позволит принять оплату на карту/кошелек/счет;
— Позволит записываться на групповые и персональные посещения;
— Поможет получить от клиента отзывы о визите к вам;
— Включает в себя сервис чаевых.
Для новых пользователей первый месяц бесплатно.
Зарегистрироваться в сервисе
Электролиз
Электролиз – это совокупность процессов, протекающих в растворе или расплаве электролита, при пропускании через него электрического тока. Электролиз является одним из важнейших направлений в электрохимии.
Электролиз протекает только в тех средах, которые проводят электрический ток. Способностью проводить ток обладают также водные растворы оснований и солей. Безводные кислоты – очень плохие проводники, но водные растворы кислот хорошо проводят ток. Растворы кислот, оснований и солей в других жидкостях в большинстве случаев тока не проводят, точно так же не проводят тока водные растворы сахара, спирта, глицерина и другие растворы с нормальным осмотическим давлением.
Электрический ток, проходя через растворы, вызывает в них химические изменения, выражающиеся в том, что из растворов выделяются продукты разложения растворенного вещества или растворителя. Вещества, растворы которые проводят электрический ток, получили названия электролитов. Электролитами являются кислоты, основания и соли.
Химический процесс, происходящий при пропускании тока через раствор электролита, называется электролизом. Исследуя продукта, выделяющиеся у электрода, при электролизе кислот, оснований и солей, установили, что у катодов всегда выделяются металлы и водород, а у анода кислотные остатки или гидроксильные группы, которые затем подвергаются дальнейшим изменениям. Таким образом, первичными продуктами электролиза оказываются те же части кислот, оснований и солей, которые при реакциях обмена, не изменяются, переходят из одного вещества в другое.
Примером электролиза может служить электролиз расплава хлорида магния. При прохождении тока через расплав MgCl2
катионы магния по действием электрического поля движутся к отрицательному электроду. Здесь, взаимодействуя с приходящими по внешней цепи электронами, они восстанавливаются.
Mg2
+ +2e-=Mg
Анионы хлора перемещаются к положительному электроду, и, отдавая избыточные электроны, окисляются. При этом первичным процессом является собственно электрохимическая стадия—окисление ионов хлора:
2Cl-=2Cl+2e-
а вторичным—связывание образующихся атомов хлора в молекулы:
2Cl=Cl2
Складывая уравнения процессов, протекающих у электродов, получим суммарное уравнение окислительно-восстановительной реакции, происходящей при электролизе расплава MgCl2:
Mg2+ + 2Cl-l=Mg + Cl2
Эта реакция не может протекать самопроизвольно; энергия, необходимая для её осуществления, поступает от внешнего источника тока.
Как и в случае химического источника электрической энергии, электрод, на котором происходит восстановление, называется катодом; электрод, на котором происходит окисление, называется анодом. Но при электролизе катод заряжен отрицательно, а анод—положительно, т.е. распределение знаков заряда электродов противоположно тому, которое имеется при работе гальванического элемента. При электролизе химическая реакция осуществляется за счёт энергии электрического тока, подводимой извне, в то время как при работе гальванического элемента энергия самопроизвольно протекающей в нем химической реакции превращается в электрическую энергию.
При рассмотрении электролиза растворов нельзя упускать из виду, что, кроме ионов электролита, во всяком водном растворе имеются ещё ионы, являющиеся ещё продуктами диссоциации воды - Н+
и ОН-
. В электролитическом поле ионы водорода перемещаются к катоду, а гидроксила - к аноду. Таким образом, у катода могут разряжаться как катионы электролита, так и катионы водорода. Аналогично у анода может происходить разряд как анионов электролита, так и ионов гидроксила. Кроме того, молекулы воды также могут подвергаться электрохимическому окислению или восстановлению.
Какие именно электрохимические процессы будут протекать у электродов при электролизе, прежде всего будет зависеть от соотношения электродных потенциалов соответствующих электрохимических систем. Это означает, что на катоде будут восстанавливаться окисленные формы электрохимических систем. Из нескольких возможных процессов будет протекать тот, осуществление которого сопряжено с минимальной затратой энергии. Это означает, что на катоде будут восстанавливаться окисленные формы электрохимических систем, имеющих наибольший электродный потенциал, а на аноде будут окисляться восстановленные формы систем с наименьшим электродным потенциалом. На протекание некоторых электрохимических процессов оказывает тормозящее действие материал электрода.
Рассматривая катодные процессы, протекающие при электролизе водных растворов, нужно учитывать величину потенциала процесса восстановления ионов водорода. Этот потенциал зависит от концентрации ионов водорода и в случае нейтральных растворов (рН=7) имеет значение: φ=-0,059*7=-0,41 В.
Отсюда ясно, что если электролит образован металлом, электродный потенциал которого значительно положительнее, чем –0,41 В, то из нейтрального раствора у катода будет выделяться металл. Такие металлы находятся в ряду напряжений вблизи водорода (начиная приблизительно от олова) и после него. Наоборот, в случае электролитов, металл которых имеет потенциал значительно более отрицательный, чем –0,41 В, металл восстанавливаться не будет, а произойдёт выделение водорода. К таким металлам относятся металлы начала ряда напряжений—приблизительно до титана. Наконец, если потенциал металла близок к величине –0,41 В (металлы средней части ряда—Zn,Cr,Fe,Ni), то в зависимости от концентрации раствора и условий электролиза возможно как восстановление металла, так и выделение водорода; нередко наблюдается совместное выделение металла и водорода.
Электрохимическое выделение водорода из кислых растворов происходит вследствие разряда ионов водорода. В случае же нейтральных или щелочных сред оно является результатом электрохимического восстановления воды:
2Н2
О + 2е- =Н2
+ 2ОН-
.
Таким образом, характер катодного процесса при электролизе водных растворов определяется прежде всего положением соответствующего металла в ряду напряжений. В ряде случаев большое значение имеют рН раствора, концентрация ионов металла и другие условия электролиза.
При рассмотрении анодных процессов следует иметь в виду, что материал анода в ходе электролиза может окисляться. В связи с этим различают электролиз с инертным анодом и электролиз с активным анодом. Инертным называется анод, материал которого не претерпевает окисления в ходе электролиза. Активным называется анод, материал которого может окисляться в ходе электролиза. В качестве материалов для инертных анодов чаще применяют графит уголь, платину.
На инертном аноде при электролизе водных растворов щелочей, кислородсодержащих кислот и их солей, а также фтористоводородной кислоты и фторидов происходит электрохимическое окисление воды с выделением кислорода. В зависимости от рН раствора этот процесс протекает по-разному и может быть записан различными уравнениями. В щелочной среде уравнение имеет вид:
4ОН- =О2
+ 2Н2
О + 4е-,
а в кислой или нейтральной: 2Н2О =О2 + 4Н+ + 4е-
В рассматриваемых случаях электрохимическое окисление воды является энергетически наиболее выгодным процессом. Кислородсодержащие анионы или не способны окисляться, или их окисление происходит при очень высоких потенциалах. Например, стандартный потенциал окисления иона SO4
2-2SO2
2- =S2
O82- + 2e-
равен 2,010 В, что значительно превышает стандартный потенциал окисления воды (1,228 В). Стандартный потенциал окисления иона F- имеет ещё большее значение (2,87 В).
При электролизе водных растворов бескислородных кислот и их солей (кроме HF и фторидов) у анода разряжаются анионы. В частности, при электролизе растворов HI,HBr,HCl и их солей у анода выделяется соответствующий галоген. Отметим, что выделение хлора при электролизе HCl и её солей противоречит взаимному положению систем
2Cl- =2Cl + 2e- (φ=1,359 В),
и 2Н2
О =О2
+ 4Н+ + 4е- (φ =1,228 В)
в ряду стандартных электродных потенциалов. Эта аномалия связана со значительным перенапряжением второго из этих двух электродных процессов—материал анода оказывает тормозящее действие на процесс выделения кислорода.
В случае активного анода число конкурирующих окислительных процессов возрастает до трёх: электрохимическое окисление воды с выделением кислорода, разряд аниона (т.е. его окисление) и электрохимическое окисление металла анода (так называемое анодное растворение металла). Из этих возможных процессов будет идти тот, который энергетически наиболее выгоден. Если металл анода расположен в ряду стандартных потенциалов раньше обеих других электрохимических систем, то будет наблюдаться анодное растворение металла. В противном случае будет идти выделение кислорода или разряд аниона.
Рассмотрим типичный случай электролиза водных растворов.
Электролиз раствора CuCl2 с инертным анодом. Медь в ряду напряжений расположена после водорода; поэтому у катода будет происходить разряд ионов Cu2+ и выделение металлической меди. У анода будут разряжаться хлорид-ионы.
Схема электролиза раствора хлорида меди (II):
CuCl2
Катод ← Cu2+ 2Cl- → Анод
Cu2+ + 2e- =Cu 2Cl- =2Cl + 2e-
2Cl=Cl2
Факторы, от которых зависит электролиз
Эффективность электролиза оценивают рядом факторов, к которым относятся: сила тока, напряжение, плотность тока, КПД источника тока, выход по току, выход по веществу, коэффициент полезного действия электроэнергии (выход по энергии), расход электроэнергии на единицу полученного продукта.
Сила тока или нагрузка на электролизёр характеризуют его производительность. Чем выше сила тока, пропускаемого через электролизёр, тем больше продукта можно получить при эксплуатации данного электролизёра. Наблюдается тенденция к созданию мощных электролизёров, рассчитанных в некоторых случаях на десятки и сотни тысяч Ампер (производство хлора, алюминия и т.д.) напряжение на электролизёре складывается из нескольких составляющих:
U=ea-ek + ∆ea + ∆ek + eэл.-eдиафр.+ eконт.
где: U—общее напряжение на ячейке; ea и ek – равновесные потенциалы анодной и катодной реакции; eэл. и eдиафр – падение напряжения в электролите и в диафрагме; eконт.—падение напряжения в контактах. Сумма ea-ek называется напряжением разложения. Эта величина соответствует расходу на электролиз электроэнергии, которая идёт непосредственно на изменение внутренней энергии веществ.
При электролизе стремятся к уменьшению напряжения на ячейке за счёт величины поляризации и омического состояния баланса напряжения, то есть слагаемых, обусловленных необратимостью процесса. Напряжение разложения обусловлено природой реагирующего вещества, а поэтому не может быть изменено. Значения ∆ek и ∆ea могут быть изменены в зависимости от характера электрохимической реакции, протекающей на электроде, путём перемешивания, повышения температуры электролита, изменения состояния поверхности электрода и за счёт ряда других факторов.
Падение напряжения в электролите, выражаемое уравнением
R=ρl/s,
где ρ—удельное сопротивление электролита, Ом·см, l - расстояние между электродами, см (без учета диафрагмы), S—площадь поперечного сечения электролита, через которую проходит электрический ток см2, может быть уменьшено, как следует из приведённого выражения, сближением электродов, введением в раствор более электроотрицательных добавок, а также повышением температуры.
Если электролиз сопровождается образованием газов, то приведённое выше выражение не всегда точно соответствует падению напряжения в электролите. Это объясняется тем, что выделяющиеся на электродах пузырьки газов уменьшают активное сечение электролита S и удлиняют путь тока от одного электрода к другому. Это явление называется газонаполнением, которое может быть определено как отношение объёма занимаемого в данный момент пузырьком воздуха к общему объёму электролитической ячейки. Влияние газонаполнения на электропроводность электролита может быть учтено с помощью следующего выражения:
ρ/ρ0=1-1.78φ+φ2,
где ρ и ρ0 – соответственно удельные сопротивления сплошного и газонаполненного электролита, φ – газонаполнение.
Величина φ может быть уменьшена повышением температуры, а также особым устройством электродов, обеспечивающих свободное удалением газов из ячейки.
Коэффициентом полезного использования напряжения называется отношение напряжения разложения к общему напряжению на ванне:
ηнапр=(ea-ek)/U
Плотностью тока называется отношение силы, проходящего через электролит тока к величине поверхности электрода; измеряют в А/см2 (дм2 или м2). В промышленности работают с различными плотностями тока – от нескольких сотен А/см2 (гальваностегия, гидроэлектрометаллургия, производство Хлора) до нескольких тысяч А/см2 (электролиз расплавов, электросинтез и т.д.)
Величина плотности тока характеризует количество продукта, получаемого с единицы электродной поверхности, т.е. продуктивность электролизёра. Поэтому, если повышение плотности тока не вызывает падения выхода продукта электролиз, стремятся к проведению процесса с максимально возможными плотностями тока. Однако при выборе оптимальных значений плотностей тока в некоторых случаях необходимо принимать во внимание увеличение себестоимости продукта за счёт повышения расхода электроэнергии на электролиз в следствии увеличения напряжения с ростом плотности тока. При электролизе ток, который пропускают через электролит, может расходоваться на несколько параллельных электрохимических реакций. Например, при электролизе водных растворов реакциям электрохимического окисления или восстановления, сопутствует реакция разложения воды на О2 и Н2, выделяющиеся соответственно на аноде и катоде. При электролизе, криолит-глиноземных расплавов ток в определённых условиях может расходоваться не только на выделение алюминия, но и на образование на катоде металлического натрия.
Следовательно, пропускаемый через электролит ток распределяется между несколькими процессами, протекающими на данном электроде одновременно:
I=i1+i2+i3+…+i n где: I – ток, протекаемый через электролизёр; i1 и i2 – ток, расходуемый в единицу на первую и второю электролитическую реакцию.
Для того чтобы учитывать эффективность использования пропущенного через электролизёр количества электричества на образования того или иного продукта вводится понятие выхода по току.
Выход по току – отношение количества теоретически необходимого для получения
того или иного количества электричества к практически затраченному количеству электричества. С целью уменьшения затрат электроэнергии на побочные электрохимические реакции и повышения по току стремятся проводить электролиз в таких условиях, при которых затруднено разложение растворителя, т.е. велика поляризация при окислении или восстановлении растворителя (например перенапряжение кислорода или водорода). Это достигается повышением плотности тока, изменением температуры электролита, подбором материала электролита и т. д.
Выход по веществу – это отношение количества полученного в результате электрохимических реакций продукта к тому количеству, которое должно образоваться теоретически, исходя из данной загрузки исходного продукта. КПД использования электроэнергии (выход по энергии) – это отношение теоретически необходимого для получения единицы количества вещества электроэнергии к практически израсходованному. Теоретически необходимое количество электроэнергии – то количество ее, которое было бы необходимым для получения единицы количества вещества, если бы процесс происходил со 100% выходом по току и при напряжении, равном напряжению разложения. Следовательно, выход по энергии может быть определен по формуле:
ηэ=Wп/N=ηтока * ηнапр
Выход по току ηтока и по веществу, а также коэффициент полезного действия использования электроэнергии ηнапр обычно измеряют в процентах. Расход электроэнергии обычно относят к единице произведенного количества продукта измеряют в вт ч/кг или квт ч/т. Для расчета расхода электроэнергии постоянного тока на 1т произведенного электролизом продукта можно воспользоваться следующей формулой:
W=1*106*U/k ηтока *1000
где: W – расход электроэнергии постоянного тока кВтч/т; U – напряжение на электролизере, В; k элктрохимический эквивалент, грамм/а*r; ηтока – выход по току, доли единицы; 1000 – коэффициент для перевода вт*ч в квт*ч.
Расход электроэнергии переменного тока на единицу произведенного продукта может быть определен делением расхода электроэнергии постоянного тока на то же количество коэффициента при образовании переменного тока в постоянный.
Между временем пропускания через раствор или расплав электролита электрического тока (количеством электричества) и количеством образующегося и расходуемого вещества имеются строгие количественные соотношения.
Применение электролиза
Электролиз широко применяется в различных отраслях промышленности. В химической промышленности электролизом получают такие важные продукты как хлор и щелочи, хлораты и перхлораты, надсерную кислоту и персульфаты, перманганат калия, органические соединения, химически чистые водород, кислород, фтор и ряд других ценных продуктов.
В цветной металлургии электролиз используется для рафинирования металлов, для извлечения металлов из руд. Металлы, которые не могут быть выделены из водных растворов вследствие высокого отрицательного потенциала получают в цветной металлургии электролизом расплавленных сред, в качестве которых служат соли этих металлов, содержащие добавки различных соединений, вводимые с целью понижения температуры плавления расплава, повышения электропроводности и т.д. К числу металлов, получаемых электролизом расплавленных сред относятся алюминий, магний, цирконий, титан, уран, бериллий и ряд других металлов.
Электролиз применяют во многих отраслях машиностроения, радиотехники, электронной, полиграфической промышленности для нанесения тонких покрытий металлов на поверхность изделий для защиты их от коррозии, придания декоративного вида, повышения износостойкости, жаростойкости, получения металлических копий.
Несмотря на большое разнообразие электролитов, электродов, электролизеров, имеются общие проблемы технического электролиза. К ним следует отнести перенос зарядов, тепла, массы, распределение электрических полей. Для ускорения процесса переноса целесообразно увеличивать скорости всех потоков и применять принудительную конвекцию. Электродные процессы могут контролироваться путем измерения предельных токов. [2]
Электролиз, как очевидно, может служить методом управления лишь в электролитных (токопроводящих) системах, относительное число которых не столь уж велико.
Радиационно-химические процессы
Технологические процессы, в которых для изменения химических или физических свойств системы используются ионизирующие излучения. Наблюдаемые при проведении радиационно-химических процессов эффекты являются следствием образования и последующих реакций промежуточных частиц (ионов, возбуждённых молекул и радикалов), возникающих при облучении исходной системы. В цепных радиационно-химических процессах (величина G от 103
до 106
) излучение играет роль инициатора. В ряде случаев такое инициирование даёт значительные технологические и экономические преимущества, в том числе лучшую направленность процесса и возможность осуществления его при более низких температурах, а также возможность получения особо чистых продуктов. В нецепных радиационно-химических процессах энергия излучения расходуется непосредственно для осуществления самого акта превращения. Такие процессы связаны с большими затратами энергии излучения и имеют ограниченное применение.
К числу интенсивно изучаемых и практически реализуемых цепных радиационно-химических процессов относятся различные процессы полимеризации, теломеризации, а также синтеза ряда низкомолекулярных соединений. Важное практическое значение приобрели радиационные методы отверждения связующих (полиэфирных и др.) в производстве стеклопластиков и получении лакокрасочных покрытий на металлических, деревянных и пластмассовых изделиях. Значительный интерес представляют радиационно-химические процессы прививочной полимеризации. В этих процессах исходные полимерные или неорганические материалы различного назначения облучаются в присутствии соответствующих мономеров. В результате поверхности этих материалов приобретают новые свойства, в некоторых случаях уникальные радиационно-химические процессы этого типа практически применяются и для модифицирования нитей, тканей, плёнок и минеральных материалов. Большой интерес представляют также радиационно-химические процессы модифицирования пористых материалов (древесины, бетона, туфа и т.д.) путём пропитки их мономерами (метилметакрилатом, стиролом и др.) и последующей полимеризации этих мономеров с помощью g-излучения. Такая обработка значительно улучшает эксплуатационные свойства исходных пористых тел и позволяет получить широкий ассортимент новых строительных и конструкционных материалов. Цепные радиационно-химические процессы осуществляются также с целью синтеза низкомолекулярных продуктов. Установлена высокая эффективность радиационно-химические процессы окисления, галогенирования, сульфохлорирования, сульфоокисления.
Из процессов, в которых излучение инициирует нецепные реакции, широкое распространение получили радиационно-химические процессы «сшивания» отдельных макромолекул при облучении высокомолекулярного соединения. В результате «сшивания» (например, полиэтилена) происходит повышение его термостойкости и прочности, а для каучуков радиационное «сшивание» обеспечивает их вулканизацию. На этой основе разработаны радиационно-химические процессы производства упрочнённых и термостойких полимерных плёнок, кабельной изоляции, труб, вулканизации резинотехнических изделий и др. Особенно интересным является «эффект памяти» облученного полиэтилена. Если облученное изделие из полиэтилена деформировать при температурах выше t
пл
аморфной фазы полимера, то при последующем охлаждении оно сохранит приданную форму. Однако повторное нагревание возвращает первоначальную форму. Этот эффект даёт возможность получать термоусаживаемые упаковочные плёнки и электроизоляционные трубки.
Разработка промышленных радиационно-химических процессов привела к возникновению радиационно-химической технологии, главная задача которой - создание методов и устройств для экономичного осуществления радиационно-химических процессов в промышленном масштабе.
Для проведения радиационно-химических процессов используются изотопные источники g-излучения, ускорители электронов с энергиями от 0,3 до 10 Мэв и ядерные реакторы. В современных изотопных источниках чаще всего используется 60Co. Перспективными источниками g-излучения считаются и радиационные контуры при ядерных реакторах, состоящие из генератора активности, облучателя радиационной установки, а также соединяющих их коммуникаций и устройств для перемещения по контуру рабочего вещества. В результате захвата нейтронов в генераторе, расположенном в активной зоне ядерного реактора или вблизи от неё, рабочее вещество активизируется, а g-излучение образовавшихся изотопов используется затем в облучателе для проведения радиационно-химических процессов. Для облучения сравнительно тонких слоев материала наиболее эффективным оказывается применение ускоренных электронов, обеспечивающее ряд преимуществ: высокие мощности доз, лучшие для обслуживающего персонала условия радиационной безопасности, отсутствие в выключенном состоянии расхода энергии и т.д. [6]
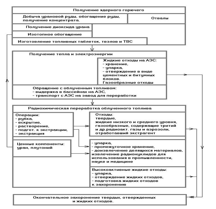
Схема ядерного топливного цикла представлена на рисунке 2. За основу принят распространенный в настоящее время цикл, связанный с переработкой облученного топлива АЭС водными методами по эстракцинной технологии. [4]

Рисунок 1 - Схема ядерного топливного цикла
В настоящее время наиболее распространенными типами реакторов являются аппараты, в которых в качестве теплоносителя и замедлителя применяется вода. В нашей стране в ядерной энергетике используются два типа реакторов: водо-водяные энергетические реакторы (двухконтурные) ВВЭР-440 и ВВЭР-1000 и канальные реакторы (одноконтурные) типа РБМК-1000 и РБМК-1500.
В реакторах ВВЭР вода играет роль одновременно теплоносителя и замедлителя : в первом контуре вода циркулирует без кипения под давлением 10 –15, 7 Мпа при температуре на выходе из активной зоны 546-595 К.
В реакторах РБМК замедлителем является графит, а вода – только теплоноситель. В активной зоне происходит парообразование: температура насыщенного пара на выходе составляет 553 К, давление – 6, 5 Мпа.
Однако не следует забывать, что при всех достоинствах, основными проблемами при использовании радиационно-химических методов управления химическими процессами является высокая экологическая опасность эксплуатации данных технологий на всех этапах технологического процесса – от добычи радиоактивного горючего и до уничтожения или захоронения радиоактивных отходов. [4]
Растворитель как средство управления химическим процессом
Раствором называется твердая или жидкая гомогенная система, состоящая из двух или белее компонентов (составных частей), относительные количества которых могут изменяться в довольно широких пределах. Всякий раствор состоит из растворенного вещества и растворителя, т.е. среды, в которой это вещество равномерно распределено в виде молекул или еще более мелких частиц – ионов. [2]
Все разнообразие процессов в растворах можно свести к нескольким типам:
1. Равновесные процессы
1)
Гомомолекулярная ассоциация.
В большинстве случаев растворенное вещество в растворителе существует в нескольких молекулярных формах, между которыми устанавливается равновесие процессов молекулярной ассоциации (диссоциации):
Ах
↔ … х
А
Причины образования молекулярных ассоциатов в растворе достаточно разнообразны, но две из них относятся к числу главнейших: диполь-дипольное взаимодействие и химическое взаимодействие между мономерными молекулами. Этот процесс в неводных растворах электролитов заметно сдвинут влево.
Димерные молекулы галогенидов могут образовывать в качестве конечных продуктов заряженные частицы:
А2
↔ А2
+ А-
Этот процесс называется автоинозацией и относиться к числу наиболее общих особенностей жидкого состояния.
1. Конформерные и таутомерные равновесия, реакция изомеризации.
Соотношение концентраций различных таутомерных форм растворенного вещества, способного к таутомерному равновесию, сильно зависит от физико-химических свойств растворителя. Тут играет роль и диэлектрическая проницаемость растворителя, но прежде всего растворитель оказывает влияние на таутомерное равновесие, образуя более или менее прочные сольваты с различными таутомерными формами:
А(1)
Н + S↔I
А(1)
HS ↔II
А(2) –
HS+
↔III
А(2)
HS↔IV
А(2)
H + S
↕IIIa
А(1) –
+ HS+
Данная схема включает такие последовательно устанавливающиеся равновесия: I – взаимодействие таутомерной формы А(1)
Н с растворителем, приводящее к образованию продукта соединения А(1)
HS; II – ионизация сольвата с образованием ионной пары II
А(2) –
HS+
, которая может распадаться на ионы (стадия IIIa); III – переход ионизированного комплекса в продукт присоединения растворителя ко второй таутомерной форме А(2)
H; IV – образование свободной второй таутомерной формы.
Весьма распространенный в органической химии процесс перегруппировок часто протекает при участии растворителя:
АCR + S↔ АCR·S ↔ АCR+S
Поэтому равновесие процессов изомеризации обнаруживает сильную зависимость от физико-химических свойств растворителя.
2. Гетеромолекулярная ассоциация.
Образование продуктов присоединения двух веществ А и В в растворителе S:
m
A + n
B↔ (
s
)
Аm
Bn
Из данной реакции можно выделить подтип – реакции соединения, характеризующиеся тем, что образование продуктов присоединения ведет к глубокой перестройке связей, причем процесс становится практически необратимым:
m
A + n
B↔ р
С
3.
Обменное взаимодействие.
К этому типу взаимодействий относятся процессы, протекающие по схеме:
m
A + n
B↔ р
С + q
D
Сюда следует отнести реакции этерификации, ацелирования, ацетильного обмена и т.д.
4. Ионизация гетеромолекулярного ассоциата.
В продуктах присоединения возможно перераспределение связей, приводящее к образованию электронейтрального ионного ассоциата:
Am
+ Bn
↔ Kq
+
p
Lp
-
q
Процесс ионизации является необходимой стадией превращений, которым подвергается в растворе ионоген – соединение, в отличие от ионофоров, не содержащее в исходном состоянии ионов.
5. Электролитическая диссоциация.
Ионные ассоциаты могут в растворах подвергаться распаду на свободные ионы:
Kq+
p
Lp-
q
S1
↔ pKq+
Sa
+ p
Lp-
S q
II
.
Общая схема равновесия в растворах.
Большинство процессов в растворах не являются независимыми, так как ряд химических форм растворенного вещества в растворителе образуется постольку, поскольку прошел процесс образования предшествующей формы. Последовательно протекающие стадии общей схемы равновесия в растворах (по Н.А.Измайлову) выглядят следующим образом:
m
A + n
B↔ Кпр
Аm
Bn
↔ Кмом
[р
Kq
+
· q
Lp
-
]↔ Кд
Ka
р
Kq
+
+ q
Lp
-
Из данной схемы вытекает, что процесс электролитической диссоциации, ведущей к образованию свободных ионов в растворе возможен лишь в том случае, если реализуются все предшествующие процессу электролитической диссоциации стадии образования продукта присоединения и ионизации.
III. Сольватация растворов
Сольватация – процесс взаимодействия растворенного вещества с растворителем. Для решения проблем, связанных с влиянием растворителя на протекание процессов в растворах, важен учет изменений, которые претерпевают растворенные соединения при внесении в растворитель либо с переменой растворителя. При этом различают универсальную и специфическую разновидность сольватации.
Универсальная сольватация – это изменение энергии растворенных веществ, произошедшее вследствие электростатических взаимодействий растворенного вещества с растворителем, либо изменений энергии этого типа взаимодействий в результате реакции между растворенными соединениями.
Специфическая сольватация – изменения, произошедшие вследствие химического взаимодействия растворенного соединения с молекулами растворителя.
Различают следующие разновидности электростатических взаимодействий:
Диполь дипольные
, энергия которых в приближении жесткости диполей и, следовательно, неизменности расстояния между дипольными молекулами ровна:
ΔGэл
d
-
d
= - 2μ
1
μ
2
/
r
3
d
-
d
Є = Є
d
–
d
/Є
,
где μ1,
μ2
– дипольные моменты двух взаимодействующих молекул, находящихся на расстоянии r d
-
d
;
Є – статическая диэлектрическая проницаемость среды.
Ион-дипольные
, энергия которых в том же приближении, что и в предыдущем случае, равна:
ΔGэл
d-d
= -
ze
μ
/
r2
i-d
Є = a
i – d
/Є
,
Ион
-
ионные
,
ΔGэл
i-i
= -
z
1
z
2
e
2
/
r
i-i
Є = a
i – i
/Є
,
где
z
– заряд иона.
Процесс сольватации ионов можно представить схемой:
Мr
Z(±)
+ m
Sж
↔Мр-р
Z(±)
↔Mсольв
Z(±)
+ k
Sp
-
p
,
где Sж
– молекулы исходного растворителя, находившиеся в непосредственном контакте с ионом; Sp
-
p
– молекулы растворителя, претерпевшие энергетические и взаимно-структурные изменения в результате процесса сольватации.
Общая энергия сольватации представляет собой сумму энергий специфической и универсальной сольватации:
ΔGсольв
= ΔGспец. сольв
+ ΔG унив. сольв
IV. Основные типы процессов переноса в растворах.
Для химических систем в стационарном состоянии особое значение для осуществления и регулирования процессов в растворах имеют процессы переноса. Первый из них – вязкое течение,
обусловленное гравитационным полем. Вязкость раствора определяет многие его механические свойства, а также оказывает существенное влияние на электрическую проводимость раствора, коэффициент диффузии и т.п.
В жидких системах и растворах, содержащих ионы, наложение электрического поля приводит к возникновению направленной ионной миграции
. Электрическая проводимость раствора определяет многие эксплуатационные свойства систем, режимы электролиза, характеристики химических источников тока, коррозионные процессы и т.д.
Относительная диэлектрическая проницательность (ДП
) – описывает влияние полярности среды в физической химии растворов.
Из числа свойств системы, обусловленных наличием химического потенциала, имеющих
значение для осуществления и интерпретации процессов в растворах, наиболее важна
диффузия,
– т.е. процесс переноса. [7]
Растворитель как средство управления химическим процессом
Представим равновесный химический процесс, протекающий в растворе, в общем виде:
А ↔ В,
где А – химические формы, вступающие в реакцию; В – химические формы, образующиеся в результате реакции.
Составим термодинамический цикл, включающий стадии:
a) процесс в растворителе, сопровождающийся изменениями свободной энергии ΔG;
b) перенос А из растворителя в вакуум (десольвация), сопровождающийся изменениями свободной энергии – ΔGсольвА
;
c) протекание процесса в вакууме, сопровождающееся изменениями свободной энергии ΔGв
;
d) перенос продуктов реакции В из вакуума в растворитель, сопровождающийся сольватацией и изменениями свободной энергии ΔGсольвВ
;
Так как
Σ ΔGi
= 0,
то ΔG = ΔGсольвА
- ΔGсольвВ
–
Δ
G
в
.
Изменение свободной энергии в результате протекания любого химического процесса состоит из ковалентной и энергетической составляющих:
ΔG = ΔGков
+ ΔG эл
;
В самой общей форме влияние растворителя на равновесный химический процесс представлено следующим уравнением:
ΔG = - ΔGВ
+ (ΔGков.сальв А - ΔGков.сальв В) + (ΔGэл.сальв А - ΔGэл.сальв В),
где ΔGВ
- не зависит от растворителя; разность в первых скобках характеризует специфическую, а во вторых – универсальную сольватацию.
Таким образом, влияние растворителя на равновесный химический процесс определяется энергетикой сольватации участников процесса.
Переходя от свободной энергии к константам равновесия, влияние раствора на константу равновесия будет выглядеть следующим образом:
InK
= 1/RT (ΔGВ
+ δΔGков.сольв + βсольв В - βсольв А/ε) = 1/RT(ΔGВ
+ δ ΔGков.сольв + βсольв /ε),
где β – множители при обратной ДП в уравнениях электростатических взаимодействий.
Из уравнения видно, что константа равновесия (при постоянной температуре) с изменением растворителя изменяется, постольку, поскольку это ведет к изменению δΔGков.сольв и βсольв.
Вакуумная составляющая свободной энергии равновесного процесса будет представлена следующим уравнением:
ΔGВ
= RT
InK
унив
ε→∞.
Зависимость константы равновесия от температуры и ДП для универсальных и условно-универсальных сред, описывается таким уравнением:
LnK = a0
+ a1
/T + b0
/ε + b1
/εT
.
Итак, рассмотренные в самом общем виде закономерности влияния растворителя на константу равновесия показывает, что на положение химического равновесия оказывают влияние два основных фактора: энергия специфической сольватации (иначе – донорно-акцепторная связь в системе растворенное вещество – растворитель) и ДП раствора, определяемая, за исключением умеренно- и высококонцентрированных растворов, ДП растворителя. [7]
Роль и общее значение влияния растворителя обусловлены рядом обстоятельств. Первое из них — общеизвестный факт: подавляющее большинство процессов, известных современной химии — примерно 199 из каждых двухсот — протекает в жидкой фазе, в растворах, реже — в расплавах. Интенсивное развитие химии растворов за последние десятилетия позволило выдвинуть и обосновать многообразные теоретические и экспериментальные аспекты участия растворителя, которое заключается в том, что растворитель в химической системе является одновременно средой и химическим агентом. Эти обобщения позволяют предложить основанные на ряде положений современной химии растворов методы управления различными химическими и физико-химическими процессами в растворах.
Современный катализ
Одним из главнейших способов ускорения химических реакций является использование различных видов катализа.
Катализ - процесс, заключающийся в изменении скорости химических реакций в присутствии веществ, называемых катализаторами. По словам И. Берцелиуса (1837):
«Известные вещества оказывают при соприкосновении с другими веществами такое влияние на последние, что возникает химическое действие - одни вещества разрушаются, другие образуются вновь без того, чтобы тело, присутствие которого вызывает эти превращения, принимало в них какое-либо участие. Мы называем причину, вызывающую эти явления, каталитической силой».
Катализаторы - вещества, изменяющие скорость химической реакции, которые могут участвовать в реакции, входить в состав промежуточных продуктов, но не входят в состав конечных продуктов реакции и после окончания реакции остаются неизменными. Каталитические реакции - реакции, протекающие в присутствии катализаторов.
Положительным называют катализ, при котором скорость реакции возрастает, отрицательным (ингибированием) - при котором она убывает. Примером положительного катализа может служить процесс окисления аммиака на платине при получении азотной кислоты. Примером отрицательного - снижение скорости коррозии при введении в жидкость, в которой эксплуатируется металл, нитрита натрия, хромата и дихромата калия.
Катализаторы, замедляющие химическую реакцию, называются ингибиторами.
В зависимости от того, находится катализатор в той же фазе, что и реагирующие вещества, или образует самостоятельную фазу, говорят о гомогенном или гетерогенном катализе.
Примером гомогенного катализа является разложение ацетальдегида, которое катализируется йодом:
CH3
CHO →J
2
CH4
+ CO
Эта реакция протекает в две стадии:
1) СН3
СНО + J2
→CН3
J + HJ + CO
2) CH3
J + HJ → CH4
+ J2
При гомогенном катализе действие катализатора связано с тем, что он вступает во взаимодействие с реагирующими веществами с образованием промежуточных соединений, это приводит к снижению энергии активации.
При гетерогенном катализе
ускорение процесса обычно происходит на поверхности твердого тела - катализатора, поэтому активность катализатора зависит от величины и свойств его поверхности. На практике катализатор обычно наносят на твердый пористый носитель. Механизм гетерогенного катализа сложнее, чем у гомогенного.
Механизм гетерогенного катализа включает пять стадий, причем все они обратимы.
1. Диффузия реагирующих веществ к поверхности твердого вещества.
2. Физическая адсорбция на активных центрах поверхности твердого вещества реагирующих молекул и затем хемосорбция их.
3. Химическая реакция между реагирующими молекулами.
4. Десорбция продуктов с поверхности катализатора.
5. Диффузия продукта с поверхности катализатора в общий поток.
Примером гетерогенного катализа является окисление SO2
в SO3
на катализаторе NO при производстве серной кислоты (контактный метод). [1]
При электрокатализе
реакция протекает на поверхности электрода в контакте с раствором и под действием электрического тока. Электрокатализ позволяет управлять химическим процессов при изменении силы электрического тока.
При фотокатализе
химическая реакция стимулируется энергией поглощенного излучения и может происходить на поверхности твердого тела (в том числе на поверхности электрода) или в жидком растворе. [5]
Промоторы (или активаторы) - вещества, повышающие активность катализатора. При этом промоторы могут сами и не обладать каталитическими свойствами.
Каталитические яды - посторонние примеси в реакционной смеси, приводящие к частичной или полной потере активности катализатора. Так, следы мышьяка, фосфора вызывают быструю потерю катализатором NO активности (контактный метод производства H2
SO4
).
Многие важнейшие химические производства, такие, как получение серной кислоты, аммиака, азотной кислоты, синтетического каучука, ряда полимеров и др., проводятся в присутствии катализаторов.
Биохимические реакции в растительных и животных организмах ускоряются биохимическими катализаторами - ферментами.
«География» катализа необычайно широка и разнообразна - от многотоннажного производства органических веществ до управления жизненно важными биохимическими процессами в живой клетке (а, возможно, также и до «управляемого» ядерного синтеза) - и охватывает поле деятельности исследователей многих профилей и направлений.
Можно начать, например, с проблемы «фиксации» азота воздуха - чрезвычайно инертного вещества, которое даже с кислородом реагирует лишь при 3500-4000° С. Природные ресурсы связанного азота ограниченны, тогда как для производства продуктов сельского хозяйства необходимы огромные количества соединений азота. Ресурсы же свободного азота практически неограниченны. Химики переводят его в связанное (и более реакционноспособное) состояние с помощью реакции:
N2
+ 3Н2
↔К
2NH3
.
Чтобы скорость этой реакции была приемлема с практической точки зрения, нужны высокие температура и давление. Однако с ростом температуры равновесие реакции постепенно смещается в сторону образования исходных веществ. С другой стороны, чем ниже температура и чем полнее протекает реакция образования аммиака, тем более заметно снижается скорость процесса. Поиск компромисса между действующими в разные стороны факторами привел Габера (1907) к созданию промышленного способа превращения азотоводородной смеси в аммиак при 500° С и 300 атм. Сейчас это главный способ получения аммиака, который широко используется в производстве удобрений, азотной кислоты (каталитическое окисление аммиака над платиной), аммониевых солей, соды, синильной кислоты и т. д.
С помощью катализа осуществляют гидрогенизацию ненасыщенных химических соединений. Так, обрабатывая окись углерода водородом в присутствии цинк-хромовых катализаторов при 400° С и давлении около 300 атм, получают метанол, широко используемый в качестве растворителя исходного продукта для производства других ценных веществ:
СО + 2Н2
↔Zn
О
CH3
OH.
В частности, окисляя его на серебряном или медном катализаторе, можно получить формальдегид - не менее важное вещество, в больших количествах потребляемое для синтеза пластических масс:
2СН3
ОН + O2
↔Cu
2HCHO + 2H2
O.
В результате обработки растительных масел водородом в присутствии никелевых катализаторов образую твердые жиры (в частности, маргарин). Катализ применяется для ускорения процессов гидролиза многоатомных органических соединений, главным образом растительных углеводсодержащих соединений. Здесь катализаторами служат минеральные кислоты. При обработке кислотой растительного сырья (древесные от- ходы, подсолнечная лузга, солома и т. п.) происходит расщепление полисахаридных цепей (целлюлозы, пентозанов) с образованием пищевых и кормовых продуктов, глюкозы, ксилозы, фурфурола и целого ряда других кислородсодержащих производных. При совмещении процессов кислотного гидролиза и каталитической гидрогенизации (так называемого гидрогенолиза), проводимых в более жестких условиях ( 200° С, 50 атм), получают продукты глубокого расщепления молекулярных цепей глицерин, этиленгликоль, пропиленгликоль. Эти вещества используются в производстве взрывчатых веществ, глифталевых смол, а также пластификаторов и растворителей.
Нельзя обойти молчанием производство полимеров и синтетических волокон. Здесь гордостью отечественной науки является разработанный С. В. Лебедевым (1932) процесс получения синтетического каучука по схеме: этиловый спирт - бутадиен - полибутадиен. Каталитические реакции в этом процессе осуществляются на первой стадии - дегидрогенизации и одновременной дегидратации этилового спирта. Сейчас бутадиен и изопрен получают также путем дегидрогенизации углеводородов нормального строения на алюмохромовых катализаторах, в частности из бутана. Это позволило вовлечь в производство синтетического каучука природные ресурсы газа и газы, отходящие при переработке нефти.
Большим событием в производстве полимеров явилось открытие стереоспецифической полимеризации ненасыщенных соединений в присутствии смешанных катализаторов Циглера - Натта (1952). Примером этого типа катализаторов может служить смесь триэтилалюминия и четыреххлористого титана. Применение этих катализаторов дало возможность получать макромолекулы с определенной пространственной конфигурацией мономерных звеньев. Изделия из таких полимеров обладают прекрасными эксплуатационными свойствами. Заслуживает упоминания разработанная Мортоном (1947) исключительно активная каталитическая система, известная под кодовым названием «альфин» и представляющая собой смесь аллилнатрия, изопропилата натрия и хлорида натрия. В присутствии альфина бутадиен за несколько минут полимеризуется с образованием цепей, содержащих десятки и сотни тысяч мономерных звеньев.
Огромную роль призван сыграть катализ в решении актуальнейшей проблемы - охраны окружающей среды. Нам некуда сбрасывать отходы, кроме как в ту же среду, в которой мы живем. Человек уже начинает ощущать отрицательные стороны своей бурной и во многом бесконтрольной деятельности. Химики-каталитики настойчиво работают над этой проблемой и уже добились некоторых результатов. Разработаны специальные устройства для дожигания выхлопных газов автомобилей, работающие на основе каталитического окисления вредных компонентов газов. Подобраны катализаторы и условия для обезвреживания отходящих газов химических производств. Каталитические фильтры конструируются в виде патронов, заполненных металлической сеткой или керамическими материалами с нанесенными на них каталитическими агентами; работают эти фильтры при 250-350° С. [1]
За последние двадцать лет появилось большое число публикаций, посвященных использованию мембран в катализе. Традиционно мембраны классифицируют по их роли в процессе на распределяющие (distributirors), выделяющие (extractors) и контактные (contactors) . Именно селективные распределяющие и/или выделяющие мембраны чаще всего имеют в виду, когда употребляют этот термин. В многофазных процессах значительное улучшение производительности может быть достигнуто при использовании как раз неселективных проницаемых мембран (контакторов). Развитая пористая структура этих мембран обеспечивает увеличение удельной поверхности раздела фаз газ-жидкость и интенсификацию межфазного массопереноса внутри пористой структуры мембраны. При этом каталитически активный компонент вводят внутрь объёма пор либо в состав самой мембраны. Особое преимущество контактные мембраны дают в случаях, когда реагенты имеют различное агрегатное состояние, например, в процессе гидрирования нитрат-анионов в водных растворах (обеспечивается транспорт газообразного водорода к водному раствору) или при гидрировании олефинов (капиллярное впитывание обеспечивает транспорт жидкого олефина в реакционную зону). В последнем случае использование контактных мембран позволяет увеличить производительность в 2-3 раза по сравнению с реакторами с орошаемым слоем катализатора, а преимущество мембранного реактора по сравнению с суспендированным слоем катализатора составляет порядок величины.
Проницаемые каталитически активные при использовании их как контактные мембраны в
трехфазных каталитических процессах при получении моторных топлив и ценных химических продуктов из синтез-газа. [8]
Заключение
Скорость процесса - чрезвычайно важный фактор, определяющий производительность оборудования химических производств. Поэтому одна из основных задач, поставленных перед химией научно-технической революцией, это поиск путей увеличения скорости реакций. Другая важная задача современной химии, обусловленная резко возрастающими масштабами производства химических продуктов, - повышение избирательности химических превращений в полезные продукты, уменьшение количества выбросов и отходов.
Проведя всесторонний анализ вышеизложенного материала, можно сделать следующие выводы: нас окружает огромное число химических реакций и соединений, без изучения средств управления которыми невозможны ни дальнейшее развитие химии как науки, ни во многом зависящего от нее научно-технического прогресса. Все многообразие описанных средств полезного воздействия на химические процессы имеет свои достоинства и недостатки. На мой взгляд, одним из наиболее рациональных способов повышения эффективности управления химическими реакциями является катализ. В промышленности органического синтеза объем химической продукции, производимой с помощью катализаторов, приближается к 90%. Это дает возможность решать с помощью использования каталитических реакций ключевые проблемы повышения экономической эффективности химических производств, позволяет находить новые, более простые и безопасные, пути синтеза необходимых химических продуктов, без которых сейчас уже невозможна наша жизнь. Немаловажным фактором, говорящим в пользу каталитических реакций, является экономия затрат сырья при использовании катализаторов, так каталитическая реакция позволяет направить процесс получения конечных продуктов по наиболее короткому пути, минуя стадии образования продуктов распада. Не следует забывать и о том, что применение реакций катализа позволяет повысить безопасность производства химических веществ и существенно снизить риск загрязнения окружающей среды.
Это ни в коем случае не значит, что все остальные методы воздействия на химические процессы экономически невыгодны или бесполезны. В различных сферах химической промышленности в настоящие время невозможно обойтись без применения электролиза, радиационно-химических методов, термического метода и влияние растворителя.
Однако еще в 1964 году профессором МГУ А.П. Руденко была сформулирована теория саморазвития элементарных открытых каталитических систем, основная сущность которой состоит в том, что химическая эволюция представляет собой саморазвитие каталитических систем. Следствием этой теории является «нетрадиционная технология» - технология с меняющимися условиями реакции. Этот процесс способствует интенсификации реакции и, как следствие, открывает перспективы создания и развития «новой» химии, основанной на катализе живой природы.
Список литературы
1. Афанасьев В.А., Зайков Г.Е. В мире катализа. – М.:Наука, 1977.
2. Глинка Н.Л. Общая химия. – Л.:Химия, 1986.
3. Еремин В.В., Каргов С.И., Кузьменко Н.Е. Задачи по физической химии. В 2-х частях. - М.: МГУ, 1999.
4. Кабакчи С.А., Булгакова Г.П. Радиационная химия в ядерном топливном цикле. – М.: РХТУ им. Д.И. Менделееева, 1997.
5. Карпенков С.Х. Основные концепции естествознания. Изд.3-е. – М.:Академический Проект, 2004.
6. Краткая химическая энциклопедия. Т.4, - М.:Советская энциклопедия, 1965.
7. Фиалков Ю.Я. Растворитель как средство управления химическим процессом. – Л.: Химия, 1990.
8. Хасин А.А., Сипатров А.Г., Пармон В.Н. Контрактные каталитически активные мембраны для процесса синтеза Фишера-Тропша. Мембраны. Информационно-аналитический журнал. – М.: ВИНИТИ, 2005, №4.
|