|
Применение подобия к доказательству теорем и решению задач (Обобщение теоремы Фалеса. Теоремы Чевы и Менелая.)
Содержание:
1. Введение;
2. Обобщение теоремы Фалеса;
(a) Формулировка;
(b) Доказательство;
3. Теорема о пропорциональных отрезках;
4. Теорема Чевы;
(a) Формулировка;
(b) Доказательство;
5. Теорема Менелая;
(a) Формулировка;
(b) Доказательство;
6. Задачи и их решения;
7. Источники информации;
8. Вывод.
Введение.
Мой реферат посвящен применению подобия к доказательству теорем и решению задач, а именно глубоко изучить обобщение теоремы Фалеса, теоремы Чевы и Менелая, которые не изучаются в школьной программе. Теме подобия, которая проходится в восьмом классе, отведено всего лишь 19 часов, что недостаточно для изучения этой темы более углубленно. В тему подобия входят: определение подобных треугольников, признаки подобия, отношение площадей подобных треугольников, средняя линия треугольника, пропорциональные отрезки и т.д.
Напомню определение подобных треугольников
:
Два треугольника называются подобными, если их углы соответственно равны и стороны одного треугольника пропорциональны сходственным сторонам другого. Оказывается, что у подобных треугольников не только отношение сходственных сторон, но и отношение любых других сходственных отрезков равно коэффициенту подобия. Например, отношение сходственных биссектрис AD и A1
D1
, т.е. биссектрис равных углов A и A1
в подобных треугольниках ABC и A1
B1
C1
, равно коэффициенту подобия k, отношение сходственных медиан AM и A1
M1
равно k и точно так же отношение сходственных высот AH и A1
H1
равно k.
С помощью данного материала, который изучается в школьной программе, мы можем решать довольно узкий круг задач. При создании своего реферата я собираюсь углубить свои знания по данной теме, что позволит решать более широкий круг задач на пропорциональные отрезки. В этом и заключается актуальность моего реферата.
Одна из теорем – это обобщение теоремы Фалеса. Сама теорема Фалеса проходится в восьмом классе. Но главными теоремами являются теоремы Чевы и Менелая.
Обобщение теоремы Фалеса.
Формулировка:
Параллельные прямые, пересекающие две данные прямые, отсекают на этих прямых пропорциональные отрезки.
Забиваем Сайты В ТОП КУВАЛДОЙ - Уникальные возможности от SeoHammer
Каждая ссылка анализируется по трем пакетам оценки: SEO, Трафик и SMM.
SeoHammer делает продвижение сайта прозрачным и простым занятием.
Ссылки, вечные ссылки, статьи, упоминания, пресс-релизы - используйте по максимуму потенциал SeoHammer для продвижения вашего сайта.
Что умеет делать SeoHammer
— Продвижение в один клик, интеллектуальный подбор запросов, покупка самых лучших ссылок с высокой степенью качества у лучших бирж ссылок.
— Регулярная проверка качества ссылок по более чем 100 показателям и ежедневный пересчет показателей качества проекта.
— Все известные форматы ссылок: арендные ссылки, вечные ссылки, публикации (упоминания, мнения, отзывы, статьи, пресс-релизы).
— SeoHammer покажет, где рост или падение, а также запросы, на которые нужно обратить внимание.
SeoHammer еще предоставляет технологию Буст, она ускоряет продвижение в десятки раз,
а первые результаты появляются уже в течение первых 7 дней.
Зарегистрироваться и Начать продвижение
Доказать:
=…= .
Доказательство:
Докажем, например, что

Рассмотрим два случая:
1 случай
Прямые a и b параллельны. Тогда четырехугольники А1А2В2В1 и А2А3В3В2 – параллелограммы. Поэтому А1А2=В1В2 и А2А3=В2В3, откуда следует, что

2 случай
Прямые a и b не параллельны. Через точку А1 проведем прямую с, параллельную прямой b. Она пересечет прямые А2В2 и А3В3 в некоторых точках С2 и С3. Треугольники А1А2С2 и А1А3С3подобны по двум углам (угол А1 – общий, углы А1А2С2 и А1А3С3 равны как соответственные при параллельных прямых А2В2 и А3В3 секущей А2А3), поэтому

Отсюда по свойству пропорций получаем:


(1)
С другой стороны, по доказанному в первом случае имеем А1С2=В1В2, С2С3=В2В3. Заменяя в пропорции (1) А1С2 на В1В2 и С2С3 на В2В3, приходим к равенству
(2)
что и требовалось доказать.
Теорема о пропорциональных отрезках в треугольнике.
На сторонах АС и ВС треугольника АВС отмечены точки К и М так, что АК:КС=m:n, BM:MC=p:q. Отрезки АМ и ВК пересекаются в точке О.
Доказать:


Доказательство:
Через точку М проведем прямую, параллельную ВК. Она пересекает сторону АС в точке D, и согласно обобщению теоремы Фалеса

Пусть АК=mx. Тогда в соответствии с условием задачи КС=nx, а так как KD:DC=p:q, то Снова воспользуемся обобщением теоремы Фалеса:

Аналогично доказывается, что .
Теорема Чевы.
Теорема названа в честь итальянского математика Джованни Чевы, который доказал её в 1678 году.
Формулировка:
Если на сторонах АВ, ВС и СА треугольника АВС взяты соответственно точки С1
, А1
и В1
, то отрезки АА1
, ВВ1
и СС1
пересекаются в одной точке тогда и только тогда, когда
(3)
Доказать:
1. (3)
2.отрезки АА1, ВВ1 и СС1 пересекаются в одной точке
Доказательство:
1. Пусть отрезки АА1, ВВ1 и СС1 пересекаются в одной точке О. Докажем, что выполнено равенство (3). По теореме о пропорциональных отрезках в треугольнике имеем:
и .
Левые части этих равенств одинаковы, значит, равны и правые части. Приравнивая их, получаем
.
Разделив обе части на правую часть, приходим к равенству (3).
2. Докажем обратное утверждение. Пусть точки С1, А1 и В1 взяты на сторонах АВ, ВС и СА так, что выполнено равенство (3). Докажем, что отрезки АА1, ВВ1 и СС1 пересекаются в одной точке. Обозначим буквой О точку пересечения отрезков АА1 и ВВ1 и проведем прямую СО. Она пересекает сторону АВ в некоторой точке, которую обозначим С2. Так как отрезки АА1, ВВ1 и СС1 пересекаются в одной точке, то по доказанному в первом пункте
. (4)
Итак, имеют место равенства (3) и (4).
Сопоставляя их, приходим к равенству = , которое показывает, что точки C1 и C2 делят сторону AB в одном и том же отношении. Следовательно, точки C1 и C2 совпадают, и, значит, отрезки АА1, ВВ1 и СС1 пересекаются в точке O. Теорема доказана.
Сервис онлайн-записи на собственном Telegram-боте
Попробуйте сервис онлайн-записи VisitTime на основе вашего собственного Telegram-бота:
— Разгрузит мастера, специалиста или компанию;
— Позволит гибко управлять расписанием и загрузкой;
— Разошлет оповещения о новых услугах или акциях;
— Позволит принять оплату на карту/кошелек/счет;
— Позволит записываться на групповые и персональные посещения;
— Поможет получить от клиента отзывы о визите к вам;
— Включает в себя сервис чаевых.
Для новых пользователей первый месяц бесплатно.
Зарегистрироваться в сервисе
Теорема Менелая.
Формулировка:
Если на сторонах АВ и ВС и продолжении стороны АС (либо на продолжениях сторон АВ, ВС и АС) взяты соответственно точки С1
, А1, В1, то эти точки лежат на одной прямой тогда и только тогда, когда
(5)
Доказать:
1. (5)
2. точки А1,С1,В1 лежат на одной прямой
Доказательство:
1. Пусть точки А1,В1 и С1 лежат на одной прямой. Докажем, что выполнено равенство (5). Проведем AD,BE и CF параллельно прямой В1А1 (точка D лежит на прямой ВС). Согласно обобщению теоремы Фалеса имеем:
и 
Перемножая левые и правые части этих равенств, получаем
,
откуда ,
т.е. выполнено равенство (5).
2. Докажем обратное утверждение. Пусть точка В1 взята на продолжении стороны АС, а точки С1 и А1 – на сторонах АВ и ВС, причем так, что выполнено равенство (5). Докажем, что точки А1,В1 и С1 лежат на одной прямой, то по доказанному а первом пункте
(6)
Сопоставляя (5) и (6), приходим к равенству = , которое показывает, что точки А1 и А2 делят сторону ВС в одном и том же отношении. Следовательно, точки А1 и А2 совпадают, и, значит, точки А1,В1 и С1 лежат на одной прямой. Аналогично доказывается обратное утверждение в случае, когда все три точки А1,В1 и С1 лежат на продолжениях соответствующих сторон. Теорема доказана.
Решение задач.
Задача №1.

Условие:
В треугольнике АВС АD – медиана, точка О – середина медианы. Прямая ВО пересекает сторону АС в точке К.
Найти:
АК:КС=?:?
Решение:
Пусть ВD = DС = а, АО = ОD = m. Прямая ВК пересекает две стороны и продолжение третьей стороны треугольника АDС. По теореме Менелая получаем

Задача №2.

Условие:
Пусть АD – медиана треугольника АВС. На стороне АD взята точка К так, что АК : КD = 3 : 1. Прямая ВК разбивает треугольник АВС на два.
Найти:

Решение:
Пусть АD = DC = a, KD = m, тогда АК = 3m. Пусть Р – точка пересечения прямой ВК со стороной АС. Необходимо найти
отношение . Так как треугольники АВР и РВС имеют равные высоты, проведенные из вершины В, то 
По теореме Менелая для треугольника ADC и секущей РВ имеем

Итак, .
Доказательства теорем.
Задача №3.
Формулировка:
Медианы треугольника пересекаются в одной точке. Точка пересечения делит каждую из них в отношении 2 : 1, считая от вершины.

Условие:
Медианы треугольника пересекаются в одной точке.
Доказать:
Точка пересечения делит каждую медиану в отношении 2 : 1, считая от вершины.
Доказательство:
Пусть АМ1
, ВМ2
, СМ3
– медианы треугольника АВС. Чтобы доказать, что эти отрезки пересекаются в одной точке, достаточно показать, что Тогда по теореме Чевы (обратной) отрезки АМ1
, ВМ2
и СМ3
пересекаются в одной точке. Имеем:

Итак, доказано, что медианы треугольника пересекаются в одной точке.
Пусть О – точка пересечения медиан. Прямая М3
С пересекает две стороны треугольника АВМ2
и продолжение третьей стороны этого треугольника. По теореме Менелая

Рассматривая теорему Менелая для треугольников АМ1
С и АМ2
С, мы получаем, что

Теорема доказана.
Задача №4.
Формулировка:
Биссектрисы треугольника пересекаются в одной точке.
Доказать:
Биссектрисы треугольника пересекаются в одной точке.

Доказательство:
Достаточно показать, что . Тогда по теореме Чевы (обратной) AL1,
BL2,
CL3
пересекаются в одной точке. По свойству биссектрис треугольника:
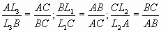
. Перемножая почленно полученные равенства, получаем: . Итак, для биссектрис треугольника равенство Чевы выполняется, следовательно, они пересекаются в одной точке. Теорема доказана.
Задача №5.
Формулировка:
Высоты остроугольного треугольника пересекаются в одной точке.
Доказать:
Высоты остроугольного треугольника пересекаются в одной точке.

Доказательство:
Пусть АН1
, АН2,
АН3
– высоты треугольника АВС со сторонами a, b, c. Из прямоугольных треугольников АВН2
и ВСН2
по теореме Пифагора выразим, соответственно, квадрат общего катета ВН2
, обозначив АН2
= х, СН2
= b – х.
(ВН2
)2
= с2
– х2
и (ВН2
)2
= а2
– (b – х)2
. приравнивая правые части полученных равенств, получаем с2
– х2
= а2
– (b – х)2
, откуда х = .
Тогда b –x = b - = .
Итак, АН2
= , СН2
= .
Аналогично рассуждая для прямоугольных треугольников АСН2
и ВСН3
, ВАН1
и САН1
, получим АН3
= , ВН3
= и ВН1
= ,
СН1
= .
Для доказательства теоремы достаточно показать, что . Тогда по теореме Чевы (обратной) отрезки АН1
, ВН2
и СН3
пересекаются в одной точке. Подставив в левую часть равенства выражения длин отрезков АН3
, ВН3
, ВН1
, СН1
, СН2
и АН2
через а, b, с, убеждаемся, что равенство Чевы для высот треугольника выполняется. Теорема доказана.
Источники информации:
Дополнительные главы по геометрии 8 класса (Л. С. Атанасян, В. Ф. Бутузов, С. Б. Кадомцев, С. А. Шестаков, И. И. Юдина) - настоящее пособие является дополнением к учебнику `Геометрия, 7-9` авторов Л.С.Атанасяна, В.Ф.Бутузова и др. (М.: Просвещение, 1990 и последующие издания). Оно полностью соответствует программе углубленного изучения математики.
Сайты:
http://festival.1september.ru
http://www.problems.ru
Вывод.
С помощью обобщения теоремы Фалеса, теорем Чевы и Менелая, не изучаемых в школьной программе, можно быстрее и легче доказывать определенные теоремы и решать более широкий круг задач. Я смогла доказать такие теоремы: теорема о пропорциональных отрезках (с помощью обобщения теоремы Фалеса), теоремы о пересечении медиан, высот и биссектрис треугольника в одной точке (воспользовалась теоремами Чевы и Менелая).
|