|
Курсовой проект
Выполнила студентка
Петербургский Государственный Университет Путей Сообщения
Санкт-Петербург 2010
Введение
Современная аппаратура связи, обеспечивающая эффективную работу всех подразделений железнодорожного транспорта, предъявляет жесткие требования к устройствам электропитания. Несоблюдение требований в отношении надежности, стабильности напряжения, величины пульсации и т.п. может привести к нарушению связи и управления технологическими процессами на железнодорожном транспорте и отразиться на безопасности движения поездов. Поэтому роль электроустановок и организации бесперебойного электропитания в обеспечении четкой и безаварийной работы железнодорожного транспорта весьма велика.
Целью данного проекта является проектирование электропитающей установки для дома связи.
Разработка технических данных ЭПУ
1.1 ОБЪЕКТ ЭЛЕКТРОПИТАНИЯ И ТРЕБОВАНИЯ К ЭПУ
Аппаратура связи объединяется территориально и организационно в узлы связи. На крупных станциях и железнодорожных узлах размещение технических средств узлов связи осуществляется в служебно-технических зданиях – домах связи, созданных по типовым проектам, где с целью уменьшения эксплуатационных расходов аппаратура связи устанавливается в отдельных цехах (ЛАЦ, АТС, телеграфный).
Для нормального функционирования аппаратуры связи и другого оборудования, расположенного в домах связи, требуется электрическая энергия, которая обеспечивается электроустановками (ЭУ). Основными элементами ЭУ являются:
устройства электроснабжения (энергосистемы: районные, объединенные, государственные). Ввод электрической энергии в дома связи осуществляется с помощью фидеров, которые представляют собой силовой четырехпроводный кабель и, если необходимо, понижающие трансформаторы и трансформаторные подстанции;
стационарные резервные электростанции (ДГА);
устройства ввода и коммутации цепей переменного тока;
сети электросилового оборудования и освещения;
электропитающие установки (ЭПУ), являющиеся основной частью ЭУ предприятия. Они предназначены для преобразования, регулирования, распределения и обеспечения бесперебойности подачи различных напряжений переменного и постоянного тока, необходимых для нормальной работы устройств автоматики и связи. В состав ЭПУ входят следующие элементы: выпрямительные и преобразовательные устройства, аккумуляторные батареи, устройства стабилизации напряжения и тока, распределительно-коммутационные устройства, распределительные сети, устройства защиты сигнализации и др.
Забиваем Сайты В ТОП КУВАЛДОЙ - Уникальные возможности от SeoHammer
Каждая ссылка анализируется по трем пакетам оценки: SEO, Трафик и SMM.
SeoHammer делает продвижение сайта прозрачным и простым занятием.
Ссылки, вечные ссылки, статьи, упоминания, пресс-релизы - используйте по максимуму потенциал SeoHammer для продвижения вашего сайта.
Что умеет делать SeoHammer
— Продвижение в один клик, интеллектуальный подбор запросов, покупка самых лучших ссылок с высокой степенью качества у лучших бирж ссылок.
— Регулярная проверка качества ссылок по более чем 100 показателям и ежедневный пересчет показателей качества проекта.
— Все известные форматы ссылок: арендные ссылки, вечные ссылки, публикации (упоминания, мнения, отзывы, статьи, пресс-релизы).
— SeoHammer покажет, где рост или падение, а также запросы, на которые нужно обратить внимание.
SeoHammer еще предоставляет технологию Буст, она ускоряет продвижение в десятки раз,
а первые результаты появляются уже в течение первых 7 дней.
Зарегистрироваться и Начать продвижение
ИСХОДНЫЕ ДАННЫЕ ДЛЯ ПРОЕКТИРОВАНИЯ ЭПУ
Таблица 1 - Внешнее электроснабжение (вариант №9)
| Основной
|
Вид источника
|
Районная энергосистема (РЭС)
|
| Напряжение, В
|
380
|
| Резервный 1
|
Вид источника
|
Тяговая подстанция
|
| Напряжение, В
|
380
|
| Резервный 2
|
Вид источника
|
ДГА
|
| Напряжение, В
|
380
|
Таблица 2 - Нагрузка цехов дома связи (ЛАЦ – вариант № 10; АТС, телеграфные станции – вариант № 9, 10)
| Нагрузка
|
Номинальное напряжение, В
|
Ток нагрузки, А
|
| Аппаратура линейно-аппаратного цеха (ЛАЦ)
|
24
48
60
~220
|
45
47
40
12
|
| Телефонные станции (АТС)
|
48
60
~220
|
34
31
10
|
| Телеграфные станции
|
~220
|
10
|
| Система электропитания
|
Централизованная
|
Таблица 3 - Дополнительные нагрузки (вариант №12)
| Дополнительные нагрузки
|
Мощность S, кВт/ коэффициент мощности
|
| Освещение (гарантированное)
|
12, 0
|
| Освещение (негарантированное)
|
35
|
| Силовое оборудование
|
50, 0 / 0, 75
|
НАДЕЖНОСТЬ ЭЛЕКТРОСНАБЖЕНИЯ
Характеристика электроснабжения приведена в таблице 4.
Таблица 4 – Характеристика электроснабжения
| Объект электроснабжения
|
Категория объекта электроснабжения
|
Количество источников электрической энергии
|
Дополнительные источники электрической энергии
|
| ЛАЦ
|
Особая группа 1-ой категории
|
3
|
2
|
ДГА
|
| АТС
|
Особая группа 1-ой категории
|
3
|
2
|
| Телеграфные станции
|
Особая группа 1-ой категории
|
3
|
2
|
| Гарантированное освещение
|
1-ая категория
|
2
|
2
|
-
|
| Негарантированное освещение
|
3-я категория
|
1
|
2
|
-
|
| Силовое оборудование
|
3-я категория
|
1
|
2
|
-
|
Электроприемники 1-й категории надежности электроснабжения – электроприемники, перерыв энергоснабжения которых может повлечь за собой опасность для жизни людей, значительный материальный ущерб, расстройство сложного технологического процесса и т.п. (устройства связи и автоматики, сети гарантированного освещения и др.). Эти электроприемники должны обеспечиваться электроэнергией от двух независимых взаимно резервирующих источников питания.
Из состава электроприемников 1-й категории выделена особая группа электроприемников, электроснабжение которых требует еще большей надежности для предотвращения угрозы жизни людей (дома связи, обслуживаемые усилительные пункты и т.д.). Для их энергоснабжения должно предусматриваться дополнительное питание от третьего независимого взаимно резервирующего источника питания. В исходном задании дано только 2 источника питания, следовательно, необходимо выбрать третий источник для электроснабжения приемников особой группы. В качестве него выбран дизель-генераторный агрегат.
Сервис онлайн-записи на собственном Telegram-боте
Попробуйте сервис онлайн-записи VisitTime на основе вашего собственного Telegram-бота:
— Разгрузит мастера, специалиста или компанию;
— Позволит гибко управлять расписанием и загрузкой;
— Разошлет оповещения о новых услугах или акциях;
— Позволит принять оплату на карту/кошелек/счет;
— Позволит записываться на групповые и персональные посещения;
— Поможет получить от клиента отзывы о визите к вам;
— Включает в себя сервис чаевых.
Для новых пользователей первый месяц бесплатно.
Зарегистрироваться в сервисе
ДАННЫЕ РАЗРАБАТЫВАЕМОЙ ЭПУ
Намеченные данные разрабатываемой ЭПУ приведены в таблице 5.
Таблица 5 – данные разрабатываемой ЭПУ
| Цех дома связи
|
Напряжение, в
|
Ток нагрузки, А
|
Допустимая пульсация, мВ/мВ. псоф.
|
Число групп аккумуляторов
|
Время работы аккумул. ч
|
Тип аккумулятора
|
Система электропитания
|
Мощность, кВт
|
| Номинальное
|
Рабочее
|
Точность стабилизации в %
|
| ЭПУ-24
|
24
|
21, 6-26, 4
|
1
|
45
|
-
|
2
|
2
|
А400
|
Ц
|
2
|
| ЛАЦ
|
24
|
21, 6-26, 4
|
1
|
45
|
10/2
|
2
|
2
|
|
|
|
| ЭПУ-48
|
48
|
43-52, 8
|
1
|
81
|
-
|
2
|
2
|
А400
|
Ц
|
-
|
| ЛАЦ
|
48
|
43, 2-56
|
1
|
47
|
-
|
2
|
2
|
|
|
|
| АТС
|
48
|
43-52, 8
|
1
|
34
|
15/5
|
2
|
2
|
|
|
|
| ЭПУ-60
|
60
|
54-66
|
1
|
71
|
-
|
2
|
2
|
А400
|
Ц
|
10, 9
|
| АТС
|
60
|
54-66
|
1
|
40
|
-
|
2
|
2
|
|
|
|
| ЛАЦ
|
60
|
54-72
|
1
|
31
|
15/5
|
2
|
2
|
|
|
|
НАЗНАЧЕНИЕ АККУМУЛЯТОРНЫХ БАТАРЕЙ
Аккумуляторные батареи в ЭПУ домов связи выполняют следующие функции:
Являются источником резервного питания наиболее ответственной аппаратуры дома связи при отключении источников переменного тока.
Обеспечивают безобрывность цепей питания при переключении фидеров питания и запуска ДГА.
Обеспечивают дополнительное сглаживание пульсации напряжения на выходе выпрямителей.
Ранее в аккумуляторных батареях использовались кислотно-свинцовые аккумуляторы открытого тапа С, имеющие наибольшее количество градаций номинальных емкостей.
В настоящее время широкое применение находят аккумуляторы нового поколения, малоуходные и герметизированные.
Аккумуляторные батареи в большинстве случаев состоят из двух групп. Это повышает надежность ЭПУ, так как при отключении одной группы батареи для профилактики вторая остается подключенной к ЭПУ и обеспечивает резервирование электроснабжения. Запас емкости аккумуляторных батарей в узлах связи должен обеспечивать (при аварии в сети) электропитание аппаратуры связи в часы наибольшей нагрузки, цепей аварийного и эвакуационного освещения и устройств пожарной сигнализации в основном в течении 2-х часов.
ВЫБОР СИСТЕМЫ БЕСПЕРЕБОЙНОГО ПИТАНИЯ ПОСТОЯННОГО ТОКА
2.1 АВТОМАТИЗИРОВАННАЯ ЭПУ-24
На рис. 1 приведена структурная схема ЭПУ-24 на номинальное напряжение 24 В и ток нагрузки от 40 до 500 А, а также показано токопрохождение линиями различных цветов и формы (нормальный режим: ток нагрузки – зеленый, ток подзаряда – зеленый пунктир; аварийный режим: ток нагрузки – красный; послеаварийный режим: ток нагрузки – синий, ток заряда – коричневый разной формы для ОЭ-ДЭ, ОЭ, ДЭ).
Рис. 1 – Функциональная схема ЭПУ-24 с АКАБ-24/500-2
2.2 СТРУКТУРНАЯ СХЕМА ПРОЕКТИРУЕМОЙ ЭПУ
Структурная схема системы бесперебойного электропитания постоянного тока представлена на рис. 2.

Рис. 2 – Структурная схема системы бесперебойного электропитания
Основным элементом ЭПУ является выпрямительный модуль, обеспечивающий питание нагрузки постоянным током, а также подзаряд и заряд аккумуляторной батареи. Каждый выпрямительный модуль имеет встроенное устройство контроля и управления. Количество выпрямительных модулей зависит от типа стойки и требуемой мощности (тока) для питания нагрузки.
Конверторы (DC/DC- преобразователи) предназначены для электропитания потребителей с малым допуском входного напряжения или с другим номиналом, инверторы (DC/AC-преобразователи) – для обеспечения бесперебойного электропитания потребителей переменного тока.
Защита в различных цепях обеспечивается предохранителями (ПР) или автоматическими выключателями.
Аккумуляторная батарея (АБ) входит в комплект устройств электропитания и используется в качестве резервного источника при пропадании напряжения сети. Аккумуляторы могут устанавливаться в шкафу с выпрямителями или размещаться в стеллажах.
Аккумуляторные батареи защищены от глубокого разряда. Контактор К1 предназначен для отключения аккумуляторной батареи от нагрузки при ее разряде до минимально допустимой величины (обычно 1, 8 В/Эл) и управляется от модуля контроля и управления.
Шунты Ш1 и Ш2 используются для измерения тока нагрузки и аккумуляторной батареи соответственно. Разъединители Р1 и Р2 позволяют отключить АБ для проведения профилактических работ.
Модуль контроля и управления (МКУ) в устройствах различных фирм-производителей отличается набором функциональных возможностей. Режим работы, основные данные о работе ЭПУ (ток, напряжение нагрузки и др.) контролируются, измеряются и индицируются на мологабаритном жидкокристаллическом (ЖКИ) дисплее.
В нормальном режиме аппаратура получает питание от выпрямителей В1…ВN, одновременно осуществляется подзаряд групп аккумуляторной батареи АБ1…АБN.
В случае пропадания напряжения в сети аппаратура начинает получать питание от аккумуляторной батареи АБ1…АБN. В процессе разряда напряжение батареи относительно быстро с 2, 23 В/Эл понизится до типового значения в 1, 9..2, 0 В/Эл. Напряжение 1, 9В/Эл является наиболее близким к среднему значению и принимается за среднее напряжение разряда Uср при расчетах. Время резервного питания от батареи в основном зависит от величины тока разряда, поэтому необходимо знать ток и конечное напряжение разряда.
При восстановлении напряжения в сети выпрямителей В1…ВN на начальном этапе включаются в режим стабилизации тока, обеспечивая питание нагрузки и заряд батарей.
РАСЧЕТ АККУМУЛЯТОРНЫХ БАТАРЕЙ
В аварийном режиме питание нагрузки и аварийных потребителей обеспечивается от аккумуляторной батареи, расчет которой заключается в определении номинальной расчетной емкости и выборе типа аккумулятора и их количества.
Аварийный ток складывается из тока, необходимого для питания аппаратуры связи Iн (тока нагрузки), и токов аварийных потребителей Iап (в среднем 3% от тока нагрузки). В данном случае,
Iав = Iн + Iап = 197 + (197·0, 03) = 202, 91 А (1)
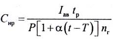
Номинальная расчетная емкость аккумуляторов определяется по основной расчетной формуле:
, А·ч, (2)
где - аварийный ток, А;
tр – время разряда аккумуляторной батареи, ч (2 ч);
P – коэффициент интенсивности разряда, определяется по графику (рис.3);
α – температурный коэффициент емкости, 1/°С (для кислотных аккумуляторов α = 0, 008);
t – минимальная температура электролита, °С (+15);
T – температура, для которой задана номинальная емкость, °С (+20);
nг – число групп АБ.

Рис. 3 – График определения коэффициента интенсивности разряда
Для ЭПУ-24
Снр = 74, 27 А·ч, по таблице технических данных аккумуляторов был выбран аккумулятор типа А412/90 А.
Для ЭПУ-48
Снр = 129, 8 А·ч, по полученной номинальной емкости был выбран аккумулятор типа А406/165 А.
Для ЭПУ-60
Снр = 113, 78 А·ч, по полученной номинальной емкости был выбран аккумулятор типа А412/120 А.
Таблица 6 – Технические характеристики аккумуляторов
| Тип (стандартное исполнение)
|
Номинальная емкость (С10), А·ч
|
Ток разряда (I10), А
|
Габаритные размеры (Д×Ш×В), мм
|
Вес, кг
|
Стоимость
|
| А412/90 А
|
90
|
9
|
353×175×190
|
24, 6
|
1830
|
| А406/165 А
|
165
|
16, 5
|
518×274×216
|
69, 5
|
7316
|
| А412/120 А
|
120
|
12
|
518×274×216
|
65, 5
|
6842
|
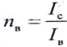
Количество аккумуляторов принимают в соответствии с градацией номинального напряжения и среднего напряжения разряда кислотных аккумуляторов:
для ЭПУ-24 Nэл = 12;
для ЭПУ-48 Nэл = 24;
для ЭПУ-60 Nэл = 30;
Аккумуляторы выполнены в виде моноблоков на 12 В.
ВЫБОР ЭЛЕКТРОПИТАЮЩЕЙ УСТАНОВКИ
Наибольшая нагрузка на выпрямительные модули создается в послеаварийном режиме, когда необходимо питать нагрузку и заряжать аккумуляторы. Следовательно, общий выходной ток выпрямителей складывается из тока нагрузки (Iн) и тока заряда батарей (Iз):
Ic = Iн + Iз, А (3)
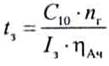
Для герметизированных аккумуляторов наилучшим режимом заряда является режим непрерывного подзаряда, т.е. аккумуляторы заряжаются при стабилизации напряжения. От величины зарядного тока зависит время заряда аккумуляторов:
, ч, (4)
где – коэффициент отдачи по емкости для кислотных аккумуляторов ( = Cp/Cз = 0, 84);
С10 – номинальная емкость выбранного аккумулятора, А·ч;
Iз – диапазон зарядных токов для герметизированных аккумуляторов рекомендуется выбирать в пределах Iз = 0, 1…0, 3 С10.
Для ЭПУ-24:
Iз = 0, 2· С10 = 0, 2·90 = 18 А
Ic = 45 + 18 = 63 А
tз = 11, 9 ч
Для ЭПУ-48:
Iз = 0, 2· С10 = 0, 2·165 = 33 А
Ic = 81 + 33 = 114 А
tз = 11, 9 ч
Для ЭПУ-60:
Iз = 0, 2· С10 = 0, 2·120 = 24 А
Ic = 71 + 24 = 95 А
tз = 11, 9 ч
На основании общего тока системы Iс и номинального напряжения были выбраны типы ЭПУ:
- для номинального напряжения U=24 В выбрана установка УЭПС-2 24/120-44-1;
- для номинального напряжения U=48 В выбрана установка УЭПС-2 48-140-44;
- для номинального напряжения U=60 В выбрана установка УЭПС-2 60/200-44.
Количество выпрямительных модулей рассчитываются по формуле:
(5)
Для ЭПУ-24 = 2, 15 = 3 шт.
Для повышения надежности ЭПУ предусматривают резервирование (nв + 1). Следовательно, полный комплект выпрямительных модулей равен:
Nв = nв + 1 = 3 + 1 = 4 шт.
Для ЭПУ-48 = 1, 9 = 2 шт.
Для повышения надежности ЭПУ предусматривают резервирование (nв + 1). Следовательно, полный комплект выпрямительных модулей равен:
Nв = nв + 1 = 2 + 1 = 3 шт.
Для ЭПУ-60 количество выпрямительных модулей равно:
= 1, 9 = 2 шт.
Полный комплект:
Nв = nв + 1 = 2 + 1 = 3 шт.
Таблица 7 – Технические данные электропитающих установок
| Тип ЭПУ
|
Выходной ток (ток нагрузки) мак/мин
|
Тип выпрямителя
|
Количество выпрямителей, шт.
|
Коэффициент мощности ВБВ
|
КПД
|
Максимальная мощность ЭПУ, Вт
|
Цена, руб.
|
| УЭПС-2 24/120-44-1
|
120/6
|
ВБВ 24/30-2МК
|
4
|
0, 98
|
0, 9
|
3360
|
61830
|
| УЭПС-2 48-140-44
|
240/12
|
ВБВ 48/60-2
|
3
|
0, 85
|
0, 9
|
13440
|
111500
|
| УЭПС-2 60/200-44
|
100/5
|
ВБВ 60/50-2
|
3
|
0, 85
|
0, 9
|
14400
|
115600
|
РАСЧЕТ СЕЧЕНИЯ ЖИЛ КАБЕЛЯ
В электропитающих установках неизбежны потери напряжения на отдельных участках цепей питания. Наиболее тяжелый момент наступает в конце аварийного режима, когда аккумуляторная батарея полностью разряжена до напряжения Uбmin и должна быть отключена.
Если питаемая аппаратура еще работает и позволяет уменьшать напряжение до Uнmin, то разницу напряжений можно использовать как норму для общего падения напряжения на участке аккумуляторная батарея – питаемая аппаратура.
РАСЧЕТ СЕЧЕНИЯ ЖИЛ КАБЕЛЯ ПОДКЛЮЧЕНИЯ БАТАРЕЙ
На рис. 4 приведены нормы падения напряжения на отдельных участках ЭПУ.

Рис. 4 – Нормы падения напряжения на отдельных участках ЭПУ
Для ЭПУ-24:
Минимально допустимое напряжение на аккумуляторной батарее:
Uбmin = Uкр*Nэл = 1, 8*12 = 21, 6 В (7)
Минимально допустимое напряжение на аппаратуре связи согласно техническим требованиям
Uнmin = 18, 9 В
Общее допустимое падение напряжения на элементах ЭПУ-24
∆U = 2, 7 В (8)
Минимальное сечение жил батарейного кабеля рассчитывается для каждой группы на ток полной нагрузки на случай отключения других групп
, (9)
где L – длина кабеля;
Ic – максимальный ток в кабеле( в послеаварийном режиме), А;
удельное сопротивление материала жил кабеля; медь - =0, 0175 (Ом·мм2/м); алюминий – =0, 0294( Ом·мм2/м) при 20°С;
U – допустимое падение напряжения на кабеле, равное 0, 5 В.
По расчетам минимального сечения жил кабеля и после проверки на допустимую токовую нагрузку был выбран кабель с сечением 16 мм2.
Для ЭПУ-48:

По расчетам выбираем кабеля с сечением 35мм2.
Для ЭПУ-60:

По расчетам выбираем кабеля с сечением 16мм2.
РАСЧЕТ СЕЧЕНИЯ ЖИЛ КАБЕЛЯ ПОДКЛЮЧЕНИЯ НАГРУЗОК
Производится аналогичный расчет с учетом максимального падения напряжения не более 0, 9 В.
Для ЭПУ-24 (ЛАЦ):

Выбираем кабель с сечением 25 мм2.
Для ЭПУ-48:

Выбираем кабель с сечением 25 мм2.
Для ЭПУ-60:

Был выбран кабель с сечением 25 мм2.
Таблица 9 – Данные для кабелей подключения батарей и нагрузок
| Тип устройства
|
Батарейная цепь
|
Нагрузочная цепь
|
| Ток в цепи, А
|
Длина кабеля, м
|
Сечение жил, мм2
|
Наименование цеха
|
Ток в цепи, А
|
Длина кабеля, м
|
Сечение жил, мм2
|
| ЭПУ-24
|
66
|
3
|
16
|
ЛАЦ
|
30
|
20
|
25
|
| ЭПУ-48
|
114
|
2
|
35
|
ЛАЦ
АТС
|
47
34
|
20
15
|
25
25
|
| ЭПУ-60
|
95
|
3
|
16
|
ЛАЦ
АТС
|
40
31
|
16
17
|
25
25
|
ВЫБОР ИБП И УСТРОЙСТВА ВВОДА И КОММУТАЦИИ ЦЕПЕЙ ПЕРЕМЕННОГО ТОКА
6.1 ВЫБОР ИБП
ИБП выбирается на основании активной(полной) мощности потребляемой нагрузкой переменного тока:
PИБП = I~·220 Вт, (10)
где I~ - ток питания аппаратуры и вычислительной техники в различных цехах.
PИБП = I~·220 = 28·220 = 6160 Вт.
Таблица 10 – Технические данные ИБП
| Номинальная мощность (кВА/кВт)
|
9/6, 3
|
| Номинальное входное напряжение, В
|
220/230/240
|
| Диапазон входного напряжения, В
|
От 176 до 276
|
| Частота
|
50/60 Гц(±3Гц)
|
| Входной коэффициент мощности
|
0, 98
|
| КНИ входного тока
|
3%
|
| Номинальное выходное напряжение
|
220/230/240
|
| Регулировка выходного напряжения
|
3%
|
| КПД
|
88% с номинальной нелинейной нагрузкой
|
| Время автономной работы при 100% (50%) нагрузке, мин.
|
8
(24)
|
| Габариты В×Ш×Г (мм)
|
800×432×645
|
| Вес, кг
|
163
|
| Цена, руб.
|
58875
|
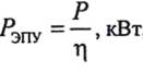
МОЩНОСТЬ, ПОТРЕБЛЯЕМАЯ ЭПУ В ПОСЛЕАВАРИЙНОМ РЕЖИМЕ
Следует учесть, что наибольшая мощность потребляется при послеаварийном режиме, когда необходимо обеспечить питание аппаратуры и заряд аккумуляторных батарей. Мощность, потребляемая от выпрямителей в данном режиме, будет определяться выражением:
P = Ucз·Ic, кВт, (11)
где Ucз = 2, 33·Nэл
Активная и реактивная мощности, потребляемые отдельными устройствами от источников внешнего электроснабжения, определяется по формулам:
(12)
(13)
где P – мощность, необходимая для работы данной аппаратуры, кВт,
- КПД установки( выпрямителя, преобразователя и др.)
– коэффициент мощности установки.
Для ЭПУ-24
P = Ucз·Ic = 2, 33·12·63 = 1, 7 кВт
Рэпу-24 = 1, 7/0, 9 = 1, 9 кВт
Qэпу-24 = 1, 9*0, 2 = 380 Вт
Для ЭПУ-48
P = Ucз·Ic = 2, 33·24·114 = 6, 4 кВт
Рэпу-48 = 6, 4/0, 92 = 7, 1 кВт
Qэпу-48 = 4, 05 кВт
Для ЭПУ-60
P = 2, 33·30·95 = 6, 7 кВт
Рэпу-60 = 6, 7/0, 9 = 7, 4 кВт
Qэпу-60 = 4, 2 кВт
ОБЩАЯ АКТИВНАЯ И РЕАКТИВНАЯ МОЩНОСТИ, ПОТРЕБЛЯЕМЫЕ ЭПУ ДОМА СВЯЗИ
Общая активная и реактивная мощности, потребляемые ЭПУ дома связи от внешних источников электроснабжения (с учетом коэффициента одновременности) определяется из выражения:
Pобщ = P∑ЭПУ + PИБП + Pго·k1 + Pно·k2 + Pсо·k3, кВт, (14)
где Pго, Pно, Pсо – мощности соответственно гарантированного и негарантированного освещения и силового оборудования;
k – коэффициент одновременности (обычно=0, 5-0, 7), пи расчете мощности, потребляемой дополнительными устройствами, учитывает неодновременность включения нагрузок данного типа;
P∑ЭПУ – суммарная активная мощность, потребляемая всеми ЭПУ.
Pсо = Sсо· = 50·0, 75 = 37, 5 кВт, (15)
где Sсо – полная мощность, потребляемая силовым оборудованием.
Pго = Sго· = 12·0, 75 = 9 кВт;
Pно = Sно· = 35·0, 75 = 26, 3 кВт;
Pобщ = 16, 4 + 6, 2 + 37, 5·0, 7 + 9·0, 7 +26, 3·0, 66 = 72, 5 кВт
Qобщ = Q∑ЭПУ + Qсо·k3, квар.,
где Q∑ЭПУ – суммарная реактивная мощность, потребляемая всеми ЭПУ.
Qсо = (502 – 37, 52)^(1/2) = 33, 1 кВт
Qобщ = 8, 6+ 33, 1·0, 66 = 30, 5 кВт
ПОЛНАЯ МОЩНОСТЬ
Полная мощность, потребляемая от внешних источников электропитания будет определяться с помощью выражения:
(16)
S = (72, 52 + 30, 52)^(1/2) = 78, 7 кВА
КОЭФФИЦИЕНТ МОЩНОСТИ ЭПУ ДОМА СВЯЗИ
Коэффициент мощности ЭПУ дома связи рассчитывается по формуле:
= Робщ/S (17)
= 72, 5/78, 7 = 0, 92
Полученные величины S(кВА) и представляют организациям внешнего электроснабжения для учета нагрузки и оплаты электроэнергии.
ВЕЛИЧИНА ПОЛНОГО ТОКА
Величина полного тока определяется по формуле:
Iп = S*10^3/U (18)
Iп = 78700/220 = 357 А
Iп-3ф = 78700/658, 1 = 119, 5 А
где U – номинальное напряжение питающей сети, В.
Для трехфазной системы соединения звездой при равномерной загрузке фаз:
U = Uл· ,
где Uл – линейное напряжение, равное 380 В.
Величину используют для выбора устройств коммутации переменного тока. Для проектируемой ЭПУ выбираем шкафы вводные распределительные(ШВР) переменного тока Юрьев-Польского завода. ШВР должны иметь следующие функциональные возможности:
- номинальное напряжение – 220/380 в;
- число внешних источников – три (два фидера, третий – ДГА);
- число выходов – два (гарантированное снабжение и негарантированное, отключаемое при запуске ДГА);
- приоритет подключения нагрузок к первому (основному) внешнему источнику как более надежному;
- отдельная регулировка верхнего и нижнего порогов срабатывания по каждому входу;
- регулировка времени задержки подключения к первому источнику тока при восстановлении напряжения после аварии, для защиты от переходных процессов в сети;
- защита от коротких замыканий;
- блокировка подключения нагрузки к двум источникам тока одновременно;
- отключение негарантированных нагрузок при запуске ДГА;
- возможность ручного переключения внешних источников питания.
По расчетному значения полного тока из существующих номиналов выбираем подходящий: 400 А, 125 А.
Таблица 11 – Данные по расчету мощности
| №
|
Наименование нагрузки
|
Коэффициент одновременности
|
Мощность
|
| Общая активная, кВт
|
С учетом коэфф. k
|
| P, кВт
|
Q, кВт
|
S, кВт
|
| 1
|
ЭПУ-24
|
1
|
1, 9
|
1, 9
|
-
|
-
|
| 2
|
ЭПУ-48
|
1
|
7, 1
|
7, 1
|
-
|
-
|
| 3
|
ЭПУ-60
|
1
|
7, 4
|
7, 4
|
-
|
-
|
| 4
|
ИБП
|
1
|
6160
|
2, 765
|
6, 1
|
6, 7
|
| 5
|
Гарантированное освещение
|
0, 7
|
7, 9
|
5, 53
|
3, 07
|
6, 3
|
| 6
|
Негарантированное освещение
|
0, 7
|
18, 2
|
11, 99
|
14, 1
|
18, 5
|
| 7
|
Силовое оборудование
|
0, 66
|
46, 5
|
36, 42
|
-
|
-
|
| 8
|
Итого от внешних вводов
|
-
|
2
|
2
|
-
|
-
|
ПРОЕКТИРОВАНИЕ РЕЗЕРВНОЙ ЭЛЕКТРОСТАНЦИИ
Во время аварии источников внешнего электроснабжения основные устройства дома связи обеспечивает питанием местная резервная электростанция. В качестве резервной электростанции выбрана дизель-генераторная автоматизированная установка(ДГА).
ДГА должны обеспечивать электроэнергией следующие устройства:
-вся аппаратуру связи, питаемую постоянным и переменным током;
-сеть гарантированного освещения;
-устройства вентиляции аккумуляторных помещений;
- собственные нужды электростанции( освещение, отопление, вентиляцию).
Часть потребителей во время аварии источников внешнего электроснабжения отключаются. К таким устройствам относятся приборы негарантированного освещения и силовое оборудование.
На основании общей мощности
PДГА расч = Pобщ – Pно – Pсо, кВт, (19)
выбирается ДГА.
PДГА расч = 72, 5 – 26, 3 – 37, 5 = 8, 7 кВт.
Степень загрузки ДГА определяется по формуле:
Kз = PДГА расч/ PДГА (20)
Kз = 8, 7/10 = 0.87
ДГА запускается автоматически при пропадании напряжения на фидерах питания.
Через 25-30 секунд после отключения фидеров ДГА принимает нагрузку. При появлении напряжения в одном из фидеров ДГА автоматически отключается и останавливается.
Таблица 12 – Технические данные ДГА фирмы «F.G.Wilson»
| Серия «Lister Powered Gen Sets»
|
380 В, 50 Гц, 3ф
|
| Модель
|
Мощность
|
Частота вращения, об./мин
|
Расход топлива, л/час
|
Расход масла, г/кВт·ч
|
Объем топливного бака, л
|
Габаритные размеры Д×Ш×В мм
|
Масса, кг
|
Цена, тыс.р.
|
| кВА
|
кВт
|
| L12, 5
|
12, 5
|
10
|
1500
|
4, 3
|
῀0, 5% от расхода топлива
|
44
|
1388×576×1185
|
505
|
229, 9
|
РАЗРАБОТКА СТРУКТУРНОЙ СХЕМЫ ЭПУ
Структурная схема проектируемой ЭПУ представлена на рис. 5.
Рис. 5 – Общая структурная схема ЭПУ дома связи
  СМЕТНО- ФИНАНСОВЫЙ РАСЧЕТ
В данном разделе определяется размер денежных средств, необходимых для осуществления проекта.
Таблица 13 – Спецификация аппаратуры дома связи
| Оборудование
|
Ед.изм.
|
Кол-во
|
Стоимость, р.
|
| Единичная
|
Общая
|
| Стойка УЭПС-2 24/120-44-1
|
Блочный каркас-крейт
|
1
|
42030
|
42030
|
| Стойка УЭПС-2 48/140-44
|
Шкаф
|
1
|
85900
|
85900
|
| Выпрямители ВБВ 24/30-3К
|
-
|
1
|
19800
|
19800
|
| Выпрямители ВБВ 60/25-3К
|
-
|
1
|
25600
|
25600
|
| Аккумуляторы А412/65 А
|
Моноблок на 12 В
|
2
|
1830
|
3660
|
| Аккумуляторы А412/180 А
|
Моноблок на 12 В
|
5
|
7316
|
36580
|
| ДГА LH12, 5
|
-
|
1
|
229900
|
229900
|
| ИБП серии Powerware 9170+
|
Модуль
|
1
|
58875
|
58875
|
| ШВРА 220/400-20(П)
|
Шкаф
|
1
|
8230
|
8230
|
| ШВРА 380/125-21(П)
|
Шкаф
|
1
|
8230
|
8230
|
| Итого
|
597005
|
| Транспортно-заготовительные расходы
|
%
|
4, 2
|
25074, 21
|
| Всего
|
|
622079, 21
|
Заключение
В данной курсовой работе была спроектирована электропитающая установка для дома связи в соответствии с техническими требованиями для нормальной работы аппаратуры связи. Был выбран рациональный вариант электропитающей установки (ЭПУ) для дома связи и рассчитаны ее составные элементы: выпрямительные и преобразовательные устройства, аккумуляторные батареи, стабилизаторы напряжения и тока, устройства ввода и коммутации цепей переменного тока, источники бесперебойного питания. Эти установки обеспечивают надежное питание аппаратуры автоматики и связи напряжением необходимой стабильности с допустимой амплитудой пульсации, экономичны, обладают достаточно высокими КПД и коэффициентами мощности, максимально автоматизированы.
Список литературы
Сапожников Вл.В. Электропитание устройств железнодорожной автоматики, телемеханики и связи. – Маршрут, 2005.
Казакевич Е.В., Багуц В.П., Ковалев Н.П. Учебное пособие «Проектирование электропитающей установки дома связи». – ПГУПС, 2008.
Багуц В.П., Ковалев Н.П., Костроминов А.М. Электропитание устройств железнодорожной автоматики, телемеханики и связи. – Транспорт, 1991.
|