|
Разработка производственной программы предприятия
К основным стоимостным показателям объема выпускаемой продукции относятся: валовой оборот, внутризаводской оборот, валовая продукция, товарная продукция, реализованная продукция, чистая продукция, условночистая продукция.
В разные периоды развития российской экономики отдавалось предпочтение то одним, то другим стоимостным показателям, характеризующим объем выпуска продукции.
Валовой оборот промышленного предприятия представляет собой суммарную стоимость продукции всех основных, вспомогательных и обслуживающих цехов. В валовой оборот продукция включается независимо от того, предназначена она для отпуска за пределы предприятия или для дальнейшей промышленной переработки на этом же предприятии. Таким образом, этот показатель допускает повторный счет продукции в пределах предприятия. В связи с этим показатель валового оборота наряду с показателем внутризавод
ского оборота используется в качестве базы для расчета других, указанных ранее стоимостных показателей.
Внутризаводской оборот — это стоимость продукции собственного производства, потребленной внутри предприятия на производственные нужды. К производственному потреблению внутри предприятия относится переработка полуфабрикатов своей выработки для производства готовой продукции; потребление электроэнергии, сжатого воздуха, пара своей выработки; использование деталей, изделий своей выработки на текущий ремонт зданий, сооружений, оборудования.
Валовая продукция представляет собой валовой оборот за вычетом внутризаводского оборота.
Товарная продукция — это стоимость товаров, предназначенных для продажи. Она отличается от валовой на величину изменения остатков полуфабрикатов собственного производства на складах предприятия, т.е. если эти остатки в данном периоде увеличиваются, то величина товарной продукции уменьшается, и наоборот.
Реализованная продукция отличается от товарной на величину остатков готовой продукции на складах (при уменьшении этих остатков объем реализованной продукции увеличивается, и наоборот, при увеличении остатков — уменьшается).
В состав товарной и реализованной продукции кроме продуктов основной деятельности предприятия входит стоимость услуг, оказываемых предприятием на сторону (например, помощь городу в виде строительных или ремонтных работ и т.п.).
Забиваем Сайты В ТОП КУВАЛДОЙ - Уникальные возможности от SeoHammer
Каждая ссылка анализируется по трем пакетам оценки: SEO, Трафик и SMM.
SeoHammer делает продвижение сайта прозрачным и простым занятием.
Ссылки, вечные ссылки, статьи, упоминания, пресс-релизы - используйте по максимуму потенциал SeoHammer для продвижения вашего сайта.
Что умеет делать SeoHammer
— Продвижение в один клик, интеллектуальный подбор запросов, покупка самых лучших ссылок с высокой степенью качества у лучших бирж ссылок.
— Регулярная проверка качества ссылок по более чем 100 показателям и ежедневный пересчет показателей качества проекта.
— Все известные форматы ссылок: арендные ссылки, вечные ссылки, публикации (упоминания, мнения, отзывы, статьи, пресс-релизы).
— SeoHammer покажет, где рост или падение, а также запросы, на которые нужно обратить внимание.
SeoHammer еще предоставляет технологию Буст, она ускоряет продвижение в десятки раз,
а первые результаты появляются уже в течение первых 7 дней.
Зарегистрироваться и Начать продвижение
Для более точной оценки состава валовой, товарной и реализованной продукции следует уточнить экономическое содержание категорий "готовая продукция", "полуфабрикаты" и "незавершенное производство".
Готовыми считаются законченные и полностью укомплектованные изделия, соответствующие стандартам или техническим условиям.
К полуфабрикатам собственного производства относится продукция, технологический процесс производства которой закончен в одном цехе, но которая в полном объеме или частично подлежит последующей доработке в другом цехе предприятия или должна быть использована в сборочном цехе предприятия.
Незавершенное производство — это продукция, не законченная изготовлением в данном цехе и находящаяся либо в процессе изготовления на рабочих местах, либо в пути между ними, либо в стадии
технического контроля, либо в стадии межоперационного пролеживания.
Объем незавершенного производства и правильное его распределение по стадиям производственного процесса оказывают существенное влияние на экономическую эффективность производства. Неоправданное увеличение незавершенного производства ведет к дополнительным затратам на хранение, транспортировку, к омертвлению оборотных средств.
Остатки незавершенного производства определяются по данным бухгалтерского учета или инвентаризации. Нормальная величина незавершенного производства на конец планового периода должна соответствовать условиям производства последующего периода.
Остатки готовой продукции на начало и конец года отражаются в бухгалтерском балансе по фактической производственной себестоимости, которая может быть рассчитана только после окончания отчетного периода. Поэтому текущий учет движения готовой продукции ведется по плановой производственной себестоимости или по свободным оптовым или розничным ценам.
Наряду с приведенными выше показателями существует еще один почти не употребляемый в настоящее время стоимостной измеритель объема производства — "чистая продукция" (и ее варианты — "условночистая" и "нормативночистая" продукция).
Условночистая продукция (УЧП) рассчитывается вычитанием из объема валовой (товарной) продукции стоимости затраченных на изготовление этой продукции материальных ресурсов. В результате УЧП можно представить как сумму затрат предприятия на оплату труда всех своих работников с начислениями (ОТ), прибыли (П) и амортизации (А):,
Сервис онлайн-записи на собственном Telegram-боте
Попробуйте сервис онлайн-записи VisitTime на основе вашего собственного Telegram-бота:
— Разгрузит мастера, специалиста или компанию;
— Позволит гибко управлять расписанием и загрузкой;
— Разошлет оповещения о новых услугах или акциях;
— Позволит принять оплату на карту/кошелек/счет;
— Позволит записываться на групповые и персональные посещения;
— Поможет получить от клиента отзывы о визите к вам;
— Включает в себя сервис чаевых.
Для новых пользователей первый месяц бесплатно.
Зарегистрироваться в сервисе

Если вычесть из показателя "условночистая продукция" сумму начисленной амортизации, то получим объем чистой продукции предприятия. Объем чистой продукции (ЧП) можно определить и как сумму заработной платы с начислениями на социальное страхование и прибыли:

В 1980х гг. в практике работы предприятий для оценки производственных результатов хозяйственной деятельности на основе трудовых затрат коллектива каждого предприятия использовался
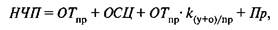
показатель "нормативночистая продукция" (НЧП), который исключал влияние на стоимостные показатели (объем товарной, валовой продукции, объем реализации) уровня материалоемкости продукции. Нормативночистая продукция исчислялась по утвержденным на каждое изделие нормативам:

где ОТпр — оплата труда производственных рабочих; ОСЦ— отчисления на социальное страхование; ^(у+о)/пр — коэффициент, отражающий отношение зарплаты работников по управлению и обслуживанию производства к зарплате производственных рабочих; Пр — прибыль, устанавливаемая на основе отраслевого норматива рентабельности к себестоимости продукции. В некоторых отраслях легкой промышленности для характеристики объема вырабатываемой продукции применялся показатель нормативной стоимости обработки (НСО), определяемый в стабильных для ряда лет нормативах стоимости обработки единицы готовой продукции или полуфабрикатов. Этот показатель также выражал нормативные затраты на изделие, деталь, операцию. Порядок и методы оценки по НСО аналогичны оценке по НЧП.
|