| Министерство образования Российской Федерации
Магнитогорский колледж современного образования
КУРСОВОЙ ПРОЕКТ
080108 «Банковское дело» КП 10
По дисциплине:
На тему:
Выполнил:
Проверила:
«Банковские операции»
«Депозитные операции кредитных организаций»
Киселев Н.
C
. гр.МБД-08
Федоренко Татьяна Сергеевна
Преподаватель МКСО
Магнитогорск
2010 Оглавление
Введение 3
Глава 1 Общие характеристики депозитных операций. 3
1.1. Депозитная политика коммерческих банков. 3
1.2. Виды депозитов. 3
Глава 2 Организация депозитных операций кредитных организаций. 3
2.1. Открытие вкладов. 3
2.2. Открытие и ведение депозитных счетов. 3
2.3. Начисление процентов по вкладам. 3
Глава 3 Анализ депозитных операций. 3
Заключение. 3
Список используемой литературы.. 3
Приложение. 3
Приложение 1. 3
Приложение 2. 3
Специфика банковского учреждения состоит в том, что подавляющая часть его ресурсов формируется не за счет собственных, а за счет заемных средств. Возможности банков в привлечении средств не безграничны и регламентированы со стороны Центрального Банка в любом государстве.
Основную часть ресурсов банков формируют привлеченные средства, которые покрывают до 90% потребности в денежных средствах для выполнения активных банковских операций. Банк имеет возможность привлекать средства предприятий, организаций, учреждений, населения и других банков в форме вкладов и открытия им соответствующих счетов.
Актуальность выбора темы курсовой работы связана с увеличением потребности коммерческих банков в депозитах. Потому что большую часть ресурсов банка формируют привлеченные средства, а в частности депозиты.
Целью написания работы является изучение депозитных операций и их организацию в коммерческих банках.
Исходя из целевой установки, были поставлены следующие задачи:
- рассмотреть общие характеристику депозитных операций, в том числе виды депозитов и депозитную политику кредитных учреждений;
- изучить организацию депозитных операций в коммерческих банках;
- проанализировать депозитную политику банков и их процентные ставки по депозитам;
Объектом исследования данной курсовой работы являются кредитные организации.
Предметом курсовой работы являются депозитные операции и их учет.
Забиваем Сайты В ТОП КУВАЛДОЙ - Уникальные возможности от SeoHammer
Каждая ссылка анализируется по трем пакетам оценки: SEO, Трафик и SMM.
SeoHammer делает продвижение сайта прозрачным и простым занятием.
Ссылки, вечные ссылки, статьи, упоминания, пресс-релизы - используйте по максимуму потенциал SeoHammer для продвижения вашего сайта.
Что умеет делать SeoHammer
— Продвижение в один клик, интеллектуальный подбор запросов, покупка самых лучших ссылок с высокой степенью качества у лучших бирж ссылок.
— Регулярная проверка качества ссылок по более чем 100 показателям и ежедневный пересчет показателей качества проекта.
— Все известные форматы ссылок: арендные ссылки, вечные ссылки, публикации (упоминания, мнения, отзывы, статьи, пресс-релизы).
— SeoHammer покажет, где рост или падение, а также запросы, на которые нужно обратить внимание.
SeoHammer еще предоставляет технологию Буст, она ускоряет продвижение в десятки раз,
а первые результаты появляются уже в течение первых 7 дней.
Зарегистрироваться и Начать продвижение
Депозитная политика банка является составляющей кредитной политики и во многом определяется ею. Однако выделение в деятельности банков работы по привлечению ресурсов и взаимообратное влияние результатов этой работы на формирование активов банка позволяют рассматривать депозитную политику как самостоятельную сферу управления пассивами баланса. Главной задачей депозитной политики банков в условиях инфляции является минимизация потерь от возрастающих инфляционных рисков, связанных с сокращением реальной ресурсной базы банка, возрастанием ее стоимости, неблагоприятным изменением структуры пассивов, уменьшением капитала банка вследствие возрастания кредитных и процентных рисков. В рамках этой задачи стратегия и тактика депозитной политики российских банков должны строиться с учетом следующих аспектов.
Решение проблемы сокращения реальных размеров привлекаемых банками средств в условиях инфляции видится в смен, акцентов банковского маркетинга и менеджмента, которые должны стать главными при определении стратегии и тактики депозитной политики. Повышение уровня конкуренции в сфере банковских услуг по обслуживанию и привлечению клиентуры заставляют банки разрабатывать новые схемы, инструменты, методы, подходы в работе с клиентами, которые отвечают их интересам и потребностям и не характерны для условий стабильной экономики («плавающие» процентные ставки, депозитные счета денежного рынка, закладные с корректировкой на уровень инфляции и др.).
Одним из главных направлений депозитной политики должна стать работа по приданию привлекательности предлагаемым банками инструментам привлечения ресурсов по отношению к аналогичным инструментам, эмитируемым их конкурентами, например, ценным бумагам за счет снижения процентных ставок (обход налоговых ограничений), сохранения от инфляционного обеспечения, особенно в условиях нестабильного замедления темпов инфляции (валютные номиналы), использования их одновременно в качестве инструмента привлечения, размещения, расчетов (денежные суррогаты и кредитная эмиссия).
Как уже было отмечено, в условиях инфляции рост номинальных процентных ставок на ссудном рынке и высокие значения нормативов обязательного резервирования означают удорожание стоимости привлекаемых банками средств от населения и предприятий в виде счетов, вкладов и депозитов. Данное обстоятельство противодействует выполнению другой важнейшей задачи депозитной политики — снижению себестоимости привлекаемых банками пассивов.
Сервис онлайн-записи на собственном Telegram-боте
Попробуйте сервис онлайн-записи VisitTime на основе вашего собственного Telegram-бота:
— Разгрузит мастера, специалиста или компанию;
— Позволит гибко управлять расписанием и загрузкой;
— Разошлет оповещения о новых услугах или акциях;
— Позволит принять оплату на карту/кошелек/счет;
— Позволит записываться на групповые и персональные посещения;
— Поможет получить от клиента отзывы о визите к вам;
— Включает в себя сервис чаевых.
Для новых пользователей первый месяц бесплатно.
Зарегистрироваться в сервисе
Депозиты — это главный вид привлекаемых коммерческими банками ресурсов. Действительно, именно они раскрывают содержание деятельности коммерческого банка как посредника в приобретении ресурсов на свободном рынке кредитных ресурсов. Классификация депозитов приводится в Схеме 1.
Схема 1 - "Классификация депозитов"

Исходя из категории вкладчиков, различают депозиты
• юридических лиц (предприятий, организаций, других банков);
• физических лиц.
По форме изъятия депозиты подразделяются на:
· до востребования (обязательства, не имеющие конкретного срока);
· срочные (обязательства, имеющие определенный срок);
· условные (средства, подлежащие изъятию при наступлении заранее оговоренных условий).
Депозиты до востребования представляют собой средства, которые могут быть востребованы в любой момент без предварительного уведомления банка со стороны клиента. К ним относятся:
• средства на расчетных, текущих, бюджетных и прочих счетах, связанных с совершением расчетов или целевым использованием средств;
• средства на корреспондентском счете банка, открытом в Расчетно-кассовом центре (PKЦ);
• средства на счете ЛОРО при установлении корреспондентских отношений с другими банками;
• вклады до востребования.
У большинства коммерческих банков депозиты до востребования составляют наибольшую долю в структуре привлеченных средств. Это, как правило, самый дешевый источник образования банковских ресурсов. Возможность владельца счета в любой момент изъять средства требует наличия в обороте банка повышенной доли высоколиквидных активов за счет сокращения доли менее ликвидных, но приносящих высокие доходы активов. Поэтому по остаткам на счетах востребования банки начисляют очень низкий процент либо вообще его не начисляют. В некоторых странах вообще запрещено законом начисление процентов по этим вкладам, ибо в конкурентной борьбе за пассивы банки повышают процентные ставки по счетам клиентов, .одновременно стремясь не допускать снижения прибыли, и решают эту проблему за счет рисковых кредитных вложений, приносящих повышенный доход, однако рисковые ссуды негативно отражаются ликвидности банка. Невзирая на высокую подвижность средств счетах до востребования, имеется возможность определить их минимальный неснижаемый остаток и использовать его в качестве стабильного кредитного ресурса.
Расчет доли «коротких» денег, которые можно трансформировать в «длинные» на определенный период, производится по формуле (1):
где (1)
А — доля «коротких» денег, которые можно трансформировать в «длинные» на определенный период; 0 ср
— средний остаток средств на счетах до востребования за период; 0кр
— кредитовый оборот по счетам до востребования за период.
К числу депозитов до востребования следует отнести и так называемый контокоррентный счет. Контокоррент — это соединение текущего счета со ссудным. Кредитовое сальдо означает, что клиент располагает собственными средствами, дебетовое — задолженность банку. Проценты по остатку на контокорренте начисляются в пользу банка по более высокой ставке, чем в пользу клиента. Контокоррентные счета открываются надежным клиентам, первоклассным заемщикам как знак особого доверия. Определенное сходство с контокоррентным счетом имеет счет с овердрафтом. Это счет, по которому на основе соглашения между клиентом и банком допускается в определенном размере превышение суммы списания по счету над величиной остатка средств, что означает заимствование кредита. Однако следует учитывать различия между этими счетами. При овердрафте, в отличие от контокоррента, такие заимствования осуществляются от случая к случаю, носят нерегулярный характер. Соответственно ятя этого счета более характерен пассивный остаток. Кроме того, контокоррентные счета открываются в адрес хозяйственных организаций — юридических лиц, в то время как счета с овердрафтом могут быть открыты и не юридическим лицам, а также физическим для покрытия временных разрывов в поступлении и расходовании средств.
К депозитам до востребования относятся корреспондентские счета банков, открываемых в РКЦ или банках-корреспондентах с целью осуществления расчетов и платежей в одностороннем порядке или по поручению друг друга. Корреспондентские счета подразделяются на два вида: НОСТРО (наши счета в банке-корреспонденте) и ЛОРО (их счета в нашем банке). Как правило, при установлении корреспондентских отношений между банками стороны предусматривают возможность образования овердрафта по этим счетам, предельный размер которого определяется условиями договора о корреспондентских отношениях между банками. Кредитовое сальдо по счетам НОСТРО и ЛОРО отражает в балансе банка ресурсы, поступившие в его распоряжение от банков-корреспондентов.
Открытие и обслуживание всех видов счетов до востребования предусматривает составление и оформление между банком и клиентом соответствующего договора. Если счет открывается физическому лицу, то данный договор называется договором банковского вклада до востребования. Для расчетных и текущих счетов юридических лиц предусматривается заключение договора банковского счета. Оба договора являются публичными и стандартными для всех клиентов банка. При этом заключение договора банковского вклада осуществляется сотрудниками операционных подразделений и бухгалтерии банка, а договора банковского счета — сотрудниками управления пассивных операций и клиентского отдела кредитной организации. При открытии корреспондентских счетов между банками подписывается договор об установлении корреспондентских отношений, на основании которого осуществляется процедура открытия и обслуживания счетов данного вида. Договор составляется и оформляется работником управления межбанковского кредитования и корреспондентских отношений коммерческого банка.
Нау-счета - депозитные счета, на которые можно выписывать расчетные тратты. Основной принцип заключается в сочетании ликвидности с получением дохода. Счета открываются только частным лицам и бесприбыльным организациям. От владельца не требуется хранение минимального остатка.
Срочные вклады — это депозиты, привлекаемые на определенный срок. Размер вознаграждения, выплачиваемого клиенту по срочному вкладу, зависит от срока, суммы депозита и выполнения вкладчиком условий договора. Твердо обозначенный срок хранения очень важен для поддержания ликвидности баланса коммерческого банка. Разумеется, это и позволяет банкам начислять по срочным договорам повышенные проценты. Сумма срочного вклада остается неизменной в течение всего срока действия договора о срочном депозитном вкладе. Ее нельзя увеличить или уменьшить иначе, как досрочно расторгнув договор. Но при этом вкладчику начисляются проценты по пониженной ставке либо не начисляются вовсе. Срочные вклады нельзя использовать для текущих платежей. По истечении срока вклад может быть изъят вкладчиком в любой момент.
Особое положение в зарубежной практике занимают сберегательные вклады. Основное их отличие от депозитов состоит в невозможности совершения платежей с таких счетов. Сберегательные вклады изначально делаются с целью накопления или сохранения денежных сбережений. В отечественной банковской практике при отсутствии такого понятия, как переуступка права требования по депозиту другому лицу (за исключением депозитных сертификатов, рассмотренных ниже), под сберегательными вкладами понимаются прежде всего операции с населением. Исторически сложившуюся на данный вид деятельности монополию со стороны Сбербанка удалось преодолеть с возникновением новых коммерческих банков, взявших на вооружение опыт Сберегательного банка и существенно разнообразивших условия обслуживания клиентуры.
Одним из способов увеличения объема привлекаемых ресурсов является разнообразие вкладов для различных слоев населения в зависимости от социального уровня, а также суммы и срока хранения вклада. При этом банки должны учитывать требования и возможности различных категорий вкладчиков — от пенсионеров и студентов до бизнесменов и людей среднего достатка. Для достижения этой цели кредитные организации предлагают такие виды вкладов, как пенсионные, студенческие и т.д., по которым банки предлагают льготные повышенные проценты. Немаловажными факторами в процессе привлечения депозитов являются скорость и простота оформления вклада (заключение договора, открытие счета). Договоры банковских вкладов могут быть как стандартной формы, так и индивидуальными в зависимости от категории клиента, суммы и срока вносимого депозита.
Усиливающаяся в банковской среде конкуренция заставляет кредитные организации прибегать в процессе борьбы за вкладчика и к таким методам, как предоставление полного комплекса услуг, связанных с обслуживанием счета конкретного клиента. При этом предлагается проведение дополнительных операций, таких, как оформление пластиковых карт, продажа дорожных чеков, конвертация по льготному курсу, ускоренные переводы денежных средств клиента, осуществление коммунальных платежей и т.д. Развитие широкого комплекса банковских услуг значительно повышает привлекательность кредитной организации в глазах имеющихся и потенциальных вкладчиков и способствует расширению ресурсной базы коммерческого банка.
Разновидностью срочных вкладов являются депозитные и сберегательные сертификаты. Сберегательный (депозитный) сертификат является ценной бумагой, удостоверяющей сумму вклада, внесенного в кредитную организацию, и права вкладчика (держателя сертификата) на получение по истечении установленного срока суммы вклада и обусловленных в сертификате процентов в кредитной организации, выдавшей сертификат, или в любом ее филиале.
Сертификаты могут выпускаться как в разовом порядке, так и сериями. Сертификаты могут быть именными или на предъявителя. Сертификат не может служить расчетным или платежным средством за проданные товары или оказанные услуги.
Денежные расчеты по купле-продаже депозитных сертификатов, выплате сумм по ним осуществляются в безналичном порядке, а сберегательных сертификатов — как в безналичном порядке, так и наличными средствами.
Сертификаты выпускаются в валюте Российской Федерации. Выпуск сертификатов в иностранной валюте не допускается. Владельцами сертификатов могут быть резиденты и нерезиденты в соответствии с действующим законодательством Российской Федерации и нормативными актами Банка России.
Денежные обязательства, возникающие при выпуске и обращении сертификатов, могут быть оплачены нерезидентами только с рублевых счетов, открытых в уполномоченных банках в соответствии с инструкцией Банка России «О порядке открытия уполномоченными банкамиI банковских счетов нерезидентов в валюте Российской Федерации проведения операций по этим счетам» от 12 октября 2000 г. № 93-И. Сертификаты должны быть срочными. Процентные ставки по сертификатам устанавливаются уполномоченным органом кредитной организации. Проценты по первоначально установленной при выдаче сертификата ставке, причитающиеся владельцу по истечении срокам обращения (когда владелец сертификата получает право востребования вклада или депозита по сертификату), выплачиваются кредитном организацией независимо от времени его покупки. В случае досрочного предъявления сберегательного (депозитного) сертификата к оплате кредитной организацией выплачивается сумма вклада и проценты по ставкам вкладов до востребования, если условиями сертификата не установлен иной размер процентов.
Если срок получения вклада (депозита) по сертификату просрочен, то кредитная организация несет обязательство оплатить означенные в сертификате суммы вклада и процентов по первому требованию его владельца. За период с даты востребования сумм по сертификату до даты фактического предъявления сертификата к оплате проценты не выплачиваются.
Кредитная организация не может в одностороннем порядке изменить (уменьшить или увеличить) обусловленную в сертификате ставку процентов, установленную при выдаче сертификата. Банк начисляет проценты по сберегательным (депозитным) сертификатам на остаток задолженности по основному долгу, учитываемый на соответствующем лицевом счете на начало операционного дня. Начисление процентов по сертификату осуществляется кредитной организацией не реже одного раза в месяц и не позднее последнего рабочего дня отчетного месяца. Выплата процентов по сертификату осуществляется кредитной организацией одновременно с погашением сертификата при его предъявлении.
Сравнение основных депозитных ресурсов приводится в Таблице 1.
Таблица 1 - "Сравнение депозитных ресурсов"
| Депозитные ресурсы
|
Сходства
|
Различия
|
| Депозиты до востребования
|
1.Являются депозитными ресурсами
|
1. Подвижный ресурс
|
| 2. Самый низкий %
|
| |
| Срочные депозиты
|
|
1. Установлен срок
|
| 2. Наличие процентных ставок
|
2. Нет возможности пополнения
|
| 3. Вклады
|
3. Выплата % по окончании срока
|
| Сберегательные вклады
|
|
1. Есть возможность пополнения
|
| 4. Пассивные операции
|
2. Возможность увеличения срока
|
| |
|
| Депозитные сертификаты
|
|
1. Ценная бумага
|
| |
2. Фиксированная % ставка
|
| |
|
Депозитные счета открываются на основании заключенного депозитного договора между собственником счета и учреждением банка на определенный в договоре срок. Средства на депозитные счета перечисляются с текущего счета хозяйственных субъектов и после окончания срока хранения возвращаются на этот же текущий счет. Открытие одного депозитного счета на двух или нескольких лиц не допускается. Для физических лиц банки открывают вкладные счета (сберегательные вклады).
Вкладчиками коммерческих банков могут быть:
· физические лица - резиденты (граждане России);
· физические лица - нерезиденты (иностранные граждане и лица без гражданства);
· юридические лица - резиденты (предприятия, зарегистрированные на территории РФ);
· юридические лица - нерезиденты (иностранные предприятия).
Вкладные счета открываются с выдачей вкладчику вкладного документа. Таким документом может быть сберегательная книжка (именная или на предъявителя), сберегательный сертификат, другой выданный банком документ, удостоверяющий заключение с банком договора сберегательного вклада.
Определим документы необходимые для открытия депозита для юридических лиц – резидентов:
1) свидетельство о государственной регистрации юридического лица (копия, заверенная юридическим лицом);
2) свидетельство о постановке на учет в налоговом органе (копия, заверенная юридическим лицом);
3) письмо по выгодоприобретателям, анкету- клиента (выгодоприобретателя), копии документов, необходимых для идентификации выгодоприобретателя;
4) депозитный договор (договор банковского вклада);
5) заявление клиента на открытие депозитного счета;
6) анкета клиента;
7) копию карточки с образцами подписей и оттиска печати, заверенную сотрудниками банка, в котором организацией открыт расчетный счет;
8) устав организации (копия, заверенная юридическим лицом);
9) паспорта лиц, указанных в карточке с образцами подписей (копии, заверенные сотрудником банка);
10) приказ о назначении на соответствующую должность лиц, подписывающих документы (копия, заверенная юридическим лицом);
11) доверенность (в случае необходимости), копии документов, необходимых для идентификации доверенного лица (копия паспорта, миграционной карты, документа, подтверждающего право иностранного гражданина или лица без гражданства на пребывание (проживание) в Российской Федерации, ИНН (если имеется), Анкета доверенного лица).
12) информационное письмо из ГОСКОМСТАТА (копия, заверенная юридическим лицом).
13) свидетельство о регистрации Индивидуального Предпринимателя, для предпринимателей (ЕГРП) или приказ о назначениии.
Определим документы необходимые для открытия депозита для юридических лиц - нерезидентов:
1) документы, подтверждающие правовой статус юридического лица - нерезидента по законодательству страны, на территории которой создано юридическое лицо (легализованные, переведенные на русский язык, копии, заверенные юридическим лицом);
2) документы, подтверждающие государственную регистрацию юридического лица - нерезидента (копия, заверенная юридическим лицом);
3) письмо по выгодоприобретателям, анкету- клиента (выгодоприобретателя), копии документов, необходимых для идентификации выгодоприобретателя;
4) депозитный договор (договор банковского вклада);
5) заявление клиента на открытие депозитного счета;
6) анкета клиента;
7) копию Карточки с образцами подписей и оттиска печати, заверенную сотрудниками банка, в котором организацией открыт расчетный счет;
8) устав организации (копия, заверенная юридическим лицом);
9) паспорта лиц, указанных в карточке с образцами подписей (копия, заверенная сотрудником банка);
10) приказ о назначении на соответствующую должность лиц, подписывающих документы (копия, заверенная юридическим лицом);
11) доверенность (в случае необходимости), копии документов, необходимых для идентификации доверенного лица (копия паспорта, миграционной карты, документ, подтверждающего право иностранного гражданина или лица без гражданства на пребывание (проживание) в Российской Федерации, ИНН (если имеется), Анкета доверенного лица.
12) Информационное письмо из ГОСКОМСТАТА (копия, заверенная юридическим лицом).
13) Свидетельство о регистрации Индивидуального Предпринимателя, для предпринимателей (ЕГРП) или приказ о назначении.
Определим документы необходимые для открытия депозита для физических лиц – нерезидентов:
1) документ, удостоверяющий личность (копия, заверенная сотрудником банка);
2) свидетельство о постановке на учет в налоговом органе (копия, заверенная сотрудником банка);
3) миграционная карта, и документ, подтверждающий право иностранного гражданина или лица без гражданства на пребывание (проживание) в РФ (копия, заверенная сотрудником банка);
4) письмо по выгодоприобретателям, анкету- клиента (выгодоприобретателя), копии документов, необходимых для идентификации выгодоприобретателя;
5) депозитный договор (договор банковского вклада);
6) заявление клиента о расторжении договора (в случае необходимости);
7) анкета клиента;
8) карточка с образцами подписей и оттиска печати;
9) доверенность (в случае необходимости), копии документов, необходимых для идентификации доверенного лица (копия паспорта, миграционной карты, документа, подтверждающего право иностранного гражданина или лица без гражданства на пребывание (проживание) в Российской Федерации, ИНН (если имеется), доверенного лица);
10) заявление на перевод денежных средств (в случае безналичного зачисления средств);
11) завещание (по желанию клиента);
12) cвидетельство о регистрации Индивидуального Предпринимателя, для предпринимателей (ЕГРП) или приказ о назначениии.
Определим документы необходимые для открытия депозита для физических лиц – резидентов:
1) документ, удостоверяющий личность (копия, заверенная сотрудником банка);
2) свидетельство о постановке на учет в налоговом органе при наличии (копия, заверенная сотрудником банка);
3) письмо по выгодоприобретателям, анкету- клиента (выгодоприобретателя), копии документов, необходимых для идентификации выгодоприобретателя;
4) депозитный договор (договор банковского вклада);
5) заявление клиента о расторжении договора (в случае необходимости);
6) анкета клиента;
7) карточка с образцами подписей и оттиска печати;
8) доверенность (в случае необходимости), копии документов, необходимых для идентификации доверенного лица (копия паспорта, миграционной карты, документа, подтверждающего право иностранного гражданина или лица без гражданства на пребывание (проживание) в Российской Федерации, ИНН (если имеется), Анкета доверенного лица);
9) заявление на перевод денежных средств (в случае безналичного зачисления средств);
10) акт приема-передачи карты (в случае наличия);
11) завещание (по желанию клиента);
12) cвидетельство о регистрации Индивидуального Предпринимателя, для предпринимателей (ЕГРП) или приказ о назначениии.
При осуществлении депозитных операций банк принимает денежные средства клиентов на соответствующие балансовые счета, которые определены планом счетов бухгалтерского учета. Депозитный счет - это счет, который банки открывают юридическим или физическим лицам для размещения свободных средств на депозиты с начислением процентов за депозиты.
В договоре об открытии депозитного счета оговариваются: вид вклада (срочный или «до востребования»), сумма, которая вносится или перечисляется на вкладной счет, размер платы; срок хранения; ответственность сторон; условия расторжения договора; другие условия по согласованию сторон. В случае заключения с банком договора сберегательного вклада «до востребования» по желанию клиента на этом счете могут осуществляться безналичные расчеты.
После окончания срока хранения денежных средств на основании договора срочного вклада средства с депозитного счета возвращаются вкладчику, перечисляются на его расчетный счет в соответствии с условиями договора или договор считается продленным на условиях вклада "до востребования".
Для коммерческого банка вклады "до востребования" являются нестабильными, что ограничивает возможность и сферу их использования. В связи с этим процентная ставка по вкладам до востребования всегда ниже ставки по срочным депозитам. Банк может потребовать от владельцев такого счета поддержания на нем заранее оговоренного остатка денежных средств.
Если вклады до востребования носят, в основном, краткосрочный характер, то срочные вклады вносятся на более долгий срок. Соответственно вкладчик получает более высокий процент, чем по вкладам до востребования. В связи со стабильностью срочных вкладов банк имеет возможность распоряжаться средствами вкладчика продолжительное время и, соответственно, увеличивать объемы своих кредитных операций. Коммерческие банки могут применять так называемые гибридные депозитные счета, которые объединяют свойства вкладов до востребования и срочных вкладов. Такие счета условно состоят из двух частей: приходно-расходной (до востребования) и срочную-накопительной (срочной).
Согласно Порядку начисления, учета, выплаты и удержание процентов и отражения их на счетах бухгалтерского учета в учреждениях банка проценты по депозитным счетам начисляются за календарное число дней. Начисление процентов по депозитным вкладам производится со дня внесения денег на счет или со дня поступления перечислений на корреспондентский счет банка.
Коммерческие банки постоянно стремятся внедрять новые виды депозитных счетов и использовать прогрессивные технологии их обслуживания. Современные схемы банковской работы с депозитными счетами построенные на принципах максимальной оперативности и эффективности для клиентов. Общие правила открытия и ведения депозитных счетов могут быть индивидуализированы отношении каждого отдельного клиента с учетом конкретной финансовой ситуации, которая сложилась у него и в банке.
Депозитные счета открываются как в национальной, так и в иностранной валютах. Коммерческие банки работают также с так называемыми дилинговыми депозитными счетами. В этой схеме клиент размещает на депозитном счете средства в национальной валюте – российских рублях. Банк ежедневно предоставляет клиенту котировки основных валют (это, как правило, доллар США, евро). Клиент, используя котировки, по собственному желанию меняет валюту счета и размещает эквивалент вклада на определенный срок. Дополнительный доход при этом может быть получен за счет различных процентных ставок и курсовых разниц.
Привлечение свободных валютных средств на счета в учреждения банков является чрезвычайно актуальным и важным для активизации инвестиционных процессов в экономике России.
Депозитные (вкладные) счета в иностранной валюте открываются физическим и юридическим лицам (резидентам и нерезидентам) уполномоченными банками.
Определяющим фактором при установлении размера процентное ставки по срочным вкладам является срок, на который размещен средства: чем длиннее срок, тем выше уровень процента. Существенным фактором является и частота выплаты дохода: чем реже осуществляются выплаты, тем выше уровень процентной ставки.
Для повышения заинтересованности вкладчиков в размещении своих средств банком используются различные способы исчисления и выплаты процентов. Традиционным видом исчисления дохода являются простые проценты, когда в качестве базы для расчета используется фактический остаток вклада и расчет производят исходя из предусмотренной договором процентной ставки.
Другим видом расчета дохода являются сложные проценты (начисление процента на процент). В этом случае по истечении расчетной периода на сумму вклада начисляется процент и полученная величина присоединяется к сумме вклада. Таким образом, в следующем рад четном периоде процентная ставка применяется к новой базе, возросшей на сумму начисленного ранее дохода. Сложные проценты целесообразно использовать в том случае, если фактическая выплата дохода осуществляется по окончании срока действия вклада. Разумно спланированная процентная политика позволяет коммерческому банку увеличивать свои ресурсы без значительного увеличения расходов при получении максимальной прибыли.
Для начисления процентов по вкладам (депозитам) применяются следующие формулы процентов:
1. формула простых процентов;
2. формула сложных процентов.
Порядок начисления процентов по вышеперечисленным формулам осуществляется с использованием фиксированной или плавающей ставки.
Фиксированная ставка, это когда установленная по вкладу банка процентная ставка, закреплена в депозитном договоре и остается неизменной весь срок вложения средств, т.е. фиксируется. Такая ставка может измениться только в момент автоматической пролонгации договора на новый срок или при досрочном расторжении договорных отношений и выплате процентов за фактический срок вложения по ставке «до востребования», что оговаривается условиями.
Плавающая ставка, это когда первоначально установленная по договору процентная ставка может меняться в течение всего срока вложения. Условия и порядок изменения ставок оговариваются в депозитном договоре. Процентные ставки могут изменяться: в связи с изменениями ставки рефинансирования, с изменением курса валюты, с переходом суммы вклада в другую категорию, и другими факторами.
Для начисления процентов с применением формул, используются следующие параметры вложения средств на депозитный счет:
· сумму вклада (депозита),
· процентную ставку по выбранному вкладу (депозиту),
· цикличность начисления процентов (ежедневно, ежемесячно, ежеквартально и т.д.),
· срок размещения вклада (депозита),
· иногда требуется и вид используемой процентной ставки - фиксированной или плавающей.
Ниже рассматриваются названные выше стандартные формулы процентов, которые применяются для расчета процентов по вкладам (депозитам):
1. Формула простых процентов.
Формула простых процентов применяется, если начисляемые на вклад проценты причисляются к вкладу только в конце срока депозита или вообще не причисляются, а переводятся на отдельный счет, т.е. расчет простых процентов не предусматривает капитализации процентов.
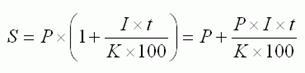
Когда сумма вклада и срок размещения значительные, а банком применяется формула простых процентов, это приводит к занижению суммы процентного дохода вкладчика. Формула простых процентов по вкладам (2) приводится ниже.

,где (2)
S — сумма денежных средств, причитающихся к возврату вкладчику по окончании срока депозита. Она состоит из первоначальной суммы размещенных денежных средств, плюс начисленные проценты.
I – годовая процентная ставка
t – количество дней начисления процентов по привлеченному вкладу
K – количество дней в календарном году (365 или 366)
P – первоначальная сумма привлеченных в депозит денежных средств
Sp – сумма процентов (доходов).
Расчет суммы простых процентов производится по следующей формуле(3).
,где (3)
Sp – сумма процентов (доходов).
I – годовая процентная ставка
t – количество дней начисления процентов по привлеченному вкладу
K – количество дней в календарном году (365 или 366)
P – сумма привлеченных в депозит денежных средств.
Примеры расчета простых процентов и суммы банковского депозита с простыми процентами:
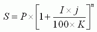
2. Формула сложных процентов.
Формула сложных процентов применяется, если начисление процентов по вкладу, осуществляется через равные промежутки времени (ежедневно, ежемесячно, ежеквартально), а начисленные проценты причисляются к вкладу, т. е. расчет сложных процентов предусматривает капитализацию процентов (начисление процентов на проценты).
Большинство банков, предлагают вклады с поквартальной капитализацией (Сбербанк России, ВТБ и т. д.), т.е. с начислением сложных процентов. А некоторые банки по вкладам предлагают капитализацию по окончанию срока вложения, т.е. когда вклад пролонгируется на следующий срок, что, относится к рекламному трюку, который подталкивает вкладчика не забирать начисляемые проценты, но само начисление процентов фактически осуществляется по формуле простых процентов. И когда сумма вклада и срок размещения значительные, такая «капитализация» не приводит к увеличению суммы процентного дохода вкладчика, ведь начисления процентов на полученные в предыдущих периодах процентные доходы нет.
Формула сложных процентов(4) приводится ниже.

,где (4)
I – годовая процентная ставка;
j – количество календарных дней в периоде, по итогам которого банк производит капитализацию начисленных процентов;
K – количество дней в календарном году (365 или 366);
P – первоначальная сумма привлеченных в депозит денежных средств;
n — количество операций по капитализации начисленных процентов в течение общего срока привлечения денежных средств;
S — сумма денежных средств, причитающихся к возврату вкладчику по окончании срока депозита. Она состоит из суммы вклада (депозита) с процентами.
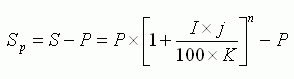
Расчет только сложных процентов приводится в формуле(5) представленной ниже :

,где (5)
I – годовая процентная ставка;
j – количество календарных дней в периоде, по итогам которого банк производит капитализацию начисленных процентов;
K – количество дней в календарном году (365 или 366);
P – первоначальная сумма привлеченных в депозит денежных средств;
n — количество операций по капитализации начисленных процентов в течение общего срока привлечения денежных средств;
Sp – сумма процентов (доходов).
Для анализа депозитных операций коммерческого банка используется коэффициент эффективности использования депозитных средств или коэффициент эффективности депозитных операций.
Коэффициент эффективности депозитных операций показывает какая сумма депозитных средств приходится на 1 рубль кредитных вложений коммерческого банка.
Коэффициент эффективности использования депозитных средств (Кэф.д.о
) должен быть в пределах от 0,7 до 1,3,(0,7≤ Кэф.д.о
≤1,3). Когда Кэф.д.о
равен 1, значит что банк все привлеченные (депозитные) средства выдал в виде кредитов и не затронул собственных средств. Если Кэф.д.о
больше 1 это значит, что у банка есть запас депозитных средств и он может разместить эти средства путем предоставления дополнительных кредитов, но Кэф.д.о
не должен быть и больше 1,3 потому что это показывает, что у банка много неосвоенных привлеченных средств, а это упущенная выгода для банка. А когда наоборот Кэф.д.о
меньше 1 это свидетельствует что коммерческий банк выдает кредиты привлекая все депозитные средства и часть собственных средств, тем самым повышая риск текущей ликвидности банка.
Поэтому, самое доходное и в тоже время эффективное положение Кэф.д.о
приближено к 1(±0,05).
Коэффициент эффективности депозитных операций рассчитывается по следующей формуле (6)
где (6)
ДС – депозитные средства;
КВ – кредитные вложения.
Для сравнительного анализа использовались данные на 1 июля 2009 года следующих кредитных учреждений:
· ЗАО «Банк Русский Стандарт»;
· ОАО «КредитУралБанк (КУБ)»;
· ОАО «Сбербанк России».
Эти данные представлены в Таблице 2.
Таблица 2 – «Данные для анализа депозитных операций»
| Показатели
|
Русский стандарт
|
КредитУралБанк
|
Сбербанк России
|
| На отчетную дату(1
)
|
На соответствующую дату прошлого года(0
)
|
На отчетную дату(1
)
|
На соответствующую дату прошлого года(0
)
|
На отчетную дату(1
)
|
На соответствующую дату прошлого года(0
)
|
| Депозитные ресурсы, тыс. руб.
|
160322518
|
117430843
|
13275536
|
17871328
|
4608695961
|
3510515954
|
| Кредитные вложения, тыс. руб.
|
141031506
|
148734761
|
13303383
|
17251189
|
4702616966
|
3226443734
|
| Коэффициент эффективности депозитных операций
|
1,1368
|
0,7895
|
0,9979
|
1,0359
|
0,9800
|
1,0880
|
Банк Русский Стандарт
1) Расчет скорректированного коэффициента

2) Расчет изменения Кэф.д.о
под влиянием изменения ДС
3) Расчет изменения Кэф.д.о
под влиянием изменения КВ

Кэф.д.о
на 1 июля 2009 года по сравнению с соответствующей датой прошлого года «Банка Русский Стандарт» вырос на 0,3473, что положительно сказалось на использовании депозитных средств банка.
Под влиянием роста кредитных вложений Кэф.д.о
увеличился на 0,0589, а при росте привлечения депозитных средств Кэф.д.о
увеличился на 0,2884.
КредитУралБанк
1) Расчет скорректированного коэффициента

2) Расчет изменения Кэф.д.о
под влиянием изменения ДС
3) Расчет изменения Кэф.д.о
под влиянием изменения КВ

Кэф.д.о
«КредитУралБанка» снизился на 0,038, но это слишком малое изменение, чтобы принести отрицательный либо положительный эффект изменения использования депозитных средств. Но в целом это положительно, так как КУБ проявляет свою устойчивость и стабильность.
Уменьшение депозитных средств привело к снижению Кэф.д.о
на 0,2664, а снижение кредитных вложений в свою очередь увеличило Кэф.д.о
на 0,2284.
Сбербанк России
1) Расчет скорректированного коэффициента

2) Расчет изменения Кэф.д.о
под влиянием изменения ДС
3) Расчет изменения Кэф.д.о
под влиянием изменения КВ

У Сбербанка Кэф.д.о
снизился на гораздо более ощутимое значение чем у КУБа – на 0,1081, это значит что для выдачи кредитов Сбербанк использовал большую долю чем КУБ, тем самым увеличивая риск текущей ликвидности.
Увеличение привлечения депозитных средств увеличило Кэф.д.о
на 0,3403 , а увеличение кредитных вложений снизило Кэф.д.о
на 0,4484.
Сравнительный анализ показал, что наиболее эффективно использует депозитные средства «КредитУралБанк», так как и в прошлом и в отчетном периоде он обеспечивал наибольшую доходность депозитных средств с наименьшими рисками.
А «Сбербанк» и «Банк Русский Стандарт» соответственно, по сравнению с КУБом, либо нагружали себя рисками, либо оставляли «неработающие» депозитные средства, что при нестабильности рынка банковских услуг могло привести к убыткам банка по этому виду деятельности.
Сегодня коммерческий банк способен предложить клиенту до 200 видов разнообразных банковских продуктов и услуг. Следует учитывать, что далеко не все банковские операции повседневно присутствуют и используются в практике конкретного банковского учреждения (например, выполнение международных расчетов или трастовые операции). Но есть определенный базовый набор, без которого банк не может существовать и нормально функционировать. Среди них не последнее место занимают привлечение и размещение временно свободных средств во вклады.
Депозиты являются важным источником ресурсов коммерческих банков. Депозитные счета могут быть самыми разнообразными и в основном их классификации могут быть положены такие критерии, как источники вкладов, их целевое назначение, степень доходности и т.д.
Структура их в банке подвижна и зависит от конъюнктуры денежного рынка. Этому источнику формирования банковских ресурсов присущи некоторые недостатки. Речь идет о значительных материальных и денежных затратах банка при привлечении средств во вклады, ограниченности свободных денежных средств в рамках отдельного региона. Кроме того, мобилизация средств во вклады, зависит в значительной степени от клиентов, а не от самого банка. И, тем не менее, конкурентная борьба межу банками на рынке кредитных ресурсов заставляет их принимать меры по развитию услуг, способствующих привлечению депозитов. Для этих целей коммерческим банкам важно разработать стратегию депозитной политики, исходя из целей и задач коммерческого банка, закрепленных в его Уставе и из необходимости сохранения банковской ликвидности.
Единственным по настоящему устойчивым источником роста кредитных ресурсов банка являются организованные сбережения населения. Среднемесячный темп прироста частных вкладов вот уже два года стабильно держится на уровне 3,6-3,7 %. Фундаментом быстрого роста вкладов населения является тенденция к увеличению его реальных доходов, которая носит устойчивый характер.
Для устойчивого развития банковской системы необходимо защитить банки от риска досрочного изъятия вкладов и создать эффективную систему гарантирования вкладов.
Укрепление депозитной базы очень важно для банков. За счет увеличения общего объема вкладов и расширения круга вкладчиков юридических лиц и физических лиц, можно улучшить организацию депозитных операций и систему стимулирования привлечения вкладов. Это можно достигнуть путем расширения депозитных счетов юридических и физических лиц до востребования, что позволит полнее удовлетворить потребности клиентов, улучшить обслуживание, повысить заинтересованность в размещении средств в банках.
Сравнительный анализ показал, что наиболее эффективно использует депозитные средства «КредитУралБанк», так как и в прошлом и в отчетном периоде он обеспечивал наибольшую доходность депозитных средств с наименьшими рисками.
А «Сбербанк» и «Банк Русский Стандарт» соответственно, по сравнению с КУБом, либо нагружали себя рисками, либо оставляли «неработающие» депозитные средства, что при нестабильности рынка банковских услуг могло привести к убыткам банка по этому виду деятельности.
1. Банковское дело: Учебник – 2-е изд. перераб. и доп./ Под ред. О.И. Лаврушина. – М., Финансы и статистика, 2007.- 672 с.
2. Банковское дело: Учебник –./ Под ред. д-ра экон. наук, проф. Г.Г.Коробовой. – М., Экономистъ, 2003.- 751 с.
3. Белов А.А. Учет денежных, валютных и расчетных операций: Учебно-методическое пособие/А.А.Белов, А.Н.Белов.- М.:КНОРУС, 2005.- 352 с.
4. Бурлак Г.Н. и др. Техника валютных операций. Практикум: Учеб.пособие для вузов/ Г.Н.Бурлак, О.И.Кузнецова, Н.В.Сергеева; ВЗФЭИ. –М.:ЗАО «Финстатинформ», 2002.-192 с.
5. Деньги, кредит, банки: Учебник/ Под ред. О.И.Лаврушина.- 2-е и изд., перераб. и доп. – М.: Финанасы и статистика, 2003.-464 с.
6. Банковское дело: Конспект лекций/Г.М. Тарасова – Ростов н/Д.: Феникс, 2006. -192с.
7. Деньги, кредит, банки: Учебн. пособие/В.П. Воронин, С.П. Федосеева. – М.: Юрайт-Издат, 2002. -269с.
ДЕПОЗИТНЫЙ ДОГОВОР N __________
г.___________ "____"____________ 20___г.
_____________________________________________________________________________
( полное наименование банка )
именуемый в дальнейшем "Банк", в лице _______________________________________
( Ф.И.О., должность )
действующего на основании Устава,с одной стороны, и__________________________
_____________________________________________________________________________
( полное наименование организации-вкладчика )
в лице ______________________________________________________________________
( Ф.И.О., должность )
действующего на основании __________________________________________________
именуемый в дальнейшем "Вкладчик",с другой стороны, заключили настоящий дого-
вор о нижеследующем:
1. Предмет договора
1.1. Вкладчик обязуется передать Банку временно свободные денежные
средства в сумме ____________________________________________________________
( цифрами и прописью )
на срок до "___"____________ 20___г.
1.2. Указанная сумма перечисляется Вкладчиком своим платежным поручением
с учетом необходимого документооборота между банками не позднее
"___"__________ 20___г.
Под фактической датой перечисления средств следует понимать дату зачисле-
ния средств на депозитный счет N _____________ в Операционное управление бан-
ка.
1.3. Банк обязуется хранить полученные денежные средства на депозитном
счете и вернуть их вкладчику не позднее 10 календарных дней после срока, ука-
занного в п.1.1 настоящего договора. Возврат принятых на хранение сумм обеспе-
чен средствами уставного и других фондов Банка.
Под фактической датой возврата депозита следует понимать дату зачисления
средств на счет Вкладчика N __________ в ___________________________________
( наименование учреждения банка )
2. Плата за депозит.
2.1. За пользование депозитом Банк вносит плату в размере
____________________________ % годовых.
( цифрами и прописью )
При несвоевременном возврате депозита, то есть после срока, определенного
с учетом п.1.3. настоящего договора, плата за депозит вносится в размере
Продолжение Приложение 1
______________________________________________________________________________
( цифрами и прописью )
2.2. Проценты по депозиту начисляются и перечисляются Банком ежемесячно
не позднее _________________ числа месяца, следующего за отчетным. Под факти-
ческой датой перечисления платы за депозит следует понимать дату зачисления
средств на расчетный счет вкладчика.
Отсчет срока по начислению процентов начинается с даты зачисления средств
Вкладчика на депозитный счет в Операционном управлении банка и заканчивается
датой списания средств с этого счета.
2.3. В случае непоступления платы за депозит в срок, согласно п.2.2
настоящего договора, причитающиеся с Банка проценты считаются как несвоевре-
менно уплаченные. За каждый день просрочки платежа Банк уплачивает Вкладчику
пеню в размере 0,07% от суммы просроченного платежа по процентам.
3. Условия депозита
3.1. В пределах срока депозита Банк вправе распоряжаться денежными
средствами по своему усмотрению, в том числе путем использования их в качестве
кредитных ресурсов.
3.2. При возникновении у Вкладчика временной потребности в денежных
средствах в пределах срока депозита он имеет право на получение кредита в пре-
делах размера депозита на более льготных условиях по сравнению с другими ссу-
дозаемщиками.
3.3. Прочие условия _____________________________________________________
______________________________________________________________________________
______________________________________________________________________________
______________________________________________________________________________
4. Досрочное взыскание и возврат депозита
4.1. Вкладчик имеет право на досрочное бесспорное взыскание и возврат де-
позита в случаях:
- несвоевременного перечисления Банком платы за депозит;
- объявления Банка неплатежеспособным в общеустановленном порядке.
В указанных случаях Банк по первому требованию Вкладчика, выраженному в
письменном виде, возвращает сумму депозита в течение трех рабочих дней с даты
получения данного требования.
Во всех остальных случаях досрочный возврат депозита по инициативе Вклад-
чика осуществляется Банком при условии письменного уведомления Банка за 30 ка-
лендарных дней. При этом Банк вправе при досрочном возврате депозита удержать
комиссию в размере 50% от суммы выплаченных процентов.
4.2. Банк имеет право досрочно вернуть депозит по своей инициативе, если
он предупредит Вкладчика о своем решении в письменном виде за 30 календарных
дней. При этом Банк уплачивает "Вкладчику" проценты за фактический срок поль-
зования депозитом.
5. Рассмотрение споров
Разногласия, возникающие в процессе выполнения условий настоящего догово-
ра, предварительно рассматриваются сторонами в целях выработки взаимоприемле-
мого решения с оформлением протокола рассмотрения.
При невозможности урегулирования споров и разногласий путем двустороннего
соглашения они передаются на рассмотрение в органы арбитражного суда или суда.
Окончание Приложение 1
6. Изменение условий договора
Договор может быть изменен по взаимному соглашению сторон. Все изменения
и дополнения к данному договору будут действительны, если они совершены в
письменном виде и подписаны уполномоченными представителями с обеих сторон.
7. Срок действия договора
Срок действия договора начинается с даты его подписания и заканчивается
датой после полного возврата депозита, причитающихся процентов по нему, а так-
же комиссий и неустоек, вытекающих из условий договора.
Договор составлен в двух экземплярах, имеющих одинаковую силу.
8. Юридические адреса сторон
Банк: Вкладчик:
_____________________ _______________________
_____________________ _______________________
_____________________ _______________________
_____________________ _______________________
( подпись ) ( подпись )
М.П. М.П.

|