1. Принятие управленческого решения, его сущность и основные особенности.1
2. Природа процесса принятия решений, классификация управленческих решений.1
3. Понятие организационных решений, их виды. Характеристика организационных решений.2
4. Место процесса принятия решений в процессе управления. Законы, принципы, методы управления и их значение в процессе принятия решений.3
5. Цикл принятия решений, его структура и состав элементов. Требования, предъявляемые к качеству управленческих решений.4
6. Понятие технологии процесса принятия решений. Факторы принятия решений.4
7. Понятие стилей управления. Влияние ценностных ориентацией на способы принятия решений. 5
8. Среда принятия решений. Принятие решений в условиях неопределенности и риска.5
9. Информационные и поведенческие ограничения процесса принятия решений и их характеристика.6
10. Последствия принятия решений. Их взаимосвязь, взаимозависимость.6
11. Классификация методов принятия решений (метод ИО, метод теории полезностей, метод анализа иерархий, метод принятия решений на основе теории нечетких множеств).6
12. Автоматизированные системы принятия, планирования, синтеза решений и их классификация.8
13. Методы принятия инвестиционно-финансовых решений в условиях определенности.8
14. Модель формирования оптимальной инвестиционной программы при заданных бюджете и программе производства.9
17. Многокритериальная оптимизация в ИО.10
18. СМО и их модели в экономике, финансах и банковском деле.11
19. Управление запасами.11
20. Принятие решений на основе метода анализа иерархий.12
21. Иерархическое представление проблемы.12
22. Синтез приоритетов на иерархии и оценка ее однородности.12
23. Многокритериальный выбор на иерархиях с различным числом и составом альтернатив под критериями.13
24. Методика решения прикладных задач.14
26. Элементы теории нечетких множеств.15
27. Нечеткие операции, отношения, свойства отношений.15
28. Многокритериальный выбор альтернатив на основе теории нечетких множеств.16
Можно понятие «принятие решения» трактовать в узком и широком смысле.
В узком смысле
- это заключительный акт деятельности по выявлению, анализу различных вариантов решения, направленный на выбор и утверждение лучшего варианта решения. В данном случае решение рассматривается как акт выбора
, осуществляемый индивидуальным или групповым ЛПР с помощью определенных правил.
Забиваем Сайты В ТОП КУВАЛДОЙ - Уникальные возможности от SeoHammer
Каждая ссылка анализируется по трем пакетам оценки: SEO, Трафик и SMM.
SeoHammer делает продвижение сайта прозрачным и простым занятием.
Ссылки, вечные ссылки, статьи, упоминания, пресс-релизы - используйте по максимуму потенциал SeoHammer для продвижения вашего сайта.
Что умеет делать SeoHammer
— Продвижение в один клик, интеллектуальный подбор запросов, покупка самых лучших ссылок с высокой степенью качества у лучших бирж ссылок.
— Регулярная проверка качества ссылок по более чем 100 показателям и ежедневный пересчет показателей качества проекта.
— Все известные форматы ссылок: арендные ссылки, вечные ссылки, публикации (упоминания, мнения, отзывы, статьи, пресс-релизы).
— SeoHammer покажет, где рост или падение, а также запросы, на которые нужно обратить внимание.
SeoHammer еще предоставляет технологию Буст, она ускоряет продвижение в десятки раз,
а первые результаты появляются уже в течение первых 7 дней.
Зарегистрироваться и Начать продвижение
В широком смысле
принятие решения - это процесс,протекающий во времени, осуществляемый в несколько этапов. Другими словами, это совокупность всех этапов и стадий по подготовке (выработке) решения, включая заключительный этап непосредственного принятия решения.
Цель управленческого решения
– обеспечение движения к поставленным перед организацией задачам. Поэтому наиболее эффективным организационным решением явится выбор, который будет на самом деле реализован и внесет наибольший вклад в достижение конечной цели.
Поэтому сущность решения заключается в следующем:
- диагноз проблемы
- формулировка ограничений критериев для принятия решений
- выявление альтернатив
- оценка альтернатив
- окончательный выбор
- установление обратной связи: оценка последствий решения и сопоставление результатов с предполагаемыми.
Принятие решения
– это выбор одного курса действий, одной альтернативы из ряда имеющихся. Если нет альтернатив, то нет выбора и, следовательно, нет и решения. С этих позиций подписание руководителем документа под названием, например, «О подготовке к отопительному сезону» не является принятием решения, хотя иногда так и называется.
Таким образом, характерной особенностью любой ситуации, связанной с принятием решения, является наличие нескольких альтернативных (взаимоисключающих) вариантов действий, из которых надо выбрать наилучший. Выбор одного из вариантов действий и представляет собой решение ЛПР. Причем варианты действий направлены как на проведение определенных изменений, так и на сохранение (поддержание) существующего положения, например высокой рыночной доли, производительности труда. Наиболее сложные решения связаны с проведением различных изменений, прежде всего стратегического характера.
На протяжении всего развития общества человечеству приходится постоянно принимать те или иные решения, которые могут быть значительными или незначительными, объемными – необъемными, долгосрочными – не долгосрочными.
Менеджером можно назвать человека только тогда, когда он принимает управленческие решения или реализует их через других людей. Необходимость принятия решения пронизывает все, что делает управляющий, формулируя цели и добиваясь их достижения. Поэтому понимание природы принятия решений чрезвычайно важно для всякого, кто хочет преуспеть в искусстве управления.
Сервис онлайн-записи на собственном Telegram-боте
Попробуйте сервис онлайн-записи VisitTime на основе вашего собственного Telegram-бота:
— Разгрузит мастера, специалиста или компанию;
— Позволит гибко управлять расписанием и загрузкой;
— Разошлет оповещения о новых услугах или акциях;
— Позволит принять оплату на карту/кошелек/счет;
— Позволит записываться на групповые и персональные посещения;
— Поможет получить от клиента отзывы о визите к вам;
— Включает в себя сервис чаевых.
Для новых пользователей первый месяц бесплатно.
Зарегистрироваться в сервисе
Принятие решений, так же как и обмен информацией, - составная часть любой управленческой функции. Необходимость принятия решений возникает на всех этапах процесса управления, связана со всеми участками и аспектами управленческой деятельности и является её квинтэссенцией.
Решение
– это выбор альтернативы. Однако в управлении принятие решения – более систематизированный процесс, чем в частной жизни. Ставки зачастую много выше. Частный выбор индивида сказывается, прежде всего, на жизни его собственной и немногих связанных с ним людей. Менеджер выбирает направление действий не только для себя, но и для организации и других работников.
Управленческое решение
– это выбор, который должен сделать руководитель, чтобы выполнить обязанности, обусловленные занимаемой им должностью (выбор альтернативы, осуществлённый руководителем в рамках его должностных полномочий и компетенции и направленный на достижение целей организации). Принятие решений является основой управления.
Цель управленческого решения
– обеспечение движения к поставленным перед организацией задачам. Поэтому наиболее эффективным организационным решением явится выбор, который будет на самом деле реализован и внесет наибольший вклад в достижение конечной цели.
Принятие решения присуще любому виду деятельности и от него может зависеть результативность работы одного человека, группы людей или всего народа определенного государства. С экономической и управленческой точек зрения принятие решений следует рассматривать, как фактор повышения эффективности производства.
Эффективность производства в каждом конкретном случае зависит от качества принятого менеджером решения.
Принятие решений – составная часть любой управленческой функции.
Решение, как процесс, характеризуется тем, что он, протекает во времени, осуществляясь в несколько этапов.
Классификация: (типология)
Интуитивные решения.
Это выбор, сделанный только на основе ощущения того, что он правилен. Лицо, принимающее решение, не занимается при этом сознательным взвешиванием "за" и "против" по каждой альтернативе и не нуждается даже в понимании ситуации.
Решения, основанные на суждениях.
Это выбор, обусловленный знаниями или накопленным опытом. Человек использует знание о том, что случалось в сходных ситуациях ранее, чтобы спрогнозировать результат альтернативных вариантов выбора в существующей ситуации. Опираясь на здравый смысл, он выбирает альтернативу, которая принесла успех в прошлом.
Для стратегического и тактического управления любой подсистемы системы менеджмента принимаются рациональные решения
, основанные на методах экономического анализа, обоснования и оптимизации.
Поскольку решения принимаются людьми, то их характер во многом несет на себе отпечаток личности менеджера, причастного к их появлению на свет. В связи с этим принято различать:
Уравновешенные решения
принимают менеджеры, внимательно и критически относящиеся к своим действиям, выдвигаемым гипотезам и их проверке. Обычно, прежде чем приступить к принятию решения, они имеют сформулированную исходную идею.
Импульсивные решения
, авторы которых легко генерируют самые разнообразные идеи в неограниченном количестве, но не в состоянии их как следует проверить, уточнить, оценить. Решения поэтому оказываются недостаточно обоснованными и надежными, принимаются "с наскока", "рывками".
Инертные решения
становятся результатом осторожного поиска. В них, наоборот, контрольные и уточняющие действия преобладают над генерированием идей, поэтому в таких решениях трудно обнаружить оригинальность, блеск, новаторство.
Рискованные решения
отличаются от импульсивных тем, что их авторы не нуждаются в тщательном обосновании своих гипотез и, если уверены в себе, могут не испугаться любых опасностей.
Осторожные решения
характеризуются тщательностью оценки менеджером всех вариантов, сверхкритичным подходом к делу. Они в еще меньшей степени, чем инертные, отличаются новизной и оригинальностью.
Перечисленные виды решений принимаются, в основном, в процессе оперативного управления персоналом. Как было сказано выше, для стратегического и тактического управления любой подсистемы системы менеджмента принимаются рациональные решения, основанные на методах экономического анализа, обоснования и оптимизации.
ОР - это выбор, который должен сделать менеджер, обусловленный занимаемым им уровнем управления. Целью ОР является обеспечение решения поставленных перед предприятием задач. Оптимальным ОР считается такое, которое будет на самом деле реализовано и внесет максимальный вклад в достижение поставленной цели.
Виды ОР:
1. Запрограммированные.
Запрограммированные решения - это результат реализации определенной последовательности действий при ограниченном числе альтернатив изменяющихся в пределах заданных организацией направлений.
Запрограммированные решения имеют следующие достоинства:
1. повышают эффективность работы организации;
2. снижают вероятность управленческой ошибки;
3. экономят время менеджера, т.к. при повторном возникновении управленческой ситуации не приходится разрабатывать новую процедуру принятия и осуществления решений.
2. Незапрограммированные.
Незапрограммированные решения - это решения, требующиеся в новых, внутренне неструктурированных или сопряженных с неизвестными факторами, управленческих ситуациях. К данному типу относят следующие виды решений: определение целей организации; усовершенствование структуры управления; обеспечение мотивации подчиненных.
На практике, незапрограммированные и запрограммированные решения в чистом виде встречаются крайне редко. Отметим, что практически в любом случае принятия решения возможно наступление отрицательных последствий.
Характер ОР.
ППР может носить один из следующих характеров: интуитивный; основанный на суждениях; рациональный.
Интуитивные решения - это выбор, сделанный на основе только ощущения того, что он правильный. Менеджер при этом не оценивает альтернативу и даже не нуждается в понимании сложившейся ситуации. Он как бы руководствуется 6-ым чувством (90 % решений. принимаемых топ-менеджерами, интуитивные) хотя именно эти решения в максимальной степени зависят от случайности.
Решения, основанные на суждениях - это выбор, обусловленный знаниями или накопленным опытом. Менеджер использует знания о ПР в сходных ситуациях. Опираясь на здравый смысл, он выбирает ту альтернативу, которая принесла успех в прошлом. Поскольку данное решение опирается на замысел руководителя, то его отличает быстрота и дешевизна принятия. Однако такое решение невозможно принять по отношению ко вновь возникшей ситуации, т.к. у менеджера отсутствует опыт, на основе которого он мог бы сделать логический вывод. В сложной ситуации такое решение может оказаться недостаточно точным, т.к. существует большое количество факторов, которые необходимо учитывать, а человеческих разум не в состоянии их охватить и сопоставить. Поскольку суждения всегда опираются на опыт, то принимаемые менеджером решения дублируют его прежние действия. Такой подход уводит его в сторону от новых вариантов альтернатив и новых областей принятия решений.
Рациональные решения - это решения, принятые на основе анализа существующих альтернатив независимо от прошлого опыта с использованием современных экономико-математических методов и моделей принятия решений.
Менеджер определяет направление роста организации. При этом он изыскивает для этого возможности как внутри организации, так и за её пределами; разрабатывает и запускает проекты по совершенствованию, приносящие изменения; контролирует разработку определенных проектов. Когда организация сталкивается с неожиданными нарушениями, менеджер отвечает за корректировочные действия. Он отвечает за распределение всевозможных ресурсов организации. Представляет организациюна всех значительных и важных переговорах.
Принятие решений
– важная часть управленческой деятельности, это осознанный выбор из множества вариантов (альтернатив) наиболее эффективных действий, способствующих достижению поставленных организацией целей. Это важно как для самой организации, так и для каждого из ее сотрудников. Процесс принятия решений лежит в основе:
- планирования (задачи, цели, решения по размещению ресурсов и рациональному их использованию, стратегия и т.д.),
- организационных решений (структура организации, качество продукции, новые технологии, вовлечение во все уровни управления)
- мотивации действий, которые ведут к заинтересованности персонала в конечном результате
- контроля за всеми действиями и решениями
Выделяют 2 вида решений: индивидуальные (требует наличия индивидуального умения принимать решение и брать риск на себя) и организационные (вовлекаются все уровни управления и создается среда для принятия решений).
В любом случае, этапы решения:
1. Диагноз проблемы
2. Формулировка возможных критериев решения
3. Выявление альтернатив
4. Выбор решения
От качества решений зависит эффективность производства и удовлетворенность каждого сотрудника.
Основными критериями, отличающими управленческие решения, являются:
1.Цели.
Субъект управления (будь то индивид или группа) принимает решение исходя не из своих собственных потребностей, а в целях решения проблем конкретной организации.
2.Последствия.
Частный выбор индивида сказывается на его собственной жизни и может повлиять на немногих близких ему людей. Менеджер, особенно высокого ранга, выбирает направление действий не только для себя, но и для организации в целом и её работников, и его решения могут существенно повлиять на жизнь многих людей. Если организация велика и влиятельна, решения её руководителей могут серьёзно отразиться на социально - экономической ситуации целых регионов. Например, решение закрыть нерентабельное предприятие компании может существенно повысить уровень безработицы.
3.Разделение труда.
Если в частной жизни человек, принимая решение, как правило, сам его и выполняет, то в организации существует определённое разделение труда: одни работники (менеджеры) заняты решением возникающих проблем и принятием решений, а другие (исполнители) - реализацией уже принятых решений.
4.Профессионализм.
В частной жизни каждый человек самостоятельно принимает решения в силу своего интеллекта и опыта. В управлении организацией принятие решений - гораздо более сложный, ответственный и формализованный процесс, требующий профессиональной подготовки. Далеко не каждый сотрудник организации, а только обладающий определёнными профессиональными знаниями и навыками наделяется полномочиями самостоятельно принимать определённые решения.
Цикл
– анализ внешней среды, анализ внутренней среды, определение проблемы, формулирование альтернатив, оценка альтернатив, выбор альтернативы, реализация решения, корректировка, уточнение, доводка.
Типы структур управленческих решений:
- формальная
, её компоненты: цель решения, информационная основа, критерии выбора альтернатив, гипотезы.
- уровневая
(на каком уровне принимается решение): автократический(решение принимается руководителем); автономный(руководитель + другие члены); локально-коллегиальный(путем межличностных контактов с участниками выбора альтернативы, с вовлечением коллектива); интегративно-коллегиальный(ПУР – продукт всей группы); метаколлегиальный(руководитель выступает на правах рядового члена группы).
- операционная структура
: проведение операций распознавания проблемных ситуаций, определение круга лиц для решения, объективизация выбора, операции мотивирования, координация всех действий по принятию решений.
- процесс ПУР (принятие управленческого решения)
– как интегральный процесс образован набор следующих компонентов: информационная основа для выработки решения, правила или нормативные ограничения, критерии(следует или нет, например, внедрять новую технику, или минимизировать затраты), способы(конкретные процедуры принятие решений).
Рассмотрим основные этапы процесса принятия управленческих решений:
1. Получение информации о ситуации
2. Определение целей
3. Разработка оценочной системы
4. Анализ ситуации
5. Диагностика ситуации
6. Разработка прогноза развития ситуации
7. генерирование альтернативных вариантов решений
8. Отбор основных вариантов управляющих воздействий
9. Разработка сценариев развития ситуации
11. Коллективная экспертная оценка
10. Экспертная оценка основных вариантов управляющих воздействий
12. Принятие решения ЛПР
13. Разработка плана действий
14. Контроль реализации плана
15. Анализ результатов развития ситуации после управленческих воздействий
Требования к управленческим решениям:
- иметь ясную цель
- быть обоснованными
- иметь адресата и сроки исполнения
- быть не противоречивыми
- быть правомерными
- конкретность, реальность, гибкость, признаваемость и совместимость
Под технологией принятия решений следует понимать состав и последовательность процедур, приводящих к решению проблем организации, в комплексе с методами разработки и оптимизации альтернатив. Для руководителя принятие решений не является самоцелью. Основное, что должно заботить менеджера, - не сам выбор альтернативы, а разрешение определенной управленческой проблемы. Для разрешения же проблемы очень часто требуется не единичное решение, а определенная последовательность решений и, главное, их осуществление. Поэтому решение - это не одномоментный акт, а результат процесса, развивающегося во времени и имеющего определенную структуру. Исходя из этого, можно дать следующее определение этого процесса. Процесс принятия решений - это циклическая последовательность действий субъекта управления, направленных на разрешение проблем организации и заключающихся в анализе ситуации, генерации альтернатив, принятии решения и организации его выполнения.
Факторы, определяющие эффектность и качество управленческих решений могут классифицироваться по различным признакам, как внутренние факторы (связанные с управленческой системой), так и внешние факторы (влияние окружающей среды).
1. Законы объективного мира связанные с принятием и реализации управления
2. Четкость формулирования цели для чего принимается управленческих решений.
3. Объём и ценность располагаемой информацией для успешного принятия управленческих решений главным является не объем информации, а ценность, определенного уровня опыта, профессиональных кадров
4. время разработки управленческого решения как правило
5. организация структуры управления
6. форма и методы осуществляется управленческую деятельность
7. методы разработки и реализации управленческих решений
8. субъективность оценки варианта выбора решений
9. состояние внутренней структурой организации
10.система экспертных оценок уровня качества и эффективности управленческого решения. Управленческие решения должны опираться на объективные законы и закономерности общественного развития с другой стороны Управленческое решение зависит от множества субъективных факторов – логика разработки решений качества оценки ситуации уровня культуры управления
Факторы:
1) Личностные характеристики
2) Внешняя среда:
a) риск
b) определённость
c) неопределённгость
3) Информационные ограничения
4) Поведенческие решения
5) Взаимосвязь решений
Стиль управления - типичный вид поведения руководителя в отношении с подчиненными в процессе достижения поставленной цели. Одной из составляющих функций управления является лидерство (руководство).
Стили управления - способ, система методов воздействия руководителя на подчиненных. Один из важнейших факторов эффективной работы организации, полной реализации потенциальных возможностей людей и коллектива. Большинство исследователей выделяют следующие стили управления (руководства):
• Директивный стиль (авторитарный). Авторитарное руководство характеризуется чрезмерной централизацией власти руководителя, самовластным решением всех вопросов, касающихся деятельности организации, ограничением контактов с подчиненными;
• Демократический стиль (коллегиальный). Демократический стиль формируется у людей, которые не любят брать ответственность на себя, ответственность не концентрируется, а распределяется в соответствии с переданными полномочиями. Руководство характеризуется высокой степенью децентрализации полномочий, активным участием сотрудников в принятии решений. Создается атмосфера, при которой выполнение служебных обязанностей становится делом привлекательным, а достижение при этом успеха служит вознаграждением;
• Либеральный стиль (попустительский или анархический).
«Ценностные ориентации» выражают положительную или отрицательную значимость для человека предметов или явлений социальной действительности. При этом система ценностных ориентаций характеризует идеологию и культуру общества, к которому индивид принадлежит. Ценностные ориентации выражают внутреннюю основу человека к различным ценностям материального, морального, политического и духовного порядка.
В табл. 4 обобщены предложения исследователей по видам ценностных ориентаций, которые оказывают воздействие на принятие управленческих решений, и связям этих ориентаций со специфическими типами целевых предпочтений.
Области – Категории ценностей – Цели:
Теоретические – Истина. Знания. Рациональное мышление. – Долгосрочные исследования и разработки.
Экономические - Практичность. Полезность. Накопление богатства. - Рост. Прибыльность. Результаты.
Политические - Власть. Признание. - Общий объем капитала, продаж, количество работников.
Социальные - Хорошие человеческие отношения. Отсутствие конфликта. - Социальная ответственность. Косвенная конкуренция.
Эстетические - Художественная гармония. Состав. Форма и симметрия. - Дизайн изделия. Привлекательность.
Религиозные - Согласие во Вселенной. - Этика. Моральные проблемы.
ОПРЕДЕЛЕННОСТЬ. Решение принимается в условиях определенности, когда руководитель в точности знает результат каждого из альтернативных вариантов выбора. Подобным образом руководитель может, по меньшей мере на ближайшую перспективу, точно установить какими будут затраты на производство определенного изделия, поскольку арендная плата, стоимость материалов и рабочей силы известны или могут быть рассчитаны с высокой точностью.
Сравнительно немногие организационные или персональные решения принимаются в условиях определенности. Однако они имеют место и зачастую элементы более крупных решений можно рассматривать как определенные (иногда их называют детерминистскими).
РИСК. К решениям, принимаемым в условиях риска, относятся такие, результаты которых не являются определенными, известна только вероятность каждого результата.
При принятии решений в условиях риска первым решением Менеджера должно стать действие направленное на поиск путей его снижения. Это могут быть сбор и получение дополнительной информации, относящейся к данной проблеме, возможно, понадобится узнать мнение специалиста в этой области, даже дружеский совет может пригодиться для снижения риска при принятии решения. Также могут пригодиться различные математические методы, модели, оценивающие уровень риска и прогнозирующие вероятностный исход событий.
НЕОПРЕДЕЛЕННОСТЬ. Решение принимается в условиях неопределенности, когда невозможно оценить вероятность потенциальных результатов. Это должно иметь место, когда требующие учета факторы настолько новы и сложны, что насчет них невозможно получить достаточно релевантной информации. В итоге вероятность определенного последствия невозможно предсказать с достаточной степенью достоверности. Неопределенность характерна для некоторых решений, которые приходится принимать в быстро меняющихся обстоятельствах. Наивысшим потенциалом неопределенности обладает социокультурная, политическая и наукоемкая среда.
Сталкиваясь с неопределенностью, руководитель может использовать две основные возможности. Во-первых, попытаться получить дополнительную релевантную информацию и еще раз проанализировать проблему. Вторая возможность – действовать в точном соответствии с прошлым опытом, суждениями или интуицией и сделать предположение о вероятности событий. Это необходимо, когда не хватает времени на сбор дополнительной информации или затраты на нее чересчур высоки. Временные и информационные ограничения имеют важнейшее значение при принятии управленческих решений.
ИНФОРМАЦИОННЫЕ ОГРАНИЧЕНИЯ. Информация –это данные, касающиеся только конкретной проблемы, человека, цели или периода времени. Информация, как вы понимаете, необходима для рационального решения проблем. Но иногда информация недоступна или стоит слишком дорого. В стоимость информации стоит включать время руководителей и подчиненных, затраченное на ее сбор, а также фактические, издержки, например, связанные с анализом рынка, оплатой машинного времени, оплатой услуг внешних экспертов и т.д. Поэтому руководитель должен решать, существенна ли выгода от дополнительной информации, насколько само по себе важно решение, связано ли оно со значительной долей ресурсов организации или с незначительной денежной суммой.
Если информацию получить по приемлемой цене непросто, но скоро такая возможность скоро появится, самое правильное для менеджера – отложить принятие решения, но если время не является критическим фактором и потери от задержки будут более чем покрыты выгодой от принятия от принятия более качественного решения на основе дополнительной информации. Выгода и издержки по большей части субъективно оцениваются руководителем, что, в особенности, относится к оценке руководителем стоимости собственного времени и ожидаемых в результате принятия решений улучшений.
ПОВЕДЕНЧЕСКИЕ ОГРАНИЧЕНИЯ. Многие факторы, затрудняющие межличностные и организационные коммуникации, влияют на принятие решений. Например, руководителя часто по-разному воспринимают существование и серьезность проблемы. Они также могут по-разному воспринимать ограничения и альтернативы. Это ведет к несогласию и конфликтам в процессе принятия решения.
Руководители настолько могут быть перегружены информацией и текущей работой, что будут неспособны воспринять открывающиеся возможности. Согласно одному исследованию, руководители дают разное определение одной и той же проблемы в зависимости от отделов, которые возглавляют. Руководитель может чувствовать, что вышестоящий начальник будет разражен, если ему сообщить о реальной или потенциальной проблеме. Т.е. от способа обмена менеджера с подчиненными информацией в значительной мере зависит поведение последних.
Руководитель может отвергнуть тот или иной курс действий в силу личных пристрастий или лояльности по отношению к кому-то. Установлено, что многочисленные психологические факторы и личностные особенности сказываются на процессе принятия решений.
НЕГАТИВНЫЕ ПОСЛЕДСТВИЯ. Принятие управленческих решений во многих отношениях является искусством нахождения эффективного компромисса. Выигрыш в одном почти всегда достигается в ущерб другому. Решение в пользу более высококачественной продукции влечет за собой рост издержек; некоторые потребители будут довольны, другие перейдут на более дешевый аналог и т.д.
Подобные негативные последствия необходимо учитывать, принимая решения. Проблема процесса принятия решений состоит в сопоставлении минусов с плюсами в целях получения наибольшего общего выигрыша. Часто руководителю приходится выносить субъективное суждение о том, какие негативные побочные эффекты допустимы при условии достижения желаемого конечного результата. Однако некоторые негативные последствия никоим образом не могут быть приемлемыми для руководителей организации. К примеру, нарушение законов или этических норм. В таких случаях это буде трактоваться как ограничения.
Взаимозависимость решений. В организации все решения некоторым образом взаимосвязаны. Единичное важное решение может потребовать сотен решений менее значительных.
Крупные решения имеют последствия для организации в целом, а не только для сегмента, непосредственно затрагиваемого тем или иным решением. Если производственная фирма решает приобрести новое и более производительное оборудование для завода, то она должна также найти способ увеличения сбыта продукции. Таким образом решение отражается не только на производственном отделе, но и на отделе сбыта и маркетинга.
1. Метод исследования операций
- научный метод выработки количественно обоснованных рекомендаций по принятию решений. Важность количественного фактора в ИО и целенаправленность вырабатываемых рекомендаций позволяют определить ИО как теорию принятия оптимальных решений. ИО способствует превращению искусства принятия решений в научную и притом математическую дисциплину.
Описание всякой задачи ИО включает задание компонент решения, налагаемых на них ограничений и системы целей. Всякая система компонент решения, удовлетворяющих всем ограничениям, называется допустимым решением. Каждой из целей соответствует целевая функция, заданная на множестве допустимых решений, значения которой выражают меру осуществления цели. Сущность задачи ИО состоит в нахождении наиболее целесообразных, оптимальных решений. Поэтому задачи ИО обычно называются оптимизационными.
Принятие решений происходит на основе информации, поступающей к принимающему решение субъекту. Поэтому задачи ИО естественно классифицировать по их теоретико-информационным свойствам. Если субъект в ходе принятия решения сохраняет своё информационное состояние, т. е. никакой информации не приобретает и не утрачивает, то принятие решения можно рассматривать как мгновенный акт. Соответствующие задачи ИО называется статическими. Напротив, если субъект в ходе принятия решения изменяет своё информационное состояние, получая или теряя информацию, то в такой динамической задаче обычно целесообразно принимать решение поэтапно ("многошаговые решения") или даже развёртывать принятие решения в непрерывный во времени процесс. Значительная часть теории динамических задач О. и входит в динамическое программирование.
2. Методы теории полезности.
Д. Сэдвиж разработал аксиоматическую теорию, позволяющую одновременно измерять полезность и субъективную вероятность. Это нашло отображение в модели субъективной ожидаемой полезности (СОП), где вероятность уже определяется как степень уверенности в свершении того или иного события. Достоинством модели СОП является возможность задним числом так подобрать параметры модели СОП, что она объясняет любой сделанный выбор.
СОП рассматривается и в работе Х. Райфа "Анализ решений: введение в проблему выбора в условиях неопределённости". Автором обоснован метод деревьев решений, суть которого состоит в разбиении задачи на ряд подзадач, а те, в свою очередь, на другие подзадачи, и так далее. В результате основная задача представляется в виде дерева решений (ДР). В части вершин ДР выбор осуществляется непосредственно ЛПР, в другой части - на основе субъективной вероятности свершения событий. ДР завершается исходами, каждому из которых приписывается определенная полезность. Вероятность каждого исхода подсчитывается как произведение субъективных вероятностей на пути, идущем от вершины ДР. Путем "сворачивания" ДР от конца к началу выбирается исход с наибольшей субъективной ожидаемой полезностью. Метод деревьев решений позволяет ЛПР, определить оптимальную последовательность действий (стратегию) с учетом личных оценок и предпочтений. Выбранная стратегия будет "лучшей" на данный момент из тех многих, которые имеются в распоряжении. "Лучшей", в смысле сравнения с множеством стратегий, которые стоило бы рассмотреть, стратегия будет в том случае, если она будет наиболее эффективной и рациональной в данной ситуации.
В основу многокритериальной теории полезности (МТП) положен научный труд Р. Кинни и Х. Райфа "Принятие решений при многих критериях: предпочтения и замещения". Учеными делается предположение, что варианты решений имеют оценки по многим критериям. В качестве дополнительных к общим аксиомам выступают аксиомы (условия) независимости, на основании которых доказываются теоремы о виде функции полезности. Авторы доказали, что при выполнении условия строгой условной независимости по полезности, функция полезности имеет либо аддитивный, либо мультипликативный вид, причем

где: - весовые коэффициенты критериев (0 ≤ К < 1);
- функции полезности по i-му критерию;
U - общая функция полезности.
МТП, как и предыдущие методы, строится аксиоматическим способом. В качестве достоинства МТП отмечается детальная проработанность процедур выявления предпочтений ЛПР.
3
. Метод анализа иерархий (МАИ).
Часто используемый в последнее время метод принятия решений - МАИ, опирающийся на многокритериальное описание проблемы, был предложен и детально описан Саати Т. в своей работе "Принятие решений: метод анализа иерархий". В методе используется дерево критериев, в котором общие критерии разделяются на критерии частного характера. Для каждой группы критериев определяются коэффициенты важности. Альтернативы также сравниваются между собой по отдельным критериям с целью определения каждой из них. Средством определения коэффициентов важности критериев либо критериальной ценности альтернатив является попарное сравнение. Результат сравнения оценивается по бальной шкале. На основе таких сравнений вычисляются коэффициенты важности критериев, оценки альтернатив и находится общая оценка как взвешенная сумма оценок критериев.
Не смотря на то, что МАИ не имеет строгого научного обоснования и больше примыкает к эвристическим методам, этот метод нашел широкое практическое применение из-за своей простоты и наглядности. В ходе детального исследования МАИ были выявлены следующие существенные недостатки, такие как:
Рассогласование оценок, связанное с трудностями оценки отношений сложных элементов - 1-й вид рассогласования. Рассогласование 2-го вида, связанное с предложенной дискретной шкалой для оценки элементов. Резкое увеличение количества оценок с увеличением набора элементов. Не рекомендуется набор элементов больше 9. Пересчет отношений значимости элементов в их важность осуществляется приближенным методом.
4. Метод принятия решений на основе теории нечетких множеств.
Методики, построенные на положениях теории размытых множеств, дают возможность использовать приближенные, но в то же время обладающие достаточной степенью эффективности, способы описания плохо определенных систем, для анализа которых невозможно применение стандартных количественны математических методов. При этом все теоретические обоснования данного подхода достаточно точны и не являются сами по себе источником неопределенности
Использование методик управления с использованием положений этой теории, а также построение систем управления, сочетающих в себе преимущества количественных методов и методов анализа систем, построенных на теории нечетких множеств, является перспективным направлением для исследований.
Процесс принятия управленческого решения будет состоять из трех этапов:
1. преобразование реальных производственных параметров в лингвистическую форму («размывание» или «фазификация» значений);
2. обработка лингвистических значений по методикам теории нечетких множеств;
3. преобразование лингвистических значений в реальные значения («дефазификация» значений).
Для того чтобы выбрать наиболее подходящие для организации систем оперативного управления решения, были сформулированы требования к такой системе:
· Реализация полного цикла обработки нечеткой информации
· Возможность управления в режиме реального времени, или максимально оперативном режиме, в котором время подготовки решения не превышает одни сутки.
· Интеграция с корпоративными системами управления производством, как на уровне интерфейса между модулями, так и на уровне поддержки корпоративных баз данных.
Для принятия, планирования и синтеза экономических решений среднего уровня активно разрабатываются интеллектуальные компьютерные системы, способные синтезировать решения более эффективно, чем человек. В настоящее время такие системы развиваются не в направлении подключения дополнительных программных модулей и создания требуемых баз данных, а в радикальном перераспределении вычислительных работ и концентрации пользовательских, поисковых задач синтеза решений в экспертных системах, которые могут рассматриваться как особые комплексные подсистемы со своими информационной базой и программным обеспечением общего и специального назначения.
Необходимость автоматизации процессов принятия, планирования и синтеза решений предопределена возможностью возложить на ЭВМ роль консультанта по принятию и синтезу решений и тем самым обеспечить конфиденциальность информации и учесть способности каждого ЛПР, рационально распределить функции между пользователем и ЭВМ, обеспечить сбор, накопление, хранение и коррекцию экспертной информации при необходимости повторного решения задачи.
Под диалогом обычно подразумевается процесс непосредственного и достаточно быстрого обмена сообщениями между двумя субъектами, при котором существует постоянная смена ролей информатора и реципиента (т.е. выдающего и принимающего сообщение соответственно).
Исследования диалога человека и ЭВМ в настоящее время ведутся в следующих основных направлениях:
1) моделирование свободной беседы, неограниченного речевого взаимодействия между двумя субъектами, которому были бы присущи свойства целенаправленности, взаимопонимания, равноценности деятельности и обучения партнеров;
2) технический подход, при котором на первый план выдвигаются свойства быстроты и возможность прямого обмена сообщениями, а также чисто языковое оформление и исключаются из рассмотрения основные свойства первого указанного подхода, такие, как взаимопонимание, равноценность деятельности и возможность обучения партнеров.
Наиболее правомерен подход, предусматривающий сочетание свойств обоих направлений, согласно которому диалогом человека с ЭВМ называется процесс, характеризуемый совокупностью или хотя бы одним из следующих качеств:
Ø наличие цели взаимодействия у обоих партнеров;
Ø определенная степень равноценности деятельности в процессе решения задачи;
Ø обмен сообщениями, направленный на установление понимания одним партнером сообщений другого;
Ø расширение и усовершенствование знаний (умений) одного партнера за счет знаний (умений) другого, в частности обучение одного партнера другим.
Классификация систем принятия и синтеза решений
По характеру поддержки решений можно выделить два класса систем:
1) системы специального назначения, ориентированные на решение определенного класса задач;
2) универсальные системы, обеспечивающие возможность быстрой настройки на конкретную задачу синтеза или принятия решений.
Основная масса существующих систем соответствует второму классификационному признаку.
По характеру взаимодействия пользователя и системы можно выделить три класса:
1) системы, инициатором диалога в которых является ЭВМ, а пользователь выступает в роли пассивного исполнителя;
2) системы, в которых пользователь активен и является инициатором диалога;
3) системы, характеризующиеся последовательной передачей управления от пользователя к системе и наоборот.
По наличию и характеру базы данных в системе различают:
1) системы, не предусматривающие каких-либо способов накопления и хранения информации;
2) системы, имеющие базу данных или совокупность файлов для сбора, накопления и выдачи информации;
3) системы, имеющие развитые системы управления базами данных.
По наличию интеллектуального компонента в системе различают:
1) системы, не предусматривающие каких-либо способов накопления и обработки плохо формализуемых знаний;
2) системы, имеющие базы знаний, механизмы вывода и объяснения полученных решений.
Это самый простой случай: известно количество возможных ситуаций (вариантов) и их исходы. Нужно выбрать один из возможных вариантов. Степень сложности процедуры выбора в данном случае определяется лишь количеством альтернативных вариантов. Рассмотрим две возможные ситуации:
а) Имеется два возможных варианта. В данном случае аналитик должен выбрать (или рекомендовать к выбору) один из двух возможных вариантов. Последовательность действий следующая:
- определяется критерий, по которому будет делаться выбор;
- методом “ прямого счета ” исчисляются значения критерия для сравниваемых вариантов;
- вариант с лучшим значением критерия рекомендуется к отбору.
Возможны различные методы решения этой задачи. Как правило они подразделяются на две группы:
- методы, основанные на дисконтированных оценках;
- методы, основанные на учетных оценках.
Первая группа методов основывается на следующей идее. Денежные доходы, поступающие на предприятие в различные моменты времени, не должны суммироваться непосредственно; можно суммировать лишь элементы приведенного потока. Если обозначить F1,F2,....,Fn коэффициент дисконтирования прогнозируемый денежный поток по годам, то i-й элемент приведенного денежного потока Рi рассчитывается по формуле:
Pi = Fi / (1+ r) i
где r- коэфициент дисконтирования.
Назначение коэффициента дисконтирования состоит во временной упорядоченности будущих денежных поступлений (доходов) и приведении их к текущему моменту времени. Экономический смысл этого представления в следующем: значимость прогнозируемой величины денежных поступлений через i лет (Fi) с позиции текущего момента будет меньше или равна Pi. Это означает так же, что для инвестора сумма Pi в данный момент времени и сумма Fi через i лет одинаковы по своей ценности. Используя эту формулу, можно приводить в сопоставимый вид оценку будущих доходов, ожидаемых к поступлению в течении ряда лет. В этом случае коэффициент дисконтирования численно равен процентной ставке, устанавливаемой инвестором, т.е. тому относительному размеру дохода, который инвестор хочет или может получить на инвестируемый им капитал.
Итак последовательность действий аналитика такова (расчеты выполняются для каждого альтернативного варианта):
- рассчитывается величина требуемых инвестиций (экспертная оценка), IC;
- оценивается прибыль (денежные поступления) по годам, Fi;
- устанавливается значение коэффициента дисконтирования, r;
- определяются элементы приведенного потока, Pi;
- рассчитывается чистый приведенный эффект (NPV) по формуле: NPV=E*Pi-IC
- сравниваются значения NPV;
- предпочтение отдается тому варианту, который имеет больший NPV (отрицательное значение NPV свидетельствует об экономической нецелесообразности данного варианта).
Вторая группа методов продолжает использование в расчетах прогнозных значений F. Один из самых простых методов этой группы - расчет срока окупаемости инвестиции.Последовательность действий аналитика в этом случае такова:
- расчитывается величина требуемых инвестиций, IC;
- оценивается прибыль (денежные поступления) по годам, Fi;
- выбирается тот вариант, кумулятивная прибыль по которому за меньшее число лет окупит сделанные инвестиции.
б) Число альтернативных вариантов больше двух. Процедурная сторона анализа существенно усложняется из-за множественности вариантов, техника “ прямого счета “ в этом случае практически не применима. Наиболее удобный вычислительный аппарат - методы оптимального программирования (в данном случае этот термин означает “ планирование ”). Этих методов много (линейное, нелинейное, динамическое и пр.), но на практике в экономических исследованиях относительную известность получило лишь линейное программирование. В частности рассмотрим транспортную задачу как пример выбора оптимального варианта из набора альтернативных. Суть задачи состоит в следующем.
Имеется n пунктов производства некоторой продукции (а1,а2,...,аn) и k пунктов ее потребления (b1,b2,....,bk), где ai - объем выпуска продукции i - го пункта производства, bj - объем потребления j - го пункта потребления. Рассматривается наиболее простая, так называемая “закрытая задача ”, когда суммарные объемы производства и потребления равны. Пусть cij - затраты на перевозку единицы продукции. Требуется найти наиболее рациональную схему прикрепления поставщиков к потребителям, минимизирующую суммарные затраты по транспортировке продукции. Очевидно, что число альтернативных вариантов здесь может быть очень большим, что исключает применение метода “ прямого счета ”. Итак необходимо решить следующую задачу:
E E Cg Xg -> min
E Xg = bj E Xg = bj Xg >= 0
Известны различные способы решения этой задачи -распределительный метод потенциалов и др. Как правило для расчетов применяется ЭВМ.
При проведении анализа в условиях определенности могут успешно применяться методы машинной имитации, предполагающие множественные расчеты на ЭВМ. В этом случае строится имитационная модель объекта или процесса (компьютерная программа), содержащая b-е число факторов и переменных, значения которых в разных комбинациях подвергается варьированию. Таким образом машинная имитация - это эксперимент, но не в реальных, а в искусственных условиях. По результатам этого эксперимента отбирается один или несколько вариантов, являющихся базовыми для принятия окончательного решения на основе дополнительных формальных и неформальных критериев.
Новизна предложенной модели формирования оптимальной инвестиционной программы в условиях ограниченного бюджета заключается в том, что задача формализуется моделью нечеткого математического программирования, в которой в качестве заданного критерия эффективности используется нечеткое значение NPV программы с треугольной функцией принадлежности. Бюджетное ограничение задается в виде нечеткого множества с кусочно-линейной z-подобной функцией принадлежности, отражающего предпочтения ЛПР. Предложенный метод формирования оптимальной инвестиционной программы, отличается тем, что позволяет сформировать программу, характеризующуюся не только заданным критерием эффективности, но и степенью того, насколько программа укладывается в имеющийся бюджет.
Задача формирования оптимальной инвестиционной программы на базе имеющегося инвестиционного портфеля при наличии определенных ограничений по выбору.
Оптимизация инвестиционной программы может быть пространственной и временной:
1) Временная оптимизация может проводиться, если: общая сумма финансовых ресурсов, доступных в планируемом году, ограничена сверху; имеется несколько независимых инвестиционных проектов, которые ввиду ограниченности финансовых ресурсов не могут быть реализованы в планируемом году одновременно, однако в году, следующем за планируемым, оставшиеся проекты либо их части могут быть реализованы; требуется оптимальным образом распределить проекты по двум годам.
2) Пространственная оптимизация проводится, если: общая сумма финансовых ресурсов на конкретный период (например, год) ограничена сверху; имеется несколько независимых проектов с суммарным объемом требуемых инвестиций, превышающим имеющиеся у предприятия ресурсы; требуется составить инвестиционную программу, максимизирующую суммарный возможный прирост капитала.
При оценке инвестиционных проектов оценщик вынужден опираться только на проектную информацию, предполагая ее точной и достоверной. Но как поступить, если он понимает, что значения отдельных показателей неточные, и даже указано в каких пределах они могут изменяться. Также в ситуации, когда оценщик хочет учесть в расчете эффективности возможность случайных сбоев, отказов оборудования, аварий или стихийных бедствий, он должен ввести в расчеты вероятности соответствующих событий. Естественно, что такие вероятности должны быть определены и обоснованы в проектных материалах и, выполняя расчеты, надо рассматривать их как точные и обоснованные. Уже эти примеры показывают, что оценка проектов в условиях неопределенности предполагает наличие в проектных материалах дополнительной информации об «этой неопределенности», которая (также как и иная проектная информация) должна рассматриваться как точная и обоснованная.
Таким образом, при разработке проекта в проектные материалы закладываются те или иные технические, технологические, экономические и др. параметры, характеризующие «свойства» проектируемого объекта и условия его функционирования. Неопределенность некоторых из них связана с тем, что на момент их включения в проектные материалы они неизмеримы.
Проблема количественной оценки факторов неопределенности является одной из наиболее сложных в инвестиционном анализе. Для каждого вида неопределенности (рисунок 1) разрабатываются специфические методы их учета.
Анализ проблемы инвестирования показал, что одной из основных трудностей при оценке эффективности инвестиционных проектов является учет неточности исходных данных и неопределенности, связанной с отнесением результатов инвестиционной деятельности на относительно долгосрочную перспективу.
Основные положения, которые должны учитываться при построении многокритериальных моделей задач принятия решений:
• модель создается исследователем для структуризации и уточнения предпочтений лица, принимающего решения, которое непосредственно участвует в ее разработке;
• модель должна быть логически непротиворечива;
• модель должна содержать описание всех возможных элементов задачи принятия решений и свойства этих элементов;
• модель должна давать возможность использовать реальную информацию о задаче, полученную от экспертов, ЛПР;
• модель должна быть достаточно простой и удобной для анализа и использования ЛПР.
Задача многокритериального математического программирования имеет вид:
max{f1(x)=F1},
max{f2(x)=F2},
...
max{fk(x)=Fk}, при xєX, где
X – множество допустимых значений переменных х;
k – число целевых функций (критериев);
Fi – значение i-го критерия (целевой функции),
“max” – означает, что данный критерий нужно максимизировать.
Заметим, что по существу многокритериальная задача отличается от обычной задачи оптимизации только наличием нескольких целевых функций вместо одной.
При наличии в многокритериальной задаче критериев с разной размерностью с целью устранения данной проблемы используют нормализацию критериев.
Под критериями понимают такие показатели, которые:
• признаются ЛПР в качестве характеристик степени достижения поставленной цели;
• являются общими и измеримыми для всех допустимых решений;
• характеризуют общую ценность решений таким образом, что у ЛПР имеется стремление получать по ним наиболее предпочтительные оценки (то есть в качестве критериев не следует использовать ограничения).
Набор критериев многокритериальной задачи должен удовлетворять следующим требованиям:
• полнота (использование любых дополнительных критериев не меняет результатов решения, а отбрасывание хотя бы одного из выбранных критериев меняет результат);
• операциональность (каждый критерий должен иметь понятную для ЛПР формулировку, ясный и однозначный смысл, характеризовать определенный аспект решения);
• декомпозируемость (набор критериев должен позволять упрощать оценивание предпочтений путем разбиения первоначальной задачи на отдельные более простые подзадачи);
• неизбыточность (разные критерии не должны учитывать один и тот же аспект решения);
• минимальность (аспект решения должен содержать как можно меньшее число критериев);
• измеримость (каждый критерий должен допускать возможность количественной или качественной оценки степени достижения соответствующей цели).
Эти требования, конечно, противоречивы, но ясное представление о них позволяет строить полноценный набор критериев.
Среди частных и типичных пробел в анализе многокритериальных задач принятия решений можно назвать:
• нет полного списка допустимых вариантов решений;
• нет полного списка критериев, характеризующих качество решений;
• не построены все или некоторые шкалы критериев;
• нет оценок вариантов решений по шкалам критериев;
• нет решающего правила, позволяющего получить требуемое в задаче упорядочение вариантов решения (решающее правило, метод принятия решения, представляет собой принцип сравнения векторных оценок и формирования суждения о предпочтительности одних из них по отношению к другим).
Известно, что возможности человека по переработке многомерной информации очень ограничены, поэтому вероятность ошибочных действий ЛПР достаточно велика.
Системы массового обслуживания - это такие системы, в которые в случайные моменты времени поступают заявки на обслуживание, при этом поступившие заявки обслуживаются с помощью имеющихся в распоряжении системы каналов обслуживания.
С позиции моделирования процесса массового обслуживания ситуации, когда образуются очереди заявок (требований) на обслуживание, возникают следующим образом. Поступив в обслуживающую систему, требование присоединяется к очереди других (ранее поступивших) требований. Канал обслуживания выбирает требование из находящихся в очереди, с тем, чтобы приступить к его обслуживанию. После завершения процедуры обслуживания очередного требования канал обслуживания приступает к обслуживанию следующего требования, если таковое имеется в блоке ожидания.
Цикл функционирования системы массового обслуживания подобного рода повторяется многократно в течение всего периода работы обслуживающей системы. При этом предполагается, что переход системы на обслуживание очередного требования после завершения обслуживания предыдущего требования происходит мгновенно, случайные моменты времени.
Примерами систем массового обслуживания могут служить:
1. посты технического обслуживания автомобилей;
2. посты ремонта автомобилей;
3. персональные компьютеры, обслуживающие поступающие заявки или требования на решение тех или иных задач;
4. станции технического обслуживания автомобилей;
5. аудиторские фирмы;
6. отделы налоговых инспекций, занимающиеся приемкой и проверкой текущей отчетности предприятий;
7. телефонные станции и т. д.
Основными компонентами системы массового обслуживания любого вида являются:
- входной поток поступающих требований или заявок на обслуживание;
- дисциплина очереди;
- механизм обслуживания.
Любая модель управления запасами, в конечном счете, должна дать ответ на два вопроса: 1. Какое количество продукции заказывать? 2. Когда заказывать?
Ответ на первый вопрос выражается через размер заказа , определяющего оптимальное количество ресурсов, которое необходимо поставлять каждый раз, когда происходит размещение заказа. В зависимости от рассматриваемой ситуации размер заказа может меняться во времени. Ответ на второй вопрос зависит от типа системы управления запасами. Если система предусматривает периодический контроль состояния запаса через равные промежутки времени (например, еженедельно или ежемесячно), момент поступления нового заказа обычно совпадает с началом каждого интервала времени. Если же в системе предусмотрен непрерывный контроль состояние запаса, точка заказа обычно определяется уровнем запаса, при котором необходимо размещать новый заказ.
Таким образом, решение обобщённой задачи управления запасами определяется следующим образом;
1. В случае периодического контроля состояния запаса следует обеспечивать поставку нового количества ресурсов в объеме размера заказа через равные интервалы времени.
2. В случае непрерывного контроля состояния запаса необходимо размещать новый заказ в размере объема запаса, когда его уровень достигает точки заказа.
Размер и точка заказа обычно определяются из условий минимизации суммарных затрат системы управления запасами, которые можно выразить в виде функции этих двух переменных. Суммарные затраты системы управления запасами выражаются в виде функции их основных компонент следующим образом:
Затраты на приобретение становятся важным фактором , когда цена единицы продукции зависит от размера заказа, что обычно выражается в виде оптовых скидок в тех случаях, когда цена единицы продукции убывает с возрастанием размера заказа. Затраты на оформление заказа представляют собой постоянные расходы, связанные с его размещением. Таким образом, при удовлетворении спроса в течение заданного периода времени путем размещения более мелких заказов (более часто) затраты возрастают по сравнению со случаем, когда спрос удовлетворяется посредством более крупных заказов (и, следовательно реже). Затраты на хранение запаса , которые представляют собой расходы на содержание запаса на складе (например, процент на инвестированный капитал, затраты на переработку, амортизационные расходы и эксплутационные расходы), обычно возрастают с увеличением уровня запаса. Наконец, потеря дефицита представляют собой расходы, обусловленные отсутствием запаса необходимой продукции. Обычно они связаны с ухудшением репутации поставщика у потребителя и с потенциальными потерями прибыли.
Оптимальный уровень запаса соответствует минимуму суммарных затрат. Отметим, что модель управления запасами не обязательно должна включать все четыре вида затрат, так как некоторые из них могут быть не значительными, а иногда учёт всех видов затрат чрезмерно усложняет функцию суммарных затрат.
3. Метод анализа иерархий (МАИ).
Часто используемый в последнее время метод принятия решений - МАИ, опирающийся на многокритериальное описание проблемы, был предложен и детально описан Саати Т. в своей работе "Принятие решений: метод анализа иерархий". В методе используется дерево критериев, в котором общие критерии разделяются на критерии частного характера. Для каждой группы критериев определяются коэффициенты важности. Альтернативы также сравниваются между собой по отдельным критериям с целью определения каждой из них. Средством определения коэффициентов важности критериев либо критериальной ценности альтернатив является попарное сравнение. Результат сравнения оценивается по бальной шкале. На основе таких сравнений вычисляются коэффициенты важности критериев, оценки альтернатив и находится общая оценка как взвешенная сумма оценок критериев.
Не смотря на то, что МАИ не имеет строгого научного обоснования и больше примыкает к эвристическим методам, этот метод нашел широкое практическое применение из-за своей простоты и наглядности. В ходе детального исследования МАИ были выявлены следующие существенные недостатки, такие как:
Рассогласование оценок, связанное с трудностями оценки отношений сложных элементов - 1-й вид рассогласования. Рассогласование 2-го вида, связанное с предложенной дискретной шкалой для оценки элементов. Резкое увеличение количества оценок с увеличением набора элементов. Не рекомендуется набор элементов больше 9. Пересчет отношений значимости элементов в их важность осуществляется приближенным методом.
Иерархически представленная проблема допускает декомпозицию на простые составляющие части, которые, возможно, также могут рассматриваться как некоторая совокупность еще более простых составляющих. При этом учитывают уровень иерархии и различают три типа вершин: вершина глобальной цели, вершины альтернатив - последний уровень иерархии и оставшиеся вершины про-межуточных целей. Рассмотрим декомпозицию проблемы оценки качества программного обеспечения (ПО), представленную на рисунке 1.
a) Математически иерархия и ее свойства могут быть описаны следующим образом. На множестве объектов i
={1,2,…,
N
}
(рис. 6) определяется иерархическая структура путем задания орграфа G=(I,W), Wﮯ
I×I, который:
b) разбивает вершины на непересекающиеся уровни: I=Ul
Vl
; ; ; ;
c)
означает, что вес Zi
объекта i непосредственно зависит от Zj
объекта j;
d) если (I,j) - дуга графа G, т.е. , то объекты i и j находятся на смежных уровнях, т.е. найдется такое k, что , ;
e) веса Zi
объекта определяются через веса Zj
вершин множества , в которые ведут дуги из вершины i с помощью феноменологически вводимой зависимости ,i=I/Vi
, где - вес дуги (i,j). Методика определения изложена ниже.

Рис. 6. Общий вид иерархии
Иерархический синтез используется для взвешивания собственных векторов матриц парных сравнений альтернатив весами критериев (элементов), имеющихся в иерархии, а также для вычисления суммы по всем соответствующим взвешенным компонентам собственных векторов нижележащего уровня иерархии.
Шаг 1. Определяются векторы приоритетов альтернатив WA(Eij) относительно элементов Eij предпоследнего уровня иерархии (i = S). Здесь через Eij обозначены элементы иерархии, причем верхний индекс i указывает уровень иерархии, а нижний индекс j - порядковый номер элемента на уровне. Вычисление множества векторов приоритетов альтернатив WA
S
относительно уровня иерархии S осуществляется по итерационному алгоритму, реализованному по исходным данным, зафиксированным в матрицах попарных сравнений. В результате определяется множество векторов:

Шаг 2. Аналогичным образом обрабатываются матрицы попарных сравнений собственно элементов Eij. Данные матрицы построены таким образом, чтобы определить предпочтительность элементов определенного иерархического уровня относительно элементов вышележащего уровня, с которыми они непосредственно связаны. В матрицах через vj обозначен вес, или интенсивность, Еj-го элемента.
В результате обработки матриц попарных сравнений определяется множество векторов приоритетов элементов:

Полученные значения векторов WE(Eij) используются впоследствии при определении векторов приоритетов альтернатив относительно всех элементов иерархии.
Шаг 3. Осуществляется собственно иерархический синтез, заключающийся в последовательном определении векторов приоритетов альтернатив относительно элементов Eij находящихся на всех иерархических уровнях, кроме предпоследнего, содержащего элементы ESj. Вычисление векторов приоритетов проводится в направлении от нижних уровней к верхним с учетом конкретных связей между элементами, принадлежащими различным уровням. Вычисление проводится путем перемножения соответствующих векторов и матриц.
Оценка однородности иерархии
После решения задачи иерархического синтеза оценивается однородность всей иерархии с помощью суммирования показателей однородности всех уровней, приведенных путем "взвешивания" к первому иерархическому уровню, где находится корневая вершина. Число шагов алгоритма по вычислению однородности определяется конкретной иерархией.
Рассмотрим принципы вычисления индекса ИОИ и отношения ООИ однородности иерархии.
Пусть задана иерархия критериев и альтернатив и для каждого уровня определен индекс однородности и векторы приоритетов критериев следующим образом:
ИО1 - индекс однородности для 1-го уровня;
{ИО2, ИО3} - индексы однородности для 2-го уровня;
{ИО4, ИО5, ИО6} - индексы однородности для 3-го уровня;
{W1} - вектор приоритетов критериев K2 и K3 относительно критерия K1;
{W2},{W3} - векторы приоритетов критериев K4, K5, K6 относительно критериев K2 и K3 второго уровня.
В этом случае индекс однородности рассматриваемой иерархии можно определить по формуле:

где Т - знак транспонирования.
Определение отношения однородности ООИ для всей иерархии осуществляется по формуле
ООИ = ИОИ / М(ИОИ),
где М(ИОИ) - индекс однородности иерархии при случайном заполнении матриц попарных сравнений.
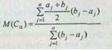
Расчет индекса однородности М(ИОИ) с учетом экспериментальных данных выполняется по формуле:

Однородность иерархии считается удовлетворительной при значениях ООИ <= 0,10.
В практике принятия решений нередко встречается задача, когда ранжируемые по множеству критериев альтернативы оцениваются экспертом не по всем критериям. Эта задача характерна для ситуаций, в которых множество критериев, выделенных для всех рассматриваемых альтернатив, является избыточным относительно одной или нескольких альтернатив. Таким образом, в рассматриваемом случае эксперт имеет разное количество альтернатив под каждым критерием или под их частью.
Рассмотрим методику определения вектора приоритета альтернатив для случая, когда иерархия имеет один уровень критериев, объединенных фокусом с учетом значимости критериев, и разное количество альтернатив у каждого критерия. Методика предполагает выполнение ряда процедур по структурированию информации и проведению вычислительных операций.
Процедура 1. Исходная проблема структурируется в виде иерархии, устанавливающей взаимосвязь между множеством сравниваемых альтернатив и множеством критериев.
Процедура 2. На основе иерархической структуры определяется бинарная матрица [В], устанавливающая соответствие между альтернативами и критериями. Матрица [В] содержит элементы bij = {0,1}. При этом если альтернатива Аi оценивается по критерию Ej, то bij = 1, в противном случае bij = 0.
Процедура 3. Осуществляется экспертная оценка альтернатив по соответствующим критериям. Для этой цели используются метод попарного сравнения, метод сравнения относительно стандартов или метод копирования. На основе экспертных оценок с учетом матрицы [В] строится матрица [А] следующего вида:

В матрице [А] экспертные оценки {aij} представляют векторы приоритетов альтернатив относительно критериев Ej. При этом если альтернатива Ai не оценивается по критерию Еj, то в матрице [А] соответствующее значение aij = 0. Векторы в указанной матрице имеют различное число значений aij и могут быть нормированными или ненормированными в зависимости от используемого метода сравнения альтернатив.
Процедура 4. В результате обработки матрицы попарных сравнений критериев Еj определяется нормированный вектор приоритетов критериев.
Процедура 5. Формируются структурные критерии S и L, отображаемые соответствующими диагональными матрицами [S] и [L].
Рассмотрим состав упомянутых матриц.
Матрица [S] имеет следующий вид:

где aij - значения векторов приоритетов из матрицы [А].
С помощью матрицы [S] обеспечивается нормирование векторов приоритетов альтернатив, образующих матрицу [А], если последняя заполнена методом сравнения относительно стандартов или копирования без предварительного нормирования.
Матрица [L] имеет следующий вид:

где Rj - число альтернатив Ai, находящихся под критерием Еj,
- суммарное число альтернатив, находящихся под всеми критериями.
Здесь следует отметить, что число N в матрице [L] может приниматься равным числу рассматриваемых альтернатив r, т.е. N= r. При этом на конечный результат способ определения N не оказывает влияния.
Процедура 6. Определяется вектор приоритетов альтернатив W относительно критериев. Данная процедура реализуется последовательным перемножением слева направо следующих матриц и векторов:
а) для случая, когда экспертные оценки в матрице [А] ненормированы:
W=[A]*[S]*[L]**[B];
б) для случая, когда экспертные оценки в матрице [А] нормированы:
W=[A]*[L]**[B].
В выражениях диагональная матрица [В] предназначена для окончательного нормирования значений вектора приоритетов альтернатив. Эта матрица имеет следующий вид:

где xi - значение ненормированного вектора приоритетов альтернатив, полученное после последовательного перемножения слева направо матриц [A], [S], [L] и вектора ;
r - число альтернатив.
Метод статических предпочтений и приоритетов
Рассмотрим пример использования метода анализа иерархий для выбора наиболее надежного обеспечения кредита. Количество и состав рассматриваемых критериев и альтернатив ограничен, поскольку пример носит учебный характер.
В качестве альтернатив примем наиболее часто применяемые в России виды обеспечения кредитов: A1 - иностранная валюта, A2 - драгоценные металлы, A3 - ценные бумаги, A4 - недвижимость.
Для выбора наиболее рациональной альтернативы используем подход "выгоды - издержки". В соответствии с этим подходом необходимо построить две иерархии, упорядочивающие критерии качества и определяющие общие выгоды и издержки для рассматриваемых альтернатив. Наилучшей является альтернатива с наибольшим отношением количественно определенных выгод к издержкам.
В приведенных иерархиях на первом уровне расположены основные факторы, определяющие выгоды и издержки, на втором - критерии качества, характеризующие собственно выгоды и издержки, на третьем - альтернативы, из которых предстоит сделать выбор.
Используя метод попарного сравнения элементов иерархии, построим матрицы парных сравнений для иерархии, отражающей выгоды от обеспечения кредита. Для каждой матрицы рассчитаем нормированный вектор приоритетов (W), собственное число матрицы (λmax) и отношение согласованности (ОС). Построим матрицы парных сравнений альтернатив относительно критериев качества. Осуществим иерархический синтез в целях определения вектора приоритета альтернатив относительно факторов и фокуса иерархии.
Вектор приоритетов альтернатив относительно экономического фактора (WAЭ) определяется путем перемножения матрицы, сформированной из значений векторов приоритетов W5, W6, W7, на вектор W2, определяющий значимость критериев качества, расположенных под экономическим фактором:
WAЭ = [W5, W6, W7]* W2.
Рассмотрим основные элементы теории нечетких множеств [l]. Пусть U- полное множество, охватывающее все объекты некоторого класса. Нечеткое подмножество F множества U, которое в дальнейшем будем называть нечетким множеством, определяется через функцию принадлежности μF (u), uU. Эта функция отображает элементы Ui, множества U на множество вещественных чисел отрезка [0,1], которые указывают степень принадлежности каждого элемента нечеткому множеству F.
Если полное множество U состоит из конечного числа элементов uЄi, i = 1, 2, ..., n, то нечеткое множество F можно представить в следующем виде:

где "+" означает не сложение, а, скорее, объединение: символ "/" показывает, что значение μF относится к элементу, следующему за ним (а не означает деление на ui).
В случае, если множество U является непрерывным, F можно записать как интеграл:

Нечеткие множества широко применяются для формализации лингвистических знаний.
Рассмотрим для примера множество процентных ставок, предоставляемых банками по вкладам. Каким образом можно выделить подмножество высоких процентных ставок? В условиях динамично изменяющейся среды не всегда возможно точно ответить на этот вопрос, однозначно выделив множество высоких ставок. При использовании аппарата теории нечетких множеств решить такую задачу можно даже при отсутствии полной количественной информации об окружении. Функция принадлежности для элементов нечеткого множества F1, соответствующих понятию "высокие процентные ставки" (рис. 4.1), будет иметь следующий вид:


Функция принадлежности к нечеткому множеству низких процентных ставок запишется следующим образом:

Операции над нечеткими множествами.
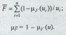
Над нечеткими множествами, как и над обычными, можно выполнять математические операции. Рассмотрим важнейшие из них: дополнение множества, объединение и пересечение множеств.
Операция дополнения
может быть представлена следующим образом:

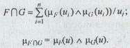
Операция объединения
будет иметь следующий вид:

Здесь и далее операция v обозначает взятие максимума. Операция пересечения
вычисляется следующим образом:

Здесь и далее символ л обозначает взятие минимума.
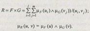
Нечеткие отношения.
Нечетким отношением R между полным множеством U и другим полным множеством V называется подмножество прямого декартова произведения U V, определяемое следующим образом:

где U = {u
1
, u
2
,..., u
l
}, V {v
1
, v
2
,..., v
m
}.
Допустим, что между элементами знаний, представленных нечеткими множествами F и G, существует связь, заданная правилом: "Если F, то G", при этом F U, G V. В логике высказываний для представления правил подобного вида используется операция импликации. В нечеткой логике предложены различные способы реализации импликации. Один из наиболее простых способов заключается в представлении импликации, соответствующей правилу "Если F, то G", нечетким отношением R, которое вычисляется следующим образом [2]:

Свойства нечетких отношений.
1. Объединение отношений
(R S)(u
, v
) = R(u
, v
) S(u
, v
), u
U, v
V.
2. Пересечение отношений
(R S)(u
, v
) = R(u
, v
) S(u
, v
), u
U, v
V.
3. Операция включения
(R S) ↔ R(u
, v
) ≤ S (u
, v
), u
U, v
V.
4. Свойство идемпотентности
R R = R, R R = R.
5. Коммутативность
R S = S R, R S = S R.
6. Ассоциативность
R (S Q) = (R S) Q.
R (S Q) = (R S) Q.
7. Дистрибутивность
R (S Q) = (R S) (S Q).
R (S Q) = (R S) (S Q).
8. Рефлексивность
Если μR
(u
, u
) = 1, отношение R - рефлексивное.
Если μR
(u
, u
) < 1, отношение R - слабо рефлексивное.
Если μR
(u
, u
) = 0, отношение R - антирефлексивное.
Если μR
(u
, u
) > 0, отношение R - слабо антирефлекеивное.
9. Симметричность
μR
(u
, v
) = μR
(v
, u
); u
, v
U.
10. Транзитивность
μR
(u
, v
) ≥ μR
(u
, z
) μR
(z
, v
); u
, v
, z
U.
Многокритериальный выбор альтернатив на основе пересечения нечетких множеств
Экспертные оценки альтернативных вариантов по критериям могут быть представлены как нечеткие множества или числа, выраженные с помощью функций принадлежности. Для упорядочения нечетких чисел существует множество методов, которые отличаются друг от друга способом свертки и построения нечетких отношений. Последние можно определить как отношения предпочтительности между объектами.
В данном случае критерии определяют некоторые понятия, а оценки альтернатив представляют собой степени соответствия этим понятиям. Пусть имеется множество альтернатив А = {а1
, а2
, ..., am
,} и множество критериев С= {C1
, C2
, ..., Cn
}, при этом оценки альтернатив по каждому i-му критерию представлены нечеткими множествами:
Ci
= { μCi
(a1
)/ μCi
, (a2
)/a2
, …, μCi
(am
)/am
}
Правило выбора лучшей альтернативы можно представить как пересечение нечетких множеств, соответствующих критериям:
D = C1
C2 ... Cn
.
Операция пересечения нечетких множеств может быть реализована разными способами. Иногда пересечение выполняется как умножение, но обычно этой операции соответствует взятие минимума:

Лучшей считается альтернатива a*
, имеющая наибольшее значение функции принадлежности

Если критерии Ci
имеют различную важность, то их вклад в общее решение можно представить как взвешенное пересечение:
D=C1
a1
C2
a2
... Cn
an
,
где ai
- весовые коэффициенты соответствующих критериев, которые должны удовлетворять следующим условиям:

Коэффициенты относительной важности можно определить, используя процедуру попарного сравнения критериев.
Многокритериальный выбор альтернатив на основе нечеткого отношения предпочтения
Рассмотрим метод принятия решений, предполагающий построение множества недоминируемых альтернатив на основе нечеткого отношения предпочтения.
Постановка задачи в краткой форме представляется следующим образом. Пусть задано множество альтернатив А и каждая альтернатива характеризуется несколькими критериями качества с номерами j == i, ..., m. Информация о попарном сравнении альтернатив по каждому критерию качества j представлена в форме отношения предпочтения Rj
. Таким образом, имеется m отношений предпочтения Rj
на множестве А. Требуется выбрать лучшую альтернативу из множества {A, R1
, ...,Rm
}.
Метод многокритериального выбора альтернатив на основе нечеткого отношения предпочтения основан на ряде определений.
Определение 1.
Нечетким отношением R на множестве А называется нечеткое подмножество декартова произведения А x А, характеризующееся функцией принадлежности μR
: А x А → [0,1]. Значение μR
(a, b) этой функции понимается как степень выполнения отношения а b .
Определение 2.
Нечетким отношением предпочтения на А называется любое заданное на этом множестве рефлексивное нечеткое отношение, функция принадлежности которого вычисляется следующим образом:

Определение 3.
Пусть А - множество альтернатив и μR
- заданное на нем нечеткое отношение предпочтения. Нечеткое подмножество недоминируемых альтернатив множества (А, μR
) описывается функцией принадлежности

Определение 4.
Четко недоминируемыми называются альтернативы, для которых μR
НД
(а) = 1, а множество таких альтернатив


Определение 5.
Носителем нечеткого множества В с функцией принадлежности μB
(a) является множество {а | а А, μB
> 0}.
Процедура решения задачи выбора выполняется в несколько шагов.
1. Строится нечеткое отношение Q1
, которое является пересечением исходных отношений предпочтения:

и определяется нечеткое подмножество недоминируемых альтернатив в множестве (А, μQ1
):

2. Строится нечеткое отношение Q2

и определяется нечеткое подмножество недоминируемых альтернатив в множестве (A, μQ2
):

Данная функция упорядочивает альтернативы по степени их недоминируемости. Числа wj
в приведенной выше свертке представляют собой коэффициенты относительной важности рассматриваемых критериев, для которых выполняются следующие условия:

3. Отыскивается пересечение множеств μQ1
НД
и μQ2
НД
:

4. Рациональным считается выбор альтернатив из множества

Наиболее рациональной альтернативой из множества АНД
является та, которая имеет максимальную степень недоминируемости.
Многокритериальный выбор альтернатив с использованием правила нечеткого вывода
Рассмотрим метод многокритериального выбора альтернатив на основе композиционного правила агрегирования описаний альтернатив с информацией о предпочтениях лица, принимающего решение, которые заданы в виде нечетких суждений [2].
Сущность метода, на основе которого реализована компьютерная система, заключается в следующем. Пусть U - множество элементов, А - его нечеткое подмножество, степень принадлежности элементов к которому есть число из единичного интервала [0, 1]. Подмножества Aj
являются значениями лингвистической переменной X.
Допустим, что множество решений характеризуется набором критериев x1
, x2
, ..., xp
, т.е. лингвистических переменных, заданных на базовых множествах u
1
, u
2
, .... u
p
соответственно. Например, переменная x1
"качество управления" может иметь значение НИЗКОЕ, а переменная x2
"стоимость" - значение ХОРОШЕЕ и т. д. Набор из нескольких критериев с соответствующими значениями характеризует представления лица, принимающего решение, об удовлетворительности альтернативы. Переменная S "удовлетворительность" также является лингвистической. Ниже приведен пример высказывания :
d1
: "Если x1
= НИЗКОЕ и x2
= ХОРОШЕЕ, то S = ВЫСОКАЯ". В общем случае высказывание d1
имеет вид:
d1
: "Если x1
= A1
, и x2
= A2i
и ... хр = Api
то S = Bi
". (4.1)
Обозначим пересечение (x1
= A1i
x2
= A2i
... хр
= Api
) через х = Ai
. Операции пересечения нечетких множеств соответствует нахождение минимума их функций принадлежности:

Здесь V= U1
x U2
x ... Up
; v
= (u
1
, u
2
..., u
p
); μAij
(u
j
) - значение принадлежности элемента и, нечеткому множеству Aij
.
Тогда высказывание (4.1) можно записать в виде:

Для придания общности суждениям обозначим базовые множества U и V через W. Тогда Ai
- нечеткое подмножество W, в то время как Bi
- нечеткое подмножество единичного интервала I.
Для представления правил используется операция импликации, для которой предложены различные способы нечеткой реализации [4]. Нечеткая импликация Лукасевича имеет вид:

где Н - нечеткое подмножество на W x I, w
W, i I.
Аналогичным образом высказывания d1
, d2
,..., dq
преобразуются в множества Н1
, Н2
, ..., Нq
. Их пересечением является множество D:
D = H1
H2
... Нq
и для каждого (w
, i) W x I

Удовлетворительность альтернативы, которая описывается нечетким подмножеством А из W, определяется на основе композиционного правила вывода:
G = Аº D,
где G - нечеткое подмножество интервала I.
Тогда

Сопоставление альтернатив происходит на основе точечных оценок. Для нечеткого множества С I определяем α-уровневое множество (α [0, 1]):
Сα
= {i | μc
(i) ≥ α / I}.
Для каждого Сα
можно вычислить среднее число элементов - М(Сα
):
для множества из n элементов

для Сα
={a ≤ i ≤ b}



при 0 ≤ a1
≤ b1
≤ a2
≤ b2
≤ ... ≤ an
≤ bn
≤ 1.
Тогда точечное значение для множества С можно записать в виде:

где αmax
- максимальное значение в множестве С.
При выборе альтернатив для каждой из них находится удовлетворительность и вычисляется соответствующая точечная оценка. Лучшей считается альтернатива с наибольшим ее значением.
Многокритериальный выбор альтернатив на основе аддитивной свертки
В рассматриваемом методе экспертные предпочтения представлены с помощью нечетких чисел, имеющих функции принадлежности треугольного вида (рис.4.2).

Пусть имеется множество альтернатив А = {a1
, a2
, ..., am
} и множество критериев С = {c1
, c2
, ..., cn
}, при этом оценка j-й альтернативы по i-му критерию представлена нечетким числом Rij
, a относительная важность i-го критерия задается коэффициентом αi
= 1,2 ...,n. Если коэффициенты а,
нормированы, то взвешенная оценка j-й альтернативы вычисляется по формуле

Если функции принадлежности μRij
(rij
) и μαi
(αi
) имеют треугольный вид, то для них, как и для нечеткого числа X, вершина X*, а также левая Х' и правая X" границы определяются следующими соотношениями:

Взвешенная оценка j-й альтернативы Rj
является результатом линейной комбинации нечетких чисел и также будет иметь функцию принадлежности треугольного вида. Вершину и границы нечеткого числа Z == Х x Y, полученного в результате операций сложения или умножения (символ x обозначает обобщенную операцию), можно вычислить следующим образом:
Z'=X' x Y'; Z" = X" x Y" ; Z*=X* x У.
Ранжирование альтернатив с использованием полученных взвешенных оценок возможно на основе их нечеткой композиции:

Здесь μJ
(j) - нечеткое множество альтернатив, соответствующих понятию "лучшая альтернатива". Лучшей считается альтернатива, имеющая наибольшее значение μJ
(j).
Приоритет каждой альтернативы вычисляется путем выбора минимума среди точек пересечения правой границы соответствующего ей нечеткого числа Rj
с границами нечетких чисел, представляющих взвешенные оценки альтернатив, расположенных правее на числовой оси (удовлетворяющих условию rk
> rj
.). При этом предполагается, что правая граница области определения нечетких чисел соответствует самым предпочтительным оценкам, а левая - наихудшим.
|