|
Глава 7. Управление государственными и муниципальными предприятиями.
7.1 Особенности унитарных и казенных предприятий.
Унитарное предприятие — это государственное или муниципальное предприятие, являющееся коммерческой организацией, не наделенное правом собственности на закрепленное за ним имуществом (имущество неделимо и не может быть распределено по вкладам). Собственником имущества такого предприятия является общество (государство) в лице Правительства РФ либо правительства субъекта Российской Федерации или орган самоуправления в лице муниципалитета. Существуют две подформы унитарных предприятий:
· на праве хозяйственного ведения;
· на праве оперативного управления (федеральное казенное предприятие).
Имущество унитарного предприятия на праве хозяйственного ведения находится в государственной или муниципальной собственности. Оно создается по решению уполномоченного на то государственного (муниципального) органа[1]
.
Собственник не отвечает по обязательствам такого предприятия. Предприятие отвечает по своим обязательствам всем своим имуществом и не отвечает по обязательствам собственника.
Такое унитарное предприятие владеет, пользуется и распоряжается (по согласованию с собственником) имуществом, может создавать дочернее унитарное предприятие путем передачи ему части своего имущества в хозяйственное ведение.
Собственник такого предприятия имеет право на получение части прибыли унитарного предприятия, решает вопросы создания, реорганизации и ликвидации предприятия, определение предмета его деятельности, контроля за использованием и сохранностью имущества.
Уставный фонд такого унитарного предприятия полностью оплачивается собственником до государственной регистрации. Размер уставного фонда унитарного предприятия регулируется законодательством. Если стоимость чистых активов по окончании финансового года меньше размера уставного фонда, то уполномоченный орган обязан уменьшить уставный фонд, о чем извещаются кредиторы.
Имущество унитарного предприятия на праве оперативного управления находится в государственной собственности Российской Федерации. Такое предприятие создается Правительством РФ. Правительство РФ несет субсидиарную (дополнительную) ответственность по обязательствам такого предприятия (его называют федеральным казенным предприятием).
Забиваем Сайты В ТОП КУВАЛДОЙ - Уникальные возможности от SeoHammer
Каждая ссылка анализируется по трем пакетам оценки: SEO, Трафик и SMM.
SeoHammer делает продвижение сайта прозрачным и простым занятием.
Ссылки, вечные ссылки, статьи, упоминания, пресс-релизы - используйте по максимуму потенциал SeoHammer для продвижения вашего сайта.
Что умеет делать SeoHammer
— Продвижение в один клик, интеллектуальный подбор запросов, покупка самых лучших ссылок с высокой степенью качества у лучших бирж ссылок.
— Регулярная проверка качества ссылок по более чем 100 показателям и ежедневный пересчет показателей качества проекта.
— Все известные форматы ссылок: арендные ссылки, вечные ссылки, публикации (упоминания, мнения, отзывы, статьи, пресс-релизы).
— SeoHammer покажет, где рост или падение, а также запросы, на которые нужно обратить внимание.
SeoHammer еще предоставляет технологию Буст, она ускоряет продвижение в десятки раз,
а первые результаты появляются уже в течение первых 7 дней.
Зарегистрироваться и Начать продвижение
Унитарное казенное предприятие, основанное на праве оперативного управления, самостоятельно лишь владеет и пользуется имуществом в соответствии с целями своей деятельности и заданиями собственника. Распоряжаться же имуществом оно может лишь с согласия собственника (Правительства РФ). Собственник вправе изъять излишнее или не по назначению используемое оборудование такого унитарного предприятия.
Казенное предприятие самостоятельно реализирует свою продукцию.
Порядок распределения доходов казенного предприятия определяется собственником его имущества.
Термин «предприятие» необходимо отличать от термина «учреждение». Предприятие – это, как правило, организация, которая ведет предпринимательскую деятельность с целью получения дохода. Учреждение – это организация, которая, как правило, осуществляет социальные функции (государственное учреждения, образовательные, функции здравоохранения, культурные и др.).
Учреждения не вправе распоряжаться закрепленным за ним имуществом, приобретенных за счет средств, выделенных ему по смете собственником (в нашем случае, государством или муниципалитетом). Если в соответствии с учредительными документами учреждению представлено право осуществлять приносящую доход деятельность, то доходы, полученные от такой деятельности, и приобретенные за счет этих доходов имущество поступает в самостоятельное распоряжения учреждения и учитывается как отдельный баланс.
Государственное и муниципальное имущество находятся в учреждении на праве оперативного управления.
При переходе прав собственности на государственное и муниципальное предприятие к другому лицу, права хозяйственного ведения и оперативного ведения сохраняются[2]
.
7.2 Условия участия федеральных, региональных и муниципальных образований в хозяйственных обществах.
Хозяйственным обществом
является коммерческие организации с разделенным на доли (вклады) учредителей (участников) уставным (складочным) капиталом. Имущество, созданное за счет вкладов учредителей (частников), а так же производственное и приобретенное хозяйственным обществом в процессе его деятельности принадлежит ему на праве собственности.
В случаях, предусмотренных законодательством, общество может быть создано одним лицом.
Функции по управлению унитарными и казенными предприятиями четко не разделены между федеральными органами власти.
Сервис онлайн-записи на собственном Telegram-боте
Попробуйте сервис онлайн-записи VisitTime на основе вашего собственного Telegram-бота:
— Разгрузит мастера, специалиста или компанию;
— Позволит гибко управлять расписанием и загрузкой;
— Разошлет оповещения о новых услугах или акциях;
— Позволит принять оплату на карту/кошелек/счет;
— Позволит записываться на групповые и персональные посещения;
— Поможет получить от клиента отзывы о визите к вам;
— Включает в себя сервис чаевых.
Для новых пользователей первый месяц бесплатно.
Зарегистрироваться в сервисе
Росимущество
наделяет государственные предприятия имуществом, относящиеся к федеральной собственности, согласовывает вопросы распоряжения недвижимости имуществом унитарных предприятий, ведет их реестр, решает вопросы их реорганизации, осуществляет контроль за эффективностью использования государственного имущества, закрепленного за унитарным предприятием.
Отраслевые федеральные органы
исполнительной власти утверждают уставом унитарных предприятий, назначают на должность и освобождают от должности их руководителей, заключают, изменяют и расторгают контракты с руководителями унитарных предприятий.
Широкие полномочия руководителей унитарных предприятий в отсутствии действенных инструментов и порядка управления, контроля и мотивации руководителей приводят к:
а. переводу части финансовых потоков в фирмы-спутники, создаваемые с целью изменения направления финансовых потоков; в результате большая часть чистой прибыли этих унитарных предприятий оседает в фирмах, а не перечисляется государству;
б. заключению сделок, в которых лично заинтересовано руководство унитарного предприятия, что приводит к искусственному завышению себестоимости продукции и к хищению федерального имущества (т.е. «уводу капитала»);
в. отсутствие у федеральных органов исполнительной власти достоверной информации о состоянии дел в унитарных предприятиях;
г. невозможности предотвратить негативные последствия противоречивой деятельности руководителей;
д. росту количества неплатежеспособных унитарных предприятий (особенно в период финансового кризиса);
Существующая система управления унитарными предприятиями не эффективна и нуждается в реформировании.
Целями и задачами управления унитарными предприятиями является:
1. повышение эффективности деятельности унитарных предприятий и учреждений;
2. создание системы мониторинга их финансово-экономического состояния и ужесточение системы контроля;
3. реформирование унитарных предприятий.
Достижение этих целей и решение задач управления унитарными предприятиями связаны с построением системы взаимоотношений с их руководителями, повышением эффективности унитарных предприятий в интересах государства.
Хозяйствования общества могут создаваться в форме акционерного общества, общества с ограниченной или дополнительной ответственностью.
Участники хозяйственных обществ могут быть и физические и юридические лица.
Обществом с ограниченной ответственностью
признается учреждение одним или нескольким лицами общество, уставным капиталом которого разделен на доли определенных учредительными документами размеров. Участники общества с ограниченной ответственностью не отвечают по его (общества) обязательствам и несут риск убытков, связанных с деятельностью общества в пределах стоимости внесенных ими вкладов.
Акционерным обществом
признается общество, уставной капитал которого разделен на определенное число акций. Участники акционерного общества не несут обязательствам и несут риск убытков, связанных с деятельностью общества, в пределах стоимости принадлежащих им акций.
Государственные и муниципальные органы управления могут создавать государственные унитарные и казенные предприятия и учреждения и передавать в них государственное и муниципальное имущество. Доля государства или муниципалитета в них не должна быть менее 50%. Государственное и муниципальное имущество, не закрепленное за этими предприятиями, составляет казну (государственную или муниципальную).
Казенное предприятие не вправе приобретать имущество, не соответствующее цели и предмету деятельности, содержащимся в его учредительных документах.
Государственное и муниципальное учреждение не вправе распоряжаться принадлежащим ему на праве оперативного управления имуществом, за исключением распоряжение денежными средствами в соответствии с утвержденной вышестоящей организацией сметой расходов. Государственное и муниципальное учреждение также не вправе приобретать имущество, не соответствующее цели и предмету деятельности. Это имущество изымается.
В случае несоответствии деятельности государственных и муниципальных предприятий и учреждений определенным целям и задачам осуществляется:
¾ преобразование ликвидация их.
¾ их в акционерное общество;
¾ приватизация их государственного и муниципального имущества этих предприятий;
¾ реструктурирование их;
Повышение эффективности управления государственными и муниципальными предприятиями должно привести к снижению цен на товары и услуги, поступлению дополнительных доходов в бюджет.
7.2 Финансово-промышленные группы (ФПГ).
Финансово-промышленные группы (ФПГ) являются формой интеграции промышленного и банковского капитала. Это совокупность юридических лиц, полностью или частично объединивших свои нематериальные или материальные активы на основе договора о создании финансово-промышленной группы. ФПГ создается с целью технологической или экономической интеграции, для реализации инвестиционных проектов и программ, направленных на повышение конкурентоспособности участников, расширение рынков сбыта товаров и услуг, повышение эффективности производства.
В практике зарубежных стран ФПГ состоят из крупных промышленных компаний и крупных банков, а также, во многих случаях, и из торговых компаний («ядро»). Кроме того, в состав ФПГ могут входить малые и средние компании («периферия»), деятельность которых контролируется крупными компаниями ФПГ. Такая структура (
рис.
7.1) позволяет сочетать потенциал крупных организаций с гибкостью средних и малых предприятий.
По российскому законодательству дочерние хозяйственные общества и предприятия могут входить в состав ФПГ только вместе со своим основным обществом (унитарные предприятия — вместе со своим учредителем).
[3]
Рис. 7.1
Принципиальная структура
ФПГ
В договоре, который заключают между собой участники ФПГ, предусматривается центральная компания (управляющая компания), как отдельное юридическое лицо. Она является по отношению к другим организациям ФПГ материнской. В договоре определяется цели, порядок образования ФПГ, условия функционирования совета управляющих, являющихся высшим органом управления ФПГ, объем, порядок т условия объединения активов.
Выгода участников ФПГ в возможности мобилизации крупных капиталов, в специализации каждого участника, в увеличении доли рынка (следствием чего является снижение себестоимости продукции и услуг и получение больше доходов). Выгода ие входягосударства заключается в ускорении процесса перестройки экономики страны, развитии научной базы и решении социальных проблем.
Участники ФПГ несут солидарную ответственность по обязательствам управляющей компании. Государственные ФПГ создаются под контролем государства.
Участники ФПГ могут быть признаны консолидированной группой налогоплательщиков и вести сводный (консолидированный) бухгалтерский отчет и отчетность.
Центральная (управляющая) компания вырабатывает общую стратегию развития ФПГ, в которой согласовывается наличие входящих в группу предприятий. Эта управляющая компания обычно имеет холдинговую структуру организации.
Законодательство России предусматривает, что правительство РФ в соответствии с приоритетами в промышленной и социальной политике осуществляет меры государственной поддержки ФПГ. Такими мерами являются:
- зачет задолженности участника ФПГ, акции которого реализуются на инвестиционных конкурсах (торгах), в объем предусмотренных условиями инвестиционных конкурсов (торгов) инвестиций для покупателя — центральной компании той же ФПГ;
- предоставление участникам ФПГ права самостоятельно определять сроки амортизации оборудования и накопления амортизационных отчислений с направлением полученных средств на деятельность ФПГ;
- передача в доверительное управление центральной компании ФПГ временно закрепленных за государством пакетов акций участников этой ФПГ;
- предоставление государственных гарантий для привлечения различного рода инвестиций;
- предоставление инвестиционных кредитов и иной финансовой поддержки для реализации проектов ФПГ.
Органы государственной власти субъектов Российской Федерации в пределах своей компетенции могут предоставлять дополнительные льготы и гарантии ФПГ.
Центральным банком РФ могут предоставляться льготы банкам — участникам ФПГ, осуществляющим инвестиционную деятельность.
Организация и деятельность ФПГ иллюстрируются схемой 7.2.

Схема 7.2 Организация и деятельность финансово-промышленной группы (
ФПГ)[4]
В табл. 7.1 представлены преимущества и недостатки форм интеграции финансового и промышленного капитала, которые позволяют сравнивать преимущества и недостатки ФПГ с другими формами интеграции финансового и промышленного капитала.
Преимущества и недостатки форм интеграции финансового и промышленного капитала[5]
| Форма
интеграции
|
Преимущества
|
Недостатки
|
| Картель
|
Участники заключают взаимовыгодные соглашения о регулировании объемов производства, о разделе рынков сбыта, установлении уровня заработной платы.
|
Является типичной формой монополии и противоречит основным принципам антимонопольного законодательства
|
| Трест
|
Полученная прибыль распределяется в соответствии с долевым участием отдельных предприятий, входящих в трест.
|
Отсутствие централизованных фондов капиталовложений.
|
| Синдикат
|
Централизация всей коммерческой деятельности участников; возможность преодоления трудностей со сбытом продукции.
|
Отсутствие возможностей объединения финансового и промышленного капитала.
|
| Концерн
|
Единая собственность участников, централизованная система контроля, достаточно высокий уровень кооперирования производства.
|
Ограниченная самостоятельность участников.
|
| Консорциум
|
Объединение участников происходит на основе целевого соглашения о совместной деятельности по реализации единого проекта.
|
Прекращение деятельности после выполнения поставленной задачи.
|
| Корпорация
|
Создается для защиты каких-либо привилегий участников; в наибольшей мере отвечают задачам крупного производства.
|
Сложность регулирования правовой деятельности; двойное налогообложение (налоги платит акционер и корпорация); значительные издержки на управление.
|
| Холдинг
|
Согласованная единая для всех участников научно-техническая и экономическая политика; широкая самостоятельность участников в производственно-хозяйственной деятельности.
|
Невозможность применения в сельскохозяйственном производстве, переработке сельскохозяйственной продукции и производственно-техническом обеспечении сельского хозяйства
|
| ФПГ
|
Возможность сохранения производственных связей и развития финансовых взаимоотношений участников; контроль за использованием ресурсов; устранение негативных факторов в процессе трансформации экономики.
|
Трудности определения вклада отдельных участников в общие результаты; отсутствие научно-обоснованных подходов к расчету доли участников в распределяемой части финансовых результатов
|
Отечественный опыт создания и функционирования ФПГ показал, что имеется существенная специфика создания и функционирования различных видов ФПГ: государственных и частных, федеральных и региональных, отраслевых и др. Ниже в табл. 7.2 представлен механизм создания региональных ФПГ[6]
:
Механизм создания региональных ФПГ
Для оценки эффективности создания и функционирования ФПГ используют различные виды эффективности:
Сравнительную эффективность
, рассматриваемую как разность результатов, полученных после создания и функционирования ФПГ и результатов до начала функционирования ФПГ; абсолютную эффективность,
рассматриваемую как сравнение результатов, полученных после функционирования ФПГ с затратами на ее создание, расчетную эффективность
, определяющую на основе проектных (прогнозируемых или расчетных) результатов функционирования ФПГ и фактическую эффективность
; определяющую на основе результатов, реально полученных после функционирования ФПГ.
Приведенные ниже экономические показатели можно использовать как для оценки эффективности создания и функционирования региональных ФПГ в целом, так и по отдельным направлениям деятельности: промышленность, сельское хозяйство, финансы и кредит, строительство, торговля научно-исследовательская деятельность[7]
.
Показатели производственной структуры:
- производство отдельных видов продукции (товаров, услуг) в стоимостном (без НДС и анализов) или натуральном выражении;
Производственная структура:
- производство отдельных видов продукции (товаров, услуг) в стоимостном (без НДС или акцизов) или натуральном выражении;
- производство отдельных видов продукции '(товаров, услуг) в процентах от общего объема.
Эти показатели характеризуют реструктуризацию производственной структуры ФПГ, ее ориентацию на выпуск прогрессивной пользующейся спросом продукции.
Ресурсный потенциал:
- уставный (оплаченный) капитал, тыс. руб;
- среднесписочная численность работающих (без совместителей), чел.;
- среднегодовая стоимость основных производственных фондов, тыс. руб.
Инвестиционная деятельность:
- оборотные средства, тыс. руб.;
- нематериальные активы (без интеллектуальных инвести-, ций), тыс. руб.;
- интеллектуальные инвестиции (вложения в подготовку кадров, лицензии, «ноу-хау», НИОКР), тыс. руб.;'
- финансовые инвестиции, тыс. руб.
Экономические показатели:
- балансовая прибыль (прирост, убыток), тыс.
- кредиторская задолженность, тыс. руб.;
- дебиторская задолженность, тыс, руб.;
- рентабельность, %
При расчете эффективности создания ФПГ (расчетная, ожидаемая эффективность) в качестве базы сравнения по всем приведенным частным показателям (результатов до реализации мероприятия — создания ФПГ) должна браться их сумма по всем будущим участникам группы. В качестве результатов, которые будут получены после осуществления мероприятия, следует принимать сумму частных показателей, взятых из бизнес-планов всех будущих участников.
В расчетах фактической эффективности создания ФПГ, производимых после первого финансового года функционирования группы:
- в качестве базы сравнения берутся результаты до реализации мероприятия (как и при расчете ожидаемой эффективности);.
- в качестве результатов, которые получены после реализации мероприятия (первого финансового года функционирования); берутся показатели консолидированного (сводного) отчета ФПГ.
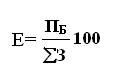
Обобщающим показателем экономической эффективности создания и функционирования ФПГ служит прирост коэффициента эффективности (общей рентабельности):
∆Е=Е2
-Е1
где: ∆Е; Е2
и Е1
, — коэффициент эффективности (общая рентабельность): соответственно прирост в результате создания ФПГ, после создания идо создания.
Если до создания ФПГ производство было убыточным, то приростом коэффициента эффективности будет его значение после создания группы (Е2
)..
При расчете коэффициента эффективности необходимо учитывать полные затраты в процессе функционирования ФПГ:
å
З
=3ОФ
+3ОС
+3ИН
+3ФИ
,(2.2.)
где: å3 — полные затраты, тыс. руб.;
30ф
— среднегодовая стоимость основных производственных фондов, тыс. руб.;
Зос
— среднегодовые оборотные средства, тыс. руб.;
Зин
— интеллектуальные вложения, тыс. руб.;
Зфи
— финансовые инвестиции, тыс. руб.
В этом случае коэффициент эффективности (общей рентабельности) рассчитывается по формуле:

где: ПБ
— балансовая прибыль, тыс. руб.
Все показатели, необходимые для расчета фактического коэффициента эффективности функционирования ФПГ (Е2
), имеются в статистической форме № 1-ФПГ.
7.4 Управление конфликтами в процессе трансформации собственности.
В процессе трансформации собственности наиболее негативные последствия от внутренних и внешних социально-экономических конфликтов. Часто причинами тех и других является:
¾ невыплаты или несвоевременные выплаты заработной платы работникам несостоятельных предприятий;
¾ отсутствие достоверной информации о текущей экономической ситуации на предприятии или в районе;
¾ социальная незащищенность работников несостоятельных предприятий (особенно, на градообразующих предприятиях в моногородах);
¾ незнание своих прав на социальные гарантии социальную защиту;
¾ несправедливое решения правоохранительных органов власти;
¾ тревожное ожидание негативных перемен (боязнь потерять работу, боязнь своего профессионального несоответствия новым условиям работы, новым задачам, технологиям и др.)
В целях предотвращения социально-экономического кризиса руководителя предприятия необходимо в первую очередь, решить две группы задач:
1. обеспечение социальных гарантий и социальной защиты работников несостоятельных предприятий.
2. снижение уровня социально-психологической напряженности в коллективе предприятия.
Решения первой группы задач можно осуществить путем:
¾ выплаты задолженности по заработной плате;
¾ переводом высвобожденных работников с одного места на другой (путем, например, организации новых производств);
¾ содействия в трудоустройстве на других предприятиях высвобождаемых работников несостоятельного предприятия;
¾ содействия в социальной защите части высвобожденных работников предпенсионного и пенсионного возраста, инвалидов.
Выше перечисленные меры требуют финансовых затрат и их необходимо зарезервировать в плане финансового оздоровления или в я, плане внешнего управления, который утверждается советом кредиторов несостоятельного предприятия.
Решения второй группы задач по предотвращению социально-психологического кризиса на несостоятельном предприятии (снижение уровня психологической напряженности): можно осуществлять путем планомерной и широко развернутой разъяснительной работой по предстоящим на несостоятельном предприятии преобразованиям. Результатами этой работы должно быть понимание, принятие, освоение новизны и активное участие работников предприятия в его преобразовании.
Антикризисном управляющему необходимо общаться с работниками и изучать причины их беспокойств, понять мотивы их сопротивления преобразованиям, разъяснять суть проблем, чащ пользоваться коллективными решениями, использовать энергию активных работников для повышения эффективности преобразований.
Специалисты выделили ряд методов антикризисного управления персоналом. В табл. 7.3 представлены методы антикризисного управления, их достоинства и недостатки.
Методы
преодоления
,
сопротивления
организационным
изменениям.
Приведенный ниже перечень содержит как мягкие — мотивационные, так и жесткие — административные методы .преодоления противодействия персонала запланированным изменениям. Необходимо отметить, что ориентация на принуждение может лишь в исключительных случаях привести к устойчивому успеху. На базе формально легитимной власти руководителя изменения внедряются в приказном порядке. Часто административный нажим сопровождается поощрениями или угрозами санкций. В этих условиях желаемое поведение определяется страхом перед наказанием, а не убежденностью подчиненного. Такое положение, как показывает практика, не может гарантировать предприятию стабильный и длительный успех, возможны лишь кратковременные достижения в кризисные периоды, когда, например, возникает угроза сокращения значительного числа рабочих мест.
Методы
преодоления
,
сопротивления
организационным
изменениям. Табл. 7.3[8]
| Метод
|
Предпосылки
сопротивления
|
Достоинства
|
Недостатки
|
| 1. Обучение и предоставление информации
|
Недостаток информации, ее недостоверность или неправильная интерпретация
|
Если удается убедить сотрудников в необходимости мероприятия, они активно участвуют в преобразованиях
|
Требует много времени, если нужно охватить большое число сотрудников
|
| 2. Привлечение к участию в проекте
|
Дефицит информации у инициаторов проекта относительно программы изменений и предполагаемого сопротивления им
|
Участники заинтересованно поддерживают изменения и активно предоставляют релевантную информацию для планирования
|
Требует очень много времени, если участники имеют неправильное представление о целях изменений
|
| 3. Стимулирование и поддержка
|
Сложность индивидуальной адаптации к отдельным изменениям
|
Предоставление помощи при адаптации и учет индивидуальных пожеланий облегчают достижение целей изменений
|
Требует много времени, а также крупных расходов, что может привести к неудаче проекта
|
| 4. Переговоры
и соглашения .
|
Некоторые группы руководителей предприятия опасаются в результате изменений потерять свои привилегии
|
Стимулирование в обмен на поддержку может оказаться относительно простым способом преодоления сопротивления
|
Часто требует больших расходов и может вызвать претензии у других групп
|
| 5. Кадровые перестановки и назначения
|
Несостоятельность других тактик влияния или недопустимо высокие затраты по ним
|
Сопротивление I относительно быстро ликвидируется при невысоких затратах
|
Создаётся угроза будущим проектам из-за недоверия затрагиваемых лиц
|
| 6. Скрытые и явные черты принуждения
|
Острый дефицит времени или отсутствие соответствующей властной базы у инициаторов изменений
|
Угроза санкций заглушает сопротивление, делает возможной быструю
реализацию проекта
|
Связан с риском, порождает стойкую озлобленность
к инициаторам,.
пассивное сопротивление возможной
переориентации проекта
|
Эффективность освоения новшеств определяется также материальным стимулированием работников. При этом важнейшим условием выступает дифференциация стимулов с учетом квалификации и групповой организации трудового процесса. Однако руководители часто склонны не замечать несогласия между топ-менеджера ми и рядовыми сотрудниками относительно целей преобразований. Такое противостояние не способствует успеху, особенно при выполнении стратегических проектов организационных изменений. Сотрудники имеют собственное представление о лояльности фирмы, опираясь на определенные ценности. От того, в какой мере организация сможет учесть их, зависит успех перемен. Иными словами, стратегические решения о реорганизации бизнеса фирмы, находящейся в кризисной ситуации, должны приниматься с учетом сложившейся корпоративной культуры. Уровень и тип этой культуры, возможности ее изменения в соответствии с поставленными целями и сформулированными задачами определяют условия достижения за планированного эффекта.
Эффективное антикризисное управление предполагает знание и умение управлять социально-психологическими конфликтами, т.к. эти конфликты часты бывают разрушительными, но, иногда, позитивными, (когда с помощью управляемого конфликта можно разрешить те или иные проблемы).
Для того, чтобы управлять конфликтами необходимо познать его природу, причины его возникновения. Анализ литературы по проблемам конфликтологии позволяет выделить следующие признаки социальных конфликтов.[9]
1.Существование по меньшей мере двух сторон, имеющих контакт друг другом. При наличии двух сторон говорят о биполярном, или диалектическом конфликте, трех сторон – о триадном конфликте, многих сторон – о мультистороннем конфликте
2. Взаимозависимость сторон, побуждающая их к участию в конфликтном взаимодействии, без которой стороны не могут выйти из конфликтного поля.
3. Несовместимость (полная или частичная) целей и ценностей конфликтующих сторон. Обычно она возникает при наличии двух видов дефицита: позиционного дефицита (когда два субъекта не могут занимать одну и ту же позицию, например должность начальника отдела, и соответственно выполнять одну и ту же роль) и дефицита ресурсов, тех или иных благ, всеобщим эквивалентом которых обычно выступают деньги.
4. Нулевая сумма конфликтного взаимодействия. Это означает, что в конфликте выигрыш одной стороны равнозначен проигрышу другой и каждый из участников стремится приобрести для себя что-то за счет оппонента. С этой точки зрения конфликт отличается, например, от дискуссии экспертов, обладающих различными и даже несовместимыми взглядами и оценками.
5. Действия, направленные друг против друга. Это ведущий признак в диагнозе конфликта. Он отличает реальный конфликт как от не проявляющейся внешне в поведении и действиях психологической оппозиции (неприязни, осознании несовместимости целей и ценностей и пр.), так и от конкуренции.
6. Понятия конфликта и конкуренции тесно взаимосвязаны и иногда отождествляются. Однако конфликт отличает от конкуренции осознанность противоречий и направленность действий его участников друг против друга. Конкуренция (например, соперничество на рынке товаров различных фирм или конкурс на занятие руководящей должности) может иметь место и без знакомства конкурентов друг с другом и осознания несовместимости их целей. Кроме того, при конкуренции возможны параллельные действия сторон, их неосознанное соперничество, опосредованное другими людьми (в упомянутых выше примерах это опосредование потребителем или конкурсной комиссией). Следовательно, не всякая конкуренция есть конфликт. Однако если действия конкурентов осознаны и непосредственно направлены друг против друга, то их взаимодействие является конфликтом.
7. Использование давления или силы как крайнего варианта давления. Давление может быть разных видов: психологическое, экономическое, физическое и пр.; оно может осуществляться в форме угроз или практических действий. Применение давления, особенно силы, придает конфликту ярко выраженную негативную эмоциональную окрашенность, которая обычно возрастает по мере нарастания давления и использования более жестких его форм.
В основе конфликта лежат противоречия: объективные, существующие до их осознания людьми, и субъективные, связанные либо с осознанием объективных противоречий, либо с сознанием, психологией людей.
Учитывая отмеченные признаки конфликтов, их можно определить как основанное на реальных или мнимых противоречиях взаимодействие, преследующее несовместимые, взаимоисключающие цели сторон, действия которых направлены друг против друга и исключают взаимную выгоду.[10]
Стадии конфликта.
Конфликты имеют процессуальный характер, т.е. представляют собой имеющий начало и завершение процесс. В зависимости от особенностей протекания конфликта выделяют следующие его стадии.
1 . Зарождение, или возникновение. На этой стадии конфликт имеет скрытый для стороннего наблюдения характер и проявляется как недовольство, выражаемое в словесной форме, изоляционистском или недоброжелательном поведении (замкнутость, недоверие, распространение слухов и пр.).
2. Формирование. На этой стадии происходит консолидация сторон конфликта и выдвижение требований к оппоненту.
3. Расцвет. Стороны переходят к активным действиям, блокируя друг другу возможность достижения целей и намерений.
4. Угасание, или преобразование. Это стадия полного или частичного разрешения конфликта, которое происходит в результате либо исчерпания ресурсов одной или обеими сторонами, либо достижения между ними соглашения, либо «устранения» одной из сторон.
Приведенное разделение развития конфликта по стадии процесса позволяет структурировать анализ ситуации, целенаправленно подбирать методы управления взаимоотношениями сторон.
Анализ временных характеристик развития конфликта, а также возможностей регулирования отношений на каждой из стадий позволяет сформировать структуру управляемого процесса смены стадий и его механизм (рис. 7.3).
Большая часть приведенных на рис.7.3 позиций относится к определенным выше стадиям конфликта. Такие стадии, как реакция на ситуацию и регулирование конфликта„характеризуют управление конфликтом.
Из специальной литературы известно о разнообразных формах проявления конфликта. Наиболее распространенные на практике формы: остракизм; споры между начальником и подчиненным; сопровождающиеся нападками сторон дискуссии; переговоры по тарифам; забастовки. С разнообразием форм проявления связаны и типологии (классификации) конфликтов. При разработке типологий их авторы делят конфликты по разным основаниям: числу участников; степени остроты; широте конфликтного взаимодействия; скорости протекания; объектам; целям; другим основаниям.
Рис. 7.3 Механизм регулируемого конфликтного процесса

Типология (классификация) конфликтов
Не останавливаясь на деталях многочисленных известных типологий (классификаций) конфликтов, отметим лишь те из них, которые имеют особое значение для предприятий, переживающих кризис. Так, в зависимости от количества и уровня участников конфликты делятся:
- на внутриличностные, т.е. индивидуальные конфликты, характеризующиеся столкновением несовместимых и примерно равных по силе потребностей, интересов и мотивов, а также выполняемых человеком ролей (ролевой конфликт), например, ролей заботливой жены и матери, с одной стороны, и эффективного менеджера, с другой стороны; высококвалифицированного специалиста и исполнителя не адекватного этой роли производственного задания;
- межличностные, т.е. конфликты между отдельными людьми, в том числе в случаях, когда конфликты развиваются параллельно между одним человеком и несколькими людьми;
- конфликты между личностью и группой;
- межгрупповые, т.е. конфликты, сторонами которых являются группы разных уровней — от небольших неформальных до крупных организаций и даже государств.
Имеются множество других классификаций – конфликтов в зависимости от различных критериев.
Стратегии управления конфликтами[11]
Деятельность руководителя или любого другого субъекта управления конфликтами непосредственно зависит от общей стратегии, на которую он ориентируется.
Существуют три главных стратегии управления конфликтами.
1. Нормативная или морально-правовая стратегия. Ее цель — разрешение конфликта на административно-правовой пли этической основе. Соперничающие стороны обращаются к законам и принятым в данной организации нормам поведения. Возможность разрешения конфликта напрямую зависит от принятия и соблюдения всеми участниками конфликта соответствующих норм и базирующихся на них общих правил игры. Обычно это связано с наличием у сторон ценностною консенсуса. Если же правила игры не соблюдаются или вообще отвергаются хотя бы одной из сторон, то используется убеждение или силовое навязывание этих правил игры с помощью угрозы и применения санкций, которые в обществе считаются легитимными. В целом данная стратегия ориентирована на мирное соперничество по определенным правилам. Причем уважение правил и поддерживание тем самым сферы консенсуса считается в конечном счете важнее, чем победа в конфликте.
2. Реалистическая стратегия. Эта стратегия основывается на неизбежности конфликта в силу прирожденного стремления человека к господству и обладанию дефицитными ценностями и ориентируется главным образом на временное урегулирование конфликта с помощью любых средств, пригодных в данной ситуации. Конфликты рассматриваются как неизбежные, поскольку в любой организации объективно существуют управляющие (субъект управления) и управляемые (объект управления). Считается, что всеобщее равенство в принципе недостижимо и к тому же дисфункционально. Обязательное наличие в каждой организации почвы для конфликтов не позволяет надеяться на достижение «всеобщего мира» и стабильно доверительного сотрудничества. Поэтому наиболее целесообразна ставка на «перемирие» и временное урегулирование конфликтов. В рамках реалистической стратегии конфликт рассматривается как игра с нулевым выигрышем, т.е. выигрыш одной стороны равнозначен проигрышу другой. Такую стратегию широко используют на предприятиях с высокой степенью эксплуатации и там, где руководство стремится к максимальной выгоде, в том числе личной, путем интенсивного «выжимания пота» при минимальной оплате труда, не задумываясь над этической и правовой сторонами реализуемой политики.
3. Идеалистическая стратегия. Эта стратегия ориентирована на попок новых общих целей и ценностей, которые обесценивают прежние ценности, послужившие источником конфликта, а также на сотрудничество сторон для достижении новых целей. Данная стратегия предусматривает выигрыш всех сторон конфликта в результате его разрешения. При этом конфликт трактуется как игра, взаимодействие с положительной суммой выигрыша. Считается, что в данный момент все участники конфликта проигрывают. При решении лежащей в его основе проблемы все стороны окажутся в выигрыше. Реализация данной стратегии переводит взаимоотношения сторон в новую, бесконфликтную плоскость. Она либо устраняет источник конфликта, либо обесценивает его значимость, создавая новую шкалу целей и ценностей, в соответствии с которой источник конфликта утрачивает свое былое значение для его участников. Многообразие целей и средств разрешения конфликта обычно позволяет получить позитивный результат. Однако все зависит в первую очередь от иерархии потребностей участника конфликта.
Успех идеалистической стратегии непосредственно связан с культурой субъекта, особенно с уровнем развития его конфликтологической культуры, и субъективной значимостью для него гуманных, альтруистических ценностей. Если бы все люди исходили из гуманного библейского принципа «возлюби ближнего твоего как самого себя», то это вообще устранило бы всякую почву для конфликтов. Однако реальное поведение людей в организациях далеко оттого уровня, когда приемлемой может считаться лишь идеалистическая стратегия разрешения конфликтов. В целом же идеалистическая стратегия считается предпочтительной. В процессе такого разрешения конфликта все стороны оказываются в выигрыше, а кроме того, у участников вырабатывается устойчивый поведенческий образец, позволяющий им самостоятельно разрешать проблемы в будущем.
В связи с этим можно сформулировать требования, соблюдение которых создает потенциал для эффективного управления конфликтом на предприятии, работающем в режиме кризиса. Прежде всего, это высокий уровень знаний всех руководителей предприятия о конфликтологии. Данное требование обусловлено в первую очередь глубиной проблем, с которыми сталкивается предприятие при выходе из кризиса. Анализ практики работы предприятий в условиях кризиса показывает, что характер кон фликта на любом уровне управления чаще всего порождается следующими причинами:
1) общесистемными, связанными с неупорядоченностью структур и функций самой организации, их несоответствием рыночной обстановке;
2) неэффективной организацией работ внутри самого подразделения. В этом случае наиболее часто отмечается несогласованность интересов личности и целен подразделения.
В подобной ситуации эффективное управление конфликтами возможно лишь при согласованной грамотной работе руководителей каждого уровня управления. Важным аспектом этой работы является отлаженность механизма горизонтального взаимодействия руководителей. Включение механизма горизонтальных связей обеспечивает локализацию конфликтов на конкретном уровне управления. Такое положение ослабляет давление причин конфликтов, порождаемых на нижних уровнях, .на проблемы верхних уровней управления предприятием. Этим приостанавливается развитие конфликтов, возникших на одном уровне, на другие уровни. Слаженность, командность работы руководителей представляет собой необходимое условие для локализации и сокращения времени протекания конфликтов.
Однако эффективное управление конфликтами в условиях кризиса возможно лишь при обусловленном уровне корпоративной культуры предприятия. Формирование системы ценностей и правил взаимодействия — это долгосрочная задача. Ее решение, как показывает опыт зарубежных фирм,— дело нелегкое, но без этого эффективное и быстрое преодоление конфликтов в условиях постоянных изменений невозможно.
Структура процесса управления конфликтом.
В целом процесс вмешательства в конфликт можно представить схематично (рис.7.4)
Рассмотрим стратегию эффективного вмешательства, осуществляемого консультантом. Стратегическое вмешательство определяется несколькими основными условиями урегулирования конфликта, которые приведены на рис. 7.4 и которые мы кратко охарактеризуем далее.
1. Завоевание авторитета у сторон. Стороны должны стремиться к позитивному разрешению конфликта и действовать соответствующим образом с помощью консультанта. Для консультанта очень важно установить хорошие взаимоотношения с обеими сторонами, не отдавая предпочтения ни одной из них, поскольку в противном случае его деятельность не будет эффективной.

Рис
. 7.4
Последовательность
действий
при
вмешательстве
в
конфликт
Консультант должен:
- устанавливать с обеими сторонами контакт на раннем этапе работы;
- разъяснять свои намерения относительно данной конфликтной ситуации;
- обеспечивать себе поддержку. Представители обеих сторон и управляющие могут разъяснять намерения консультанта лицам, чьи интересы они представляют, и помогать им осознать важные моменты их деятельности.
Если одна из сторон не видит никакого смысла в урегулировании конфликта, то целесообразность дальнейшей деятельности консультанта вызывает сомнения.
2. Определение структуры взаимоотношений сторон.
Консультант должен ясно представлять себе структуру сторон — участников конфликта.
Неясное лидерство, внутренняя силовая борьба, острое соперничество между фракциями и другие факторы могут стать значительным препятствием к разрешению конфликта. Очень важно познакомиться с формальными и неформальными лидерами, знать их мнение, а также степень их готовности к активному участию в процессе урегулирования конфликта. Это означает, что консультант должен не только устанавливать структуру сторон, но иногда помогать им, разрабатывать более определенную внутреннюю структуру. Кроме того, ему следует координировать «центральную власть» предприятия. Сотрудничество консультанта с представителями «центральной власти» предприятия увеличивает вероятность успеха.
Широко распространено получение консультантом интервью у представителей обеих сторон как способ сбора необходимой информации. С помощью этих интервью определяют:
- степень своего авторитета;
- разграничение и внутреннюю структуру сторон;
- возможный состав группы, которая будет оказывать поддержку консультанту.
Интервью обеспечивают консультанта данными о следующих решающих характеристиках:
- интенсивность конфликта;
- уровень симметрии и силовой баланс;
- природа, характер конфликта (определенные проблемы, жалобы и поводы для недовольства).
Наличие групп, оказывающих поддержку, в частности отвечающих на вопросы интервью, предоставляет консультанту благоприятную возможность для разработки индивидуальной программы исследования данной ситуации. Главное направление исследования — создание предварительных условий для уменьшения напряженности, интенсивности конфликта.
3. Поддержание равновесия сторон. Без определенной симметрии в отношениях" между сторонами консультант не сможет выполнять свои обязанности. Собственно, приглашение консультанта может явиться свидетельством наличия определенного равновесия между сторонами и желания разрешить противоречия. Значительное силовое различие указывает на высокую вероятность того, что более сильная сторона намерена разрешить конфликт посредством навязывания своей воли и принуждения другой стороны признать ее.
Консультант должен проявлять активность прежде всего в безвыходных ситуациях. Фактически безвыходная ситуация (или угроза ее возникновения вследствие того, что стороны находятся в одной «весовой категории») оказывается движущим фактором для изучения природы, характера конфликта, его последствий и альтернативных решений. Важнейшей особенностью взаимодействия сторон в этих условиях является стремление к сохранению баланса интересов. Кроме того, консультант должен уделять приблизительно одинаковое время каждой стороне и проводить отдельные обсуждения на нейтральной территории.
4. Поддержание «оптимального» уровня интенсивности конфликта. Высокая интенсивность конфликта сильно осложняет управление им и даже в ряде случаев делает это управление невозможным. Такое положение обусловливается тем, что ни одна из сторон не проявляет готовности общаться с другой стороной. Часты случаи, когда оба участника конфликта не видят большого смысла в деятельности консультанта, особенно если она ограничена определенными условиями одной из сторон.
Существует и другая опасность. Конфликт, который находится в состоянии быстрой эскалации, может оказаться, как показывает практика, вне сферы влиянии консультанта. Кроме того, может наступить момент, когда стороны не проявят желания осуществить изменения, поскольку состояние конфликта стало для них привычным несмотря на его деструктивность и они не хотят сделать еще одну попытку достижения компромисса. Собственный позитивный образ сочетается с негативным представлением о другом участнике. Стороны конфликта больше не желают выслушивать другие точки зрения, поскольку это только способствует возникновению сомнений в своей правоте, и придерживаются собственного представления о ситуации.
Подобные затяжные конфликты могут представлять гораздо большую проблему для консультанта, чем внезапно возникшие острые кризисы.
5. Дифференциация вмешательства по типам конфликта
. Если на предыдущих этапах рассматривались вопросы управления динамикой конфликта, то здесь определяющим вопросом является качественная сторона разногласий, природа их возникновения.
Конфликтные ситуации обычно связаны с одной из следующих форм отношений, возникающих в процессе совместной деятельности групп:
- деловыми («инструментальными»);
- социоэмоциональными;
- распределительными (проявляющимися при ведении переговоров о распределении ресурсов);
- силовыми.
Иногда возникновение конфликта связано со всеми указанными формами отношений. В таком случае они должны рассматриваться как разные аспекты одного конфликта.
6. Детализация конфликта, конфронтация, синтез. Практика показывает, что деятельность консультанта бывает эффективной лишь в случаях, когда рассмотрение предмета спора и конфронтация сторон проходят поэтапно. Это повторяющийся процесс, каждый раз предусматривающий анализ определенной части конфликта. Наилучшие результаты получаются тогда, когда этот метод поддержан обеими конфликтующими сторонами.
Непосредственной целью обсуждений является - не принятие решений, а разъяснение перспектив для обеих сторон. Каковы перспективы, зависит от того, какая форма отношений доминирует: при решении вопросов делового характера это будут главным образом обсуждение и полемика, при решении вопросов социоэмоциональыого характера — представление себя на месте другого.
Результатом противопоставления перспектив может оказаться синтез: выработка решения, понимания и достижение компромисса.
Конфронтация сторон может закончиться и наступлением безвыходной ситуации. Безвыходные ситуации побуждают стороны к дальнейшей детализации предмета спора, за которой вновь следует конфронтация.
Последовательность структурирования конфликта представлена на рис. 7.5.
Последовательность структурирования конфликта представлена на рис. 7.5.

7. Определение процедур достижения компромисса для каждой стороны, ориентация на постоянный прогресс. Важная задача консультанта - четкое определение, разъяснение, обоснование и указание процедур, которые стороны должны выполнять. Четкость в определении ролей И алгоритмов работы сторон создает спокойную обстановку, необходимую Для продолжения работы, а неопределенность, нерешительность и двусмысленность вызывают сумятицу и недоверие. Часто стороны считают, что дезориентированы и подвергаются давлению. Если консультант не способен регулировать взаимодействие сторон, то легко возникает враждебная атмосфера, которая делает невозможным конструктивное обсуждение чего-либо, ставит под вопрос целесообразность переговоров.
8. Контроль за процедурой продвижения к разрешению конфликта.
Кроме прочего, на эффективность деятельности консультанта влияет структура процесса управления конфликтом, т.е. степень изменения характера конфронтации сторон. Процесс, как показывает опыт, может легко принять вид циклично повторяющихся обсуждений одних и тех же вопросов. В этих случаях особую роль играет качество выполнения консультантом такой функции управления, как контроль. Иными словами, консультант, по сути, выступает регулятором мыследеятельности конфликтующих групп в направлении окончательного разрешения конфликта. В этой роли консультант как управляющий в рамках своих полномочий должен создавать условия для постоянного прогресса на переговорах. Речь идет о таком владении технологией разрешения конфликта, которая позволит консультанту управлять изменением позиций сторон в споре, что приведет к разрешению конфликта за определенное время. В условиях кризиса минимизация времени разрешения конфликтов — одно из важнейших требований его эффективного преодоления.
Возможные действия консультанта в рассмотренных условиях перечислены в табл.7.4.
Распределение во времени этапов разрешения конфликта представлено на рис. 7.6
Методика эффективности вмешательства в конфликт по этапам его анализа. (табл. 7.4)
| Аспект отношений
|
Экспертный метод
|
| Завоевание авторитета у сторон
|
Проявление и демонстрация независимости, разъяснение своих намерений
|
| Определение структуры взаимоотношений сторон
|
Понимание внутренней структуры, структурирование взаимоотношений «центральной власти» предприятия и участников конфликта
|
| Поддержание рационального уровня интенсивности конфликта
|
Определение последствий затяжных конфликтов, исследование готовности сторон осуществлять изменения
|
| Дифференциация вмешательства по типам конфликта
|
Выбор формы вмешательства, соответствующей данной классификации
|
| Детализация спорных вопросов, конфронтация, синтез
|
Поэтапное рассмотрение конфликта, конфронтация и исследование безвыходных ситуаций для дальнейшей детализации спорных вопросов
|
| Определение процедур достижения компромисса для каждой стороны
|
Установление четких процедур, прекращение циклично повторяющихся обсуждений
|
Рис. 7.6 Распределение во времени этапов разрешения конфликта.

Эффективность управления конфликтом в условиях кризиса[12]
Рассмотренные порядок и методы разрешения конфликтов в особом режиме развития предприятия (банкротство) имеют ряд особенностей, определяющих их эффективность.
1. В теории организации наличие противоборствующих сторон рассматривается как вполне естественное. С этих позиций менее социально приемлемое поведение в дальнейшем становится более объяснимым и логичным.
2. Силовые методы и методы, позволяющие достичь компромисса при ведении переговоров, объяснимы и предоставляют возможность вмешательства в конфликт и его регулирование извне.
3. Важнейшие достижения в развитии предприятия используются в дальнейшем. Речь идет об элементах эффективной организации, таких, как ориентация на процессы, анализ взаимоотношений между отдельными работниками и их группами, совершенствование инструментария вмешательства в конфликт, т.е. о наличии гибкой реакции на различные типы Конфликтов, приведение методов разрешения споров в соответствие его природе.
4. Рассматриваемые традиционные теоретические модели систем и участвующих сторон являются ограниченными и односторонними. Модель, опирающаяся на теорию организации, предоставляет возможность получения, как системных характеристик предприятия, так и характеристик участвующих сторон.
5. Анализ конфликтов с позиции теории организации позволил систематизировать принципы управления конфликтами и связать процессы разрешения споров с развитием предприятия в единую модель.
6. Предложенный алгоритм разрешения конфликта опирается на систематическую процедуру упорядочения проблем во взаимосвязи с повседневной работой предприятия в режиме кризиса. Совершенствование практики позволяет при разрешении конфликтов периодически корректировать теоретические положения.
7. Предложенная комплексная стратегия внедрения изменений предусматривает конкретные директивные указания относительно эффективного воздействия, как на структуру, так и на организационную культуру предприятия. Разработанная общая схема разрешения конфликта определяет способы совершенствования такой культуры с точки зрения предприятия.
Представление предприятия как системы организационных единиц позволяет особо рассматривать расширение предприятия в качестве одного из режимов его развития. Недостаточное регулирование процессов расширения предприятия зачастую негативно влияет на его жизнеспособность и способность адаптироваться к изменениям внешней среды.
В проанализированном алгоритме разрешения конфликтов взаимоотношения организационных единиц характеризуются стремлением к автономии. Это отчетливо проявляется в разделении власти и обязанностей, а также в совместной деятельности при социоэмоциональной форме отношений, ведении переговоров, что оказывает влияние, как на структуру предприятия, так и на его культуру. Менеджеру важно определить, каким образом и в каком направлении следует развивать структуру и культуру предприятия, усиливать его жизнеспособность и выживаемость для улучшения работоспособности его служащих, повышения их активности.
Таким образом, предложенный подход разрешения конфликтов в кризисном режиме развития позволяет наметить направления формирования такого важнейшего свойства предприятия, как выживаемость.
7.5 Финансовое оздоровление несостоятельных государственных и муниципальных предприятий в регионах.
Разработка антикризисной стратегии. В последнее время усилилось влияние таких дестабилизирующих для регионального развития факторов, как недостаток конкурентоспособного производства, избыточность неэффективного имущественного комплекса на крупных промышленных предприятиях, отсутствие бюджетных программ развития производства, неблагоприятный инвестиционный климат, связанный, в том числе с финансовым кризисом и захватами предприятий. Обострились социально-экономические проблемы моногородов: безработица и несвоевременное поступление налогов в городские бюджеты, недостаточность социальных выплат неработающему населению и др.
Жизненно необходимой становится разработка стратегии выхода из кризиса и программ устойчивого развития регионов. Суть антикризисной стратегии - выдвижение наиболее важных задач региона в области промышленной, ценовой политики, определение генеральных направлений повышения деловой активности на территории с использованием благоприятных внешних факторов и внутренних возможностей регионов.
Антикризисная стратегия осуществляется через стратегическое планирование, позволяющее привести в соответствие цели территории и возможности их достижения. Стратегическое планирование - важнейшая составная часть управления, его результатом является установление долгосрочных целей и выработка планов текущей деятельности, направленных на их реализацию.
Основными результатами реализации региональных антикризисных программ могут быть:
создание целостной эффективной системы управления регионом, включая разработку стратегии и тактики развития, промышленной и сельскохозяйственной политики, программы реформирования предприятий;
совершенствование системы управления финансами, включая управление бюджетными средствами, развитие инфраструктуры финансового рынка.
Администрации целого ряда субъектов РФ и муниципальных образований реализуют региональные, местные антикризисные программы и программы реформирования и реструктуризации предприятий, расположенных на их территории.
Вопросы антикризисного управления находятся в центре внимания, например, правительства Свердловской области. В антикризисной программе реализованы конкретные мероприятия по стабилизации работы и финансовому оздоровлению предприятий, которым предоставлена финансовая поддержка в виде финансирования ряда социальных объектов, поручительства по кредитным соглашениям, налоговых освобождений, отсрочек по платежам в бюджет и внебюджетные фонды, товарных кредитов и др.
Думой Приморского края был принят краевой закон «О досудебной санации и финансовом оздоровлении предприятий Приморского края», который регулирует порядок и условия осуществления мер по предупреждению несостоятельности (банкротства) предприятий за счет средств регионального или местного бюджета, путем целевого финансирования в счет задолженности данных предприятий по уплате налогов, пеней и штрафов, зачисляемых в соответствующий бюджет, внебюджетные фонды, опрделяет приоритетные направления государственной поддержки предприятий, имеющих социальную и экономическую значимость для региона или муниципального образования.
В Москве отрабатывается механизм комплексной поддержки промышленных предприятий путем выделения налогового кредита, реструктуризации задолженности за потребление электроэнергии, воды, тепла и других коммунальных услуг, финансирования создания новых рабочих мест. Финансирование планов финансового оздоровления осуществляется за счет средств, выделяемых из бюджета Москвы на реализацию Комплексной программы промышленной деятельности в Москве и основных положений промышленной политики. В состав Комплексной программы, в частности, входит программа «Реформирование убыточных и неустойчиво работающих предприятий, включая оборонно-промышленный комплекс».
В ходе реализации программы Правительством Москвы оцениваются состояние и перспективы развития промышленных предприятий и организаций отраслевой науки, разрабатываются программы и проекты финансового оздоровления в виде государственной финансовой поддержки (на возвратной основе) и предоставления льгот, а также программы реорганизации базовых предприятий и организаций, способных наращивать объемы реализации продукции. Реорганизация имущественного комплекса реформируемых предприятий и организаций позволит снизить) финансовую нагрузку на прибыль и использовать в интересах города, в том числе для развития малого бизнеса, отчуждаемую часть (недвижимости, земельные участки ликвидируемых предприятий.
Получая поддержку местной администрации в той или иной форме, предприятие, как правило, быстрее достигает конечных результатов по всем направлениям своей деятельности, получает возможность расплатиться с долгами и становится надежным налогоплательщиком, пополняя доходную часть бюджетов всех ровней. Не стоит сбрасывать со счетов и макроэкономический фактор, так как в масштабе страны рост числа конкурентоспособных предприятий приводит к усилению экономики региона и национальной экономики в целом.
Наиболее существенными показателями, которые определяют результативность реформирования с точки зрения администраций субъектов РФ и инвесторов, являются:
1) обеспечение текущих платежей в бюджет (местный и субъекта РФ) и в пенсионный фонд;
2) выполнение графика погашения задолженности во все виды бюджетов и пенсионный фонд (как правило, в режиме реструктуризации федеральных долгов);
3) сокращение задолженности по заработной плате и рост душевого дохода;
4) сохранение и рост числа рабочих мест;
5) стабилизация и рост объемов производства и реализации;
6) рост конкурентоспособности продукции;
7) стабилизация и рост экономической эффективности (рентабельности, нормы прибыли на вложенный капитал, производительности труда, оборачиваемости оборотных средств и др.);
8) уход из зоны банкротства (снижение задолженности, улучшение критериев несостоятельности и др.);
9) выход на безубыточное функционирование, стабилизация и рост предельной и чистой прибыли.
Обобщая опыт регионов и муниципальных образований в сфере антикризисного управления, можно сделать вывод, что администрации имеют в своем распоряжении достаточно инструментов, позволяющих принять меры по предупреждению банкротства, своевременно диагностировать ситуацию и оказать финансовую поддержку несостоятельным предприятиям. Отметим, что такая поддержка, как правило, оказывается государственным унитарным и крупным промышленным предприятиям, имеющим в уставном капитале долю государственной собственности, которые признаны экономически или социально значимыми для экономики региона.
Меры по предупреждению банкротства принимают учредители (участники) должника - юридического липа, собственник имущества должника - унитарного предприятия, органы исполнительной власти субъекта РФ и органы местного самоуправления.
Меры по финансовому оздоровлению организаций принимают учредители (участники) предприятия-должника, собственник имущества должника - унитарного предприятия до момента подачи в арбитражный суд заявления о признании должника банкротом, а также кредиторы или иные лица на основании соглашения с должником.
Финансовое оздоровление организации для предупреждения банкротства включает в себя комплекс мер, обеспечивающих возможность дальнейшего развития предприятия. Этот комплекс мер и является предметом рассмотрения в данной книге.
Финансовое оздоровление осуществляется в следующих формах государственной поддержки:
- бюджетных ссуд предприятиям-должникам, предоставляемых в порядке и на условиях, устанавливаемых администрацией субъекта РФ или местной администрацией в соответствии с действующим законодательством:
- бюджетных ссуд предприятиям-должникам под залог их имущества;
- размещения государственного заказа на предприятиях-должниках в порядке, устанавливаемом законодательством субъекта РФ;
- реструктуризации задолженности предприятия по налогам;
- установления льгот по налогам и сборам в части налогов, поступающих в соответствующий бюджет, утверждаемых представительным органом власти;
- изменения сроков уплаты налогов и сборов в части налогов, поступающих в региональный или местный бюджет (отсрочка, рассрочка, налоговый кредит, инвестиционный налоговый кредит);
- приобретения уполномоченным органом исполнительной власти по управлению имуществом предприятий зданий, сооружений, долей (паев) в капитале предприятий, акций и других ценных бумаг, иного имущества, которое закрепляется в государственной собственности субъекта РФ или муниципальной собственности;
- инвестиционных кредитов предприятиям-должникам для модернизации, реструктуризации производства;
- снижения тарифов на коммунальные услуги;
- реструктуризации задолженности предприятия по коммунальным платежам;
- средств, предусмотренных на финансирование дополнительных рабочих мест, и в иных формах.
Направления и формы досудебной санации. Собственником имущества должника - унитарного предприятия, учредителями (участниками) должника - юридического лица и иными лицами в рамках мер по предупреждению банкротства должнику может быть предоставлена финансовая помощь в размере, достаточном для погашения денежных обязательств и обязательных платежей и восстановления платежеспособности должника.
Условия проведения досудебной санации за счет бюджетов муниципальных образований устанавливаются органами местного самоуправления.
Досудебной санации за счет средств регионального бюджета, путем целевого финансирования в счет задолженности данных предприятий по уплате налогов, пеней и штрафов, зачисляемых в региональный бюджет, внебюджетные фонды для финансового оздоровления, подлежат предприятия, имеющие социальную или экономическую значимость для региона.
Средства, полученные в ходе досудебной санации, направляются на:
- удовлетворение требований граждан, перед которыми должник несет ответственность за причинение вреда их жизни или здоровью;
- выплату выходных пособий и оплату труда лицам, работающим по трудовому договору, в том числе по контракту;
- удовлетворение требований кредиторов по обязательствам, обеспеченным залогом имущества должника;
- удовлетворение требований кредиторов по обязательным платежам в бюджет и во внебюджетные фонды;
- расчеты с другими кредиторами.
Досудебная санация за счет средств региональною бюджета, внебюджетных фондов осуществляется на безвозвратной и возвратной, безвозмездной и возмездной основах.
Финансовая помощь на безвозвратной основе. Она осуществляется в форме субсидий из региональных источников - финансирования. Субсидии предоставляются на финансирование непроизводственной деятельности предприятий, связанной с содержанием на балансе объектов социально-культурного и коммунально-бытового назначения, а также на возмещение убытков предприятиям, если для них действующим законодательством установлены условия хозяйствования, при которых не обеспечивается возмещение затрат на производство товаров (работ, услуг), что может повлечь за собой их банкротство.
Во всех остальных случаях финансовая помощь оказывается исключительно на возвратной основе. Субсидии отражаются в балансе предприятия как целевые финансовые поступления и не влекут за собой изменения доли региона в уставном капитане предприятия.
Финансовая помощь на возвратной основе. Предоставление финансовой помощи на возвратной основе может сопровождаться принятием должником или иными липами обязательств в пользу лиц, предоставивших финансовую помощь, в связи с возмездным характером сделки либо для исполнения обязательств.
Финансовая помощь на возвратной основе осуществляется в форме:
- бюджетных ссуд предприятиям-должникам, предоставляемых в порядке и на условиях, устанавливаемых администрацией субъекта РФ и утверждаемых представительным органом власти;
- бюджетных ссуд предприятиям-должникам под залог их имущества;
- реструктуризации задолженности предприятий по налогам;
- установления льгот по налогам и сборам в части налогов, поступающих в региональный бюджет, утверждаемых представительным органом власти.
Основания для предоставления государственной финансовой поддержки.
Основанием для предоставления государственной финансовой поддержки неплатежеспособным предприятиям является выполнение следующих условий:
- наличие средств соответствующих источников обеспечения санационных мероприятий;
- наличие согласованного с и утвержденного плана финансового оздоровления предприятия, включающего мероприятия по восстановлению платежеспособности и (или) поддержанию эффективной хозяйственной деятельности;
- соблюдение нелепого характера использования ранее предоставленной государственной финансовой поддержки;
- наличие согласованного с уполномоченным органом исполнительной власти плана финансирования, необходимого для обеспечения запланированных санационных мероприятий.
Порядок формирования перечня предприятий-должников.
Ходатайство о проведении досудебной санации за счет средств регионального бюджета и внебюджетных фондов подается предприятием - должником, собственником имущества должника - унитарного предприятия, учредителями должника - юридического лица в уполномоченный орган исполнительной власти. Последний формирует перечень предприятий-должников, подлежащих досудебной санации за счет средств бюджета, определяет форму досудебной санации. При этом предусматривается необходимость сохранения профильности предприятия-должника, численности работающих на производстве и другие условия, обеспечивающие социальные гарантии работникам предприятия.
При формировании перечня предприятий-должников учитываются следующие условия:
- предприятие-должник соответствует статусу предприятия, имеющего социальную или экономическую значимость для региона:
- размер кредиторских требований к предприятию-должнику превышает минимум, установленный администрацией.
Перечень включает в себя:
- сведения о предприятии-должнике;
- общий размер задолженности, в том числе в бюджеты всех уровней и внебюджетные фонды;
- размер финансовой поддержки, оказываемой предприятию;
- форму досудебной санации;
- условия и сроки возврата средств.
Решение о включении в перечень предприятий-должников региона, подлежащих государственной поддержке за счет средств регионального бюджета и внебюджетных фондов, с определением формы досудебной санации принимает глава администрации субъекта Федерации.
Договор о досудебной санации
. Он заключается между уполномоченным органом исполнительной власти субъекта РФ, с одной стороны, и предприятием-должником - с другой. Содержание и форма договора зависят от принятой формы досудебной санации и оформляются в соответствии с требованиями федерального законодательства. Продолжительность государственной финансовой поддержки (досудебной санации) предприятий-должников, как правило, не должна превышать 24 месяцев с даты подписания договора.
Контроль за целевым использованием средств.
Уполномоченный орган исполнительной власти субъекта РФ в рамках контроля за целевым использованием средств государственной поддержки, обеспечением возвратности средств, выделяемых в форме государственных кредитов, вправе в любое время привлечь Контрольно-ревизионное управление Министерства финансов РФ (соответствующее региональное отделение) для проверки надлежащего использования выделенных средств с начислением штрафных санкций в
случае их нецелевого использования. В случае установления нецелевого или неэффективного использования государственных средств, выделенных на поддержание предприятия-должника, изменения профиля предприятия, сокращения занятости людей на производстве, а также невозможности достижения целей государственной финансовой поддержки уполномоченный орган обязан прекратить досудебную санацию.
Порядок финансирования.
Органом, финансирующим санационные мероприятия, является региональная администрация. Средства финансовой поддержки подлежат перечислению в соответствии с договором о досудебной санации и могут использоваться исключительно на финансирование мероприятий, предусмотренных утвержденным планом финансового оздоровления. Средства, необходимые для финансовой поддержки предприятий, ежегодно предусматриваются при формировании регионального бюджета, где выделяются отдельной строкой «Финансовая поддержка предприятий в целях предупреждения банкротства».
Условия проведения досудебной санации предприятий за счет средств регионального бюджета и внебюджетных фондов устанавливаются законом о региональном бюджете на соответствующий год. Уполномоченный орган исполнительной власти ежегодно в период формирования бюджета следующего года представляет в администрацию предложения о необходимых суммах государственной финансовой поддержки неплатежеспособных предприятий. Государственная финансовая поддержка не предоставляется неплатежеспособным предприятиям в случае, если в течение трех лет до момента обращения предприятия за поддержкой (за исключением предприятий, для которых в соответствии с законодательством установлены условия хозяйствования, при которых не возмещаются их затраты на производство товаров, работ, услуг) ему уже предоставлялась такая поддержка.
Порядок отбора предприятий-должников, подлежащих досудебной санации за счет средств регионального бюджета. Уполномоченный орган исполнительной власти при формировании перечня предприятий-должников, подлежащих досудебной санации за счет средств регионального бюджета, производит отбор предприятий - должников из числа подавших заявку на проведение досудебной санации. Условие отбора предприятий – должников - отнесение их к статусу предприятий, имеющих социальную или экономическую значимость для региона. Для придания предприятию статуса социально или экономически значимого должно быть соблюдено хотя бы одно из нижеперечисленных условий:
- предприятие относится к приоритетной отрасли региона;
- выпускаемая продукция или оказываемые услуги относятся к предметам повседневного спроса или к предметам стратегического назначения:
- не менее 20% общего объема продукции (услуг) отправляется на экспорт;
- наличие на балансе предприятия объектов инженерной, транспортной и социальной инфраструктуры общей оценочной стоимостью не менее 50 000 минимальных размеров оплаты труда;
- размер обязательных платежей в бюджеты всех уровней и фонды составляет не менее 50 000 минимальных размеров оплаты труда в год;
- на финансирование благотворительной деятельности направляется не менее 25% того, что разрешено налоговым законодательством.
Для примера ниже рассматривается Нижегородская региональная программа реформирования и реструктуризации промышленных предприятий.
Главная идея этой программы заключается в том, что финансовые средства (налоговые льготы, денежные средства, реструктурированные долги, средства на содержание объектов жилищно-коммунального хозяйства и социально-культурной сферы при передаче их в муниципальную собственность), которые могут быть выделены на поддержку предприятий, рассматриваются как ресурсы областной администрации. Эти ресурсы через систему договоров и гарантий обмениваются на обязательства предприятия улучшить свою деятельность. Реализация проекта осуществляется департаментом промышленности областной администрации. Существенный момент - участие в проекте профессиональных консультантов.
В качестве основных показателей, определявших результативность деятельности предприятий - участников пилотного проекта, приняты те, которые снижают социальную напряженность и улучшают финансово-экономическое положение региона. К числу таких показателей были отнесены:
- сохранение и увеличение числа рабочих мест;
- повышение среднего дохода работающих:
- обеспечение регулярной и полной выплаты текущих налогов в бюджеты всех уровней и внебюджетные фонды:
- постепенный возврат долгов бюджетам всех уровней (реализация графика реструктуризации и погашения долгов);
- увеличение объема продаж и производства:
- повышение экономической эффективности (рентабельности) предприятия и его инвестиционной привлекательности.
Для улучшения этих показателей администрация области приняла ряд решений по предприятиям - участникам проекта. Гак, был снижен на 50% налог на прибыль от дополнительных объемов продаж (за исключением платежей, причитающихся в федеральный бюджет). Администрация доплачивала 50% стоимости услуг консультантов в течение первых двух месяцев осуществления проекта при условии выработки и защиты эффективного плана реструктуризации. Предприятия имели возможность получить налоговый кредит в первые 1-2 квартала реализации плана реструктуризации при условии его возврата через год. Консалтинговая фирма, участвующая в проекте, согласилась работать совместно с местными консультантами, обучая их (одно из обязательных условий реализации программы), и получить оплату по результатам, т.е. спустя год после начала реструктуризации в случае положительных финансовых результатов.
Взаимодействие администрации, предприятия и консультантов начинается с заключения четырех- и двусторонних договоров на первом этапе с авансированной оплатой и на втором этапе с оплатой по результату. Четырехсторонний договор носит рамочный характер и подписывается на весь период работы (1 год) всеми участниками: генеральными директорами предприятия и консалтинговой фирмы, главами областной и местной администраций. Конкретные, в том числе финансовые, условия, а также программа работ определяются двусторонним договором между предприятием и консалтинговой фирмой.
Результат первого этапа - стратегия и план реформирования и реструктуризации предприятия. На втором этапе достигаются реальные экономические результаты. Оплата консультантов составляет зафиксированный в договоре процент от прироста показателей экономической эффективности.
По данным ЗАО «РОЭЛ-консалтинг», в процессе реформирования резко повышается рентабельность предприятия (на 10-20% на первой стадии реформирования, через 1-2 квартала, и еще на 20-40% на второй стадии, через 3-4 квартала) и снижаются риски. Как правило, на первой стадии не требуются инвестиции, кроме небольшого стартового аванса для оплаты консультантов, который погашается через 1-2 месяца из дополнительных доходов (финансовых результатов). В результате реформирования предприятие становится привлекательным как для бюджетных, так и для коммерческих инвесторов. При достаточном масштабе программы реформирования это способствует притоку инвестиций в регионы.
[1]
См. ГК РФ, ст. 113-115, 294-297.
[2]
См. стр. 287-288
[3]
Крутов М.М. стратегическое управление компанией. М., Русая деловая литература, 1998.
[4]
Круглов М.И «Стратегическое управление компанией», М., Русская деловая литература, 1998 стр. 411
[5]
См. Зайцев Б.Ф. и др. «Механизм создания» российских региональных финансово-промышленных групп» под ред. Б.Ф. Зайцева М., Экзамен, 2000, с.35
[6]
См. Зайцев Б.Ф. и др. «Механизм создания» российских региональных финансово-промышленных групп» под ред. Б.Ф. Зайцева М., Экзамен, 2000, с.68
[7]
См. Зайцев Б.Ф. и др. «Механизм создания» российских региональных финансово-промышленных групп» под ред. Б.Ф. Зайцева М., Экзамен, 2000, с. 82, 83.
[8]
См. Баринов В.А. Антикризисное управление. М., ИДФБК-Пресс, 2005 с. 288
[9]
См. Баринов В.А. Антикризисное управление. М., ИДФБК-Пресс, 2005 с. 288
[10]
См. Баринов В.А. Антикризисное управление. М., ИДФБК-Пресс, 2005 с. 302
[11]
См. Баринов В.А. Антикризисное управление, с. 304
[12]
См. Баринов В.А. Антикризисное управление, с. 320
|