Банк рефератов содержит более 364 тысяч рефератов, курсовых и дипломных работ, шпаргалок и докладов по различным дисциплинам: истории, психологии, экономике, менеджменту, философии, праву, экологии. А также изложения, сочинения по литературе, отчеты по практике, топики по английскому.
Реклама
Полнотекстовый поиск
Всего работ:
364139
Теги названий
Реклама
VisitTime.ru помогает быстро организовать онлайн-запись клиентов и держать расписание под контролем.
📅 Настройте услуги и длительность приёма, откройте свободные окна — и клиенты запишутся сами в пару кликов.
🕒 Вы избегаете накладок, меньше тратите времени на переписки и звонки, а автоматические напоминания повышают явку.
💡 Отличное решение для мастеров, студий и сервисных команд, которым важны порядок и стабильная загрузка.
Начать пользоваться сервисом



Разделы
Авиация и космонавтика (304)
Административное право (123)
Арбитражный процесс (23)
Архитектура (113)
Астрология (4)
Астрономия (4814)
Банковское дело (5227)
Безопасность жизнедеятельности (2616)
Биографии (3423)
Биология (4214)
Биология и химия (1518)
Биржевое дело (68)
Ботаника и сельское хоз-во (2836)
Бухгалтерский учет и аудит (8269)
Валютные отношения (50)
Ветеринария (50)
Военная кафедра (762)
ГДЗ (2)
География (5275)
Геодезия (30)
Геология (1222)
Геополитика (43)
Государство и право (20403)
Гражданское право и процесс (465)
Делопроизводство (19)
Деньги и кредит (108)
ЕГЭ (173)
Естествознание (96)
Журналистика (899)
ЗНО (54)
Зоология (34)
Издательское дело и полиграфия (476)
Инвестиции (106)
Иностранный язык (62791)
Информатика (3562)
Информатика, программирование (6444)
Исторические личности (2165)
История (21319)
История техники (766)
Кибернетика (64)
Коммуникации и связь (3145)
Компьютерные науки (60)
Косметология (17)
Краеведение и этнография (588)
Краткое содержание произведений (1000)
Криминалистика (106)
Криминология (48)
Криптология (3)
Кулинария (1167)
Культура и искусство (8485)
Культурология (537)
Литература : зарубежная (2044)
Литература и русский язык (11657)
Логика (532)
Логистика (21)
Маркетинг (7985)
Математика (3721)
Медицина, здоровье (10549)
Медицинские науки (88)
Международное публичное право (58)
Международное частное право (36)
Международные отношения (2257)
Менеджмент (12491)
Металлургия (91)
Москвоведение (797)
Музыка (1338)
Муниципальное право (24)
Налоги, налогообложение (214)
Наука и техника (1141)
Начертательная геометрия (3)
Оккультизм и уфология (8)
Остальные рефераты (21692)
Педагогика (7850)
Политология (3801)
Право (682)
Право, юриспруденция (2881)
Предпринимательство (475)
Прикладные науки (1)
Промышленность, производство (7100)
Психология (8692)
психология, педагогика (4121)
Радиоэлектроника (443)
Реклама (952)
Религия и мифология (2967)
Риторика (23)
Сексология (748)
Социология (4876)
Статистика (95)
Страхование (107)
Строительные науки (7)
Строительство (2004)
Схемотехника (15)
Таможенная система (663)
Теория государства и права (240)
Теория организации (39)
Теплотехника (25)
Технология (624)
Товароведение (16)
Транспорт (2652)
Трудовое право (136)
Туризм (90)
Уголовное право и процесс (406)
Управление (95)
Управленческие науки (24)
Физика (3462)
Физкультура и спорт (4482)
Философия (7216)
Финансовые науки (4592)
Финансы (5386)
Фотография (3)
Химия (2244)
Хозяйственное право (23)
Цифровые устройства (29)
Экологическое право (35)
Экология (4517)
Экономика (20644)
Экономико-математическое моделирование (666)
Экономическая география (119)
Экономическая теория (2573)
Этика (889)
Юриспруденция (288)
Языковедение (148)
Языкознание, филология (1140)

Реферат: Тенденции в рядах динамики

Название: Тенденции в рядах динамики
Раздел: Рефераты по маркетингу
Тип: реферат Добавлен 05:19:54 24 июня 2011 Похожие работы
Просмотров: 356 Комментариев: 19 Оценило: 2 человек Средний балл: 5 Оценка: неизвестно     Скачать

Введение

Объектом исследования данной работы являются тенденции ряда динамики и основные методы ее выявления.

Целью написания данного реферата является изучение методов выявления основной тенденции (тренда) в рядах динамики.

Данная работа выполнена в связи с изучением курса статистики.

Глава 1

Важное место в статистике занимает описание изменений показателей во времени или динамике. Ряд динамики образуется в результате сводки и обработки показателей периодического статистического наблюдения.

Ряд динамики - это числовые значения статистических показателей, изменяющихся во времени и расположенных в хронологической последовательности.

Одна из важнейших задач статистики- определение в рядах динамики общей тенденции развития.

Основной тенденцией развития называется плавное и устойчивое изменение уровня во времени, свободное от случайных колебаний. Задача состоит в выявлении общей тенденции в изменении уровней ряда, освобожденной от действия различных факторов.

Изучение тренда включает два основных этапа:

· ряд динамики проверяется на наличие тренда;

· производится выравнивание временного ряда и непосредственно выделение тренда с экстраполяцией полученных результатов.

С этой целью ряды динамики подвергаются обработке следующими методами:

1. Метод сглаживания путем укрупнения интервалов во времени.

2. Выравнивание рядов динамики методом скользящей средней.

3. Метод аналитичного выравнивания.

I метод . Первоначальный ряд динамики преобразуется и заменяется другим рядом, в котором показатели относятся к большим по продолжительности периодам времени, т.е. интервал укрупнен. Этот прием используется только для интервальных рядов динамики. Укрупнение производится до тех пор, пока не будет выявлена четкая тенденция развития явления, а уровни ряда охватывать большие периоды времени. Посмотрим на примере: имеются данные о производстве обуви за ряд лет (табл. 5.8), выявить тенденцию роста или снижения производства обуви методом укрепнения интервалов.

Таблица 5.8

Данные о производстве обуви

Годы Производство обуви, млн. пар.
1995 680
1996 683
1997 550
1998 670
1999 685
2000 690

В данном РД нечетко обозначена тенденция выпуска обуви.

Для выявления тенденции укрупним интервалы до 3-х лет и рассчитаем общий и средний выпуск обуви, используя среднюю арифметическую .

Реклама

Таблица 5.9

Укрупненный ряд динамики

Годы Производство обуви
Всего Среднегодовое

1995–1997

1997–2000

1913

2045

637,6

681,6

В этом ряду четко прослеживается тенденция роста выпуска обуви.

Недостатки:

При его использовании не прослеживается процесс изменения явления внутри укрупненных интервалов.

II метод. Метод скользящей средней заключается в следующем: формируются укрупненные интервалы, состоящие из одинакового числа уровней. Каждый последующий интервал получаем, постепенно сдвигаясь от начального уровня ряда на один уровень. По укрупненным интервалам определяем среднюю из уровней, входящих в каждый интервал.

Известны следующие данные о рабочих днях и производстве продукции (табл. 5.10).

Для четкого проявления тенденции производства продукции необходимо укрупнить ряды динамики с интервалом в пять дней. Рассчитаем скользящую среднюю с интервалом в пять дней. Решение в табл. 5.10.

Таблица 5.10

Ряд динамики

Рабочие
дни
Произведено продукции, в тыс. руб. Скользящая производства,
продукции (интервал 5 дн.)
Скользящая средняя из 5 уровней
1
2
3
4
5
6
7
8
9
10
11
12
37
42
33
45
58
55
56
70
69
74
71
86
37+42+33+45+58=215
42+33+45+58+55=233
247
284
308
324
339
340
370
215: 5=43,0
233: 5=46,6
49,4
56,8
61,6
67,8
68
74

Получили новый РД, где четко прослеживается тенденция роста производства продукции.

Недостатки:

1. Невозможность получения всех уровней для сглаженного ряда. Число уровней в сглаженном РД меньше, чем в исходном, на (к – 1), где к – число периодов в укрупненном интервале (5 – 1) = 4, т. е. на 4.

2. Произвольность выбора интервала для определения скользящей средней.

III метод . Аналитическое выравнивание. При исчислении этого метода фактические уровни РД заменяются теоретическими, вычисленными на основе уравнения определенной кривой, отражающей общую тенденцию развития явления.

Тенденцию развития социально-экономических явлений обычно изображают кривой, параболой, гиперболой и прямой линией.

Если РД выравнивают по прямой, то уравнение прямой имеет следующий вид:

,

где у – фактические уровни;

уt – теоретическое значение уровня;

t – периоды времени – фактор времени.

«а» и «в» – параметры уравнения.

Так как «t» известно, то для нахождения «уt» необходимо определить параметры «а» и «в». Их находят способом отклонений наименьших квадратов, смысл которых заключается в следующем. Исчисленные теоретические уровни должны быть максимально близки к фактическим уровням, т.е. S квадратов отклонений теоретических уровней от фактических должно быть

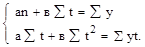
Этому требованию удовлетворяет следующая система нормальных уравнений:

n – количество уровней РД.

Эту систему уровней можно упростить, если взять t (период времени) таким, чтобы сумма периодов равнялась нулю: Σt = 0.

Реклама

Для этого необходимо периоды РД пронумеровать так, чтобы перенести в середину ряда начало отчета времени. В РД с нечетным числом периодов времени нумерация начинается с середины ряда и с нуля «0», а с четным числом периодов с «-1» и «+1». Тогда уравнения примут следующий вид:

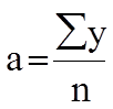
an = Σу, отсюда получим «а» ; .

Пример: по следующим данным провести анализ основной тенденции развития явления.

Таблица 5.11

Годы Объем т/оборота,
млн. руб. (у)
t yt t2 yt Значение
теоретических уравнений
1995
1996
1997
1998
1999
2000
2001
480
500
540
570
580
590
610
-3
-2
-1
0
1
2
3
-1440
-1000
-540
0
580
1180
1830
9
4
1
0
1
4
9
487,4
509,2
531,0
552,8
574,6
596,4
618,2
552,8 + 21,8 × (-3) = 487,4
552,8 + 21,8 × (-2) = 509,2
552,8 + 21,8 × (-1) = 531,0
552,8 + 21,8 × 0 = 552,8
Σ 610 28 Σуi =3869,6

Итого: у = 3820.

Решение задачи рассмотрим подробно:

1. Находим значение «а».

Σу = an .

2. Для нахождения «в»:

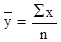
2.1. Находим середину интервального ряда и нумеруем периоды, определяем, начиная с «0» графа 3: в = Σуt: Σуt2 .

2.2. Определяем произведение уt и Σyt = 610.

2.3. Затем t2 , отсюда в = 610: 28 = 21,8.

Теперь по уравнению определяем теоретические уровни (уt ):

552,8 + =487,4.

упракт. = 3870 ; уt = 3869,6 расхож. мin.

Суммы теоретических и фактических уровней равны, т.е. уравнения прямой, выбранные (точно) для аналитического выравнивания, в полной степени выражают тенденцию развития изучаемого явления.

Параметры искомых уровней при аналитическом выравнивании могут быть определены по-разному. Чаще всего их определяют, решая систему нормальных уровней, полученных методом наименьших квадратов.

Аналитическое выравнивание позволяет не только определить общую тенденцию изменения явления в изучаемый период времени, но и произвести расчеты недостающих уровней рядов динамики.

Выводы:

1. Изучены тенденции ряда динамики и основные методы ее выявления.

2. Рассмотрен пример, в ходе расчета которого было получено, что суммы теоретических и фактических уровней равны, т.е. уравнения прямой, выбранные (точно) для аналитического выравнивания, в полной степени выражают тенденцию развития изучаемого явления.

В заключении необходимо отметить, что выполнив данную работу, я закрепила теоретические знания, полученные мною в процессе изучения данного курса, а так же получила навыки самостоятельного решения конкретных вопросов.

МИНИСТЕРСТВО СЕЛЬСКОГО ХОЗЯЙСТВА И ПРОДОВОЛЬСТВИЯ РЕСПУБЛИКИ БЕЛАРУСЬ

БЕЛОРУССКИЙ ГОСУДАРСТВЕННЫЙ АГРАРНЫЙ ТЕХНИЧЕСКИЙ УНИВЕРСИТЕТ

РЕФЕРАТ ПО КУРСУ «СТАТИСТИКА»

« ПОНЯТИЯ ТЕНДЕНЦИИ РЯДА ДИНАМИКИ И ОСНОВНЫЕ МЕТОДЫ ЕЕ ВЫЯВЛЕНИЯ»

Студентки 2-го курса, 68 им группы

Тишкевич Татьяны Юрьевны

2010

СОДЕРЖАНИЕ

1. Введение

2. Глава 1 (основные определения, термины понятия)

3. Пример

4. Вывод

Список использованной литературы:

1. Ефимова М.Р., Петрова Е.В. Общая теория статистики: учебник. 2004г.

2. Сергеева И.И., Тимофеева С.А., Чекулина Т.А. Статистика: учебник. 2008г.

3. Шмойлова Р. А. Теория статистики: учебник. 2002г.

Оценить/Добавить комментарий
Имя
Оценка
Комментарии:
Хватит париться. На сайте FAST-REFERAT.RU вам сделают любой реферат, курсовую или дипломную. Сам пользуюсь, и вам советую!
Никита02:03:13 05 ноября 2021
.
.02:03:12 05 ноября 2021
.
.02:03:10 05 ноября 2021
.
.02:03:09 05 ноября 2021
.
.02:03:07 05 ноября 2021

Смотреть все комментарии (19)
Работы, похожие на Реферат: Тенденции в рядах динамики

Назад
Меню
Главная
Рефераты
Благодарности
Опрос
Станете ли вы заказывать работу за деньги, если не найдете ее в Интернете?

Да, в любом случае.
Да, но только в случае крайней необходимости.
Возможно, в зависимости от цены.
Нет, напишу его сам.
Нет, забью.



Результаты(294402)
Комментарии (4230)
Copyright © 2005 - 2024 BestReferat.ru / реклама на сайте