| Министерство образования и науки Российской Федерации.
Всероссийский Заочный Финансово – Экономический институт
Контрольная работа
по дисциплине
«Финансовый менеджмент»
Вариант № 2
«Оценка деловой активности компании»
Выполнила Колбасеева Е.А.
Студентка 4 курса (вечер)
Специальность Бух. учет, анализ и аудит
№ личного дела 06убд11351
Преподаватель доц. Никитина А.О.
Брянск - 2010
Содержание:
1. Оценка деловой активности компании……………………………..3
2. Практическая часть…………………………………………………..11
3. Список литературы…………………………………………………..22
1.Оценка деловой активности компании
В широком смысле деловая активность означает весь спектр усилий, направленных на продвижение фирмы на рынках продукции, труда, капитала. В контексте анализа финансово-хозяйственной деятельности этот термин понимается в более узком смысле — как текущая производственная и коммерческая деятельность предприятия. Деловая активность предприятия проявляется в динамичности ее развития, достижении поставленных целей, эффективном использовании экономического потенциала, расширении рынков сбыта. Деловую активность предприятия можно оценивать как на качественном, так и на количественном уровне. Количественная оценка и анализ деловой активности могут быть осуществлены по двум направлениям: — степени выполнения плана по основным показателям, обеспечение заданных темпов их роста; —уровню эффективности использования ресурсов предприятия. Для оценки уровня эффективности использования ресурсов предприятия, как правило, используют различные показатели оборачиваемости. Показатели оборачиваемости имеют большое значение для оценки финансового положения компании, поскольку скорость оборота средств оказывает непосредственное влияние на платежеспособность фирмы. Кроме того, увеличение скорости оборота средств, при прочих равных условиях, отражает повышение производственно-технического потенциала фирмы. На практике наиболее часто используются следующие показатели деловой активности. Коэффициент оборачиваемости активов (коэффициент трансформации)
При помощи данного коэффициента оценивается эффективность использования фирмой всех имеющихся ресурсов не зависимо от источников их привлечения. Расчет этого коэффициента производится по формуле:
Забиваем Сайты В ТОП КУВАЛДОЙ - Уникальные возможности от SeoHammer
Каждая ссылка анализируется по трем пакетам оценки: SEO, Трафик и SMM.
SeoHammer делает продвижение сайта прозрачным и простым занятием.
Ссылки, вечные ссылки, статьи, упоминания, пресс-релизы - используйте по максимуму потенциал SeoHammer для продвижения вашего сайта.
Что умеет делать SeoHammer
— Продвижение в один клик, интеллектуальный подбор запросов, покупка самых лучших ссылок с высокой степенью качества у лучших бирж ссылок.
— Регулярная проверка качества ссылок по более чем 100 показателям и ежедневный пересчет показателей качества проекта.
— Все известные форматы ссылок: арендные ссылки, вечные ссылки, публикации (упоминания, мнения, отзывы, статьи, пресс-релизы).
— SeoHammer покажет, где рост или падение, а также запросы, на которые нужно обратить внимание.
SeoHammer еще предоставляет технологию Буст, она ускоряет продвижение в десятки раз,
а первые результаты появляются уже в течение первых 7 дней.
Зарегистрироваться и Начать продвижение

Коэффициент трансформации показывает, сколько раз за отчетный период совершается полный цикл производства и обращения, приносящий соответствующий эффект в виде прибыли, или сколько денежных единиц реализованной продукции принесла каждая денежная единица активов. Этот коэффициент варьируется в зависимости от отрасли, отражая особенности производственного процесса. При сравнении значения данного показателя для разных компаний или для одной компании за различные периоды необходимо проверить, обеспечивается ли единообразие в оценке среднегодовой стоимости активов. Кроме того, следует иметь в виду, что при прочих равных условиях показатель оборачиваемости активов будет тем выше, чем более изношены основные фонды предприятия. Коэффициент оборачиваемости дебиторской задолженности
По этому коэффициенту судят, сколько раз в среднем в течение отчетного периода дебиторская задолженность превращается в денежные средства, т. е. погашается. Коэффициент оборачиваемости дебиторской задолженности рассчитывается путем деления выручки от реализации продукции на среднегодовую стоимость чистой дебиторской задолженности за товары, работы, услуги:
 Этот коэффициент сравнивают со среднеотраслевыми коэффициентами, со значениями коэффициента предприятия за предыдущие периоды. Кроме того, коэффициент оборачиваемости дебиторской задолженности полезно сравнивать с коэффициентом оборачиваемости кредиторской задолженности. Такой подход позволяет сопоставить условия коммерческого кредитования, которыми предприятие пользуется у других фирм, с теми условиями кредитования, которые предприятие предоставляет другим предприятиям. Для анализа оборачиваемости дебиторской задолженности используется также показатель длительности оборота дебиторской задолженности
. Его часто называют сроком кредитования. Период оборачиваемости дебиторской задолженности в днях можно получить как частное от деления количества дней в периоде на коэффициент оборачиваемости дебиторской задолженности:

Этот показатель дает расчетное количество дней для погашения кредита, взятого дебиторами. Для оценки степени деловой активности предприятия можно также сравнивать сроки погашения дебиторской задолженности с фактическими сроками, на которые предоставляется кредит покупателям. Таким образом можно определить эффективность механизмов кредитного контроля в компании, а также получить представление о надежности дебиторов. Коэффициент оборачиваемости кредиторской задолженности
Данный коэффициент дополняет предыдущий. Для его расчета необходимо разделить себестоимость реализованной продукции на среднегодовую стоимость кредиторской задолженности:
Сервис онлайн-записи на собственном Telegram-боте
Попробуйте сервис онлайн-записи VisitTime на основе вашего собственного Telegram-бота:
— Разгрузит мастера, специалиста или компанию;
— Позволит гибко управлять расписанием и загрузкой;
— Разошлет оповещения о новых услугах или акциях;
— Позволит принять оплату на карту/кошелек/счет;
— Позволит записываться на групповые и персональные посещения;
— Поможет получить от клиента отзывы о визите к вам;
— Включает в себя сервис чаевых.
Для новых пользователей первый месяц бесплатно.
Зарегистрироваться в сервисе

Коэффициент показывает, сколько оборотов необходимо компании для оплаты имеющейся задолженности. Для анализа оборачиваемости кредиторской задолженности, так же как и для анализа дебиторской, используют показатель периода оборота кредиторской задолженности
:
 Этот показатель дает расчетное количество дней для погашения кредита, полученного от поставщиков компании. В целом порядок анализа оборачиваемости кредиторской задолженности аналогичен порядку анализа оборачиваемости дебиторской задолженности. Коэффициент оборачиваемости запасов
Для характеристики эффективности управления запасами используются коэффициент оборачиваемости запасов и показатель длительности оборота. Для расчета коэффициента оборачиваемости запасов необходимо себестоимость реализованной продукции разделить на среднегодовую стоимость запасов предприятия:

Коэффициент показывает, сколько оборотов за год совершили запасы, т. е. сколько раз они перенесли свою стоимость на готовые изделия. Показатель длительности оборота запасов
можно рассчитать следующим образом:
 Этот показатель характеризует период времени, в течение которого запасы превращаются в реализованные товары. Показатели оборачиваемости запасов предназначены для того, Чтобы показать, насколько успешно администрация использовала ресурсы компании. Оба показателя желательно сравнить со среднеотраслевыми значениями. Полезно также производить сравнение со значениями этих показателей за предыдущие периоды. В целом, чем выше коэффициент оборачиваемости запасов, а следовательно, меньше период оборота запасов, тем меньше средств связано в этой наименее ликвидной статье оборотных средств, тем более ликвидную структуру имеют оборотные средства, и тем устойчивее финансовое положение предприятия (при прочих равных условиях). Следует отметить, что в некоторых случаях увеличение оборачиваемости запасов отражает негативные явления в деятельности предприятия. Например, в случае повышения объема реализации за счет реализации товаров с минимальным уровнем прибыли или без таковой.
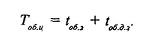
Длительность операционного цикла
По этому показателю определяют, сколько дней в среднем требуется для производства, продажи и оплаты продукции предприятия. Иными словами, в течение какого периода денежные средства связаны в запасах. Рассчитывается длительность операционного цикла следующим образом:

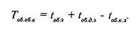
В большинстве случаев предприятию необходимо стремиться к уменьшению значения данного показателя, т. е. к сокращению длительности операционного цикла. Длительность оборачиваемости оборотного капитала
Логика расчета данного показателя сводится к следующему: в отличие от длительности оборота дебиторской задолженности, которая должна быть как можно меньше, каждое предприятие заинтересовано в том, чтобы длительность оборота кредиторской задолженности была больше. Рассмотренные выше положения позволяют перейти к показателю длительности оборачиваемости оборотного капитала, которая складывается из следующих элементов:

Если значение данного показателя положительное, то предприятие испытывает потребность в денежных средствах. Отрицательное значение показателя длительности оборота оборотного капитала свидетельствует о том, что предприятие имеет в бесплатном пользовании чужие деньги. Помимо рассмотренных основных коэффициентов деловой активности, часто рассчитывают также коэффициент оборачиваемости основных средств (или фондоотдачу).
Значение данного показателя равняется частному от деления объема реализованной продукции на среднегодовую стоимость основных средств:

Повышение фондоотдачи, помимо увеличения объема реализованной продукции, может быть достигнуто как за счет относительно невысокого удельного веса основных средств, так и за счет их более высокого технологического уровня. Ее величина сильно колеблется в зависимости от особенностей отрасли и ее капиталоемкости. Однако общие закономерности здесь таковы: чем выше фондоотдача, тем ниже издержки. Низкий уровень фондоотдачи свидетельствует либо о недостаточном уровне реализации, либо о слишком высоком уровне вложений в эти активы. Рассчитаем основные показатели деловой активности для анализируемого предприятия:

Как следует из расчетов, условия, на которых предприятие получает поставки гораздо хуже, чем условия, предоставляемые предприятием покупателям своей продукции. Это приводит к тому, что приток денежных средств от дебиторов менее интенсивен, чем от кредиторов. Сохранение такой тенденции может привести к дефициту денежных средств на счетах предприятия. Кроме того, обращает на себя внимание то, что у предприятия существуют проблемы с реализацией продукции. Об этом свидетельствует значительное превышение периода оборачиваемости дебиторской задолженности над периодом оборачиваемости запасов. Положительное значение показателя длительности оборачиваемости оборотных средств свидетельствует о недостаточности у предприятия денежных средств. Столь низкое значение коэффициента оборачиваемости активов объясняется «тяжелой» структурой активов. Сам по себе этот показатель мало что говорит о предприятии. Интерпретация его значения возможна лишь при сравнении со среднеотраслевым значением этого коэффициента.
Практическое задание:
Финансовый менеджер компании ОАО «Восход» обратил внимание на то, что за последние двенадцать месяцев объем денежных средств на счетах значительно уменьшился. Финансовая информация о деятельности ОАО «Восход» приведена в табл. 2.2
Все закупки и продажи производились в кредит, период – 1 месяц.
Требуется
:
1) проанализировать приведенную информацию и рассчитать продолжительность финансового цикла, в течение которого денежные средства отвлечены из оборота компании, за 2007 и 2008 гг.;
2) составить аналитическую записку о влиянии изменений за исследуемые периоды (см. п.5 Указаний к решению задачи).
Дополнительная информация:
1) Для расчета следует предположить, что год состоит из 360 дней.
2) Все расчеты следует выполнить с точностью до дня.
Для выполнения задания использовать Указания к решению.
Таблица 2.2
Финансовая информация о деятельности ОАО «Восход»
| Показатели
|
2007г., руб.
|
2008г., руб.
|
| Выручка от реализации продукции
|
477 500
|
535 800
|
| Закупки сырья и материалов
|
180 000
|
220 000
|
| Стоимость потребленных сырья и материалов
|
150 000
|
183 100
|
| Себестоимость произведенной продукции
|
362 500
|
430 000
|
| Себестоимость реализованной продукции
|
350 000
|
370 000
|
| Средние остатки
|
| Дебиторская задолженность
|
80 900
|
101 250
|
| Кредиторская задолженность
|
19 900
|
27 050
|
| Запасы сырья и материалов
|
18 700
|
25 000
|
| Незавершенное производство
|
24 100
|
28 600
|
| Готовая продукция
|
58 300
|
104 200
|
Указания к решению задачи
«Оценка деловой активности предприятия»
1. Ознакомиться с п. 2 – 5 данных указаний, выполнить задание. Полученные результаты оформить в рабочей тетради.
2. Проанализировать имеющуюся информацию по возможно большему диапазону направлений (табл. 2.3)
Таблица 2.3
Динамический анализ прибыли
| №
п/п
|
Показатели
|
2007г., руб.
|
2008г., руб.
|
Изменения
|
| абс., руб.
|
отн., %
|
| 1
|
Выручка от реализации продукции
|
477 500
|
535 800
|
58 300
|
12,21
|
| 2
|
Себестоимость реализованной продукции
|
350 000
|
370 000
|
20 000
|
5,7
|
| 3
|
Валовая прибыль (стр.1 – стр.2)
|
?
|
?
|
?
|
?
|
3. Рассчитать величину оборотного капитала и коэффициент ликвидности без учета наличности и краткосрочных банковских ссуд (табл. 2.4)
Таблица 2.4
Анализ оборотного капитала
| №
п/п
|
Показатели
|
2007г., руб.
|
2008г., руб.
|
Изменения
|
| абс., руб.
|
отн., %
|
| 1
|
Дебиторская задолженность
|
80 900
|
101 250
|
20 350
|
25,15
|
| 2
|
Запасы сырья и материалов
|
18 700
|
25 000
|
6 300
|
33,69
|
| 3
|
Незавершенное производство
|
24 100
|
28 600
|
4 500
|
18,67
|
| 4
|
Готовая продукция
|
58 300
|
104 200
|
45 900
|
78,73
|
| 5
|
Кредиторская задолженность
|
19 900
|
27 050
|
7 150
|
35,93
|
| 6
|
Чистый оборотный капитал (стр.1 + стр.2 + стр.3 + стр.4 – стр. 5)
|
?
|
?
|
?
|
?
|
| 7
|
Коэффициент покрытия ((стр.1 + стр.2 + стр.3 + стр.4) : стр.5)
|
?
|
?
|
?
|
?
|
4. Финансовый цикл и продолжительность одного оборота элементов оборотного капитала следует определить по данным табл. 2.5.
Таблица 2.5
Анализ оборачиваемости оборотного капитала
| №
п/п
|
Показатели оборачиваемости
|
2007г., дни
|
2008г., дни
|
Изменения абс.
|
| 1
|
Запасов сырья и материалов
|
44,88
|
49,15
|
4
|
| 2
|
Незавершенного производства
|
23,93
|
23,94
|
0
|
| 3
|
Запасов готовой продукции
|
59,97
|
101,38
|
41
|
| 4
|
Дебиторской задолженности
|
60,99
|
68,03
|
7
|
| 5
|
Кредиторской задолженности
|
40,0
|
44,3
|
4
|
| 6
|
Продолжительность оборота наличности (стр.1 + стр.2 + стр.3 + стр.4 – стр.5)
|
?
|
?
|
?
|
5. Дополнить нижеследующие выводы необходимой информацией.
Объем реализованной продукции в 2008г. на …% (выше/ниже), чем в 2007г., а себестоимость реализованной продукции (выше/ниже) на …%. Вложения в запасы и дебиторскую задолженность за вычетом кредиторской задолженности возросли с … тыс. руб. до … тыс. руб., или на …%, что непропорционально росту объема продаж и свидетельствует о неудовлетворительном контроле периодов оборачиваемости оборотного капитала.
Прирост чистого оборотного капитала на … тыс. руб. означает, что чистые поступления от прибыли 2008г. на … тыс. руб. (больше/меньше) той величины, которую можно было бы получить при отсутствии прироста запасов и дебиторской задолженности (за вычетом кредиторской задолженности) в течение 2008г., поэтому компании, возможно, придется брать ненужную банковскую ссуду. При этом значительное увеличение чистого оборотного капитала означает, что в текущие активы вкладывается слишком много долгосрочных средств.
Коэффициент общей ликвидности без учета наличности и краткосрочных ссуд свыше 9 : 1 (пояснить это соотношение) можно считать слишком (высоким/низким). Причины роста чистого оборотного капитала:
1) рост объема продаж;
2) увеличение периодов оборачиваемости.
Вторая из перечисленных причин (более/менее) существенна. Длительность оборота запасов сырья и материалов увеличилась с … до … дней, несмотря на то, что это увеличение было компенсировано продлением срока кредита, предоставляемого поставщиками с 40 до 44 дней. Срок кредита для дебиторов увеличился с … до … дней. Этот срок представляется слишком (большим/малым). Однако наиболее серьезным изменением было увеличение продолжительности оборота готовой продукции с … до … дня, причем точную причину этого установить (представляется /не представляется) возможным.
Решение:
1) Проанализируем имеющуюся информацию по возможно большему диапазону направлений
Динамический анализ прибыли Таблица 2.3
| №
п/п
|
Показатели
|
2007 г.,
руб.
|
2008 г.,
руб.
|
Изменения
|
| абс., руб.
|
отн., %
|
| 1
|
Выручка от реализации продукции
|
477 500
|
535 800
|
58 300
|
12,21
|
| 2
|
Себестоимость реализованной продукции
|
350 000
|
370 000
|
20 000
|
5,7
|
| 3
|
Валовая прибыль (стр.1-стр.2)
|
127 500
|
165 800
|
38 300
|
6,51
|
Из таблицы 2.3 видно, что при увеличении себестоимости в 2008 г., всего на 5,7% выручка увеличилась на 12,21%. Это эффективно отразилось в целом и на валовой прибыли, прирост которой составил 38 300 руб., или на 6,51%. Вероятнее всего результатом увеличения выручки является повышение цен на продукцию, так как, если бы значительно увеличился объем продаж, себестоимость реализованной продукции повысилась бы более чем на 5,7%.
2) Рассчитаем величину оборотного капитала и коэффициент ликвидности без учета наличности и краткосрочных банковских ссуд (Таблица 2.4)
Анализ оборотного капитала Таблица 2.4
| №
п/п
|
Показатели
|
2007 г.,
руб.
|
2008 г.,
руб.
|
Изменения
|
| абс., руб.
|
отн., %
|
| 1
|
Дебиторская задолженность
|
80 900
|
101250
|
20 350
|
25,15
|
| 2
|
Запасы сырья и материалов
|
18 700
|
25 000
|
6300
|
33,69
|
| 3
|
Незавершенное производство
|
24 100
|
28 600
|
4500
|
18,67
|
| 4
|
Готовая продукция
|
58 300
|
104200
|
45 900
|
78,73
|
| 5
|
Кредиторская задолженность
|
19 900
|
27 050
|
7150
|
35,93
|
| 6
|
Чистый оборотный капитал (стр.1+стр.2+стр.3+стр.4-стр.5)
|
162 100
|
232000
|
69 900
|
120,31
|
| 7
|
Коэффициент покрытия [(стр.1+стр.2+стр.3+стр.4)/стр.5]
|
9,146
|
9,577
|
10,776
|
0,043
|
Из таблицы 4 видно, что чистый оборотный капитал за 2008 г. увеличился на 69 900 руб., а коэффициент покрытия вырос на 10,776.
3) Рассчитаем финансовый цикл и продолжительность одного оборота элементов оборотного капитала (таб. 2.5)
Анализ оборачиваемости оборотного капитала Таблица 2.5
| № п/п
|
Показатели
|
2007г.,руб.
|
2008г.,руб.
|
Изменения абс.
|
| 1.1
|
Коэффициент оборачиваемости запасов сырья и материалов
|
25,53
|
21,43
|
-4
|
| 1.2
|
Продолжительность оборачиваемости запасов сырья и материалов
|
14,10
|
16,80
|
2
|
| 2.1
|
Коэффициент оборачиваемости незавершенного производства
|
19,81
|
18,73
|
-1
|
| 2.2
|
Продолжительность оборачиваемости незавершенного производства
|
18,17
|
19,22
|
1
|
| 3.1
|
Коэффициент оборачиваемости запасов готовой продукции
|
8,19
|
5,14
|
-3
|
| 3.2
|
Продолжительность оборачиваемости запасов готовой продукции
|
43,96
|
70,04
|
26
|
| 4.1
|
Коэффициент оборачиваемости дебиторской задолженности
|
5,90
|
5,29
|
0
|
| 4.2
|
Продолжительность оборачиваемости дебиторской задолженности
|
61,02
|
68,05
|
7
|
| 5.1
|
Коэффициент оборачиваемости кредиторской задолженности
|
23,99
|
19,81
|
-4
|
| 5.2
|
Продолжительность оборачиваемости кредиторской задолженности
|
15,01
|
18,17
|
3
|
| 6.1
|
Продолжительность оборота наличности финансового цикла
(стр.1+стр.2+стр.3+стр.4-стр.5)
|
137,25
|
174,11
|
36
|
| 6.2
|
Продолжительность оборота наличности операционного цикла
(стр.1+стр.2+стр.3+стр.4+стр.5)
|
152,26
|
192,28
|
40
|
Из таблицы 5 видно, что продолжительность оборота наличности финансового цикла за 2008 г. увеличился на 36 дней, а операционного цикла за 2008 г. увеличился на 40 дней.
4) Дополнить нижеследующие выводы необходимой информацией.
Объем реализованной продукции в 2008г. на 12,21% выше, чем в 2007г., а себестоимость реализованной продукции выше на 5,7%. Вложения в запасы и дебиторскую задолженность за вычетом кредиторской задолженности возросли с 79700 тыс. руб. до 99200 тыс. руб., или на 24,47%, что непропорционально росту объема продаж и свидетельствует о неудовлетворительном контроле периодов оборачиваемости оборотного капитала.
Коэффициент общей ликвидности без учета наличности и краткосрочных ссуд свыше 9 : 1 можно считать слишком высоким. Это соотношение показывает, что на 1 руб. кредиторской задолженности приходится 9 руб. оборотного капитала (без наличности и краткосрочных ссуд), который может быть использован для погашения этой задолженности можно считать слишком высоким. Причины роста чистого оборотного капитала:
1) рост объема продаж;
2) увеличение периодов оборачиваемости.
Вторая из перечисленных причин более существенна. Длительность оборота запасов сырья и материалов увеличилась с 44 до 49 дней, несмотря на то, что это увеличение было компенсировано продлением срока кредита, предоставляемого поставщиками с 40 до 44 дней. Срок кредита для дебиторов увеличился с 60 до 68 дней. Этот срок представляется слишком большим. Однако наиболее серьезным изменением было увеличение продолжительности оборота готовой продукции с 59 до 101 дня, причем точную причину этого установить не представляется возможным.
Список литературы:
1. Финансовый менеджмент: теория и практика: Учебник / Под ред.Е.С. Стояновой. – 6-е изд. – М.: Изд-во перспектива, 2007. – 656 с.
2. Финансовый менеджмент. Методические указания и задания для выполнения курсовой и контрольной работ для студентов V курса специальности 060400 - "Финансы и кредит" (первое и второе высшее образование) для студентов IV курса специальности 060500 - "Бухгалтерский учет и аудит" (первое и второе высшее образование)– М.: ВЗФЭИ, 2009.
3. Лекции по финансовому менеджменту
|