СОДЕРЖАНИЕ
ВВЕДЕНИЕ……………………………………………………………………………3
1. РАЗДЕЛЕНИЕ ТРУДА………………………………………………………...6
1.1 Вертикальное разделение труда……………………………………………….6
1.2 Горизонтальное разделение труда…………………………………………….6
2. ОХВАТ КОНТРОЛЕМ………………………………………………………...9
3. ПОДХОДЫ, ИСПОЛЬЗУЕМЫЕ ПРИ ПОСТРОЕНИИ
ОРГАНИЗАЦИОННЫХ СТРУКТУР………………............................................12
ЗАКЛЮЧЕНИЕ……………………………………………………………………...15
СПИСОК ИСПОЛЬЗУЕМОЙ ЛИТЕРАТУРЫ……………………………………16
ВВЕДЕНИЕ
Организации создают структуры для того, чтобы обеспечивать координацию и контроль деятельности своих подразделений и работников. Структуры организаций отличаются друг от друга сложностью
(т. е. степенью разделения деятельности на различные функции), формализацией
(т. е. степенью использования заранее установленных правил и процедур), соотношением централизации и децентрализации
(т. е. уровнями, на которых принимаются управленческие решения).
Актуальность темы заключается в том, что структурные взаимосвязи в организациях находятся в центре внимания многих исследователей и руководителей. Для того чтобы эффективно достигались цели, необходимо понимание структуры работ, подразделений и функциональных единиц. Организация работы и людей во многом влияет на поведение работников. Структурные и поведенческие взаимосвязи, в свою очередь, помогают установить цели организации, влияют на отношения и поведение работников. Структурный подход
применяется в организациях для обеспечения основных элементов деятельности и взаимосвязей между ними. Он предполагает использование разделения труда, охвата контролем и департаментализации, более углубленное рассмотрение этих элементов и является главной задачей данного реферата.
Структура организации
– это фиксированные взаимосвязи, которые существуют
между подразделениями и работниками организации
. Ее можно понимать как установленную схему взаимодействия и координации технологических элементов и персонала. Схема любой организации показывает состав отделов, секторов и других линейных и функциональных единиц. Однако она не учитывает такой фактор, как человеческое поведение, который влияет на порядок взаимодействия и его координацию. Именно поведение персонала определяет эффективность функционирования организационной структуры в большей мере, чем формальное распределение функций между подразделениями.
Забиваем Сайты В ТОП КУВАЛДОЙ - Уникальные возможности от SeoHammer
Каждая ссылка анализируется по трем пакетам оценки: SEO, Трафик и SMM.
SeoHammer делает продвижение сайта прозрачным и простым занятием.
Ссылки, вечные ссылки, статьи, упоминания, пресс-релизы - используйте по максимуму потенциал SeoHammer для продвижения вашего сайта.
Что умеет делать SeoHammer
— Продвижение в один клик, интеллектуальный подбор запросов, покупка самых лучших ссылок с высокой степенью качества у лучших бирж ссылок.
— Регулярная проверка качества ссылок по более чем 100 показателям и ежедневный пересчет показателей качества проекта.
— Все известные форматы ссылок: арендные ссылки, вечные ссылки, публикации (упоминания, мнения, отзывы, статьи, пресс-релизы).
— SeoHammer покажет, где рост или падение, а также запросы, на которые нужно обратить внимание.
SeoHammer еще предоставляет технологию Буст, она ускоряет продвижение в десятки раз,
а первые результаты появляются уже в течение первых 7 дней.
Зарегистрироваться и Начать продвижение
Организационную структуру любой коммерческой фирмы, больницы, банка, правительственного учреждения и т. п. следует рассматривать с учетом разных критериев. На эффективность деятельности организации влияют:
1) реальные взаимосвязи между людьми и их работой, отражаемые в схемах организационных структур и должностных обязанностях;
2) политика руководства и методы, воздействующие на поведение персонала;
3) полномочия и функции работников организации на различных уровнях управления (низшем, среднем и высшем).
Рациональная структура организации предполагает комбинацию указанных трех факторов, обеспечивающую высокий уровень эффективности производства [2].
Формальные и неформальные организации
Формальная организация – это предварительно спланированная структура полномочий и функций, которая устанавливается на основе сложившегося взаимодействия между
компонентами организации
. Она ориентирована на достижение приемлемого уровня производства и общих целей организации. Формальная структура определяет всю систему отношений и набор функций, позволяющих осуществлять целенаправленную деятельность.
Формальная организация характеризуется определенной степенью стандартизации трудовых функций
. Существуют их исчерпывающие описания, множество организационных правил, четко определенные процедуры, охватывающие трудовой процесс в организации, где степень формализации высока. Чем выше уровень стандартизации трудовых функций, тем меньше должен быть личный вклад каждого работника в конечный результат. Стандартизация не только не способствует альтернативному поведению работников, но и устраняет всякую необходимость каких-либо альтернатив. В разных организациях степень формализации различна.
Многие виды взаимодействий между работниками не вписываются в схему формальной организации.
Существует сеть неформальных организаций
, в рамках которых взаимоотношения не носят заранее спроектированного и директивно установленного характера, а возникают под влиянием различных факторов
, таких, как общий интерес группы работников, объективная необходимость сотрудничать, личная безопасность и др. [4].
1. РАЗДЕЛЕНИЕ ТРУДА
1.1 Вертикальное разделение труда
Исследование схем формальных организаций показывает, что существует уровень вертикального и горизонтального разделения труда. Схема вертикального разделения труда
представлена на рис. 6.1. Руководитель верхнего уровня управляет деятельностью руководителей среднего и низшего уровней, т. е. формально обладает большей властью и более высоким статусом. Вертикальная дифференциация связана с иерархией управления в организации. Чем больше ступеней иерархической лестницы между высшим уровнем управления и исполнителями, тем более сложной является данная организация. Полномочия распределяются по должностям и руководителям, занимающим эти должности. Цель организации рассматривается как ориентир для направлений потоков связей и полномочий.
Сервис онлайн-записи на собственном Telegram-боте
Попробуйте сервис онлайн-записи VisitTime на основе вашего собственного Telegram-бота:
— Разгрузит мастера, специалиста или компанию;
— Позволит гибко управлять расписанием и загрузкой;
— Разошлет оповещения о новых услугах или акциях;
— Позволит принять оплату на карту/кошелек/счет;
— Позволит записываться на групповые и персональные посещения;
— Поможет получить от клиента отзывы о визите к вам;
— Включает в себя сервис чаевых.
Для новых пользователей первый месяц бесплатно.
Зарегистрироваться в сервисе

1.2 Горизонтальное разделение труда
Горизонтальная дифференциация
отражает степень разделения труда между отдельными структурными единицами. Чем больше в организации различных сфер, требующих специализированных знаний и навыков, тем более сложной она является. Горизонтальная специализация
направлена на дифференциацию функций. Она охватывает определение работы (соединение различных отдельных заданий) и определение взаимосвязи между различными видами работ, которые могут выполняться одним или многими работниками.
Схема горизонтального разделения труда
представлена на рис. 6.2, где отражены подходы к охвату контролем и функционализации. Охват контролем
– это число подчиненных, которые отчитываются перед одним руководителем. Функционализация –
это разнообразие заданий, которые должны быть выполнены, чтобы достичь целей организации. Руководитель высшего уровня (РВУ) имеет прямой контроль над тремя руководителями среднего уровня (РСУ) – по производству, бухгалтерскому учету и маркетингу. В свою очередь, руководители среднего уровня имеют прямой контроль над соответствующими руководителями низшего уровня (РНУ), а те - непосредственно над определенным числом исполнителей. Это можно рассматривать как функционализацию, в результате которой образуются те или иные специализированные подразделения. Наряду с этим существует географическое (территориальное) разделение труда, связанное со степенью распределения физических активов организации по различным регионам. В данной структуре коммуникации, координация и контроль усложняются [1].
| Высший уровень управления |
|
 Необходимо различать масштаб и глубину работ. Масштаб работ
– это количество выполняемых работ, их объем. Сотрудник, который выполняет, например, восемь заданий, имеет более широкий масштаб работ, чем тот, кто выполняет четыре задания. Понятие глубины работ
относится к объему контроля, который осуществляет работник в ходе работы. Глубина работ носит личностный характер, у разных работников на одном организационном уровне она может быть различной. Например, руководитель отдела маркетинга в промышленной компании имеет большую глубину работ, чем, скажем, бухгалтер, ведающий текущим учетом производства. Решая конкретные проблемы разделения труда в структуре управления, необходимо тщательно учитывать не только функциональную направленность и масштабы выполняемых работ, но и их глубину.
2. ОХВАТ КОНТРОЛЕМ
В течение ряда десятилетий в теории и практике использовался принцип, согласно которому все виды работ должны быть сгруппированы таким образом, чтобы каждый работник отчитывался только перед одним руководителем. Более того, рекомендовалось, чтобы число работников, подотчетных одному руководителю, было строго ограничено. Термин «охват контролем
» означает размер команды, находящейся в подчинении одного руководителя. Наиболее известная работа в этой области принадлежит В. С. Грайчунасу. Он полагал, что поскольку руководитель обладает ограниченной энергией, знаниями и квалификацией, он может координировать работу ограниченного числа работников.
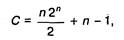
Грайчунас предположил также, что увеличение в арифметической прогрессии числа подчиненных ведет к росту в геометрической прогрессии количества взаимосвязей, находящихся под контролем руководителя. Потенциальная взаимосвязь, которая может возникнуть между руководителем и подчиненными, классифицируется как индивидуальное руководство, групповое руководство и перекрестная связь. Грайчунас разработал следующую формулу для определения количества потенциальных контактов руководителя с различным числом подчиненных ему работников:

где n – число работников, подчиненных руководителю;
С– количество потенциальных взаимосвязей.
Сколько же подчиненных должно быть у руководителя? В теории этот вопрос анализируется путем выделения ряда общих факторов, которые влияют на частоту и тип взаимосвязей между руководителем и подчиненными. Некоторые из этих факторов очень важны.
Требуемый контакт
. В различных видах производственных, научно-исследовательских и других работ существует необходимость в частых контактах и высоком уровне координации деятельности. Использование конференций, совещаний, личных встреч и консультаций нередко помогает в достижении поставленных целей. Например, руководитель научно-исследовательской группы должен часто консультироваться по поводу конкретных вопросов с членами группы с тем, чтобы проект был завершен в срок и законченная работа была представлена на рынок. Широкий охват контролем выполняемых работ через частые контакты с подчиненными оказывает определяющее влияние на выполнение и успешное завершение проекта.
Уровень образования и подготовленность подчиненных.
Обучение подчиненных является основополагающим в установлении контроля на всех уровнях управления. Общепринято, что управляющий на более низких уровнях организации может руководить большим числом подчиненных, поскольку работа на этих уровнях более специализирована и менее сложна, чем на высших уровнях.
Способность общения.
Этот фактор играет важную роль в налаживании эффективного механизма разрешения проблем в различных рабочих ситуациях, реальной и оперативной координации деятельности подразделений и работников. Теоретически обоснованным является следующий ход рассуждений.
Руководитель А, в подчинении которого находятся двое служащих В и С, может иметь взаимоотношения отдельно с В и отдельно с С, а также с В и С вместе (положение здесь будет различным). Кроме того, он должен принимать во внимание отношения, складывающиеся между B и С. Таким образом, при наличии двух подчиненных имеется минимум четыре различных вида взаимоотношений (или максимум – шесть), требующих внимания со стороны А.
Количество этих контактов увеличивается более высокими темпами, чем пропорциональный рост числа подчиненных. Грайчунас считает, что руководитель в состоянии иметь не более 12 непосредственных контактов и не более чем 28 косвенных, что соответствует наличию пяти подчиненных. При большей степени однородности проблем, которыми занимается руководитель, он может иметь в подчинении большее число работников. Становится очевидным, что число подчиненных должно быть меньше на уровне высшего руководства организации и может быть более значительным в низших звеньях управления [5].
3. ПОДХОДЫ, ИСПОЛЬЗУЕМЫЕ ПРИ ПОСТРОЕНИИ
ОРГАНИЗАЦИОННЫХ СТРУКТУР
С учетом рационального охвата контролем и в интересах достижения эффективной координации и управления всеми видами деятельности организация подразделяется на соответствующие структурные блоки (департаменты, отделы, службы). Такой подход к формированию организационной структуры называется департаментализацией.
В зависимости от признаков и критериев разделения организации на блоки принято различать: функциональную, территориальную, производственную, проектную и смешанную департаментализацию.
Функциональная департаментализация.
Многие организации группируют работников и деятельность в соответствии с функциями, выполняемыми в рамках фирмы (производство, маркетинг, финансы, бухгалтерский учет, управление персоналом). Функциональный состав организации – это наиболее часто применяющаяся схема организации персонала и деятельности фирмы. Соответствующие департаменты при этом состоят из экспертов и специалистов в определенных областях, что обеспечивает наиболее обоснованное и эффективное решение проблем. Недостатком подобной схемы считается то, что поскольку специалисты работают в одной области интересов, общие цели организации могут приноситься в жертву целям данного департамента. Например, бухгалтер может видеть только проблемы своего подразделения, а не проблемы производства или маркетинга, или всей организации.
Территориальная департаментализация.
Другой часто встречающийся подход - создание групп людей на базе определенной территории, где в той или иной форме осуществляется деятельность организации. Деятельность организации на данной территории должна подчиняться соответствующему руководителю, который несет за нее ответственность. Для больших организаций территориальное деление весьма важно, поскольку физическая распыленность деятельности вызывает трудности для координации. Преимущество, часто связываемое с территориальным делением, состоит в том, что оно создает условия для подготовки управленческого персонала непосредственно на месте.
Производственная департаментализация.
Во многих больших компаниях, у которых имеется диверсифицированное производство, деятельность и персонал группируются на базе продукции. С увеличением масштаба фирмы сложно координировать усилия различных функциональных групп, поэтому становится целесообразным и перспективным создание производственных подразделений. Эта форма организации позволяет персоналу накапливать опыт в области исследований, производства и распределения продукции. Концентрация полномочий и ответственности в специальных департаментах дает возможность руководителям эффективно координировать все виды деятельности.
Проектная департаментализация.
При проектной департаментализации деятельность и персонал сосредоточены в подразделении на временной основе. Руководитель проекта отвечает за все виды деятельности – от начала до полного завершения проекта или какой-то его части. После завершения работы персонал, занятый на временной основе, переводится в другие департаменты или привлекается к другим проектам. Руководитель проекта часто имеет в своем подчинении инженеров, бухгалтеров, руководителей производства, исследователей. Этот персонал часто приходит из специальных функциональных подразделений. Во время работы над конкретным проектом ответственный руководитель рассматривается как лицо, обладающее полнотой , власти и правом контроля. В целом ряде случаев этого не достигается, поскольку персонал, работающий над проектом, продолжает подчиняться своим постоянным функциональным руководителям. Возникающие противоречия разрешаются руководителями более высокого ранга.
Смешанная департаментализация.
Оценка названных выше форм департаментализации показывает, что у каждого ее вида существуют сильные и слабые стороны. Нередко в организациях вводятся смешанные структуры, особенно когда руководители пытаются одновременно решить проблемы текущих изменений на рынке, быстрого увеличения предложения товаров и услуг, внешнего регулирования. Не существует ни одной структуры, которую можно было бы описать как универсальную. Создание самых различных подразделений диктуется конкретными условиями функционирования организации.
Рассмотренные выше категории и подходы к построению организаций – разделение труда, охват контролем, департаментализация, соотношение централизации и децентрализации свидетельствуют о взаимовлиянии и взаимосвязи между структурой и моделью управления, используемой в организации. Структура управления обеспечивает основу для определения задач каждого звена и выработки механизма контроля. Должность или место, занимаемое в структуре организации, являются ключом к определению объема полномочий по принятию решений. Вместе с тем формальная власть должности не безусловна. Руководитель должен быть способен устанавливать контакты с различными функциональными подразделениями для выполнения задач. Он должен сочетать должностную власть с личным влиянием на протекающие процессы [3].
ЗАКЛЮЧЕНИЕ
Группа показателей, характеризующих рациональность организационной структуры и ее технико-организационный уровень, которые могут использоваться в качестве нормативных при анализе эффективности проектируемых вариантов организационных структур. К ним относятся звенность системы управления, уровень централизации функций управления, принятые нормы управляемости, сбалансированность распределения прав и ответственности, уровень специализации и функциональной замкнутости подсистем и т. п.
Для оценки эффективности управления важное значение имеет определение соответствия системы управления и ее организационной структуры объекту управления.[1]
Это находит выражение в сбалансированности состава функций и целей управления, содержательной полноте и целостности процессов управления, соответствии численности и состава работников объему и сложности работ, полноте обеспечения производственно-технологических процессов требуемой информацией, обеспеченности процессов управления технологическими средствами с учетом их номенклатуры, мощности и быстродействия.
Важными требованиями, которые должны быть реализованы при формировании системы показателей для оценки эффективности организационной структуры, являются обеспечение структурно-иерархического соответствия показателей системе целей организации, способность адекватного отражения динамичности управляемых процессов, сбалансированность и непротиворечивость показателей. При оценке эффективности отдельных мероприятий по совершенствованию системы управления и ее организационной структуры допускается использование не связанных в единую систему частных показателей. Основное требование к их выбору - максимальное соответствие каждого показателя целевой ориентации проводимого мероприятия и полнота отражения достигаемого эффекта.
СПИСОК ИСПОЛЬЗОВАННОЙ ЛИТЕРАТУРЫ
1. Борисова Е. Управление персоналом. - М.: Финансы и статистика, 2002.
2. Деловое планирование: Методы. Организация. Современная практика. - М.: Финансы и статистика, 2003.
3. Журавлев П.В., Кулапов М.Н., Сухарев С.А. Мировой опыт в управлении персоналом. Обзор зарубежных источников/ Монография. М.: Изд-во Рос. экон. акад., Екатеринбург: Деловая книга, 2001.
4. Мильнер Б. 3
Теория организации: Учебник. – 2-е изд., перераб. И доп. –М.:
ИНФРА- М, 2000. – 480с.
5. Управление персоналом: Учебник для вузов /Под ред. Т.Ю. Базарова, Б.Л. Еремина. - 2-е изд., перераб. и доп. - М: Юнити, 2002.
|