Академия управления и экономики
Кафедра финансов
Курсовая работа по дисциплине
«Прикладной финансовый менеджмент»
Тема «Прикладные аспекты оценки ценных бумаг как финансовых активов и инструментов финансирования»
Специальность 080105 – «Финансы и кредит»
Прикладные аспекты оценки ценных бумаг как финансовых активов и инструментов финансирования
Мини-ситуация 8.
Фирма планирует дополнительный выпуск (эмиссию) привилегированных акций, поэтому совет директоров поручает Вам, как руководителю финансового отдела, на основе имеющихся статистических данных о привилегированных акциях предыдущего выпуска (табл. 10):
1. Привести в соответствие номинальную и текущую стоимость привилегированных акций дополнительного выпуска, размещаемых с обязательством выкупа по номинальной стоимости.
2. Оценить текущую стоимость привилегированных акций дополнительного выпуска, размещаемых с обязательством выкупа по номинальной стоимости, а также размещаемых на бессрочной основе.
3. Представить результаты п.п. 1, 2 в виде таблицы.
4. Объяснить будет ли привлекательна для эмитента продажа привилегированных акций, если их рыночная цена окажется выше/ниже текущей стоимости.
Сведения о привилегированных акциях предыдущего выпуска
| Вариант |
Число лет до погашения |
Дивидендныйплатеж, руб. |
Требуемаядоходность |
| 1 |
5 |
30 |
0,15 |
Решение:
1) Формула расчета текущей стоимости привилегированных акций может быть рассчитано по формуле: , где С – одинаковые выплаты по годам, t – количество лет, r – требуемая доходность, М – номинал акции:
V1
=100.56+M/2.011357
Возьмем номинал 100 руб. Соответственно, наиболее высокая текущая стоимость будет обеспечена при 1 варианте – 144,31 руб. за 1 акцию.
2) Таким образом, при планировании номинала в размере 100 руб., текущая стоимость будет равна 144,3 руб. при выкупе акции по номиналу. Теперь оценим текущую стоимость акций, размещаемых на бессрочной основе:
При бессрочной основе текущая стоимость акции может быть выражена простой формулой:
V=С/r. Соответственно, при номинале в 100 руб. и выплате в размере 30 руб. за акцию текущая стоимость акции размещаемой на бессрочной основе будет равна V=30/0.15=200 руб.
3) Логика эмитента проста, при более высокой рыночной стоимости акции эмиссия и продажа акций на рынке достаточно привлекательна, так как это привлекает большие финансовые средства и по факту покрывает затраты эмитента в будущем на выплаты дивидендов в соответствии с ожидаемой нормой прибыли. Однако данная ситуация не всегда устраивает инвесторов, что может сказаться в итоге на цене акции, в которую инвесторы не желают вкладывать средства, не получив за нее дохода. При ситуации, когда рыночная стоимость акций выше текущей стоимости приобретение акций оправданно при наличие целей контроля предприятия и его деятельности, а также спекулятивных целей. Рыночная цена акции в обращении возрастёт
Забиваем Сайты В ТОП КУВАЛДОЙ - Уникальные возможности от SeoHammer
Каждая ссылка анализируется по трем пакетам оценки: SEO, Трафик и SMM.
SeoHammer делает продвижение сайта прозрачным и простым занятием.
Ссылки, вечные ссылки, статьи, упоминания, пресс-релизы - используйте по максимуму потенциал SeoHammer для продвижения вашего сайта.
Что умеет делать SeoHammer
— Продвижение в один клик, интеллектуальный подбор запросов, покупка самых лучших ссылок с высокой степенью качества у лучших бирж ссылок.
— Регулярная проверка качества ссылок по более чем 100 показателям и ежедневный пересчет показателей качества проекта.
— Все известные форматы ссылок: арендные ссылки, вечные ссылки, публикации (упоминания, мнения, отзывы, статьи, пресс-релизы).
— SeoHammer покажет, где рост или падение, а также запросы, на которые нужно обратить внимание.
SeoHammer еще предоставляет технологию Буст, она ускоряет продвижение в десятки раз,
а первые результаты появляются уже в течение первых 7 дней.
Зарегистрироваться и Начать продвижение
Мини-ситуация 10.
Фирма планирует дополнительный выпуск (эмиссию) обыкновенных акций со сложной конфигурацией дивидендных выплат, поэтому совет директоров поручает Вам, как руководителю финансового отдела, на основе исходных данных (табл. 12):
1. Определить текущую стоимость обыкновенной акции.
2. Объяснить будет ли привлекательна для эмитента продажа обыкновенных акций, если их рыночная цена окажется выше/ниже текущей стоимости.
Таблица 2
Планируемая величина дивиденда (CFcs
,
t
), требуемая доходность по обыкновенным акциям (Rcs
), темп прироста дивидендов (g
)
| t
|
1-й вариант |
| CFcs,t
(руб.) |
Rcs
|
g
|
| 1 |
24 |
0,25 |
0 |
| 2 |
0 |
0 |
| 3 |
30 |
0 |
| 4 |
20 |
0,15 |
Решение:
Как видно из таблицы мы имеем дело с оценкой акции с изменяющимся темпом прироста дивидендов и с изменяющимся размером дивиденда. В принципе формула достаточно громоздка, однако расчеты просты. Формула:
, где g – темп прироста дивиденда, p– темп прироста в следующие годы.
Рассчитаем для каждого варианта текущую стоимость.
1 вариант
| Год
|
Дисконтированный поток
|
| 1 |
19,20 |
| 2 |
0,00 |
| 3 |
15,36 |
| 4 |
9,42 |
| Текущая стоимость акции
|
43,98
|
Таким образом, текущая стоимость акции составит 43,98 руб.
2) Логика эмитента проста, при более высокой рыночной стоимости акции эмиссия и продажа акций на рынке достаточно привлекательна, так как это привлекает большие финансовые средства и по факту покрывает затраты эмитента в будущем на выплаты дивидендов в соответствии с ожидаемой нормой прибыли и ростом темпов дивидендов. Однако данная ситуация не всегда устраивает инвесторов, что может сказаться в итоге на цене акции, в которую инвесторы не желают вкладывать средства, не получив за нее дохода. При ситуации, когда рыночная стоимость акций выше текущей стоимости приобретение акций оправданно при наличие целей контроля предприятия и его деятельности, а также спекулятивных целей.
Мини-ситуация 18.
Руководитель консалтинговой фирмы получил заказ на имитационное моделирование инвестиционного проекта методом «Монте-Карло» и поручает Вам, как эксперту в области инвестиционного анализа, на основе имеющихся данных о денежных потоках, а также средневзвешенной стоимости привлечения капитала и минимальной вероятности принятия решения о финансировании (табл. 19):
Сервис онлайн-записи на собственном Telegram-боте
Попробуйте сервис онлайн-записи VisitTime на основе вашего собственного Telegram-бота:
— Разгрузит мастера, специалиста или компанию;
— Позволит гибко управлять расписанием и загрузкой;
— Разошлет оповещения о новых услугах или акциях;
— Позволит принять оплату на карту/кошелек/счет;
— Позволит записываться на групповые и персональные посещения;
— Поможет получить от клиента отзывы о визите к вам;
— Включает в себя сервис чаевых.
Для новых пользователей первый месяц бесплатно.
Зарегистрироваться в сервисе
1. Определить общее число возможных сценариев и вероятность каждого сценария развития инвестиционного проекта.
2. Оценить эффективность каждого сценария развития инвестиционного проекта на основе показателя чистой приведенной стоимости.
3. Определить вероятность положительного, нулевого и отрицательного эффекта (чистой приведенной стоимости).
4. Обосновать рекомендации о принятии или отклонении инвестиционного проекта.
Таблица 19
Характеристики инвестиционного проекта
| t
|
CIFt
-COFt
, тыс. р.
|
| 1-й вариант |
2-й вариант |
3-й вариант |
4-й вариант |
| 1 |
-100 |
-50 |
-150 |
-100 |
| 2 |
300 |
300 |
550 |
500 |
| Средневзвешенная стоимость привлечения капитала |
0,12 |
0,15 |
0,18 |
0,2 |
| Вероятность принятия решения о финансировании |
0,65 |
0,6 |
0,7 |
0,65 |
Решение:
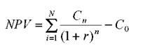
Целесообразность приобретения можно оценивать с помощью чистой приведенной стоимости (NPV) , под которой понимают чистый прирост к потенциальным активам фирмы за счет реализации проекта. Иными словами, NPV определяется как разность между приведенной стоимостью PV средства и суммой начальных инвестиций С0 :

| t
|
CIFt
-COFt
, тыс. р.
|
| 1-й вариант |
2-й вариант |
3-й вариант |
4-й вариант |
| C1 |
-100 |
-50 |
-150 |
-100 |
| C2 |
300 |
300 |
550 |
500 |
| Средневзвешенная стоимость привлечения капитала R |
0,12 |
0,15 |
0,18 |
0,2 |
| NPVi |
(-100/1,12)+(300/1.2544)
-89.28+239,16=149,88
|
(-50/1,15)+(300/1.3225)
-43,48+226,84=183,36
|
(-150/1,18)+(550/1.3924)
-127,12+395,0=267,88
|
(-100/1,2)+(500/1.44)
-83,33+347,22=263,89
|
Вывод:
согласно расчетам третий вариант инвестиционного проекта, при котором чистая приведенная стоимость (NPV) равна 267,88 т.р. наиболее целесообразен. Кроме того, вероятность принятия решения о финансировании равна 0,7.
Мини-ситуация 36.
Генеральный директор предприятия поручает Вам, как руководителю финансового отдела, на основе данных финансового отчета (табл. 34):
1. Определить коэффициент динамики выручки от реализации продукции методом средних геометрических.
2. Определить прогнозное состояние баланса предприятия методом линейной регрессии.
3. Представить результаты п. 2 в виде таблицы.
4. Объяснить причины совпадения прогнозного состояния суммы активов и суммы пассивов.
| Вариант |
Конец года
(t
)
|
Выручка от реализации продукции
(SP
)
|
Внеоборотные активы
(FA
)
|
Оборотные активы
(CA
)
|
Капитал и резервы
(SC
)
|
Долгосрочные обязательства
(FL
)
|
Краткосрочные обязательства
(CL
)
|
| 1 |
1 |
250 |
100 |
150 |
90 |
110 |
50 |
| 2 |
350 |
120 |
180 |
100 |
100 |
100 |
| 3 |
450 |
150 |
250 |
150 |
120 |
130 |
| 4 |
550 |
200 |
300 |
200 |
150 |
150 |
Решение:
1.
| Конец года |
Выручка от реализации продукции |
цепные коэффициенты динамики |
| (t
) |
(SP
) |
К |
| 1 |
400 |
- |
| 2 |
500 |
1,250 |
| 3 |
600 |
1,200 |
| 4 |
700 |
1,167 |
Тогда К = =1,205
2. прогнозное состояние баланса предприятия методом линейной регрессии.
| Вариант |
Конец года |
Внеоборотные активы |
Оборотные активы |
Капитал и резервы |
Долгосрочные обязательства |
Краткосрочные обязательства |
| (t
) |
(FA
) |
(CA
) |
(SC
) |
(FL
) |
(CL
) |
| 4 |
1 |
200 |
200 |
150 |
150 |
100 |
| 2 |
250 |
200 |
200 |
150 |
100 |
| 3 |
300 |
300 |
200 |
200 |
200 |
| 4 |
350 |
400 |
250 |
250 |
250 |
| 5 |
400 |
450 |
275 |
275 |
300 |
| 6 |
450 |
520 |
305 |
310 |
355 |
| 7 |
500 |
590 |
335 |
345 |
410 |
| 8 |
550 |
660 |
365 |
380 |
465 |
| 9 |
600 |
730 |
395 |
415 |
520 |
| 10 |
650 |
800 |
425 |
450 |
575 |
Баланс строится на соответствии величины актива и пассива. То есть любое изменение в активе влечет за собой аналогичное изменение в пассиве и наоборот (следствие «двойной записи» в бухгалтерском учете). Так как за предыдущие годы это соответствие выполнялось, то и в прогнозных периодах оно остается. Ведь динамика по отдельным показателям (внеоборотные активы, капитал и резервы и пр.) хоть и различается, но в сумме она одинакова в целом для актива и пассива.
Мини-ситуация 39.
Председатель совета директоров компании, формально (по решению арбитражного суда) не являющейся банкротом обращается в консалтинговую фирму, руководитель которой поручает Вам, как консультанту по банкротствам, на основе имеющихся данных табл. 37 (о рыночной стоимости имущества, требований кредиторов и величине потенциального вознаграждения конкурсного управляющего):
1. Разработать:
· сценарий добровольной (без решения арбитражного суда и назначения конкурсного управляющего) продажи имущества компании с пропорциональной требованиям кредиторов выплатой задолженности;
· сценарий конкурсного производства по решению арбитражного суда с назначением конкурсного управляющего;
· сценарий добровольной (без решения арбитражного суда и назначения конкурсного управляющего) продажи имущества компании с уступкой выплаты части задолженности кредиторами первых очередей в пользу кредиторов последних очередей.
2. Представить результаты п. 1 в виде таблицы.
3. Обосновать наиболее предпочтительный для кредиторов сценарий ликвидации компании.
Таблица 37
Характеристика компании, тыс. р.
| Показатель |
1-й вариант |
2-й вариант |
3-й вариант |
4-й вариант |
| Рыночная стоимость имущества компании |
6000 |
7000 |
8000 |
9000 |
Сумма требований кредиторов:
1-й очереди
2-й очереди
3-й очереди
4-й очереди
5-й очереди
|
1000
1500
4000
500
500
|
2000
4000
3000
500
1000
|
2000
3000
4000
1000
1000
|
2000
5000
3000
2000
1000
|
| 7500 |
10500 |
11000 |
13000 |
| Вознаграждение конкурсного управляющего (в случае конкурсного производства) |
1500 |
1400 |
2000 |
1800 |
Решение:
1. Сценарий добровольной (без решения арбитражного суда и назначения конкурсного управляющего) продажи имущества компании с пропорциональной требованиям кредиторов выплатой задолженности:
| 1 вариант |
2 вариант |
3 вариант |
4 вариант |
Кредитор 1-й очереди получит
|
6000х (1000/7500)=
800
|
7000х (2000/10500)=
1333
|
8000х (2000/11000)=
1455
|
9000х (2000/13000)=
1385
|
Кредитор 2 -й очереди
получит
|
6000х (1500/7500)= 1200
|
7000х (4000/10500)=
2667
|
8000х (3000/11000)=
2182
|
9000х (5000/13000)=
3462
|
Кредитор 3-й очереди
получит
|
6000х (4000/7500)= 3200 |
7000х (3000/10500)=
2000
|
8000х (4000/11000)=
2909
|
9000х (3000/13000)=
2076
|
Кредитор 4-й очереди
Получит
|
6000х (500/7500)=
400
|
7000х (500/10500)=
333
|
8000х (1000/11000)=
727
|
9000х (2000/13000)=
1385
|
Кредитор 5-й очереди
получит
|
6000х (500/7500)=
400
|
7000х (1000/10500)=
667
|
8000х (1000/11000)=
727
|
9000х (1000/13000)=
692
|
2. Сценарий конкурсного производства по решению арбитражного суда с назначением конкурсного управляющего.
В данной ситуации из рыночной стоимости имущества компании необходимо исключить вознаграждение управляющему .
| Показатель |
1-й вариант |
2-й вариант |
3-й вариант |
4-й вариант |
| Рыночная стоимость имущества компании |
6000 |
7000 |
8000 |
9000 |
| Вознаграждение конкурсного управляющего (в случае конкурсного производства) |
1500 |
1400 |
2000 |
1800 |
| итого |
4500 |
5600 |
6000 |
6200 |
Первый сценарий для кредиторов является наиболее предпочтительным, так как продажа имущества компании осуществляется без учета выплат управляющему.
Мини-ситуация 40
Заемщик обращается к Вам, как к менеджеру кредитного отдела коммерческого банка, за консультацией по поводу получения ипотечного кредита и на основе данных табл. 38 (о ежемесячном доходе, сроке кредитования, требуемой сумме кредита и нормативов коммерческого банка) просит:
1. Определить методом «простых» и «сложных» процентов:
· ежемесячный аннуитетный платеж, исходя из заявленного размера кредита, ставки и заявленного срока кредитования;
· сумму кредита, исходя из заявленного размера ежемесячного дохода, ставки, заявленного срока кредитования и предельной доли платежа по кредиту в доходе заемщика;
· максимальный срок кредитования, исходя из заявленного размера кредита, заявленного ежемесячного дохода, ставки кредитования и предельной доли платежа по кредиту в доходе заемщика.
2. Представить результаты п. 1 в виде таблицы.
3. Обосновать заключение о возможности и об условиях выдачи заемщику ипотечного кредита.
| Показатель |
1-й вариант |
2-й вариант |
3-й вариант |
4-й вариант |
| Заявленный ежемесячный доход, тыс. р. |
65 |
70 |
75 |
80 |
| Заявленный срок кредитования, лет |
19 |
18 |
17 |
16 |
| Заявленный размер кредита, тыс. р. |
3700 |
3600 |
3100 |
2900 |
| Годовая ставка по кредиту |
0,14 |
0,145 |
0,15 |
0,155 |
| Предельный срок кредитования, лет |
20 |
25 |
20 |
25 |
| Предельная доля платежа по кредиту в доходе заемщика |
0,7 |
0,65 |
0,55 |
0,5 |
| метод «простых» процентов |
метод «сложных» процентов |
| 1. ежемесячный аннуитетный платеж, исходя из заявленного размера кредита, ставки и заявленного срока кредитования |
52562,5 руб.
|

40941,81 руб.
|
| сумма кредита, исходя из заявленного размера ежемесячного дохода, ставки, заявленного срока кредитования и предельной доли платежа по кредиту в доходе заемщика |
2206896,55 руб.
|
2833289,22 руб.
|
| максимальный срок кредитования, исходя из заявленного размера кредита, заявленного ежемесячного дохода, ставки кредитования и предельной доли платежа по кредиту в доходе заемщика |
1141мес. (95 лет) |
215 мес. (18 лет) |
Исходя из проведенных расчетов заемщик может получить либо 2833289,22 руб. на 16 лет, либо заявленную сумму в 2900000 руб. на 18 лет на условиях аннуитетных ежемесячных платежей и сложных процентов (начисляющихся на остаток задолженности). Выплата заявленного кредита при простых процентах невозможна ввиду превышения суммы расчетного ежемесячного платежа (52562,5 руб.) над возможным (80000*0,5=40 тыс.руб.). Однако заемщик может получить на условиях простых процентов и аннуитетных платежей сумму в 2206896,55 руб.
Список литературы
1. Баканов М. И., Шеремет А. Д. Теория экономического анализа. – М: Финансы и статистика, 2004. - 332 с.
2. Басовская Е.Н., Басовский Л.Е. Экономическая оценка инвестиций. – М.: Инфра-М, 2008. – 241 с.
3. Бочаров В.В. Инвестиции: Учебник для вузов. – 2-е изд. – СПб.: Питер, 2009. – 384 с.
4. Брейли Р., Майерс С. Принципы корпоративных финансов. – 2-е изд., перев.-М.: ЗАО «Олимп-бизнес», 2004. – 1088 с.
5. Гиляровская Д.Т., Вехорева А.А, Анализ и оценка финансовой устойчивости коммерческого предприятия. – СПб: Питер, 2003. – 249с.
6. Игонина Л.Л. Инвестиции : учебное пособие/Под ред. д-ра экон. наук, проф. В.А. Слепова. - М.: Экономистъ, 2005. - 478 с.
7. Инвестиции. Учебник для вузов/Под ред. М.В. Чиненова. – М.: Кнорус, 2008. – 365 с.
8. Инвестиционная деятельность: учебное пособие/Под ред. Г.П. Подшивалеко, Н.В. Киселевой. – М.: КНОРУС, 2006. – 432 с.
9. Каратуев А.Г. Ценные бумаги: виды и разновидности. Учебное пособие. – М.: Русская деловая литература, 2004. - 513 с.
10. Касьяненко Т.Г., Маховикова Г.А. Инвестиции. – М.: Эксмо, 2009. – 240 с.
11. Килячков А.А., Чалдаева Л.А. Рынок ценных бумаг и биржевое дело. – М.: Юристъ, 2002. - 387 с.
12. Кожухар В.М. Практикум по экономической оценке инвестиций: учебное пособие. – М.: Дашков и К, 2005. - 148 с.
13. Кочетыгов А.А. Финансовая математика. - Ростов н/Д: Феникс, 2004. - 480 с.
14. Липсиц И.В., Коссов В.В. Экономический анализ реальных инвестиций. Учебное пособие.– 2-е изд., перераб. и доп. – М.: Экономистъ, 2004. – 347 с.
15. Миркин Я. М. Ценные бумаги и фондовый рынок. - М.: Перспектива, 2005. - 698 с.
16. Нешитой А.С. Инвестиции. Учебник. – 8-е изд., перераб. и доп. – М.: Дашков и К, 2009. – 372 с.
17. Рынок ценных бумаг (фундаментальный анализ):Учебное пособие /Карташов Б. А., Матвеева Е. В., Смелова Т. А., Гаврилов А. Е. – Волгоград: ВолгГТУ, 2006. – 180 с.
18. Рынок ценных бумаг: Учебник /Под ред. В. А. Галанова, А. И. Басова. – 2-е изд., перераб. и доп. – М.: Финансы и статистика, 2002. - 598 с.
19. Савицкая Г. В.Экономический анализ: учебник. - 11-е изд., испр. и доп. – М.: «Новое знание», 2005. – 651 с.
20. Сатклифф М., Доннелан М. Эффективная финансовая деятельность. –М.: Вершина, 2007. – 496 с.
21. Ценные бумаги: Учебник /Под ред. В. И. Колесникова, В. С. Торкановского. - М.: Финансы и статистика, 2003. - 623 с.
|