Государственный Университет Телекоммуникаций и Информатики
Межрегиональный центр переподготовки специалистов
Контрольная работа по дисциплине
«Статистика»
Выполнила: студентка
Шадрина Анна Александровна
Группа: ЭДВ-02
Проверила:
Терехова Юлия Сергеевна
Новосибирск 2010
Задача 1.
Имеются данные о численности работников предприятия на начало каждого квартала года. Определить средние характеристики динамического ряда: средний уровень ряда (средняя численность работников), средний абсолютный прирост и средний темп роста и прироста. Указать виды средних, которые были использованы.
| Кварталы |
Первый |
Второй |
Третий |
Четвертый |
Первый следующего года |
| Численность работников на начало квартала, чел. |
300 |
310 |
315 |
328 |
330 |
Решение Средний уровень ряда. Приведенный динамический ряд является периодическим, следовательно, средний уровень ряда рассчитывается по формуле

средней арифметической простой.
Где Sy – сумма уровней ряда
n – число уровней
y¯
=300+310+315+328+330/5=1583/5=316, 6 тысяч работников
Расчеты ежегодных абсолютных приростов, темпов роста и прироста проводятся по приведенным формулам
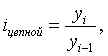
Абсолютный прирост определяется

где y – уровень i-го члена ряда, yi-1 – уровень, предшествующий i-му члену ряда

где y0 – уровень начального члена ряда.
Темп роста определяется:


Темп прироста определяется по формуле:
 
Средний абсолютный прирост определяется по формуле:

Для определения среднего тепа роста используется формула средней геометрической

где i1, i2, …in – цепные темпы рост; n – число темпов роста.
Средний темп прироста определяется по формуле

Данные расчетов приводятся в Таблице 1.
Таблица 1
Показатели анализа ряда динамики.
| Годы |
Обмен (тыс. телеграмм) |
Абсолютные приросты (тыс. телеграмм) |
Темпы роста в % |
Темпы прироста |
| цепной |
базисный |
цепной |
базисный |
цепной |
базисный |
| первый |
300 |
- |
- |
- |
- |
- |
- |
| второй |
310 |
10 |
10 |
103,3 |
103,3 |
3,3 |
3,3 |
| третий |
315 |
5 |
15 |
101,6 |
105 |
1,6 |
5 |
| четвертый |
328 |
13 |
28 |
104,1 |
109,3 |
4,1 |
9,3 |
| Первый следующего года |
330 |
2 |
30 |
100,6 |
110 |
0,6 |
10 |
Среднегодовой абсолютный прирост рабочих составит:
∆¯=
10+5+13+2/4=7,5
Средний темп роста составляет:
ip
=1.423
Среднегодовой темп роста составляет 142.3%.
Задача 2.
На основании следующих данных таблицы определить:
- Изменение производительности труда в целом по предприятию (общий индекс).
- Экономию численности работников за счет роста производительности труда.
| Цеха предприятия |
Количество работников в отчетном периоде |
Темп роста производительности труда в % |
| Цех №1 |
120 |
108 |
| Цех № 2 |
80 |
112 |
| Цех № 3 |
65 |
102 |
| Цех № 4 |
160 |
100,8 |
Индекс производительности труда равен:

где П1 и П0 – производительность труда в отчетном и базисном периодах;
Т1 – среднесписочная численность работников в отчетном периоде
Производительность труда в целом по всем 4-х цехах возросла на 105.1%.
Число высвобождаемых работников за счет роста производительности труда.
∑
T=∑i
T1
-∑T1
∑
T=1.051*(120+80+65+160) - (120+80+65+160)=21.675 бед
Задача 3.
На начало года стоимость производственных фондов составила 2300 млн. руб. Износ этих фондов составил 460 млн. руб. В течение года поступило фондов на сумму 420 млн. руб., из них новых – на сумму 350 млн. руб. В течение года выбыло фондов на сумму 200 млн. руб. из-за ветхости и износа. Норма амортизации 3,8%.
Забиваем Сайты В ТОП КУВАЛДОЙ - Уникальные возможности от SeoHammer
Каждая ссылка анализируется по трем пакетам оценки: SEO, Трафик и SMM.
SeoHammer делает продвижение сайта прозрачным и простым занятием.
Ссылки, вечные ссылки, статьи, упоминания, пресс-релизы - используйте по максимуму потенциал SeoHammer для продвижения вашего сайта.
Что умеет делать SeoHammer
— Продвижение в один клик, интеллектуальный подбор запросов, покупка самых лучших ссылок с высокой степенью качества у лучших бирж ссылок.
— Регулярная проверка качества ссылок по более чем 100 показателям и ежедневный пересчет показателей качества проекта.
— Все известные форматы ссылок: арендные ссылки, вечные ссылки, публикации (упоминания, мнения, отзывы, статьи, пресс-релизы).
— SeoHammer покажет, где рост или падение, а также запросы, на которые нужно обратить внимание.
SeoHammer еще предоставляет технологию Буст, она ускоряет продвижение в десятки раз,
а первые результаты появляются уже в течение первых 7 дней.
Зарегистрироваться и Начать продвижение
Определить показатели состояния и движения фондов.
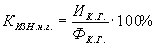
Для оценки характеристик движения производственныех фондов используются коэффициенты выбывания и обновления. Коэффициент выбывания основных фондов:

где Фвыб – фонды выбывшие в отчетном году (200 млн. руб.);
Фн.г. – фонды на начало года(2300 млн. руб.);
Квыб = 8,69%
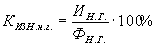
Коэффициент обновления основных фондов:

Фнов – введенные(новые) фонды (350 тыс. руб.)
Фк.г. – основные фонды на конец года (2520 тыс. руб.)
Кобн = 13,8%
Для оценки состояния производственных фондов используюся коэффициенты износа и годности на начало года и конец года.
Коэффициент износа и годности на начало года:
, И н.г. = 460 ; Ф н.г. = 2300
К инз и г. = 20%
Коэффициент износа и годности на конец года:
, Ф к.г. = 2520;
, Ин.г. = 460; Фвыб = 200;
, Ф = 2410; а = 3,8
Кизн и г. = 13,9 %
Исходя из данных коэффициент обновления основных фондов на 5.11% больше коэффициента выбывания основных фондов, так же коэффициент износа и стойкости фондов значительно снизился к концу отчетного года на 16,2%, что не может не сказываться в целом положительно для предприятия.
Задача 4.
Имеются данные по двум населенных пунктам А и Б региона. Рассчитать стандартизированные показатели смертности для каждого региона, выполнить сравнение рассчитанных показателей и сделать выводы.
| Возраст, лет |
А |
Б |
Регион |
| Коэффициент смертности |
Численность в % к итогу |
Коэффициент смертности |
Численность в % к итогу |
Численность в % к итогу |
| 0-30 |
2 |
60 |
2 |
30 |
42 |
| 30-60 |
6 |
30 |
5 |
30 |
41 |
| Более 60 |
22 |
10 |
20 |
40 |
17 |
| Итого |
100 |
100 |
100 |
Решение.
Исходные и расчетные данные показателей смертности населения
| Возраст, лет |
А |
Б |
Регион |
| Коэффициент смертности |
Численность в % к итогу |
Коэффициент смертности |
Численность в % к итогу |
Численность в % к итогу |
| Исходные данные |
| 0-30 |
2 |
60 |
2 |
30 |
42 |
| 30-60 |
6 |
30 |
5 |
30 |
41 |
| Более 60 |
22 |
10 |
20 |
40 |
17 |
| Итого |
100 |
100 |
100 |
| Расчетные данные |
| Возраст, лет |
Коэффициент смертности |
Среднегодовая численность к итогу, тыс.чел. |
Коэффициент смертности |
Среднегодовая численность к итогу, тыс.чел. |
Численность к итогу, тыс.чел. |
| 15 |
2 |
120 |
2 |
60 |
643 |
| 45 |
6 |
180 |
5 |
150 |
627 |
| 60 |
22 |
220 |
20 |
800 |
260 |
| Итого |
30 |
520 |
27 |
1010 |
1530 |
| Регион А |
Регион Б |
Расчет годового показателя смертности с учетом причины смерти:
Этот показатель обычно рассчитывают на 100 000 населения по формуле:
где K
-годовой показатель смертности;
a
- число умерших от данной причины среди населения данной территории;
b
- среднегодовая численность населения на данной территории.
Задача 5.
Стоимость основных производственных фондов на начало квартала составила:
· На начало 1 квартала – 2400 млн. руб.
· На начало 2 квартала – 2520 млн. руб.
· На начало 3 квартала – 2640 млн. руб.
· На начало 4 квартала – 2750 млн. руб.
· На начало следующего года – 2829 млн. руб.
Определить среднюю стоимость фондов. Указать вид средней. Которая была использована.
Решение.
Средняя стоимость фондов равна:
Оср. = (1/2 * 2400 + 2520 + 2640 + 2750 + ½*2829) / 5-1 = 2631,1 млн. руб.
При расчете применили формулу средней хронологической.
|