Содержание:
Введение
Глава 1. Теоретические и методологические аспекты исследования ценообразования на предприятии …………………………………………….…5
1.1. Понятие цены и ценообразования………………………………….5
1.2. Расчет исходной цены товара……………………………………....8
1.3. Выбор метода ценообразования в деятельности предприятия….18
Глава 2.Организационно-экономическая характеристика деятельности предприятия ООО «Возрождение»……………………………….…………...29
2.1. Организационно-правовая характеристика предприятия
ООО «Возрождение» ……………………………………………………..29
2.2. Анализ основных экономических показателей предприятия
ООО «Возрождение»……………………………………………………….30
Глава 3. Рекомендации по повышению эффективности деятельности
ООО «Возрождение»………………………………………………………35
3.1.Методы ценообразования, используемые на предприятии
ООО «Возрождение»……………………………………………………….35
3.2. Рекомендации по выбору оптимального метода ценообразования...35
Заключение………………………………………………………………….39
Список использованной литературы…………………………………...…40
Приложения
Приложение А
Приложение Б
Введение
В условиях современного рынка особенное значение приобретает важнейшая экономическая категория – цена, которая главным образом влияет на укрепление финансовой системы страны и, в не меньшей степени, на решение социальных проблем населения. В выборе товаров длительного потребления цена является одним из важнейших покупательских мотивов.
В свою очередь информация о ценах и ценообразовании фирм-конкурентов представляет собой стратегический интерес. Большинство компаний изучают цены, заданные на рынке, для реализации возможности повышения рентабельности; для возможности вести конкурентную борьбу, анализируя полученную информацию; для определения своей ценовой ниши. Изучение цен является объективной необходимостью, даже в условиях недостаточно интенсивной конкуренции и слабо насыщенного рынка.
Цена – один из основных факторов, оказывающий влияние на размер получаемой прибыли, рентабельность, конкурентоспособность, долю рынка и на ряд других количественных и качественных показателей деятельности предприятия. Организация может достигать различных целей, устанавливая тот или иной уровень цен, в зависимости от ожидаемого результата и сложившейся ситуации на рынке: максимилизация прибыли, выживание фирмы, увеличение объемов продаж, завоевание лидерства по охвату рынка или качеству товара и т.д.
В области ценообразования руководству приходится принимать решения, которые являются наиболее сложными и ответственными, т.к. помимо улучшения показателей финансово-хозяйственной деятельности они могут их и ухудшить, а также привести предприятие к банкротству. Решения в области ценообразования могут иметь долговременные последствия некоторые, из которых тяжело предвидеть и своевременно убрать нежелательные тенденции после их появления.
Забиваем Сайты В ТОП КУВАЛДОЙ - Уникальные возможности от SeoHammer
Каждая ссылка анализируется по трем пакетам оценки: SEO, Трафик и SMM.
SeoHammer делает продвижение сайта прозрачным и простым занятием.
Ссылки, вечные ссылки, статьи, упоминания, пресс-релизы - используйте по максимуму потенциал SeoHammer для продвижения вашего сайта.
Что умеет делать SeoHammer
— Продвижение в один клик, интеллектуальный подбор запросов, покупка самых лучших ссылок с высокой степенью качества у лучших бирж ссылок.
— Регулярная проверка качества ссылок по более чем 100 показателям и ежедневный пересчет показателей качества проекта.
— Все известные форматы ссылок: арендные ссылки, вечные ссылки, публикации (упоминания, мнения, отзывы, статьи, пресс-релизы).
— SeoHammer покажет, где рост или падение, а также запросы, на которые нужно обратить внимание.
SeoHammer еще предоставляет технологию Буст, она ускоряет продвижение в десятки раз,
а первые результаты появляются уже в течение первых 7 дней.
Зарегистрироваться и Начать продвижение
Целью курсовой работы является разработка рекомендаций по выбору оптимального метода ценообразования и повышения эффективности деятельности предприятия.
Объектом данного исследования является общество с ограниченной ответственностью «Возрождение».
Предмет исследования – финансовое состояние предприятия. Период исследования – 3 года (2007-2009 гг.).
Актуальность данной работы заключается в том, что практика ведения дел в рыночных условиях вызывает у менеджеров острую необходимость квалифицированно оценивать ситуацию на рынке и эффективно, а также своевременно принимать необходимые мероприятия по ценообразованию, в зависимости от ожидаемого результата.
Данная курсовая работа состоит из трех глав, введения и заключения.
В первой главе были раскрыты теоретические понятия цены, целей и факторов ценообразования; расчет исходной цены товара а также методы ценообразования.
Во второй главе мы рассмотрели организационно-экономическую характеристику предприятия ООО «Возрождение» и методы ценообразования используемые им.
В третьей главерассмотрели методы ценообразования, используемые организацией ООО «Возрождение» и даны рекомендации по выбору оптимального метода ценообразования, сделаны выводы на основе бухгалтерского баланса и бухгалтерской отчетности.
1. Теоретические и методологические аспекты исследования ценообразования на предприятии
1.1 Понятие цены и ценообразования
Цена и ценообразования являются главными элементами рыночной экономики. Цены обслуживают весь оборот по приобретению и реализации товаров.
В общем виде цена представляет собой сумму денег, которую покупатель уплачивает продавцу в обмен за приобретенный товар.
Цена является рыночной характеристикой товара, в ней в равной степени отражаются интересы всех участников процесса товарообмена производителя и потребителя.
Так как цена является одним из элементов маркетинга, она активно используется при выработке маркетинговой политики. В ответ на изменение внешних и внутренних возможностей и условий цены могут быть изменены достаточно быстро, в то время как изменение продуктовой политики, планирование и реализация деятельности по продвижению продуктов, создание новых каналов товародвижения требуют довольно длительного времени.
Сервис онлайн-записи на собственном Telegram-боте
Попробуйте сервис онлайн-записи VisitTime на основе вашего собственного Telegram-бота:
— Разгрузит мастера, специалиста или компанию;
— Позволит гибко управлять расписанием и загрузкой;
— Разошлет оповещения о новых услугах или акциях;
— Позволит принять оплату на карту/кошелек/счет;
— Позволит записываться на групповые и персональные посещения;
— Поможет получить от клиента отзывы о визите к вам;
— Включает в себя сервис чаевых.
Для новых пользователей первый месяц бесплатно.
Зарегистрироваться в сервисе
Ценообразование представляет собой процесс формирования цен на товары и услуги. Традиционно выделяются две полярные модели ценообразования: рыночное и централизованное (государственное).
В условиях централизованного ценообразования при командном управлении экономикой установление цены происходит в сфере производства. Цены определяются только в зависимости от затрат на производство товара и оказание услуг. Это делается при непосредственном участии государственных органов до начала процесса производства. В результате рынок не играет существенной роли в процессе ценообразования. Спрос фиксируется на уровне заранее заданных цен, не вызывая их дальнейшего изменения.
Процесс формирования цен в условиях рынка происходит в сфере реализации продукции. Здесь уже берутся во внимание спрос на товар и услугу, предложение, полезность предлагаемых товара и услуги, целесообразность их приобретении, качество и конкурентоспособность. Произведенный товар, оказанная услуга и цена на них проходят проверку на рынке, где формируется окончательная цена товара и услуги.
Главное отличие рыночного ценообразования заключается в том, что цены устанавливаются здесь в соответствии со спросом и предложением непосредственно собственником или производителем товара и услуги. Государственные органы могут регулировать цены только на ограниченный круг товаров. Перечень товаров, реализуемых по государственным ценам, определяется законодательством. Государственное регулирование цен допускается на продукцию предприятий-монополистов, товары, работы и услуги, от которых зависит масштаб цен в экономике и социальная защищенность отдельных групп населения.
Цены играют важную роль в предпринимательской деятельности каждого предприятия, так как от их уровня зависят конечные результаты деятельности, в том числе прибыль и рентабельность. Цены выступают основным фактором в решении таких вопросов, как определение рынков сбыта продукции, целесообразность производства товара и оказания услуги, расчета издержек производства, определения объемов инвестиций.
Функция цены – это ее роль в управлении национальным хозяйством в целом и каждым предприятием в отдельности. Существует пять основных функций цены:
- учетная – связана с сущностью цены как денежного эквивалента товара. В цене учитываются затраты труда, сырья, материалов и прочего на изготовление товара. Помимо этого, цена определяет размер прибыли, получаемой предприятием после реализации товара. В условиях рыночной экономики соотношение цены и издержек производства может существенно отличаться, так как окончательное признание ценности товара происходит на рынке. Потребители заинтересованы в снижении цены на товар и улучшение его качества, производители – в увеличении объемов быта и размера прибыли. Кроме того, в условиях конкуренции производители должны постоянно контролировать издержки. Это особенно важно в российских условиях, поскольку в нашей стране долгое время действовал затратный механизм функционирования экономики, что приводило к неоправданному росту затрат и неэффективному использованию ресурсов.
- стимулирующая – воздействие на производство товаров и услуг. Цены должны стимулировать производство продукции, так как в них заложен определенный уровень прибыли. Посредством цен можно поощрять инвестиции, внедрение научно-технических нововведений, изменять структуру производства и потребления. Для России главное значение имеет стимулирование развитие сферы производства, выпуска качественной и конкурентоспособной продукции, как для внутреннего рынка, так и для экспорта.
- распределительная – связана с колебаниями цены под воздействием рыночных факторов. Речь идет о распределении и перераспределении национального дохода между отраслями экономики, регионами, группами населения. В случае, когда требуется быстрее изменение приоритетов и пропорций в экономике, допускается введение государственного регулирования цен, в крайних случаях – прямое установление цен государственными органами. Это предполагает систему налогообложения с взиманием НДС и акцизов, а также введение или отмену различных налоговых льгот.
- балансирование спроса и предложения – посредством цен в экономике осуществляется взаимосвязь между спросом и предложением и, следовательно, между производством и потреблением. В случае отклонения цены от ее реального рыночного уровня возникают диспропорции в производстве и потреблении, выражающиеся в дефиците или избыточном предложении. Возврат к равновесию возможен за счет изменения цен или объемов производства.
- инструмент рационального размещения производства – значение этой функции возрастет по мере развития и укрепления рыночных отношений в экономике. Складывающийся уровень цен в отраслях экономики способствует переливу капитала из одной отрасли в другую. При этом решение об изменении вида деятельности предприятие принимает самостоятельно исходя из ожидаемых результатов бизнеса. Сфера производства развивается более медленно,нежели сфера торговли, и в нее неохотно вкладывают деньги, поскольку существует угроза инфляции, производство связано с большим сроком окупаемости вложенных средств. Из-за длительных циклов производства и периодов инфляции средства, вложенные в производство, обесцениваются.
1.2. Расчет исходной цены товара

| Установление окончательной цены |
|
| Выбор метода ценообразования и расчет исходной цены товара |
|
| Анализ цен и качества товаров конкурентов |
|
| Определение спроса на продукцию |
|
| Постановка целей ценообразования |
|
Существует определенный алгоритм расчета исходной цены товара (рис.1.1).
Рисунок 1.1 - Алгоритм расчета исходной цены товара
Из приведенной схемы мы можем увидеть, что алгоритм расчета цены складывается из ряда последовательных этапов:
- Постановка целей ценообразования. Определяя цену на свои товары предприятие должно четко определить цели, которые оно преследует. Цели могут быть краткосрочными и долгосрочными (стратегическими). От выбора целей зависят уровень и структура цен, которые в свою очередь влияют на размер прибыли, получаемой предприятием, структуру производства, издержки.
- Определение спроса на продукцию. Спрос на продукцию является одним из основных внешних для предприятия факторов ценообразования. Спрос отражает потребность покупателей в товаре, желание и возможность его приобрести. Подкрепленный бюджетным ограничением потребителей спрос определяет максимально возможную цену, по которой предприятие способно продать свой товар. Спрос – подвижный элемент рынка, на него оказывают влияние такие факторы, как цена товара, его качество, покупательная способность, вкусы и предпочтения потребителей. Не менее важным моментом является оценка экономических и психологических возможностей покупателей платить за товар установленную цену. Некоторые предприятия предлагают покупателям нового товара самим назначить цену и продают товар на рынке по этой цене, что способствует повышению популярности предприятия у потребителей и служит рекламой.
- Оценка издержек производства. Эта оценка зависит от того, какой метод ценообразования выбирает предприятие. Величина издержек определяет минимальный уровень цены товара и услуги. Предприятия рассматривают следующие виды издержек: постоянные, переменные, валовые (суммарные), средние валовые издержки в расчете на единицу произведенной продукции и предельные. При этом следует помнить, что для предприятия в краткосрочном периоде все издержки являются постоянными, так как оно не может изменить не объемы производства, ни качество продукции, ни издержки. Тогда как в долгосрочном периоде все издержки являются переменными, поскольку предприятие имеет возможность осуществлять капиталовложения во все элементы процесса производства: оборудование, сырье, материалы, трудовые ресурсы.
Предприятия стремятся к тому, чтобы выбрать такой уровень цен, который даст максимальный объем прибыли, покрывая все издержки производства и реализации продукции.
- Анализ цен и качества товаров конкурентов. Цена и качество товара являются основными экономическими параметрами его конкурентоспособности. Сравнение своего товара с товарами-аналогами, производимыми конкурентами, помогает предприятию выбрать политику и стратегию ценообразования, предвидеть возможную реакцию потребителей на изменение цен, определить свою роль с точки зрения возможности влияния на процесс ценообразования на данном рынке.
Предприятие должно знать, что наиболее конкурентоспособен товар, цена потребления которого ниже (все затраты, которые несет потребитель после приобретения товара), а не товар, у которого ниже продажная цена. Это связано с тем, что для многих товаров (автомобили, в том числе грузовые, самолеты, компьютеры и пр.) цена продажи может составлять10-20% цены потребления.
На этом этапе предполагается закупка товаров конкурентов, анализ прейскурантов цен, опрос мнения покупателей.
- выбор метода ценообразования и расчет исходной цены товара. Так как существует огромное число методов ценообразования, предприятие должно выбрать такой, который наиболее полно отражал бы специфику данного товара и специфику рынка этого товара. Выделяют три основных метода ценообразования: затратный, рыночный и эконометрический.
В процессе установления первоначальной цены на товар предприятие может также определить верхний и нижний предел (порог) цены, а также возможные пределы и условия снижения цены. Например, могут быть определены возможности снижения цены на стадии насыщения рынка товаром или ухода товара с рынка в случае соответствующих действий конкурентов, изменения уровня спроса, экономической конъюнктуры и т.д. однако основным методом снижения цены является сокращение издержек производства. Особенно важно инициативное снижение цены в случае недогрузки производственных мощностей, угрозы сокращения доли рынка при агрессивной ценовой политике конкурентов, желании добиться доминирующего положения на рынке, затоваривание складов и пр.
- Установление окончательной цены. На этом этапе происходит уточнение всех параметров ценообразования. Помимо издержек предприятие должно учитывать влияние политики конкурентов, возможную реакцию потребителей, государства, посредников, участников канала товародвижения на товар, а также застраховать цену от возможных рисков. Требуется привести цену в соответствие единым условиям и срокам поставки, формам и валюте оплаты товара. Для установления окончательной цены товара предприятие может использовать разные подходы.
Подходы, используемые предприятием для установления окончательной цены товара:
- соотношение цен товаров и их модификация – необходимо принимать во внимание различия в себестоимости, оценке данных товаров потребителями, цены конкурентов и другие факторы. При большом разрыве цен идентичных товаров потребитель приобретает более совершенный товар, а при не существенном ценовом различии – менее совершенный.
- цена является фиксированным показателем качества различных моделей товара одного и того же вида – основная задача продавца состоит в выявлении ощущаемых потребителем качественных различий товаров и их моделей, которые могли бы служить основанием для различия в ценах.
- определение цен на дополнительные и вспомогательные товары – придается большое значение отбору товаров, являющихся сопутствующими, дополнительными и цены на них устанавливаются отдельно.
- установление цен на обязательные аксессуары – такими аксессуарами являются запчасти, батарейки, инструменты и т.д. образуется сложная сеть цен со строго увязанным их соотношением по всей гамме выпускаемых изделий. Качество этих изделий во многом будет определять успех предприятия на рынке.
- формирование структуры цены – определяется за что и по какому принципу назначается цена. Можно устанавливать цену за весовую единицу исходя из содержания основного вещества в товаре или с учетом содержания посторонних или нежелательных примесей.
- установление цены с учетом применения всевозможных скидок – скидки используются, чтобы реагировать на более низкие цены конкурентов, сократить слишком большие запасы, освободиться от поврежденной, дефектной продукции, ликвидировать остатки товара, привлечь большое число потребителей, стимулировать потребление товара и т.д.
Любая цена состоит из определенных элементов. При этом в зависимости от вида цен и характера обслуживаемого оборота этот состав может меняться, так как в цену входят различные элементы. Набор элементов, выраженных в стоимостных единицах измерения, будет представлять состав цены. А соотношение отдельных элементов цены, выраженное в процентах или в долях единицы, представляет собой структуру цены.
Отношения между элементами цены подчиняются рыночным закономерностям, зависят от конъюнктуры рынка, в то же время испытывают регулирующее воздействие государства в виде налоговой политики и административного регулирования уровня цен.
Схема формирования розничной цены имеет следующий вид.
Оптовая цена предприятия = С/с продукции + прибыль предприятия;
Отпускная цена предпр. без НДС = С/с продукции + прибыль предприятия + акциз;
Отпускная цена предприятия с НДС (покупная цена оптового посредника) =
С/с продукции + прибыль предприятия + акциз + НДС;
Продажная цена оптового посредника (покупная цена предприятия торговли) =
С/с продукции + прибыль предприятия + акциз + НДС + снабженческо-сбытовая надбавка;
Розничная цена = С/с продукции + прибыль предприятия + акциз + НДС + снабженческо-сбытовая надбавка + торговая надбавка.
Рисунок 1.2 - Формирование розничной цены
Рассматривая структуру, прежде всего необходимо отметить отпускную (оптовую) цену предприятия – это цена изготовителя продукции, по которой он реализует произведенную продукцию потребителям. Она является конечной ценой для многих видов продукции производственно-технического назначения. Реализуя свою продукцию, предприятия должны возместить издержки производства и реализации и получить такую прибыль, которая позволяла бы им функционировать в условиях рынка. При этом оптовая цена предприятия по своему составу состоит всегда из себестоимости и прибыли. Отпускная же цена может быть с акцизом (если рассматривается подакцизный товар), с НДС и без него.
Прибыль – один из важнейших элементов цены. Размеры прибыли должны удовлетворить интересы собственников предприятия и его менеджеров. После вычитания из полученной выручки всех расходов, понесенных в связи с выпуском и реализацией продукции, включая принудительные затраты в виде налогов, сборов и иных аналогичных платежей, обеспечивающих необходимые государственные потребности в распоряжении предприятия остается прибыль. Правильное определение размера прибыли в цене единицы каждого вида продукции скажется в целом на общей сумме получаемой предприятием прибыли.
Расчет цены единицы продукции посредством включения в нее относительной величины прибыли по установленному нормативу рентабельности связан с умножением затрат на определенный коэффициент рентабельности
Указанный коэффициент может быть определен одним из способов: 1) посредством деления общей суммы прибыли от продаж на себестоимость; 2) посредством деления общей суммы прибыли от продаж на цену продаж.
При установлении цен также важным является учет изменения прибыли в зависимости от применяемых на предприятии стратегии и тактики ценообразования, связанных, в частности, с необходимостью снижения либо повышения цен на товары.
Акцизы бывают адвалорными и специфическими. Адвалорные акцизы устанавливаются в процентах к стоимости продукции, определяемой в соответствии со ст. 40 и 187 НК РФ без учета акциза, НДС и налога с продаж.
Но большинство акцизов являются специфическими акцизами, которые устанавливаются в абсолютных (денежных) суммах на единицу измерения. Основными объектами налогообложения являются реализация подакцизной продукции производителями, а также реализация подакцизной продукции с акцизных складов алкогольной продукции. Розничные продавцы акцизы не платят. Ставки специфических акцизов могут изменяться в связи с инфляцией (или дефляцией). Индексация ставок может быть единой для всех подакцизных товаров (облагаемых по специфической ставке), а может меняться по-разному для каждого вида продукции. Со временем изменяется и список подакцизных товаров.
Налог на добавленную стоимость — косвенный налог, которым облагаются все товары и услуги, поэтому его иногда называют универсальным акцизом.
Ставки НДС адвалорные, т. е. выражаются в процентах к цене продукции без учета НДС. Основная ставка, по которой происходит обложение налогом, составляет 18%. Часть товаров (продовольственные товары, товары для детей, периодические печатные издания, медицинские товары) облагается по льготной ставке в 10%. Перечень товаров, облагающихся НДС по льготной ставке, приводится в ст. 164 НК РФ. Помимо этого, некоторые товары, например вывезенные в таможенном режиме экспорта, а также связанные с этим работы и услуги вовсе не облагаются налогом. Налогом на добавленную стоимость должна облагаться лишь добавленная стоимость, а не весь оборот. Поэтому производится возмещение плательщикам НДС налога, уплаченного по ценностям, приобретенным для производства товара.
Если товар не облагается акцизом, то оптовая цена предприятия совпадет с отпускной и структура цены упростится
Сельскохозяйственная продукция не облагается ни акцизами, ни НДС. Поэтому структура закупочной цены будет еще проще: она состоит только из себестоимости и прибыли.
Если в цену продукции уже входит НДС, то его можно вычислить, используя расчетную ставку. Ставке налога в 18% соответствует расчетная ставка НДС в 15,25%, ставке 10% — 9,09%.
Снабженческо-сбытовые наценки (скидки) в цене товара
Функции по оптовым закупкам, хранению и продаже продукции потребителям-предприятиям или розничным продавцам осуществляют снабженческо-сбытовые, заготовительные предприятия, оптово-посреднические фирмы, торгово-закупочные предприятия. Все эти субъекты сферы обращения несут соответствующие расходы по закупкам товаров, их реализации. С помощью снабженческо-сбытовых надбавок осуществляется возмещение всех издержек оптовой торговли. По существу снабженческо-сбытовые надбавки являются ценой за услуги оптового звена.
Как любая цена, снабженческо-сбытовая наценка содержит три элемента:
•затраты посредника или издержки обращения;
• прибыль;
• косвенные налоги.
Цепочка посредников уменьшается по мере развития конкуренции. В абсолютном выражении посреднические скидка и надбавка совпадают, поскольку исчисляются как разница между ценой, по которой посредник закупает товар, и ценой, по которой его продает. Разница между понятиями «скидка» и «надбавка» появляется, если они приводятся в процентном выражении: 100%-ная база для исчисления надбавки — цена, по которой посредник приобретает товар, а 100%-ная база для исчисления скидки — цена, по которой посредник реализует этот товар. В снабженческо-сбытовых надбавках учитываются расходы по закупке, хранению, комплектации, транспортировке и реализации продукции, а также прибыль, признанная необходимой для нормальной деятельности. Снабженческо-сбытовые надбавки также устанавливаются самостоятельно субъектами оптового звена, если предприятия-изготовители отпускают продукцию по свободной отпускной цене, с учетом сложившегося спроса и предложения на соответствующем товарном рынке, а также качества и потребительских свойств продукции, товаров.
Торговые надбавки (скидки) в цене товара
Расходы, связанные с реализацией товаров розничными торговыми предприятиями населению, возмещаются через торговую надбавку. Формула для расчета цены на основе торговой скидки имеет вид:
Рп = Рпр/1 - r
где Pп — цена продажи товара;
Ррп— цена приобретения товара;
г—скидка, доли единицы.
Уровень торговой скидки определяется величиной необходимых затрат для реализации данным звеном своей функции в процессе товародвижения, а также желаемым уровнем рентабельности, объемом продаж. Т
орговая надбавка — денежная сумма, на которую продавец увеличивает продажную цену по сравнению с ценой приобретения для себя.
Расчет продажной цены производится по формуле:

Рп = Рпр (1+а),
Если по продукции и товарам применяются регулируемые торговые надбавки, предприятия торговли используют торговую надбавку установленных размеров.
Органы исполнительной власти субъектов РФ устанавливают и регулируют размеры торговых надбавок к ценам на продукты детского питания (включая пищевые концентраты), лекарственные средства и изделия медицинского назначения; наценки на продукцию, реализуемую на предприятиях общественного питания при образовательных школах, профтехучилищах, средних специальных и высших учебных заведениях, а также на продукцию и товары, реализуемые в районах Крайнего Севера и приравненных к ним местностях с ограниченными сроками завоза грузов. Величина издержек обращения связана с условиями купли-продажи. Чем больше посредников участвуют в реализации товара, тем выше издержки обращения, тем выше и уровень продажной цены. Поэтому создание или возникновение в стране крупных оптово-торговых фирм будет способствовать удешевлению товародвижения. Крупный оптовик дает крупные, выгодные, стабильные заказы производителям. Он выгодно отличается от мелкого и розничного тем, что не завышает прибыль на единицу товара, а увеличивает массу прибыли в зависимости от массы товара. Более того, крупные оптовики чаще всего сами регулируют свою отпускную и розничную цены, определяя долю другого посредника или розничного продавца в этой цене. В таких случаях имеет место оптовая или торговая скидка.
Как мы уже убедились, на формирование розничной цены товара оказывают влияние многие факторы.
Для того же чтобы рассчитать исходную цену товара необходимо следовать следующим этапам:
1 - Постановка задач ценообразования: обеспечение выживаемости, максимизация текущей прибыли, завоевание лидерства по охвату рынка или качеству товара;
2 – Определение спроса. Строится кривая спроса, характеризующая объемы предполагаемых продаж по различным ценам;
3 – Оценка издержек. Рассчитывается изменение суммы издержек в зависимости от различных объемов производства;
4 – Анализ цен и товаров конкурентов. Изучаются цены конкурентов для использования их в качестве основы при ценовом позиционировании собственного товара;
5 – Выбор непосредственно метода ценообразования;
6 – Установление окончательной цены. Устанавливается окончательная цена с учетом ее психологического восприятия покупателями, дистрибьюторами, дилерами, торговым персоналом фирмы, конкурентами, поставщиками и государственными органами.
1.3. Выбор метода ценообразования в деятельности предприятия
Метод ценообразования – система установления цены с использованием определенной нормативной базы. Оптимальным признается решение этого вопроса с использованием различных методов в отношении позиций номенклатуры продукции. Существуют определенные границы маневрирования величиной цены, но цена не должна быть ниже уровня издержек, поскольку убыточная деятельность не может планироваться и отражать интересы предприятия. Верхняя граница цены на свободном рынке определяется закономерностями спроса, степенью его эластичности. Очевидным условием считается установление цены, обеспечивающей возмещение издержек и получение требуемой нормы прибыли при сохранении спроса. Объективным ориентиром здесь может служить средний уровень цены, определяемый ценами товаров-аналогов и товаров-заменителей, производимых конкурентами. В настоящее время разработано большое количество различных методов ценообразования, зачастую радикально различающихся, используемых как в чистом виде, так и в смешанном с учетом специфик тех компаний, на которых они используются.
Существуют следующие методы ценообразования:
1. Затратный метод ценообразования.
Суть затратного метода ценообразования- в учете издержек и установление таких цен на услуги, которые бы обеспечили окупаемость издержек и нормативный уровень прибыльности. В качестве издержек могут рассматриваться полные, частичные и капитальные затраты.
Виды затратных методов ценообразования:
- Затратный метод с учетом полных (или средних) издержек на производство продукции – основан на определении полной себестоимости, включающей как переменные, так и постоянные издержки. Суть метода состоит в суммировании совокупных издержек: переменные (или прямые) плюс постоянные (или накладные), и прибыли, которую предприятие рассчитывает получить.
Главное преимущество данного метода — его простота и удобство. Это связано с тем, что у производителя всегда имеются данные о собственных затратах. Однако он имеет два больших недостатка:
1) при установлении цен не принимаются во внимание имеющийся спрос на товар и конкуренция на рынке, поэтому возможна ситуация, когда товар при данной цене не будет пользоваться спросом;
2) любой метод отнесения на себестоимость товара постоянных накладных расходов, которые являются расходами по управлению предприятием, а не расходами для производства данного товара, является условным. - Метод прямых (или предельных) затрат базируется на установлении цены путем добавления к переменным затратам определенной надбавки — прибыли. При этом постоянные расходы как расходы предприятия в целом не распределяются по отдельным товарам, а погашаются из разницы между суммой цен реализации и переменными затратами на производство продукции. Эта разница получила название «добавленной» или «маржинальной» прибыли. При правильном подходе переменные (прямые) издержки должны явиться тем пределом, ниже которого ни один производитель не будет оценивать свою продукцию. В любом случае истинная функция издержек заключается в установлении нижнего предела для первоначальной цены на товар, в то время как ценность этого товара для потребителя определяет высший предел цены на него. Продажа товара по цене, рассчитанной по такому методу, эффективна на стадии насыщения, когда нет роста продаж, и предприятие хочет сохранить объем сбыта на определенном уровне.
- Метод расчета цены на основе анализа безубыточности и обеспечения целевой прибыли базируется на том, что предприятия стремится установить цену на свой товар на таком уровне, который обеспечивал бы получение желаемого объема прибыли. Точка безубыточности — это точка пересечения кривой общей выручки и кривой общих затрат. В точке безубыточности объем прибыли равен нулю. Основным недостатком метода определения цены на основе анализа безубыточности является то, что не учитывается взаимосвязь цены товара и фактического спроса. - Метод установления цены на основе анализа рентабельности инвестиций.
Основная задача данного метода состоит в том, чтобы оценить полные затраты при различных программах производства товара и определить объем выпуска, реализация которого по определенной цене позволит окупить соответствующие капиталовложения. Устанавливаемая надбавка к издержкам производства включает процент дохода на инвестированный капитал. - Метод структурной аналогии. Суть данного метода заключается в том, что при установлении цены нового товара определяют структурную формулу цены по его аналогу. Для этого используют фактические или статистические данные о доле основных элементов в цене или себестоимости аналогичного товара. Если возможно точно определить для нового товара один из элементов цены, например материальные затраты, нормы расхода и т. п., то, перенося структуру аналога на новый товар, можно рассчитать ориентировочную цену.
2. Рыночные методы ценообразования
- Рыночный метод потребительской оценки (ориентация на спрос). В данном случае цены определяются на основе маркетинговых оценок, т. е. на основе изучения рынка . Практически все предприятия, формируя цену на свою продукцию, так или иначе учитывают в ней фактор спроса, так как, если цена превышает уровень, на который согласны потребители, товар просто не будет продан. Поэтому данный метод часто применяется совместно с другими методами ценообразования или в случае уникального товара может применяться самостоятельно в первую очередь. Данный метод дает возможность осуществлять стратегию высоких цен (премиального ценообразования или «снятия сливок»), которая используется фирмой, как правило, при следующих условиях:
- имеется весьма высокий и возрастающий текущий спрос со стороны достаточно большого числа покупателей;
- издержки производства позволяют поддерживать эффективный выпуск продукции, а финансовые результаты способствуют наращиванию выпуска нового товара и его предложения на рынке;
- высокая начальная цена не будет привлекать новых конкурентов производства товара;
- высокая цена соответствует высокому качеству и не мешает привлечению новых покупателей.
Использование данного метода предполагает большую работу по изучению рынка, спроса, эластичности, фирма должна иметь финансовые возможности и специалистов для дорогостоящих исследований. Метод тесно связан с дифференциацией своего товара и дифференциацией или сегментацией рынка.
При изучении потенциального спроса проводят исследования для выявления: - представления о цене и «вилке приемлемости цен» для большинства покупателей; - реакции на изменение цен (эластичность) с помощью вопросов о возможности покупки по разным ценам;
- возможности и необходимости дифференцирования цен в соответствии с затратами на покупку, платежеспособными, демографическими, психологическими и другими особенностями покупателей.
Недостаток этого метода в том, что информация искажена из-за отсутствия момента покупки как факта.
Могут также проводиться пробные продажи. В этом случае после определения приемлемого диапазона цены ее варьируют на основе наблюдения за реакцией потребителей для оптимизации сочетания «выручка-объем продаж».
Аукционные цены на уникальные или престижные товары являются также примером цен, ориентированных на спрос.
- Рыночный метод следования за лидером (ориентация на конкуренцию)
Если цена, определенная на основе издержек производства является, как правило, нижним уровнем расчетной, а цена, определенная на основе спроса – верхним, то обозначенный диапазон является так называемым полем игры, где чаще всего и будет находиться предполагаемая цена.
Обычно фирма вынуждена строить свою политику с учетом существования конкурентов; она, как правило, знает об опыте своих конкурентов по установлению цен.
Одним из методов формирования цены в данном случае может быть ориентация на конкурентов. Если на рынке присутствует явный лидер, то остальные следуют за ним. Причем ценовое лидерство может быть доминирующее, когда в отрасли есть фирма, обладающая низкими затратами, а значит, явными ценовыми преимуществами перед другими. А может быть и барометрическое лидерство, когда ценовые изменения фирмы поддерживаются другими производителями, признающими способность лидера устанавливать цены в полном соответствии с изменяющимися рыночными условиями.
При данном методе производитель руководствуется ценами конкурента, а учет собственных издержек и спроса играет здесь подчиненную роль. Производитель устанавливает цену на товар чуть выше или чуть ниже, чем у ближайшего конкурента. Это возможно лишь на рынке с однородной продукцией. Опираясь на этот метод, фирма избавляется от риска, связанного с установлением собственной цены в смысле ее принятия рынком.
Кроме того, в условиях сильной конкуренции фирма имеет небольшие шансы влиять на цены рынка. В то же время в условиях чистой олигополии предприятие имеет практическую возможность удерживать свою цену в течение длительного периода.
Другой метод определения цены в указанном диапазоне между минимумом и максимумом — активное ценообразование, связанное с использованием конкурентных преимуществ фирмы, таких как лидерство по издержкам и дифференциации продукта.
Лидерство по издержкам позволяет производителю устанавливать более низкую, по сравнению с конкурентами, цену на свой продукт и, тем не менее, получать прибыль.
Добиться этого возможно путем экономии:
- на ассортименте выпускаемой продукции за счет включения в «портфель» фирмы товаров, имеющих общий набор затрат: чем больше издержек, которые являются общими для товаров, тем значительнее синергия, получаемая от расширения «портфеля»;
- за счет масштаба производства: существует тенденция к снижению величины затрат по мере роста объемов производства;
- за счет накопленного опыта, связанного с обучением в процессе деятельности: чем больше компания производит, тем больше она узнает о том, как сделать производство эффективным.
Дифференциация продукта имеет место, когда фирма производит продукт, отличающийся от продуктов конкурентов какими-либо привлекательными, с точки зрения покупателей, особенностями. В результате фирма получает право повысить цену в зависимости от наличия таких отличительных особенностей, причем ценовая надбавка должна превышать расходы, понесенные в связи с приданием продукту отличительных черт. Уникальными могут быть как потребительские свойства самого продукта, так и послепродажный сервис.
Многие продукты продаются по установившимся стандартным ценам, в то время как их качество превышает ожидания потребителей. В этом случае основная конкуренция разворачивается вокруг функциональности продуктов, продаваемых по одной стандартной цене. Такая ситуация характеризуется как гибкая конкуренция. В этой ситуации преимущество получает компания, способная обеспечить наилучшие потребительские свойства продукта при данной стандартной цене. Наиболее важный фактор гибкой конкуренции — способность компании быстро внедрять инновации.
В действительности цены различных компаний, производящих аналогичную продукцию, могут существенно различаться. Существует несколько причин, объясняющих такие расхождения. Одна из них — различные технологии производства. Производственные мощности некоторых компаний лучше приспособлены для выполнения определенного заказа, в результате чего компании получают выигрыш по издержкам. Другой причиной может быть степень загрузки заказами на момент установления цены. Фирмы, загруженные не полностью, могут устанавливать умеренные цены, рассчитывая получить дополнительные заказы.
Еще одна причина значительных расхождений в ценах — различные методы учета издержек и определения цены. Многие компании применяют оценочные методы, которые не отражают реального уровня их издержек. Традиционные методы учета издержек во многих случаях искажают реальное положение и в некоторых ситуациях могут вызвать серьезные проблемы, если на их основе устанавливаются цены. В крупносерийном производстве и при изготовлении относительно простых продуктов традиционные методы учета затрат приводят к их завышению, в то время как на мелкосерийные и технически сложные изделия издержки оказываются завышенными. Таким образом, компании не имеют представления о реальной рентабельности тех или иных продуктов или продаж.
Следовательно, любая компания, внедрившая более точные методы учета затрат, например по видам деятельности, получит конкурентное преимущество.
Если компания не стала лидером по издержкам, она должна знать свои реальные издержки, чтобы вести ценовую конкуренцию.
Применение методов, ориентированных на спрос и конкуренцию, дадут близкие результаты, если предприятие выходит на рынок с уже имеющимся на нем товаром при отсутствии ценового сговора конкурентов (цена реализации товара соответствует цене спроса, а не навязана рынку).
3. Установление цен по географическому принципу
Географический принцип ценообразования заключается в том, что предприятие устанавливает разные цены для потребителей, находящихся в разны регионах или на разных территориях. Виды ценообразования:
- цены применительно к базисному пункту. Цены устанавливаются на товары при их доставке к определенному пункту назначения. При дальнейшей перевозке товаров устанавливаются дополнительные надбавки или цены пересчитываются с помощью специальных коэффициентов.
- зональные цены. Предприятие выделяет несколько зон, в пределах которых устанавливаются единые цены для всех клиентов.
- цены в месте производства. Товары передаются покупателям в месте их производства, либо покупатели оплачивают все расходы по доставке товара до места назначения.
- цены с учетом расходов по доставке товаров. Цена включает в себя усредненные расходы по доставке товара до места назначения.
- цены с учетом оплаты всех издержек доставки предприятием-поставщиком. Эти цены применяются с целью установления долгосрочных контактов с покупателями. Такие цены используются, например, в условиях жесткой конкуренции или для быстрого проникновения на рынок и закрепления на нем.
4. Установление цен со скидками
Конечная цена на продукцию может существенно отличаться от той, которую спрогнозировало предприятие. Одним из факторов, влияющих на окончательное становление цен, является формирование скидок к ценам.
Таблица 1.1 - Виды скидок
| Виды скидок и их описание |
Скидки
за оплату наличными
|
Скидки за количество покупаемых товаров |
Сезонные
скидки
|
Товарообменные расчеты |
| Предоставляются потребителям, которые оплачивают товары наличными денежными средствами |
Предоставляются в качестве снижения цены для потребителя, приобретающего большие партии товаров. При этом предприятие получает экономию за счет снижения расходов на хранение запасов и транспортировку продукции |
Товар продается по более низкой цене, если потребитель покупает их вне сезона основной продажи. Цель – поддержание постоянного, стабильного уровня продаж и прибыли предприятия в течение всего года. |
Покупатели имеют возможность приобретать продукцию предприятия по сниженной цене, если принесут в обмен старый товар. Кроме того, предусматривается возможность снижения цены в качестве вознаграждения дилерам за участие в рекламе товара или поддержания его сбыта на определенном уровне |
5. Установление цен на товары-новинки
Обычно предприятия пытаются установить максимально возможную цену на товары-новинки, обосновывая это тем, что на рынке на данный момент нет аналогичного товара или товара-заменителя.
Существуют следующие виды цен, устанавливаемые на товары-новинки:
- Цена «снятие сливок». Наиболее распространенный метод формирования цены, при котором цена устанавливается на максимально возможном уровне и через определенный промежуток времени снижается в связи с падением первой волны спроса. В свою очередь установление максимального уровня цены дает предприятию ряд преимуществ: часто высокая цена ассоциируется у потребителей с высоким качеством; если спрос на товар является престижным, повышение цены на него приводит к дополнительному потреблению; высокая цена товара позволяет сдерживать спрос на него, если предприятию не хватает производственных мощностей для быстрого наращивания производства; покупатели более благосклонно относятся к снижению цен, чем к их повышению.
Главным недостатком данной стратегии является то, что высокая цена и возможности реализации товара по ней привлекают конкурентов и это не позволяет долговременно использовать этот метод.
- «Психологическая» цена. При формировании этой цены учитывается психология ее восприятия потребителем. Существует мнение, что потребители лучше воспринимают цены, которые чуть ниже круглой суммы, и плохо воспринимают цены выше круглой суммы. Данный метод создает ощущение у потребителя экономии его денег.
- Цена проникновения на рынок. Устанавливается минимальная цена на товар, что способствует привлечению максимального числа потребителей и получению прибыли за счет наращивания объемов сбыта. Однако если в дальнейшем предприятие захочет по каким-то причинам повысить цену, это может оттолкнуть потребителей. Данный метод применяют только очень крупные предприятия, у которых издержки производства минимальные в отрасли и находятся под постоянным контролем, имеется возможность их дальнейшего снижения.
- Цена следования за лидером. Предприятие устанавливает цену на свою продукцию, ориентируясь на фирму, лидирующую на рынке.
- Престижная цена. Цена устанавливается на престижные изделия очень высокого спроса, там, где фактически ее размер не так важен для потребителя по сравнению с возможностью приобрести качественные товары известного производства.
- Цена с ориентацией возмещения издержек производства. Цена устанавливается в строгом соответствии с издержками производства продукции и средней нормой прибыли на рынке и в отрасли.
2. Организационно-экономическая характеристика деятельности предприятия ООО «Возрождение»
2.1.Организационно-правовая характеристика предприятия
ООО «Возрождение»
Общество с ограниченной ответственностью “Возрождение”, сокращенное наименование: ООО «Возрождение» находится по юридическому адресу: 353240, Россия, Краснодарский край, Северский район, ст. Северская, ул. Промышленная ,2.
Учредительные документы Общества с ограниченной ответственностью «Возрождение», именуемое в дальнейшем "Общество", зарегистрированное постановлением главы администрации Северского района № 1196 от 17.12.1996 года, приведены в соответствие с Гражданским Кодексом РФ И Федеральным Законом "Об обществах с ограниченной ответственностью".
Общество является собственником переданного ему участниками имущества и денежных средств и отвечает по своим обязательствам принадлежащим ему имуществом. Участники несут риск убытков по обязательствам Общества в пределах своего вклада в уставный капитал, если законом или договором не будет предусмотрено иное.Общество имеет расчетный, валютный и другие счета в банковских учреждениях, круглую печать со своим наименованием, товарный знак (знак обслуживания), эмблему, штампы, бланки и другие реквизиты.
Целью общества является извлечение прибыли.
ООО «Возрождение» осуществляет следующие виды деятельности:
- оказание услуг сельхозпредприятиям по обработке почвы и снабжение их и населения минеральными удобрениями и ядохимикатами;
- организация торговых, бытовых, гостиничных услуг;
- строительные, ремонтно-строительные, реставрационно-восстановительные и другие виды работ связанные со строительством;
- закупка и реализация нефтепродуктов и других горюче-смазочных материалов;
- торгово-закупочная деятельность;
- транспортные услуги предприятиям и населению;
- оказание информационных, агентских, дилерских и других посреднических услуг;
- осуществление любых не запрещенных законом экспортных, импортных, лизинговых и товарообменных сделок, а также других форм и видов внешнеэкономической деятельности;
- осуществление иных видов хозяйственной деятельности, не запрещенных законодательством.
В настоящее время ООО «Возрождение» занимается розничной продажей строительных материалов, хозтоваров, товаров народного потребления, удобрений, средств защиты от вредителей сельхозпродукции.
Поставщиками общества являются следующие предприятия:
- Торговый дом «Стекло» (г. Краснодар);
- ООО «Хозяйственный мир» (г. Краснодар);
- ООО ПКФ «Деревообработчик» (пгт. Афипский, Краснодарский край);
- «Абинскметаллоторг» (пгт. Холмский);
- ОАО «НоворосЦемент (г. Новороссийск);
- ОАО «Шиферник» (г. Новороссийск);
- ОАО «Камерон» (г. Краснодар);
- ОАО «Кореновская сельхозхимия»
- «Краснодарагроснаб-1» (г. Краснодар);
- «Сортсемовощ» (г. Краснодар);
2.2.Анализ основных экономических показателей предприятия
ООО «Возрождение»
Для оценки финансово-экономической деятельности предприятия проведем анализ основных экономических показателей функционирования ООО «Возрождение» за период с 2007 г. по 2009 г., отраженных в бухгалтерской отчетности предприятия (Приложение Б).
Таблица 2.1. - Динамика экономических показателей деятельности
ООО «Возрождение» за 2007-2009 гг.
| Показатель |
Годы |
Абсолютное отклонение (+, -) |
Темп роста, % |
| 2007, тыс. руб. |
2009, тыс. руб. |
| Основные средства |
400 |
321 |
-79 |
80,25 |
| Готовая продукция и товары для перепродажи |
331 |
502 |
171 |
151,66 |
| Дебиторская задолженность (платежи по которой ожидаются более чем через 12 месяцев после отчетной даты) |
1171 |
- |
- |
- |
| Уставный капитал |
91 |
91 |
- |
100 |
| Добавочный капитал |
491 |
491 |
- |
100 |
| Нераспределенная прибыль (непокрытый убыток) |
503 |
68 |
-435 |
13,52 |
| Займы и кредиты |
636 |
30 |
-606 |
4,72 |
| Кредиторская задолженность |
189 |
153 |
-36 |
80,95 |
| в том числе поставщики и подрядчики |
76 |
82 |
6 |
107,89 |
| Задолженность перед персоналом организации |
18 |
25 |
7 |
138,89 |
| Задолженность по налогам и сборам |
20 |
26 |
6 |
130 |
| Прочие кредиторы |
73 |
20 |
-53 |
27,39 |
| Себестоимость проданных товаров, продукции, работ услуг |
3125 |
2346 |
-779 |
75,07 |
| Прибыль (убыток) от продаж |
759 |
166 |
-593 |
21,87 |
| Прибыль (убыток) до налогообложения |
297 |
35 |
-262 |
11,78 |
| Выручка от продажи товаров, продукции, работ, услуг |
3884 |
2512 |
-1372 |
64,67 |
| Рентабельность продаж, % |
19,5 |
6,61 |
-12,89 |
- |
За анализируемый период стоимость основных средств сократилась на 79 тыс.руб., что составило 80% по отношению к 2007г. Стоимость готовой продукции увеличилась на 171 тыс. руб., и составила 151,7% в 2009г. по отношению к 2007г. Сумма дебиторской задолженности в 2009г. равна 0, тогда как в 2007г. – 1171 тыс. руб. Таким образом дебиторская задолженность сократилась на 100%. Стоимость уставного и добавочного капитала осталась неизменной. Нераспределенная прибыль сократилась на 435 тыс. руб., что составило 13,52% в 2009г. по отношению к 2007г. Сумма займов и кредитов уменьшилась на 606 тыс. руб., что составило 4,72%. Кредиторская задолженность также сократилась на 36 тыс. руб., что говорит об улучшении платежно-расчетной дисциплины на предприятии. Задолженность по налогам и сборам в 2009г. увеличилась на 6 тыс. руб., что составило 130% по отношению к 2007г.
Таблица 2.2 - Анализ отчета о прибылях и убытках ООО «Возрождение», тыс. руб.
| Показатель |
Годы |
Абсолютное отклонение (+, -) |
Темп роста, % |
| 2007, тыс. руб. |
2009, тыс. руб. |
| Выручка от продажи товаров, продукции, работ, услуг |
3884 |
2512 |
-1372 |
64,67 |
| Себестоимость проданных товаров, продукции, работ услуг |
3125 |
2346 |
-779 |
75,1 |
| Валовая прибыль |
759 |
166 |
-593 |
21,87 |
| Прибыль (убыток) от продаж |
759 |
166 |
-593 |
21,87 |
| Прочие доходы |
58 |
- |
-58 |
- |
| Прочие расходы |
1097 |
131 |
-966 |
11,94 |
| Прибыль (убыток) до налогообложения |
297 |
35 |
-262 |
11,78 |
| Чистая прибыль (убыток) отчетного периода |
297 |
35 |
-262 |
11,78 |
Как видно из таблицы 2.3, выручка от продаж за 2007-2009 годы сократилась на 1372 тыс. руб., темп ее роста составил 64,67%. Себестоимость реализованной продукции уменьшилась на 779 тыс. руб. При этом темп роста себестоимости выше темпа роста выручки от реализации продукции, что характеризуется нами отрицательно и приводит к уменьшению прибыли от продаж на конец исследуемого периода.

Рисунок 2.3. – Динамика прибыли от продаж, прибыли до налогообложения и чистой прибыли ООО «Возрождение» в 2007-2009гг.
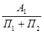
Коэффициент абсолютной ликвидности определяется отношением наиболее ликвидных активов к текущим обязательствам и рассчитывается по формуле:Каб. Лик = , (1.)
где А1 – наиболее ликвидные активы – суммы по всем статьям денежных средств, которые могут быть использованы для выполнения текучих расчетов немедленно. К этой группе относятся краткосрочные финансовые вложения (ценные бумаги), которые можно приравнять к деньгам.
П1 – наиболее срочные обязательства — кредиторская задолженность, расчеты по дивидендам, прочие краткосрочные обязательства, а также ссуды, не погашенные в срок (по данным приложений к бухгалтерскому балансу).
П2 – краткосрочные пассивы — краткосрочные заемные кредиты банков и прочие займы, подлежащие погашению в течение 12 месяцев после отчетной даты.
Следовательно для ООО «Возрождение» Каб. Лик в 2009г. составил 321/153 = 2,098.
3. Рекомендации по повышению эффективности деятельности
ООО «Возрождение»
3.1.Методы ценообразования, используемые на предприятии
ООО «Возрождение»
В своей деятельности организация ООО «Возрождение» использует рыночные методы установления цены на товар, т.е. определяющим фактором является спрос. Потребители определяют ценность товара, его полезность по совокупности свойств, которыми он обладает. Потребитель сравнивает товар данного предприятия с товарами конкурентов по таким критериям, как цена, качество, внешний вид, доступность, уровень сервиса.
Так же имеют место затратные методы ценообразования, а именно метод прямых или предельных затрат. В этом случае к переменным затратам прибавляется определенная надбавка – прибыль. Постоянные затраты возмещаются из разницы между суммой цен реализации и переменными затратами на производство продукции.
Следует отметить, что предприятие ООО «Возрождение» совершенно не использует политику скидок в своей деятельности. Между тем, мы считаем, что деятельность организации может быть на много успешнее, если предприятие будет устанавливать скидки, например, за количество покупаемых товаров (скидки предоставляются в качестве снижения цены для потребителя, приобретающего большие партии товаров), либо устанавливать скидки постоянным потребителям.
3.2. Рекомендации по выбору оптимального метода ценообразования
Чтобы установить оптимальный уровень цен, применяют два традиционных метода расчета: ориентацию на затраты и заданную (желательную для продавца) прибыль или ориентацию на цены основных конкурентов или одного конкурента-лидера. Первый метод получил название затратного, второй административного.
Затратный метод использует информацию о полных, прямых, усредненных, стандартных и предельных издержек, учитывает политику целевой цены (целевой нормы прибыли).
Ориентация на средние рыночные цены продукции данного рода (отраслевые). Этот метод характерен для предприятий, работающих на слабомонополизированных товарных рынках. В основе средних отраслевых цен лежат общественно необходимые затраты труда, которые обеспечивают прибыль устойчиво работающим предприятиям.
Ориентация на ценового лидера. Этот метод практикуется на рынках, где доминируют несколько (3-5) предприятий, так что рынок практически полностью поделен между ними. В этом случае одно из предприятий, доля рынка которого является наибольшей, молчаливо признается остальными производителями ценовым лидером. Любые изменения цен, предпринимаемые им, воспроизводятся другими предприятиями, чтобы не вносить хаос в рыночный механизм и сохранять свою долю рынка.
Ориентация на спрос. В отличие от цен, ориентированных на издержки производства, эти цены устанавливают, постоянно наблюдая за интенсивностью спроса. При повышении спроса цены увеличивают, а при падении - уменьшают, хотя издержки производства при этом остаются неизменными. В итоге происходит "ценовая дискриминация", означающая, что продукция одновременно продается по нескольким ценам, в зависимости от места и времени продажи, а иногда и от категории Потребителя (наиболее часто используется при реализации продукции длительного пользования). В некоторых случаях ценовая дискриминация делается в зависимости от места продажи, например, от категории и престижности магазина.
Самостоятельную группу методов определения цен составляет математическое, в том числе имитационное моделирование, в особенности при расчете цены равновесия.
В основу расчета модели "цены равновесия" кладется взаимодействие двух функций: функции возможного объема выпуска (предложения) продукции в зависимости от ее цены; функции спроса на эту продукцию, зависящего также от цены. Точка пересечения этих кривых и является ценой равновесия, при которой вся выпущенная продукция будет реализована.
Если при определенном объёме производства цена получается выше равновесной, то это означает, что часть продукции может быть не реализована.
В противном случае - иная ситуация, характеризующаяся дефицитом на данный вид продукции. Основная сложность построения этой модели заключается в определении функции спроса, что и является одной из задач маркетинга.
Приступая к решению вопроса об установлении окончательной цены на свою продукцию необходимо помнить, что она служит сильнейшим инструментом маркетинга, а, значит, определение её размера не может осуществляться без учёта ситуации на рынке и общей маркетинговой стратегии предприятия.
Практика показала, что окончательный размер цены должен определяться руководителями служб маркетинга, сбыта, экономики и финансов. У каждого из них свои представления об уровне цены и потому порой приходится делать не одну итерацию, чтобы прийти к пониманию. На некоторых предприятиях создаются экспертные советы (тарифные комитеты) на которых и устанавливаются размеры базовых цен. Хотелось бы обратить внимание, что базовая цена не всегда может совпадать с отпускной. Она есть лишь та пороговая цена, ниже которой продукция не может быть реализована без разрешения руководителя предприятия или лица, которое уполномоченного им для принятия такого решения. К базовой цене не применяются традиционные скидки и бонусы.
Более того, сегодня, когда доля расчетов "живыми деньгами" за продукцию порой может не превышать 20-30%, становится необходимым в прайс-листах указывать и цены на продукцию при расчётах по бартеру, взаимозачётам или ценными бумагами. Они, как правило, выше.
Если же в процессе согласования цены выяснится, что её невозможно сделать приемлемой для рынка, даже с использованием инструментов маркетинга, надо серьёзно задуматься о целесообразности выпуска этого вида продукции.
Заключение
Цена как инструмент маркетинга является одним из основных инструментов маркетинга в большинстве неоклассических моделей рыночной экономики. Цена оказалась таким параметром, от которого во многом стало зависеть благополучие предприятия, размеры его доходов и расходов. Этот параметр главным образом задается рыночной ситуацией, а именно поэтому предприятие обязано осуществлять продуманную политику ценообразования с учетом конъюнктуры конкретных товарных рынков сейчас, завтра и в более отдаленной перспективе. С одной стороны, цена формирует доход предприятия; с другой, цена – это жертва, на которую должен пойти потребитель, чтобы стать обладателем вожделенного блага в товарной форме. Возможно, цена в фазах потребления в наибольшей степени, чем любой другой элемент, определяет привлекательность всего маркетингового комплекса. Решать различные проблемы в комплексе помогает разработка ценовой политики в системе маркетинга, которая предусматривает не только установление уровня цен, но и формирование стратегической линии ценового поведения на рынке и в комплексе по всей товарной номенклатуре и отдельно по каждому виду товара на всем протяжении жизненного цикла. Ценовая стратегия на относительно длинный период служит основой принятия решений в отношении цены продажи в каждой конкретной сделке. Стратегические ценовые установки и рассчитанная на длительный срок линия ценового поведения позволяют определить объемы прибыли и рыночную долю в прогнозируемом периоде, обеспечивают известный резерв финансовых ресурсов и времен
Список использованной литературы
1. Абакумова О.Г., Цены и ценообразование: Учебник. – Изд-во «Приор-издат», 2007г
2. Басовский Л.Е. Маркетинг: Курс лекций. – Изд-во «Нева», 2006г
3. Голубков Е.П. Основы маркетинга: Учебник. - М.: Изд-во "Фин-пресс", 2008г
4. Еремин В. Маркетинг: Учебник. – Изд-во «КноРус», 2006г
5. Ерухимович И.Л. Ценообразование Учебник. К.: МАУП 2007
6. Кеворков В.В. Практический маркетинг: Учебник. – Изд-во «РИП-Холдинг», 2006г
7. Котлер Ф. Маркетинг от А до Я. - СПб: Издательский Дом "Нева", 2007.
8. Котлер Ф. Армстронг Г. Введение в маркетинг: Учебник. - Изд-во «Вильямс», 2008г
9. Маслова Т.Д., Божук С.Г., Маркетинг Издательство «Питер», 2008г
10. Мурашкин А.В. Маркетинг: Учебник 2008г.
11. Под ред. Немчина А.М., Минаева Д.В Маркетинг: Учебное пособие для вузов изд Бизнес-пресса 2006г
12. Панкрухин А.П. Маркетинг: Учебник. - М.: ИКФ «Омега-Л», 2007г
13. Салимжанов И.К. Маркетинг: Учебник. – Изд-во «КНОРУС» 2007г.
14. Шевчук Д.А. Ценообразование: Учебник. – Изд-во: «ГроссМедиа», 2008г.
15. Эванс Дж.Р., Берман Б. Маркетинг М: Сирин 2007
Приложения
|