МИНИСТЕРСТВО ОБРАЗОВАНИЯ И НАУКИ УКРАИНЫ
ДОНБАССКАЯ ГОСУДАРСТВЕННАЯ МАШИНОСТРОИТЕЛЬНАЯ АКАДЕМИЯ
МЕТОДИЧЕСКИЕ УКАЗАНИЯ
к решению задач
по дисциплине «Маркетинг»
Краматорск 2009
Задача 1
Охарактеризуйте товары широкого потребления.
Решение
Товары повседневного
спроса - товары, которые потребитель обычно покупает часто, без раздумий и с минимальными усилиями на их сравнение между собой. Примерами подобных товаров могут служить табачные изделия, мыло и газеты.
Товары повседневного спроса можно дополнительно подразделить на основные товары постоянного спроса, товары импульсной покупки и товары для экстренных случаев.
Основные товары постоянного спроса
люди покупают регулярно. Например, так совершают обычные покупки.
Товары импульсной покупки
приобретают без всякого предварительного планирования и поисков. Обычно такие товары продаются во многих местах, а поэтому потребители почти никогда специально их не ищут. Так, шоколадные батончики или журналы выкладывают рядом с расчетным узлом, потому что иначе потребитель мог бы и не подумать об их приобретении
Товары для экстренных случаев
покупают при возникновении ос рой нужды в них, например зонтики во время ливня, лопаты после первых снежных заносов. Производители товаров экстренных случаев организуют их распространение через множество торговых точек, чтобы не упустить возможность продажи, ко потребителю вдруг понадобятся эти товары.
Товары предварительного выбора - товары,
которые потребитель в процессе выбора и покупки, сравнивает между собой по показателям качества, цены и внешнего оформления. Пример подобных товаров могут служить мебель, одежда, подержанные автомобили основные электробытовые приборы. Товары предварительного выбора можно дополнительно подразделить на схожие и несхожие.
Схожие товары
– это например мебель на вид она одинакова, но изготовлена из разных сортов дерева и т.д.
При продаже несхожих товаров предварительного выбора необходимо иметь широкий ассортимент, чтобы удовлетворить самые разнообразные индивидуальные вкусы, и держать штат хорошо подготовленных продавцов, которые могли бы снабдить потребителя необходимой информацией и дать ему совет.
Забиваем Сайты В ТОП КУВАЛДОЙ - Уникальные возможности от SeoHammer
Каждая ссылка анализируется по трем пакетам оценки: SEO, Трафик и SMM.
SeoHammer делает продвижение сайта прозрачным и простым занятием.
Ссылки, вечные ссылки, статьи, упоминания, пресс-релизы - используйте по максимуму потенциал SeoHammer для продвижения вашего сайта.
Что умеет делать SeoHammer
— Продвижение в один клик, интеллектуальный подбор запросов, покупка самых лучших ссылок с высокой степенью качества у лучших бирж ссылок.
— Регулярная проверка качества ссылок по более чем 100 показателям и ежедневный пересчет показателей качества проекта.
— Все известные форматы ссылок: арендные ссылки, вечные ссылки, публикации (упоминания, мнения, отзывы, статьи, пресс-релизы).
— SeoHammer покажет, где рост или падение, а также запросы, на которые нужно обратить внимание.
SeoHammer еще предоставляет технологию Буст, она ускоряет продвижение в десятки раз,
а первые результаты появляются уже в течение первых 7 дней.
Зарегистрироваться и Начать продвижение
Товары особого спроса
- товары с уникальными характеристиками или отдельные марочные товары, ради приобретения которых значительная часть покупателей готова затратить дополнительные усилия. Примерами подобных товаров могут служить конкретные марки и типы модных товаров, автомобили. Например, автомобиль «Мерседес» является товаром особого спроса, поскольку покупатели готовы преодолеть большие расстояния, чтобы приобрести его. Товары особого спроса не предполагают никаких сравнений. Дополнительным вкладом потребителя является только время, которое он затрачивает, чтобы добраться до Дилера, торгующего искомыми товарами. При этом удобство месторасположения дилера не имеет особого значения, он лишь должен обязательно оповестить потенциальных покупателей о своем местоположении.
Товары пассивного спроса -
товары, которых потребитель не знает или знает, но обычно не задумывается об их покупке. Новинки типа индикаторов дыма и кухонных машин для переработки пищевых продуктов пребывают в разряде товаров пассивного спроса до тех пор пока Реклама не обеспечивает осведомленность потребителя об их существовании. Классическими примерами всем известных и тем не менее не вызывающих спроса товаров служат страхование жизни и т.д.
Задача 2
Анита Вильяме — единоличный владелец небольшой фирмы, которая специализируется на производстве женской косметики. Различные виды и марки недорогих косметических средств ориентированы на молодых латиноамериканок, проживающих в США ^возрастные границы сегмента рынка: от 18 до 35. лет).
Первоначально Анита Вильяме основала в пригороде Лос-Анжелеса небольшую фирму, где она работала со своим мужем и детьми. Со временем ее дело значительно расширилось, однако единственной причиной, сдерживающей дальнейшее развитие фирмы, является невозможность увеличения производства и масштабов рекламной деятельности из-за недостатка финансовых средств.
В настоящее время ситуация в промышленности, производящей косметические средства, меняется очень быстро, сроки жизненного цикла отдельных видов этой продукции сокращаются. Это вынуждает фирмы уделять большое внимание выпуску новых товаров, товаров рыночной новизны, но в связи с тем, что производство недорогой косметики не является сложным процессом, фирмы-производители могут выходить на рынок с новыми товарами без значительных финансовых затрат. Г-жа Вильяме планирует расширить географический сегмент своего рынка, в частности, организовать продажу продукции своей фирмы на всей юго-западной территории штата с последующим выходом на рынок Нью-Йорка и Майами. Адвокат и бухгалтер, консультирующие Аниту Вильяме, советуют ей обдумать вопрос об образовании на базе ее фирмы корпорации с целью привлечения необходимых финансовых средств.
Сервис онлайн-записи на собственном Telegram-боте
Попробуйте сервис онлайн-записи VisitTime на основе вашего собственного Telegram-бота:
— Разгрузит мастера, специалиста или компанию;
— Позволит гибко управлять расписанием и загрузкой;
— Разошлет оповещения о новых услугах или акциях;
— Позволит принять оплату на карту/кошелек/счет;
— Позволит записываться на групповые и персональные посещения;
— Поможет получить от клиента отзывы о визите к вам;
— Включает в себя сервис чаевых.
Для новых пользователей первый месяц бесплатно.
Зарегистрироваться в сервисе
Вопросы и задания
:
1. Какие преимущества единоличного владения фирмой могла бы Анита Вильяме потерять при создании корпорации? Какие выгоды она при этом получила бы?'2.Необходимо ли для г-жи Вильяме проведение маркетинговых исследований? Почему?3. На каких аспектах деятельности фирмы следует в первую очередь сконцентрировать внимание ее владелице?4. К каким последствиям, на ваш взгляд, может привести повышение цен на продукцию фирмы на том сегменте рынка, где она в настоящее время работает?5. Какая информация необходима г-же Вильяме для принятия решения о выходе на новые рынки?6. С какими проблемами столкнется владелица фирмы при выходе с новой продукцией на рынки, предъявляющие повышенные требования к качеству?
Решение
1. При создании корпорации Ганна В. потеряет следующие преимущества личного владения: потеря имиджа, т.к. фирма Петровой потеряла бы свое «лицо» среди множества других таких же фирм, входящих в данную корпорацию; утратила бы прозрачность контроля за фирмой, т.к. невозможно было бы лично проследить за множеством фирм, тем более если они находятся в разных странах; а также при увеличении общей прибыли доля прибыли фирмы Ганны уменьшилась. Выгоды, которые приобретет Ганна вследствие создания корпорации следующие: увеличения значительной доли рынка, захват новых рынков или сегментов, общее увеличения прибыли, увеличения контроля над рынком.
2. Ганне необходимо провести маркетинговые исследования однозначно, т.к. ей нужно проанализировать состояние рынка, на котором она собирается работать, проанализировать конкурентов, которые действуют на этом рынке, проанализировать потребителей на факт приверженности той или иной фирме-конкуренту, для того чтобы определить свое место или свою «нишу» на данном рынке (сегменте рынка).
3. Так как Ганна планирует расширить географический сегмент рынка, ей необходимо сосредоточить свое внимание на следующих аспектах деятельности своей фирмы: экономическом, организационно-техническом, правовом и социально-психологическом на первых двух аспектах необходимо акцентуировать внимание, так как здесь происходит анализ рынка сбыта (нового), расчет конкурентоспособности своей продукции по сравнению с конкурентами, расчет цены (такой, которую не только примет потребитель, но и такой, которая принесет прибыль фирме). Также необходимо обратить внимание на правовой аспект, так как (если например, это другое государство) нужно провести анализ законодательной базы, обратить внимание на политику государства по отношению к иностранным производителям, рассмотреть таможенные пошлины и льготы и т.д. Так же нужно обратить внимание на социально- психологический аспект, т.е. изучить потребности потребителей и их склонности к принятию нового товара. Все эти действия проводятся одновременно в процессе маркетинговых исследований.
4. Т.к. спрос на косметику эластичный, это означает, что при увеличении цен на продукцию на том сегменте рынка , где сейчас работает Ганна , приведет к резкому снижению объема реализации.
5. Для принятия решения о выходе на новый рынок (сегмент рынка) сбыта Ганне необходимо информация, которая была получена в результате проведения маркетинговых исследований.
6. Если Ганна планирует выйти на рынки, которые имеют завышенные требования к качеству товара, она может столкнуться с тем, что производители (фирмы-конкуренты), работающие на этом рынке давно, имеют своих приверженцев. Поэтому ее продукцию потребители могут просто не принять.
Задача
3
Просегментировать рынок стиральных машин.
Решение
Для сегментации рынка стиральных машин будут использоваться такие принципы:
1) в зависимости от назначения:
- бытовая;
- промышленная;
2) в зависимости от этапа жизненного цикла семьи:
- полное гнездо;
- пустое гнездо;
3) в зависимости от мощности:
- маломощная;
- средней мощности;
- высокой мощности;
4) в зависимости от выполняемых функций:
- многофункциональная;
- малофункциональная;
5) в зависимости от доходов:
- высокий доход;
- средний доход;
- низкий доход;
6) в зависимости от степени віджиму белья:
- 900 оборотов;
- 600 оборотов;
- менее как 500 оборотов;
7) в зависимости от уровня шума:
- высокий уровень;
- средний;
- бесшумная;
8) вид машины:
- автомат;
- полуавтомат;
- барабанного типа;
9) в зависимости от наличия сушения:
- с сушением;
- без сушения.
Для проведения сегментации рынка стиральных машин выберем метод группировок (суть которого заключается в том, что последовательно разбивают совокупность объектов на группы за наиболее значимыми признаками), потому что видна последовательность сегментации. Непосредственно сегментация рынка стиральных машин демонстрируется на схеме, которая изображена на рис. 1.
Выучив позиции конкурентов, предприятие принимает решение относительно позиционирования своего товара, то есть об обеспечении конкурентоспособного положения товара на рынке.
Позиционирование включает комплекс маркетинговых элементов, с помощью которых людям необходимо доказать, что речь идет о товаре, созданному специально для них, чтобы они идентифицировали предлагаемый товар со своим идеалом. При этом возможны разнообразные подходы и методы. Естественно, позиционирование не может быть связано с обманом и дезінформацією потребителей. Это может взойти один раз, после чего производителя ожидают неудачи и потери. Стиральные машины относятся к товарам группы «Дойные
коровы», потому что
этот товар давно присутствует на рынке и не теряет свою репутацию, а следовательно приносит высокий и стабильный доход фирмам-производителям.
Рост рынка
Р
|
Ввисокая
|
Восходящие звезды |
Вопросительные знаки |
| Характеристики: лидеры рынка, быстрый рост рынка, значительные прибыли, требует больших инвестиций |
Характеристики: быстрый рост, незначительные прибыли, значительные потребности, в финансовых ресурсах |
|
Стратегии: защита достигнутой доли рынка, реинвестирования доходов, в развитие, расширение товаров и услуг |
Стратегії: розширення частки ринку за рахунок інтенсивного маркетингу, підвищення конкурентоспроможності товару за рахунок поліпшення споживних властивостей |
ннизкая
|
Дойные коровы |
Собаки |
| Характеристики: значительная прибыль, получают значительно больше финансовых ресурсов, чем требуют, низкие темпы роста рынка |
Характеристики: рынок не развивается, отсутствуют перспективы развития нового бизнеса, отсутствие прибыли, низкая конкурентоспособность |
| Стратегии: сохранение рыночных преимуществ, инвестирования, в новые технологии и развитие, сохранение политики ценового лидера, использования свободных средств, для поддержки других факторов |
Стратегии: свертывание деловой активности, выход, из рынка, использование высвобожденных средств для поддержки других товаров фирмы |
| Високая |
Низкая |
| Относительная доля рынка |
Рис.2. Матрица Бостонской консультационной группы
Задача 4.
Фирма “Мечта” производит широкий ассортимент осветительных приборов. Проанализируйте экономическое пространство предприятия.
Решение
Семейное предприятие «Светильник» приняло решение производить осветительные приборы: люстры настольные лампы, лампочки, светильники и т. д. К этому решению руководство предприятия пришло путем тщательного изучения макроэкономической среды.
1) Характеристика рынка в зависимости от вида товара
| Рынок |
Вид товара |
Цель покупки |
Лицо, принимаю-щее решение о покупке |
место сделки |
| К-рыно
к |
Товары длительного пользования |
Удовлетворение потребностей, извлечение максимальной полезности, личные мотивы |
Индивидуум, семья, группа потребителей |
Магазин или рынок |
2) Виды рынка в зависимости от количества участников на рынке
Предложение (производитель)
 
|
Спрос (потребители)
|
Много |
Несколько |
Один |
| Много |
Полновесная конкуренция (полипольный рынок П-рынок) |
Олигопольный по спросу |
Монопольный по спросу |
| Несколько |
Олигопольный по предложению |
Двухсторонняя олигополия (О-рынок) |
Ограниченная монополия по спросу |
| Один |
Монополия по предложению |
Ограниченная монополия по предложению |
Двухсторонняя монополия (М-рынок) |
3. В зависимости от структуры обмена
| Признаки |
Насыщенный рынок |
| Товары промышленного спроса |
Товары потребления |
| Экономическая стадия развития общества. Отношение спрос/предложение |
Число предложений не ограничено. Производитель сам ищет покупателей, используя рекламу и другие средства стимулирования спроса. Предложение не на много превышает спрос |
Изобилие товаров данного вида. Производитель вынужден икать потребителя, при этом используется интенсивная реклама и другие средства стимулирования спроса. Предложение превышает спрос |
| “Узкие” места в управлении предприятием, выходящим на рынок |
Необходимо совершенствование сбытовой системы, разработка новой стратегии маркетинга |
Основная задача – создание развитой сбытовой системы |
| Направления деятельности, приоритеты |
Стимулирование спроса на свою продукцию и получение льгот на рынке в сравнении с конкурентами, путем совершенствования продук-ции, улучшение ее качества |
Формирование спроса на свою продукцию и получение определенных льгот на рынке в сравнении с конкурентами путем совершенствования качества продукции |
| Долговременные при-оритеты производства |
Нахождение рынков сбыта, новых возможностей сбыта |
Поиск новых рынков сбыта и новых возможностей реализации |
Определим положение предприятия «Светильник» в экономическом пространстве. Для этого рассмотрим классификацию рынка сбыта.
По типу товара:
1. рынок потребительских товаров К;
2. рынок средств производства Р;
3. рынок перепродаж G;
4. государственный рынок S;
5. финансовый рынок F.
По количеству конкурентов:
1. монопольный М;
2. олигопольный О;
3. полипольный (массовый) П.
По структуре процесса обмена:
1. глобальный насыщенный ГН;
2. сегментированный насыщенный СН;
3. глобальный дефицитный ГД;
4. сегментированный дефицитный СД.
Из этого следует, что формула рынка будет иметь следующий вид: К – П – СН
Спрос на осветительные приборы эластичен, т.е. чем ниже цена изделия, тем выше спрос и наоборот, чем выше цена изделия, тем ниже спрос. Также на спрос на кофеварки влияют наличие на рынке товаров-зконкурентов.
6 10
7
8 11
9
12
13
14
Условные обозначения:
1-
потребительские (К-рынок); 8 - глобальный (FH);
2- средства производства (Р-рынок); 9 - сегментированный (CH);
3-
перепродажи (G-рынок); 10 - дефицитный D-рынок;
4-
государственные (S-рынок); 11 - насыщенный H-рынок;
5-
финансовые (F-рынок); 12 - монопольный (М-рынок);
6-
сегментированный (CD-рынок); 13 - олигопольный (О-рынок);
7-
глобальный (FD); 14 - массовый (П-рынок).
Рисунок 3 – Схематическое представление экономического пространства
Задача 5.
Оценка доли рынка и лояльности потребителей к товарной марке фирмы
На данном сегменте рынка конкурируют три фирмы — А, В, С.
Фирма А
в последний день мая провела обследование мнения покупателей по товарам, которые продают все три фирмы А, В, С.
В результате опроса было определено, что престиж товарной марки товаров фирмы А
соответствует 40%, В—
40%, С— 20%. Проведенное в конце июля повторное обследование мнения потребителей дало соответственно следующие показатели: 42, 30, 28%. Такая динамика вызвала чувство удовлетворенна у руководителя маркетингового подразделения фирмы А.
Однако а данной ситуации фирме А
следует обратить внимание на рост престижа товаров фирмы С и учесть этот факт в своей деятельности. Т.е. следует определить, как
отразится на рыночной доле фирмы А
сохранение такой тенденции в будущем.
При анализе данной ситуации важно определить движение потребительских симпатий от фирмы к фирме. В результате проведенного исследования были получены следующие данные. На конец мая у фирмы А
было 400 покупателей, у фирмы В —
400, у фирмы С— 200. Фирма А
забрала у фирмы В
120 покупателей и у фирмы С— 20 покупателей. В то же время фирма А
отдала фирме В
80 своих покупателей и фирме С —
40. Фирма В
забрала у фирмы С
20 покупателей и отдала ей 80 своих покупателей.
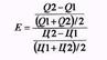
1. Рассчитайте показатели лояльности (приверженности) покупателей торговым маркам фирм А, В, С проценты оттока и притока их покупателей.
2. Рассчитайте доли рынка данных компаний А, В, С на конец июля, августа, сентября, предполагая сохранение показателей лояльности, оттока и притока покупателей в будущем и при условии раздела рынка между этими тремя фирмами. Проанализируйте складывающуюся тенденцию.


Престижность фирмы А с каждым месяцем возрастает и уже к концу сентября составляет 47%, фирмы В падает и составляет 0.08%, а фирмы С растет еще большими темпами, чем у фирмы А и составляет 52%.
Таким образом, фирма А осуществляет планомерное завоевание рынка сбыта, однако ей угрожает двусторонняя опасность: с одной стороны фирма С, ведущая агрессивную маркетинговую политику, активно атакуя ее. В будущем при сохранении тактики и стратегии такая политика и тенденция приведет к тому, что фирма А после устранения с рынка фирмы В тоже начнет сдавать позиции перед фирмой С (и в результате будет тоже устранена с рынка. С другой стороны, имея уже 47% рынка фирма А рискует столкнутся с антимонопольным законодательством, что еще более серьезно, чем свободная конкуренция на рынке, следовательно дальнейшее наращивание доли рынка нецелесообразно. Следовательно необходимо фирме а разработать и внедрить маркетинговую стратегию оборонительного характера относительно фирмы С, направленную на поддержание завоеванных позиций на рынке.
Задача 6
Проанализировать рынок сбыта телевизоров Донецкой области и провести конкурентный анализ.
решение
Предприятие «Радуга» производит телевизоры и будет работать на рынке товаров потребительского назначения, олигополистической конкуренции, сегментированном, насыщенном.
1 Анализ рынка
N
п/п
|
Характеристики рынка
|
Шкала оценок |
| неблагоприятная |
удовлетворительная |
благоприятная |
1 |
2 |
3 |
4 |
5 |
6 |
7 |
8 |
9 |
| 1 |
деловая активность |
| 2 |
уровень цен |
| 3 |
насыщенность |
| 4 |
качество продукции |
| 5 |
ассортимент |
| 6 |
конкуренция |
| 7 |
развитость коммуникаций |
| 8 |
уровень жизни населения |
9
|
развитость правового регулирования |
10
|
совпадение культурных традиций |
средняя оценка
оценка целесообразности выхода на рынок
|
нежелательно |
большой риск
6.4
|
возможен успех |
Средняя оценка = = 6,4, следовательно, находясь в зоне риска необходимо осторожно выходить на рынок и досконально разработать план и программу маркетинговой и производственной деятельности предприятия.
Анализ факторов неподконтрольных фирме
Nп/п
|
Характеристики рынка
|
Шкала оценок |
| неблагоприятная |
удовлетворительная
|
благоприятная
|
| 1 |
2 |
3 |
4 |
5 |
6 |
7 |
8 |
9 |
1
|
Экономическое положение |
 |
2
|
Политическая стабильность |
3
|
Уровень сознания населения |
| 4 |
Состояние НТП |
| 5 |
Демографическая ситуация |
Средняя оценка
Оценка целесообразности выхода на рынок
|
Нежелательно |
Большой риск |
Возможен успех |
Средняя оценка = = 3,4
Так как, средняя оценка 3,4 находится в неблагоприятной зоне, то развитие бизнеса МП "Радуга" будет затруднительно и руководителям нужно будет прилагать большие усилия для развития предприятия.
Вывод: На работу предприятия влияют как внешние, так и внутренние факторы.
К основным факторам, влияющим на работу предприятия можно отнести:
- Законодательная деятельность в области охраны труда, окружающей среды, что приводит к росту расходов на эти цели и, следовательно, отвлекаются средства от инвестиций в основной капитал, необходимые для повышения производительности труда: Экономия ресурсов; Хозяйственные преступления; Забастовки и трудовые конфликты; Инфляция, которая оказывает сдерживающее влияние на динамику инвестиций; Недобросовестное отношение к труду; Милитаризация экономики; Экономические кризисы; Неэффективность хозяйственного механизма, т. е., механизма управления и регулирования экономики и т.д.
Внешние факторы, оказывающие влияние на деятельность предприятия: воздействие поставщиков и технологий; воздействие социальных и культурных факторов; воздействие законодательных и политических факторов; воздействие экономики и конкуренции; К внешним факторам также относят налоговое бремя, которое государство возлагает на предпринимателей. Если налогообложение сократится, фирма сможет увеличить свой товарооборот и, вкладывая больше денежных средств в производство, увеличить получаемую прибыль.
Также при введении государством каких-либо мероприятий по поддержке малого бизнеса, фирма получит новые возможности.
Анализ конкурентов
Основными конкурентами МП "Радуга" являются МП «Самсунг» и МП «Райнфорд». Заполним их учетные карточки.
Карточка 1
1. Наименование предприятия - МП "Самсунг"
2. Юридический адрес г. Киев, ул. Владимирская 26
3. Количество сотрудников: 200 человек
4. Форма собственности: малое предприятие
5. Доля на рынке: 1/5 часть
6. Развитие дел у соперника: расширяются
7. Основные цели предприятия: производить телевизоры различной мощности
8. Виды рынка: центральные части Украины
9. Сильные и слабые стороны соперника: сильная сторона – дизайн и компактность изделия, слабая сторона – высокая цена
10. Система реализации: оптовая и розничная торговля
Карточка 2
1. Наименование предприятия: "Райнфорд"
2. Юридический адрес: г. Донецк, ул. Ленина 6
3. Количество сотрудников: 250 человек
4. Форма собственности: малое предприятие
5. Оборот капитала: 50 тысяч гривен в месяц
6. Развитие дел у соперника: расширяются
7. Основные цели предприятия: увеличить выпуск продукции
8. Ассортимент выпускаемой продукции: телевизоры мощностью 1,5 кВт/сутки, Радугаагреватели мощностью 2 кВт/сутки
9. Сильные и слабые стороны соперника: сильная сторона -экономичность изделия, слабая сторона –высокая цена
Система реализации: оптовая и розничная торговля
Таблица 1 Описание конкурентов

МП «Самсунг»
МП «Радуга»
МП «Райнфорд»

Рассматривая таблицу 2 можно сделать выводы оценок работы конкурентов относительно МП "Радуга".
1. предлагаемый ассортимент продукции находится в зоне [-1; -4] – показывает, что МП "Радуга" превосходит конкурентов.
2. адаптивность предприятия к различным каналам сбыта находится в зоне [-1;-2] - МП "Радуга" превосходит конкурентов.
3. уровень современности оборудования находится в зоне [-2; +2] МП "Радуга" примерно равен конкуренции.
4. возможность расширения производства находится в зоне [-2; -3] - МП "Радуга" превосходит конкурентов.
5. соответствие объема производства и сбыта находится в зоне [-1; -1] - МП "Радуга" превосходит конкурентов.
6. готовность руководства к риску находится в зоне [-1; -2] - МП "Радуга" превосходит конкурентов.
7. потенциал патентов и лицензий находится в зоне [-2; -3] - МП "Радуга" превосходит конкурентов.
8. надежность обеспечения сырьем находится в зоне [-2; -4] - МП "Радуга" превосходит конкурентов.
9. финансовые возможности фирмы находится в зоне [1; 1] - МП "Радуга" превосходит конкурентов.
10. структура затрат на производство находится в зоне [0] - МП "Радуга" превосходит конкурентов.
11. качество управления фирмы находится в зоне [-3; -4] - МП "Радуга" превосходит конкурентов.
12. имидж фирмы на рынке труда, сырья находится в зоне [-1; -2] - МП "Радуга" превосходит конкурентов.
13. стиль руководства на фирме находится в зоне [-3; -5] - МП "Радуга" превосходит конкурентов.
14. эффективность социально-экономической политики на предприятии находится в зоне [-2; -4] - МП "Радуга" превосходит конкурентов.
15. возможности самовыражения работников находится в зоне [1; -1] - МП "Радуга" превосходит конкурентов.
Проанализировав данные можно сделать вывод, что МП "Райнфорд" является более сильным конкурентом по сравнению с МП "Радуга", а МП "Самсунг" более слабым конкурентом.
Задача 7
Рассчитать основне рыночныепоказатели для рынка кондитерских изделий на основании следующих данных:
Таблица Выходные данные для расчета рыночных показателей для рынка
№ з/п |
Название фирмы-производителя |
Объем производства для внутреннего потребления за отчетный период (тыс. тонн) |
Объем производства для экспорта за отчетный период (тыс. тонн) |
Объем реализации продукции за отчетный период на внутреннем рынке (тыс. тонн) |
Дефицит товара
(тыс. тонн)
|
Остатки продукции из прошлого периода
(тыс. тонн)
|
| 1 |
Фирма А |
100 |
10 |
70 |
- |
5 |
| 2 |
Фирма Бы |
250 |
30 |
200 |
- |
10 |
| 3 |
Фирма В |
175 |
25 |
150 |
- |
- |
| 4 |
Фирма Г |
300 |
10 |
235 |
- |
15 |
| 5 |
Фирма Д |
120 |
- |
90 |
- |
5 |
| 6 |
Другие производители |
55 |
5 |
30 |
- |
20 |
| 7 |
Импорт |
150 |
- |
90 |
- |
15 |
| 8 |
Потребность потребителей в шоколаде с низким уровнем калорийности |
- |
- |
- |
75 |
- |
решение.

где: В
– внутренний объем производства и потребления продукции за отчетный период;
И
– объем продукции, которая импортируется;
Е
– объем продукции, которая отправляется на экспорт;
С
– остатки продукции из прошлого периода;
Д
– дефицит продукции в прошлом периоде.

де VA
– обсяг виробленої та спожитої продукції конкретної фірми-виробника.
Таким образом, согласно данным табл., емкость рынка шоколада N-ної области составляет 940 тыс. тонн продукции, а именно:

В свою очередь, доли рынка фирм, которые функционируют на анализируемом рынке сбыта шоколада, составляют: в фирмы А – 7,45 %, в фирмы Бы – 21,28 %, в фирмы В – 15,96 %, в фирмы Г – 25 %, у фирмы Д – 9,57 %, а у других производителей – 3,19 %, а именно:







И наконец, ниша рынка, или рыночное окно, составляет 7,98 %, а именно:

Задача 8
Разработать анкету для производителей спортивной одежды.
решение
Уважаемый покупатель!
Администрация фирмы Х обращается к Вам с просьбой заполнить предлагаемую анкету, на основании которой мы сможем лучше узнать Ваши привычки, потребности и требования и учесть их в нашей системе обслуживания, повысив тем самым качество удовлетворения Ваших потребностей.
| Данные о респонденте |
Пол: муж.__________
жен._________
.
|
| Возраст (обведите) |
15—24 |
| 25—34 |
| 35—44 |
| 45 и более |
| Укажите Ваш общий семейный доход (в долларах США) |
До 25
25-50
|
| 50—100 |
| 100—300 |
| 300—1000 |
| Свыше 1000 |
| 1. Вам нравится носить футболки? |
Да
Нет
Безразлично
|
| 2. Чем Вы объясняете свое отношение к футболкам? |
| 3. Что Вам нравится в данной футболке? |
Фасон
Качество
Что-то другое (пожалуйста, укажите)
|
| 4. Что Вам не нравится в данной футболке? |
Фасон
Качество
Что-то другое (пожалуйста, укажите)
|
| 5. Как Вы оцениваете качество данной футболки? |
Отличное
Хорошее
Среднее
Плохое
|
| 6. Если Вы решили купить данную футболку, то какая цена Вас устроит? |
Укажите цифру в рублях________ |
| 7. Если Вы купите футболку, то с какими целями? |
Для себя:
для повседневной носки
для отдыха
для занятий спортом
Для других в качестве подарка
|
| Чтобы вы хотели изменить в нашей продукции? |
Задача 9
Просегментируйте рынок детских игрушек.
решение
Для сегментации рынка детских игрушек будут использованы такие сегменты:
1) за статью:
- для девочек;
- для мальчиков;
2)по возрасту:
- до 1 года;
- от 1 года до 3 годов;
- от 3 годов до 7 годов.
3)по уровню доходов:
- высокий;
- средний;
- низкий.
4)по видам:
- мягкие;
- познавательные;
- учебно-познавательные;
- развлекательные.
Для сегментации данного рынка наилучшим образом подойдет метод классификаций, потому что в перечне принципов сегментации имеет место поведенческий принцип (в зависимости от назначения). Непосредственно сегментация рынка игрушек приведена на рис.
| РЫНОК ИГРУШЕК |
| Мягкие |
Познавательные |
| Для девочек |
Для мальчиков |
Для девочек |
Для мальчиков |
| 1 год |
1 - 3 |
3 - 7 |
1 рік |
1 – 3 |
3 – 7 |
1 год |
1 – 3 |
3 – 7 |
1 год |
1 – 3 |
3 – 7 |
| высокие |
высокие |
высокие |
высокие |
высокие |
высокие |
высокие |
высокие |
высокие |
высокие |
высокие |
высокие |
| средние |
средние |
средние |
средние |
средние |
средние |
средние |
средние |
средние |
средние |
средние |
средние |
| низкие |
низкие |
низкие |
низкие |
низкие |
низкие |
низкие |
низкие |
низкие |
низкие |
низкие |
низкие |
| Учебно-позновательные |
Развлекательные |
| Для девочек |
Для мальчиков |
Для девочек |
Для мальчиков |
| 1 год |
1 – 3 |
3 – 7 |
1 год |
1 – 3 |
3 – 7 |
1 год |
1 – 3 |
3 – 7 |
1 год |
1 – 3 |
3 – 7 |
| высокие |
высокие |
высокие |
высокие |
высокие |
высокие |
высокие |
высокие |
высокие |
высокие |
высокие |
высокие |
| средние |
средние |
средние |
средние |
средние |
средние |
средние |
средние |
средние |
средние |
средние |
средние |
| низкие |
низкие |
низкие |
низкие |
низкие |
низкие |
низкие |
низкие |
низкие |
низкие |
низкие |
низкие |
Рис. Пример схемы сегментации рынка детских игрушек
В приведенной схеме цветами выделены целевые сегменты нашего предприятия, при этом мы выбираем метод охвата сегментов слабосвязанных между собой, но которые открывают привлекательные возможности в плане получения прибыли. Охватывать потребителей с высокими доходами не будем рисковать, потому что нет еще необходимой репутации и престижности марки, но в будущем мы прогнозируем охватывать и этот сегмент и в этом случае будем использовать метод охвата рынка – ориентацию на потребительскую потребность.
При позиционировании детские игрушки относятся к товарам группы «дойные коровы»,
потому что этот товар давно присутствует на рынке и не теряет свою репутацию, а следовательно приносит высокий и стабильный доход фирмам-производителям.
Матрица Бостонской консультационной группы
Рост рынка
Р
|
Ввисокая
|
Восходящие звезды |
Вопросительные знаки |
| Характеристики: лидеры рынка, быстрый рост рынка, значительные прибыли, требует больших инвестиций |
Характеристики: быстрый рост, незначительные прибыли, значительные потребности, в финансовых ресурсах |
| Стратегии: защита достигнутой доли рынка, реинвестирования доходов, в развитие, расширение товаров и услуг |
Стратегії: розширення частки ринку за рахунок інтенсивного маркетингу, підвищення конкурентоспроможності товару за рахунок поліпшення споживних властивостей |
ннизкая
|
Дойные коровы |
Собаки |
| Характеристики: значительная прибыль, получают значительно больше финансовых ресурсов, чем требуют, низкие темпы роста рынка |
Характеристики: рынок не развивается, отсутствуют перспективы развития нового бизнеса, отсутствие прибыли, низкая конкурентоспособность |
| Стратегии: сохранение рыночных преимуществ, инвестирования, в новые технологии и развитие, сохранение политики ценового лидера, использования свободных средств, для поддержки других факторов |
Стратегии: свертывание деловой активности, выход, из рынка, использование высвобожденных средств для поддержки других товаров фирмы |
| Високая |
Низкая |
| Относительная доля рынка |
Модуль 2
ЗАДАЧА 1
Фирма “Техносервіс” создана в Украине в 1990 г. как общество с ограниченной ответственностью. Специализируется на торговельно-посередницької деятельности в области бытовой электрической техники, предметов домашнего обіходу и игрушек. Она установила зв(язки с иностранными контрагентами из Канады ( фирма “Interspan Inc...”) и Болгарии ( фирма “Информационные носители”). Партнеры проявили заинтересованность в таких видах товаров, яки предлагает фирма “Техносервіс”.
Електрорадіатор масляный “Луч”. Технические характеристики: номинальное напряжение - 220 В; максимальная мощность - 0,75 квт; время нагрева к температуре 94,5(С - 90 хвилин. соответственно техническим требованиям ДЕСТ 146795-84. Цена - 30 долл. США.
Велосипеды марки ТАІР1113-12 и марки АЛЬТАІР1117-11, соответствующие требованиям ДЕСТ 125684-83. велосипеды сложные; диаметр колес 490 мм; высота рамы 1300 мм; цена 45 долл. США.
Ассортименты г(каких игрушек, качество которых отвечает требованиям ОСТ5628-67 и ТУ515-21. Цена 1,20-2,30 долл. США за штуку.
Фирма “Информационные носители” предложила более низкие цены на все виды продукции: електрорадіатори - 20 долл. США; велосипеды - 30 долл. США; игрушки - 1,5-2,0 долл. США за штуку.
В ходе исследования вопроса в сертификации, которая стала обов(язковою условием в работе с канадской фирмой, оказалось, что осуществление ее в канадских испытательных центрах займет три-четыре месяца и обойдется 10 тыс. долл. США.
Рассчитать и прийти до одного решения.
РЕШЕНИЕ
Для того что бы прийти к решению, какого контрагента выбрать фирме «Техносервис» необходимо произвести следующие расчеты. Рассчитаем, какую прибыль получит фирма «Техносервис» работая с болгарской фирмой:
30*100000+45*100000+45*100000+2,3*100000=12 230 000(дол)
Рассчитаем, какую прибыль получит фирма «Техносервис» работая с канадской фирмой: 20*100000+30*100000+30*100000+2*100000=6200 000(дол)
Однако работая, с канадской фирмой, фирме «Техносервис» необходимо произвести сертификацию продукции, на которую придется затратить 10 000дол. И время (около 3-4-х месяцев).
Следовательно, произведя соответствующие выводы о том, что фирма «Техносервис» должна заключить контракт с болгарской фирмой, а тем временем заниматься сертификацией для того чтобы работать не только с канадской фирмой, но и выйти на мировой рынок. Как известно, мировой рынок требует только сертифицируемую продукцию, следовательно, ее необходимо произвести. А выход на мировой рынок и расширение сегментов рынка сбыта – это главная цель любого предприятия.
Задача 2
На основе представленных данных рассчитайте предельную, безубыточную и целевую цену, а также определите результаты деятельности предприятия при каждом варианте цены и сделайте выводы, обосновав результаты расчетов. Инвестированный капитал предприятия составляет 240000 грн., ожидаемая рентабельность – 10%, переменные издержки на одну штуку - 1050 грн., постоянные – 90000грн., пессимистический прогноз продаж – 90000 шт., оптимистический прогноз продаж – 150000 шт.
РЕШЕНИЕ
1.
Предельная цена составляет размер переменных затрат, а именно 1050 грн..
Результат деятельности – потери в размере суммы условно-постоянных затрат, т.е. 90000д.е.
2.
Цена безубыточности = [переменные издержки]+[постоянные издержки]
2.1.
при пессимистическом прогнозе:
(90000д.е./90000шт.)+1050д.е.=1051д.е.
2.2.
при оптимистическом прогнозе:
(90000д.е./150000шт.)+1050д.е.=1050,6д.е.
Результат деятельности предприятия=0
3. Цена целевая
= [переменные издержки]+[постоянные издержки]+[целевая прибыль]
3.1.
при пессимистическом прогнозе:
(90000д.е./90000шт.)+1050д.е.+240000ּ10%/90000шт.=1051,27д.е.
3.2.
при оптимистическом прогнозе:
(90000д.е./150000шт.)+1050д.е. 240000ּ10%/150000шт =1050,76д.е.
Результат деятельности предприятия:
при пессимистическом прогнозе: прибыль в размере 0,27д.е. ּ90000шт.=24300д.е.
при оптимистическом прогнозе: прибыль в размере 0,16д.е. ּ150000шт.=24000д.е.
Задача 3
Опишите процедуру и обоснуйте выбор вида рыночных испытаний для следующих товаров:
1)шампунь для волос;
2)грузоподъемный кран;
3)чемодан.
РЕШЕНИЕ
1. Торговая война, т.к. этот товар можно поместить в дом потребителя без его согласия без особых проблем, например, при помощи почтовой рассылки. Пробники шампуней вместе с анкетами и конвертами для целевой рассылки на фирму-изготовитель будут разосланы по программе «в каждую дверь и каждому потребителю предоставится возможность попробовать товар самостоятельно и бесплатно, на основании чего они смогут сформировать собственное мнение о товаре и высказать его, заполнив анкеты. А также аналогичный набор будет помещен в один из «женских журналов2.
2. Лабораторные испытания, т.к. это товар промышленного назначения, для которых рыночные испытания проводить нецелесообразно по причине длительного срока эксплуатации (длительность рыночных испытаний составляет промежуток времени от первичной закупки товара до вторичной) и высокой стоимости. Производители товаров производственно-технического назначения считают испытательный маркетинг нецелесообразным, т.к. слишком дорого опробовать на рынке испытания сложного оборудования, изготовленного с помощью высокоразвитых технологий. Кроме того, ограниченное число потребителей этого вида продукции позволяет производителю непосредственно контактировать с потребителем по вопросу относительно качества нового товара.
3. Рыночные испытания на месте продажи. Модель испытывается в магазине, когда потребителям предлагается возможность рассмотрения товара в соответствующих эксплуатационных условиях и затем следят за повторными покупками.
Задача 4
Разработайте текст письма для «direct-mail» («прямая почтовая рассылка»), если ваша фирма разработала новую модель экскаватора.
РЕШЕНИЕ
Уважаемый господин Петров ! Ваша фирма известна на рынке как …, поэтому Вам лучше, чем кому бы то ни было известны трудности, возникающие при … .
Вам также хорошо известно, что многочисленные попытки преодолеть эти трудности еще не приводили к успеху. В машине нам удалось исключить указанный недостаток и добиться … (перечисления) …, кроме того получены дополнительные преимущества перед известными… .
Мы готовы предоставить в Ваше распоряжение более полную информацию.
Генеральный директор.
Задача 5
Определить уровень цены методом эмпирической, если: Ц=Км*
Нх
*
Gy
| Тип товара |
Цена |
Х1 |
Х2 |
| 1 |
1 |
1 |
0,25 |
3 |
| 2 |
2 |
1,3 |
0,25 |
4 |
| 3 |
3 |
1,5 |
0,25 |
5 |
| 4 |
4 |
2,0 |
0,5 |
3 |
| 5 |
5 |
2,2 |
0,5 |
4 |
| 6 |
6 |
? |
0,25 |
5 |
РЕШЕНИЕ
где Кmi - коэффициент пропорциональности, определяющий влияние качества исполнения проекта на цену товара;
Км
- среднее значение Кmi по выборке рассматриваемой базы данных; m - объем выборки. В свою очередь коэффициент Кmi определяем по формуле:
После определения оптимального (минимального) значения Кmi расчет цены нашего изделия проведем по формуле:
В эту формулу подставим оптимальные значения Км, Y1 Y2 (при которых Квар -min.
Таблица - Расчет коэффициента вариации
| № п/п |
Цена,грн |
XI, кг |
Х2, балл |
Y,-Y2
=1 |
Y1
=l Y2
=l,3 |
y1
=1; Y3
=0,7 |
Yi=l; Y1=0,4 |
Y1
=l Y2
=0,l
|
Yi=0,7 ; Y2
=0,4 |
| 1 |
1 |
0,25 |
3 |
1,6 |
1,2 |
2,2 |
З |
4,3 |
2,0 |
| 2 |
1,3 |
0,25 |
4 |
1,3 |
0,9 |
2,0 |
3,0 |
4,5 |
2,0 |
| 3 |
1,5 |
0,25 |
5 |
1,2 |
0,7 |
1,9 |
3,2 |
5,1 |
2 |
| 4 |
2,0 |
0,5 |
3 |
1,3 |
1,0 |
1,9 |
2,6 |
3,6 |
2,1 |
| 5 |
2,2 |
0,5 |
4 |
1 |
0,7 |
1,7 |
2,5 |
3,8 |
2,1 |
| Км |
1,3 |
0,9 |
1,9 |
2,9 |
4,3 |
2,0 |
| Квар |
0,144 |
0,198 |
0,105 |
0,103 |
0,140 |
0,023 |
Формула для расчета цены будет иметь вид: Определим оптимальную цену для нашей продукции:
ЗАДАЧА 6
Установить цену на основании изучения безубыточности предприятия.
РЕШЕНИЕ
При использовании такого метода необходимо определить точку самоокупаемости предприятия и проанализировать уровень порогового количества товара (определяется графическим и теоретическим методом).

Задача 7
Используйте процесс принятия решения о закупке товаров промышленного назначения
РЕШЕНИЕ
покупатель преодолевает большее число этапов8
.
1. Осознание проблемы
2. Обобщенное описание нужды
3. Оценка характеристик товара
4. Поиски поставщиков
5. Запрашивание предложений
6. Выбор поставщика
7. Разработка процедуры выдачи заказа
8. Оценка работы поставщика
ОСОЗНАНИЕ ПРОБЛЕМЫ. Процесс закупки начинается с моментa осознания кем-то из работников фирмы проблемы или нужды, удовлетворить которую можно с помощью приобретения на стороне товара или услуги. Осознание проблемы может быть следствием влияния как внешних, так и внутренних стимулов. Внутри фирмы к осознанию проблемы чаще всего подводят следующие события: Фирма решает начать выпуск нового товара и нуждается в новом оборудовании и материалах для его производства. Происходит поломка машины, и требуется ее замена или приобретение новых узлов и деталей.
Некоторые из закупленных материалов оказались неудовлетворительными по качеству, и фирма ищет другого поставщика. Агент по закупкам чувствует, что существует возможность добиться более благоприятных цен или получения товара более высокого качества.
Внешними стимулами могут стать какие-то новые мысли агента по закупкам от посещения им специализированной выставки, встречи с какой-то рекламой или коммивояжером, который предложит товар лучшего качества или по более низкой цене.
 ОБОБЩЕННОЕ ОПИСАНИЕ НУЖДЫ. Осознав нужду, агент по закупкам приступает к определению общих характеристик необходимого товара и его потребного количества. В отношении обычных стандартных товаров никаких серьезных затруднений не существует. Что же касается сложных товаров, то для определения их общих характеристик снабженец должен поработать совместно с другими членами закупочного центра ¾ инженерами, непосредственными пользователями и т.п. Им нужно будет провести ранжирование значимости показателей надежности, долговечности, стоимости и прочих желательных свойств искомого товара.
На этом этапе продавец товаров промышленного назначения может оказать фирме-покупателю большое содействие. Ведь зачастую агент по закупкам не осведомлен о ценностной значимости различных характеристик товара, и предусмотрительный продавец в состоянии помочь снабженцу точнее определить нужды своей фирмы.
ОЦЕНКА ХАРАКТЕРИСТИК ТОВАРА. На следующем этапе организация-покупатель приступает к составлению свода необходимых технических характеристик товара. Над этой проблемой будет работать инженерная бригада специалистов по функционально-стоимостному анализу. Функционально-стоимостной анализ,
впервые примененный в конце 40-х годов корпорацией «Дженерал электрик», ¾ это подход к снижению издержек производства, предполагающий тщательное изучение комплектующих деталей с целью определения возможностей их конструктивной переделки, стандартизации или изготовления с использованием более дешевых технологических приемов. Бригада займется тщательным изучением наиболее дорогих компонентов товара. Кроме того, она выявит детали и узлы с излишним запасом, т.е. со сроком службы, превышающим срок службы товара в целом. Определив оптимальные характеристики товара, специалисты составят соответствующие технические требования на него. В ходе проведения функционально-стоимостного анализа обычно изучают следующие основные вопросы9
:
1. Привносит ли использование товара какую-то дополнительную ценность?
2. Сопоставима ли стоимость товара с его полезностью?
3. Необходимо ли присутствие в товаре всех свойств, которыми он обладает?
4. Существует ли товар, более полно отвечающий требованиям предполагаемого использования?
5. Можно ли изготовить искомую деталь с меньшими издержками?
6. Можно ли подобрать для использования уже существующий стандартный товар?
7. Соответствует ли своему назначению технологическая оснастка производства с точки зрения объемов потребности в товаре?
8. Входят ли в его себестоимость издержки на материалы, рабочую силу, накладные расходы и отчисления на прибыль?
9. Можно ли получить товар по более дешевой цене у другого падежного поставщика?
10. Покупает ли кто-нибудь искомый товар дешевле?
Продавцы также могут использовать функционально-стоимостной анализ в качестве орудия сбыта. Продемонстрировав более рациональный способ изготовления товара, посторонний продавец может превратить ситуацию повторной закупки без изменений в ситуацию закупки для решения новых задач, в результате чего у его компании может появиться шанс закрепления деловых связей.
ПОИСКИ ПОСТАВЩИКОВ. После этого агент по закупкам пытается выявить наиболее подходящих поставщиков. Для этого он может заняться изучением торговых справочников, организовать поиск информации с помощью ЭВМ или запросить по телефону рекомендации от других фирм. Ряд поставщиков будут исключены из числа возможных кандидатов, поскольку их мощности не соответствуют количественной потребности в товаре или у них плохая репутация в смысле обеспечения поставок и обслуживания. В конце концов у агента по закупкам останется небольшой список квалифицированных поставщиков. Чем новее задача, стоящая перед закупкой, и чем сложнее и дороже товар, тем больше времени занимает поиск квалифицированных поставщиков.
ЗАПРАШИВАНИЕ ПРЕДЛОЖЕНИЙ. Теперь торговый агент начнет запрашивать предложения от квалифицированных поставщиков. Некоторые из них просто пришлют в ответ свой каталог или коммивояжера. Если товар сложный и дорогой, снабженцу потребуются подробные письменные предложения от каждого потенциального поставщика. Остальных поставщиков агент по закупкам будет оценивать после проведения ими официальных презентаций.
ВЫБОР ПОСТАВЩИКА. На этом этапе члены закупочного центра изучают предложения и переходят к выбору поставщика. Они оценивают не только техническую компетентность различных кандидатов, но и их способность обеспечить своевременную поставку товара и предоставление необходимых услуг. Нередко члены закупочного центра составляют перечень желательных характеристик поставщика с ранжированием их по степени относительной значимости. Так, например, при выборе поставщика химикатов один из закупочных центров составил следующую иерархию характеристик и порядке уменьшения их значимости.
1. Наличие службы технической помощи
2. Оперативность поставок
3. Быстрота реакции на нужды клиентов
4. Качество товара
5. Репутация поставщика
6. Цена товара
7. Полнота товарного ассортимента
8. Уровень квалификации коммивояжеров
9. Возможности предоставления кредита
10. Личные отношения
11. Наличие товарной литературы, руководств и справочников
Перед тем как сделать окончательный выбор, агент по закупкам может попытаться провести переговоры с предпочтительными поставщиками в расчете на получение более благоприятных цен и условий поставок. В конце концов будет выбран какой-то один поставщик или несколько. Многие агенты по закупкам предпочитают иметь ряд источников снабжения. В этом случае у них есть возможность не зависеть целиком и полностью от одного поставщика при каких-то неувязках, а также возможность сравнивать цены и эффективность работы разных поставщиков.
РАЗРАБОТКА ПРОЦЕДУРЫ ВЫДАЧИ ЗАКАЗА. Покончив с выбором, агент по закупкам приступает к составлению окончательного заказа на закупку от избранного поставщика или поставщиков. В окончательном заказе он указывает технические характеристики товара, его потребное количество, расчетное время поставки, условия возврата, гарантии и т. п. В отношении изделий, необходимых для технического обслуживания, ремонта и эксплуатации оборудования, агенты по закупкам все больше отходят от практики периодических заказов на поставку и склоняются к заключению всеобъемлющих контрактов. Ведь оформление нового заказа на поставку при истощении запасов товара обходится недешево. Не заинтересован агент по закупкам и в оформлении меньшего числа, но более крупных по объему заказов, ибо это означает необходимость поддержания значительных товарно-материальных запасов. В рамках же всеобъемлющего контракта устанавливается долговременное сотрудничество, при котором поставщик обязуется осуществлять повторные поставки по мере необходимости и по согласованным ценам в течение всего оговоренного периода времени. В данном случае запас товара находится у продавца, и подобная практика получила название «плана закупок без накопления запасов». При возникновении необходимости в товаре компьютер фирмы выдает напрямую или телексом соответствующий заказ продавцу. Практика заключения всеобъемлющих контрактов ведет к тому, что закупки все больше производятся из одного источника, причем объем закупаемых у этого источника товаров растет. Поставщик оказывается связанным с фирмой-покупателем более тесными узами, и другим поставщикам трудно нарушить эти связи, за исключением случаев, когда покупателя перестают удовлетворять цены или сервис поставщика10
.
ОЦЕНКА РАБОТЫ ПОСТАВЩИКА. На этом этапе агент по закупкам дает оценку работе конкретного поставщика или поставщиков. Для этого он может связаться с пользователями и попросить их оценить степень своей удовлетворенности. По результатам проведенной оценки агент по закупкам может продолжить сотрудничество с поставщиком, внести в это сотрудничество коррективы или отказаться от его услуг. Задача поставщика ¾ постоянно следить за тем, чтобы покупатель получал удовлетворение, на которое рассчитывал.
Задача 8.
Определить уровень пороговой рентабельности , если доход от реализации товара по цене 20 грн равняется 4000 грн., постоянные затраты 800 грн., совокупная прибыль от реализации 300 грн..
РЕШЕНИЕ
график определения точки критического объема.
Фирме необходимо получить выручку в размере 2909 грн. для того чтобы окупить все капиталовложения в производственно-сбытовую деятельность предприятия относительно данного продукта и только вложенная в производство 2910-я гривна принесет предприятию первую прибыль, которая при прочих равных условиях и успешной маркетинговой стратегии в дальнейшем будет пропорционально расти. До настоящего момента вся получаемая прибыль, если она будет направляется на погашение основных капиталовложений.
Задача 9.
Если для товара А эластичность спроса по ценам равна 5, а для товара Б равна 2, какой из них меньше пострадает в случае повышения цен. Обоснуйте.
РЕШЕНИЕ
Пострадает меньше товар, у которого меньше эластичность спроса, т.к. у этого товара меньше чувствительность к изменению цены (показатель эластичности спроса характеризует степень влияния изменения цены на поведение спроса).
Эс
= : , где Q1
-велечина спроса при старых ценах
Q2
-велечина спроса при новых ценах
Р1
- старая цена
Р2
- новая цена
Таким образом, пострадает меньше товар Б с эластичностью спроса = 2.
Задача 10.
Определить эластичность спроса хлеба, шоколада, проездного билета, если:
| Товар |
Предыдущий период |
Текущий период |
| спрос,грн |
цена, грн |
цена, грн |
спрос,грн |
| Хлеб |
2 000 |
1,00 |
1,50 |
1800 |
| Шоколад |
1 000 |
1,50 |
2,00 |
750 |
| Проездной билет |
5 000 |
0,30 |
0,50 |
3000 |
Проанализировать ситуацию аналитически, сделать вывод.
РЕШЕНИЕ
1.
Эс
= : , где Q1
-велечина спроса при старых ценах
Q2
-велечина спроса при новых ценах
Р1
- старая цена
Р2
- новая цена
Эхлеба
= : =0,263;
Э шоколада
= : =1;
Э билета
= : =1;
Спрос на хлеб не эластичен, так как эластичность хлеба <1. Это значит, что ценовое изменение незначительно или совершенно не влияет на объем спроса. В этой ситуации выгодно назначать высокие цены, так как при этом увеличится общий доход.
Спрос на шоколад и проездной билет в нашем случае считается единичным или унитарным, так как эластичность спроса = 1. При этом изменение в цене компенсируются изменением в размере спроса, что делает доход или выручку предприятия неизменными.
Задача 11.
Определить пороговую рентабельность всеми возможными способами, если выручка от реализации 1 тысячи изделий составляет 3 тыс.грн., постоянные расходы – 800 грн., переменные 2000 грн., сделать выводы.
Решение
график определения точки критического объема.


Задача 12
Определить уровень конкурентоспособности холодильника «Фриз» по сравнению с «Минск», учитывая следующие параметры
| Параметры |
Марка холодильная |
Коэффициент значимости |
| Фриз |
Минск |
| Надежность |
120 |
120 |
38 |
| Температура |
-12 |
-12 |
22 |
| Дизайн |
3 |
4 |
30 |
| Материлаемкость, кг |
55 |
65 |
10 |
Решение
Анализируемый товар можно считать неконкурентоспособным, так как конкурентоспособность не превышает 100%, то есть он не превосходит по качеству и техническому уровню товар конкурента , а наоборот уступает на 17.5%
Задача 13
При реализации велосипедов по цене 59 грн. за штуку спрос на них у фирмы составил 2000 шт. в год . По какой цене необходимо продавать товар , чтобы увеличить спрос до 3000 грн., при условии, что себестоимость одного велосипеда составляет 32 грн. Проанализировать эффективность маркетинговой ситуации , сделать вывод.
Решение

где Q1 - величина спроса при старых ценах;
Q2 - величина спроса при новых ценах;
Ц1 - новая цена;
Ц2 - старая цена.
Цену можно назначать от 38 грн.
Задача 14
Определить долю рынка фирмы «Сириус» если, его престижность составляет 35% , а престижность конкурентов 75% , а соотношение спроса и предложения 84% .
| Параметры |
Марка холодильная |
Коэффициент значимости |
| Сириус |
Минск |
| Объем |
250 |
275 |
35 |
| Температура |
-20 |
-13 |
18 |
| Надежность |
120 |
125 |
25 |
| Сохранность продуктов |
10 |
7 |
22
|
Решение
Анализируемый товар можно считать конкурентоспособным, так как конкурентоспособность превышает 100%, то есть он превосходит по качеству и техническому уровню товар конкурента на 15%.
Доля фирмы «Сириус» составляет 44%
Задача 15
Определить уровень конкурентоспособности холодильника «Фриз» по сравнению с «Минск», учитывая следующие параметры
| Параметры |
Марка холодильная |
Экспертные оценки |
| Сириус |
Минск |
1 |
2 |
3 |
| Объем |
250 |
265 |
5 |
7 |
8 |
| Температура |
-12 |
-18 |
10 |
9 |
10 |
| Дизайн |
1 |
5 |
4 |
6 |
7 |
| Сохранность продуктов |
5 |
10 |
9 |
10 |
9 |
Решение
| f1
|
f2
|
f3
|
F=m |
a |
| 0,18 |
0,22 |
0,24 |
0,24 |
0,21 |
| 0,35 |
0,28 |
0,29 |
0,29 |
0,31 |
| 0,14 |
0,19 |
0,21 |
0,21 |
0,18 |
| 0,33 |
0,31 |
0,26 |
0,26 |
0,3 |
| 1
|
1
|
1
|
3
|
1
|
по техническим параметрам q
1тп=
q
1тп=
= =
94,34%
q
2тп=
12/18*100%=66,67%;
q
3тп=
4/5*100%=80%
q
4тп=-
5/10*100%=50%

I
<100%=
товар полностью не удовлетворяет потребность покупателя. Необходимо направлять все усилия на повышение технического уровня изделия, на повышение уровня надежности данного вида товара. Это товар будет иметь успех на рынке только до тех пор, пока не появится новый товар, устраняющий все недостатки предыдущего. Во избежании провала на рынке необходимо увеличить уровень тех технических параметров, которые не соответствуют требованиям потребителей.
Задача 16
Определить уровень конкурентоспособности холодильника «Фриз» по сравнению с «Минск», учитывая следующие параметры
| Параметры |
Марка холодильная |
Коэффициент значимости |
| Фриз |
Минск |
| Надежность |
125 |
120 |
36 |
| Температура |
-15 |
-12 |
24 |
| Дизайн |
3 |
4 |
30 |
Решение
Анализируемый товар можно считать неконкурентоспособным, так как конкурентоспособность меньше 100%, то есть он уступает по качеству и техническому уровню товару конкурента на 10%.
Задача 17
Если бы у Вас появилась возможность открыть пункт мойки машин с постоянными годовыми издержками в 100тыс.долларов , переменными издержками в сумме 0,5 доллара на каждый вымытый автомобиль, а конкурентная цена по Вашим подсчетам должна составлять 1,5 доллара за автомобиль, вложили бы Вы свой капитал в это предприятие. Рассчитать и обосновать.
Решение
Постоянные издержки=100 000 грн в год
Постоянные издержки=0,5 $ на автомобиль
Цена =1,5 $ за автомобиль
ПКТ= = 100000 автомобилей в год
100000:365=273,9=274 автомобилей нужно вымыть в день
274:24=12 вымыть автомобилей в час – 5 мин. на 1 автомобиль
нереально
Следовательно, при данном уровне затрат и данной конкурентной цене вложение капитала в подобное предприятие нецелесообразно.
Задача 18
Два партнера организовали фирму с небольшим штатом работников, которая занимается изготовлением стульев, канапе и табуретов отличного качества и разных конструкций. Их основные торговые точки — несколько лондонских магазинов. Переехав в новое помещение в дальнем пригороде, партнеры решили расширить производство, для чего им необходимо подыскать новых торговцев в радиусе 50 миль от своего предприятия. Они обратились в несколько магазинов в выбранном районе, но большинство из них — гораздо меньше лондонских и заинтересованы в поддержке рекламой.
Партнеры начинают понимать, какую роль может сыграть реклама в налаживании распределения. После некоторого размышления они осознают, что в то же время она обеспечит им и большую степень контроля над процессом продаж.
Изучив данные о рекламных расценках еодходящих местных журналов и газет и выделив значительные средства на типографские работы, партнеры пришли к выводу, что проведение пробной рекламной кампании будет обоснованно. Особый интерес для потребителей представляют преимущества предлагаемого товара, включая и методы его производства. Характеризуя продукцию партнеров, можно выделить следующие моменты.
Типы производимой мебели
. Стулья обеденного набора, в том числе резные, двух видов. Кресла для отдыха и канапе трех вязов. Табуреты кухонные, для баров и садовые.
Материалы
. Лучшие сорта выдержанных тиса, дуба и красного дерева или других пород на заказ. Отборные древесина и фанера тщательно подобраны друг к другу. Обивка из лучших сортов кожи и тканей ручной выработки.
Дизайн
. Модели созданы ведущими промышленными дизайнерами.
Производство.
После машинной обработки каждая деталь проходит тщательную проверку и при необходимости доводится перед сборкой вручную. Каждое изделие перед вощением или полировкой проверяется специалистами с помощью традиционных методов контроля. Обивка. изготовляется ремесленниками, которые также пользуются традиционными приемами труда и материалами. Перед отгрузкой каждое изделие самым тщательным образом проверяется и принимается одним из партнеров.
•
Вопросы и задания
1. Сформулируйте основополагающие заявления для рекламного сообщения, позволяющие позиционировать товар.
2. Определите наиболее подходящий слоган для рекламного сообщения.
3. Напишите текст рекламного сообщения (20 - 25 строк)
Решение
Слоган –
в теории и практике рекламы это заголовок рекламного послания.
Отличие от обычного заголовка
– повышенная эмоциональная нагрузка, насыщенность; сильный подтекст, призывающий к вступлению в контакт с производителем данного товара или покупке товара индивидуального назначения.
Подход к рекламе (рекламному слогану) товаров индивидуального назначения и производственного назначения различен: в товарах личного потребления делается акцент на эмоциональную насыщенность слогана; производственного назначения – на информационную содержательность.
В настоящее время считается простановка восклицательного знака в конце слогана вызывающим тоном и производит неприятное впечатление. В современной рекламе восклицательный знак ставится очень редко.
Основные правила при составлении слогана.
1. Обещание решить проблему покупки товара. Сообщать о выгодности потребления изделия.
2. По возможности более часто использовать слово «Вы», т.е. стремление увидеть себя в роли человека, который воспользовался данным товаром и получил желаемый эффект.
3. Идентифицировать себя с покупателем, сопереживать ему, не ставить себя выше покупателя.
4. Слоган должен сообщать новые для покупателя сведения, вызывать положительные эмоции.
5. Грубая ошибка строить слоган на названиях товаров: если оно известно, то воспринимается как информационализм, если не известно – как тривиальность.
6. Не должно быть навязчивых упоминаний о производителях. Для слогана важны права с различной эмоциональной ценностью – они настраивают на внимательное отношение к сообщаемым сведениям: «теперь», «здесь», «важно», «развитие», «улучшение», «предложение», «быстро», «желательно», «лица», «сегодня», «экономия», прибыль». Неудачные слова: «убытки», «завтра», «нет», «пользуйтесь».
Слоган для задачи: «Вы сэкономите время и деньги, контактируя с нами!»
Любой текст будет пользоваться успехом только тогда, когда он имеет оптимальную структуру. Структура отражает содержание и смысл рекламного послания и обеспечивает ему понятность и читаемость. Первые строки должны готовить к восприятию, основная часть передает всю массу информации, окончание – закрепляет настроение и взгляды, которые рекламодатель стремится вызвать у адресанта.
Важное значение имеет соотношение между известным и неизвестным, если неизвестного нет впечатление будет неблагоприятным. Если нет известного,,,.. то становится невозможным общение с потребителем, .т.к. отсутствуют опорные точки, на которых новое будет соотноситься со старым в сознании потребителя.
Поэтому всегда необходимо начинать с известного. При этом известное следует оговаривать такими словами: «как известно», «в обычных машинах принято» и не затягивать подобные выступления.
Чтобы структура текста была легко обозрима, рекомендуется развивать текст на небольшие отрезки с подзаголовками, так статья превращается в набор мини статей. Каждый подзаголовок сообщает о какой-то одной важной особенности товара.
Тональность текста должна напоминать доверительный разговор с умным и приятным собеседником.
Текст для задачи: «Вы – деловой человек! Вы – успешны! Поэтому для поддержания общей стильности в вашем офисе Вам необходимо максимум мобильности и удобства! Вы достигнете этого с нашей мебелью!!!
Вы домохозяйка и Вам хочется уюта и комфорта! Ваш дом будет неповторимым с нашей мебелью!!!
Приходите к нам и мы Вам поможем обустроить Вашу квартиру, офис, дом при минимальных затратах и максимальной удовлетворенности!!!»
Задача 19
рассмотрите возможные варианты кривых жизненного цикла товара на рынке.
Решение
Возможные варианты кривых жизненного цикла продукции.
А –
Традиционный ЖЦТ товара
–включает отчетливые этапы разработки, выведения, роста, зрелости и упадка.
Б –
Классический ЖЦТ товара
– описывает очень популярные продукты со стабильным сбытом на протяжении долгого периода времени.
В –
Кривая увлечения
– описывает товар, который получает быстрый взлет и падение популярности.
Г –
Продолжительное увлечение
– проявление также того, что сбыт продолжается размерах, составляющих незначительную долю от объема реализации.
Д –
Сезонная кривая
– товар хорошо продается в течении периодов разнесенных во времени (сезоны).
Е –
Кривая возобновления
– товар устарел, но затем снова получил популярность.
Ж –
Провал
– продукт вообще не имел успеха.

Задача 20
Рассчитать пороговое количество товара и пороговую рентабельность на примере. Допустимо, что прогнозируемая выручка составляет 12000 грн за 800 шт. проданных товаров, а постоянные и совокупные переменные расходы составляют соответственно 6000 грн и 4000 грн.
решение
Точке безубыточности отвечает критическое количество товаров в размере 600 шт. (см. рис. 1):


Это и является точкой, при которой предприятие покрывает все переменные и постоянные расходы, но не получает прибыль. Только каждая следующая единица товара приносит прибыль предприятию.
 


Из этого возможно сделать вывод, что предприятию для того, чтобы покрыть все расходы, необходимо 9000 грн. Следовательно, на этом этапе возможно определить цену товара, при которой предприятие удержит нулевую прибыль, то есть цену безубыточности:
Рис. 1. Пример расчета ПКТ и ПР путем построения точки безубыточности
Рис. 2. Пример определения ПР графическим методом на основе результата от реализации
|